Выбор оптимальной по весу и прочности формы поперечного сечения отсека фюзеляжа
КУРСОВАЯ РАБОТА
на тему: «Выбор оптимальной по весу и
прочности формы поперечного сечения отсека фюзеляжа»
Оглавление
Введение
. Теоретические основы конструкции и прочности ЛА
.1 Описание и назначение технических характеристик фюзеляжа
самолёта
. Исследование оптимальной формы поперечного сечения фюзеляжа
пассажирского самолёта
.1 Возможные формы поперечного сечения
.2 Нагрузки действующие на фюзеляж (типовые эпюры нагрузок
действующих на фюзеляж)
.3 Расчёт НДС
.4 Сравнение форм по весу
Заключение
Список Использованной Литературы
Введение
Фюзеляж самолета предназначен для размещения экипажа, оборудования и
целевой нагрузки. В фюзеляже может размещаться топливо, шасси, двигатели.
Являясь строительной основой конструкции самолета, он объединяет в
силовом отношении в единое целое все его части.
Основным требованием к фюзеляжу является выполнение им своего
функционального назначения в соответствии с назначением самолета и условиями
его использования при наименьшей массе конструкции фюзеляжа.
Выполнение этого требования достигается:
выбором таких внешних форм и значений параметров фюзеляжа, при которых
получаются минимальное его лобовое сопротивление и наибольшие полезные объемы
при определившихся габаритах;
использованием несущих фюзеляжей, создающих значительную (до 40 %)
подъемную силу в интегральных схемах самолета. Это позволяет уменьшить площадь
крыла и снизить его массу;
рациональным использованием полезных объемов за счет повышения плотности
компоновки, а также за счет более компактного размещения грузов вблизи ЦМ. Это
способствует уменьшению массовых моментов инерции и улучшению характеристик
маневренности, а сужение диапазона изменения центровок при различных вариантах
загрузки, выгорании топлива, расходе боеприпасов обеспечивает большую стабильность
характеристик устойчивости и управляемости самолета;
согласованием силовой схемы фюзеляжа с силовыми схемами присоединенных к
нему агрегатов. При этом необходимо обеспечить: надежное крепление, передачу и
уравновешивание нагрузок от силовых элементов крыла, оперения, шасси, силовой
установки на силовых элементах фюзеляжа; восприятие массовых сил от целевой
нагрузки, оборудования и от конструкции фюзеляжа, а также от аэродинамической
нагрузки, действующей на фюзеляж, и нагрузки от избыточного давления в
гермокабине.
Должно быть обеспечено удобство подходов к различным агрегатам,
размещенным в фюзеляже, для их осмотра и ремонта; удобство входа и выхода
экипажа и пассажиров, выброса десантников и вооружения, удобство погрузки,
швартовки и выгрузки предназначенных для перевозки грузов. Пассажирам и экипажу
должны быть обеспечены необходимые жизненные условия и определенный уровень
комфорта при полете на большой высоте и возможность быстрого и безопасного
аварийного покидания самолета, экипажу - хороший обзор.
Фюзеляж должен отвечать следующим основным требованиям:
иметь минимальное лобовое сопротивление, включая сопротивление
интерференции в сочленениях фюзеляжа с другими агрегатами самолета;
обеспечивать рациональную компоновку оборудования и грузов, а также
полное использование внутренних объемов особенно в районе центра масс самолета,
обеспечивать удобство погрузки-выгрузки и крепления грузов, входа и
выхода экипажа, пассажиров, включая аварийное покидание самолета;
иметь хороший доступ к агрегатам и проводкам оборудования с целью их
осмотра и ремонта;
иметь рациональную силовую схему, обеспечивающую уравновешивание всех
нагрузок при минимальной массе конструкции;
обеспечивать необходимые жизненные условия экипажу и пассажирам на
больших высотах полета.
Выполнение этих требований обеспечивается соответствующим выбором внешних
форм фюзеляжа, высокой плотностью компоновки грузов и оборудования,
рациональной компоновкой кабин экипажа, грузовых и пассажирских кабин, удобным
расположением входных, погрузочных дверей и люков, оптимизацией силовой схемы
фюзеляжа, тепло - звукоизоляцией кабин и т.п.
1.
Теоретические основы конструкции и прочности ЛА
.1 Описание и
назначение технических характеристик фюзеляжа самолёта
Фюзеляж (фр. fuselage, от fuseau - веретено) - корпус летательного
аппарата. Связывает между собой крылья, оперение и (иногда) шасси. Фюзеляж
самолёта предназначен для размещения экипажа, оборудования и целевой нагрузки.
В фюзеляже может размещаться топливо, шасси, двигатели.
Конструкция самолёта типа летающее крыло, в утолщённой части которого
размещается всё, что обычно размещают в фюзеляже, рассматривается отдельно.
Рисунок 1.1 - Передняя часть утилизированного Avro Ashton
поперечный сечение
фюзеляж самолет
Являясь строительной основой конструкции самолёта, он объединяет в
силовом отношении в единое целое все его части. Основным требованием к фюзеляжу
является выполнение им своего функционального назначения в соответствии с
назначением самолёта и условиями его использования при наименьшей массе
конструкции фюзеляжа.
Выполнение этого требования достигается:
· выбором таких внешних форм и значений параметров фюзеляжа,
при которых получаются минимальное его лобовое сопротивление и наибольшие
полезные объёмы при определившихся габаритах;
· использованием несущих фюзеляжей, создающих значительную (до
40 %) подъёмную силу в интегральных схемах самолёта (например, Ту-160). Это
позволяет уменьшить площадь крыла и снизить его массу;
· рациональным использованием полезных объёмов за счёт
повышения плотности компоновки, а также за счёт более компактного размещения
грузов вблизи ЦМ. Последнее способствует уменьшению массовых моментов инерции и
улучшению характеристик маневренности, а сужение диапазона изменения центровок
при различных вариантах загрузки, выгорании топлива, расходе боеприпасов
обеспечивает большую стабильность характеристик устойчивости и управляемости
самолёта;
· согласованием силовой схемы фюзеляжа с силовыми схемами
присоединённых к нему агрегатов. При этом необходимо обеспечить: надёжное
крепление, передачу и уравновешивание нагрузок от силовых элементов крыла,
оперения, шасси, силовой установки на силовых элементах фюзеляжа; восприятие
массовых сил от целевой нагрузки, оборудования и от конструкции фюзеляжа, а
также от аэродинамической нагрузки, действующей на фюзеляж, и нагрузки от
избыточного давления в гермокабине.
· Должно быть обеспечено удобство подходов к различным
агрегатам, размещённым в фюзеляже, для их осмотра и ремонта; удобство входа и
выхода экипажа и пассажиров, выброса десантников и вооружения, удобство
погрузки, швартовки и выгрузки предназначенных для перевозки грузов. Пассажирам
и экипажу должны быть обеспечены необходимые жизненные условия и определённый
уровень комфорта при полёте на большой высоте, тепло- и звукоизоляция кабин,
возможность быстрого и безопасного аварийного покидания самолёта, экипажу -
хороший обзор.
Виды фюзеляжей ЛА:
· Узкофюзеляжный
· Широкофюзеляжный
· Однопалубный
· Двухпалубный
· Плоскофюзеляжный
Фюзеляж ЛА состоит из каркаса, который включает в себя продольный набор
стрингеров и поперечный набор шпангоутов, и обшивки (рис. 1.2).
Рисунок 1.2 - Конструкция фюзеляжа:
- обшивка, 2 - стрингеры, 3 - шпангоуты.
Назначение и работа этих элементов подобны назначению и работе
соответствующих элементов крыла. Так же, как и крыло, фюзеляж работает под
действием внешних сил на изгиб и кручение. Отличие заключается лишь в том, что
в ряде случаев фюзеляж может быть загружен значительными продольными силами и
силами избыточного давления.
Конструкция стрингеров и обшивки фюзеляжа аналогична конструкции этих
элементов в крыле. Аналогично лонжеронам крыла в фюзеляже могут быть усиленные
стрингеры.
Шпангоуты фюзеляжа также разделяются на нормальные и усиленные. Первые
обеспечивают форму фюзеляжа в поперечных сечениях и увеличивают критические
напряжения стрингеров и обшивки. Усиленные шпангоуты предназначены для передачи
сосредоточенных сил на фюзеляж в месте крепления отдельных агрегатов и грузов
самолета, кроме того, они устанавливаются на границах больших вырезов в
фюзеляже.
По конструкции нормальные шпангоуты выполняются обычно из листового
материала в виде колец с различной формой поперечного сечения. Усиленные
шпангоуты выполняют в виде рам клепаной, штампованной или смешанной конструкций
(рис. 1.3).
Рисунок 1.3 - Конструкция шпангоутов: а - нормальные, б - усиленные
По конструкции современные фюзеляжи можно разделить на стрингерные и
бесстрингерные. Конструкция стрингерного фюзеляжа аналогична моноблочной
конструкции крыла. Однако, из-за меньших воздушных нагрузок и больших
строительных высот стрингеры здесь менее мощные, а обшивка более тонкая.
Бесстрингерная конструкция состоит только из обшивки и шпангоутов. Здесь
обшивка фюзеляжа более толстая и шпангоуты установлены чаще. Такая конструкция
часто применяется при изготовлении отдельных отсеков фюзеляжа (носовая часть).
К указанному виду конструкции относится фюзеляж типа "монокок".
Эта схема состоит, в основном, из одной обшивки, подкрепленной незначительным
количеством силовых шпангоутов в разъемах и в местах крепления основных
агрегатов.
Этот тип конструкции применяется для небольших ЛА.
К схеме бесстрингерных конструкций фюзеляжа относится также фюзеляж с
обшивкой слоистой конструкции.
Конструктивно-силовые схемы фюзеляжа:
Наиболее рациональной конструкцией, способной воспринимать все
перечисленные выше нагрузки при минимальной собственной массе, является
тонкостенная пространственная оболочка, подкрепленная изнутри силовым каркасом.
Рациональность такой оболочки обеспечивается полноценным использованием её
работающей обшивки как при восприятии местной аэродинамической нагрузки,
внутреннего избыточного давления, так и в общей силовой работе, которая состоит
в том, что обшивка воспринимает всю перерезывающую силу, весь крутящий момент и
участвует в восприятии изгибающих моментов.
Рисунок 1.4 - Каркасированя оболочка
Каркасированная оболочка (рис. 1.4) наилучшим образом удовлетворяет и
требованиям удобства компоновки, обеспечения технологической простоты, а также
живучести и эксплуатационной технологичности. С точки зрения силовой работы
такая оболочка рассматривается как тонкостенная коробчатая балка, вследствие
чего силовую схему подобных фюзеляжей принято называть балочной.
Используемые ранее фюзеляжи ферменной конструкции неизбежно проигрывают
балочным по массе конструкции в связи с тем, что обшивка ферменных фюзеляжей
полностью исключена из общей силовой работы, воспринимая только местную
воздушную нагрузку и являясь, таким образом, дополнительным конструктивным
элементом, увеличивающим массу конструкции. Пространственная ферма затрудняет и
компоновку грузов в фюзеляже. Всё это привело к тому, что ферменные фюзеляжи в
настоящее время полностью вытеснены балочными и их применение оправдано лишь на
лёгких тихоходных самолётах «малой» авиации. Поэтому в дальнейшем ферменные
фюзеляжи не рассматриваются.
Балочные фюзеляжи делятся на три основных разновидности (рис. 1.5):
· стрингерный
· обшивочный
Продольный набор балочного фюзеляжа состоит из лонжеронов и стрингеров.
Лонжерон отличается от стрингера формой и большей площадью поперечного сечения.
Обшивочный фюзеляж продольного набора не имеет. Поперечный набор фюзеляжа
состоит из шпангоутов, обеспечивающих сохранение при деформациях заданной формы
поперечного сечения оболочки и передачу на обшивку распределённых и
сосредоточенных нагрузок. В местах приложения к фюзеляжу больших
сосредоточенных сил устанавливаются усиленные шпангоуты.
Рисунок 1.5 - Типы балочных фюзедяжей
В балочных фюзеляжах перерезывающая сила любого направления полностью
воспринимается обшивкой, в которой возникает поток касательных усилий. Закон
распределения этих усилий по контуру оболочки зависит от направления внешней
нагрузки и от формы поперечного сечения фюзеляжа.
Крутящий момент также полностью воспринимается обшивкой. Поток
касательных усилий в этом случае равномерно распределён по периметру оболочки,
имеющей, как правило, однозамкнутый контур поперечного сечения. Восприятие
изгибающих моментов фюзеляжа определяется типом балочного фюзеляжа. В местах
вырезов в оболочке устанавливаются силовые окантовки, обеспечивающие передачу
всех усилий в зоне выреза.
Балочно-лонжеронный фюзеляж (рис. 1.6):
Изгибающий момент воспринимается осевыми усилиями в лонжеронах, число
которых обычно невелико. Обшивка и стрингеры в работе оболочки на изгиб
практически не участвуют. Стрингеры в основном служат для местного подкрепления
обшивки. На рисунке показаны эпюры перерезывающих сил, изгибающих моментов и
крутящего момента от нагрузок горизонтального и вертикального оперения.
Рисунок 1.6 - Балочно-лонжеронный фюзеляж
Балочно-стрингерный фюзеляж (рис. 1.7):
Большое количество часто расположенных стрингеров совместно с обшивкой
воспринимают весь изгибающий момент, работая на осевые нагрузки
растяжения-сжатия. Закон распределения нормальных напряжений по периметру
оболочки определяется в соответствии с гипотезой плоских сечений при изгибе.
Доля изгибающего момента, воспринимаемая обшивкой, определяется ее критическими
напряжениями местной потери устойчивости. По сравнению с лонжеронными
фюзеляжами, шпангоуты в стрингерных фюзеляжах устанавливаются с меньшим шагом с
целью повышения критических напряжений потери устойчивости стрингеров и
обшивки.
Балочно-обшивочный (бесстрингерный фюзеляж):
Обеспечивает восприятие изгибающего момента только обшивкой, которая в
этом случае обычно имеет слоистую конструкцию с заполнителем, что позволяет
повысить критические напряжения обшивки. Бесстрингерные фюзеляжи не получили
широкого применения из-за трудностей усиления оболочки в зоне вырезов, которых
у современных самолетов требуется достаточно большое количество.
Рисунок 1.7 - Балочно-стрингерный фюзеляж
Конструкция элементов фюзеляжа (рис. 1.8):
Основные элементы фюзеляжа: лонжероны, стрингеры, шпангоуты, обшивка,
стыковые узлы.
Рисунок 1.8 - Элементы фюзеляжа
Лонжероны и стрингеры (рис. 1.9):
Продольные элементы каркаса, проходящие, как правило, по всей длине
фюзеляжа. Совместно с обшивкой они воспринимают нормальные усилия при изгибе
фюзеляжа. Простые стрингеры и лонжероны обычно изготавливаются из прессованных
или гнутых профилей различного сечения. Стрингеры распределяют нагрузку
равномерно по обшивке, лонжероны в свою очередь обеспечивают общую жесткость
конструкции.
Рисунок 1.9 - Лонжероны и стрингеры
При больших нагрузках могут использоваться составные лонжероны, состоящие
из нескольких соединённых между собой профилей (рис. 1.10).
Рисунок 1.10 - Лонжероны
Для окантовки больших вырезов в фюзеляже часто используются лонжероны
коробчатого сечения - бимсы, которые состоят из прессованных профилей,
связанных между собой стенками и обшивкой
Шпангоуты (рис. 1.11):
Поперечные элементы набора. Делятся на нормальные и усиленные. Нормальные
обеспечивают сохранение формы поперечного сечения фюзеляжа. Усиленные шпангоуты
устанавливаются в местах передачи на фюзеляж больших сосредоточенных нагрузок.
На них располагаются стыковые узлы агрегатов, узлы крепления грузов,
двигателей, крупного оборудования, перегородки гермоотсеков и т. п. Силовые
шпангоуты могут устанавливаться по границам больших вырезов в фюзеляже.
Нормальные шпангоуты обычно имеют рамную конструкцию и изготавливаются
штамповкой или фрезеровкой.
Усиленные шпангоуты выполняются в виде замкнутой рамы обычно двутаврового
или швеллерного сечения. Рама шпангоута распределяет внешнюю нагрузку по
периметру обшивки, поток касательных усилий в которой является опорной реакцией
для рамы. Сама рама работает на изгиб, который в основном определяет её
сечение. Кроме того, в любом сечении рамы действуют перерезывающая и нормальная
силы.
Рисунок 1.11 - Шпангоуты
Конструктивно такая рама изготавливается сборной или монолитной. В местах
установки перегородок силовой шпангоут полностью зашивается стенкой,
подкреплённой вертикальными и горизонтальными профилями, или сферической
оболочкой с радиально расположенными подкрепляющими элементами.
Обшивка:
Изготавливается из металлических листов, которые формуются по профилю
поверхности фюзеляжа, зачастую с приклёпкой стрингеров, и затем крепятся к
каркасу (шпангоутам). Стыки листов располагаются на продольных и поперечных
элементах каркаса. Возможно, особенно для обшивочных фюзеляжей, применение
монолитных оребрённых панелей и слоистой обшивки с лёгким, обычно сотовым,
заполнителем. В последнее время получает распространение обшивка из
композиционных материалов.
Соединение элементов каркаса и обшивки (рис. 1.12):
Возможно три способа соединения обшивки с каркасом:
· обшивка крепится только к стрингерам,
· обшивка крепится и к стрингерам, и к шпангоутам,
· обшивка крепится только к шпангоутам.
В первом случае образуются только продольные заклёпочные швы, а
поперечные швы отсутствуют, что улучшает аэродинамику фюзеляжа. Незакреплённая
на шпангоутах обшивка теряет устойчивость при меньших нагрузках, что приводит к
увеличению массы конструкции. Чтобы избежать этого часто обшивку связывают со
шпангоутом дополнительной накладкой - компенсатором. Третий способ крепления
используется только в обшивочных (бесстрингерных) фюзеляжах.
Сотовидная обшивка крепится к шпангоутам. Она состоит из двух
металлических панелей и сердцевины. Сотовая конструкция - шестиугольного вида
материал, сделанный из металла. В сердцевине находится клей, что позволяет не
использовать заклёпки. Такая конструкция имеет высокое сопротивление деформации
и способна передавать напряжение по всей своей поверхности.
Стыковые соединения отсеков фюзеляжа (рис. 1.13):
Стыки отсеков фюзеляжа балочно-лонжеронной схемы выполняются с помощью
стыковых узлов, расположенных только на лонжеронах - точечный стык.
Конструктивно для этого используются узлы типа «ухо-вилка» или узлы фитинговой
схемы.
Рисунок 1.12 - Соединение элементов каркаса и обшивки
Рисунок 1.13 - Стыковые соединения отсеков фюзеляжа
Балочно-стрингерные фюзеляжи стыкуются по принципу контурного стыка с
расположением стыковых фитингов по всему периметру стыкового шпангоута с
обязательной силовой связью обшивки и всех стрингеров стыкуемых частей
фюзеляжа. Балочно-обшивочные фюзеляжи обычно соединяются фланцевым стыком,
обеспечивающим силовую связь обшивок стыкуемых частей по всему контуру. Это по
сути контурный стык с единым стыковым элементом - уголка, полосы и т. п.
Крепление агрегатов самолёта к фюзеляжу:
Узлы крепления агрегатов к фюзеляжу устанавливаются на усиленных
шпангоутах, которые выполняют роль жесткого диска, обеспечивая распределение
сосредоточенных нагрузок по всему периметру оболочки фюзеляжа. Для передачи сосредоточенных
нагрузок продольного направления стыковые узлы агрегатов должны быть связаны с
усиленными продольными элементами фюзеляжа. Для уменьшения массы конструкции
фюзеляжа всегда желательно уменьшать число усиленных шпангоутов, размещая на
одном шпангоуте узлы крепления нескольких агрегатов.
Крепление крыла и стабилизатора (рис. 1.14):
Принципиальной особенностью стыка крыла с фюзеляжем является способ
уравновешивания изгибающих моментов консолей крыла в этом стыке. Наиболее
рациональным считается уравновешивание изгибающих моментов левой и правой
консоли крыла на центроплане, пропущенном через фюзеляж. Для лонжеронных
крыльев с этой целью достаточно пропустить через фюзеляж только лонжероны, на
которых и произойдёт уравновешивание изгиба.
Рисунок 1.14 - Крепление крыла и стабилизатора
Для кессонных и моноблочных крыльев через фюзеляж обязательно должны
пропускаться целиком все силовые панели крыла (рис. 1.15).
В том случае, когда по компоновочным причинам пропуск через фюзеляж
силовых элементов крыла невозможен, замыкание изгибающих моментов слева и
справа должно выполняться на силовых шпангоутах фюзеляжа. Такое решение
применимо лишь для лонжеронных крыльев, у которых число лонжеронов невелико.
Кессонные и моноблочные крылья требуют большого числа силовых шпангоутов для
замыкания силовых панелей, что конструктивно выполнить очень трудно. В этом
случае следует отказаться от указанных силовых схем крыла и перейти на
лонжеронную схему.
Рисунок 1.15 - Силовые панели
Перерезывающая сила крыла с каждой его половины должна передаваться на
фюзеляж. С этой целью стенки лонжеронов и дополнительные продольные стенки
крыла стыкуются с силовыми шпангоутами. На эти же силовые шпангоуты обычно
опираются и бортовые нервюры крыла, которые, собирая с замкнутого контура крыла
крутящий момент, передают его на эти опорные шпангоуты. Часто для передачи
крутящего момента обшивка крыла и фюзеляжа соединяется по контуру стыковочным
уголковым профилем.
Крепление стабилизатора к фюзеляжу принципиально ничем не отличается от
схемы стыковки крыла. Ось вращения управляемого стабилизатора обычно
закрепляется на одном или двух силовых шпангоутах фюзеляжа.
Крепление киля (рис. 1.16):
Крепление киля к фюзеляжу требует обязательной передачи его изгибающего
момента на фюзеляж. С этой целью каждый лонжерон киля соединяется с силовым
шпангоутом стеночной или рамной конструкции.
Рисунок 1.16 - Крепление киля
Если позволяют условия компоновки, то используется «мачтовая» заделка
лонжерона в двух точках, разнесённых по высоте силового шпангоута. Стреловидный
лонжерон киля имеет излом в точке пересечения с силовым шпангоутом, что требует
обязательной постановки в этом сечении бортовой усиленной нервюры или усиленной
балки на фюзеляже. От них можно избавиться, если силовой шпангоут поставить
наклонно к оси фюзеляжа так, чтобы его плоскость являлась продолжением
плоскости стенки лонжерона киля. Но такое решение вызывает значительные технологические
трудности при изготовлении наклонного шпангоута и сборке фюзеляжа.
Крепление шасси и двигателей к фюзеляжу:
Крепление двигателей к фюзеляжу осуществляется как внутри к усиленным
элементам каркаса, так и снаружи на специальных пилонах. Крепление пилонов к
фюзеляжу подобно креплению стабилизатора или крыла.
Вырезы под двери, окна, фонари, люки, ниши шасси, боевой нагрузки
нарушают замкнутость контура оболочки фюзеляжа и резко снижают её крутильную и
изгибную жесткость и прочность. Компенсировать эти потери можно путём создания
по контуру выреза достаточно жесткой рамной окантовки. При малых размерах
выреза такая окантовка создается в виде монолитной конструкции, получаемой
штамповкой из листа или другими способами изготовления.
Рисунок 1.17 - Вырезы в фюзеляже
Большие вырезы окантовываются по торцам силовыми шпангоутами, а в
продольном направлении усиленными лонжеронами или бимсами, которые не должны
заканчиваться на границах выреза, а продолжаться за силовые шпангоуты (плечо
В), обеспечивая жёсткую заделку этих продольных элементов.
Крепление шасси выполняется к усиленным шпангоутам и продольным балкам в
нижней части фюзеляжа. Обшивки киля и фюзеляжа обычно соединяются стыковочным
уголком по контуру киля.
Гермоотсеки (рис. 1.18):
В гермокабинах при полёте на больших высотах поддерживается избыточное
давление до 40-60 кПа. Наиболее рациональной формой гермоотсека, обеспечивающей
его минимальную массу, является сфера или немного уступающая ей по выгодности -
цилиндр со сферическими днищами. Шпангоут в стыке цилиндра со сферическим
сегментом за счёт перелома обшивки испытывает достаточно большие сжимающие
нагрузки и должен быть усилен. Обшивка в таких отсеках при нагружении
избыточным давлением полностью избавлена от изгибных деформаций и работает
только на растяжение.
Однако, по компоновочным соображениям иногда приходится отступать от этих
рациональных форм, что неизбежно приводит к увеличению массы конструкции.
Плоские и близкие к ним панели для обеспечения необходимой изгибной жесткости
при восприятии избыточного давления должны иметь достаточно мощное подкрепление
в виде продольных и поперечных рёбер (балок) или изготавливаться в виде
трёхслойных конструкций.
Рисунок 1.18 - Гермоотсеки
В конструкциях герметичных отсеков должна быть обеспечена надёжная
герметизация по всем заклёпочным и болтовым швам. Герметизация швов
обеспечивается прокладыванием между соединяемыми элементами специальных лент,
пропитанных герметиком, промазыванием швов невысыхающей замазкой, покрытием
швов жидким герметиком с последующей горячей сушкой. В местах стыка листов
обшивки используются многорядные заклёпочные швы с малым шагом заклёпок.
С помощью специальных гермоузлов обеспечивается уплотнение выводов
проводки управления, трубопроводов, электрожгутов и т. п.
Особое внимание уделяется герметизации фонарей, люков, дверей, окон, что
обеспечивается специальными уплотнительными устройствами в виде резиновых лент,
жгутов, прокладок, надувных трубок.
Рисунок 1.19 - Гермоузлы
2.
Исследование оптимальной формы поперечного сечения фюзеляжа пассажирского
самолёта
.1 Возможные
формы поперечного сечения
Внешние формы фюзеляжа:
Наивыгоднейшей формой фюзеляжа является осесимметричное тело вращения с
плавным сужением в носовой и хвостовой частях. Такая форма обеспечивает
минимальную при заданных габаритах площадь поверхности, а значит и минимальную
массу обшивки, и минимальное сопротивление трения фюзеляжа.
Круглое сечение тела вращения выгодно по массе и при действии избыточного
давления в гермокабинах. Однако по компоновочным и иным соображениям от такой
идеальной формы приходится отступать. Так, фонари кабины экипажа,
воздухозаборники, антенны радиолокаторов нарушают плавность обводов и приводят
к увеличению сопротивления и массы фюзеляжа. Такой же эффект даёт и отступление
от плавных форм в хвостовых отсеках фюзеляжа с целью увеличения угла
опрокидывания или для укорочения погрузочного люка и рампы.
Поперечное сечение фюзеляжа обычно определяется условиями компоновки
грузов, двигателей, пассажирских салонов.
Наивыгоднейшей формой фюзеляжа (рис. 2.1) является осесимметричное тело
вращения с плавным сужением в носовой и хвостовой частях. Такая форма обеспечивает
минимальную при заданных габаритах площадь поверхности, а значит и минимальную
массу обшивки, и минимальное сопротивление трения фюзеляжа. Круглое сечение
тела вращения выгодно по массе и при действии избыточного давления в
гермокабинах. Однако по компоновочным и иным соображениям от такой идеальной
формы приходится отступать. Так, фонари кабины экипажа, воздухозаборники,
антенны радиолокаторов нарушают плавность обводов и приводят к увеличению
сопротивления и массы фюзеляжа. Такой же эффект дает и отступление от плавных
форм в хвостовых отсеках фюзеляжа с целью увеличения угла опрокидывания j или
для укорочения погрузочного люка и рампы.
Рисунок 2.1 - Возможные формы поперечного сечения
Поперечное сечение фюзеляжа (рис. 2.2) обычно определяется условиями
компоновки грузов, двигателей, пассажирских салонов. Возможные формы сечений
показаны на рисунке:
Рисунок 2.2 - Поперечное сечение фюзеляжа
Внешние формы фюзеляжа
характеризуются следующими геометрическими параметрами:ф - длина фюзеляжа;ф -
диаметр фюзеляжа;м - площадь миделевого (наибольшего) сечения фюзеляжа,
.2 Нагрузки
действующие на фюзеляж (типовые эпюры нагрузок действующих на фюзеляж)
В полёте и при посадке на фюзеляж действуют следующие нагрузки:
· силы, передающиеся на фюзеляж от присоединённых к нему частей
самолёта - крыла, оперения, шасси, силовой установки и др.,
· массовые инерционные силы агрегатов, грузов, оборудования,
расположенных в фюзеляже, и инерционные силы от собственной массы конструкции
фюзеляжа,
· аэродинамические силы, распределённые по поверхности
фюзеляжа,
· силы избыточного давления в герметических кабинах, отсеках
оборудования, каналах воздухозаборников.
Перечисленные нагрузки с учётом принципа Д’Аламбера полностью уравновешены
на фюзеляже.
С точки зрения строительной механики фюзеляж можно рассматривать как
коробчатую балку, закреплённую на крыле и загруженную перечисленными выше
нагрузками. В любом сечении такой балки действуют вертикальные и горизонтальные
составляющие перерезывающих сил, изгибающих моментов, а также крутящий момент.
В герметичных отсеках к этим нагрузкам добавляются усилия от избыточного
внутреннего давления.
Фюзеляж самолета предназначен для размещения экипажа самолета, полезной
нагрузки, оборудования, топлива, двигателей, вооружения и т. д. В силовом
отношении фюзеляж связывает между собой другие основные части самолета - крыло,
оперение, шасси, силовую установку.
Вес конструкции фюзеляжа составляет около 40% веса всей конструкции
самолета, а его аэродинамическое сопротивление - до 50% полного сопротивления
самолета.
При общем проектировании фюзеляжа решаются следующие вопросы:
выбор основных параметров и размеров фюзеляжа (рис. 2.3);
выбор формы обводов носовой и хвостовой частей, и формы поперечного сечения;
выбор конструктивно-силовой схемы фюзеляжа и увязка ее с другими
агрегатами самолета;
определение веса фюзеляжа.
Рисунок 2.3 - Основных параметров, размеров и обводов фюзеляжа
Выбор основных параметров, размеров и обводов фюзеляжа:
Основными размерами фюзеляжа являются его длина
, диаметр
, площадь миделевого сечения
, длина носовой части
и длина хвостовой части
(рис. 2.3).
Большое влияние на характеристики самолета, особенно на аэродинамические
и весовые, оказывают параметры фюзеляжа:
-удлинение фюзеляжа;
- удлинение носовой части;
- удлинение хвостовой части.
Если поперечное сечение фюзеляжа некруглое, то при расчете
вместо
берется эквивалентный диаметр:
.
Выбор параметров фюзеляжа в отрыве от параметров крыла, оперения и шасси
является приближенным решением задачи.
Удлинение фюзеляжа. Величина удлинения фюзеляжа и его частей (
) выбирается в первую очередь из
аэродинамических соображений. Невыполнение требований аэродинамики может
значительно (на одну-две единицы) уменьшить аэродинамическое качество самолета
на основных режимах полета.
От удлинения фюзеляжа, а также от удлинения его носовой и хвостовой
частей зависит величина критического значения скорости (
). При проектировании необходимо
учитывать зависимость
фюзеляжа от параметров
. Очевидно, что число
полета для дозвуковых самолетов не
должно превышать
фюзеляжа. Данное условие обычно выполняется, так как
критическая скорость крыла, как правило, меньше критической скорости фюзеляжа.
Для сверхзвуковых самолетов большое значение приобретает удлинение
носовой части фюзеляжа, так как на величину волнового сопротивления главное
влияние оказывает форма носовой части тела.
Рисунок 2.4 - Оптимальное удлинение носовой части фюзеляжа сверхзвукового
самолета зависит от числа М полета и размеров самолета
-тяжёлые самолёты. 2-лёгкие самолёты.
Из аэродинамических соображений оптимальное значение удлинения фюзеляжа и
его частей (как для дозвуковых, так и для сверхзвуковых самолетов) определяется
минимумом полного аэродинамического сопротивления.
На дозвуковых скоростях это в основном профильное сопротивление (т. е.
сопротивление трения и сопротивление давления), на сверхзвуковых скоростях это
сумма волнового сопротивления и сопротивления трения (рис. 2.4). Индуктивное
сопротивление от параметров фюзеляжа не зависит.
Однако выбирать значение удлинения фюзеляжа и его частей следует, исходя
не только из соображений аэродинамики, но учитывая и такие важные факторы, как
вес, компоновка и условия эксплуатации самолета.
Удлинения фюзеляжа современных самолетов имеют следующие значения:
а) дозвуковые самолеты
= 1,2…1,5;
= 2,0…2,5;
= 6 …7 - легкие самолеты;
= 7 … 8 - пассажирские и транспортные самолеты для местных
авиалиний;
= 8 … 9 - средние магистральные пассажирские и тяжелые
транспортные самолеты;
б) дозвуковые самолеты (
)
= 1,7…2,0;
= 3,0…3,2;
= 10… 13 - тяжелые пассажирские самолеты большой дальности;
в) сверхзвуковые легкие самолеты (истребители)
= 1,5 …2 - с боковыми воздухозаборниками;
= 4 ….5, - если двигатели вне фюзеляжа
= 7….10
г) сверхзвуковые тяжелые самолеты (военные и пассажирские)
= 5…6;
= 5…7;
= 16…20.
Длина фюзеляжа и площадь миделя. Длина фюзеляжа определяется из условия
обеспечения потребных объемов для размещения экипажа, пассажиров, оборудования,
вооружения, грузов.
Кроме компоновочных соображений, длина фюзеляжа определяется еще и
потребным плечом горизонтального оперения
. Для определения длины фюзеляжа в
первом приближении можно воспользоваться следующими статистическими данными:
Форма крыла в плане
крыла
крыла
Прямое 0 9 - 11 0,65 - 0,75
- 8 0,75 - 0,85
Стреловидное 35 - 55 6 - 9 0,8 - 0,95
- 3,5 0,95 - 1,25
Треугольное 60 - 65 2 - 3 1,5 - 2,0
Из условия обеспечения потребного объема для заданной нагрузки длина
фюзеляжа определяется по формуле:
или
где
- необходимый объем фюзеляжа;
- коэффициент формы фюзеляжа (по
объему), 0,75-0,8 - дозвуковые самолеты; 0,70-0,75 - сверхзвуковые самолеты.
Кроме того, для дозвуковых самолетов в первом приближении длину фюзеляжа
можно определять, воспользовавшись связью параметров фюзеляжа и крыла, которая
выражается следующей приближенной зависимостью:
где
- удлинение фюзеляжа;
- размах крыла;
- удлинение крыла.
Далее длину фюзеляжа уточняют в процессе компоновки самолета, а также из
условия выбора необходимой величины
.
Если выбрана длина фюзеляжа, то длина носовой и хвостовой части
определится из соотношений:
При проектировании самолета (особенно сверхзвукового) следует помнить,
что площадь миделевого сечения фюзеляжа должна быть минимальной (при выполнении
важнейших требований, предъявляемых к компоновке самолета). Минимальная
величина площади миделевого сечения отвечает требованиям аэродинамики - уменьшаются
силы аэродинамического сопротивления фюзеляжа
и повышается аэродинамическое
качество самолета. Аэродинамическое качество самолета зависит от относительной
площади миделевого сечения фюзеляжа
(
площадь крыла). При увеличении
качество существенно снижается. Это
является одной из причин того, что для сверхзвуковых пассажирских самолетов
приходится принимать
= 16-20. Чтобы получить заданный объем фюзеляжа, приходится
увеличивать его длину, так как увеличивать диаметр нежелательно (чтобы не
увеличивать
).
Оптимальный диаметр фюзеляжа следует выбирать, исходя из разумного
компромисса между аэродинамическими и весовыми характеристиками фюзеляжа и
самолета в целом.
В практике самолетостроения для различных классов самолётов имеем
следующие размеры миделевого сечения фюзеляжей:
а) легкие самолеты без герметической кабины:
= 1,0-1,2 м2 - одноместный самолет;
=1,5-1,7 м2 - летчик и пассажир
рядом;
б) многоцелевые истребители с ТРД в фюзеляже
=1,3-2,5 м2 - самолет с одним ТРД;
= 3,0-5,0 м2 - самолет с двумя ТРД;
в) средние бомбардировщики:
= 3-4 м2;
= 2,0-2,3 м;
г) тяжелые бомбардировщики:
= 6-12 м2;
= 2,8-3,9 м;
д) военно-транспортные самолеты
= 6,5-7,5 м2;
=2,9-3,1 м - легкие самолеты;
=10-15 м2;
= 3,6-4,4 м - средние самолеты: - ширина грузовой кабины
3,4-3,5 м; высота грузовой кабины 3,2-3,4 м;
=28-50м2;
= 6-7 м - тяжелые самолеты:
ширина грузовой кабины 4,5-5,9
высота грузовой кабины 3,7-4,5 м.
Форма и обводы фюзеляжа. Форма носовой и хвостовой части, форма
поперечных сечений фюзеляжа, а также общий вид фюзеляжа выбираются в период
эскизного проектирования самолета.
Форма фюзеляжа современных самолетов по тем или иным причинам часто
отличается от формы, диктуемой аэродинамическими соображениями (цилиндр с
обтекаемой симметричной носовой и хвостовой частью).
Форма носовой и хвостовой части фюзеляжа подвержена сильному влиянию
условий компоновки и эксплуатации самолета. Так как в носовой части фюзеляжа
всегда размещается кабина пилотов, а по требованиям компоновки необходимо
обеспечить хороший обзор из кабины, то носовую часть фюзеляжа приходится выполнять
несимметричной (вид сбоку) (рис. 2.5). Если на дозвуковых скоростях такая форма
существенно не влияет на аэродинамические характеристики самолета, то при
М>1 несимметричный нос фюзеляжа (а точнее, фонарь кабины пилотов) создает
заметное увеличение лобового сопротивления.
На тяжелых самолетах для уменьшения сопротивления на сверхзвуковых
скоростях и улучшения обзора при взлете и посадке часто применяется отклоняемая
носовая часть фюзеляжа.
На легких сверхзвуковых самолетах применяют неубирающийся фонарь кабины.
По требованиям компоновки для такого типа самолетов (многоцелевые истребители)
хороший обзор для летчика необходимо» обеспечить не только на взлете и посадке,
но и в течение всего полета. Чтобы снизить сопротивление, фонарь кабины
выполняют с удлинением не менее 5-6 (отношение длины фонаря к ширине или
высоте). Угол: наклона лобового стекла
должен быть не менее 60-65°.
Угол
у фонарей дозвуковых самолетов (М = 0,7-0,9) делают не менее
50-55° для улучшения аэродинамики самолета.
Рисунок 2.5 - 1-военно-транспортный самолёт; 2-пассажирский самолёт.
На обводы носовой части фюзеляжа легких самолетов существенное влияние
оказывает компоновка воздухозаборников. Даже если на самолете установлены
боковые воздухозаборники, их форма будет определять форму носовой части
фюзеляжа. Например, если воздухозаборник имеет плоскую форму, то и фюзеляж
вблизи воздухозаборника должен быть плоским (чтобы обеспечить равномерный поток
на входе в воздухозаборник).
Носовая часть фюзеляжа тяжелых военно-транспортных самолетов для удобства
процесса погрузки - выгрузки иногда выполняется откидывающейся. Это тоже влияет
на обводы носовой части фюзеляжа.
Не меньшее внимание надо уделять и обводам хвостовой части фюзеляжа.
Решающая роль здесь принадлежит требованиям эксплуатации, особенно у дозвуковых
военно-транспортных и пассажирских самолетов. Хвостовая часть фюзеляжа
пассажирских самолетов несколько приподнята для обеспечения нужных углов атаки
при взлете и посадке. У военно-транспортных самолетов (ВТС) хвостовая часть еще
более поднята вверх и часто имеет плоскую нижнюю часть для обеспечения погрузки
- выгрузки и воздушного десантирования через задний люк. Такая форма хвостовой
части фюзеляжа ВТС неблагоприятно сказывается на аэродинамических
характеристиках фюзеляжа. Для уменьшения
в районе заднего люка ВТС иногда
применяются специальные ребра (рис. 2.5), с помощью которых удается на 10-15%
уменьшить сопротивление фюзеляжа и примерно на единицу увеличить
аэродинамическое качество в крейсерском полете.
По форме поперечное сечение фюзеляжа должно приближаться к кругу. Круг
является лучшей формой поперечного сечения герметизированной части фюзеляжа,
обеспечивающей наименьший вес конструкции. Вследствие этого многие современные
гражданские и военные самолеты имеют круглое (либо близкое к кругу) сечение
фюзеляжа.
Однако форма сечения фюзеляжа часто диктуется компоновочными
соображениями.
Например, желание получить аэродинамически выгодную конфигурацию крыла с
фюзеляжем и т.д. Еще сильнее сказываются соображения компоновки на форме
поперечного сечения фюзеляжа транспортных и легких самолетов.
Фюзеляж легких самолетов в основном является не герметичным
(герметизируется только кабина пилота). Так как при равной площади форма
сечения не оказывает заметного влияния на аэродинамическое сопротивление
фюзеляжа (при условии, конечно, что данная форма сечения не увеличивает
сопротивление интерференции с крылом), то форма негерметизированной части
фюзеляжа может выбираться главным образом из компоновочных и эксплуатационных
соображений.
Так, например, истребитель с одним двигателем в фюзеляже имеет, как
правило, круглую форму сечения, а с двумя - овальную. Боковые плоские
воздухозаборники создают вместе с фюзеляжем сечение, близкое к прямоугольной
форме и т. д. Если форма поперечного сечения фюзеляжа не оказывает заметного
влияния на
самолета, то распределение площадей поперечных сечений
фюзеляжа по его длине оказывает весьма сильное влияние на величину
, особенно в зоне трансзвуковых
скоростей полета.
Расчет фюзеляжа на прочность:
Расчет фюзеляжа на прочность заключается в определении нормальных и
касательных напряжений в элементах его конструкции. Рассмотрим приближенные
методы определения этих напряжений.
У фюзеляжа стрингерного типа изгибающий момент воспринимается стрингерами
и обшивкой. При приближенном расчете сечение фюзеляжа условно заменяется
двухпоясной балкой (рис. 2.7). В этом случае силы, действующие на обшивку и
стрингеры, приводятся к двум равнодействующим силам Р, величина которых может
быть найдена по формуле:
.
Величина Нср обычно принимается равной
.
Рисунок 2.7 - Схематизация фюзеляжа: 1 - верхний свод, 2 - нижний свод
Для расчета нормальных напряжений берется площадь сечения элементов,
находящихся в зоне наибольшего растяжения и сжатия, т. е. в верхнем и нижнем
сводах.
Эта площадь определяется по формуле:
.
Здесь n и f - число стрингеров в своде и площадь сечения одного стрингера
соответственно;обш и j - площадь обшивки в своде и редукционный коэффициент
соответственно. В растянутой зоне j = 1, в сжатой j £
1.
Таким образом, нормальные напряжения в своде находятся по формуле
.
Очевидно, что для бесстрингерного фюзеляжа
.
Касательные напряжения t в обшивке фюзеляжа возникают от действия Q и Мкр
(рис. 2.8).

Сила Q воспринимается боковыми стенками фюзеляжа с высотой Нср=2/3Н.
Считаем условно, что верхний и нижний своды касательные напряжения не
воспринимают.
Следовательно,
,
где dобш - толщина обшивки фюзеляжа.
Касательные напряжения кручения фюзеляжа могут быть найдены по формуле:
Здесь F - площадь сечения, ограниченная контуром фюзеляжа.
На практике фюзеляж рассчитывают также на общую устойчивость,
температурные напряжения от нагрева.
При расчете герметических отсеков для проверки прочности каркаса кабины в
первую очередь определяются напряжения от разности давлений. При проверке
прочности на первый вариант нагрузок эти напряжения рассматриваются сами по
себе, при расчете на второй вариант нагрузок - в сумме с наряжениями от нагрузок,
действующих на фюзеляж в полетных случаях нагружения (рис. 2.9). При
определении напряжений от разности давлений обшивка отсека рассматривается как
безмоментная оболочка - тонкостенный сосуд со стенками, нежесткими на изгиб.
Рисунок 2.9 - К расчету герметичных отсеков: а - напряжения от
избыточного давления в безмоментной оболочке; б - схема соединения герметичной
кабины с другими частями фюзеляжа; в - схема передачи погонных нагрузок (q) от
днища на подкрепленную обшивку (q2) и шпангоут (q1); 1 - обшивка; 2 - днище; 3
- шпангоут.
Для безмоментной оболочки, имеющей форму тела вращения (рис. 9, а),
нормальные напряжения имеют зависимость
,
где r2, r1 - соответственно
радиусы кривизны в меридиональном и кольцевом сечениях;, s1 - соответствующие
нормальные напряжения;р - расчетное избыточное давление, определяемое по нормам
прочности;- толщина обшивки.
В частном случае для
сферического участка кабины (например, сферического днища) r1=r2=r и s1=s2=s,
поэтому
.
Для участка конструкции,
представляющего собой круговой цилиндр, r2=¥, поэтому
(окружное).
Из условия равновесия
отсеченной части кабины
(продольное).
2.3 Расчёт НДС
Излагается методика выбора
оптимальной формы поперечного сечения отсека фюзеляжа, выполненного из
композиционного материала, обеспечивающая минимум массы оболочки. Определяется
полезный объем отсека в зависимости от коммерческой нагрузки, рассматриваются
варианты поперечных сечений и, в зависимости от их восприятия внешних нагрузок,
анализируется НДС конструкции из композиционных материалов, для нахождения
максимальной зоны нагружения. Определяется необходимая толщина оболочки,
используя условия равно прочности.
Весовая эффективность
конструкции фюзеляжа находится в значительной зависимости от степени
использования объемов, что влияет и на размеры фюзеляжа, следовательно, и на
вес пассажирского самолета.
Фюзеляж круглой формы не
может удовлетворить требований увеличения грузовой и пассажирской вместимости
современных самолетов, так как неэффективно используется площадь с боков и
снизу, что ведет к увеличению миделя и поверхности фюзеляжа.
Поэтому в данной работе
рассматриваются конструкции фюзеляжа других форм поперечного сечения
одинакового уровня комфорта (полезного объема), которые могут оказаться легче
за счет большей плотности компоновки и меньших размеров.
При отличии сечения от формы
правильного круга толщина оболочки фюзеляжа будет увеличиваться, так как панели
этих форм подвергаются изгибу от избыточного давления.
Задача заключается в нахождении
оптимальных параметров структуры оболочки при различной форме поперечного
сечения. Основными условиями выбора формы фюзеляжа являются: объемная
эффективность, нахождение потребного сечения с наименьшим периметром, влияние
внутреннего давления в гермокабине и т.д.
Полезный объем конструкции
отсека фюзеляжа:
При определении оптимальных
конструкций принято, что оптимизация проводится при наложении ряда ограничений,
при этом в качестве критерия учитывается минимум массы конструкции.
Размеры фюзеляжа пассажирского
самолета определяются заданным числом пассажиров при стандартном размещении
кресел и потребным объемом грузовых помещений. Условия, связанные с первым
требованием, включают: ширину кресел и шаг их установки, ширину и высоту
проходов, при заданной степени комфорта.
На размер самолета, его
весовое и экономическое совершенство оказывает влияние не только плотность
компоновки, но и объемная эффективность, представляющая собой отношение
полезного объема к площади омываемой поверхности.
Чтобы найти минимальный
требуемый объем фюзеляжа с 𝑑ф ≤ 5м, нужно определить коммерческую нагрузку 𝑚ком по предлагаемой формуле:
𝑚ком = 𝑛пас𝛾 𝑚баг + 𝑚пас ,
где 𝑛пас −число пассажиров;
𝑚баг − масса багажа пассажира;
𝑚пас − средняя масса пассажира;
𝛾 −плотность
багажних помещений.
Требуемый объем фюзеляжа:
где 𝑎𝑓 −коэффициент
формы сечения (рис. 2.10);
𝜗н − коэффициент плотности груза;
𝑛кре −число кресел в сечении.
Рисунок 2.10 - Коэффициент формы сечения
При максимальной коммерческой нагрузке 𝛾 = 1, 𝜗н = 225, 𝑚баг = 25, 𝑛кре = 4, и 𝑚пас = 85, тогда:
𝑉ф = 2,08𝑛пас𝑎𝑓
Коэффициенты использования объема и плотности компоновки определяются
уравнениями:
где 𝑉пс − объем пассажирского салона; 𝑉баг − объем багажных помещений;
𝑉вп − объем вспомогательных
помещений.
Внешние формы фюзеляжа определяются назначением самолета, его схемой,
скоростью полета, количеством пассажиров, габаритами перевозимых грузов и т. д.
Рисунок 2.11 - Минимальный полезный объем
В аэродинамическом отношении лучшим является фюзеляж, имеющий наименьшую
поверхность. В этом случае круглое сечение может оказаться не оптимальным
вариантом с точки зрения аэродинамики, так как овальное сечение одинакового
полезного объема обеспечит минимальную при заданных габаритах площадь
поверхности (рис. 2.11).
По компоновочным и эксплуатационным требованиям также могут оказаться
более целесообразными другие формы сечения, чем круглое. Региональные и средние
самолеты имеют большую целевую нагрузку и овальное поперечное сечение, у
которого высота больше, чем ширина. При этом нижняя часть сечения используется
для размещения багажных отсеков для контейнеров, а верхняя часть - для ручного
багажа над креслами.
Административные и легкие самолеты имеют меньшую целевую нагрузку и также
овальное сечение, но ширина его больше, чем высота, поэтому багажные отсеки
находятся только над креслами без специального багажного отсека. Но овальный
фюзеляж неудобен в производстве и его панели подвергаются изгибу при наличии
избыточного давления в герметическом отсеке, поэтому может оказаться
оптимальным сечение, образованное двумя пересекающимися окружностями.
Анализ напряженно-деформированного состояния:
Считаем оболочку безмоментной. Для решения задачи по определению
напряженного состояния в оболочке с учетом депланации сечения представим
продольные погонные усилия оболочки Nα в виде ряда произведений функций Xi (α) и ji (β):
где
. h - балочные
составляющие упругих усилий;
h -
суммарная толщина обшивки оболочки, выделенная в виде множителя для получения
геометрических параметров сечения;
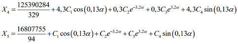
Функции депланации j4 и j5 , учитывающие кручение и изгиб, имеют вид:
X4 и X5 - искомые функции депланации
сечения при кручении и изгибе; X1, X2 и X3 - определяются из решения задачи по балочной теории и соответствуют
усилиям от нормальной силы Px и
действий двух изгибающих моментов My и Mz.
Проведем ортогонализацию функций j4 и j5 между собой и с выражением Nz для того, чтобы эти функции были
самоуравновешенными в сечении оболочки и только влияли на перераспределение
усилий с учетом стеснения депланации контура в районе заделки. Новые функции
можно записать в виде:
Рисунок 2.12 - Координаты круглого и овальных поперечных сечений отсека фюзеляжа
Неизвестные функции X4 и X5 находим с использованием вариационного
принципа наименьшей работы. В этом случае потенциальная энергия запишется в
форме:
Где Cij - средние характеристики многослойного пакета;
При расчете сечений фюзеляжа, расположенных в пределах герметических
отсеков, должно быть учтено нагружение оболочки и шпангоутов этих отсеков
внутренним давлением. Учет работы шпангоута от внутреннего давления можно представить
как добавку к работе обшивки в виде:
Произведя необходимые выкладки и принимая, что деформации εβ
одинаковые в оболочке и
шпангоуте, потенциальная энергия запишется в виде:
После подстановки в выражение потенциальной энергии усилий в виде (6) и
(7), интегрированием по контуру получаем энергетический функционал и после
минимизации функционала получим систему разрешающих уравнений совместности
деформаций для определения неизвестных X4 и X5:
Решение системы определяет все неизвестные функции. Константы, входящие в
функции Xr, можно найти, используя систему естественных граничных условий.
Результаты расчетов получаются в виде эпюр распределения усилия Na по контуру и по длине оболочки. В
зависимости от конкретного материала находим напряжения, следовательно, и
деформации, достаточные чтобы прогнозировать работу гладкой оболочки под
заданными нагрузками.
Определение структуры гладкой оболочки отсека фюзеляжа:
Для конструкции сечения отсека фюзеляжа с обшивкой, подкрепленной
продольным и поперечным силовым набором, вначале определяется приведенная
толщина и структура композитного пакета гладкой оболочки. На первом этапе
проектирования целевой функцией будет масса сечения:
где r - плотность
материала,
- приведенная толщина r-ой панели, hi - толщина по направлению угла укладки ji , lr - длина r - ой панели по периметру.
Из приведенной формулы видно, что масса зависит только от толщины
материала панели. В этом случае, гладкая оболочка должна удовлетворить
ограничениям по прочности и жесткости.
При проектировании ограничение по прочности лучше и проще всего
записывать через прочность вдоль волокна без учета связующего. В этом случае
ограничение по прочности вдоль волокон запишется:
где σ1 −напряжение в слое; σв1 −предел прочности материала
вдоль направления волокон.
После определения толщин в первом приближении необходимо проверить на
прочность с учетом работы связующего. Все имеющиеся условия прочности с учетом
работы связующего существенно завышают параметры толщины, при этом необходимо
увеличить толщину всех слоев пропорционально одному и тому же коэффициенту.
Как показала практика, в отличие от металлических конструкций, для
композитных конструкций найденные толщины чаще всего удовлетворяют требуемым
изгибным и крутильным жесткостям.
Для определения толщины по слоям мы находим максимально нагруженные точки
в каждой панели:
.
Проектирование ведется без учета связующего и для четырехслойного
ортотропного пакета слоев с укладкой волокон под
толщина находится из соотношений,
которые удовлетворяют уравнениям совместности деформаций:
где k - номер приближения; h - суммарная толщина обшивки, Ea, Eb - модули упругости, Gab - модуль сдвига, , mab и mba - коэффициенты Пуассона для структуры, определенной на k -ом шаге
приближения расчета.
Для ортотропной структуры для слоев с углами укладки
необходимо, чтобы h2=h3, но так как
h2 и h3 получаются неодинаковыми, принимается что h2=h3=hmax (из этих двух величин выбираем
максимальное значение). Толщина h4 назначается в пределах (0,15-0,25) h для
обеспечения жесткости контура отсека фюзеляжа.
Процесс расчета продолжается до тех пор, пока два последних приближения
вычисления толщин не будут отличаться друг от друга на заданную величину. После
этого толщины округляются с учетом толщины технологического элементарного слоя,
значит, находим не толщину, а количество слоев. Затем находим в каждом слое
напряжения σ1i, σ2i и τ12i, и сравниваем их с предельными
значениями. Если во всех слоях выполняются условия: σ1i£σв1, σ2i£σв2 и t12i£
12i то на этом считаем, что ограничения выполнены.
В качестве примера определения оптимальной формы поперечного сечения,
задаемся полезный объем (уровень комфорта), и на основе этого объема предлагаем
различные формы поперечного сечения.
Затем определяем НДС и максимальную нагруженную точку для каждого
сечения, и после этого определим структуру каждой гладкой оболочки, с учетом
силовых наборов, но без их конкретного распределения, поскольку проектирование
силовых элементов проводится с учетом конкретной компоновочной схемы отсека
фюзеляжа и конструктивно- технологических ограничений.
Сравнительный анализ проводится по весу, определяем найвыгодную форму.
Пример расчетов:
Региональный самолет на 300 пассажиров, 4 кресла в ряду, Известны Qy, Mz,
My и Mкр; самолет летает на больших высотах и нужно учитывать внутреннего
давления. Рассматриваются 6 форм:
) круглое сечение;
) овальное высокое сечение;
) овальное широкое сечение;
) сечение из двух окружностей;
) сечение минимального требуемого объема;
) прямоугольное сечение.
Рисунок 2.13 - Преимущество овального сечения
Определяем минимальный требуемый объем фюзеляжа для самолета с данными
параметрами и задаваемого уровнякомфорта с помощью (3) для каждой формы
сечения, на рис.19 и представлены сечения 1, 2, 3 и 4. Для анализа НДС, берем
отсек регулярного поперечного сечения, например, длиной отсека: 5000мм.
Представим каждое сечение в зависимости от координат по контуру оболочки рис.3,
например, для круглого сечения: R = 1500 мм, j4 =
sinθcosθ и j5
= 2 sin θcosθ , и с формулами (6) и (7) имеем:
После ортогонализации (8) и минимизации энергии (11) получаем систему
дифференциальных уравнений, решение этой системы позволит найти X4 и X5 в
зависимости от 4-х констант:
Эти значения вводим в усилие Na и составим систему естественных граничных условий (13) чтобы
найти константы C1, C2, C3 и C4. Таким образом, находим X4 и X5 в зависимости
от a (координата подлине ) и от q (координата по контуру) При a = l , усилие Na
примет вид:
После построения эпюры находим опасную точку (максимальное усилие Na):
Рисунок 2.14 - Анализ НДС круглого сечения с проверкой с МКЭ
Известны прочностные характеристики монослоя гладкой оболочки: E1=150 ГПа, E2 = 8500 МПа, G12 = 4500 МПа, m12 = 0,28, sв1 =1800
МПа , t12 = 8 МПа и углы укладки 0o , ± 45o и 90o . С помощью (14) находим толщины
нулевого приближения, потом после 3-ей итераций (15) находим все толщины в
наиболее нагруженной точке панели:
1. Круглое сечение
Так как предел поперечной деформации волокон связующего 2,5 - 3 раза
меньше чем предел деформации вдоль волокон эти толщины могут увеличиваться в
2,5-3 раза, из них мы распределим нужный однонаправленный материал на
продольный набор (стрингеры) и на поперечный набор (шпангоуты), остаток сложим
в ткани для обшивки. Затем находим в каждом слое напряжения σ1i,
σ2i и τl2i, и сравниваем их с предельными
значениями, чтобы удовлетворять условиям.
Таким же образом находим оценочные толщины для всех сечений в мм, без
учета технологических ограничений
2.4 Сравнение
форм по весу
Таблица 1.1 - Сравнительный весовой анализ различных форм сечений
Заключение
Фюзеляж самолета предназначен для размещения экипажа, оборудования и
целевой нагрузки. В фюзеляже может размещаться топливо, шасси, двигатели.
Являясь строительной основой конструкции самолета, он объединяет в
силовом отношении в единое целое все его части.
Основным требованием к фюзеляжу является выполнение им своего
функционального назначения в соответствии с назначением самолета и условиями
его использования при наименьшей массе конструкции фюзеляжа.
Излагается методика выбора оптимальной формы поперечного сечения отсека
фюзеляжа, выполненного из композиционного материала, обеспечивающая минимум
массы оболочки. Определяется полезный объем отсека в зависимости от
коммерческой нагрузки, рассматриваются варианты поперечных сечений и, в
зависимости от их восприятия внешних нагрузок, анализируется НДС конструкции из
композиционных материалов, для нахождения максимальной зоны нагружения.
Определяется необходимая толщина оболочки, используя условия равно прочности.
Весовая эффективность конструкции фюзеляжа находится в значительной
зависимости от степени использования объемов, что влияет и на размеры фюзеляжа,
следовательно, и на вес пассажирского самолета.
Фюзеляж круглой формы не может удовлетворить требований увеличения
грузовой и пассажирской вместимости современных самолетов, так как неэффективно
используется площадь с боков и снизу, что ведет к увеличению миделя и
поверхности фюзеляжа.
Поэтому в данной работе рассматриваются конструкции фюзеляжа других форм
поперечного сечения одинакового уровня комфорта (полезного объема), которые
могут оказаться легче за счет большей плотности компоновки и меньших размеров.
При отличии сечения от формы правильного круга толщина оболочки фюзеляжа
будет увеличиваться, так как панели этих форм подвергаются изгибу от
избыточного давления.
Задача заключается в нахождении оптимальных параметров структуры оболочки
при различной форме поперечного сечения. Основными условиями выбора формы
фюзеляжа являются: объемная эффективность, нахождение потребного сечения с
наименьшим периметром, влияние внутреннего давления в гермокабине и т.д.
Полезный объем конструкции отсека фюзеляжа:
При определении оптимальных конструкций принято, что оптимизация
проводится при наложении ряда ограничений, при этом в качестве критерия
учитывается минимум массы конструкции.
Размеры фюзеляжа пассажирского самолета определяются заданным числом
пассажиров при стандартном размещении кресел и потребным объемом грузовых
помещений. Условия, связанные с первым требованием, включают: ширину кресел и
шаг их установки, ширину и высоту проходов, при заданной степени комфорта.
На размер самолета, его весовое и экономическое совершенство оказывает
влияние не только плотность компоновки, но и объемная эффективность,
представляющая собой отношение полезного объема к площади омываемой
поверхности.
Из проведенного анализа видно, что вес каждой гладкой оболочки различных
форм поперечного сечения с учетом силовых наборов, но без их конкретного
распределения материала, зависит от толщины оболочки и от длины контура
поперечного сечения. Из полученных результатов можно сделать вывод о том, что
при одинаковом уровне комфорта овальное сечение выгоднее, даже при некотором
увеличении толщины оболочки, за счет большей плотности компоновки и меньшей
площади поверхности оболочки, что дает выигрыш в массе.
Список
использованной литературы
1. Авдонин A.C., Фигуровский В.И. Расчет на прочность
летательных аппаратов. -М.: Машиностроение, 1985.
. Авиационные правила Часть 25. Нормы летной годности:
самолетов транспортной категории: Межгосударственный авиационный комитет.
Летно-исследовательский институт им. М.М. Громова. 2014.-322с.
. Аралов Г.Д., Рябов В.А. Магистральные пассажирские
самолеты. -М.: МАИ-ГосНИИГА, 1989.-42
. Арепьев: А.Н. Выбор проектных параметров и оценка летных
характеристик пассажирских самолетов с турбовинтовыми двигателям: Учебное
пособие.-М.: Изд-во МАИ, 2005 !-96с: ил.
. Арепьев А.Н. Концептуальное проектирование магистральных
пассажирских самолетов. Учеб. Пособие.- М.: Изд-во МАИ 1996.
. Арепьев А.Н. Проектирование легких пассажирских самолетов.
Учебник для вузов. Изд.во МАИ 2006.
. Арефьев В. Н. Весовой расчет фюзеляжа пассажирских
самолетов. - «Труды ГосНИИ ГА», вып. 97. М„ 1974, с. 79-91
. Астахов М.Ф., Караваев A.B., Макаров СЛ., Суздальцев Я.Я.
Справочная книга по расчету самолета на прочность. Оборонгиз, 1954.
. Бадягин A.A., Мухамедов Ф.А. Проектирование легких
самолетов. М.: Машиностроение, 1978.208 с.
. Шейнин В. М., Козловский В. И. Проблемы проектирования
пассажирских самолетов. М.: Изд-во Машиностроение 1972.
. Дудченко А.А., Оптимальное проектирование элементов
авиационных конструкций из композиционных материалов: Учебное пособие. -М.:
Изд-во МАИ, 2002. -84с: ил.