Проектирование многозондовой системы
Содержание
Введение
. Проектирование многозондовой
системы для формирования нанообъектов на подложке
.1 Рассмотрение аналогов, выявление
отличий и постановка задачи
.2 Проектирование многозондовой
системы
. Анализ многозондовой системы для
формирования нанообъектов на подложке методом конечных элементов
.1 Метод конечных элементов
.2 Подготовка системы к исследованию
.3 Результаты исследования
. Функционирование многозондовой
системы для формирования нанообъектов на подложке
.1 Автоматизированное управление
многозондовой системой
.2 Проведение технологических
процессов
.3 Защита от внешних воздействий
Заключение
Список использованных источников
Введение
Сканирующая туннельная микроскопия была
разработана в 1981 году Гердом Карлом Биннингом и Генрихом Рорером в
лаборатории IBM в Цюрихе.
Их разработке сообщество учёных не придало особого внимания, пока в 1986 году
Биннинг и Рорер были удостоены Нобелевской премии за своё изобретение после
того, как им удалось получить изображение поверхности атомарного разрешения с
использованием данного метода.
Сегодня данная методика становится доступна
большему количеству исследовательских групп по всему миру. Сканирующая зондовая
микроскопия позволяет выявлять особенности кристаллического строения и
шероховатости поверхностей различных материалов с атомарным разрешением, и с
такой же точностью выполнять технологические операции.
Существует несколько методов сканирующей
зондовой микроскопии, их классификация приведена на рис. 1.
Рис. 1. Классификация средств сканирующей
зондовой микроскопии.
Данная работа рассматривает только сканирующую
туннельную микроскопию. многозондовый нанообъект
автоматизированный
Зонд - исследовательский материальный объект,
механически или электрически контактирующий с исследуемым образцом. Зонд в
сканирующей зондовой микроскопии представляет собой иглу с радиусом закругления
до 10 нм. Зонды можно выполнить из вольфрама, золота, платины или алюминия,
заточка производится электрохимическим или ручным методами.
У сканирующей туннельной микроскопии простой
принцип, но он в корне отличается от любых предыдущих методов исследования
поверхности. Заключается этот принцип в том, что при подведении острой иглы
зонда, на кончике которой в идеальном случае всего одна молекула, к поверхности
на расстояние порядка нанометра и приложения напряжения между образцом и
зондом. В вакуумном промежутке между образцом и зондом возникает туннельный ток
величиной 10-9 ампера. Ток возникает между атомами образца и зонда из-за
перекрытия их волновых функций.
Туннельный ток вычисляется как:
где e
- заряд электрона, n
- концентрация электронов проводимости, V
- скорость электронов, F
- площадь поперечного сечения пучка электронов, D
- вероятность прохождения электронов через зазор L.
D можно представить
как:
m
- масса электрона, Ф - величина эффективного энергетического барьера системы
зонд-объект, ħ - постоянная Планка.
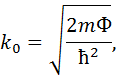
В большинстве случаев Ф ≈ 4,4 эВ, тогда k
≈
1,1 Å-1. При подстановке k0,
величина туннельного тока приблизительно равна 3 нА. Туннельный ток зависит от
расстояния зонд-образец L
экспоненциально.
Схема работы сканирующего туннельного микроскопа
приведена на рис. 1.
Рис. 2. Протекание туннельного тока между зондом
и объектом. 1- зонд; 2 - туннельный ток; 3 - образец (подложка); U
- напряжение между зондом и подложкой; L
- расстояние между зондом и подложкой; F
- площадь пятна туннельного тока (фактически разрешение сканирования).
В сканирующей туннельной микроскопии
используются методы постоянного тока и постоянной высоты. Метод постоянной
высоты обеспечивает высокую скорость сканирования. Метод постоянного тока
обеспечивает высокую точность сканирования и, в отличие от предыдущего метода,
позволяет сканировать рельефные поверхности без риска повредить зонд.
При применении метода постоянной высоты
измеряется туннельный ток образец-зонд, при методе постоянного тока измеряются
напряжения на обкладках пьезоприводов. Набор данных значений привязанных к
координатам зонда позволяет судить о рельефе поверхности.
Существование сканирующей туннельной микроскопии
невозможно без точного позиционирования, которое могут осуществлять
пьезоприводы. Пьезопривод - устройство, преобразующее электрические сигналы в
механические деформации благодаря обратному пьезоэффекту.
Пьезоэлектрики - кристаллические вещества, в
которых при сжатии или растяжении в определенных направлениях возникает
электрическая поляризация даже в отсутствие электрического поля (прямой
пьезоэффект). Обратный пьезоэффект - появление механической деформации под
действием электрического поля. Связь между механическими и электрическими
параметрами носит линейный характер.
Кристаллы пьезокерамики содержат домены,
ориентированные произвольно, в процессе производства, на технологическом этапе
охлаждения создают напряженность электрического поля около 3 кВ/см, в
результате чего домены выстраиваются в направлении линий напряженности поля, после
завершения охлаждения наведённая поляризация сохраняется.
Для создания управляющих разностей потенциалов
на внутренней, внешней поверхностях и/или торцах пьезокерамики наносят
электроды.
Основными параметрами пьезокерамики являются
пьезомодули dij,
в общем случае составляющие матрицу из 18 членов но так как dij=dji,
а кристалл пьезокерамики как правило симметричен, количество значений
пьезомодулей сокращается до двух или трех. Первый индекс пьезомодуля указывает
направление составляющей вектора поляризации, а второй - порождающий
механическое напряжение.
Преимуществами сканирующей туннельной
микроскопии являются:
отсутствие электронных линз, отсутствие
аббераций;
неразрушающее сканирование поверхности;
крайне высокое разрешение сканирования;
крайне высокая точность позиционирования зонда;
установки имеют возможность работы при
атмосферном давлении и в вакууме;
сканирование, анализ поверхности, анализ
материалов, контроль качества, технологический процесс производятся одинаковыми
средствами;
в зависимости от материала разнится сложность
изготовления зонда, возможно изготовить зонд подручными средствами;
сложная установка может эксплуатироваться одним
оператором, обработка и визуализация результатов возможна на одном персональном
компьютере;
в зависимости от компоновки установки можно
выбрать различные размеры и положение зондов и пьезоприводов;
Недостатками СТМ являются:
в различных режимах сканирования и обработки -
различная производительность;
зонд невозможно мгновенно перевести в новую
область пространства из-за крипа (инертности) пьезокерамики;
необходимость поддержки всей установки в
чистоте, в идеале - использование чистой комнаты и/или вакуума;
возможность деформации хрупкого кончика зонда с
необходимостью дальнейшей замены;
пьезокерамика - хрупкий и капризный материал,
теряющий свойства со временем и необходимо защищать пьезопривод от высоких
напряжённостей электрического поля, вводя ограничения в программное
обеспечение;
непроводящие материалы нельзя сканировать
методами туннельной микроскопии, необходимо нанесение проводящего слоя или
меток;
неудовлетворительная повторяемость результатов.
Улучшить повторяемость результатов может позволить "прицеливание" в
область другими методами исследования, например, с помощью растрового
электронного микроскопа;
для проектирования самой установки, анализа
результатов исследования необходимо создание САПР и специализированного ПО.
1. Проектирование многозондовой
системы для формирования нанообъектов на подложке
.1 Рассмотрение аналогов, выявление
отличий и постановка задачи
Тема использования нескольких зондов для
исследования или обработки поверхности с применением метода туннельной
микроскопии затрагивается в некоторых современных работах и уже существуют
установки, которые используют несколько зондов и даже несколько методов
зондовой микроскопии. Данный набор методов исследования поверхностей постепенно
приобретает всё большую и большую популярность, позволяя с наибольшей гибкостью
использовать одну и ту же установку для комплекса исследований.
Рис. 3. Фотография системы атомно-силового и
туннельного микроскопа с возможностью быстрого доступа и охлаждающим контуром,
Национальный Институт Стандартов и Технологий, США.
В вышеприведённом аналоге используется как
атомно-силовая, так и туннельная микроскопии при температурах, близких к
температуре жидкого гелия (4,3 Кельвина), хотя создателями установки заявлена
возможность исследования и при 2,5 К, в установке имеется специальное
устройство для дальнейшего понижения температуры.
Не только в США проявляется интерес к системам с
подобным функционалом. В Японии данный вопрос многозондовых систем исследуется
довольно давно, статьи и книги с результатами исследований датируются 2012-2016
годами. Учёные предлагают использовать несколько зондов для получения объёмного
изображения поверхности.
На рис. 4, приведённом ниже отображены идеи для
использования нескольких зондов применительно к области одного и того же
образца.
Рис. 4. Пример использования многозондовой
системы для получения объёмных изображений поверхности.
Предлагаемый японскими учёными метод имеет
применение в продуктах следующих компаний: Unisoku
Co., Ltd,
Japan, Omicron
GmbH, Germany,
Multiprobe
Inc., USA.
Пример одной из таких систем будет приведён ниже.
Микрофотографии возможных конфигураций зондов
приведены на рис. 5.
Рис. 5. Возможные пространственные конфигурации
зондов при многозондовой микроскопии.
Отдельными компаниями предлагаются готовые
многозондовые комплексы, которые включают в свой состав как сами многозондовые
системы, интерфейсы подключения к компьютеру и программное обеспечение.
Примером такой системы может послужить Nanonics
Imaging Ltd.
MultiView 4000.
Рис. 6. Многозондовая система MultiView
4000.
Данная система позволяет выполнять множество
измерений, таких как:
поверхностное сопротивление;
многозондовое измерение температурных режимов;
оптические измерения полупроводников;
механическая запись структур на атомарном уровне
с использованием газов или жидкостей;
идентификация материалов методами атомно-силовой
микроскопии.
Соответственно, конфигурация зондов
обуславливает тип проводимого исследования. Возможно измерять токи и напряжения
различных пар зондов во всех конфигурациях, чтобы исследовать характеристики
поверхностей.
Следует отметить, что приведённые выше системы в
наибольшей степени применимы для исследования поверхности образца. Несмотря на
то, что они являются многозондовыми, даже при испарении материала с зондов
будет происходить обработка лишь одной области, что неприменимо для
промышленных систем, требующих высокий уровень производительности.
Применительно к микросхемам необходима параллельная обработка подложки в
нескольких областях. В данной работе предложена концепция многозондовой
системы, сильно отличающаяся от уже существующих и рассмотренных выше. Эта
система позволяет одновременно проводить исследование, контроль качества или
технологический процесс в нескольких областях образца или подложки. В этом
заключается новаторство при разработке данной системы.
Нельзя так же игнорировать более
"традиционные" методы работы с полупроводниковыми подложками.
Технологии ближайшего будущего подозревают использование 10 и 7 нм
техпроцессов, в то время, как зондовая микроскопия может позволить работать с
металлическими элементами, минимальные размеры которых составляют порядка 1
нанометра. Литографические установки требуют огромных вложений ресурсов для
освоения каждого следующего техпроцесса. Методы туннельной микроскопии являются
гораздо менее затратными при эксплуатации. Зондовые системы возможно встраивать
в уже существующие производственные цепочки для выполнения технологических
процессов, зондовые системы не требуют большого объёма. На данный момент
зондовые системы применяются в большинстве своём для исследований и
экспериментов, хоть и имеют промышленный потенциал.
Задачей данной работы является разработка
эскизного проекта (концепции) многозондовой системы для формирования
нанометровых структур на подложке с использованием САПР SOLIDWORKS,
описание принципа работы системы, расчёт и оценка точностных характеристик при
работе в комнатных условиях и в вакуумной камере, прогретой до рабочих
температур, а так же описание работы системы, приведение примеров
технологических процессов, осуществимых методами туннельной
микроскопии/литографии.
Разрабатываемая многозондовая система для
формирования нанообъектов на подложке должна удовлетворять следующим
требованиям:
. Обеспечить высокую точность сканирования и/или
обработки подложки, порядка 10 нм и ниже, чтобы конкурировать с современными
методами обработки подложек и производства полупроводниковых изделий.
. Обеспечить возможность параллельной обработки
подложки в нескольких областях несколькими зондами с высокой точностью
позиционирования.
. Обеспечить возможность обработки подложек
диаметром до 300 мм.
. Систему должно быть легко обслуживать,
разбирать и собирать, при этом необходимо обеспечить однозначное
позиционирование элементов системы для сокращения времени калибровки и ввода в
эксплуатацию. В системе должна быть реализована возможность заменять
пьезоприводы и зонды.
. Система должна иметь возможность работать как
при комнатной температуре, так и при прогреве до 250 градусов Цельсия в
вакуумной установке. При этом вертикальное перемещение зондов, обусловленное
прогревом конструкции установки не должно превышать 15 мкм. Таким образом,
система должна иметь максимально жёсткую конструкцию и малые размеры, при этом
в ней должны применяться вакуумные материалы.
1.2 Проектирование многозондовой
системы
Элементы финальной сборки претерпели некоторые
изменения при проектировании и выявлении их недостатков. Как было указано выше,
проектирование проводится в САПР Solidworks,
позволяющей создавать элементы, состоящие из различных материалов и объединять
их в сборки, которые затем пригодны для анализа и создания конструкторской
документации.
Рис. 7. Начало работы с программой Solidworks
2016.
На рисунке 8 приведен вид рабочего окна
программы Solidworks
2016 с одной из деталей разрабатываемой установки. Примечательно, что вся
информация о детали реализована в виде разворачиваемого списка, позволяющего
откатывать изменения, редактировать двухмерные эскизы, лежащие в основе модели.
Окно рабочей области представляет трехмерное представление детали, возможно
настроить отображение детали на своё усмотрение, разместить камеру в одной из
плоскостей, отключить отображение детали в перспективе.
В Solidworks
реализованы различные возможности для проектирования детали в зависимости от
того, какой из методов предпочтёт оператор программы. В данном случае детали
установки "вытянуты" из двухмерных эскизов, сделанных в разных
плоскостях, в том числе привязанных к поверхностям уже существующих деталей, но
также возможны другие подходы, удобные в тех случаях, когда детали имеют более
сложную пространственную конфигурацию.
Рис. 8. Вид рабочего окна программы Solidworks
2016 с видом корпуса-держателя установки в его ранней версии.
В процессе проектирования необходимо было
учитывать то, что установка будет работать в вакууме, что накладывает
требования к уменьшению объёмов деталей и отсутствию в них полостей или глухих
отверстий, чтобы избежать натекания газов в пространство вакуумной камеры, что
может негативно сказаться как на исследовании подложки, так и проведении
технологического процесса.
Перед сборкой разрабатываемой установки
необходимо создать детали и обеспечить их совместимость при последующей сборке.
В данной установке присутствуют детали из разных материалов, работа не
рассматривает вопрос приведения в технологический контакт пьезотрубок и
пьезоприводов с металлическими элементами.
Был спроектирован компактный пьезопривод с
зондом, который возможно монтировать в держатель пьезоприводов со строго
определенной ориентацией, чтобы контакты, напыленные на стенки пьезопривода
совпали с контактами, подводящими напряжение от источников.
Финальная версия пьезопривода показана на рис. 9
и 10. Материалы системы, массовые параметры элементов системы будут приведены в
разделе 2.
Рис. 9. Вид разреза пьезопривода с размерами.
На приведённом выше рисунке приведён разрез
пьезопривода и указаны его размеры. Светло-серый цвет обозначает
неметаллические части пьезопривода: пьезокерамику и изоляторы, тёмно-серый цвет
обозначает металлические части пьезопривода. Из-за малой толщины электродов для
подачи напряжения на трубку присутствует графический артефакт.
Удержание пьезоприводов над образцом
осуществляется с помощью магнитного поля, что положительно сказывается на
возможностях по эксплуатации установки, так же позволяет монтировать и
демонтировать пьезоприводы с креплениями для зондов без приложения к ним
механических напряжений, выводящих хрупкую и дорогостоящую пьезокерамику из
строя.
Рис. 10. Вид разреза пьезопривода.
Внутренняя поверхность пьезопривода так же
покрыта напыленным металлическим слоем, контактирующим со слабо намагниченным
металлическим креплением, удерживающим пьезопривод в специальном пазу.
Металлическое крепление в свою очередь электрически связано с держателем
пьезоприводов, находящимся под нулевым электрическим потенциалом. В качестве
материала напыления используется тонкий слой серебра.
На противоположном торце пьезопривода
расположена тонкая пластина из стали с выемкой для крепления зонда. В данной
пластине так же выполнены отверстия для откачки воздуха из внутреннего объема
пьезотрубки в ваккумной установке, чтобы избежать деформации или поломки
пьезотрубки из-за разности внутреннего и внешнего давления. При подаче
напряжения на данную пластину возможна деформация пьезотрубки в вертикальном
направлении. Крепление зонда осуществляется в отверстие малого диаметра со
слоем изолирующего материала, зонд удерживается в нем за счет силы трения и
может быть заменен на новый при необходимости. Таким образом, на зонд возможна
подача ещё одного напряжения. На поверхности пьезотрубки остаются свободные
области, по которым можно подвести напряжения как к пластине с выемкой, так и к
зонду.
Пьезотрубка, используемая в данной системе в
общем виде выглядит так, как указано на рис. 11.
Рис. 11. Модель пьезотрубки.
Возможно приблизительное определение позиционирования
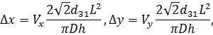
торца пьезотрубки и, соответственно, зонда по формулам:
где ∆x
и ∆y - величины
деформации по соответствующим осям, d31
- пьезомодуль, L
- длина пьезотрубки, D
- внешний диаметр трубки, h
- толщина трубки, Vx
и Vy -
управляющие напряжения.
Если подавать напряжение Vz
на торец пьезотрубки, то её деформация:
Для увеличения области перемещения пьезотрубки
можно сделать внутренний электрод сегментированным для Vx
и Vy и подать соответствующие
напряжения с обратным знаком, однако это усложнит конструкцию пьезопривода и
скорей всего, от магнитного крепления придется отказаться, так как будет
необходимо подавать напряжение со стороны крепления, что усложнит замену
пьезоприводов.
Полученная конструкция пьезопривода
удовлетворяет техническому заданию на проектирование системы. Пьезоприводы
можно заменять в системе при их отказе или потере качеств при этом время
установки минимизировано и основная сложность остаётся только в подведении
контактов к торцу пьезопривода для обеспечения возможности перемещения по оси z,
а так же к зонду.
Следующим был спроектирован держатель
пьезоприводов. Его геометрия обусловлена возможностью монтажа в нижней части
набора пьезоприводов, однозначно ориентированных в пространстве. При
проектировании держателя пьезоприводов уделялось максимальное внимание тому,
чтобы уменьшить его массу, при этом сохранив его максимально жёстким при
заданной длине - 300 мм. Полупроводниковые подложки с диаметром 300 мм являются
довольно распространёнными в производстве микросхем, а так как концепция
установки подразумевает её использование в производстве, данный факт был учтён.
Расстояния между остриями 40 зондов равно 7 мм, что в сумме позволяет
обрабатывать лишь 280 мм подложки, следовательно на одном из торцев держателя
необходимо разместить силовой пьезопривод, который может с высокой точностью
перемещать весь держатель в пределах 2 см. Такие силовые пьезоприводы
существуют, поэтому проектировать их не имеет смысла в контексте данной работы.
Для наглядности подобный привод вмонтирован в один из торцов держателя, имеет
цилиндрическую форму и диаметр 24 мм. Изображение держателя пьезоприводов с
размерами приведено на рис. 12. Сквозные отверстия предназначены для подведения
проводов с питанием к пьезоприводам и зондам с обеих сторон от каждого
пьезопривода.
В такой конфигурации система получает
возможность обрабатывать "строку" кристаллов на подложке. Для того,
чтобы сделать возможной обработку всех кристаллов на подложке, необходимо
сделать подложку подвижной с заданной степенью точности в направлении,
перпендикулярном направлению движения держателя пьезоприводов (имеется в виду
ось X на рис. 12).
Рис. 12. Вид держателя пьезоприводов с геометрическими
размерами.
Рис. 13. Вид держателя пьезоприводов снизу.
Завершающим этапом проектирования элементов было
проектирование основы, корпуса-держателя для всей системы. Была спроектирована
максимально компактная конфигурация корпуса-держателя, ограничивающая движение
держателя пьезоприводов в одном направлении. Проверка на деформации методом
конечных элементов в курсовой работе, проведённой на первом курсе магистратуры,
показала, что конструкция оказалась достаточно жёсткой, а деформации при
комнатной и высокой температурах оказались в пределах условий, указанных в
техническом задании. Изображение корпуса держателя с геометрическими размерами,
а так же системы в сборе приведено на рис. 14. Крепление системы в вакуумной
камере осуществляется с использованием винтов с плоскими головками М 10.
Неуказанные фаски и радиусы скругления - 2 мм.
Рис. 14. Вид многозондовой системы для
формирования нанобъектов.
Рис. 15. Вид разреза многозондовой системы для
формирования нанообъектов.
Соприкасающиеся поверхности нижней части
держателя пьезоприводов и корпуса держателя необходимо обработать с высокой
точностью - допуск - h3 для держателя пьезоприводов и G4 для корпуса-держателя,
это обеспечит приемлемую точность перемещений и свободную посадку деталей. Для
уменьшения трения необходимо использование тефлоновой смазки в вакуумной
системе. На рис. 16 приведён вид системы сзади с указанием контактирующих
граней. Учёт допусков и посадок возможен в среде Solidworks на стадии
моделирования и на стадии симуляции контакта элементов. В процессе создания
чертежей и указании размеров элементов существует возможность указать допуски
на обработку поверхности.
Следует так же отметить, что для наилучшей
точности при установке системы в камеру необходимо так же хорошо обработать
верхнюю грань держателя системы. Остальные грани не нуждаются в хорошей
механической обработке.
Рис. 16. Вид системы сзади с указанием контактирующих
поверхностей.
2. Анализ многозондовой системы для
формирования нанообъектов на подложке методом конечных элементов
.1 Метод конечных элементов
Метод конечных элементов довольно быстро
завоевал популярность в современных САПР. Его главное преимущество перед
другими методами - возможность использования с произвольными формами в любом
количестве измерений. Метод конечных элементов применим для негомогенных и
анизотропных материалов, кинетического анализа систем и расчета течения
жидкостей.
Метод конечных элементов в общем виде переводит
основные дифференциальные уравнения в систему матричных уравнений, которые
могут быть решены приближенно. Для линейных задач подобные решения могут быть
получены быстро и с хорошей точностью. После нахождения приближенных решений,
метод конечных элементов проводит стандартные программы постобработки,
например, вычисление интегрального значения решения или производные в различных
точках заданной формы. Под постобработку также попадают понятия наглядного
"раскрашивания" модели и вывода на экран графиков решения. На
сегодняшний день в программах, использующих методы конечно-элементного анализа,
существуют инструменты обработки полученного решения (с поиском ошибок) и
маркировки тех областей, где необходимо повысить детализацию исследования.
Адаптивность сетки позволяет повышать детализацию в необходимых областях модели
и корректировать решение для того, чтобы достичь нужной пользователю точности.
Основной принцип работы метода конечных
элементов состоит в разбиении любой сложной формы на большое количество простых
форм, как правило, треугольников, которые повторяют сложную форму. Эти
треугольники и называются конечными элементами. Треугольники могут быть
линейными, квадратичными, кубическими и так далее. Основное их отличие в типе
сторон. У первых треугольников стороны - прямые линии, у квадратичных - кривые
второго порядка (параболы).
Подход к решению той или иной задачи методом
конечных элементов может отличаться, рассмотрим подход, позволяющий рассчитать
кинетическую энергию тела, разбитого на конечные элементы, посредством перевода
интегральных уравнений в матрицы скоростей и масс конечных элементов.
Для простого линейного конечного элемента,
вершины которого пронумерованы против часовой стрелки, площадь находится следующим
образом:
А координата центроида такого треугольника
находится как:
Следует отметить, что для моделей, включающих в
себя кривые поверхности, линейные конечные элементы дают не самую лучшую
аппроксимацию и единственный способ улучшить точность конечно элементной сетки
- увеличить количество конечных элементов, что в свою очередь ведет к
увеличению количества вычислений.
Как пример применения метода конечных элементов
- вычисление кинетической энергии тела Ek
= mv2/2.
m
-масса
тела, v
- скорость
тела.
Тогда для тонких конечных элементов с толщиной l:
где ρ
- плотность
материала тела, V
- объем элемента, S
- площадь элемента (см. формулу площади для линейного конечного элемента).
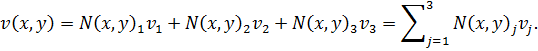
Суммарная кинетическая энергия тела при
известной скорости тела будет находиться как сумма кинетических энергий n
конечных элементов.
Допустим, что происходит интерполяция скоростей
для разных точек j
посредством функции N(x,y)j.
Тогда скорость каждой вершины конечного элемента
можно представить следующим образом:
В матричной форме:
Таким образом, кинетическую энергию можно
выразить следующим образом, а с учетом того, что скорости постоянны или зависят
только от времени, их матрицы можно вынести из-под знака интеграла:
Оставшийся интеграл условно называют матрицей
масс {me}:
В итоге можно записать кинетическую энергию в
матричной форме:
Этот пример демонстрирует возможность перевода
скалярных интегральных уравнений в матричные выражения для конечных элементов.
В каждом конкретном случае будут свои матричные формы, например, для положений
вершин элементов в пространстве, перемещений, скоростей или температур.
В конкретном случае представить матрицу масс
можно, если посчитать, что вершины конечного элемента соединяют
"стержни", в которых распределена масса всего элемента.
при условии, что скорости для всех точек равны,
можно получить ожидаемый ответ Ek=mv2/2.
При анализе деформаций объекта в Solidworks для каждой
вершины конечного элемента задаются неизвестные степени свободы. Так как у
объекта существует шесть степеней свободы - три поступательных и три
вращательных, то у вершин конечного треугольного элемента будет в сумме 18
степеней свободы. Перемещение вершин при деформации характеризует вектор
перемещения, компоненты которого соответствуют координатам следующим образом: 
Относительное перемещение является
безразмерной величиной или отношением [м/м]. В бесконечно малом объеме
нормальные относительные перемещения для каждой оси можно написать следующим
образом:

нормальные перемещения могут вызвать
изменение объёма конечного элемента, но не формы, только сдвиговые
(тангенциальные) перемещения приводят к изменению формы. В двумерном случае
относительное тангенциальное перемещение можно записать следующим образом:

в трехмерном варианте в выражении
будет шесть компонент. В итоге относительные перемещения могут быть записаны
как вектор

.
Данная матрица при умножении на
механические свойства объекта - матрицу модулей упругости E, дает
напряженность 
Соответственно в двумерном случае
вектор напряженностей будет записан как

.
Наглядное изображение направлений деформаций
в двухмерном и трехмерном конечных элементах указаны на рис. 1.
Рис. 17. Направления деформаций для
конечных элементов.
Метод конечных элементов полагается
на принцип наименьшей потенциальной энергии, так же называемый вариационным
принципом Лагранжа. Принцип наименьшей потенциальной энергии гласит, что поле
перемещений, возникающее при работе внешних нагружающих сил, имеет такую
конфигурацию, что объект находится в статическом равновесии и имеет минимальную
потенциальную энергию. Следовательно, для решений задач методом конечных
элементов необходимо находить узловые перемещения.
Для иллюстрации работы метода
наименьшей потенциальной энергии хорошо подойдет пружина.
Обозначим полную потенциальную
энергию пружины как П, энергию напряжений как U, а работу
внешних сил как A. Тогда:
Работа внешних сил выражается с
помощью скалярной силы F и вектора ее приложения или
вектора перемещения u (приведен выше).
где d -
деформация пружины.
Как известно, запасаемая пружиной
энергия деформации может быть легко выражена:

Таким образом, потенциальная
энергия пружины:
Далее необходимо минимизировать
потенциальную энергию в соответствии с вышеприведенным принципом.
Следовательно, достаточно приравнять

это и есть выражение равновесия для
пружины. Такое уравнение действительно для пружины, один конец которой
подвижен, а другой - нет. Если представить, что другой конец пружины так же
может перемещаться, то уже будет два вектора перемещения: u1 и u2, а также
два вектора сил: F1 и F2. Обозначим
деформацию пружины d как вектор

, а вектор силы 
Тогда работа A, которая
совершается над пружиной, соответственно равна

а энергия
деформации пружины соответственно:

Матрица жесткости для пружины

.
Форма записи этого уравнения очень
похожа на форму записи кинетической энергии, выведенную выше.
Можно подставить полученные
уравнения в уравнение потенциальной энергии пружины, тогда:
Необходимо минимизировать
потенциальную энергию для каждого компонента, то есть

и таким образом можно прийти к
решению:
Для подобного уравнения в реальности
необходимо задавать известные силы, а затем можно найти деформации. В случае,
если рассматривается не пружина, а реальный элемент, например в форме бруска,
то коэффициент упругости необходимо записать как

где E - матрица
модулей упругости, S - площадь поперечного
сечения элемента и l - его длина.
Следует отметить, что для
трехмерного случая задача конечно-элементного анализа существенно усложняется,
в нее вводятся локальные системы координат для каждого отдельного элемента,
производится расчет, а затем интерпретация результатов для следующего элемента.
Solidworks включает в
себя обширный пакет инструментов для анализа проектируемого изделия. Рассмотрим
Solidworks Simulation.
Данный набор инструментов позволяет
оценивать конструкции, анализировать напряжения, возникающие в них, потери
устойчивости и собственные частоты, температурное распределение, позволяет
проводить оптимизацию смоделированного изделия.
Дерево исследования позволяет
организовать исследования и управлять ими. Каждая вкладка дерева представляет
одно исследование, для большей наглядности у каждого исследования есть
собственный значок. Ниже перечислены типы анализа, которые позволяет проводить Solidworks Simulation.
Таблица 1.
Типы конечно-элементного анализа,
доступные в Solidworks.
|
Статический
анализ
|
Данные
исследования могут вычислить перемещения, нагрузки, напряжения, силы реакции
и распределение запаса прочности в модели.
|
|
Частотный
анализ
|
Исследования
могут вычислить собственные частоты колебаний и ассоциированные формы
колебаний.
|
|
Анализ
потери устойчивости
|
Данное
исследование помогает вычислить при каких нагрузках будет происходить потеря
устойчивости модели.
|
|
Термический
анализ
|
Температурные
исследования вычисляют градиенты температур и температурные режимы,
присутствующие в работающей модели изделия.
|
|
Анализ
проектирования
|
Данные
исследования могут выдать рекомендации по улучшению модели, повышению ее
эффективности и сократить материальные издержки на ее создание.
|
|
Нелинейный
анализ
|
Нелинейный
анализ хорошо подходит к тем задачам, линейное решение которых невозможно или
ошибочно. Нелинейный анализ позволяет работать с особыми материалами,
большими перемещениями. Возможно статическое и динамическое нелинейное
исследование.
|
|
Линейные
динамический анализ
|
При
динамическом нагружении конструкций статические исследования уже не могут
гарантировать точных результатов, поэтому в линейных динамических
исследованиях используются собственные частоты и моды колебаний моделей.
|
|
Анализ
на ударную нагрузку
|
Возможна
имитация падения изделия на упругую или жесткую поверхность.
|
|
Анализ
усталости
|
Данное
исследование вычисляет реакцию конструкции на повторяющиеся нагружения с
течением времени при заданных условиях и формах нагружений.
|
|
Анализ
конструкции газового сосуда
|
Позволяет
рассчитывать сосуд, в котором находится газ с различными давлениями, можно
делать поправки на различные коэффициенты.
|
|
Анализ
на основе двухмерного упрощения
|
Некоторые
трехмерные объекты можно упростить и имитировать их в двухмерном
пространстве. Двухмерные модели требуют меньше вычислительной мощности и
рассчитываются быстрее, существует возможность отрисовки эпюр с
использованием трехмерной модели.
|
Также возможно исследование следующих параметров
(в зависимости от версии программы и года выпуска):
Расход жидкости;
Электромагнитные характеристики.
После успешного исследования программа выводит
эпюры результатов в отдельной папке дерева под названием
"Результаты".
Важным моментом является то, что для данной
модели можно назначить условия эксплуатации, нагрузки и граничные условия,
приближая исследование к реальным условиям эксплуатации изделия.
Перед исследованием программа разбивает модель
на сетку, существуют различные виды сеток:
. Сетка на твердом теле - для всех твердотельных
моделей используются объемные тетраэдральные элементы.
. Сетка оболочки - при анализе листового металла
с одинаковой толщиной возможно создание сетки из треугольных элементов.
. Структура балок - используется для моделей,
имеющих в своем составе балки.
. Комбинированная сетка - используется для
моделей, в которых есть элементы, которые можно промоделировать различным
образом.
Следует отметить, что программа может проверять
существующую модель и выдать рекомендации для улучшения конструкции,
производительности изделия и экономии материала.
Solidworks
может вычислить запас прочности всей модели, основываясь на таких критериях,
как: максимальное напряжение по Мизесу, максимальное напряжение сдвига,
напряжение Мора-Кулона, максимальное напряжение по нормали.
В среду Solidworks
уже встроены алгоритмы для решения задач конечно-элементного анализа, они
называются Direct
Sparse и FFEPlus,
предоставляющие соответственно прямой и итеративный методы решения. FFEPlus
показывает наибольшую эффективность при увеличении размеров задачи, например,
при увеличении степеней свободы от 50 тысяч. Direct
Sparse требует большие
объемы оперативной памяти вычислительной машины, но в задачах, требующих учета
различных модулей упругости и нескольких контактов она выигрывает у
итеративного метода решения.
2.2 Подготовка системы к исследованию
Проведение конечно-элементного анализа
необходимо для проверки удовлетворения требованиям технического задания.
Исследования будут проводиться при температурах 0 и 250 градусов Цельсия.
После сборки всей установки можно построить
сетку конечных элементов, из которой в данной работе были исключены напылённые
слои серебра по причине крайне малой толщины, фактически не влияющей на
деформации пьезотрубки. Для выполнения конечно-элементного анализа необходимо
создать сетку конечных элементов, для которых и будет производиться дальнейший
расчет, задать внешние условия, в которых находится установка.
Параметры, заданные для сетки приведены ниже.
Они учитывают такие свойства модели, как сочетание как плоских, так и
цилиндрических по форме граней, а соответственно, необходима различная их
детализация вследствие того, что плоским граням для исследования требуется
значительно меньший уровень детализации, чем сложным цилиндрическим
поверхностям. Размеры конечных элементов должны быть больше, чем наименьшие по
размеру составные элементы системы, чтобы не допустить ошибок при расчётах.
Примером таких маленьких элементов могут послужить зонды, имеющие одновременно
цилиндрическую форму и малый диаметр.
Сетка на основе кривизны;
Максимальный размер элемента: 20 мм;
Минимальный размер элемента: 1 мм (2 мм для
второго расчёта);
Минимальное число элементов в окружности: 36
(максимальное значение для сетки Solidworks);
Коэффициент увеличения размера элемента: 3;
Точки Якобиана - 29;
Создание сетки из неудавшихся деталей с
несовместимой сеткой.
В качестве контакта всех компонентов выбран
глобальный контакт со связыванием, что исключает проникновение сеток и
элементов друг в друга, но для каждого нового положения держателя установки
необходимо перестраивать сетку, что является несколько неудобным. Было выбрано
крайнее положение держателя пьезоприводов, когда он упирается в ограничитель.
Перед выполнением анализа элементам сборки
задаются материалы ещё на стадии проектирования. Для металлических деталей
используется американская нержавеющая вакуумная сталь AISI 304 - аустенитная с
низким содержанием углерода и плотностью до 8 г/см 3. Подробные характеристики
стали приведены ниже. У данной стали есть высоковакуумный вариант - AISI 304L и
отечественные аналоги по ГОСТ: 08Х 18Н 10Т и 03Х 18Н 11. В качестве материала
для пьезокерамики используется обычная керамика, так как она является близкой
по механическим свойствам. К сожалению, в открытом доступе находится
недостаточно информации о механических свойствах пьезокерамики.
Таблица 2.
Параметры стали AISI
304.
|
Свойство
|
Значение
|
Единицы
измерения
|
|
Модуль
упругости
|
1,9e11
|
Н/м
2
|
|
Коэффициент
Пуассона
|
0,29
|
безразмерный
|
|
Модуль
сдвига
|
7,5е
10
|
Н/м
2
|
|
Массовая
плотность
|
8000
|
Кг/м
3
|
|
Предел
прочности при растяжении
|
517017000
|
Н/м
2
|
|
Предел
текучести
|
206807000
|
Н/м
2
|
|
Коэффициент
теплового расширения
|
1,8е-5
|
1/К
|
|
Теплопроводность
|
16
|
Вт/(м*К)
|
|
Удельная
теплоёмкость
|
500
|
Дж/(кг*К)
|
Таблица 3.
Параметры керамики.
|
Свойство
|
Значение
|
Единицы
измерения
|
|
Модуль
упругости
|
2,2059е
11
|
Н/м
2
|
|
Коэффициент
Пуассона
|
0,22
|
безразмерный
|
|
Модуль
сдвига
|
9,0407е
10
|
Н/м
2
|
|
Массовая
плотность
|
2300
|
Кг/м
3
|
|
Предел
прочности при растяжении
|
172340000
|
Н/м
2
|
|
Предел
текучести
|
551490000
|
Н/м
2
|
|
Коэффициент
теплового расширения
|
1,08е-5
|
1/К
|
|
Теплопроводность
|
1,4949
|
Вт/(м*К)
|
|
Удельная
теплоёмкость
|
877,96
|
Дж/(кг*К)
|
Производится полная фиксация граней:
контактирующих с вакуумной камерой/стендом, контактирующих с винтами,
закрепляющими систему, пьезопривода, приводящего держатель в движение. В
качестве контакта держателя пьезоприводов и корпуса используется ползун,
позволяющий движение лишь в одном направлении. Это важно в том случае, если
изменить положение держателя в каком-либо другом исследовании без необходимости
переопределять всю сборку.
Производится назначение нагрузок. Ускорение
свободного падения совпадает для обоих этапов исследования и равна 9,81 м/с 2.
Температуры отличаются, 0 и 250 градусов Цельсия для первого и второго
исследования соответственно. Температуры применяются ко всем элементам и граням
системы без каких-либо упрощений. Для этого возможно ещё на стадии задания
температур выбрать пункт " выбрать все" и программа через некоторое
время выберет все возможные грани в сборке. Следует отметить, что при
использовании массива пьезоприводов в сборке этот выбор может занять несколько
минут.
После этого возможно построение сетки модели.
Так как при расчёте на втором исследовании появляется ошибка нехватки памяти
при переходе к решению задачи, сетки отличаются лишь одним параметром, а именно
минимальным размером элемента.
Рис. 18. Виды сеток конечных элементов для
первого и второго исследований.
Таким образом, сетка конечных элементов
применительно к первому исследованию даст несколько более детализированный
результат, однако и расчёт с использованием данной сетки занимает гораздо
больше времени, в чём можно убедиться далее.
Для обоих исследований можно привести сводную
таблицу параметров, характеризующих то, как программа подойдёт к решению задачи
методом конечно-элементного анализа, а так же выявить возможные ошибки для
перехода от эскизного проекта к прототипу.
Таблица 4.
Параметры исследования.
|
Имя
исследования
|
Статический
анализ перемещений зондов при 0/250 гр С
|
|
Тип
анализа
|
Статический
анализ
|
|
Тип
сетки
|
|
Тепловой
эффект:
|
Вкл
|
|
Термический
параметр
|
Включить
тепловые нагрузки
|
|
Температура
при нулевом напряжении
|
298
Kelvin
|
|
Включить
эффекты давления жидкости из SOLIDWORKS Flow Simulation
|
Выкл
|
|
Тип
решающей программы
|
&Large
Problem Direct Sparse
|
|
Влияние
нагрузок на собственные частоты:
|
Выкл
|
|
Мягкая
пружина:
|
Выкл
|
|
Инерционная
разгрузка:
|
Выкл
|
|
Несовместимые
параметры связи
|
Авто
|
|
Большие
перемещения
|
Выкл
|
|
Вычислить
силы свободных тел
|
Вкл
|
|
Трение
|
Выкл
|
|
Использовать
адаптивный метод:
|
Выкл
|
|
Система
единиц измерения:
|
СИ
(MKS)
|
|
Длина/Перемещение
|
mm
|
|
Температура
|
Kelvin
|
|
Угловая
скорость
|
Рад/сек
|
Для решения данной задачи была использована
решающая программа &Large Problem Direct Sparse, а не предложенный по
умолчанию автоматический выбор. Данная программа лучше подходит для современных
компьютеров с многоядерными/многопоточными процессорами, а так же для задач,
включающих более 100000 степеней свободы.
Так же следует упомянуть массогабаритные
характеристики элементов, включённых в сборку. Эти параметры следует учитывать
при использовании установки в вакуумной системе, так как они будут влиять на
скорость откачки воздуха из камеры и силу трения.
Таблица 5.
Массогабаритные характеристики элементов,
входящих в сборку.
|
Элемент
|
Масса,
кг
|
Объём,
см 3
|
|
Корпус
|
7,785
|
973
|
|
Держатель
пьезоприводов
|
3,180
|
397
|
|
Пьезопривод
с одной степенью подвижности
|
0,010
|
5
|
|
Пьезопривод
из массива
|
0,0012
|
0,29
|
|
Пьезоприводы
|
0,0480
|
11,6
|
|
Вся
система
|
11,014
|
1386,89
|
2.3 Результаты исследования
После завершения расчёта методом конечных
элементов были получены результаты, отображённые только для перемещений в
модели, X, Y,
Z и результирующие.
При рассмотрении результатов наибольший интерес имеют деформации по оси Y
(вертикальная ось в Solidworks
и многих других программах) и результирующие деформации. Перемещения по осям X
и Z могут быть
скомпенсированы перемещениями пьезоприводов.
По полученным результатам можно судить,
выполняются ли требования технического задания или проект требует доработки.
Так же результаты позволяют судить о правильности принятых технических решений.
Следует обратить внимание, что точность результатов, что при использовании
очень подробной сетки, что при использовании менее детализированной сетки
является удовлетворительной, несмотря на то, что для расчёта более
детализированной сетки было затрачено в 15 раз больше времени.
В таблицах 6 и 7 приведены параметры решения
задач.
Таблица 6.
Параметры решения задачи конечных элементов 1.
|
Сообщение
программы
|
Значение
|
|
Количество
элементов
|
1152650
|
|
Число
степеней свободы
|
5173011
|
|
Общее
время решения
|
01:08:23
|
|
Использовать
точную связь?
|
Да
|
Таблица 7.
Параметры решения задачи конечных элементов 2.
|
Сообщение
программыЗначение
|
|
|
Количество
элементов
|
318705
|
|
Число
степеней свободы
|
1482786
|
|
Общее
время решения
|
00:04:36
|
|
Использовать
точную связь?
|
Да
|
Результаты представлены в градациях серого и в
дискретном отображении, так как при печати невозможно отобразить все градации
серого, присутствующие в исходном цифровом изображении.
Результаты первого исследования показывают, что
максимальное перемещение зондов по оси Y
равно 1,24873 мкм, максимальные перемещения системы не приходятся на зонды и
составляют 3,193 и -5,888 мкм соответственно.
Максимальное результирующее перемещение для
зондов составляет 4,04855 мкм, а в общем для всей установки: 9,801 мкм. Таким
образом, эксплуатируя систему при комнатной температуре необходимо учитывать,
что при данной температуре зонды находятся выше своего проектируемого
положения.
Рис. 19. Эпюры перемещений при 0 градусов Цельсия.
Перемещения по оси Y.
Рис. 20. Эпюры перемещений при 0 градусов
Цельсия. Результирующие перемещения.
При температуре 250 градусов Цельсия эпюры
изменяются. Особенно сильно это касается эпюры результирующих перемещений
пьезопривода, расположенного ближе к тому краю держателя, который упирается в
ограничитель. Для того, чтобы ликвидировать большие деформации достаточно
расположить данный пьезопривод на противоположной стороне держателя и,
соответственно, удлинить держатель, чтобы распределить механические и тепловые
нагрузки. Можно создать ещё одно винтовое крепление на конце корпуса и,
соответственно, равномерно распределить крепления по всей длине корпуса.
Таким образом, для зондов при температуре 250
градусов Цельсия максимальное перемещение по оси Y
равно 1,603 мкм. Для всей системы перемещения по оси Y
от 47,7 мкм до -26,38 мкм. Для всей системы максимальное результирующее
перемещение составляет 85,32 мкм. Следует отметить, что результирующие
деформации серьёзно увеличиваются при росте температур.
На рис. 21 и 22 приведены эпюры перемещений при
250 градусов Цельсия.
Рис. 21. Эпюры перемещений при 250 градусах
Цельсия. Перемещения по оси Y.
Рис. 22. Эпюры перемещений при 250 градусах
Цельсия. Результирующие перемещения.
Согласно полученным результатам удалось добиться
целей, поставленных в техническом задании на проектирование многозондовой
системы для формирования нанообъектов на подложке. Это означает, что в процессе
проектирования и прохождения научно-исследовательских практик была достигнута
оптимальная пространственная конфигурация системы, обладающая достаточной
жёсткостью и при этом способная выполнять возложенную на неё задачу.
Следует отметить, что существуют иные методы
крепления как пьезоприводов, так и зондов, существуют иные конфигурации
пьезоприводов с зондами, использование которых может упростить как сам вид
системы, так и улучшить её точность, сделать систему более простой в сборке и
эксплуатации. Синтез подобных решений подозревает дополнительные исследования в
области уже готовых и существующих решений. Однако, в таком случае придётся
выполнять перепроектирование всей системы, начиная с пьезоприводов, так как их
моделей в открытом доступе нет по понятным причинам.
В следующем разделе будет рассмотрено
функционирование данной системы.
3. Функционирование многозондовой
системы для формирования нанообъектов на подложке
.1 Автоматизированное управление
многозондовой системой
Для того, чтобы обеспечить безотказную работу
многозондовой установки необходимо реализовать автоматизированную систему с
обратной связью, позволяющую индивидуально управлять каждой парой
пьезопривод-зонд. Индивидуальный набор сигналов, так как зонды могут быть деформированы
из-за температуры установки и напряжений внутри системы, а пьезоприводы имеют
разброс характеристик, который невозможно ликвидировать.
При ошибке позиционирования происходит касание
острия зонда к поверхности исследуемого образца а затем деформация или слом
острия зонда, вызванный большими механическими напряжениями, возникающими из-за
сверхмалого, порядка нм и Å,
радиуса поперечного сечения кончика иглы. Возможно так же превышение допустимой
силы тока, протекающей через зонд, что ведет к полезному эффекту - напылению
материала зонда на подложку, благодаря чему возможно проведение
технологического процесса. Однако, при этом происходит разрушение зонда.
Проведение технологического процесса будет описано в разделе 3.2.
Необходимо учитывать данные факторы при
эксплуатации установки, так как замена зондов и повторное повторение
исследования является трудоёмкой задачей. Автоматизация позиционирования зондов
позволит оператору избежать ситуаций с поломкой системы.
Обобщённая структурная схема системы представлена
на рис. 23.
Рис. 23. Обобщённая структурная схема
многозондовой системы для формирования нанообъектов на подложке.
На данной схеме приведено взаимодействие
элементов и потоки информации между ними. Управляющая система может быть
выполнена вместе с системой обратной связи в одном корпусе, однако сигналы
необходимо разделять для того, чтобы не вызывать взаимных помех. Система
управления и система обратной связи включают в себя преобразователи, такие как
усилители, выпрямители, АЦП и ЦАП для преобразования сигналов с ЭВМ в
управляющие сигналы для пьезоприводов и зондов, а так же обратной конверсии и
установки обратной связи во всей системе в дополнение к обработке
информационного потока в реальном времени. Управление всей многозондовой
системой должно выполняться с помощью достаточно производительной ЭВМ.
ЭВМ должна иметь специализированный пакет
программ, имеющий нижеприведённый набор функций:
управление системой при исследовании/анализе в
двух режимах: постоянной высоты и постоянного тока. В первом режиме имеет
значение сила тока зонд-подложка, так как пьезопривод обеспечивает положение
кончика острия зонда в одной плоскости, данный режим отличается высокой
производительностью. Во втором режиме имеет значение напряжение на
пьезоприводах, так как зонд должен быть всегда на фиксированном расстоянии от
поверхности, данный метод имеет меньшую производительность, но позволяет
сканировать более сложные поверхности, обеспечивает отказоустойчивость, так как
зонд не может сломаться из-за контакта с поверхностью.
автоматизированный анализ изображений, машинное
зрение для принятия решений в реальном времени о продолжении исследования или
технологического процесса, выявления повреждений зонда или подложки. Например,
при повреждении кончика иглы зонда изображение становится размытым, при плохой
обработке или наличии загрязнений на поверхности подложки - недоэкспонированным
или переэкспонированным из-за изменения проводимости зонда и подложки. Таким же
образом возможно выявление дефектов подложки - несоответствие шаблона
металлических островков, шаблону, заложенному в программу может говорить о том,
что на кристалле присутствует дефект. Наглядный пример подобного дефекта при
сканировании приведён на рис. 24. Белым показаны проводящие островки
металлизации, чёрным - полупроводниковая поверхность подложки.
Рис. 24. Наглядный пример отсутствия
металлизированных контактных площадок на кристалле.
автоматизированная подача сигналов на пары
пьезопривод-зонд в соответствии с полученной при анализе поверхности
информации.
анализ полученных данных и их наглядное
представление, например карта высот в градациях серого и трёхмерная модель,
построенная на основании этих данных. Должен быть возможен вывод набора
изображений, а в случае ошибки или остановки процесса - должно выводиться
изображение, имеющее отношение к ошибке.
вывод предупреждения о необходимости замены
зонда или всей пары пьезопривод-зонд, возможность юстировки и настройки нового
устройства в системе.
возможность экспорта данных для сбора статистики
по работе производства, наличии и процентном соотношении брака и выхода годных
изделий, формирование отчётов.
3.2 Проведение технологических
процессов
Возможно проведение различных технологических
процессов с использованием различных техник манипуляции над поверхностью, в
контексте данной работы будут рассмотрены только техники, касающиеся туннельной
микроскопии, а именно имеющие электрическую природу физического взаимодействия.
Ниже приведены примеры данных взаимодействий:
испарение, эмитирование материала зонда;
локальное окисление;
осаждение из газовой фазы с использованием
сканирующего туннельного микроскопа;
локальное испарение материала;
экспонирование резиста;
манипуляция над отдельными атомами;
В отличие от "традиционных" методов
литографии все операции проводятся на близком расстоянии относительно подложки.
При всех достоинствах локальной манипуляции над веществом, данный метод имеет
существенный недостаток в сравнении с любой другой известной литографией -
производительность процесса ограниченна несколькими микронами в секунду из-за
инертности пьезокерамики.
Экспонирование резиста возможно ровно так же как
и в системах с использованием электронного пучка. Существуют примеры
экспонирования полиметилакрилата для получения маски и затем, после снятия
резиста, были получены проводники из золото-паладиевого сплава с шириной 22 нм
и толщиной 12 нм. В атмосфере кислорода и OH
групп возможно локальное окисление поверхности.
В случае испарения материала зонда, игла зонда
выступает в роли источника излучения. Когда прикладывается напряжение, атомы
или наночастицы могут быть перенесены с кончика иглы на поверхность. Сам зонд
можно покрывать материалом, отличным от материала зонда. Таким образом возможно
создание структур с крайне малыми размерами. Существует возможность удалять
атомы с поверхности аналогичным образом. Электронный луч между иглой и
поверхностью материала может сообщать атомам энергию для преодоления межатомных
связей. Примечательно, что возможно достигать огромных напряжённостей
электрического поля (порядка 10 ГВ/м). Данный метод позволяет кроме
вышеуказанных проводить огромное количество различных технологических
процессов, таких как анодное окисление полупроводников и металлов, разложение
оксидов редкоземельных металлов, солей металлов и ионных проводников и даже
записывать информацию на носители. При комнатной температуре и нормальном
атмосферном давлении был создан самый маленький рисунок на кремниевой
поверхности.
Манипуляция над отдельными атомами предлагает
крайне высокую точность работы и возможность помещать атомы требуемого
материала в необходимое место. Отдельные атомы посредством коротких импульсов
напряжения могут быть закреплены на кончике иглы зонда, а затем перемещены в
требуемую точку и размещены обратно на материале. Данный метод подходит для
работы с наноструктурами, в том числе и органическими. Существуют эксперименты
по созданию наноустройств, выполняющих функции транзисторов и квантовых точек.
Все вышеприведённые методы зондовой литографии с
использованием туннельного тока открывают огромные возможности по локальному
воздействию на подложку и создание желаемых структур высокой сложности.
3.3 Защита от внешних воздействий
Недостаточно спроектировать прецизионную
систему, необходимо обеспечить её защиту от внешнего влияния. В данном разделе
будут рассмотрены воздействия, которые негативно повлияют на повторяемость
результатов и качество изделий, получаемых приведёнными выше методами.
Колебания сопровождают человека в любой области
его деятельности. В контексте зондовой микроскопии колебания и вибрации
оказывают негативное влияние на результаты исследований, добавляя шумы
различной амплитуды и частоты в изображение исследования, а также при резонансе
с пьезоприводом или зондом вызывают опасность повреждения зонда или образца.
Для того, чтобы не допустить повреждений зонда и
образца, улучшить результаты исследования, необходимо ликвидировать вибрации
или исключить их из результата исследования с помощью компьютерной модели. В САПР
Solidworks возможно
исследование форм колебаний всей установки и нахождение резонансных частот.
Следует заметить, что исследовательский образец
может быть крайне дорогостоящим и не допускать появления дефектов на
поверхности, повреждения, вызванные касанием зонда к поверхности крайне сложно
исправить.
Замена или повторная заточка зонда может
занимать большие временные промежутки, если проводить ее неоднократно. Замена
зонда, как было отмечено выше, приводит к необходимости заново калибровать
пьезопривод с зондом.
Как правило, вибрации проявляются в диапазоне от
инфразвуковых частот до ультразвуковых частот. Частота вибрации f
измеряется в Герцах. Кроме частоты вибрацию можно так же охарактеризовать
амплитудой смещения А, которая обычно измеряется в миллиметрах и
микрометрах; амплитудой скорости v,
измеряемой в см/с, и амплитудой ускорения ω, измеряемой
в см/с 2.
Для синусоидальных, самых простых колебаний,
можно определить скорость и ускорение по следующим формулам:
В общем случае колебания являются
негармоническими, составленные из суммы простейших колебаний с различными
амплитудно-частотными характеристиками. Представление вибрации в виде функции
амплитуды от времени в случае негармонических колебаний не является наглядным и
информативным. В таком случае вибрации представляют в виде функции амплитуды от
частоты, что позволяет произвести частотный анализ. Примеры вибраций и их
частотный анализ представлены на рис. 25.
Рис. 25. Примеры представления негармонических
колебаний как функций амплитуды от времени и амплитуды от частоты.
Для оценки амплитуд механических колебаний можно
так же приводить различные значения. На рис. 26 показаны различные
характеристики сигнала для синусоидальных колебаний, так же применимые к
вибрациям.
Рис. 26. Амплитудные характеристики колебаний.
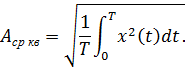
Двойное значение амплитуды является важным для
туннельной микроскопии, но должно быть как можно более маленьким (в идеале
отсутствовать), чтобы не оказывать влияния на результаты сканирования.
Соответственно, среднее значение имеет большое значение в контексте зондовой
микроскопии, как постоянная составляющая, которую необходимо удалить из
конечного изображения. Среднее значение может быть определено следующим
образом:
Пиковое и среднеквадратические значения в
зондовой микроскопии ограниченно применимы - превышение этих значений над
расстоянием между зондом и подложкой приведет к порче последних. Наличие
информации о пиковой и среднеквадратическом значениях амплитуды может позволить
остановить исследование, так как его продолжение не будет иметь смысла. Пиковое
значение в большинстве случаев характеризует случайный толчок, вызывающий
вибрацию в системе, среднеквадратическая амплитуда характеризует временное
развитие исследуемых колебаний и энергию колебаний, определяется как:
Для устранения вибраций существует несколько
методов.
Организационный метод состоит в том, что для
установки с туннельным микроскопом обеспечиваются такие условия, когда вибрации
с определенными частотами не могут повлиять на зонд и образец. Например, в
электронной промышленности все системы, как правило, монтируются на массивные
станины из цельного куска стали, что позволяет значительно ослабить влияние
внешних вибраций, ещё одним вариантом понижения влияния вибраций являются
демпфирующие станины из упругих материалов. Организационный метод также
включает в себя исключение разговоров (или издание любого иного шума) персонала
в одной комнате с работающим прибором.
Конструктивный метод состоит в том, что
туннельный микроскоп проектируется таким образом, что при правильной
эксплуатации определенные вибрации не могут повлиять на результаты
исследования. Например, используется массивная изолирующая крышка для защиты от
звуковых колебаний, возможно применение электронного микроскопа в вакууме.
Проектирование туннельного микроскопа может быть так же проведено с оценкой
резонансных частот его элементов, вследствие чего возможна остановка работы
системы до устранения данных резонансных вибраций.
Непосредственное измерение вибраций можно
отнести к последнему методу ликвидации влияния вибраций на туннельный
микроскоп. В таком случае информация о вибрации должна быть записана в момент
выполнения исследования той или иной точки поверхности образца, а затем из
итогового изображения должно быть произведено вычитание измеренной величины
вибрации.
На сегодняшний день существует множество систем
для измерения вибраций, так как данный вопрос актуален и в других областях
человеческой деятельности.
В общем виде базовую схему для измерения
вибраций можно представить в виде трех элементов: детектор вибрации,
предусилитель и анализатор. Зачастую в качестве анализатора может выступать
персональный компьютер. Детектор вибраций играет большую роль, существует
несколько реализаций данных детекторов: механические, пьезоэлектрические,
электрокинетические и бесконтактные.
Механические детекторы вибраций обнаруживают
вибрации по колебанию грузика в своем составе. По сравнению с остальными
детекторами они имеют высокую надежность срабатывания, не требуют питания, так
как вырабатывают сигнал самостоятельно, но не могут обнаруживать вибрации с
частотой более 700 Гц. Как правило, их используют для обнаружения подземных
толчков, землетрясений и вибраций зданий.
Пьезоэлектрические детекторы реагируют на
деформацию пьезоэлементов (прямой пьезоэффект) и вырабатывают таким образом
электрический сигнал, по характеристикам которого можно судить о параметрах
вибрации. Данные детекторы имеют максимально обнаружимые частоты порядка 103 Гц
и больше.
Электрокинетические детекторы имеют в своем
составе полярную жидкость, перетекающую через диафрагму. Перетекание жидкости
происходит при возникновении разности давлений, что в свою очередь меняет
разность потенциалов на диафрагме, снимая который можно говорить о параметрах
вибрации. Частотный диапазон таких детекторов весьма ограничен - от 1 Гц до 1
кГц.
Бесконтактные детекторы работают за счет
изменения ёмкости или индуктивности. Возникающей между поверхностью детектора и
поверхностью, с которой снимают показания. Данные детекторы имеют широкий
частотный диапазон - от сотых долей Гц до десятков кГц.
Многие фирмы предоставляют готовые решения для
измерения вибраций, вот обзор этих решений в виде таблицы.
Таблица 8.
Готовые решения для измерения вибраций.
|
Производитель
системы (страна)
|
Название
системы/программная составляющая
|
Аппаратная
составляющая
|
|
Manfred Weber (Германия)
|
VibroMetra
(интегрированная система для ПК)
|
Пьезосенсоры
с IEPE выходом; USB
конвертеры M302/M312
|
|
Delphin Technology (Германия/США)
|
ProfiSignal
|
Приемник
Expert
Vibro с
поддержкой нескольких интерфейсов, приемники сигнала не включены в комплект
|
|
IBS Engineering
(Нидерланды/ Германия/Франция)
|
N/A
|
Емкостные
и индуктивные бесконтактные измерительные системы
|
|
LION Precision
(США)
|
CompactRIO -
система, имеющая совместимость с LabVIEW
|
Емкостные
и индуктивные бесконтактные сенсоры и предусилители.
|
|
ERBESSD instruments (США)
|
EI-Calc
|
Контактные
сенсоры и усилители
|
|
Экофизика
(Россия)
|
ВиброЭксперт
|
Устройства
контактного и бесконтактного измерения вибраций, предусилители
|
|
Техно-НДТ
(Россия)
|
Вибротест,
возможность подключения с помощью интерфейса RS232
|
Измеритель
вибрации ВИБРОТЕСТ-МГ 4.03 со встроенным контактным датчиком
|
|
ООО
Измеритель
(Россия)
|
ПО
встроено в измерительные устройства, есть возможность вывода информации
посредством интерфейсов RS232, BNC
|
Аппаратура
вибрационного автоматического контроля и сопровождения БАЗИС-001, измерители
вибрации ВШВ-003-М 3 и ВВМ-311
|
Следует так же учесть важный момент с
экранированием системы от внешних излучений и обеспечение электромагнитной
совместимости. Сами пьезоприводы не подвержены влиянию магнитных полей, так как
пьезоэффект имеет электрическую природу. Данный момент зачастую упоминается на
сайтах производителей пьезокерамики, как неоспоримое преимущество.
Однако, в системе находится немало проводников и
присутствует системы управления и обратной связи, при этом к управляющим, как
правило аналоговым, сигналам предъявляются жёсткие требования, помехи могут
повлиять на качество производимой продукции и эксплуатацию системы в составе
установки саму по себе. Поэтому нельзя игнорировать экранирование самого
оборудования и проектирование электрической части системы с учётом требований
электромагнитной совместимости. Таким образом, присутствует две проблемы
электромагнитной совместимости - внутрисистемная и межсистемная.
Ещё на стадии проектирования необходимо знать
параметры помехоэмиссии и помехоустойчивости, опубликованных в стандартах
электромагнитной совместимости. Следует отметить, что многие электронные
средства содержат элементы, выступающие в роли антенн, например, кабели, проводники
на печатных платах, внутренние проводящие конструкции. Для обеспечения ЭМС
необходимо устанавливать барьеры внутри системы, обеспечить такие пути тока,
которые будут препятствовать проникновению помех.
Проектирование управляющей системы возможно с
учётом трёх уровней управления электромагнитными помехами:
первичный уровень включает в себя такие методы
проектирования, как развязка, симметричные схемы, ограничение полос частот,
компоновка плат и заземление.
вторичный уровень учитывает связь между внутренними
цепями устройства и внешними кабелями, для решения проблем применяются фильтры
на входах и выходах цепей.
третичный уровень подозревает полное
экранирование и данный метод необыкновенно дорогостоящий по сравнению с
предыдущими.
Заключение
Был выполнен эскизный проект многозондовой
системы для формирования нанообъектов на подложке. Данный проект после анализа
методом конечных элементов удовлетворил требованиям технического задания.
Применение подобных систем позволит расширить или даже заменить традиционные
методы обработки подложек и создания микросхем. Универсальность туннельной
микролитографии позволяет выполнять большое количество технологических
процессов с использованием одинакового оборудования. Это открывает огромные
возможности для освоения технологических процессов менее 5 нм, хоть туннельная
микроскопия может использоваться, в том числе для создания структур и при
больших минимальных размерах элемента. При всех своих достоинствах
проектирование и производство подобных систем требует меньших ресурсов в
сравнении с современной литографией, требующей миллиардные вложения для
освоения новых технологических процессов, а компактность положительно повлияет
на возможность встраивать многозондовые системы в уже существующие
производственные цепочки.
Прецизионность выполняемых операций превосходит
традиционную литографию, однако необходимо работать над повторяемостью
результатов сканирующей туннельной микроскопии, для чего предложено создать
автоматизированную систему управления с возможностью анализа результатов
исследования методами машинного зрения, сравнения с заложенными в программу
шаблонами. Система, которая сможет самостоятельно принимать решения для
продолжения исследования и технологического процесса, предупреждать об
обнаружении дефекта на кристалле, своевременно требовать замену зондов и
пьезоприводов, существенно повысит производительность сканирующей туннельной
микроскопии.
Таким образом, разработка многозондовой системы
для формирования нанообъектов на подложке является процессом, включающим много
этапов. Недостаточно спроектировать лишь систему, необходим целый комплекс,
включающий в себя как материальную составляющую, так и программное обеспечение.
Для успешного внедрения в состав существующих
производственных цепочек недостаточно внедрить только многозондовую систему,
необходимо так же синхронизировать работу управляющих программ и сделать их
совместимыми в контексте производства для лучшего контроля за протеканием
процесса, контроля отклонений от процесса и статистического анализа выхода
годных изделий.
Список использованных источников
1. Васин В.А., Ивашов Е.Н.,
Кузнецов П.С., Слепцов В.В. Информационные технологии проектирования в микро- и
наноинженерии: учебное пособие. В 3-х т. / Под общ. ред.: И.С. Кравчук. Т. 1.
Ивантеевка МО : НИИ предельных технологий, 2014. 246 с.
. Ветров В.А., Ивашов Е.Н.,
Федотов К.Д., Яговцев В.О. Методы оптимизации технических решений пьезоприводов
// Вестник машиностроения (перевод). 2015. № 3. С. 3-10.
. Гудвин Г.К., Гребе С.Ф.,
Сальгадо М.Э. Проектирование систем управления. М.: Бином, Лаборатория базовых
знаний, 2004. 912 с.
. Головин Ю.И. Введение в
нанотехнологию. М.: Машиностроение. 2003. 112 с.
. Духанин Ю.А., Акулин Д.Ф.
Техника безопасности и противопожарная техника в машиностроении. Учебное пособие
для техникумов. Изд. 2-е, переработ, и доп., М.: "Машиностроение",
1973. 304 с.
. Зенкевич О., Морган К.
Конечные элементы и аппроксимация: Пер. с англ. М.: Мир, 1986. 318 с.
. Ивашов Е.Н., Федотов К.Д.
Подсистема автоматизированного проектирования элементов пьезоэлектрических
устройств // Вестник машиностроения. 2014. № 6. С. 30-36.
. Икрин В.А. Сопротивление
материалов с элементами теории упругости и пластичности: Учебник для студентов,
обучающихся по направлению 653500 "Строительство". М: Изд. АСВ, 2004.
424 с.
. Степанчиков С.В., Ивашов
Е.Н. Теория механизмов и машин. Проектирование элементов и устройств
технологических систем электронной техники. 2-е изд., пер. И доп. Учебник для
бакалавриата и магистратуры / Под общ. Ред.: А.С. Сигов. М.: Юрайт, 2016. 369
с.
. Уилльямс Т. ЭМС для
разработчиков продукции. М.: Издательский дом "Технологии", 2003 г.
540 с.
11. Akin J. Ed. Finite
element analysis concepts via SolidWorks. - Houston, Texas.: Rice University,
2009. 348 p.
. Buzdugan G.,
Mihailescu E., Rades M. Vibration measurement. Springer Science+Business Media
Dordrecht. 1986. 345 P.
13. Garcia R., Knoll A.W.,
Riedo E. Advanced scanning probe litography // Nature Nanotechnology. No. 9.
2014. 27 P.
. Tseng A.A., Notargiacomo
A., Chen T.P. Nanofabrication by scanning probe microscope lithography: A
review. // American Vacuum Society, May/Jun 2005. P. 877-894.
15. Основные определения метода
конечных элементов. URL:
http://www.stroitmeh.ru/lect31.htm
(дата обращения 31.03.2017).
. Онлайн документация Solidworks.
URL: http://help.solidworks.com/
(дата обращения 31.03.2017).
. ООО Измеритель. URL:
http://izmeri.ru/05.html
(дата обращения 31.03.2017).
. ЭкоСфера. Виброаккустика. URL:
http://ekosf.ru/fizicheskie-faktory/vibroakustika
(дата обращения 31.03.2017).
19. Mitutoyo.
Краткое руководство по устройствам измерения вибраций. URL:
http://www.mitutoyo.co.jp/eng/products/menu/QuickGuide_Vibration-Testing-Machines.pdf
(дата обращения 31.03.2017).
20. Techno-NDT.
Устройства неразрушающего контроля. URL:
http://www.t-ndt.ru/index.php?id=64
(дата обращения 31.03.2017).
21. Techno-NDT.
Устройства неразрушающего контроля. URL:
http://www.t-ndt.ru/index.php?id=64
(дата обращения 31.03.2017).
22. Lion
Precision. Виброметры. URL:
http://www.lionprecision.com/micro-displacement-position-sensors.html
(дата обращения 31.03.2017).
23. Delphin Technology. URL:
http://www.delphin.com/vibration-measurement.html (дата
обращения
31.03.2017).
. Manfred
Weber. URL:
http://www.mmf.de/pc_data_acquisition.htm
(дата обращения 31.03.2017).
25. IBS Precision. URL:
http://www.ibspe.com/category/non-contact-measuring-systems.htm
(дата обращения 31.03.2017).
26. EI-Calc.
URL: http://www.ei-calc.com/
(дата обращения 31.03.2017).
27. Bruel
& Kjaer. Брошюра. http://www.bksv.com/doc/br0094.pdf
(дата обращения 31.03.2017).