Научно-технический прогресс

  • Вид работы:
    Курсовая работа (т)
  • Предмет:
    Бухучет, управленч.учет
  • Язык:
    Русский
    ,
    Формат файла:
    MS Word
    147,25 Кб
  • Опубликовано:
    2016-10-23
Вы можете узнать стоимость помощи в написании студенческой работы.
Помощь в написании работы, которую точно примут!

Научно-технический прогресс

Содержание

Введение

Глава I. Анализ современных проблем использования СЭД в российских компаниях

I.1       Теоретические основы документооборота

I.1.1   Основные понятия документооборота

I.1.2   Основные принципы электронного документооборота

I.1       Процессная модель организации

I.2       Функциональные требования к СЭД

I.3       Нефункциональные требования к СЭД

I.4       Проблемы, связанные с системами документооборота

I.5       Современные средства визуализации бизнес-процессов

Выводы главы I

Глава II. Построение модели оценки эффективности системы документооборота (СД)

II.1     Формальная модель СД

II.1     Критерии эффективности системы документооборота

II.1.1 Временной критерий эффективности

II.1.2 Стоимостный критерий эффективности

Выводы главы II

Глава III. Практическая реализация

III.1    Предпроектное обследование

III.1.1            Общее обследование

III.1.2            Информационное обследование

III.2    Оценка эффективности в соответствии с критериями

III.3    Рекомендации по повышению эффективности

Выводы главы III

Заключение

Список использованных источников

Введение


Научно-технический прогресс продолжает свое шествие по планете, и одним из наиболее важных и существенных его факторов стали информационные технологии. Ни одна современная компания не обходится без электронных средств коммуникации и обработки документации, потому задача создания эффективной системы электронного документооборота является одной из наиболее актуальных, а спрос на предлагаемые решения не падает.

В настоящее время сложно отыскать организацию, не использующую подобную систему; реализовано и эксплуатируется множество пакетов. Но зачастую на внедрении одного пакета системы электронного документооборота все не заканчивается, и в производственную деятельность компании интегрируются и другие решения. Руководство компаний объясняет подобную ситуацию исключительно недостаточной полнотой функционала каждого пакета в отдельности. Следствием внедрения нескольких информационных систем является избыточность информационных потоков, что приводит к дополнительным расходам компании, связанным с технологическими и человеческими ресурсами.

Но, к сожалению, в настоящее время не существует четкой системы критериев и методов оценки эффективности систем документооборота. Этот факт и неугасающая актуальность таких систем позволяют сделать вывод о том, что исследования, проводимые в рамках этой работы, являются актуальными.

Глава I. Анализ современных проблем использования СЭД в российских компаниях


I.1     Теоретические основы документооборота


I.1.1  Основные понятия документооборота

Документооборот - цикл обработки документов, отражающий их движение от момента создания или момента получения, дальнейшую обработку и завершающийся исполнением либо отправлением. Разделяется на категории: электронный и традиционный. Первый обеспечивает использование и обработку документов с использованием электронных средств коммуникации, второй - исключительно на бумажных носителях. В настоящее время существует также композитный документооборот, сочетающий в себе элементы электронного и традиционного.

Документ является основной единицей структурирования документооборота. Если использовать Федеральный закон и определение по ГОСТ Р 51141-98"Делопроизводство и архивное дело" , можно процитировать: «Документ - зафиксированная на материальном носителе информация с реквизитами, позволяющими ее идентифицировать» » [1].

Электронный документ в понимании современного пользователя - это созданный, зафиксированный и зарегистрированный согласно действующему законодательству с использованием средств электронной техники, заверенный электронной подписью при использовании программных технологий и криптографии на электронном носителе документ. Такой электронный документ , заверенный электронной подписью, признается равнозначным документу на бумажном носителе, заверенному оригинальной собственноручной подписью. Случаи признания равносильности данных документов определяются нормативными артами, не противоречащими Федеральным законам, при условии заключения соглашения Сторонами об обмене электронными документами.

ЭП - электронная подпись - это программно зашифрованная информация в электронной форме, которая уникально идентифицирует подписывающее лицо, Данная электронная подпись присоединяется к иной информации , созданной с помощью электронных средств коммуникации, является аналогом собственноручной подписи владельца ЭП и подтверждает подлинность передаваемых документов либо информации.

I.1.2  Основные принципы электронного документооборота

Наиболее удачным кажется определение системы электронного документооборота, приведенное В.М.Гайковичем в [2]: «СЭД - это электронная система, обеспечивающая строго регламентированное и формально контролируемое движение документов внутри и вне организации на основе информационных и коммуникационных технологий».

Главное назначение СЭД - это интеграция любых документов в документооборот предприятия, вне зависимости от того, на каком носителе находится документ, а также организация работы с любым видом задокументированной информации. Системы электронного документооборота, как успешно внедряемые, так и находящиеся только на стадии разработки в настоящее время, имеют в своей основе ряд общих принципов:

)        Реализуется возможность параллельного выполнения операций, необходимая для сокращения времени движения документов между участвующими сторонами и повышения оперативности их исполнения;

)        Для однозначной идентификации документов проводится однократная регистрация его в системе;

)        Для однозначного определения ответственного за исполнение документа (задачи) в каждый момент времени жизни документа (процесса) реализуется принцип непрерывного движения документа;

)        Чтобы максимально исключить даже возможность дублирования документов создается единая (или согласованная распределённая) документная база;

)        Предусматривается система поиска, позволяющая находить документ, обладая минимумом информации о нём;

)        Для контроля движения документов по процессам документооборота и возможности принятия своевременных и точных управленческих решений создается система отчётности по различным статусам и атрибутам документов.

1.2    Процессная модель организации


Любая современная компания является сложной организационной структурой с большим объемом документов, циркулирующих как внутри компании, так и между компанией и другими физическими и юридическими лицами.

Понятие делового процесса лежит в основе процессного подхода к анализу и синтезу деятельности учреждений.

Деловой процесс - последовательность действий, называемых подпроцессами, направленная на получение заданного результата, представляющего ценность для потребителя.

Результат (выход) делового процесса - то, ради чего осуществляется деловой процесс - некоторый  результат, удовлетворяющий заданным требованиям.

Входы делового процесса - ресурсы (материальные, информационные, человеческие), необходимые для выполнения и получения результата процесса, которые потребляются или преобразовываются в процессе его выполнения.

Процессный подход позволяет рассматривать деятельность учреждения как связанную систему деловых процессов, каждый из которых протекает во взаимосвязи с другими процессами или внешней средой.

При таком подходе любую компанию в целом можно рассматривать как систему, потребляющую некоторые ресурсы на входе, затем преобразующую их внутри себя и выдающую определенный результат на выходе. Вся эта система представляет собой комбинации и последовательности процессов, осуществление которых обеспечивает получение результата, позволяющего достичь поставленных целей. Содержание и форма процессов будет определяться целевыми установками компании в общем, но в то же время для каждого процесса будет поставлена своя цель, которая является критерием эффективности данного процесса. Выполнение целей всех процессов приводит к достижению изначально поставленных компанией целей. Количество и направленность процессов определяется поставленными целями и стратегиями их достижения.

Простейшая процессная модель организации выглядит следующим образом:


1.3    Функциональные требования к СЭД

 

Функциональные требования служат для описания функционала системы. К таким требованиям относят:

1)      Бизнес-требования - «заказанные» разработчикам функции системы;

2)      Пользовательские требования - описывают цели (задачи) пользователей системы, которые должны или могут достигаться (выполняться) ими при помощи создаваемой системы;

3)      Функциональные требования - определяют поведение программной системы, которая должна быть создана разработчиками для предоставления возможности выполнения пользователями своих обязанностей в рамках бизнес-требований и в контексте пользовательских требований.

В каждой организации ежедневно протекает множество процессов. Чтобы систематизировать и упорядочить бизнес-процессы, протекающие на предприятии, их принято делить на следующие основные группы [3]:

1)      Основные - генерируют доходы компании. Примерами подобных процессов служат процессы закупки, продажи и производства продукции; ее складирования и транспортировки.

2)      Обеспечивающие - поддерживают инфраструктуру компании. В эту категорию входит техническое, информационное и административно-хозяйственное обеспечение; обеспечение безопасности, социальной сферы и финансовых операций; консультационное и аудиторское обеспечение.

3)      Управления - управляют компанией. К этой категории относят такие процессы как процессы управления финансами, маркетингом, персоналом и логистикой; экономическое, стратегическое и организационное управление, а также управленческий учет.

4)      Развития - развивают компанию. Представляют инвестиционные виды деятельности, нацеленные на прибыль от сегодняшних вложений в долгосрочной перспективе.

Несмотря на подобное четкое разделение, выделенные группы процессов связаны между собой. Изобразить эти связи можно в виде схемы:


Чем крупнее организация, тем большие внешние и внутренние потоки документов будут циркулировать в процессе выполнения соответствующих бизнес-процессов. Потому СЭД любой организации должна быть нацелена, прежде всего, на решение следующих важных задач:

)        Автоматическое отслеживание и контроль движения всех версий и подверсий документов любых типов, сроков их исполнения и внесенных изменений;

)        Охватывание полного цикла документооборота: начиная с постановки задачи на создание документа и заканчивая списанием его в архив;

)        Работа с входящей и исходящей документацией;

)        Обеспечение доступа к документам в соответствии с занимаемой должностью и назначенными полномочиями (жесткий контроль разграничения прав доступа);

)        Обеспечение структурированного централизованного хранилища документов любых форматов и сложности композиции;

)        Поиск документов по заданным значениям атрибутов;


1.4    Нефункциональные требования к СЭД

 

Нефункциональные требования служат для описания целей и атрибутов качества - дополнительного описания функций продукта, выраженного через описание его характеристик, важных для пользователей или разработчиков. Примерами подобных характеристик являются:

-       легкость и простота использования программы,

-       степень сложности перемещения системы с одного носителя на другой,

-       целостность и устойчивость системы к сбоям,

-       эффективность,

-       возможность и виды взаимодействия системы и внешнего мира,

-       ограничения, связанные с внешним видом (дизайном) и реализацией структуры продукта.

1.5    Проблемы, связанные с системами документооборота


Несмотря на то, что системы документооборота распространены повсеместно, в настоящее время невозможно выделить совершенно беспроблемный способ организации работы с документами. Проблемы, присущие системам документооборота, организованным по традиционному бумажному принципу, можно несложно выделить:

)        Проблема контроля прав доступа: информация попадает «не в те руки»;

)        Бумага - непрочный носитель, легко теряется и повреждается;

)        Переполнение архива несистематизированными документами неясного назначения и происхождения;

)        Избыточность и неприспособленность к современному темпу обработки информации скорость обработки документации;

)        Дублирование решений в связи с невозможностью отслеживания маршрутов движения документов;

)        Невозможность установления истории работы с документами;

)        Необходимость больших затрат времени на поиск документов в архивах;

)        Затраты на материал - бумагу - при большом объеме документооборота достигают невероятных размеров.

Электронный документооборот также обладает рядом присущих ему проблем:

)        Возможность получения несанкционированного доступа к конфиденциальной информации;

)        Проблемы технического характера: неполадки оборудования и быстрое развитие технического прогресса, что влечет за собой вероятность утери ценной информации и дестабилизацию деловых процессов компании;

)        Проблемы нормативного характера: т.к. электронные документы - относительно недавно вошли в широкое обращение, то в данный момент отсутствуют нормативно-правовые акты, стандарты работы и экспертизы ценности электронных документов, верифицированных электронной подписью.

Исходя из полученного списка проблем, можно сделать вывод, что система документооборота, основанная только на одном способе обработки документов, не будет позволять организации осуществлять эффективную деятельность. Поэтому нужно стремиться к гармоничному сочетанию обоих способов в композитную систему документооборота и поиску наиболее эффективной из представленных на рынке.

1.6    Современные средства визуализации бизнес-процессов


В современном мире существует множество методов моделирования бизнес процессов. Эти методы делятся на разные группы по видам моделирования; по виду аспектов, на которых позволяют сфокусировать внимание. Функционал методов содержит как графические, так и текстовые средства, что позволяет составить наиболее полную картину основных компонентов процесса и максимально точно определить параметры и связи элементов.

В данной работе используются следующие методы:

)        IDEF0 -

один из группы методов IDEF (Integrated Definition for Function Modeling), используемый для описания системы в целом как множества взаимозависимых действий, или функций. IDEF0 - функционально направленный метод, т.е. позволяет сконцентрироваться на исследовании функций, а не объектов, обеспечивающих их выполнение.

Указанный метод реализован в виде программного обеспечения. В процессе исследования с целью применения описанных методов было решено использовать CASE-средство моделирования бизнес-процессов AllFusion Process Modeler.

 

Выводы главы I


В первой главе данной работы были исследованы теоретические аспекты организации процесса документооборота и бизнес-процессов компании. Также была исследована структура процессов организации и на ее основе сделаны выводы о процессах, выполнение которых в первую очередь рекомендуются к реализации функциональными средствами электронных систем документооборота.

Важным итогом данного этапа исследования также является изучение современных компьютерных средств моделирования бизнес-процессов и их роль в решении проблем, связанных с системами документооборота.

Глава II. Построение модели оценки эффективности системы документооборота (СД)


II.1.   Формальная модель СД


Для создания формальной модели документооборота необходимо исследование реального объекта для выявления сценариев его поведения и протоколов свойств, совокупность которых является интерфейсом с внешним миром. Общее множество установленных протоколов и выявленных сценариев образует правила. При задании формальной модели используется конечное количество правил, поэтому модель всегда проще реального объекта, вне зависимости от применяемой методологии обследования и инструментария задания правил, но при этом утрачивается ряд свойств моделируемого объекта.

М.Ю.Круковский в [4] предлагает производить декомпозицию процесса документооборота до совокупности элементов, которые можно разделить на три категории: непосредственно участники процесса документооборота, состояния документов и действия, проводимые участниками над документами.

Значит, формально процесс документооборота может быть представлен в виде тройки

ДТ = {У, Д, Ф}, где

-       ДТ - формальная модель документооборота;

-       У - множество участников - конечное множество возможных ролей участников документооборота, У = {ui}, i=1,…,n; nÎN;

-       Д - множество действий - конечное множество допустимых в пределах системы действий, Д = {dj}, j=1,…,m; mÎN;

-       Ф - множество состояний документов - конечное множество состояний, которые может принять документ после того, как участник из множества У проведет над ним действия из множества Д, Ф = {fl}, l=1,…,h; hÎN.

Фактически подобная интерпретация означает следующее: «Документооборот - это множество действий, совершаемых множеством участником над множеством состояний документов».

Возьмем в качестве основы модель, предложенную М.Ю.Круковским, т.к. она с большой долей адекватности отображает конструктивные элементы и их связи внутри процесса документооборота, и дополним ее еще одним параметром. В качестве этого дополнительного параметра выберем время изменения состояния системы, которое можно представить в виде конечного множества Т = {tj}, j=1,…,m; mÎN, элементами которого являются расчётные длительности периодов между последовательными моментами изменения состояний системы - завершения выполнения j-го действия.

2.2    Критерии эффективности системы документооборота

Для начала приведем модель системы документооборота в целом для условной организации «ООО» в виде контекстной диаграммы:

Рисунок 1. Общая модель системы документооборота для условной организации «ООО»

Прямоугольник на рисунке 1 обозначает основную бизнес-функцию. Стрелки имеют несколько назначений:

-       Водящие в прямоугольник слева обозначают вход, т.е. то, что преобразуется основным функциональным входом;

-       Те, что входят в прямоугольник снизу, означают механизм исполнения - то, что непосредственно реализует моделируемое действие;

-       Стрелка справа, направленная он прямоугольник к границе экрана, означает выход - конечный продукт действия системы;

-       Входящая в верхнюю грань - стрелка управления, означает то, что регулирует выполнение функционального блока. [5]

Для большей детализации бизнес-функции «Система документооборота компании «ООО»», воспользуемся методом декомпозиции - метод разбиения объемной бизнес-функции в виде совокупности подфункций - и представим результат в виде диаграммы IDEF0:

Рисунок 2. Декомпозиция 1 уровня системы документооборота

Как можно видеть из рисунка 2 процесс документооборота любой организации можно разделить на три подпроцесса, каждый из которых связан с работой с документами определенного типа. Каждый из этих подпроцессов также можно разделять на многие составляющие, потому в этой работе предлагаю сосредоточиться на исследовании бизнес-процесса «Обработка исходящих документов». Аналогично с детальным рассмотрением основной бизнес-функции «Система документооборота для условной организации «ООО»», составим декомпозицию функции «Обработка исходящих документов». Диаграмма-результат в нотации IDEF0 представлена на Рисунке 3:

Рисунок 3. Декомпозиция бизнес-процесса "Обработка исходящих документов"

Оценка эффективности сложного процесса, в состав которого входит множество более мелких подпроцессов, - непростая задача, потому целесообразно постараться максимально детализировать функциональные элементы системы. В рамках данного исследования было решено сосредоточиться на рассмотрении бизнес-процесса «Согласование проекта документа», подробная декомпозиция которого приведена на рисунке 4:

Рисунок 4. Декомпозиция бизнес-процесса "Согласование проекта документа"

Существует несколько категорий характеристик бизнес-процессов организации:

)        Время начала и конца;

)        Затраты времени на выполнение процесса;

)        Затраты труда, необходимого для выполнения процесса;

)        Затраты материалов, требуемых для успешного завершения процесса.

В соответствии с приведенными выше характеристиками можно построить критерии эффективности бизнес-процесса двух видов:

)        Критерий эффективности по длительности процесса;

)        Критерий эффективности по стоимости процесса.

II.1.1.         Временной критерий эффективности

В предложенную М.Ю.Круковским в [4] модель было введено четвертое множество компонент: множество Т длительностей периодов между последовательными моментами изменения состояния системы, ведь система документооборота - динамическая система, состояние которой изменяется в каждый момент, когда изменяется состояние документов, циркулирующих внутри, то есть в моменты смены процессов, из которых она состоит.

Время изменения состояния процесса складывается из суммарного времени изменения состояния всех подпроцессов, входящих в процесс. Рассмотрим бизнес-процесс «Согласование проекта документа», декомпозиция которого представлена на рисунке 4. Как можно видеть из диаграммы, возможны два сценария развития событий:

1)      Проект с первого раза был принят на подпись без замечаний. Тогда процесс выполнится полностью и изменит свой состояние после завершения всех подпроцессов диаграммы:

Рисунок 5. Согласование безошибочного проекта документа

2)      Проект документа был выполнен с ошибками, и выполнение процесса «Согласование проекта документа» завершилось после окончания первого же подпроцесса «Подписание руководителем», откуда проект был отправлен на доработку:

Рисунок 6. Согласование проекта документа с ошибками

Второй вариант протекания процесса отличается тем, что может совершаться не единожды, т.к. после доработки замечаний руководителя проект документа снова должен будет пройти этап подписания. Это значит, что при подсчете общего времени изменения состояния процесса «Согласование проекта документа» для одного конкретного документа, мы должны учесть, сколько раз его проект подавался на подпись, т.е. сколько времени было затрачено руководителем на выполнение подпроцесса «Подписание руководителем», пока его результатом не стал подписанный проект.

Каждому i-му, i=1,…,n элементу ui множества ролей У поставим в соответствие количество часов рабочего времени, затраченных на выполнение j-го, j=1,…,m процесса dj - элемента множества действий Д - utij. Как было сказано выше, этот параметр зависит от qi - количества повторений исполнителя i-ой роли попыток успешного выполнения процесса: utij = qi*tj.

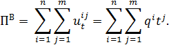
Тогда общее время изменения состояния процесса ПВ будет складываться из общего времени работы, затраченного на изменение состояния всех подпроцессов:


Вычисление значения данного параметра для большой многоуровневой системы рекомендуется проводить снизу - от самых мелких подпроцессов - вверх, к основной бизнес-функции. Соответственно, для системы документооборота в целом, общее время изменения состояния будет вычисляться по приведенной выше формуле на основе трех подпроцессов: «Обработка входящих документов», «Обработка исходящих документов» и «Обработка внутренних документов».

Временным критерием эффективности системы будет служить минимизация общего времени изменения состояний системы документооборота, т.е. необходимо выполнение требования:

.

Примеры достижения: за счет замены метода выполнения процесса на более быстрый; за счет исключения функциональной части из последовательности стадий выполнения процесса.

II.1.2.         Стоимостный критерий эффективности

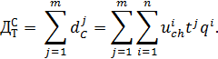
Каждому i-му, i=1,…,n элементу ui множества ролей У поставим в соответствие стоимость часа рабочего времени uchi.

Каждому j-му, j=1,…,m элементу dj множества действий Д поставим в соответствие стоимость выполнения действия dcj. Стоимость выполнения каждого действия зависит от того, как долго оно выполняется, и сотрудники какой квалификации требуются для выполнения, т.е. от роли участника документооборота. В зависимости от уровня роли в пределах компании меняется стоимость часа рабочего времени сотрудника, потому dcj = uchi * tj * qi, где tj - элемент множества Т - расчётное время выполнения j-го действия; qi - количество повторений исполнителя i-ой роли попыток успешного выполнения процесса.

Визуальная иллюстрация возможна на основе декомпозиционной диаграммы процесса «Обработка исходящего документа», которая приведена на рисунке 3. Из диаграммы легко заметить, что на выполнение каждого из подпроцессов требуются как силы непосредственных участников процесса - сотрудников организации, так и наличие необходимого программного обеспечения. Если представить процесс в том виде, что он изображен на рисунке, то необходимо будет учитывать стоимость работы ресурсов, необходимых на выполнение шести подпроцессов. Но предположим следующую ситуацию: проект документа, являющийся результатом функционирования подпроцесса «Подготовка проекта документа», полностью соответствует всем требованиям руководителя и не требует никаких доработок. Тогда функциональный состав процесса «Обработка исходящего документа» примет вид:

Рисунок 7. Декомпозиция процесса обработки исходящего документа в случае безошибочного проекта

электронный документооборот бизнес

Как легко видеть из рисунка 7, в данной ситуации необходимо будет предусмотреть затраты на оплату работы ресурсов, необходимых для выполнения уже пяти подпроцессов. Данные наблюдения подводят нас к определения формального выражения для вычисления стоимости работысистемы.

С учетом введенных обозначений стоимость работы системы в целом , которая выражается через суммарную стоимость всех протекающих бизнес-процессов, вычисляется следующим образом:



Стоимостным критерием эффективности системы будет служить минимизация общей стоимости работы системы документооборота, т.е. необходимо выполнение требования:

.

 

Выводы главы II


В данной главе были изучены способы представления процессов, протекающих внутри системы, в виде контекстных диаграмм и диаграмм декомпозиции IDEF0 на примере бизнес-функции «Система документооборота условной компании «ООО»». Диаграммы данного типа позволяют точно отразить функциональный состав процесса, потому они идеально подходят для проведения анализа, необходимого в процессе исследования.

На основе проведенного анализа диаграмм декомпозиции бизнес-процессов системы документооборота разного уровня были сделаны выводы о стоимостном и временном критериях эффективности работы системы. Данные критерии несут в себе большой практический смысл и будут полезны для оценки эффективности системы на всех этапах ее существования: этапах проектирования, разработки и последующего внедрения в работу конкретной организации.

Глава III. Практическая реализация


Процесс оценки эффективности системы документооборота организации требует от исследователей определенной подготовки, которая носит название «Предпроектное обследование предприятия» и которую можно разбить на следующие этапы:

)        Общее обследование предприятия. Для составления наиболее полной картины о процессе функционирования организации принято использовать следующие методы:)         Анкетирование сотрудников;)       Сбор документации;)  Интервьюирование сотрудников.

)        Информационное обследование предприятия. Для выделения основных проблемных аспектов и направлений совершенствования рекомендуется проводить работы в следующем порядке:)     Общее информационное обследование объекта;)         Исследование информационных потоков;)      Выделение основных функциональных подсистем.

Далее, на основе полученных в результате предпроектного обследования организации данных и сконструированной модели бизнес-процессов организации, следует:

1)      Провести непосредственную оценку системы документооборота с точки зрения эффективности ее функционирования в соответствии с предложенными в главе II критериями.

)        Используя полученную в результате проведения работы из предыдущего пункта данного списка информацию составить список рекомендаций по повышению эффективности работы системы документооборота да обследуемой организации.

III.1  Предпроектное обследование


Предпроектное обследования предприятия проводится специалистами-аналитиками с целью изучения деятельности организации и представления полученных данных в виде четко структурированной иерархии диаграмм, позволяющих упорядочить протекающие бизнес-процессы и потоки информации между подразделениями. Предпроектное обследование играет очень важную роль в процессе выработки рекомендация по оптимизации функциональной структуры компании и повышения эффективности ее работы.

III.1.1.        Общее обследование

На данном этапе целью аналитиков является получение как можно более полной информации о деятельности организации.

Анкетирование

Начальный этап для составления самого общего представления о происходящих внутри организации процессах. Для этого составляются специальные анкеты, которые рассылаются сотрудникам после того, как будут утверждены руководителями подразделений. Пример такой анкеты приведен в таблице 1 (в колонке «Ответ» светло-серым приведены примеры ответов на обозначенный в колонке «Вопрос» вопрос).

Таблица 1. Пример анкеты

Вопрос

Ответ

Личные данные

Подразделение


Должность


ФИО


Телефон


Рабочая информация

ФИО руководителя подразделения


Контакты руководителя

<Телефон, e-mail и т.п.>

Основные функции подразделения

< Определение форм договорных отношений; подготовка проектов договоров и т.п.>

Формат исходящей из подразделения информации

<Письма, отчеты, договоры и т.п.>

Формат входящей в подразделение информации

<Письма, договоры, заявки, приказы, счета и т.п.>

Формат внутренней информации

<Приказы, трудовые договоры, служебные записки и т.п.>

Внешние контакты подразделения

Тип организации

<Банк/поставщик/заказчик и т.п.>

Формат передаваемой информации

<Письма, отчеты, договоры и т.п.>

Формат входящей информации

<Письма, договоры, заявки, приказы, счета и т.п.>

Архивирование

Тип архива

<Бумажный/электронный/композитный>

Сроки хранения документации


Личное мнение

Уровень удовлетворенности существующей системой документооборота

<По шкале от 1 до 10: 1 - абсолютно не удовлетворён; 10 - ничего бы не изменил>

Тип организации документооборота

<Традиционный/композитный/электронный>

Предложения по модификации существующей системы документооборота

<Необходимо введение/исключение из работы электронной системы; улучшение интерфейса электронной системы для более комфортной работы и т.п.>

Верификация изложенных данных


Подпись/расшифровка подписи



Сбор документации

Не имеет четких временных рамок и места в последовательности этапов исследования организации, т.к. частично протекает на каждой стадии исследования.

Цель этапа - формирование базы всевозможных типовых форм документов с разбивкой по видам деятельности подразделений. Вариант реализации: проанализировать ответы сотрудников всех подразделений на ответы, связанные с типом информации, находящейся в обращении, и запросить типовые бланки и форму указанных документов у руководителей или ответственных лиц по каждому подразделению.

Интервьюирование сотрудников

Непростой этап с точки зрения получения требуемого результата, т.к. требует личного общения с каждым сотрудником и, соответственно, появляется необходимость наличия навыка поиска индивидуального подхода в общении.

Несмотря на свою сложность, важность этой стадии обследования организации неоценима. Любая современная организация - особенно крупная - это большой механизм, состоящий из множества элементов и подсистем, и собрать общую картину ее функционирования можно только методом объединения точной информации о работе конкретных подразделений. В ходе данного этапа предпроектного обследования следует обязательно получить сведения по следующим направлениям:

)        Технологии, используемые предприятием для сообщения с внешними партнерами, и технологии, используемы для работы внутренних подразделений;

)        Реальные функции подразделений компании и виды связей между ними;

)        Детализация информации о технической базе предприятия и методе организации архива, спецификация каждой его части;

)        Сбор статистики по протекающим бизнес-процессам.

Для упрощения сбора и систематизации информации целесообразно составлять отчет о каждом проведенном интервью. Пример шаблона отчета приведен в таблице 2.

Таблица 2. Пример отчета о проведенном интервью

Тема интервью (бизнес-процесс)

<Название бизнес-процесса>

Функциональная область

< Название бизнес-сценария>

Данные сотрудника

<ФИО>

<Должность>

<Отдел>

Данные проводящих интервью

<ФИО>

<Должность>


<ФИО>

<Должность>

Дата интервью


Организационная структура подразделения


Основные задачи подразделения


Основные обязанности сотрудника


Основные функции сотрудника/подразделения в бизнес-процессе

Функция 1

Входные данные

<Тип>


<Вид>


<Источник>


<Способ передачи>

Описание бизнес-функции


Дополнительные данные (аналитика)


Выходные данные

<Тип>


<Вид>


<Источник>


<Способ передачи>

Используемые справочники (если есть)


Исполнитель


Основные проблемы/ пожелания к улучшению


Статистические показатели, характеризующие функцию


Отчетная форма


Функция 2

<повторить те же поля, что и для функции 1>



Подготовлено:

<Дата, подпись, расшифровка подписи>

Согласовано:

<Дата, подпись, расшифровка подписи>

 

III.1.2.        Информационное обследование

Общее информационное обследование объекта

Главная задача на данном этапе - не детализируя способы выполнения функций четко расписать, что происходит в системе.

Программа обследования нацелена на определение следующих информационных блоков:

)        Виды деятельности, реализуемые системой;

)        Технологии, применяемые в системе;

)        Организационно-штатная структура компании;

)        Функциональный анализ подразделений и составление карты действий, осуществляемых над документами в пределах каждого подразделения;

)        Четкая информация по документации: типы, виды и шаги обработки.

Собранная информация группируется в документы:

)        Фактографический отчет (содержит информацию о структуре и функциях системы и информацию о документах (образцы и описания обработки)).

)        Досье правовых документов (содержит список и экземпляры правовых положений, регулирующих формирование подсистем).

Исследование информационных потоков

В данном случае специалиста-аналитика интересуют именно процессы формирования документов и пути их движения, начиная с момента создания в подразделении и заканчивая перемещение на хранение в архив или отправкой за пределы системы.

Для формального описания потоков информации на предприятии целесообразно применять DFD-метод и CASE-средства (например, используемый в процессе написания данной работы AllFusion Process Modeler).

Выделение основных функциональных подсистем

На этом этапе основной целью является выделения событий, происходящих над документами, и установка связей между ними в каждом из подразделений, с последующим объединением их в функциональные подсистемы. Для наглядности и простоты анализа собранной информации Для формального описания функциональной структуры предприятия целесообразно конструировать диаграммы нотации IDEF0 с использованием CASE-средств (например, используемого в процессе написания данной работы AllFusion Process Modeler).

III.2  Оценка эффективности в соответствии с критериями


По завершении процесса предпроектного анализа у исследователя-аналитика будет готова четкая функциональная схема работы системы документооборота в виде структурированной иерархии IDEF0 и DFD диаграмм, дополненная полным набором данных о видах и способах обработки циркулирующей документации, на основе которой он сможет провести оценку эффективности работы системы документооборота в соответствии каким-либо одним (стоимостным или временным), либо с обоими критериями.

В качестве рекомендации к выбору того или иного критерия эффективности можно использовать следующие соображения:

-       Временной критерий эффективности будет полезен для оценки систем документооборота коммерческих компаний, ведь в условиях непрерывно меняющегося рынка особенно важна скорость реакции на происходящие изменения. Соответственно, чем быстрее будут совершаться все необходимые бизнес-процессы, тем выше будет скорость реакции и тем выше шансы компании оставаться на вершине отрасли.

-       Стоимостный критерий эффективности целесообразно применять для оценки систем, используемых в государственных учреждениях. Для таких организаций остро стоит вопрос бюджетного ограничения, в то время как быстродействие отходит на второй план.

Обобщая пример, сделаем вывод, что первой рекомендацией к повышению временной эффективности системы документооборота служит рекомендация к введению в функционал системы технических средств, позволяющих осуществлять выполнение процессов дистанционно (например, уже упомянутые средства работы с электронной подписью).

Второй вариант ускорения бизнес-процессов - замена кадрового состава на более эффективный, способный обеспечивать выполнение процессов в более короткий срок.

Для второй группы компаний, ориентированных на строгое соблюдение рамок бюджета, наиболее актуальна минимизация расходов на обеспечение эффективной работы системы документооборота. Т.к. нет нужды в одновременной минимизации времени работы, подобные компании могут позволить себе:

1)      Перейти на программное обеспечение более низкого функционала, что ведет к снижению стоимости разработки и внедрения;

)        Снизить расходы на сотрудников: нанять кадры с более низкой квалификацией, но подходящих для выполнения необходимых бизнес-процессов.

Возможности по повышению эффективности работы системы документооборота ни в коем случае не ограничиваются приведенными в данном разделе, руководство каждой организации может найти собственный путь увеличения эффективности работы системы в соответствии с требуемым критерием эффективности.

 

Выводы главы III


В данной главе приведен алгоритм, предваряющий анализ системы документооборота на эффективность ее работы. Были выделены основные ступени составления иерархии функциональных диаграмм компании.

В процессе оценки эффективности систем документооборота по выделенным в предыдущей главе критериям было принято разделить компании на две категории: коммерческие и государственные, для каждой из которых впоследствии были приведены рекомендации по повышению эффективности систем документооборота.

Заключение


Системы документооборота являются основой организационно-деловых процессов компании. Такие системы, вне зависимости от типа и размера, всегда очень сложны, их функционал задействован в работе всех подразделений организации.

В первой главе данного исследования изучены теоретические основы документооборота: базовые понятия и принципы. Далее были исследованы особенности устройства деловых процессов организации, их типы и взаимосвязи. Подобное погружение в основы организации бизнес-процессов позволило выделить наиболее трудоемкие и важные из них, которые следовало бы оптимизировать в первую очередь с помощью введения средств для ведения документооборота в электронном виде, ведь системы электронного документооборота с течением времени играют все более важную роль в деятельности организации в общем.

Для решения задачи эффективного и более подробного изучения бизнес-процессов было принято решение использовать CASE-средства моделирования. Работы по моделированию бизнес-функций выполнялись с помощью приложения AllFusion Process Modeler и использования функционально-ориентированного метода IDEF0.

Во второй главе способы моделирования бизнес-процессов были изучены более подробно. В качестве основного объекта для изучения решено было выбрать бизнес-функцию «Система документооборота условной компании «ООО»». На первом этапе была построена ее контекстная диаграмма, далее построены диаграммы декомпозиции нотации IDEF0 трех уровней детализации подпроцессов основной бизнес-функции для более полного понимания того, что большой процесс документооборота складывается из множества подпроцессов. Диаграммы данного типа позволяют точно отразить функциональный состав процесса, потому они идеально подходят для проведения анализа, необходимого в процессе исследования.

На основе проведенного анализа диаграмм декомпозиции бизнес-процессов системы документооборота разного уровня были сделаны выводы о целесообразности разделения критериев эффективности работы системы документооборота на две группы: временные (связанные с задачей минимизации времени изменения состояния системы) и стоимостные (связанные с задачей минимизации затрат на поддержание эффективного и бесперебойного функционирования системы). Полученные критерии найдут широкое применение на практике и будут полезны для оценки эффективности системы на всех этапах ее существования: от проектирования, до внедрения в работу конкретной организации.

Третья глава работы посвящена проблеме предпроектного обследования организации - процесса изучения ее составных частей, функциональных особенностей и особенностей документов, обработка которых производится в процессе документооборота. Подобный процесс целесообразно алгоритмизировать и проводить для досконального изучения назначения протекающих процессов перед оценкой эффективности системы документооборота. Во время проведения предпроектного обследования компании составляется также четкая иерархия функциональных диаграмм компании для упрощения процесса анализа эффективности деятельности.

В процессе оценки эффективности систем документооборота по временному и стоимостному критериям было принято решение рассматривать компании двух категорий: коммерческие, отличительной чертой которых является необходимость умения быстрого реагирования на изменения рынка, и государственные - находящиеся в рамках бюджетных ограничений. Для каждого типа компаний были сформированы примеры рекомендаций по повышению эффективности систем документооборота.

Изученные в процессе выполнения работы теоретические основы документооборота, методы моделирования и визуализации бизнес-процессов, а также функциональные подсистемы системы документооборота и методология проведения обследования предприятия с целью выявления особенностей и закономерностей функционирования всех его компонент помогут в дальнейших исследованиях по увеличению эффективности как уже существующих систем документооборота, так и тех, что находятся пока только на стадиях проектирования и разработки.

Список использованных источников


[1] Делопроизводство и архивное дело. Термины и определения: ГОСТ Р 51141-98 // Изд-во стандартов. - 1998. - С.1.

[2] Гайкович В.М. Электронные системы. - М.: Мир, 2009. - С.17

[3] Фролова Л. В. Формирование бизнес-модели предприятия: Учебник. / Л. В. Фролова, Е. С. Кравченко - К.: Центр учебной литературы, 2012.

[4] Круковский М.Ю. Концепция построения моделей композитного документооборота. // Математические машины и системы. 2004. № 2 .

[5] Черемных С.В. Ч-46 Моделирование и анализ систем. IDEF-технологии: практикум. - М.: Финансы и статистика, 2006.

Похожие работы на - Научно-технический прогресс

 

Не нашли материал для своей работы?
Поможем написать уникальную работу
Без плагиата!
Без нейросетей!