Предмет теоретических основ электротехники

  • Вид работы:
    Контрольная работа
  • Предмет:
    Другое
  • Язык:
    Русский
    ,
    Формат файла:
    MS Word
    492,49 Кб
  • Опубликовано:
    2017-06-16
Вы можете узнать стоимость помощи в написании студенческой работы.
Помощь в написании работы, которую точно примут!

Предмет теоретических основ электротехники

МИНИСТЕРСТВО ОБРАЗОВАНИЯ И НАУКИ РФ

ФЕДЕРАЛЬНОЕ ГОСУДАРСТВЕННОЕ БЮДЖЕТНОЕ

ОБРАЗОВАТЕЛЬНОЕ УЧРЕЖДЕНИЕ ВЫСШЕГО

ПРОФЕССИОНАЛЬНОГО ОБРАЗОВАНИЯ

"ДОНСКОЙ ГОСУДАРСТВЕННЫЙ ТЕХНИЧЕСКИЙ УНИВЕРСИТЕТ"

Факультет "АВТОМАТИЗАЦИЯ, МЕХАТРОНИКА И УПРАВЛЕНИЕ"

Кафедра " ЭЛЕКТРОТЕХНИКА И ЭЛЕКТРОНИКА"




Контрольная работа по дисциплине: "Теоретические основы электротехники"

Задача 1

 

"Расчет линейных электрических цепей с несинусоидальным источником ЭДС"

1.      По данным табл. разложить в тригонометрический ряд Фурье заданную кривую несинусоидального напряжения источника ЭДС до трех гармонических составляющих.

.        По полученным гармоническим составляющим построить кривую входного несинусоидального напряжения и сравнить её с заданной.

.        По данным табл. рассчитать мгновенные и действующие значения токов в ветвях заданной электрической цепи.

.        Определить мощности P, Q, SиT, проверить баланс мощностей.

.        По полученным в расчёте гармоническим составляющим построить кривую входного тока.

.        Результаты расчетов занести в таблицу ответов в конце задания.

Общий вид несинусоидального напряжения источника ЭДС

A, В

B, В

C, В

D, В

500

-700

550

0


0

0

10

10

10

0

0










10

-90

10

-10

0

5

-20


Решение

Разложим в ряд Фурье заданную периодическую несинусоидальную ЭДС e = f(ωt). Опишем непериодический сигнал.

,

Периодический сигнал записывается как: , где  - любое целое число, - период сигнала.

Заданное несинусоидальное напряжение источника ЭДС

Периодический сигнал может быть представлен в виде ряда Фурье:

 = ,

;

; ;

,

Используя пакет Excelопределим значения первых трех гармонических составляющих заданного напряжения:

E(0)

e(t)(1)

e(t)(2)

e(t)(3)

e(t)рез.

e(t)исх.

0

56,3

127,7

-51,8

-62,27

69,801

0,0

30

56,3

2,5

288,3

-25,15

321,9

333,3

60

56,3

-123,4

340,1

62,27

335,3

300,0

90

56,3

-216,2

51,8

25,15

-82,93

-100,0

120

56,3

-251,03

-288,3

-62,27

-545,4

-500,0

150

56,3

-218,6

-340,1

-25,15

-527,7

-491,7

180

56,3

-127,7

-51,8

62,27

-61,0

-75,0

210

56,3

-2,5

288,3

25,15

367,2

341,7

240

56,3

123,4

340,1

-62,27

457,5

458,3

270

56,3

216,2

51,8

-25,15

299,1

275,0

300

56,3

251,03

-288,3

62,27

81,2

91,7

330

56,3

218,6

-340,1

25,15

-40,1

0,0

360

56,3

127,7

-51,8

-62,27

69,791

0,0


Запишем уравнение мгновенного значения для входного несинусоидального напряжения: ток электрический магнитный

 = ,

Построим кривую  по полученным гармоническим составляющим и убедимся в том, что она близка к :

Заданное напряжение и кривая, получена по гармоническим составляющим

По данным табл. составим схему электрической цепи:

Действующее значение заданного несинусоидального напряжения:

 = = 322,63 В.

 

Рассчитаем токи постоянной составляющей.

При постоянном токе катушка индуктивности эквивалентна короткому замыканию, а конденсатор - разрыву,

,

Мощности источника и приемника, соответственно, равны нулю.

Для первой гармоники.

Комплексные сопротивления ветвей:

Ом;

Ом;

Ом;

Ом;

Ом;

Ом;

Ом;

Комплексные сопротивления цепи:

 Ом;

 Ом;

Ом;

 Ом;

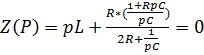
Комплексное сопротивление разветвленного участка цепи:

 Ом;

Входное сопротивление цепи:

Ом;

По закону Ома комплекс входного тока равен:

А;

Комплекс падения напряжения на разветвленном участке цепи:

В;

Токи в разветвленном участке цепи:

А;

А;

Комплекс падения напряжения на разветвленном участке цепи:

По II-му закону Кирхгофа:

 А;

Токи в разветвленном участке цепи:

А;

А;

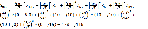
Проверим выполнение баланса активных и реактивных мощностей:

Комплекс полной мощности, отдаваемой цепи источником энергии :

ВА.

На его основе активная и реактивная мощности, отдаваемые цепи, равны:

Вт.

вар.

Полная мощность, потребляемая цепью:

,

Соответственно активная и реактивная мощности:

 Вт.

 115вар.

Расхождение в балансе активных мощностей:

,

Расхождение в балансе реактивных мощностей:

,

Таким образом, условие баланса активных и реактивных мощностей выполнено.

Для второй гармоники.

Комплексные сопротивления ветвей:

Ом;

Ом;

Ом;

Ом;

Ом;

Ом;

Ом;

Комплексные сопротивления цепи:

 Ом;

 Ом;

Ом;

 Ом;

Комплексное сопротивление разветвленного участка цепи:

 Ом;

Входное сопротивление цепи:

Ом;

По закону Ома комплекс входного тока равен:

А;

Комплекс падения напряжения на разветвленном участке цепи:

В;

Токи в разветвленном участке цепи:

А;

А;

Комплекс падения напряжения на разветвленном участке цепи:

По II-му закону Кирхгофа:

 А;

Токи в разветвленном участке цепи:

А;

А;

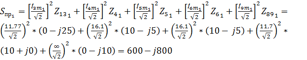
Проверим выполнение баланса активных и реактивных мощностей:

Комплекс полной мощности, отдаваемой цепи источником энергии :

ВА.

На его основе активная и реактивная мощности, отдаваемые цепи, равны:

Вт.

вар.

Полная мощность, потребляемая цепью:

,

Соответственно активная и реактивная мощности:

 Вт.

 813вар.

Расхождение в балансе активных мощностей:

,

Расхождение в балансе реактивных мощностей:

,

Таким образом, условие баланса активных и реактивных мощностей выполнено.

Для третьей гармоники.

 

Ом;

Ом;

 Ом;

Ом;

 Ом;

 Ом;

Ом;

 Ом;

Ом;

Ом;

 Ом;

Комплексное сопротивление разветвленного участка цепи:

 Ом;

Входное сопротивление цепи:

 Ом;

По закону Ома комплекс входного тока равен:

 А;

Комплекс падения напряжения на разветвленном участке цепи:

 В;

Токи в разветвленном участке цепи:

 А;

 А;

Комплекс падения напряжения на разветвленном участке цепи:

По II-му закону Кирхгофа:

А;

Токи в разветвленном участке цепи:

 А;

 А;

Проверим выполнение баланса активных и реактивных мощностей:

Комплекс полной мощности, отдаваемой цепи источником энергии :

 ВА.

На его основе активная и реактивная мощности, отдаваемые цепи, равны:

 Вт.

вар.

Полная мощность, потребляемая цепью:

,

Соответственно активная и реактивная мощности:

 Вт.

вар..

Расхождение в балансе активных мощностей:

,

Расхождение в балансе реактивных мощностей:

,

Таким образом, условие баланса активных и реактивных мощностей выполнено.

Мгновенные токи в ветвях для заданной цепи:

;

;

;

;

;

Вычислим действующие значения токов:

6 A;

8,1 A;

 8,1 A;

 6,4 A;

 2,4 A;

Активная мощность цепи:

,

,

Расхождение в балансе активных мощностей:

Вт.

Реактивная мощность цепи:

,

,

вар.

Определяем полную мощность источника ЭДС

,

Определяем мощность искажения

,

Сведем все результаты в таблицу:

=

=

;

=

;

=

=

;

=

Мощности

P, Вт

Q, вар

S, ВА

Т, ВА


.

.

.

.


Задача 2

«Расчет переходных процессов в линейных электрических цепях»

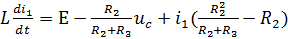
1.     Рассчитать все переходные токи цепи и переходные напряжения на конденсаторе и на катушке индуктивности классическим методом.

2.      Составить систему дифференциальных уравнений для метода переменных состояния и рассчитать ток в катушке индуктивности и напряжение на конденсаторе при помощи специализированной программы.

.        Построить временные зависимости в одной системе координат по результатам, полученными двумя методами для:

тока в ветви с индуктивностью, напряжения на конденсаторе

C, мкФ

L, мГн

200

20

20

20

200

200

Решение

Определим начальные условия

,

,

,

,

В установившемся режиме после коммутации (t→)

,

0 A,

0 B, ,

Запишем выражение входного сопротивления для послекоммутационной схемы на переменном токе определим корни характеристического уравнения.

R,

,

,

 

Подставив численные данные и решим относительно p:

*10^(-4)*p^2+0.28p+20=0,

, ,

Комплексно-сопряженные корни говорят о периодическом характере переходного процесса. При этом:

,

 

,

.

Определим напряжение на конденсаторе.

,

Принужденная составляющая напряжения это установившееся значение напряжения после завершения переходного процесса:

,

Свободная составляющая это общее решение однородного дифференциального уравнения второго порядка, которое записывается в виде

,

где - постоянная интегрирования,

Следовательно,

,

Продифференцируем по времени

,

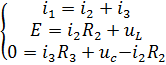
Для определения необходимо определить значение искомой функции ее первой производной в начальный период времени. Полагая t=0+ получим два уравнения для определения

,

В соответствии с законом коммутации:

,

,

Ток в конденсаторе , откуда ;

Запишем уравнения по законам Кирхгофа для начального времени:

,

Из третьего уравнения системы:

,

Подставим в первое уравнение:

,

 А,

,

,

Подставим данные значения в систему:

,

,

,

,

Искомая функция имеет вид

.

Определим переходной ток через конденсатор:

=,

Определим ток

,

Принужденная составляющая и свободная составляющая соответственно равны:

,

.

Определим постоянные интегрирования:

,

В начальный момент времени:

,

Напряжение на катушке

,

,

,

В соответствии с законом коммутации:

,

,

,

,

,

Искомая функция имеет вид

,

Определим переходное напряжение на катушке индуктивности:

+-111,36,

По первому закону Кирхгофа определим переходной ток

,

,

Вывод системы дифференциальных уравнений для метода переменных состояния и расчёт тока в катушке индуктивности и напряжения на конденсаторе при помощи специализированной программы.

,

Выразим из уравнения 1 ток  и подставим в уравнение

,

Преобразуем и выразим ток

,

,

,

,

,

 

k - Номер шага итерации

k = 0, 1, 2,……. N

 

,

,

Подставив значения в выражение получим:

,

Для напряжения

,

,

,

,

,

,

,

,

,

,

,

,

,

,

,


Сведем все результаты в таблицу:

Функция

Вид решения

Значения функции



при

при

при

=

.

5

5

10

=

.

5

5

10

=

.

0

0

0

=

.

0

0

0

=

100

100

200


Задача 3

 

"Расчет разветвленной магнитной цепи постоянного тока методом последовательных приближений"

1.     Для заданной магнитной цепи составить эквивалентную расчётную схему замещения.

2.      Для получения схемы составить уравнения по законам Кирхгофа.

.        С помощью персонального компьютера по заданной программе рассчитать:

·      магнитные потоки

·        индукцию во всех участках

·        напряженность магнитного поля на всех участках

·        падение магнитного напряжения на каждом из участков, включая воздушные зазоры

4.     Проверить достоверность расчёта при помощи законов Кирхгофа.

5.      Проверить баланс энергии магнитного поля.

.        Рассчитать тяговую силу электромагнита.

.        Результаты расчёта свести в таблицу ответов на титульном листе.

Толщина сердечника электромагнита h=5 см.

Кривая намагничивания материала сердечника

0

40

80

120

160

200

600

1000

1400

1800

2200

6000

8000

12000

20000


Значения магнитной индукции В, Тл

Сталь Э42

0

0,31

0,6

0,79

0,93

1,04

1,2

1,32

1,4

1,48

1,5

1,54

1,61

1,72

1,85


a,см

b,см

c,см

d,см

δ,см

40

25

5

5

0,2


F1

F2

F3

I1

W1

I2

W2

I3

W3

4

500

0

0

0

0


Решение

Имеем определённую магнитную цепь, состоящую из трёх ветвей. Каждую ветвь входят участки из ферромагнитного материала (стали) и воздушные зазоры. Кроме того, обмотка с током на первом стержне создают магнитодвижущая сила (МДС). На рисунке пунктиром обозначена средняя магнитная силовая линия.


Следует данные по геометрии стального сердечника и воздушных зазоров, найдем длину каждого из ферромагнитных участков, а также их поперечные сечения, и поперечные сечения воздушных зазоров:

,

,

, ,

,

,

,

,

Эквивалентная схема замещения имеет вид:


Для получения схемы замещения составим уравнения по законам Кирхгофа:

По первому закону Кирхгофа:

,

По второму закону Кирхгофа (обход контуров по часовой стрелке):

для контура, образованного 1 и 2 ветвями:

Uмо1 + Uм1- Uм2 - Uмо2 = F1

для контура, образованного 2 и 3 ветвями:

Uмо2 + Uм2 - Uм3 - Uмо3 = 0

,

,

,

Далее расчет идет по специальной программе.

На начальном этапе расчёта (k= 0) задаёмся произвольными значениями магнитной индукции на каждом из трёх участков магнитной цепи

.

Для дальнейшего расчёта используем следующие соотношения:

 

,

,

,

 

При помощи уравнений аппроксимации вычисляются значения напряжённости H магнитного поля каждого из участков магнитной цепи:

.

Напряжённость в воздушных зазорах определяется соотношениями:

 

,

,

,

 

Определяем магнитные напряжения на участках магнитной цепи при помощи соотношений:

 

,

,

,

=955.4,

=1911,

=2389,

 

Определяются магнитные сопротивления участков магнитной цепи:

 

,

,

,

,

,

,

Вычисляется узловое напряжение в соответствии с методом двух узлов для магнитной цепи k=1 итерации по следующей итерационной формуле:

 

,

 

Определяются значения магнитных потоков на k=1итерационном шаге в соответствии с законом Ома для магнитной цепи:

,

,

,

Определяем значения магнитных индукций для шага итерации k=1

,

,

,

Полученные значения магнитной индукции на каждом из участков магнитной цепи сопоставляются со значениями магнитной индукции на этих же участках на предыдущем шаге итерации.

В дальнейшем указанный алгоритм повторяется до достижения требуемой точности расчёта, т.е. до практического повторения значений искомых магнитных индукций.


Характер изменения значений магнитной индукции от номера итерации k

Результаты расчётов

Индукция

В1, Тл

В2, Тл

В3, Тл

0,653

-0,372

-0,281

Магнитные потоки, Вб

Ф1·10-3

Ф2·10-3

Ф3·10-3

1,633

-0,9311

-0,7023


Напряжённость, А/М

Н1

Н2

Н3

188,9

-665

Напряжённость, А/М

НО1

НО2

НО3

522700

-297900

-224700

Магнитные напряжения, А

Uм1

Uм2

Uм3

Uм01

Uм02

Uм03

113,3

-253,5

-399

1040

-593

-447,3


Знак «минус» у найденных величин указывает на противоположное направление магнитного потока по отношению к указанному на схеме замещения.

Проверка достоверности расчета при помощи законов Кирхгофа.

Ф1 + Ф2 + Ф3 = 0

,001633-0,0009311-0,0007023=-0,0000004≈0

 

Uмо1 + Uм1- Uм2 - Uмо2 = F1

+113,3-(-253,5)-(-593)=2000

,8≈2000

 

Uмо2 + Uм2- Uм3 - Uмо3 =0

(-253,5)+(-593)-(-399)-(-447,3)=0

,2≈0

Законы Кирхгофа выполняются в пределах допустимой погрешности расчёта (| δ | <1 %)

Проверка баланса энергии магнитного поля

Энергия, выделяемая источниками

1,633

Энергия, расходуемая в сердечниках

0,35055

Энергия, расходуемая в зазорах

1,2828

Энергия, расходуемая в приёмниках

+=1,633383723

Вычисляем погрешность расчёта

0,0000000768%

Погрешность расчёта <1 %

Расчёт тяговой силы электромагнита

83,30256995 кг

Сведем результаты расчета в таблицу

Индукция, Тл

Напряжённость, А/М

В1

В2

В3

Н1

Н2

Н3




188,9

-1013

-665

Магнитные напряжения, А

Uм1

Uм2

Uм3

Uм01

Uм02

Uм03

113,3

-253,5

-399

1040

-593

-447,3

Поток, Вб

Тяговая сила F, кГ

Энергия Wист., Дж

Погрешность расчёта, %

Ф1·10-3

Ф2·10-3

Ф3·10-3




1,633

-0,9311

-0,7023

83,30256995

1,633

0,0000000768



Список использованной литературы


1.      Бычков Ю.А., Золотницкий В.М., Чернышев Э.П. Основы теории электрических цепей: Учебник для вузов - СПб.: Издательство «Лань», 2002. - 464 с.

2.      Бессонов Л.А. Теоретические основы электротехники. Электромагнитное поле: Учебник для электротехн., энерг., приборостроит. спец. вузов. - 8-е изд., перераб. и доп. - М.: Высш. шк., 1986. - 263 с.: ил.

.        Теоретические основы электротехники: В 3-х т. Учебник для вузов. Том 1. - 4-е изд. / К.С. Демирчян, Л.Р. Нейман, Н.В. Коровкин, В.Л. Чечурин. - СПб.: Питер, 2003. - 463 с.: ил.

Похожие работы на - Предмет теоретических основ электротехники

 

Не нашли материал для своей работы?
Поможем написать уникальную работу
Без плагиата!
Без нейросетей!