Приближенное нахождение сумм числовых рядов
ВВЕДЕНИЕ
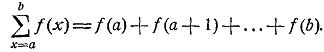
сумма ряд числовой
Под численными методами в математике понимаются методы приближённого
решения математических задач, сводящиеся к выполнению конечного числа
элементарных операций над числами.
Элементарными операциями являются обычно приближённо выполняемые
арифметические действия, а также вспомогательные операции как выборки из
таблиц, записи промежуточных результатов и т.п.
Числа задаются ограниченным набором цифр в некоторой позиционной системе
счисления (двоичной, десятичной и т.п.).
Таким образом, в численных методах числовую прямую заменяют дискретной
системой чисел (сеткой), функцию непрерывного аргумента заменяют таблицей её
значений в сетке. Операции анализа, действующие над непрерывными функциями,
заменяются алгебраическими операциями над значениями функций в сетке. Численные
методы сводят решение математических задач к вычислениям, которые могут быть
выполнены как вручную, так и с помощью вычислительных машин.
Актуальность темы данной работы заключается в том, что разработка новых
численных методов и применение их в ЭВМ привели к возникновению вычислительной
математики.
Целью данной курсовой работы является подробное рассмотрение методики
расчета конечных и бесконечных численных рядов при помощи различных численных
методов.
В данной курсовой работе решены следующие задачи:
- рассмотрение определений «ряд» и «сумма ряда»;
- изучение методики нахождения суммы конечных рядов;
- рассмотрение способов приближенного нахождения суммы
бесконечных рядов.
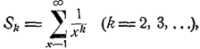
1.
ОСНОВНЫЕ ТЕРМИНЫ И ОПРЕДЕЛЕНИЯ
.1 Понятие
и свойства числовых рядов
.1.1
Определение числового ряда. Сходимость
В математических приложениях, а также при решении некоторых задач в
экономике, статистике и других областях рассматриваются суммы с бесконечным
числом слагаемых. Рассмотрим определение того, что понимается под такими
суммами [2].
Пусть задана бесконечная числовая последовательность:
,
, …,
, …(1.1)
Итак, числовым рядом или просто рядом называется
выражение (сумма) вида:
. (1.2)
Числа
называются
членами ряда,
- общим или n-м членом ряда. Чтобы задать ряд (1.2) достаточно
задать функцию натурального аргумента
вычисления
-го члена ряда по его номеру
Пусть
. Ряд 1.3 называется гармоническим рядом.
(1.3)
Пусть
,
Тогда ряд 1.4 называется обобщенным гармоническим рядом [1, 3].
(1.4)
В частном случае при
получается гармонический ряд.
Пусть
=
. Тогда ряд 1.5 называется рядом геометрической прогрессии.
(1.5)
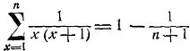
Из членов ряда (1.5) образуем числовую последовательность
частичных сумм
где
- сумма
первых членов ряда, которая
называется n-й частичной суммой, т. е.
,
,
,
…………………………….
, (1.6)
Числовая последовательность
при неограниченном возрастании номера
может:
) иметь конечный предел;
) не иметь конечного предела (предел не существует или равен
бесконечности).
Ряд (1.2) называется сходящимся, если последовательность его частичных сумм (1.6)
имеет конечный предел, т. е.
В этом случае число
называется
суммой ряда (1.2) и пишется так:
.(1.7)
Ряд (1.2) называется расходящимся, если последовательность его частичных сумм не
имеет конечного предела. Расходящемуся ряду не приписывают никакой суммы [3].
Таким образом, задача нахождения суммы сходящегося ряда (1.2) равносильна
вычислению предела последовательности его частичных сумм.
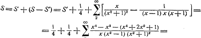
.2 Сумма
числового ряда
Сумма числового ряда
определяется как предел, к которому стремятся суммы первых n
слагаемых ряда, когда n неограниченно растёт. Если такой предел существует и
конечен, то говорят, что ряд сходится, в противном случае - что он расходится
[8, c.116].
Элементы ряда a_n представляют собой комплексные числа (в частности,
вещественные). Рассмотрим определение суммы ряда.
Пусть
- числовой ряд.
Число
называется n-ой частичной суммой ряда
.
Сумма (числового) ряда - это предел частичных сумм
, если он существует и конечен. Таким
образом, если существует число
, то в этом случае пишут
.
Такой ряд называется сходящимся. Если предел частичных сумм не существует
или бесконечен, то ряд называется расходящимся.
Исчисление сумм связано с исчислением разностей, как интегральное
исчисление с дифференциальным. Здесь, как и в интегральном исчислении,
нахождение обратного оператора, в сущности, основано на догадке.
Самым удобным обозначением для исчисления сумм является определение
как суммы [3, 8]:
(1.8)
Это обозначение применяется Булем, Жорданом и многими другими, однако оно
не является употребительным в других областях математики, и использование его
могло бы привести к путанице.
По-видимому, лучше все же иметь дело с затруднениями, которые возникают
от применения неудобного, но общепринятого обозначения:
(1.9)
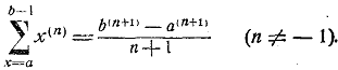
Методы суммирования будут целиком основываться на использовании прямого
разностного оператора:
(1.10)
а не обратного разностного оператора у и не центрального разностного
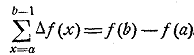
оператора. Просуммировав последнее равенство от х=а до x = b-1, получим:
(1.11)
Это соответствует равенству 1.12 в интегральном исчислении.
(1.12)
Основная теорема исчисления сумм состоит в том, что если две функции,
определенные на дискретном множестве точек, имеют одни и те же первые разности,
то они различаются не более чем постоянным слагаемым. Это наводит на мысль о
неопределенной сумме, соответствующей неопределенному интегралу, и аддитивной
константе в таблице неопределенных сумм [7, c.58].
В исчислении бесконечно малых таблица неопределенных иитегралов
основывается на соответствующей таблице производных; таким же образом таблица
неопределенных сумм основывается на таблице разностей. Из выражения 1.13
применяя (1.12), получим:
(1.13)
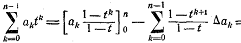
(1.14)
Для примера положим n = 0,
тогда получим:
(1.15)
Используя общую формулу (1.14) и очевидную линейность оператора 2' мы
можем находить суммы многочленов путем простого превращения степеней х в
факториалы или при помощи чисел Стирлинга второго рода, или повторяя деление
многочленов.
Этим методом можно показать, что, например:
2. МЕТОДЫ
РАСЧЕТА СУММ ЧИСЛОВЫХ РЯДОВ
.1 Расчет
сумм конечных рядов
.1.1 Формулы
суммирования
Формула суммирования для х верна также для отрицательных показателей (
); например [2, 6],
(2.1)
Подобным же образом,

(2.2)
(2.3)
(2.4)
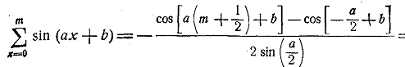
Формулы для разностей синуса и косинуса приводят к полезным формулам:
(2.5)
(2.6)
(2.7)

(2.8)
Важно помнить, что для конечных рядов можно ввести еще много других
аналогичных формул.
.1.2
Суммирование по частям
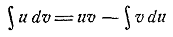
При интегрировании, кроме таблицы интегралов, применяются два метода:
замены переменного и интегрирование по частям. Первый из этих двух методов
непригоден для исчисления сумм, зависящих от равноотстоящих аргументов. Это
делает вычисление сумм в аналитическом конечном виде, вообще говоря, более
трудным, чем вычисление интегралов.
С другой стороны, в исчислении сумм есть очень сильный метод, аналогичный
интегрированию по частям. Интегрирование по частям основывается на формуле 2.9.
для производной от произведения:
(2.9)
Из этого равенства формула 2.10 для интегрирования по частям находится
интегрированием [7, c.62].
(2.10)
Аналогично из формулы для разности и произведения:
(2.11)
Суммированием получаем:
(2.12)
Можно выбрать v так, чтобы v(0) = 0 (или любому другому
заданному значению). В качестве примера применения суммирования по частям
рассмотрим выражение:
Вообще применение суммирования по частям сильно напоминает применение
интегрирования по частям.
Например, суммирование 2.13 выполняется двукратным применением
суммирования по частям и приведением подобных членов. В этих преобразованиях
нет новых идей, а только скучная алгебра.
(2.13)
Важно, что лишь немногие конечные ряды можно просуммировать и представить
компактной формулой. С другой стороны, неожиданно часто суммируются некоторые
специальные ряды, например, содержащие биномиальные коэффициенты.
Рекомендуется, прежде чем обращаться к вычислению ряда с помощью машины,
попытаться просуммировать его «руками». Удачное суммирование часто приводит к
объяснению первоначальной задачи [1, 7].
2.2
Вычисление бесконечных рядов
.2.1 Общие
замечания
В большинстве книг о бесконечных рядах на многих страницах,
рассматриваются сходимость, расходимость и «суммируемость» рядов, но почти все
они совершенно пренебрегают действительным вычислением (суммированием) рядов.
Одна из причин этого состоит в том, что существует очень мало методов для
суммирования рядов в конечном виде.
Если возможно в конечном виде провести неопределенное суммирование и ряд
сходится, то бесконечный ряд также можно просуммировать, устремив верхний
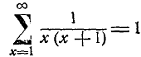
предел к бесконечности. В качестве примера мы имели (равенство 1.2)
(2.14)
Отсюда получим:
(2.15)
Вообще
(2.16)
Задачу анализа нередко можно свести к вычислению бесконечного ряда. При
этом часто требуется больше работы, чтобы вычислить ряд, чем чтобы решить
первоначальную задачу; но иногда представление рядом является преимуществом.
Дело в том, что, суммируя конечное число членов ряда, легче следить за
точностью вычислений, чем действуя иным способом.
Так, для вычисления 2.17 для значений х> меньших 1, можно разложить
экспоненту в бесконечный ряд.
(2.17)
Интегрируя почленно, получим
(2.18)
Если мы интересуемся значениями х, меньшими 1, и хотим иметь восемь
верных знаков, то достаточно взять 11 членов ряда. Действительно, ряд
знакопеременный, его члены монотонны, он сходится и первый отброшенный член
имеет знаменатель приблизительно 9,2. 108.
Если бы мы пытались вычислить значение интеграла каким-нибудь
приближенным методом интегрирования, то задача оценки ошибки была бы более
трудной [7, c.63].
2.2.2 Метод
Куммера
Если данный ряд сходится быстро, то выбор способа вычисления его суммы не
представляет затруднений. Если ряд сходится медленно, то мы ищем ряд с
известной суммой, который сходится приблизительно с той же скоростью, что и
данный ряд. Слова «приблизительно с той же скоростью» в действительности
означают, что общий член разности этих двух рядов стремится к нулю быстрее, чем
общий член исходного ряда.
Найдя подходящий ряд, мы сводим задачу к вычислению суммы ряда,
представляющего разность двух рядов; последний по определению сходится более
быстро. В этом и состоит идея метода Куммера [5, 7].
Пусть данный ряд есть:
(2.19)
и предположим, что мы знаем сумму
(2.20)
где сх→с при х
.
Тогда
(2.21)
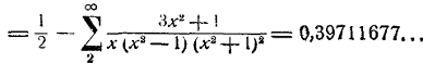
В качестве примера рассмотрим ряд:
(2.22)
который сходится как
.
Взяв в качестве ряда для сравнения 2.23, при условии, что член с х=1 взят
отдельно, получим
(2.23)
Новый ряд сходится как
.
2.2.3
Некоторые специальные суммы
Метод Куммера требует рядов для сравнения и знания их сумм. Одна из самых
полезных последовательностей рядов для сравнения, кроме рядов 2.14, есть
последовательность сумм, являющихся значениями дзета-функции Римана.
(2.24)
(2.25)
Значения для четных целых z
известны в конечном виде, но для нечетных чисел конечный вид неизвестен.
В многочисленных книгах и таблицах имеется много других рядов, имеющих
известные суммы, к примеру, суммы, которые возникают из разложения элементарных
функций в ряд Маклорена [1, 7].
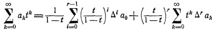
2.2.4 Метод
Эйлера
Другим методом численного суммирования рядов является метод Эйлера. К
нему можно прийти следующим образом.
Рассмотрим конечный ряд.
(2.26)
Применим формулу суммирования по частям:
(2.27)
Положим u(k) = ak, v(k) = tk.
Так как мы можем использовать любую аддитивную постоянную, то возьмем:
(2.28)
Так что (2.27) принимает вид:
Мы применяем суммирование по частям к третьему члену, заметив, что он
имеет тот же вид, что и исходный ряд, только ak заменено на ∆аk [7, c.65]:
(2.29)
Таким образом, в результате применения суммирования по частям Дважды
получим:
(2.30)
После r таких преобразований выражение
примет вид:

(2.31)
Так как первоначальный ряд сходится, то для данного ε>0
существует такое no, что при n> no справедливо
. Следовательно,
. Последний член в полученном
выражении стремится поэтому к нулю при
, и мы имеем
(2.32)
Предположим, что члены ряда (2.27) изменяются достаточно гладко, так что
второе слагаемое справа стремится к нулю при
.
Тогда остается ряд.
(2.33)
Рассмотрим пример применения указанного метода.
Если дан ряд
, у которого
стремится к t, то можно написать:
,(2.34)
где
стремится к 1, и применить метод Эйлера.
Наиболее часто этот метод применяется для t=-1. Находим
(2.35)
Иногда преобразование Эйлера делает ряд сходящимся быстрее, но иногда и
нет.
2.2.5
Степенные ряды
Степенные ряды широко применяются в математике, особенно в линейных
задачах. Но даже в нелинейных задачах степенные ряды - полезный инструмент. Так
как в нелинейных задачах вычисление последовательных коэффициентов часто очень
трудоемко, вычислительная машина должна находить их сама. Для данного числа
коэффициентов легко написать программы сложения, вычитания, умножения, деления,
подстановки одного степенного ряда в другой и обращения ряда [3, 7].
Преимущество использования степенных рядов или многочленов в том, что
большую часть действий над коэффициентами можно выполнить один раз перед
началом вычислений.
Абстрактное математическое описание этого выглядит так: 11 точек могут
рассматриваться как одна точка в 11-мерном пространстве. Первая операция
получения факториального многочлена. Ньютона преобразовала точку исходного
пространства в соответствующую точку 11-мерного пространства коэффициентов.
Использование чисел Стирлинга для вычисления непосредственного
многочленного представления было равносильно изменению базиса пространства
коэффициентов. Последующие операции были преобразованиями в пространстве
коэффициентов, тогда как окончательное вычисление было преобразованием обратно
в исходное пространство. Таким образом, большинство действий производилось в
преобразованном пространстве, а не в исходном пространстве данных и ответа. Это
характерно для метода степенных рядов; мы оперируем с коэффициентами разложения
и возвращаемся к данному пространству только в конце. Подобные замечания
относятся как к асимптотическим рядам, так и к методам, обсуждающимся в этой
главе.
2.2.6
Разложение по специальным функциям
Кроме разложения в степенные ряды, в анализе часто применяется разложение
по специальным функциям, таким как полиномы Лежандра Рn(х), полиномы Лагерра Ln (x), полиномы Эрмита Нn(х), функции Бесселя Jn(x) и т. д. При поверхностном
рассмотрении может показаться, что эти разложения бесполезны из-за трудности
вычисления значений самих специальных функций. Однако известно, что большинство
семейств специальных функций удовлетворяет трехчленному рекуррентному
соотношению вида [7, c.68]:
(2.34)
В тех случаях, когда специальные функции суть многочлены, многочлены
нулевого и первого порядков особенно легко вычислять для каждого значения х.
Таким образом, работа с разложением в ряд по специальным функциям не больше,
чем работа по вычислению степенного ряда.
Следует обратить внимание на накопление ошибки при использовании
рекуррентного соотношения для вычисления последовательных функций; но обычно
ошибка не слишком быстро растет для умеренных (скажем, порядка 15) значений
индекса n.
ЗАКЛЮЧЕНИЕ
В данной работе нами были рассмотрены методы нахождения сумм конечных и
бесконечных степенных и функциональных рядов. Естественно, данные методы не
дают абсолютно точный результат, во многом являясь приближенными.
В математических приложениях, а также при решении некоторых задач в
экономике, статистике и других областях рассматриваются суммы с бесконечным
числом слагаемых.
Сумма числового ряда
определяется как предел, к которому стремятся суммы первых n
слагаемых ряда, когда n неограниченно растёт. Если такой предел существует и
конечен, то говорят, что ряд сходится, в противном случае - что он расходится.
Исчисление сумм связано с исчислением разностей, как интегральное
исчисление с дифференциальным. Здесь, как и в интегральном исчислении,
нахождение обратного оператора, в сущности, основано на догадке.
Важно, что лишь немногие конечные ряды можно просуммировать и представить
компактной формулой. С другой стороны, неожиданно часто суммируются некоторые
специальные ряды, например, содержащие биномиальные коэффициенты. Отметим, что
существует очень мало методов для суммирования рядов в конечном виде.
Если возможно в конечном виде провести неопределенное суммирование и ряд
сходится, то бесконечный ряд также можно просуммировать, устремив верхний
предел к бесконечности.
Существует множество методов суммирования конечных и бесконечных рядов,
важнейшими из которых являются методы Куммера и Эйлера и разложение при помощи
специальных функций, на примерах рассмотренные в данной работе. Для успешного
решения задач нахождение сумм рядов важно не только владение данными
методиками, но и понимание сущности рядов, позволяющее выбрать наиболее
оптимальную из них.
СПИСОК
ИСПОЛЬЗОВАННЫХ ИСТОЧНИКОВ
1. Амосов А.А., Дубинский Ю.А., Копченова Н.В.
Вычислительные методы для инженеров. Учебное пособие. - М.: Высшая школа, 1994.
- 544 с.
2. Гарнаев, А.Ю. Использование MS Excel и VBA в
экономике и финансах / А.Ю. Гарнаев. - СПб.: БХВ, 2000. - 336 с.
3. Ильичева, В.В. Математические методы в экономике.
Учебное пособие. -
Ростов н/Д, 2006. -
112 с.
. Красс, М.С. Основы математики и ее приложения в
экономическом образовании / М.С. Красс, Б.П. Чупрынов. - М. : «Дело», 2010. - 688 с.
. Формалев В.Ф., Ревизников Д.Л. Численные методы. М.:
ФИЗМАТЛИТ, 2004. - 400 с.
. Хачатрян, С.Р. Методы и модели решения экономических
задач. - М.: «Экзамен», 2005. - 384 с.
. Хемминг Р.В. Численные методы для научных работников
и инженеров. Пер. с англ. - М.: M.: Наука, 1992. - 400 c.
. Экономико-математические методы и модели : учебное
пособие / кол. авторов ; под ред. С.И. Макарова. - 2-е изд., перераб. и доп. - М. : КНОРУС, 2009. - 240 с.