Проектирование приводной станции литейного конвейера
Введение
Зубчатые передачи широко распространены во всех отраслях машиностроения и
приборостроения.
Принцип действия зубчатой передачи основан на зацеплении пары зубчатых
колес. привод зубчатый напряжение редуктор
По расположению зубьев на колесах различают передачи: прямозубые,
косозубые и шевронные.
Основными преимуществами зубчатых передач являются:
- высокая нагрузочная способность и, как следствие, малые
габариты.
- большая долговечность и надежность работы.
- высокий К.П.Д. (0,95÷0,97).
- постоянство передаточного отношения.
- возможность применения в широком диапазоне скоростей,
мощностей и передаточных отношений.
Среди недостатков зубчатых передач можно отметить:
- повышенные требования к точности изготовления
- шум при больших скоростях, высокую точность.
В зависимости от вида изделия, условий его эксплуатации и требований к
габаритным размерам выбирают необходимую твёрдость колёс и материал для их
изготовления. Для силовых передач чаще всего применяют стали. Передачи со
стальными зубчатыми колёсами имеют минимальную массу и габариты, тем меньшие,
чем выше твёрдость рабочих поверхностей зубьев, которая в свою очередь зависит
от марки стали и варианта термической обработки.
Современные цепные передачи могут передавать большие мощности (до 5 тыс.
кВт) при сравнительно высоких скоростях (до 25-30 м/с). Цепные передачи
применяют:
- при средних межосевых расстояниях, при которых зубчатые
передачи требуют промежуточных ступеней или паразитных зубчатых колес, не
вызываемых необходимостью получения нужного передаточного отношения;
- при жестких требованиях к габаритам;
- при необходимости работы без проскальзывания (препятствующего
применению клиноременных передач).
Ответственные цепные передачи выполняют закрытыми, заключенными в жесткий
корпус, который служит масляной ванной.
Наибольшее применение получили цепные передачи мощностью до 120 кВт при
окружных скоростях до 15 м/с.
Достоинства:
- большая прочность стальной цепи по сравнению с ремнем
позволяет передать цепью большие нагрузки с постоянным передаточным числом и
при значительно меньшем межосевом расстоянии (передача более компактна);
- возможность передачи движения одной цепью нескольким
звездочкам;
- по сравнению с зубчатыми передачами - возможность передачи
вращательного движения на большие расстояния (до 8 м);
- меньшая в 2 раза, чем в ременных передачах, радиальная
нагрузка на валы;
- сравнительно высокий КПД (ηmax>>
0,9÷0,98);
- могут осуществлять передачу значительных мощностей (до
нескольких тысяч киловатт);
- допускают скорости движения цепи до 35 м/с и передаточные
числа до u=10;
- отсутствие скольжения;
- меньшие габариты, чем у ременных передач, особенно по ширине;
- малые силы, действующие на валы, так как нет необходимости в
большом начальном натяжении;
- возможность легкой замены цепи.
Недостатки:
- сравнительно высокая стоимость цепей;
- невозможность использования передачи при реверсировании без
остановки;
- передачи требуют установки на картерах;
- сложность подвода смазочного материала к шарнирам цепи;
- скорость движения цепи, особенно при малых числах зубьев
звездочек, не постоянна, что вызывает колебания передаточного отношения.
Основной причиной этого недостатка является то, что цепь состоит из отдельных
звеньев и располагается на звездочке не по окружности, а по многоугольнику;
- повышенный шум, особенно на высоких скоростях, вследствие
удара звена цепи при входе в зацепление и дополнительные динамические нагрузки
из-за многогранности звездочек;
- они работают в условиях отсутствия жидкостного трения в
шарнирах и, следовательно, с неизбежным их износом, существенным при плохом
смазывании и попадании пыли и грязи;
- они требуют более высокой точности установки валов, чем
клиноременные передачи, во избежание соскакивания цепи со звездочки и более
сложного ухода - смазывания, регулировки.
.
Кинематический расчет привода
Определяем общее КПД привода:
ηобщ=
ηпп *
ηпзп *
ηпп *
ηкзп *
ηпп *
ηцп
ηобщ=0,993*0,972*0,95=0,867
где ηпп - КПД пары подшипников,
ηпзп - КПД прямозубой цилиндрической
передачи,
ηкзп - КПД косозубой цилиндрической передачи,
ηцп - КПД цепной передачи.
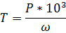
Определяем мощность на выходе привода:
Рвых=F*V
Рвых=4*1,2=4,8 кВт.
Определяем требуемую мощность и выбор двигателя:
Ртр ≤ Рном;
Определяем частоту вращения приводного вала:
где Dзв - делительный диаметр тяговой
звездочки:
Определяем требуемую частоту вращения вала электродвигателя:
где
- относительное значение передаточного числа цепной
передачи,
- относительное значение передаточного числа тихоходной
зубчатой цилиндрической передачи,
- относительное значение передаточного числа быстроходной
зубчатой цилиндрической передачи.
Исходя из полученных данных, назначаем двигатель марки АИР 100L2 ТУ 16-525.564-84”
Рном=5,5 кВт;
nном=2850 об/мин;
Определяем общее передаточное число привода и разбиваем его по ступеням:
Примем
=2,56
=5
=5
Определяем мощность на валах валов:
Определяем частоту вращения на валах
n1= nном=2850 об/мин,
n4≈nвых
Определяем угловые скорости на валах
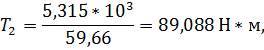
Определяем вращающие моменты на валах:
Полученные данные заносим в таблицу 1.1:
Таблица 1.1 - «Сводные данные привода»
|
№ вала
|
P, кВт
|
n, мин-1
|
ω, рад/с
|
T, Н*м
|
|
1
|
5,535
|
2850
|
298,3
|
18,555
|
|
2
|
5,315
|
570
|
59,66
|
89,088
|
|
3
|
5,104
|
114
|
11,93
|
427,829
|
|
4
|
4,8
|
44,5
|
4,66
|
1030,043
|
. Выбор
материалов зубчатой передачи и определение допускаемых контактных и изгибных
напряжений
.1 Выбор материала передачи (для двух ступеней)
Выбираем материалы со средними механическими характеристиками
Таблица 2.1 Материал для передач
|
I передача
|
II передача
|
|
шестерня
|
колесо
|
шестерня
|
колесо
|
|
Материал
|
сталь 40Х
|
сталь 40Х
|
сталь 40Х
|
сталь 40Х
|
|
вариант ТО
|
I (улучшение)
|
I (улучшение)
|
I (улучшение)
|
|
Dзаг, мм
|
до 125
|
до 200
|
до 125
|
до 200
|
|
НВ
|
269-302
|
235-262
|
269-302
|
235-262
|
Определяем среднюю твердость рабочих поверхностей зубьев:
HBср1пз=285,5 - средняя твердость шестерни
первой передачи,
HBср2пз=245,5 - средняя твердость колеса
первой передачи,
HBср1кз=285,5 - средняя твердость шестерни
второй передачи,
HBср2кз=245,5 - средняя твердость колеса
второй передачи,
Коэффициент долговечности возьмём для длительно работающих передач КL=1, так как в условии не указаны
длительность напряжений и количество циклов напряжений.
.2 Определяем допустимое контактное напряжение:
,
где
- допускаемое контактное напряжение
.3 Рассчитываем допускаемые напряжения изгиба
где
- допускаемое напряжение изгиба.
Данные расчета сводим в таблицу 2.2
Таблица 2.1 - «Материалы зубчатых колес»
|
Элемент передачи
|
Материал
|
Термообработка
|
, Н/мм2
|
, Н/мм2
|
|
Шестерня
|
40Х
|
Улучшение
|
580,9
|
294,1
|
|
Колесо
|
40Х
|
Улучшение
|
508,9
|
252,9
|
. Расчет
второй косозубой передачи
Как видно из схемы редуктора, межосевое расстояние быстроходной ступени в
точности равно межосевому расстоянию тихоходной ступени. Так как тихоходная
ступень передает большую нагрузку, очевидно, именно она определяет радиальные
размеры обеих ступеней и следовательно, расчет соосных редукторов необходимо
начинать с расчета тихоходней ступени.
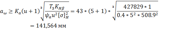
Определяем по условию контактной прочности межосевое расстояние передачи:
где
-коэффициент межосевого расстояния,
=43 для косозубой передачи;
-передаточное отношение прямозубой передачи;
-крутящий момент на валу колеса, Н*мм;
ψа- коэффициент ширины колеса b2 относительно межосевого расстояния
;
-коэффициент неравномерности распределения нагрузки по длине
контактной линии в зависимости от твердости материала колес;
- допускаемое контактное напряжение передачи, Н/мм;
Принимаем по ГОСТу 6636-80 ближайшее значение
мм.
Находим модуль зацепления, предварительно задав угол наклона зубьев
:
Принимаем стандартный нормальный модуль
по ГОСТ 9563-60.
Определяем суммарное число зубьев передачи:
Принимаем
зубьев.
Вычисляем число зубьев шестерни:
Принимаем
зуба.
Вычисляем число зубьев колеса:
Уточняем передаточное отношение передачи:

, что допустимо.
Определяем фактический угол наклона зубьев:
Определяем геометрические параметры передачи и сводим их в таблицу
Таблица 3.1 - Основные параметры передачи внешнего зацепления с
цилиндрическими прямозубыми колесами
|
Геометрические параметры
|
Расчетные формулы для косозубых колес
|
|
Модуль зацепления, мм
|
2
|
|
Диаметр делительной окружности d, мм: Шестерни колеса
|
|
|
Фактическое межосевое расстояние, мм
|
|
|
Диаметр окружности вершин , мм: шестерни колеса
|
|
|
Диаметр окружности впадин , мм: шестерни колеса
|
|
|
Ширина зуба b,
мм: шестерни колеса
|
Принимаем 60
|
4. Расчет
первой прямозубой передачи
Так как межосевое расстояние быстроходной ступени в точности равно
межосевому расстоянию тихоходной ступени, модуль зацепления тоже одинаков.
То есть
,
. Начинаем расчет сразу с определения количества зубьев.
Определяем суммарное число зубьев передачи:
Принимаем
зубьев.
Вычисляем число зубьев шестерни:
Принимаем
зуба.
Вычисляем число зубьев колеса:
Уточняем передаточное отношение передачи:
Отклонение от заданной величины
составит:
, что допустимо
Определяем геометрические параметры передачи и сводим их в таблицу
Таблица 4.1 - Основные параметры передачи внешнего зацепления с
цилиндрическими прямозубыми колесами
|
Геометрические параметры
|
Расчетные формулы для косозубых колес
|
|
Модуль зацепления, мм
|
2
|
|
Диаметр делительной окружности d, мм: шестерни колеса
|
|
|
Фактическое межосевое расстояние, мм
|
|
|
Диаметр окружности вершин , мм: Шестерни колеса
|
|
|
Диаметр окружности впадин , мм: Шестерни Колеса
|
|
|
Ширина зуба b,
мм: Шестерни колеса
|
Принимаем 60
|
5.
Ориентировочный расчет валов редуктора. Эскизная компоновка редуктора
Выбор материала валов:
Для двух валов редуктора при средней нагрузке выбираем сталь марки 45.
Механические характеристики: диаметр заготовки - любой, твердость - 240НВ, σВ = 560 Н/мм2, σт = 280 Н/мм2, σ-1 = 250 Н/мм2,
Ψτ = 0, τ-1 = 150
Н/мм2, Ψσ = 0, τт = 150 Н/мм2,
где σВ
- предел прочности,
σт ,
τт - пределы текучести,
τ-1,
σ-1 - пределы выносливости при изгибе и
кручении,
Ψσ, Ψτ - коэффициенты, характеризующие
чувствительность материала к асимметрии цикла нагружения.
Ориентировочный расчет валов
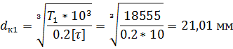
Определяем диаметры входного вала редуктора:
а) диаметр конца входного вала редуктора
Где
Н/мм2 - допускаемое касательное напряжение для
входного вала.
Принимаем диаметр конца входного вала редуктора по стандартному ряду с
учётом ослабления шпоночным пазом
б) диаметр входного вала под манжетное уплотнение:
в) диаметр входного вала под подшипник:
г) диаметр входного вала для обеспечения высоты буртика для посадки
подшипника:
д) диаметр промежуточного вала под посадку ступицы шестерни:
Определяем диаметры промежуточного вала редуктора:
а) диаметр конца промежуточного вала редуктора
Где
Н/мм2 - допускаемое касательное напряжение для
промежуточного вала.
Принимаем диаметр конца промежуточного вала редуктора по стандартному
ряду с учётом ослабления шпоночным пазом
б) диаметр промежуточного вала под манжетное уплотнение:
в) диаметр промежуточного вала под подшипник:
г) диаметр промежуточного вала для обеспечения высоты буртика для посадки
подшипника:
д) диаметр промежуточного вала под посадку ступицы шестерни / колеса:
е) диаметр промежуточного вала для обеспечения высоты буртика для посадки
колеса:
Определяем диаметры выходного вала редуктора:
а) диаметр конца выходного вала редуктора
Где
Н/мм2 - допускаемое касательное напряжение для
выходного вала.
Принимаем диаметр конца выходного вала редуктора по стандартному ряду с
учётом ослабления шпоночным пазом
б) диаметр выходного вала под манжетное уплотнение:
в) диаметр выходного вала под подшипник:
г) диаметр выходного вала для обеспечения высоты буртика для посадки
подшипника:
д) диаметр выходного вала под посадку ступицы колеса:
е) диаметр выходного вала для обеспечения высоты буртика для посадки
колеса:
Выбор подшипников
Так как в цилиндрическом редукторе
при условии
, выбираем радиально-упорные
подшипники.
По ГОСТ 831-75 исходя из диаметров валов редуктора предварительно
выбираем подшипники легкой серии.
Габаритные размеры и грузоподъемность выписываем в таблицу 5.1:
Таблица 5.1 - «Габаритные размеры подшипников»
|
Вал
|
Обозначение
|
Внутренний диаметр
|
Внешний диаметр
|
Ширина
|
|
Входной
|
36206
|
30
|
62
|
16
|
|
Промежуточный
|
36207
|
35
|
72
|
17
|
|
Выходной
|
36210
|
50
|
90
|
20
|
Конструктивные
размеры элементов корпуса и крышки редуктора
Определяем толщину стенки корпуса:
принимаем
мм,
где Т - крутящий момент на выходном валу.
Определяем толщину стенки крышки редуктора:
Принимаем
Определяем толщину верхнего пояса корпуса редуктора:
Определяем толщину пояса крышки редуктора:
Определяем толщину нижнего пояса корпуса редуктора:
Определяем толщину ребер жесткости корпуса редуктора:
Определяем диаметр болтов, соединяющих корпус с крышкой редуктора около
подшипников:
принимаем dк.п. =10 мм.
принимаем dф =14 мм.
Определяем диаметры болтов, соединяющих корпус и крышку редуктора:
принимаем
пределяем ширину нижнего пояса корпуса редуктора (ширина фланца для
крепления редуктора к фундаменту):
Принимаем
Определяем ширину пояса (фланца) соединения корпуса и крышки редуктора
около подшипников:
Определяем диаметр болтов для крепления крышки смотрового отверстия:
dкс=(6…10)=8 мм.
Определяем диаметр резьбы пробки:
Определяем диаметр штифтов:
Определяем диаметр болтов для крепления крышек подшипников к редуктору:
Определяем конструктивные размеры зубчатого колеса первой передачи:
Определяем длину посадочного отверстия зубчатого колеса:
Определяем диаметр ступицы и ширину торцов зубчатого колеса:
Определяем диаметр обода колеса Dоб и толщину
диска колеса С.
Определяем фаски зубчатого венца:
Определяем конструктивные размеры зубчатого колеса второй передачи:
Определяем длину посадочного отверстия зубчатого колеса:
Определяем диаметр ступицы и ширину торцов зубчатого колеса:
Определяем диаметр обода колеса Dоб и толщину
диска колеса С.
Определяем фаски зубчатого венца:
После расчета участков валов можно выполнить предварительную эскизную
компоновку редуктора на миллиметровой бумаге в масштабе машиностроительного
черчения.
Заключение
Курсовой проект выполнен в полном объёме в соответствии с заданием.
Были рассмотрены следующие разделы и рассчитаны следующие показатели: I
1. Кинематический расчёт привода. В данном разделе определены
кинематические и силовые параметры привода.
2. Выбор материала зубчатых колёс. В разделе были выбраны стали для
изготовления зубчатого колес и шестерен. Определены допускаемые контактные
напряжения и допускаемые изгибные напряжения. 1 контактные напряжения и
допускаемые изгибные напряжения.
3. Расчёт закрытой передачи заключался в проверке прочности по контактным
и изгибным напряжениям. Расчётные контактные напряжения (допускается 20 %
недогрузки и 5 % перегрузки). Изгибные напряжения меньше допустимых.
. Были определены основные геометрические размеры деталей редуктора,
необходимые для выполнения эскизной компоновки.
6. Расчёт валов редуктора. В данном разделе были выбраны материалы для
изготовления валов и выполнен ориентировочный расчёт валов. Где были определены
диаметры участков валов. Также выбраны подшипники валов редуктора. Выполнена
эскизная компоновка редуктора. Где были определены расстояния между участками
приложения сил.
Список
используемой литературы
1. Детали машин. Курсовое проектирование: Учеб. пособие для
машиностроит. спец. учреждений среднего профессионального образования. - 5-е
изд., доп. / П.В.Дунаев, О.П. Леликов, - М.: Машиностроение, 2007. - 560 с.
2. Детали машин и основы конструирования. Проектирование
цилиндрического редуктора: Учебное пособие к выполнению курсового проекта по
дисциплине «Детали машин и основы конструирования» для студентов специальности
260100 всех форм обучения /А.Н. Кучеренко, - Красноярск: Сиб ГТУ, 2014. - 208
с.
. Кинематический расчет привода. Выбор материала
передач: метод. указания к курсовому проектированию по прикладной механике и
деталям машин для студентов всех специальностей /Сост. С.Х. Туман, А.П. Игошин,
Н.А.Цурган, - Красноярск: СФУ; КИЦМиЗ, 2007. - 32с.
. Проектирование механических передач: Учеб пособие/
Н.А. Дроздова, С.Х.Туман, С.А. Косолапова, Т.Г.Калиновская, - Красноярск:
ГАЦМиЗ, 2015. - 100с.
. Расчет валов и эскизная компоновка редуктора: метод.
указания к выполнению курсовых проектов, контрольных и расчетно-графических
работ для студентов всех специальностей /Сост. С.Х. Туман, А.П. Игошин, В.И.
Лысых, - Красноярск: ГАЦМиЗ, 2003. - 36с.
. Конструктивные размеры редукторов: метод. указания к
курсовому проекту по деталям машин и прикладной механике для студентов всех
специальностей/ Сост. С.К. Какурина, Н.А. Какурина, С.Х. Туман, - Красноярск:
ГАЦМиЗ, 2001. - 20с.
. Проектирование опор валов на подшипниках качения:
метод. указания к курсовому проектированию по прикладной механике и деталям
машин для студентов всех специальностей/ Сост. А.П.Игошин, В.Я. Дьяконова, -
Красноярск: ГАЦМиЗ, 2005. - 24с.
. Конструктивные размеры деталей машин: метод.
указания к курсовому проектированию по прикладной механике и деталям машин для
студентов всех специальностей/ Сост. Н.А.Дроздова, С.А. Косолапова, -
Красноярск: КИЦМ, 1991. - 22с.
. Справочник конструктора-машиностроителя: Т.1./ В.И.
Анурьев: Машиностроение, 1999. - 912 с.