Разработка конструкторской и технологической документации на токарную операцию при изготовлении детали на станке с ЧПУ

  • Вид работы:
    Курсовая работа (т)
  • Предмет:
    Информационное обеспечение, программирование
  • Язык:
    Русский
    ,
    Формат файла:
    MS Word
    293,85 Кб
  • Опубликовано:
    2017-06-02
Вы можете узнать стоимость помощи в написании студенческой работы.
Помощь в написании работы, которую точно примут!

Разработка конструкторской и технологической документации на токарную операцию при изготовлении детали на станке с ЧПУ

Министерство образования и науки Российской Федерации

ФГБОУ ВПО Кубанский государственный технологический университет (КубГТУ)

Кафедра машиностроения и автомобильного транспорта

Факультет машиностроения и автосервиса

Курсовая работа

по дисциплине "Автоматизированное программирование станков с ЧПУ"

На тему: Разработка конструкторской и технологической документации на токарную операцию при изготовлении детали на станке с ЧПУ

Реферат

САПР, АВТОМАТИЗИРОВАННОЕ ПРОЕКТИРОВАНИЕ, ТЕХНОЛОГИЧЕСКАЯ ОПЕРАЦИЯ,CAD-CAM СИСТЕМА ADEM, МОДЕЛЬ ДЕТАЛИ,СКОРОСТЬ РЕЗАНИЯ, ПОДАЧА, ИНФОРМАЦИОННАЯ БАЗА, ОБОРУДОВАНИЕ, ТЕХНОЛОГИЧЕСКИЕ ПЕРЕХОДЫ, РЕЖУЩИЙ ИНСТРУМЕНТ.

Объектом исследования является токарная обработка детали.

Цель работы - разработка управляющей программы для обработки детали. токарный станок резание

В курсовой работе приведена техническая характеристика токарного станка с ЧПУ модели CC-D6000E. Рассмотрена и описан пакет CAD-CAM системы ADEM. Выполнено сквозное проектирование обработки детали в системе ADEM с последующим выходом на станок ЧПУ. Произведен расчет параметров режимов резания. Создана технология изготовления разработанного изделия. Рассчитана траектория движения инструмента.

Содержание

Введение

. Нормативные ссылки

. Назначение и область применения станка модели CC-D6000E

.1 Общее описание станка модели CC-D6000E

.2 Технические характеристики станка CC-D6000E

. Использование станка CC-D6000E в комплексе с CAD-CAM системой ADEM

.1 Общие сведения по CAD-CAM системе ADEM

.2 Система ADEM. Основные сведения по модулю CAD

.3 Двухмерная графика в модуле CAD

.4 Система ADEM. Основные сведения по модулю CAM

.5 Токарные и фрезерные инструментальные блоки для станков с ЧПУ

. Сквозное проектирование обработки детали в системе ADEM с последующим выходом на станок с ЧПУ

.1 Разработка графической модели изделия

.2 Технологическая часть

.2.1 Описание детали

.2.2 Расчет параметров и режимов резания

.2.3 Создание технологии изготовления разработанного изделия

.2.4 Выбор модели станка с ЧПУ, на котором выполняется обработка

.3 Получение управляющей программы на языке системы ЧПУ выбранного станка

.3.1 Расчет траектории движения инструмента

. Управляющая программа для обработки данной детали

Заключение

Список использованных источников

Введение

Автоматизация проектирования началась с наиболее простого - с чертежных и графических работ, а также с выполнения на ЭВМ стандартных инженерных расчетов. Хотя автоматизация этих операций и важна, но на не дала качественного улучшения и существенного ускорения всего процесса проектирования сложных конструкций. Раньше, когда проектировались относительно простые изделия, конструктор мог справиться с этим самостоятельно. По мере усложнения создаваемых изделий становится все труднее оценивать конкретный вариант проекта, его соответствие исходным требованиям; увеличилось и число вариантов проекта, которое необходимо анализировать. Так как производительность конструктора осталась прежней, время проектирования (и качество) возросло. Выход из создавшегося положения дает изменение и упорядочение технологии проектирования. Усложнению конструкции и увеличению объема перерабатываемой конструктором информации противопоставляют новые методы ее обработки, т.е. дальнейшую автоматизацию проектирования. В этом случае конструктор ставит задачу для ЭВМ и принимает окончательное решение, а машина обрабатывает весь объем информации и делает первичный отбор.

Для такого взаимодействия человека с машиной созданы и создаются системы автоматизированного проектирования (САПР), представляющие собой комплекс вычислительных устройств, средств связи, средств отображения, а также комплекс математических моделей, специальные языки программирования и др. Автоматизированное проектирование избавляет проектировщика от трудоемких расчетов, позволяет больше времени отдавать творчеству, отысканию новых инженерных и научных решений. В результате автоматизированного проектирования создается эскизный проект, как правило, сложного изделия, содержащий его основные параметры, характеристики, схему конструкции и математическую модель изделия. Автоматизированное конструирование осуществляет оптимальный поиск конструктивных элементов изделия с помощью ЭВМ. При конструировании за основу принимается схема конструкции, полученная на предыдущем этапе. Схема дополняется конструктивной разработкой отдельных узлов, производится определение размеров, допусков, посадок и т.д. При этом широко используются библиотеки стандартных элементов - крепежа, подшипников.

В результате автоматизированного конструирования выпускается техническая документация, необходимая для технологической подготовки производства (разработки техпроцессов, оснастки, оборудования). Техническая документация содержит чертежи, получаемые на плоттерах (графопостроителях), и технические условия (сборки, контроля и т.п.). Вместе с тем в производство передаются программы для станков с ЧПУ (перфоленты). Таким образом, новая технология проектирования - это система, которая начинается от замысла и кончается выдачей проектной документации или опытного образца.

При автоматизированном проектировании за человеком остается только функция выдачи "первичного (исходного) описания" - формирования задания. Типовые программы автоматизированного проектирования широко применяются для определенных групп механизмов и деталей. Проектирование же сложных изделий пока возможно только с участием человека. Широкое применение ЭВМ при изготовлении и испытании изделий привело на многих предприятиях к автоматизированному производству, первые стадии которого автоматизированное проектирование и автоматизированное конструирование.

1. Нормативные ссылки

В настоящем курсовом проекте использованы ссылки на следующие нормативные документы:

ГОСТ Р 1.5-2004 Стандарты национальные Российской Федерации. Правила построения, изложения, оформления и обозначения

ГОСТ Р 7.0.5-2008 СИБИД. Библиографическая ссылка. Общие требования и правила составления

ГОСТ Р 211.101-97 СПДС. Основные требования к рабочей документации

ГОСТ 2.102-68 ЕСКД. Виды и комплектность конструкторских документов

ГОСТ 2.104-2006 ЕСКД. Основные надписи

ГОСТ 2.105-95 ЕСКД. Общие требования к текстовым документам

ГОСТ 2.106-96 ЕСКД. Текстовые документы

ГОСТ 2.109-73 ЕСКД. Основные требования к чертежам

ГОСТ 2.119-73 ЕСКД. Эскизный проект

ГОСТ 2.120-73 ЕСКД. Технический проект

ГОСТ 2.301-68 ЕСКД. Форматы

ГОСТ 2.302-68 ЕСКД. Масштабы

ГОСТ 2.305-68 ЕСКД. Изображения - виды, разрезы, сечения

ГОСТ 2.316-2008 ЕСКД. Правила нанесения на чертежах надписей, технических требований и таблиц

ГОСТ 2.701-2008 ЕСКД. Схемы. Виды и типы. Общие требования к выполнению

ГОСТ 2447-82 ЕСКД. Головки шлифовальные.

2. Назначение и область применения станка модели CC-D6000E

.1 Общее описание станка модели CC-D6000E

 

Токарный станок с ЧПУ модели CC-D6000E является малогабаритным токарным станком, относящимся к категории станков с открытой системой ЧПУ (с компьютерным ЧПУ). Он не имеет традиционной стойки управления, характерной для станков с числовым программным управлением, и управляется с помощью специального программного обеспечения NCCAD, установленного на компьютере, управляющем станком. При этом клавиатура и мышь выполняют функцию устройства ввода управляющих команд, а экран монитора - дисплея стойки ЧПУ. В пульте управления станка лишь смонтирован микропроцессор, который связан с компьютером через стандартный последовательный порт (COM-порт) и управляет перемещениями исполнительных органов станка. Станок предназначен для токарной обработки в центрах, патроне или зажимной цанге деталей из пластиков, цветных металлов и стали. Предпочтительная область применения станка: В промышленности: - мелкосерийное производство; - единичное производство. В учебном процессе: - изучение основ систем управления и программирования на станках с ЧПУ; - изучение технологии обработки материалов резанием. 3. В бытовых условиях. Условия эксплуатации станков - в помещении при температурах от плюс 10 до плюс 350 C и относительной влажности воздуха до 80 % при 250 С.

Общий вид рабочего места со станком CC-D6000E представлен на рис. 1. Основными элементами рабочего места являются станок 2, подставка под станок 1, защитная кабина 3 и управляющий компьютер 6, подключенный к пульту управления 4 при помощи соединительного кабеля 5.

Рисунок 1 - Общий вид рабочего места со станком CC-D6000E

 

.2 Технические характеристики станка CC-D6000E

 

Таблица 1 - Технические характеристики станка CC-D6000E

Характеристика

CC-D6000E

Масса

150 кг

Длина

1215 мм

Ширина

500 мм

605 мм

Общие рабочие размеры

Межцентровое расстояние

600 мм

Высота центров

135 мм

Наибольший диаметр обрабатываемой заготовки

над станиной

270 мм

над суппортом

170 мм

Главный шпиндель

Диаметр сквозного отверстия в шпинделе

20 мм

Размер внутреннего конуса шпинделя

МК 3

Суппорт

Наибольшее программируемое перемещение по оси X

200 мм

Наибольшее программируемое перемещение по оси Z

140 мм

Отсчет перемещений по оси X

Относительно диаметра

Отсчет перемещений по оси Z

В абсолютных значениях

Задняя бабка

Наибольшее перемещение пиноли

65 мм

Внутренний конус пиноли

МК 2

Поперечное смещение пиноли вперед-назад

±10 мм

Револьверная головка

Способ управления

При помощи ПО NCCAD

Количество позиций для установки инструмента

8

Позиции под инструмент для наружной обработки

4 паза с сечением 10х 10

Позиции под инструмент для внутренней обработки

4 отверстия O16 мм

Цена деления лимбов движения и линеек

лимб маховика продольной подачи суппорта

0,05 мм

лимб маховика поперечной подачи суппорта

0,05 мм

лимб рукоятки пиноли

1 мм

линейка пиноли задней бабки

1 мм

Электрооборудование станка

Характеристики питающей сети

род тока

переменный однофазный

частота тока

50 Гц

напряжение

220 В

Привод главного шпинделя

тип

однофазный, последовательного возбуждения

номинальная мощность

1,4 кВт

диапазон регулирования числа оборотов шпинделя

30…2300 об./мин.

наибольший потребляемый ток

Приводы подач исполнительных органов

тип

шаговый

2,9 В

потребляемый ток

1,7 А

крутящий момент

1 Нм

угол поворота одного шага

1,8

Подставка под станок

Длина

1060 мм

Ширина

450 мм

Высота

850 мм

Система подачи смазочно-охлаждающей жидкости (СОЖ)

Емкость бачка

19 л

Номинальная мощность насоса

0,07 кВт

Потребляемый насосом ток

0,4 A

Уровень звуковой мощности (на холостом ходу суппорта при ненагруженном шпинделе)

непосредственно над рабочим столом

67 дБ

в месте нахождения оператора станка

63 дБ


3. Использование станка CC-D6000E в комплексе с CAD-CAM системой ADEM

.1 Общие сведения по CAD-CAM системе ADEM

Основными факторами успеха в современном промышленном производстве являются сокращение сроков выхода продукции на рынок и снижение ее себестоимости при одновременном повышении качества. Добиться выполнения этих требований можно в первую очередь с помощью систем сквозного автоматизированного проектирования и последующего изготовления изделий на станках с ЧПУ. В настоящее время существует большое количество профессиональных систем сквозного автоматизированного проектирования, так называемых CAD-CAM систем, обладающих широкими возможностями и имеющих различные сферы применения. Специалисты ЗАО "ЭКОИНВЕНТ" рекомендуют для работы в едином конструкторско-технологическом пространстве с токарным станком с ЧПУ модели CC-D6000E применять CAD-CAM систему ADEM.

Интегрированный CAD-CAM комплекс ADEM представляет собой разработанное отечественными специалистами современное программное обеспечение для сквозного проектирования, благодаря которому в рамках одной программы реализуется весь процесс разработки и изготовления изделия - от разработки чертежа до составления управляющей программы для станка с ЧПУ в CNC-коде и загрузки ее на станок.

Существуют различные версии программы ADEM, которые в настоящее время применяются в промышленности и учебных заведениях. Эти версии обладают разными возможностями и требуют, соответственно, разных ресурсов. Поэтому пользователь станка может всегда выбрать себе версию, сообразуясь с характеристиками своего компьютера, начиная от более дешевой и простой версии 3.03 и кончая более дорогими и с большими возможностями версиями 7.1, 8.0 и т.д.

Структурно программа ADEM, независимо от номера версии, состоит из трех основных модулей: CAD, CAM, TDM: - модуль CAD позволяет создавать чертежи и объемные модели; - модуль CAM предназначен для создания управляющих программы для фрезерных, токарных, электроэрозионных и других станков с ЧПУ; - модуль TDM - это средство для повышения автоматизации создания конструкторской и технологической документации. Кроме этого в системе имеются дополнительные модули для настройки на различные виды технологического оборудования, предварительного контроля качества механообработки и управления архивом конструкторско-технологических документов.

3.2 Система ADEM. Основные сведения по модулю CAD

Модуль CAD является дальнейшим развитием основных принципов, заложенных в основу системы Cherry CAD - первой отечественной системы плоского и объемного моделирования. Особенностью модуля CAD системы ADEM является единое графическое пространство для построения чертежей, объемных моделей и сборок, что позволяет эффективно применять все возможности плоского и объемного моделирования для решения конструкторских задач.

3.3 Двухмерная графика в модуле CAD

Как и в большинстве графических систем, построение плоских моделей в системе ADEM выполняется при помощи графических примитивов: отрезков, дуг, окружностей, кривых, и комплексных объектов (контур, полилиния и т.п.) Система позволяет использовать вспомогательные построения, не прерывая основных построений. В программе есть большой выбор методов построения примитивов и их комбинаций, широкий набор математических кривых от классических сплайнов до NURBS, а также всевозможные способы задания координат. Текст может быть представлен как текстовый параграф или табличный текст с соответствующим выравниванием, так и в виде отдельных текстовых строк. Доступны стандартные ЕСКД шрифты и все многообразие SHX и TrueType шрифтов. В модуле CAD заложен также широкий набор условных обозначений шероховатости, допусков, выносок и т.п., что обеспечивает эффективное оформление чертежей и технологических эскизов. Предложен большой набор стандартных и пользовательских штриховок в прозрачном и непрозрачном вариантах и библиотеки форматок для различных стандартов ANSI, ISO, ЕСКД.

Модуль CAD предоставляет все необходимые возможности для нанесения и редактирования размеров. При этом размеры могут устанавливаться автоматическим или ручным позиционированием и имеют множество настроек, в том числе и на различные стандарты. Для несложных фрагментов чертежей эффективно применение специального автомата, который осуществляет нанесение размеров без участия пользователя. При помощи функций редактирования можно деформировать и дополнять элементы, строить фаски, выполнять обрезку, продление, сопряжение и скругление. Особое значение имеют булевы операции объединения, дополнения и пересечения контуров, которые упрощают плоское моделирование и черчение.

Кроме стандартных процедур переноса, поворота, зеркального отражения, копирования и масштабирования группы элементов есть удобная функция извлечения области для создания местного вида. Уникальный аппарат инженерной аппроксимации кривых дает возможность обрабатывать художественные эскизы до уровня чертежно- конструкторского исполнения.

Система ADEM позволяет создавать параметрические модели. Существует два метода параметризации: параметризация узлов и эвристическая параметризация. Параметризация узлов позволяет пользователю назначать связи геометрии с размерами. Эвристическая параметризация позволяет перестраивать геометрию в соответствии с размерами на основе автоматического выявления геометрических связей. Оба метода эффективно обеспечивают редактирование чертежей и их фрагментов за счет изменения значения размеров. При создании плоских и объемных сборок почти всегда используются стандартные или типовые детали. Конструктору не нужно каждый раз чертить эти элементы, он может использовать библиотеки. В библиотеках поставки присутствуют различные стандартные элементы, в том числе и крепежные. В случае, когда элемент в библиотеках отсутствует, пользователь может сам его создать и занести в каталог при помощи несложной операции.

3.4 Система ADEM. Основные сведения по модулю CAM

Модуль ADEM CAM работает в одном графическом пространстве с конструкторским модулем ADEM CAD и использует ту же самую геометрическую модель. С его помощью возможно создание 15-ти технологических процессов механообработки, характерных для типичного современного машиностроительного производства. Для токарной обработки характерен следующий порядок работы: 1) Создание в модуле CAD (построить в системе ADEM или импортировать из сторонней системы компьютерного моделирования) геометрической модели обрабатываемой детали.

Детали, изготовляемые на токарных станках с ЧПУ, имеют достаточно определенный тип конфигурации - все они представляют собой тела вращения. При этом контур заготовки в осевом сечении, как правило, представляет собой прямоугольник, а контур готовой детали в осевом сечении легко может быть представлен в виде последовательности различных геометрических элементов, которые в модуле CAD системы ADEM строятся при помощи графических примитивов для создания плоских моделей. В итоге математические расчеты, необходимые для составления траекторий перемещений режущих инструментов, при токарной обработке обычно сводятся к решению геометрических задач на плоскости, совпадающей с осевым сечением обрабатываемой детали. 2) Дополнение геометрической модели обрабатываемой детали контурами областей заготовки, удаляемых в виде стружки при токарной обработке. 3) Переход из модуля CAD в модуль CAM системы ADEM. 4) Выбор модели станка с ЧПУ из библиотеки системы ADEM. 5) Выбор обрабатываемого конструктивного элемента. Под этим термином в системе ADEM понимается элемент детали, обрабатываемый за один технологический переход. При токарной обработке чаще всего обрабатываются такие конструктивные элементы как торец и область.

) Назначение при помощи системы диалоговых окон требуемых для создания технологии механообработки параметров выбранного конструктивного элемента: геометрические размеры элемента, ориентация элемента в пространстве, положение точки врезания и т.д. 7) Задание параметров технологического перехода, определяющего обработку выбранного конструктивного элемента. Ввод параметров осуществляется в режиме диалога при помощи системы диалоговых окон: "Параметры", "Дополнительные параметры", "Инструмент" и "Подход/Отход". В случае затруднения при назначении параметров технологического перехода пользователь всегда может обратиться к таблицам совместимости конструктивных элементов и технологических переходов.

В диалоговом окне "Параметры" задаются основные параметры обработки, такие как: тип и направление обработки, подачи станка, обороты шпинделя и многое другое. В диалоговом окне "Дополнительные параметры" задаются дополнительные параметры обработки, обычно к ним относятся количество проходов или глубина обработки за один проход, наличие замены инструмента и т.п. В диалоговом окне "Инструмент" задаются параметры инструмента. Здесь вводятся данные, определяющие геометрию инструмента. Можно установить параметры инструмента вручную, либо выбрать нужный инструмент из базы. При этом появляется изображение выбираемого инструмента. Кроме того, можно учитывать дополнительно номера корректоров, вылет инструмента и т.п. В диалоговом окне "Подход/Отход" задаются различные траектории подхода и отхода инструмента: радиальная, прямолинейная, по нормали и касательно.

) Получение управляющей программы обработки в универсальном формате CLDATA, который позволяет представить управляющую программу в виде набора команд, не привязанных к конкретной модели станка с ЧПУ. 9) Перекодирование файла CLDATA при помощи постпроцессора в управляющую программу в CNC-коде под конкретную модель станка с ЧПУ. В штатной поставке системы ADEM содержится более 200 постпроцессоров, созданных разработчиками системы. Если встречается станочное оборудование, к которому не подходит ни один библиотечный постпроцессор, или если этот постпроцессор требует доработки, то его генерация или редактирование могут быть произведены в дополнительном модуле системы ADEM - модуле GPP. Для токарного станка с ЧПУ модели CC-D6000E, оснащенным ПО NCCAD, в состав штатной поставки системы ADEM для учебных предприятий включен специальный постпроцессор № 3423 WABECO.

3.5 Токарные и фрезерные инструментальные блоки для станков с ЧПУ

Обработка заготовки на станке с ЧПУ осуществляется в автоматическом режиме, и оператор без крайней необходимости не должен вмешиваться в рабочий процесс. Поэтому при работе на станках с ЧПУ необходимо заранее, еще на стадии разработки технологического процесса, определить и указать в управляющей программе все условия выполнения технологических операций: тип и размеры режущего и вспомогательного инструмента, конструкцию и размеры приспособления для базирования и крепления заготовки на станке, последовательность процесса обработки и т. п. В таком случае, если не применяется специфическая технология изготовления, рекомендуется использовать типовые инструмент и оснастку, принятые для станков с ЧПУ. Типовой комплект режущего инструмента для станков с ЧПУ непосредственно определяет реальную производительность станка и точность обработки. Чтобы обеспечить высокую надежность в течение продолжительного времени работы в автоматическом режиме, инструмент для станков с ЧПУ должен удовлетворять следующим требованиям:

обладать универсальными и стабильными в течение длительного срока режущими свойствами;

хорошо формировать и отводить стружку;

иметь высокую точность геометрических размеров и формы;

иметь универсальные присоединительные поверхности;

обеспечивать возможность предварительной наладки на размер вне станка.

Разнообразие типов станков с ЧПУ и выполняемых ими операций обусловило появление большого числа способов установки и смены режущего инструмента. В связи с этим для станков с ЧПУ были созданы так называемые инструментальные блоки. Каждый инструментальный блок предназначен для выполнения конкретного технологического перехода и представляет собой собранные в один узел режущий и вспомогательный инструменты.

4. Сквозное проектирование обработки детали в системе ADEM с последующим выходом на станок с ЧПУ

Процесс сквозного проектирования позволяет, работая только с применением различных программных обеспечений и не создавая документы на бумажных носителях, проектировать различные изделия и технологию их изготовления, вплоть до создания управляющей программы для станков с ЧПУ. При этом современные CAD-CAM системы позволяют при минимальном участии человека оформлять на разработанные изделия все необходимые комплекты конструкторской и технологической документации в электронном виде и на бумажных носителях. В общем случае, процесс сквозного проектирования включает в себя следующие этапы: 1) Разработка графической модели изделия. 2) Создание технологии изготовления разработанного изделия. 3) Выбор модели станка с ЧПУ, на котором выполняется обработка. 4) Получение управляющей программы на языке системы ЧПУ выбранного станка. 5) Передача управляющей программы на станок с ЧПУ для обработки заготовки.

4.1 Разработка графической модели изделия


Рисунок 2 - Графическая модель детали

Графическая модель разрабатывается непосредственно в модуле CAD системы ADEM, либо импортируется в него из другой системы компьютерного проектирования. Для составления технологии обработки на станке с ЧПУ графическая модель не обязательно должна иметь вид полностью оформленного чертежа, так как для создания управляющей программы в модуле CAM системы ADEM нужен только геометрический контур детали. При этом не требуется строить полный геометрический контур, достаточно изобразить половину контура, расположенную выше оси симметрии детали. При автоматизированном составлении управляющих программ для токарной обработки в CAD-CAM системах принято считать, что врезание радиально расположенных резцов в наружную цилиндрическую поверхность обрабатываемой детали всегда производится в вертикальном направлении сверху вниз. Если в реальном токарном станке с ЧПУ перемещение радиально расположенных резцов производится в другой плоскости или в другом направлении, то это отличие учитывается при помощи постпроцессора.

Рисунок 3 - Геометрическая модель детали

Прежде чем с геометрической моделью детали переходить в модуль CAM системы ADEM, необходимо выполнить дополнительные геометрические построения, с помощью которых назначаются контуры областей материала заготовки, удаляемые в процессе точения (рис. 4). Дополнительные геометрические построения в свою очередь определяются предполагаемым маршрутом обработки, то есть описанием того, какие части детали, как и в каком порядке будут обрабатываться. Для моей детали рекомендуется следующий маршрут обработки: 1) Обточка наружных диаметральных поверхностей заготовки за несколько проходов.

Рисунок 4 -Удаляемая область материала заготовки

В соответствии с предлагаемым маршрутом обработки требуется удалить одну область материала заготовки (рис. 4): 1) Область 2 - часть материала заготовки, ограниченная наружными диаметрами готовой детали и наружным диаметром заготовки. Обрабатывается проходным резцом со сменной ромбической пластинкой, имеющей ширину режущей кромки 8 мм. Резец установлен в 1-й позиции револьверной головки. Контура удаляемых областей отображаются средствами модуля CAD на изображении детали. Разработка графической модели завершается назначением нулевой точки детали, удобной для последующей разработки управляющей программы. При токарной обработке нулевую точку заготовки, как правило, назначают на оси вращения шпинделя по левому или правому торцу заготовки (в зависимости от относительного расположения инструмента). При этом расположение нулевой точки заготовки в процессе обработки одной заготовки может меняться, если, например, заготовка обрабатывается с двух сторон.

Нулевую точку заготовки удобнее назначить на оси вращения шпинделя по правому торцу заготовки. Для этого необходимо при помощи опции "подвижная система координат" переместить начало системы координат в нужную точку


4.2 Технологическая часть

.2.1 Описание детали

Деталь, на которую необходимо разработать конструкторскую документацию и технологический процесс механической обработки является телом вращения со ступенчатыми плавными переходами.

Деталь характеризуется простой конфигурацией, образована простыми геометрическими поверхностями, которые могут быть использованы в качестве установочных баз на первой механической операции.

Одной из важнейших характеристик любого конструкционного материала является обрабатываемость его резанием и определяется она коэффициентом обрабатываемости данного материала по отношению к эталонному.

В общем случае при обработке на токарных станках с ЧПУ режимы резания могут определяться так же, как и для универсальных станков с ручным управлением. Однако более высокая стоимость станков с ЧПУ делает целесообразным более интенсивное их использование по сравнению с универсальными станками. Поэтому при расчете режимов резания для токарных станков с ЧПУ обычно принимают несколько меньший период стойкости инструмента, сокращая его до 30...45 минут. Это позволяет повысить скорость резания на 15...20% и, соответственно, сократить время изготовления детали.

.2.2 Расчет параметров и режимов резания

Подача назначается максимально допустимой по условиям выполняемой обработки, исходя из того что чем быстрее подача, тем меньше времени занимает изготовление детали на станке. Подача обозначается строчной буквой s латинского алфавита и при токарной обработке измеряется как величина перемещения режущего инструмента либо в миллиметрах в минуту, либо в миллиметрах на один оборот обрабатываемой детали.

При черновом (предварительном) точении подача принимается максимально допустимой по мощности станка, жесткости системы СПИД, а также прочности режущей части и державки резца. Для типовых случаев в справочной литературе приводятся таблицы с рекомендуемыми значениями подачи при черновом точении. Эти значения корректируются с помощью различных коэффициентов в зависимости от конкретных условий обработки. В частности, при работе на токарных станках с ЧПУ для первого чернового прохода на участке врезания резца рекомендуется назначать значение подачи на 20...30% меньше, чем указанное в таблицах. Эта мера позволяет предотвратить сколы режущих кромок резца, возможные вследствие повышенного биения диаметральных и торцевых поверхностей заготовки, не прошедшей предварительной обработки.

При чистовом точении подача выбирается по таблицам справочной литературы в зависимости от требуемой чистоты обработанной поверхности, размера обрабатываемой детали, радиуса при вершине резца и принятой глубины резания.

Под скоростью резания понимается величина перемещения режущей кромки резца в единицу времени относительно обрабатываемой поверхности заготовки. Она измеряется в метрах в минуту (м/мин) и обозначается буквой V. Для расчета скорости резания при фрезеровании обычно используется формула

 (1)

При отрезании, прорезании и фасонном точении расчет скорости резания выполняется по формуле.

 (2)

В формулах (1) и (2):

СV - коэффициент, зависящий от материала заготовки и вида токарной обработки;

Т - период стойкости инструмента;- глубина резания;- подача;- общий поправочный коэффициент.

Коэффициент KV представляет собой произведение нескольких дополнительных коэффициентов, которые подбираются из справочника СТМ 2

, где (3)

КMV - коэффициент, учитывающий материал заготовки;ПV - коэффициент, учитывающий состояние поверхности слоя заготовки;ИV - коэффициент, учитывающий состояние материала режущей части инструмента и материала и твердости обрабатываемой поверхности.

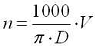
Исходя из полученного значения скорости резания можно определить необходимую частоту вращения шпинделя в оборотах в минуту.

, где (4)

- частота вращения шпинделя (число оборотов), об/мин (мин -1) - скорость резания, м/мин;- диаметр обрабатываемой поверхности, мм.

Полученное значение частоты вращения шпинделя корректируется по паспортным данным станка. Обычно оно округляется в меньшую сторону до ближайшего паспортного значения числа оборотов шпинделя. Округление в большую сторону допускается только в том случае, если скорость резания при этом возрастает не более чем на 3…5%.

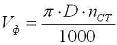
Новое значение числа оборотов шпинделя обычно обозначается как n СТ. По принятому значению n СТ определяется фактическая скорость резания VФ:

, где (5)

В дальнейших расчетах параметров режимов резания используют только значения n СТ и VФ. Находим скорость резания

Таблица 2 - Расчет скорости резания



Литер.

Табл.

Стр.

СV

328

СТМ 2

17

270

Т

30 мин

СТМ 2


268

t

5,000 м



266

s

1,2 м/мин

СТМ 2

11

270

m

0,28

СТМ 2

17

270

x

0,12

СТМ 2

17

270

y

0,5

СТМ 2

17

270

= 68,6 м/мин

Таблица 3 - Расчет общего поправочного коэффициента

Kmv

0,8

СТМ 2

4

263

Knv

0,9

СТМ 2

5

Kиv

1

СТМ 2

6

263

= 0,72;= 160 мм;

Находим частоту вращения шпинделя:= 136,49 об/мин

принимаем n= 130 об/мин

При токарной обработке готовая деталь получается из заготовки путем удаления припуска в виде стружки, которая представляет собой пластически деформированный обрабатываемый материал. Деформирование срезаемого слоя (припуска) происходит под действием создаваемой резцом силы резания, превосходящей сопротивление обрабатываемого материала его деформации и разрушению.

Данная сила резания в общем случае является произвольно направленной в пространстве равнодействующей системы сил, проявляющихся в процессе точения. В эту систему входят следующие основные силы:

сила давления, с которой образующаяся стружка воздействует на переднюю поверхность резца;

сила трения стружки, сходящей по передней поверхности резца;

сила давления, с которой уплотненный в результате упругой деформации обрабатываемый материал воздействует на главную заднюю поверхность резца;

сила трения между обработанной поверхностью и главной задней поверхностью резца.

Описанную систему сил приводят к равнодействующей силе резания Р. Численное значение силы резания и ее ориентацию в пространстве достаточно сложно определить аналитически. Поэтому на практике при расчетах режимов резания используется не сама равнодействующая сила резания, а ее составляющие - проекции на оси координат станка Pz, Рх и Ру.

Сила Pz - составляющая силы резания, действующая в вертикальной плоскости в направлении, совпадающем с направлением вектора скорости резания. Сила Pz называется тангенциальной составляющей и представляет собой главную составляющую силы резания. По величине силы Pz определяется мощность, необходимая для снятия стружки.

Сила Рх - составляющая силы резания, действующая в горизонтальной плоскости в направлении, совпадающем с направлением продольной подачи. Сила Рх называется осевой составляющей силы резания. Величина силы Рх сравнивается с максимально допустимой для механизма подачи по паспортным данным станка, и в случае превышения последней проводится перерасчет режимов резания с целью уменьшения силы резания.

Сила Ру - составляющая силы резания, действующая в горизонтальной плоскости в направлении, совпадающем с направлением поперечной подачи. Сила Ру называется радиальной составляющей силы резания.

Значения проекций силы резания определяются эмпирически. При наружном продольном и поперечном точении, растачивании, отрезании, прорезании пазов и фасонном точении для расчета составляющих силы резания, измеряемых в ньютонах [Н], применяется следующая формула:

P w = W *C p * t x * s y * v n *K p (6)

При отрезании, прорезании и фасонном точении также применяется приведенная формула, однако буквой t обозначается не толщина срезаемого слоя за один проход, а длина лезвия резца.

Коэффициент Ср и показатели степени х, у и n для каждой составляющей силы резания подбираются по таблицам из технических справочниках. Поправочный коэффициент Кр представляет собой произведение ряда дополнительных коэффициентов, с помощью которых учитываются конкретные особенности условий резания:

Кр = Кмр *К 1р *К 2р*K3p (7)

Выбранные параметры режима резания не только корректируются по паспортным данным станка, но и проверяются на соответствие мощности электродвигателей станка. Осуществление процесса резания на станке возможно при условии, что мощность электродвигателя, реализующего главное движение резания (т. е. вращение шпинделя) больше или (в крайнем случае) равна мощности, затрачиваемой на процесс резания.

 (8)

Э - Эффективная мощность резания;р - Реальная мощность на шпинделе станка

NCT - КПД главного привода станка.

Считается нормой, если потребная мощность составляет не более 85...90% от мощности привода шпинделя. При превышении мощности привода шпинделя необходим перерасчет режима резания путем соответствующей корректировки значений ранее назначенных параметров (подачи, глубины резания, стойкости инструмента и т. д.).

Таблица 4 - Расчет силы резания

Ср

40


ОР ЧПУ

7

90

t

5





s

1,2





V

68,6





x

1





y

0,75





n

0






Kmp

1


ОР ЧПУ

8

91

K1p

1

45

ОР ЧПУ

9

91

K2p

1,1

0

ОР ЧПУ

9

91

K3p

0,98


ОР ЧПУ

9

91

= 1,078= 2471,92 Н

Находим мощность резания N = 2,76967 кВт


4.2.3 Создание технологии изготовления разработанного изделия

Технология обработки создается в модуле CAM системы ADEM. Чтобы перейти в модуль CAM из модуля CAD необходимо в главном меню найти пункт "Модуль" и выбрать команду "ADEM CAM".

После этого на экране монитора появляется рабочее поле модуля CAM с изображением геометрической модели изделия и начала отсчета системы координат, в которой будет происходить обработка (рис. 5).

Рисунок 5 - Рабочее поле модуля CAM с изображением геометрической модели изделия и начала отсчета системы координат.

Возможности системы ADEM позволяют при создании технологии применять самые разнообразные последовательности действий в модуле CAM.

Для создания своей детали я выбрал следующую типовую последовательность:

Создание технологического объекта "Точить область".

Данный технологический объект состоит из конструктивного элемента "Область" и технологического перехода "Точить".

Создание конструктивного элемента "Область" - выполняется в следующем порядке:

- Нажать кнопку "Область" на панели конструктивных элементов. Откроется диалоговое окно "Область".

- Поставить флажок в поле "Полуоткрытая" (так как обрабатываемая область может быть отнесена к полуоткрытому типу) и нажать кнопку "OK".

- Указать на изображении детали контур, определяющий границы области 2.

Создание технологического перехода "Точить" - выполняется в следующем порядке:

Нажать кнопку "Точить" на панели переходов. Откроется диалоговое окно "Точить".

Выбрать закладку "Дополнительные".

Поставить флажок в поле "Многопроходная" раздела "Глубина" и ввести в соответствующее поле значение "5".

Выбрать закладку "Инструмент".

Выбрать в разделе "Тип" из предлагаемого списка "Пластинку ромбическую".

Выбрать из списка полей "Ширина-Диаметр-Радиус" поле "Ширина" и ввести значение "8".

Ввести в поле "Позиция" значение "1".

Ввести в поле "Угол" раздела "Ориентация" значение "45 град.".

Нажать кнопку "OK".

4.2.4 Выбор модели станка с ЧПУ, на котором выполняется обработка

Для выбора модели станка с ЧПУ требуется на панели "CAM Информация" нажать кнопку "Станок" (рис. 5). Откроется диалоговое окно "Оборудование" (рис. 6).

Изображенный на рис. 6 перечень постпроцессоров является специализированным списком, который ЗАО "ЭКОИНВЕНТ" поставляет с учебными станками с ЧПУ и активирует при установке системы ADEM на управляющий компьютер. Для токарного станка модели CC-D6000E с ЧПУ KOSY2 предназначен постпроцессор № 3423.

После выбора постпроцессора необходимо нажать кнопку "ОК", после чего окно закрывается.

Рисунок 6 - перечень постпроцессоров

.3 Получение управляющей программы на языке системы ЧПУ выбранного станка

.3.1 Расчет траектории движения инструмента

Расчет траектории движения инструментов система ADEM выполняет автоматически на основании созданной в модуле CAD геометрической модели и технологии обработки, составленной в модуле CAM. Для выполнения расчета необходимо нажать кнопку "Процессор" (рис. 5) на панели процессоров.

По результатам расчета на рабочем поле модуля CAM отображается траектория перемещения инструмента и появляется диалоговое окно с сообщением о результатах расчета (рис. 7). При правильном составлении технологии в окне появляется сообщение об успешном выполнении расчетов.

Рисунок 7 - Результаты расчета

Для расчета управляющей программы необходимо нажать на кнопку "Адаптер" (рис. 5) на панели процессоров. Откроется диалоговое окно "Параметры" с указанием расчетного времени обработки и условной длиной управляющей программы в метрах перфоленты.

После закрытия окна "Параметры" расчет управляющей программы закончен и можно просмотреть имитацию созданного процесса обработки, нажав кнопку "Моделирование" (рис. 5) на соответствующей панели.

Рисунок 8 - Компьютерное моделирование процесса обрабтки

Если результаты виртуальной обработки удовлетворяют пользователя, можно переходить к работе с текстом управляющей программы.

Для просмотра текста управляющей программы необходимо нажать кнопку "Просмотр управляющей программы" (рис. 9) на панели постпроцессоров.

Рисунок 9 - Панель постпроцессоров

Откроется диалоговое окно блокнота системы ADEM с готовым текстом управляющей программы.

5. Управляющая программа для обработки данной детали

%

:0001

(PROGRAMADEM)

(ZAGOTOVKA)

(MIN X: -160.826)

(MIN Y: -0)

(MAX X: 2)

(MAX Y: 85)

(MIN Z: 0)

(MAX Z: 0)

(MAX Z: 0)

(TOOLS: 1)

(FREZA: 1)

(DIAMETER: 20) G0 G59 Z140.X0. Y0.G40 G17 G80 G49 G90 N005 T1 M6 G54 G90 G0 Y280. Z0. S500 M3 X1000.X2.Y80.278 G1 X-160.826 F20 Y85.G0 X2.Y75.556G1 X-140.218 Y80.278 G0 X2.Y70.833 G1 X-131.97 Y75.556 G0 X2.Y66.111 G1 X-126.243 Y70.833 G0 X2.Y61.389 G1 X-121.906 Y66.111 G0 X2.Y56.667 G1 X-118.53 Y56.667 Y61.389 G0 X2.Y51.944 G1 X-115.899 Y56.667

Полученный текст управляющей программы можно просматривать и редактировать. В том случае, если он не содержит ошибок, его можно сохранить для последующей передачи системе ЧПУ станка.

Для ПО NCCAD текст управляющей программы должен быть сохранен в виде файла с расширением "knc".

После сохранения файла с текстом управляющей программы работа с системой ADEM по сквозному проектированию может быть прекращена.

Дальнейшая работа с управляющей программой выполняется в ПО NCCAD.Заключение


Результатом данной работы является разработанная и адаптированная программа для токарной обработки детали при помощи пакета ADEM по сквозному проектированию.

Список использованных источников

1.      Основы работы на станках с ЧПУ. Г.Б. Карташов, А.В. Дмитриев. - М.: УИЦ ЗАО "ЭКОИНВЕНТ"

.        Справочник технолога-машиностроителя. В 2-х т. Т. 2 / Под ред. А.Н. Малова. 3-е изд., переработанное и дополненное. - М.: Машиностроение, 1972. - 568 с.

.        Руководство по эксплуатации токарного станка с ЧПУ модели СС- D6000E. Г.Б. Карташов. - М.: УИЦ ЗАО "ЭКОИНВЕНТ", 2006.

.        www.adem.ru.

Похожие работы на - Разработка конструкторской и технологической документации на токарную операцию при изготовлении детали на станке с ЧПУ

 

Не нашли материал для своей работы?
Поможем написать уникальную работу
Без плагиата!
Без нейросетей!