Kонсольный поворотный кран на колонне

  • Вид работы:
    Курсовая работа (т)
  • Предмет:
    Другое
  • Язык:
    Русский
    ,
    Формат файла:
    MS Word
    235,52 Кб
  • Опубликовано:
    2017-05-03
Вы можете узнать стоимость помощи в написании студенческой работы.
Помощь в написании работы, которую точно примут!

Kонсольный поворотный кран на колонне

Содержание

Введение

.        Механизм подъема

.1      Выбор электродвигателя

.2      Выбор каната

.3      Барабан

.4      Привод

.5      Блоки

.6      Колодочный тормоз

.        Расчет металлоконструкции

.1      Определение основных размеров

.2      Проверка статического изгиба

.3      Определение веса

.4      Проверка времени затухания колебаний

.5      Проверка прочности

.        Опорно-поворотные узлы

.        Список литературы

Приложение

Введение

Грузоподъёмные и транспортирующие машины являются неотъемлемой частью совершенного производства, так как с их помощью осуществляется механизация основных технологических процессов и вспомогательных работ. В поточных и автоматизированных линиях роль подъёмно - транспортных машин возросла, и они стали органической частью технологического оборудования, а влияние их на технико-экономические показатели предприятия стало весьма существенным.

Увеличение производительности и улучшение технико-экономических показателей подъёмно - транспортных машин, повышение их прочности, надёжности и долговечности неразрывно связано с применением новейших методов расчёта и конструирования.

Современное производство грузоподъёмных машин основывается на создание блочных и унифицированных конструкций. Применение блочных конструкций позволяют выпускать узел механизмов в законченном виде, что приводит отдельных цехов и заводов.

Грузоподъёмные машины по назначению и конструктивному исполнению весьма разнообразны.

В данной курсовой работе рассмотрен консольный поворотный кран на колонне.

Данный вид крана широко используется на машиностроительных предприятиях для разгрузки и погрузки, передачи изделий с одной технологической операции на другую и многое другое.

.       
Механизм подъема

1.1    Выбор электродвигателя

Статическая мощность

 

 

V = 10 м/мин - скорость подъема

η = 0.9 - КПД привода

 -вес грузозахватного устройства

 

 

Для кранов при Q < 40 кН рекомендуется использовать двукратные динарные полиспасты.


а = 2 - кратность полиспаста

t = 1 - число отклоняющих блоков

m = 1 - число канатов, навиваемых на барабан

 -КПД подшипников

КПД полиспаста

 

По каталогу выбираем электродвигатель: 4AC80B4У3 (АИРС80А2)

Рэд = 1,9 кВт

nэд = 1335 об/мин

1.2    Выбор каната

Наибольшее натяжение в канате

 

Разрушающая нагрузка каната должна быть

разр > k*Fmax = 5,5⋅5310 = 29200 Н

 - коэффициент запаса прочности (выбираем по таблице 2.1)

По ГОСТ 2688-80 выбираем канат типа ЛК-РО диаметром dk = 7,4мм с

Fразр = 30 кН при пределе прочности материала проволок 190 МПа. Канат крепим к барабану прижимными планками.

.3      Барабан

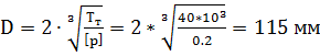
Минимальный диаметр барабана

бар ≥ dk*(e-1) = 7,4⋅ (19-1) = 133,2 мм

е = 19 - зависит от режима работы (выбираем по таблице 2.2)

Определим число оборотов вала барабана

 

 

Определим диаметр барабана исходя из скорости подъема груза и числа оборотов вала барабана

 

Округляем до стандартного значения

Определяем длину барабана

 

-шаг навивки

 

δ-толщина стенки

δ=1,2 dk =9 мм


 

L -длина барабана

L = 9⋅(13+6) = 175 мм

Параметры барабана :

Диаметр

Длина L = 0,175 м

.4      Привод

Подбор редуктора

Момент на барабане

 

Наибольший момент на тихоходном валу редуктора

 

 

Определим эквивалентный момент на редукторе

 

 

 

 

 

 

т.к

 

Выбираем цилиндрический двухступенчатый редуктор Ц2У-125 с крутящим моментом =500 Нм. Из-за конструктивных соображений выбираем цилиндрический двухступенчатый редуктор Ц2У-160 с крутящим моментом =1000 Нм.

 

Проверка выбранного редуктора и радиальной нагрузки на выходном конце вала

 

 

 - расстояние от силы приложения нагрузки до оси симметрии

 

B=180 мм

P=9 мм

 

 

 - редуктор выбран по радиальной нагрузке

Тормоз выбираем по грузовому моменту на валу тормозного шкива, выполненного на редукторной полумуфте.

 

ηобр = 0.5⋅ (η+1) =0,96

 

Требуемый момент тормоза

Тт ≥ Тгрторм = 11,9⋅2 = 23,8 Нм

Кторм = 2 - запас торможения (выбираем по таблице 2.4)

По тормозному моменту выбираем нормализованный тормоз ТКП-200/100 с тормозным моментом 40 Нм.

Прочность барабана

 

 

 

 

1.5    Блоки

Диаметр блоков

 

 

 

 

Принимаем стандартный диаметр блоков

Подшипники

 

 

Наибольшая нагрузка на подшипник блока

 

Zп = 2 - число подшипников в блоке

Эквивалентная динамическая нагрузка на подшипники блока

 

 

Передаточное отношение привода

 

 

 

.6 Колодочный тормоз

Диаметр тормозного шкива

 

Принимаем D = 150 мм

Ширина шкива

 

 

F=0,42 b=0

 

 

 

 

 

Начальный отход колодок

 

 

Наибольший отход колодок

 

 

Усилие в пружине

 

 

Расчет пружины сжатия

 

 

 

 

С=5

 

 

 

Осадка одного витка пружины

 

 

 

 

 

Число рабочих витков

 

 

 

 

 

 

.       
Расчет металлоконструкции

Исходные данные:

Грузоподъемность, т…………………………………………………….1

Вылет стрелы, м………………………………………………………4,5

Высота подъема, м……………………………………………………...4

Режим эксплуатации…………………………………………………4М

Скорость подъема груза, м/с…………………………………………10

консольный поворотный кран колонна


.1     
Определение основных размеров

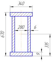
Высота сечения стрелы

Ширина сечения стрелы

Принимаем b=340 мм

Толщина стенки

 

Принимаем

Толщина пояса

Принимаем

 


Координата центра тяжести сечения:

 

 

Момент инерции

 

 

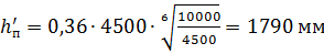
Высота колонны

Диаметр колонны

 

Толщина стенки колонны

Принимаем

Момент инерции колонны

 

.2      Проверка статического прогиба


Расчетная длина стрелы

Δ=10 мм

 

Расстояние между подшипниками

 

Принимаем

Прогиб

 

 

 

Допустимый прогиб

 

Фактический прогиб не превышает допустимого

.3      Определение веса

Вес стрелы

 

Координата центра тяжести стрелы

 

Вес подвижной колонны

 

Координата центра тяжести подвижной колонны

 

Вес неподвижной колонны

 

.4      Проверка времени затухания колебаний

Приведенная масса

 

 

Жесткость

 

Период собственных колебаний

 

Логарифмический декремент затухания

 

Начальная амплитуда

 

Время затухания колебаний

 

.5      Проверка прочности

Допускаемое нормальное напряжение

 

Допускаемое касательное напряжение, в том числе и для сварных швов

 

Подвижная колонна

 

 

Момент сопротивления изгибу

 

Напряжение изгиба

 

Перерезывающая сила

 

Момент, изгибающий стрелу в вертикальной плоскости

 

 

Напряжение изгиба в вертикальной плоскости

 

Момент, изгибающий стрелу в горизонтальной плоскости

 

 

Момент инерции сечения в горизонтальной плоскости

 

Момент сопротивления изгибу

 


 

Наибольшее нормальное напряжение в стреле

 

Неподвижная колонна

Момент, изгибающий неподвижную колонну, равен моменту в подвижной колонне.

Момент сопротивления изгибу колонны

 

Напряжение изгиба в неподвижной колонне

 

Момент, скручивающий колонну

 

 

Момент, сопротивления кручения

 

Касательное напряжение в колонне

 

Приведенное напряжение в колонне

 

Напряжением сжатия от вертикальной силы в колонне пренебрегаем.

Найдем катет шва К, которым колонна приваривается к основанию. Кручением пренебрегаем

 

Где

Отсюда

Принимаем К=10 мм

Конструктивно меняем сечение стрелы с высотой 300 мм, шириной 350 мм и толщиной листов 10 мм.

.       
Опорно-поворотные узлы


В верхней опоре для горизонтальных нагрузок используем самоустанавливающийся подшипник, а для вертикальных нагрузок - упорный шариковый подшипник.

Нагрузку на опорные узлы определяем при подъеме номинального груза.

 

 

Выбираем двухрядный самоустанавливающийся шариковый подшипник 1222 с Сr = 88400 Н. Размеры подшипника dxDxB = 110x200x38 мм

Выбираем подшипник для верхней опоры 8217 по ГОСТ 8874 - 75

Размеры подшипника dxDxH = 85x125x31

C0 = 120000 Н

В нижней опоре для восприятия горизонтальных нагрузок применяются два блока из двух роликов c подшипниками 313 ГОСТ 8338-75

Размеры подшипника dxDxH = 65x140x33

C0 = 56000 Н

.       

Список литературы

1.      Александров М. П., Решетов Д. Н. Подъемно-транспортные машины. Атлас конструкций. Учебное пособие для вузов. Под ред. д-ра техн. наук М. П. Александрова и д-ра техн. наук Д. Н. Решетова. -М., “Машиностроение”, 1973- 256 с.

.        Александров М. П. Подъемно-транспортные машины, -М.: Высшая школа,1985- 520с.

3.      Дунаев П.Ф., Леликов О.П. Конструирование узлов и деталей машин: Учеб. пособие для ВУЗов. - 4-е изд., перераб. и доп. -М.: Высш. шк., 1985- 416 с. http://www.iqlib.ru/book/book.visp?uid={64E997C0-B95B-40B7-A517-E08888532E3C}&action=bo (дата обращения 20.09. 2014г. )

.        Желтонога А.И., Кучерин Н.В., Ковальчук А.И. Краны и подъемники. Атлас конструкций. Учебное пособие для проектирования по курсу `Подъемно-транспортные машины`. С чертежи 2 часть Минск Вышэйшая школа 1974г.- 116с.

.        Снесарев Г. А., Тибанов В.П., Земляков В.М. Методические указания по курсовому проектированию ПТМ. Расчёт механизмов кранов. Под редакцией А. В. Буланже.- М.: изд. МГТУ им. Н.Э. Баумана, 1994.

.        Снесарев Г. А. Методические указания по курсовому проектированию подъемно-транспортных средств механизации и автоматизации машиностроения. Учебное пособие для вузов. Под ред. А. В. Буланже -М.:изд. МВТУ им. Н. Э. Баумана, 1981-39с.

Похожие работы на - Kонсольный поворотный кран на колонне

 

Не нашли материал для своей работы?
Поможем написать уникальную работу
Без плагиата!
Без нейросетей!