Таблицы неисправности, оптимизация алгоритмов поиска неисправности

  • Вид работы:
    Контрольная работа
  • Предмет:
    Информационное обеспечение, программирование
  • Язык:
    Русский
    ,
    Формат файла:
    MS Word
    126,33 Кб
  • Опубликовано:
    2017-01-28
Вы можете узнать стоимость помощи в написании студенческой работы.
Помощь в написании работы, которую точно примут!

Таблицы неисправности, оптимизация алгоритмов поиска неисправности















Таблицы неисправности, оптимизация алгоритмов поиска неисправности

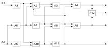
1. Функциональная схема объекта заданной структуры

дешифратор автоматический неисправность

Решение задачи выбора параметров для поиска дефектов комбинационным методом рассмотрим на примере системы, функциональная модель которой показана на рис.1.

Рисунок 1 - Объект заданной структуры

2. Составление уравнений функциональных связей в конъюктивной форме, таблицы функций неисправностей (ТФН) и минимизированной таблицы функций неисправностей (МТФН)

.1 Составление уравнения функциональных связей в коньюктивной форме

Z1=A1=A1*A2*А5*A6*A7*A8*A10=А1*А2*А3*А5*A6*A7*A8*A10=А1*A2*A3*A4*A5*A6*A7*A8*A10=А5=А6=А6*A7=А1*А5*A6*A7*A8*A10=А1*А5*A6*A7*A8*A9*A10*A11=А1*А5*A1011=А1*А5*A10*A11

Z12=А1*А2*А3*А4*А5*А6*А7*А8*A9*A10*A11*A12

.2 Составление таблицы функций неисправностей

ТФН представляет собой квадратную матрицу с числом строк и столбцов, соответствующих числу элементов функциональной модели и числу выходных параметров этих элементов.

ТФН заполняется на основе анализа функциональной модели в соответствии со следующим правилом: в предположении, что отказал i-и элемент, на пересечении i-и строки и j-го столбца записывается символ 0. Нули записываются также на пересечении i - й строки с j-м столбцом, если на выходе i - го функционального элемента параметр также принимает недопустимое значение. В противном случае в элементах матрицы записывается единица. Такая матрица позволяет задать связь между множеством возможных состояний (отказов элементов А) и множеством контролируемых параметров объекта диагностики и построить программу поиска отказавшего элемента. Программа поиска может строиться по последовательному, комбинированному методу или с использованием различных сочетаний этих методов. Полная матрица одиночных дефектов, приводящих к отказам элементов и данной системы в целом, приведена в таблице функций неисправности (ТФН)

Таблица 1 - Таблица функций неисправностей (ТФН)

Сост. Сист. Si

Контроль параметров


Z1

Z2

Z3

Z4

Z5

Z6

Z7

Z8

Z9

Z10

Z11

Z12

S0

1

1

1

1

1

1

1

1

1

1

1

1

A1

0

0

0

0

1

1

1

0

0

0

0

0

A2

1

0

0

0

1

1

1

1

1

1

1

0

A3

1

1

0

0

1

1

1

1

1

1

1

0

A4

1

1

1

0

1

1

1

1

1

1

1

0

A5

1

0

0

0

0

1

1

0

0

0

0

0

A6

1

0

0

0

1

0

0

0

0

1

1

0

A7

1

0

0

0

1

1

0

0

0

1

1

0

A8

1

0

0

0

1

1

1

0

0

1

1

0

A9

1

1

1

1

1

1

1

1

0

1

1

0

A10

1

0

0

0

1

1

1

0

0

0

0

0

A11

1

1

1

1

1

1

1

1

0

1

0

0

A12

1

1

1

1

1

1

1

1

1

1

1

0


2.3 Составление минимизированной таблицы функций неисправностей

Строка, обозначенная цифрой 0, в таблице 1 соответствует состоянию выходов элементов при отсутствии отказавших элементов. Каждая строка дает двоичный код состояния системы при отказе соответствующего элемента. Двоичные коды строк не совпадают друг с другом, т.е. все одиночные отказы различимы на полном наборе выходных параметров.

При комбинированном методе реализации процедуры диагностики вывод о состоянии объекта диагностики дается после получения информации о всей совокупности диагностических параметров. С целью сокращения этой совокупности строится МТФН. Построим такую матрицу, число строк которой оставалось бы прежним, а число столбцов, определяющих число контролируемых параметров, было бы сведено к минимуму, обеспечивающему различные коды во всех строках.

В минимизированную совокупность параметров войдут, очевидно, все выходные параметры системы и все параметры, соответствующие неразветвленные выходам элементов. Контроль этих параметров необходим для поиска дефектов. Составим укороченную (минимизированную) таблицу функций неисправностей (МТФН) системы, включив в нее только неразветвленные выходы (табл.2 ).

Если все строки новой матрицы будут иметь различающиеся коды, то с ее помощью возможно распознавание одиночных дефектов системы, а параметры неразветвляющихся выходов образуют искомую минимизированную совокупность.

Если же это условие не соблюдается, то укороченную матрицу следует дополнить минимально необходимым количеством выходов так, чтобы все строки различались.

Таблица 2 - Минимизированная таблица функций неисправностей

Сост. Сист. Si

Выходные параметры

Внутренние параметры


Z4

Z9

Z11

Z12

Z1

Z2

Z3

Z5

Z6

Z7

S0

1

1

1

1

1

1

1

1

1

1

A1

0

0

0

0

0

0

0

1

1

1

A2

0

1

1

0

1

0

0

1

1

1

A3

0

1

1

0

1

1

0

1

1

1

A4

0

1

1

0

1

1

1

1

1

1

A5

0

0

0

0

1

0

0

0

1

1

A6

0

0

1

0

1

0

0

1

0

0

A7

0

0

1

0

1

0

0

1

1

0

A8

0

0

1

0

1

0

0

1

1

1

A9

1

0

1

0

1

1

1

1

1

1

A10

0

0

0

0

1

0

0

1

1

1

A11

1

0

0

0

1

1

1

1

1

1

A12

1

1

0

1

1

1

1

1

1

W

5

3

5

10

11

0

3

11

11

9


МТФН является универсальной моделью для диагностирования, позволяющая определить:

         Минимальную совокупность диагностических параметров, для проверки работоспособности системы

         Организовать поиск неисправности комбинированным методомПостроить алгоритм поиска неисправности последовательным методом, использую функцию предпочтения.

Определить минимальные частные наборы диагностических параметров для выделения каждого состояния системы и построения дешифраторов технического состояния системы.

В МТФН обязательно входят:

. Выходные параметры системы

. Все неразветвленные внутренние параметры системы

3. Анализ минимизированной таблицы функций неисправностей

.1. Совпадающие коды

.2. Несуществующие коды:

.3. Ложные коды:


4. Построение алгоритма поиска неисправностей. Выбор метода и построение алгоритма диагностирования. Количественная оценка составленного алгоритма

При рациональном планировании контроля работоспособности системы и поиска неисправности в первую очередь проверяются выходные параметры объекта диагностирования, и только после этого производится переход к проверке внутренних параметров объекта диагностирования, если система окажется неработоспособной. Причем, на первом этапе используется комбинационный метод реализации процедуры диагностирования (обработка производится после получения информации по всей совокупности выходных параметров). На втором этапе используется последовательный метод, реализуемый по гибкой программе, при которой порядок каждой последующей проверки внутреннего параметра зависит от результатов предыдущей проверки.

Схема поиска неисправностей по гибкой программе строится в зависимости от состояния выходных параметров. Такое планирование поиска дефектов существенно сокращает количество проверок и время восстановления системы

.1 Построение алгоритма поиска неисправностей

Рисунок 2 - Алгоритм поиска неисправностей

4.2 Дерево логических возможностей

Рисунок 3 - Дерево логических возможностей

Среднее количество проверок на одну неисправность: 49/13=3,769

.3 Алгоритм поиска неисправностей комбинационным-последовательным методом

Рисунок 4 - Дерево поиска неисправностей комбинационным-последовательным методом

Среднее количество проверок на одну неисправность: 28/13=2,154

5. Определение минимальных частных наборов диагностических параметров и построение принципиальной схемы дешифратора технического объекта

.1 Определение минимальных частных наборов диагностических параметров

Для определения минимального частного набора диагностических параметров (ДП) необходимо:

При отказе системы управления часто возникает необходимость проверки работоспособности отдельных функциональных элементов, подозреваемых в том, что они являются причиной отказа системы. При этом часть или все входные и выходной параметры элемента могут быть недоступными для непосредственной проверки. Предположим, что такими параметрами являются параметры, не вошедшие в минимизированную таблицу функций неисправности. По МТФН можно определить минимальное количество параметров для проверки работоспособности каждого блока или совокупности блоков, имеющих неповторяющиеся коды в МТФН, и построить функциональную схему устройства для определения работоспособности системы и поиска функционального элемента, в котором возник дефект, то есть построить дешифратор состояния системы. С этой целью таблицу функций неисправностей необходимо минимизировать, удалив из нее столбцы, не вошедшие в совокупность выбранных ДП. Затем для первого состояния Soи каждой строки МТФН следует определить минимальные частные наборы ДП Zominдля определения работоспособности системы и Zimin- для определения i-го неисправного состояния Si (соответствующего неисправного элемента Аi).

В состав совокупности Zomin включаются диагностические параметры функциональных элементов, имеющих внешние выходы. Внешние выходы, определяющие работоспособность системы, выбираются по МТФН таким образом, чтобы таблица, состоящая из столбцов Zomin, имела в каждой строке хотя бы один нуль. В таблице следует взять те параметры, которые являются единственными для обнаружения неисправности какого- либо функционального блока. В свою очередь такой функциональный блок (выходной блок) имеет в своем коде только один ноль. Соответствующий параметр и будет являться выходным. Следует заметить, что эта задача может бать решена при отсутствии функционально - структурной модели системы. Однако, следует проверять результаты определения Zimin по функциональной схеме, если она имеется.

Cовокупность параметров Ziminопределяется следующим образом. Подсчитывается количество единиц или нулей для каждого столбца МТФН по следующему правилу:


где Rij - значение элемента МФТН i-й строки j-го столбца.

Определяется минимальное значение mi j, а соответствующий ему параметр Zk включается в набор параметров Zimin. Затем из МФТН исключаются столбец Zk, состоящий только из нулей или единиц, а также строки, соответствующие состояниям, которые не вошли в одно подмножество с состоянием Si, подсчитываются для каждого столбца сокращенной МТФН значения mi j и включается в Ziminпараметр Zlс наименьшей величиной mi j и т. д. Определение минимального частного набора заканчивается тогда, когда будет выделено состояниеSi из множества состояний, т. е. когда в МФТН останется одна строка.

На основании минимальных частных наборов для каждого состояния ОД строится переключательная функция Fi(Zimin). Для этого составляется логическое произведение диагностических параметров, входящих в набор Zimin, и ставится знак отрицания над теми параметрами Zj, для которых Zjk = 0.

По переключательным функциям строится функциональная схема дешифратора. При отсутствии устройства автоматического поиска дефекта минимальные частные наборы ДП позволяют проверить «подозреваемый» блок путем проверки минимального количества контрольных точек, используя только те параметры, которые вошли в МТФН.


.2 Минимальные частные наборы


5.3 Составление принципиальной схемы дешифратора

Дешифратор собирается на логических элементах "НЕ" и логических элементах "И-НЕ". Для реализации схемы дешифратора применяются интегральные микросхемы типа К 155.

Для логических элементов "НЕ" используется ИМС К155 ЛН1.

Для логических элементов "И-НЕ" используется:

. К155ЛА4 - для двух входовых выводов;

. К155ЛА3 - для трех входовых выводов;

. К155ЛА2 - для четырехвходовых выводов.

6. Выбор элементной базы и построение принципиальной схемы устройства автоматического поиска неисправностей (АПН)

6.1 Выбор элементной базы для устройства АПН

В АПН будут использоваться:

. RS триггеры с инверсными выходами, собранный из 2х логических элементов "И-НЕ".

Рисунок 5 - RS триггер на элементах "И-НЕ", его условное обозначение и таблица состояний

. Логические элементы "И-НЕ".

. В качестве генераторов импульсов для сигнализации будут использоваться мультивибраторы на биполярных транзисторах. Один мультивибратор с низкой частотой импульсов для световой сигнализации, реализованной на светодиодах (один зеленый, для исправного состояния схемы, остальные красного цвета), второй мультивибратор, с высокой частотой импульсов, для звуковой сигнализации.

. Для звуковой сигнализации используется головка громкоговорителя 0,5 ГДШ-26 с эффективным рабочим диапазоном частот 630-10000 Гц и номинальным электрическим сопротивлением 8 Ом.

. Марка биполярных транзисторов КТ 315 А.

. Марка светодиодов АЛ307ГМ.

. Кнопки для сброса памяти, квитирования и проверки сигнала. Для их реализации применяется кнопочный выключатель с 3мя размыкающими кнопками марки ПКУ222-1У2.

. Для соединения дешифратора с АПН применяется разъем марки DHB-15F VGA (M).

.2. Расчёт мультивибратора

.2.1. Расчёт низкочастотного мультивибратора

Частота видимая человеческому глазу входит примерно в интервал 1-5 Гц. Примем за основу частоту f=4 Гц.

Тогда период мерцания Т= 1/f , будет равен примерно 0,25 с.

Поскольку мультивибратор будет генерировать симметричные сигналы примем: Rk1=Rk2 , Rб1=Rб2 , С12 ,

Сопротивление Rkпримем равным 1 КОм из ряда Е24. Rk=1КОм.

Емкость конденсаторов Спримем равным 6,8 мкФ из ряда Е24. С=24 мкФ.

Рассчитаем сопротивление Rб:


Примем сопротивление Rб равным 27 КОм из ряда Е24.

С учетом известных сопротивлений и емкости пересчитаем частоту мерцания светодиода.


Подобная частота мерцания входит в видимый диапазон человеческого глаза.

.2.2 Расчёт высокочастотного мультивибратора

Рабочий диапазон частот при которых буде работать динамическая головка 0,5 ГДШ-26 составляет 630-10000 Гц. Примем за основу частоту f=1000 Гц.

Тогда период мерцания Т= 1/f , будет равен 0,001 с.

Поскольку мультивибратор будет генерировать симметричные сигналы примем:

Rk1=Rk2 , Rб1=Rб2 , С12 ,

Сопротивление Rkпримем равным 1 КОм из ряда Е24. Rk=1КОм.


Емкость конденсаторов Спримем равным 6,8 мкФ из ряда Е24. С=24 мкФ.

Рассчитаем сопротивление Rб:

Примем сопротивление Rб равным 100 Ом из ряда Е24.

С учетом известных сопротивлений и емкости пересчитаем частоту при которой будет работать динамик.

Подобная частота входит в рабочий диапазон работы динамической головки 0,5 ГДШ-26.

.3 Выбор блока питания для устройства АПН

Блок питания - это вторичный источник питания постоянного тока, предназначенный для снабжения электропитанием элементов схемы, путем преобразования сетевого напряжения до требуемых параметров.

Выходное напряжение блока питания будет составлять 5 Вольт (Уровень ТТЛ).

Всего имеется 29 микросхем серии К155: 23 микросхемы в АПН и 6 в дешифраторе. Согласно техническому описанию каждую микросхему необходимо запитать током равному 2 мА.


Кроме того имеется: 13 светодиодов с током пропускания в прямом направлении, равным 20 мА

Динамик мощностью 0,5 Вт, при напряжении 5 Вольт и спротивлениием равным 8 Ом.


генератора импульсов, ток потребления каждого равен 50 мА, следовательно их суммарный ток потребления 100 мА.

Итого суммарный ток потребления схемы будет равен:

Поскольку суммарный ток потребления меньше 1 А, то воспользуемся схемным решением на основе микросхемы К140ЕН1.

.2 Принцип работы устройства АПН

Один из вариантов устройства контроля и сигнализации системы автоматического поиска неисправности представлен на схеме Э-421.02.Э3.

Устройство получает питание от однополярного источника стабилизированного напряжения +5 В.

При отсутствии неисправностей с дешифратора подается логический «0» на вход F0, затем в схеме АПН он иневертитуется на "1" и подается на вход логического элемента "И-НЕ", где вновь инвертируется на "0". При этом загорается зеленый светодиод, т.к напряжение на его катоде равно нулю, а катоде около +5 В. При этом на базу транзистора поступает ток управления, поэтому транзистор VТ1 находится в открытом состоянии и через динамическую головку протекает постоянный ток и она не издает звуков.

При появлении неисправности в объекте на входе F0 появляется логическая «1», зеленый светодиод с надписью S0 «Исправно» гаснет, включается звуковая сигнализация. Одновременно со звуковой включается световая сигнализация (мигающий красный светодиод), указывающая на неисправный блок.При переключении тумблера SA1 звук выключается, а светодиод, индицирующий неисправный блок, горит постоянно. Такое состояние сохраняется до устранения неисправности и сброса памяти кнопкой SA3 благодаря наличию элементов памяти на входе устройства сигнализации.

При нажатии на кнопку SA3 номер неисправного блока удаляется из памяти и схема устанавливается в исходное положение при отсутствии неисправности в объекте.

В устройстве контроля и сигнализации предусмотрена кнопка S1 «Проверка сигнализации», с помощью которой проверяется исправность всех светодиодов.

Список использованной литературы

1. Солодов В.С. Надежность и диагностика транспортного радиооборудования и средств автоматики. М.:МОРКНИГА, 2012.

. Перельман Б.Л. Шевелев В.В. Отечественные микросхемы и зарубежные аналоги. НТЦ Микротех, 1998

. Штумпф Э.Ц. Судовая и силовая преобразовательная техника. Спб:Судостроение, 1993

Похожие работы на - Таблицы неисправности, оптимизация алгоритмов поиска неисправности

 

Не нашли материал для своей работы?
Поможем написать уникальную работу
Без плагиата!
Без нейросетей!