Программная система управления контентом портала с архивом конструкторской документации

  • Вид работы:
    Дипломная (ВКР)
  • Предмет:
    Информационное обеспечение, программирование
  • Язык:
    Русский
    ,
    Формат файла:
    MS Word
    673,73 Кб
  • Опубликовано:
    2017-02-10
Вы можете узнать стоимость помощи в написании студенческой работы.
Помощь в написании работы, которую точно примут!

Программная система управления контентом портала с архивом конструкторской документации

Введение

Считается, что правильно организованный документооборот и электронный архив документов становятся необходимыми условиями эффективной работы современного предприятия.

Имеется целое направление ПО для управления электронными документами - так называемые PDM-системы.

Представителями PDM систем можно назвать такие специализированные пакеты программ, как SolidWorks Enterprise PDM, Autodesk Vault, 1С-PDM, Лоцман. Также сюда можно отнести и универсальные многофункциональные пакеты, такие как Microsoft SharePoint.

В PDM системах решаются задачи управления документооборотом для их совместной разработки, управление потоками документов при прохождении их различных служб. Это сложные и дорогостоящие ситемы корпоративного уровня, применяющиеся на современном этапе информационных и облачных технологий.

При этом накопленный конструкторский опыт прошлых десятилетий представлен пока в виде бумажных архивов на большинстве предприятий. Этой документацией (бумажными копиями) также активно пользуются ремонтные службы, эксплуатационные подразделения. Внедренные в прошлом сложные технологические процессы в химическом производстве, производстве электроэнергии базируются на комплексах оборудования и требуют особого внимания во время эксплуатации с целью обеспечения безопасности работ.

В этом случае речь идет не столько о документообороте, а о возможности быстрого доступа к имеющимся данным при принятии решений, или доступа к накопленным знаниям при разработке новых изделий. Эти задачи должны решаться также с помощью современных технологий, но более доступных для широкого круга пользователей, не связанных с процессами проектирования и не столь громоздких по числу функций и форматам данных, требующих отдельных подразделений для их сопровождения. Поэтому разработка такой специализированной системы для хранения конструкторской и технической документации и обеспечения многопользовательского доступа к ней является актуальной и сегодня.

Для того, чтобы такая система нашла свое применение на предприятии потребуется решить три насущные задачи:

перевод бумажной документации в электронный вид, что позволит сохранить накопленный производственный опыт;

создание электронного архива, что позволит оптимизировать процесс хранения документов;

обеспечить совместный доступа к хранилищу инженерных данных, документов и разработок предприятия.

Первая задача может решаться силами сотрудников предприятия современными аппаратными средствами - сканерами.

Для решения второй задачи потребуется ПО с функциями ввода электронных документов в хранилище в систематизированном виде силами тех же сотрудников. Отметим несколько особенностей, присущих такого рода информации:

насыщенные широкоформатные чертежи (форматы А0, А1);

многостраничные спецификации, сопровождающие каждый чертеж;

инструкции по эксплуатации оборудования и паспорта.

Третья задача должна решаться на базе клиент-серверных технологий и обеспечивать доступ параллельно с процессом наполнения хранилища.

Существующие средства для решения первой задачи вполне известны, а для решения второй и третьей задачи существующие системы имеют ряд недостатков, которые будут решаться в разрабатываемой системе.

1. Анализ предметной области

.1 SolidWorcks Enterprise PDM

Enterprise PDM (SWE-PDM) управляет данными и процессами на различных этапах жизненного цикла изделия, обеспечивая коллективную (параллельную) разработку изделия, технологий изготовления, процессов имитационного моделирования, эксплуатационной документации с возможностью двустороннего обмена данными с системами управления предприятием класса ERP/MRP. В результате на предприятии создается единое информационное пространство, охватывающее технические, финансово-экономические, логистические и управленческие подразделения, включая территориально распределенные структуры[2].Enterprise PDM включает в себя следующий основной функционал:

Управление доступом к данным

Управление проектами

Управление нормативно-справочной информацией

Управление произвольными документами

Управление процессами

Классификация изделий

Управление изделиями

Управление технологическими данными

Управление стоимостью

Взаимодействие с информационными системами предприятия

Отчеты и аналитика

Достоинтсва SolidWorcks Enterprice PDM:

Удобный интерфейс;

Чтение/запись данных в SolidWorcks;

Возможность редактировать данные в ручном режиме непосредственно в программе;

Поддержка различных бланков;

Возможность импорта и экспорта данных в PDM-систему.

Недостатки:

Работа непосредственно только с SolidWorcks;

Нет импорта/экспорта данных в формат .xml;

Некорректная, а иногда неудобная нумерация и сортировка строк;

Автоматическое формирование документов по ЕСКД;

При чтении/записи данных в большой сборке потери позиций и некоторых свойств;

Отсутствует поиск элементов на схемах;

Отсутствует локальный поиск схем;

Требует дополнительного места на жестком диске;

Из всего выше сказанного можно сделать вывод, что SolidWorcks Enterprise PDM является мощным ПО, которое включает в себя все аспекты для работы с КТС и предприятия в целом.Стоимость SolidWorcks Enterprise PDM равна 1795 долларов США.

1.2 Autodesk Vault

Программа адресована членам конструкторских, технических и производственных команд, нуждающимся в управлении данными проекта, в их организации и эффективном доступе к ним.Vault представляет собой систему управления данными в рабочей группе, интегрируемую в программу Autodesk Inventor, которая является составной частью пакетов Autodesk Inventor Series и Autodesk Inventor Professional[3].Vault включает в себя следующий основной функционал:

Непосредственная интеграция с САПР;

Поиск данных;

Многократное использование данных;

Автоматизированное управление данными;

Интеграция с Microsoft Office;

Интеграция с Microsoft SharePoint;

Стандартизация данных;

Контроль изменений;

Пакетная печать для автоматизированных данных.

Главные достоинства программы заключаются в следующем: производителям она помогает сократить цикл разработки продукта и повысить качество проекта/продукта, а проектировщикам позволяет сэкономить время, затрачиваемое на организацию и поиск данных, и сократить количество ошибок за счет гарантированного доступа именно к тем данным, которые нужны в тот или иной конкретный момент[3].

В отличие от SolidWorks/PDMWorks программа Autodesk Vault обладает следующими достоинствами:

Предлагает встроенный механизм управления данными, причем бесплатно, по программе подписки.

Отличается простотой установки и не нуждается в развертывании:

в отличие от традиционных PDM-систем, не требует технического переоснащения производственного процесса;

не нуждается в длительном развертывании - сразу после установки все готово к работе;

не требует использования сложных информационных технологий.

Способствует сокращению цикла разработки продукта:

меньше времени затрачивается на организацию и поиск данных;

сокращается количество ошибок за счет точного извлечения нужных данных.

Преимущества Autodesk Vault для клиента:

Встроенный механизм управления данными.

Простая и легкая настройка, не требующая развертывания

Программа помогает сократить цикл разработки продукта за счет надежного управления данными и эффективного доступа к необходимой информации.

Недостатки:

Работать с файлом (файлами) через Vault может только один пользователь, остальным пользователям они доступны только для чтения;

Редактируемые файлы хранятся на рабочем месте у пользователя и посе изменения заливаются на сервер.

Отсутствует разграничение прав доступа к папкам и файлам.

Отсутсвует масштабирование графики;

Отсутствует поиск элементов на схемах;

Отсутствует локальный поиск схем в системе;

Требует дополнительного места на жестком диске;

Основной пакет Autodesk Vault, является бесплатным ПО но можно купить расширения Autodesk Vault Workgroup со стоимостью 44880 рублей и Autodesk Vault Professional стоимостью 76 937.06, в которых устранены вышеперечисленные недостатки.

1.3 1С:PDM

Программный продукт "1С:Предприятие 8. PDM Управление инженерными данными" - совместное решение фирмы "1С" и компании АППИУС предназначенное для автоматизации конструкторско-технологической подготовки производства (КТПП)[6].

Внедрение 1С:PDM позволяет изменить методологию конструкторско-технологической подготовки производства, организовать процесс подготовки производства в разрезе ведения конструкторско-технологической информации об изделии (составы, техпроцессы изготовления, технологические маршруты, материалы, трудоемкость изготовления), а не как процесс выпуска и изменения документов[4].

Система является общим структурированным хранилищем информации, которое позволяет систематизировать, упорядочить, проработать и уточнить взаимосвязанную информацию об изделиях, служит средой коллективной работы специалистов различных служб, объединенных общим бизнес-процессом[4].

Связь каждого элемента PDM-системы с номенклатурой обеспечивает получение информации о виде воспроизводства данной комплектующей, основных ее поставщиках, аналогах, наличию на складе и т.п., позволяя формировать оперативные управленческие решения, основываясь на достоверности данных внутри ERP-системы, с одной, и PDM-системы, с другой стороны.

С:PDM включает в себя следующий основной функционал:

Управление изменениями;

Управление справочными данными;

Управление электронным и бумажным архивом;

Средства совместной работы;

Управление структурой изделия;

Управление технологией изготовления;

Нормирование.

Основной выгодой от использования на предприятии 1С:PDM является сокращение времени разработки изделия, т.е. сокращение времени выхода изделия на рынок и повышение качества изделия. Сокращение времени выхода на рынок достигается в первую очередь за счет повышения эффективности процесса проектирования изделия:

Избавление конструктора от непроизводительных затрат своего времени, связанных с поиском, копированием и архивированием данных, что составляет 25-30% его времени;

Улучшение взаимодействия между конструкторами, технологами и другими участниками жизненного цикла изделия за счет поддержки методики параллельного проектирования, что приводит к сокращению количества изменений изделия;

Значительное сокращение срока проведения изменения конструкции изделия или технологии его производства за счет улучшения контроля за потоком работ в проекте;

Резкое увеличение доли заимствованных или слегка измененных компонентов в изделии (до 80%) за счет предоставления возможности поиска компонента с необходимыми характеристиками.

Недостатки:

Интерфейс не приспособленный для конструкторско-технологической службы;

Отсутствие интеграции с CAD-системой.

Модульная структура ПО. Для определенных целей приходится покупать отдельные модули;

Отсутсвует масштабирование графики;

Отсутствует поиск элементов на графике;

Требует дополнительное место на жестком диске;

Стоимость программного обеспечения 1С:PDM равна 50 000 рублей, но также компания 1С предлагает купить лицензии для различных подразделений и ролей, цена отдельной лицензии достигает 30 000 рублей на один рабочий месяц.

1.4 Лоцман:КБ

Лоцман: КБ относится к классу PDM-систем и предназначен для быстрого формирования и поддержания в актуальном состоянии электронного архива конструкторской документации. Как отмечают в «Аскон», система решает только задачи конструкторских подразделений и позволяет максимально учесть специфику их внутренних бизнес-процессов и приемов работы. По мнению разработчиков, Лоцман:КБ, являясь типовым решением, обеспечит максимальный эффект средним по размеру предприятиям, готовым сразу начать работать в соответствии с заложенной в систему методикой без необходимости адаптации под существующие в организации процессы[5].

Лоцман: КБ позволяет:

Сформировать и поддерживать в актуальном состоянии электронный архив конструкторской документации, обеспечить быстрый поиск информации;

Организовать коллективную разработку КД;

Организовать электронное согласование КД;

Управлять проектами, процессами проектирования и согласования.

Лоцман: КБ обеспечивает полноценную коллективную работу над проектом уже на уровне файлов, с поддержкой технологии сквозного проектирования, реализованной во всех современных САПР. Система берет на себя организацию процесса, отслеживает изменения файлов, раздает и контролирует права пользователей, при этом не требуется дополнительных работ по настройке системы[5].

Лоцман: КБ предоставляет конструктору несколько вариантов формирования состава:

Вручную, добавляя ДСЕ, документы и присоединяя файлы;

Получения состава изделия, атрибутов через интеграцию с CAD-системой, при этом автоматически может формироваться вторичное представление в формате PDF;

Заимствование объектов из архива или других проектов;

Добавлять материалы используя справочник Материалы и Сортаменты.

При этом система позволяет просто создавать и проводить Извещения, поскольку управление изменениями встроено в Лоцман:КБ. Если в процессе формирования состава появляется документ с обозначением, которое присутствует в архиве, система автоматически создает Изменение и при последующем проведении в Архив всегда знает, что на что меняется[6].

Частью Лоцман:КБ является система управления проектами и процессами согласования. Она позволяет:

Создавать шаблоны проектов и процедур согласования;

Посредством шаблона или вручную создавать график проекта, процедур согласования;

Автоматически исполнять процедуры, система сама будет выдавать задания назначенным исполнителям по ходу исполнения;

Отслеживать выполнение работ и загрузку исполнителей в реальном времени;

Гибко управлять проектами (добавлять/удалять этапы, менять исполнителей, сроки и др.).

Преимущества Лоцман:КБ:

Быстрая внедряемость;

Поддержка технологий сквозного проектирования;

Электронные подлинники;

Мгновенная переписка в рамках проекта;

Создание составных пояснительных записок;

Сравнение версий документов;

Планирование работ;

Организация делопроизводства;

Возможность адаптации под растущие задачи пользователей;

Недостатки:

Система не является мультиплатформенной, только ОС Windows;

Для работы требуются дополнительное ПО: Microsoft SQL Server 2005 SP 4 и Лоцман: PLM;

Отсутствие масштабирования схем;

Отсутствие поиска элементов на схемах;

Отсутствие локального поиска схем;

Требует дополнительного места на жестком диске;

Лоцман: КБ решает только задачи конструкторских подразделений в машиностроении, не содержит ничего лишнего, прост в работе и обслуживании. Система позволяет значительно снизить потери предприятия на поиск информации, организацию коллективной работы, согласование, управление. При этом не требует длительных и дорогостоящих проектов внедрения.

Стоимость Лоцман:КБ 2015 на 10 мест составляет 22700 рублей, на 50 мест 56600 рублей.

Как можно видеть из обзора, существующие системы не в полной мере удовлетворяют обозначенным требованиям, следуя из этого можно прийти к выводу, что необходимо реализовать систему которая будет обладать следующими преимуществами:

Редактировать содержимое системы может только редактор;

Система будет включать в себя разграничение пользователей по ролям.

Масштабирование схем и чертежей;

Поиск оборудования на схемах;

Глобальный и локальный поиск оборудования и схем;

Разграничение прав доступа к системе через администраторскую панель web-интерфейса;

Система будет работать с помощью клиент - серверной архитектуры, пользователю не надо дополнительное место на жестком диске;

Разделение системы на два модуля:

Редактор, для наполнения контента;

Вебсайт, для просмотра контента.

Автоматическая синхронизация редактора и сервера системы;

2. Анализ технического задания

.1 Наименование системы

Программная система управления контентом портала с архивом конструкторской документации.

2.2 Цели, назначение и область использования Системы

Система создается для достижения следующих целей:

сокращение сроков разработки и внедрения нового изделия;

повышение эффективности проведения ремонтных работ;

информационное обеспечение безопасности эксплуатации оборудования.

Система предназначена для:

создания электронного архива конструкторской и технической документации;

предоставления доступа к архиву различным службам предприятия;

проведения работ по систематизации архива документов;

автоматизации поиска документации;

представления широкоформатных чертежей на стандартных мониторах;

автоматизации поиска элементов спецификации на чертежах.

2.3 Основные требования к системе

Система должна включать в себя программное обеспечение в составе:

Серверной части, необходимой для записи данных, обработки запросов пользователей, а так же генерации интерфейса, доступного через браузер.

Базы данных, хранящей все необходимые документы и записи, а также сохраняющей состояние работы с документами.

Система должна быть построена на клиент-серверной архитектуре. Работа с системой должна происходить через web-интерфейс. Система должна позволять одновременную работу нескольких пользователей (1 - 50). Пользователь допускается к работе с системой, только после идентификации (ввод имени и пароля). Должна быть возможность при явном указании сохранить идентификационные данные на данном устройстве, чтобы исключить частый повторный их ввод.

В системе должно быть предусмотрено распределение прав для пользователей в соответствии с принадлежностью к одной из трех основных групп:

Читатель;

Редактор;

Администратор;

Читатель может:

Выбирать интересующий его энергоблок АЭС и просматривать информацию по нему;

Просматривать технологическую схему энергоблока в высоком разрешении;

Выбирать участок схемы для его дальнейшей детализации.

Переходить по ссылкам на страницу оборудования.

Скачивать документы, связанные с этим оборудованием.

Выполнять поиск по ключевым словам.

Просматривать структуру имеющихся документов и перемещаться по ней.

Редактору разрешается:

Загружать на сервер новые схемы энергоблока, обновлять имеющиеся.

Создавать страницы для нового оборудования. Редактировать имеющиеся страницы.

Загружать на сервер изображения, документы и прочие файлы.

Выполнять привязку страниц оборудования к конкретным участкам схемы.

Редактировать ранее сделанные привязки.

Администратор вправе:

Добавлять новых пользователей.

Блокировать, разблокировать и изменять принадлежность группе существующих пользователей.

Удаленно производить действия по техническому обслуживанию серверной составляющей системы.

Система должна позволять работать с данными больших объемов (порядка двух десятков мегабайт) без существенных задержек за счет разбиения на малые части и предварительного отображения в меньшем разрешении и с ухудшением качества.

3. Методы и средства разработки Системы

Основой системы будут два независимых модуля. Первый будет разрабатываться для формирования контента системы, этот модуль будем называть Редактор. Второй модуль будет отвечать за отображение контента пользователю в web-браузере, далее этот модуль будем называть вебсайт или Планшет. Исходя из этого можно сделать вывод, что для каждого модуля необходимо подобрать отдельные средства для разработки.

Для создания вебсайта будет использоваться не требующее лицензий программное обеспечение, включающее сетевую операционную систему Ubuntu, HTTP сервер Apache, СУБД MySQL. Для работы с БД используется язык запросов SQL в рамках стандарта ANSI SQL-92 и РНР. Конфигурация программного обеспечения в системе представлена на рисунке 1.

Рисунок 1 - Конфигурация ПО

Для разработки пользовательских интерфейсов вебсайта используется язык разметки гипертекста - HTML 4.1, Java Script 1.9 и выше, каскадные таблицы стилей CSS 2.0.

Для основной логики вебсайта, такой как регистрация пользователя в системе, поиск схем и оборудования будет использоваться язык программирования PHP.

Для подготовки и модификация контента будет разработана программа редактор на языке программирования C#. Обновленные версии контента с помощью этой программы будут синхронизироваться с контентом серверной части системы.

Данные, прежде чем стать обучающим контентом, состоящим из различных сущностей проходят предварительную обработку.

Систематизация контента, разбиение на разделы, установка связей между частями производится с помощью программы редактора. Результатом работы программы редактора являются заполненные контентом шаблоны html-страниц. Объем контента каждой html-страницы формируется равным объему соответствующего подраздела. Дополнительно заголовки ключевых разделов и ссылки на них заносятся в таблицы БД для реализации поисковых процедур. Список html-страниц в виде файлов составляют вебсайт сервера. Процедуры и функции управления контентом располагаются в отдельных папках в пределах вебсайта.

4. Основные технические решения

.1 Очередность разработки Системы

а) разработка программного обеспечения для ввода, редактирования и актуализации контента, синхронизации с хранилищем сервера.

б) определение принципов отображения контента, выбор программных средств хранения, доступа, навигации и модификации контента. Разработка концептуальной, логической, физической модели хранилища для контента.

в) разработка структур баз данных содержания контента - метаданных;

г) разработка интерфейсной части серверного приложения;

д) разработка пользовательских форм и окон;

е) разработка стилей CSS страниц, Java - скриптов управления контентом, масштабирования графики, PHP библиотек;

ж) расстановка переходов по внутренним и внешним ссылкам контента, расстановка контекстов;

з) разметка графики на регионы, проставление контекстов и ссылок из регионов графики на страницы контента;

и) наполнение баз данных, ввод, редактирование контента;

4.2 Решения по структуре системы, подсистем, средствам и способам связи для информационного обмена между компонентами Системы

Организационная структура системы представлена на рисунке 2.

Рисунок 2 - Организационная структура

Общая структура решения системы разделена на 5 сущностей:

Администрирование - эта сущность отвечает за управлением пользователями.

Технический персонал - эта сущность в основном отвечает за актуализацию содержимого контента.

Редактор - эта сущнось отвечает за наполнение контентом системы в модуле Редактор.

Пользователи - эта сущность имеет доступ к просмотру и поиску информации в модуле системы вебсайт.

Архив - эта сущность отвечает за хранение всей информации, которая находится в системе.

4.2.1 Функциональная структура Системы

Функциональная структура отражает жизненный цикл данных, циркулирующих и хранящихся в Системе. Решение по функциональной архитектуре Системы представлено на рисунке 3.

Рисунок 3 - Функциональная архитектура

Исходные данные - массив входных данных.

Экспертами по данным являются представители служб главного инженера и технолога предприятия, начальники цехов, которые согласовывают объем и перечень исходных данных.

Управление контентом включает в себя следующие процедуры:

. Преобразование исходных данных:

а) оцифровка текстовых и графических данных и перевод их в файлы с форматами для Системы;

б) доведение данных до приемлемого уровня качества и информативности;

в) разметка графических объектов на регионы для поиска и контекстных сообщений.

. Агрегирование данных:

а) представление информации в окончательном виде, принятом для хранения и отображения в Системе;

б) организация интегрированного хранения в структурах, обеспечивающих их целостность, непротиворечивость, высокую скорость и гибкость выполнения запросов;

. Согласование данных:

а) выбор форматов представления различных данных для совместного отображении в пределах страницы браузера;

б) систематизация данных по разделам с целью навигации по иерархии данных и поиска по ключевым словам заголовков разделов;

в) соединение данных с управляющими процедурами при отображении - масштабирование, вывод контекстов, перетаскивание широкоформатных графических объектов, автоматическое позиционирование на экран найденного фрагмента.

Редактор посредством программного обеспечения реализует функции управления контентом 1.в), 2.б), 3.б), в). Остальные функции реализуются стандартным программным обеспечением для оцифровки данных.

Хранение контента учитывает особенности представления данных. Файлы графических форматов большого объема - чертежи хранятся в папках ресурсов. Заголовки разделов контента записаны в страницах HTML и в таблице базы данных с соответствующими гипер-ссылками. Списки пользователей хранятся в базе данных.

Пользователи посредством браузера получают информацию о иерархической структуре контента и могут совершать навигацию по контенту, поиск данных, просмотр, управление просмотром с помощью меню, получая таким образом требующуюся на данный момент информацию оборудовании.

Администраторы БД и Системы обладают правами доступа к хранилищу для просмотра таблиц с данными, папок с файлами ресурсов, спискам персонала.

4.2.2 Логическая и компонентная архитектура Системы

Система функционирует как распределенная трехзвенная клиент-сервер-СУБД программная архитектура. В среде серверной операционной системы Microsoft Windows Server 2012 R2 Standart система установлена как виртуальная машина. Такой подход позволит обеспечить функционирование системы без привязки к конкретной физической аппаратуре сервера, а также при последующих возможных ее модификациях Заказчиком во время эксплуатации Системы. Лицензионная серверная операционная система приобретается вместе с КТС.

Базовая операционная система виртуальной машины - Ubuntu 12.04.4 LTS Linux tablet 3.11.0.

Хранилище контента, состоящего из технической документации, чертежей, графических изображений, описаний технологических процессов реализуется на базе программного обеспечения Apache HTTP Server 2.2.22. Это позволит реализовать отображение контента посредством HTML-страниц, доступное через стандартный Web-браузер Microsoft Internet Explorer версии 9.0. Интерфейсная часть системы - окна, меню, кнопки, навигация разрабатываются с помощью таблиц стилей CSS и языка программирования Java Script с технологией AJAX.

Сервер баз данных - MySQL database server 5.5.35 содержит таблицы с заголовками содержания контента, журналы со списками пользователей и списками нормативной документации.

Поиск и доступ к контенту, программная часть базы данных, управляющие котроллеры, SQL сценарии разработаны на базе средств PHP 5.4.10 под управлением интегрированной среды разработки Netbeans 8.0. Программное обеспечение серверной виртуальной машины, следовательно, и система не требует наличие каких-либо лицензий и имеет статус свободного распространения.

Программное обеспечение формирования и модификации контента, синхронизации его с хранилищем и базой данных разрабатывается на языке программирования C#. Представляет собой отдельную программу и набор библиотек. Функционирует в среде рабочей станции инструктора или администратора. Позволяет проводить синхронизацию текущего состояния контента с содержимым сервера.

Список программного обеспечения, являющегося технологическим компонентом разрабатываемой Системы представлен в таблице 1.

Таблица 1 - Технологические компоненты Системы

Наименование

Функциональное назначение


Серверное ПО:

Обеспечение работы сервера

1

Microsoft Windows Server 2012 R2 Standart

Серверная операционная система

2

Ubuntu 12.04.4 LTS Linux tablet 3.11.0

Операционная система виртуальной машины

3

Apache HTTP Server 2.2.22

Web-сервер приложений

4

MySQL database server 5.5.35

Сервер баз данных и СУБД

5

PHP 5.4.10

Управление HTML страницами и таблицами

6

Netbeans 8.0

Интегрированная в сервер среда разработки

7

StationGuide.Editor

Редактор и управление контентом


Техническая архитектура Системы приведена на рисунке 4.

Сервер приложений обеспечивает поддержку инфраструктуры решений. Включает в себя следующий ряд приложений обеспечивающих:

стандартные подходы к организации служб каталогов, централизованные методы организации;

развертывание сервисов разработки дополнительных приложений;

развертывание сервисов анализа и отчетности;

сохранение резервных копий баз данных;

Рисунок 4 - Техническая архитектура

архив контент управление система

Сервер БД представляет собой систему управления базами данных (СУБД). На данном сервере хранятся нормативно-справочная информация, таблицы со списками персонала, область временного и постоянного хранения данных, агрегаты данных. Реализуется система разграничений прав доступа на уровне объектов и записей в таблицах.

4.3 Решения по пользовательскому интерфейсу

.3.1 Решения по пользовательскому интерфейсу в части серверного приложения (вебсайт)

Для реализации требований к серверному приложению (Сайту), объединяющему системы управления и обеспечения учебного процесса на основе web-платформы, используются типовые интерактивные управляющие инструментальные средства web-интерфейсов: кнопки перехода, ссылки, меню, скрывающиеся боковые панели, всплывающие окна и т.п. В качестве схем расположения элементов управления и контента используются стандартные одноколоночные, двухколоночные и трехколоночные схемы. Такие схемы привычны для пользователей, что делает работу с приложением более удобной и комфортной.

.3.2 Решения по пользовательскому интерфейсу в части локального приложения (Редактор)

Исходные данные перерабатываются в электронный вид, как следующие сущности: текст; заголовки; списки; таблицы; числовые данные; рисунки; схемы; чертежи.

С помощью различных стандартных компьютерных программ, не входящих в состав Системы.

Для реализации требований к локальному приложению просмотра и редактирования контента (Редактор) используются типовые интерактивные управляющие инструментальные средства XAML: панели, элементы управления и т.п.

5. Описание информационной базы

Схема организации подсистемы хранения данных с указанием потоков данных представлена на рисунке 5.

Рисунок 5 - Схема хранения данных

Область временного хранения данных используется для хранения оцифрованных исходных данных, технической документации, ресурсов для формирования обучающего контента в иерархической файловой структуре и в базе данных программы-редактора.

Область постоянного хранения данных используется для хранения консолидированных, агрегированных данных, нормативно-справочной информации в папках сервера, контента в иерархической структуре файлов сайта.

Область витрин данных используется для хранения заполненных шаблонов страниц сайта с контентом.

Уровни доступа к данным в пределах КТС Системы:папка с оцифрованными исходными данными, доступна для инструктора в пределах АРМ;- папка с техническими описаниями, инструкциями технологических процессов, КД, доступна для инструктора в пределах АРМ;- папка с графическим контентом, чертежами, схемами доступна через программу-редактор в пределах АРМ инструктора с добавочным паролем;

С - папка с файлами стилей и Java Script, html-страницами, формируется программой-редактором, доступна в пределах АРМ инструктора.- таблицы базы данных СУБД MySQL, папки сервера с ресурсами и PHP контроллерами, доступны администратору по FTP протоколу со страниц сайта для пользователей с уровнем доступа администратора Системы;- папка сервера заполненных шаблонов html-страниц, синхронизируется с С АРМ инструктора, доступна по протоколу FTP для администрирования, доступна со стороны АРМ пользователя через браузер в режиме отображения и запуска тренажеров и симуляторов.

5.1 Объекты области временного хранения

Объекты области временного хранения классифицируются по предметным областям. Аутентичность исходным данным Заказчика в объектах DF, TD и R достигается за счет копирования текста, графических схем, мнемосхем и представления таблиц в виде изображений. При переработке, консолидации и агрегировании исходные данные становятся контентом со следующими сущностями:

Текст;

Заголовки;

Таблицы;

Рисунки;

Схемы, мнемосхемы;

Чертежи с механизмами управления:

Гиперссылки в тексте и графических изображениях для перехода и отображения нужной части контента;

Контекст для дополнительного пояснения отображаемого контента;

Контекст, содержащий гиперссылки;

Вкладки (закладки);

Масштабируемая графика;

Интерактивные таблицы.

Контент хранится в объекте C.

5.2 Объекты области постоянного хранения

Объекты области постоянного хранения классифицируются по принципу логической группировки таблиц (сущностей) по предметным областям - областям сведений о пользователях, нормативных документов, разделов контента.

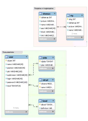
С точки зрения реализации объектов БД области постоянного хранения сущностей каждого класса, все классы сущностей реализуются в одной схеме БД - DW. Многомерная модель данной схемы реализована по принципу связанных таблиц и представлена на рисунке 6.

Рисунок 6 - Модель БД.

5.2.1 Область Пользователи

В данной области возможен анализ данных о Пользователях: ФИО, место и должность работы, специализация, назначенный уровень доступа. Администратор СПО ОП может вносить изменения в список и управлять правами доступа каждого пользователя.

Заполняется и актуализируется по информации от Пользователей при их регистрации. Администратор ведет список предприятий, на которых работают Пользователи.

5.2.2 Область разделы и подразделы

Данная область содержит данные о ссылках на страницы с тем или иным заголовком раздела или подраздела. Доступна со стороны процедур поиска PHP контроллерами. Заполняется автоматически при формировании программой-редактором контента.

5.3 Описание таблиц базы данных

Таблица 1 - Типы и назначение полей таблицы «user»

Имя

Тип

Описание

UserId

int

Уникальный идентификатор пользователя

Name

ФИО пользователя

Position

varchar

Должность пользователя

Job

varchar

Место работы пользователя

subdivision

varchar

Подразделение пользователя

Login

varchar

Имя пользователя для входа в систему

password

varchar

Пароль пользователя

level

tinyint

Уровень пользователя


Таблица 2 - Типы и назначение полей таблицы «jobs»

Имя

Тип

Описание

idJobs

tinyint

Уникальный идентификатор места работы

jobs

varchar

Наименование места работы


Таблица 3 - Типы и назначение полей таблицы «Otryd»

Имя

Тип

Описание

idname

int

Уникальный идентификатор отряда

name

varchar

Наименование отряда


Таблица 4 - Типы и назначение полей таблицы «level»

Имя

Тип

Описание

idlevel

tinyint

Уникальный идентификатор уровня

definition

varchar

Описание уровня




Таблица 5 - Типы и назначение полей таблицы «shemas»

Имя

Тип

Описание

idshemas

int

Уникальный идентификатор схемы

picture

varchar

Содержит путь к изображению

name

varchar

Наименование схемы

aes

varchar

Наименование атомной станции

block

varchar

Наименование блока в котором расположена схема

linck

varchar

Содержит ссылку, где расположена схема в системе


Таблица 6 - Типы и назначение полей таблицы «rig»

Имя

Тип

Описание

idrig

int

Уникальный идентификатор оборудования

idshemas

int

Идентификатор схемы

picture

varchar

Содержит путь к изображению оборудования

name

varchar

Наименование оборудования




6. Руководство пользователя

.1 Модуль Редактор

Рассмотрим макеты интерфейса основных функциональных элементов локального приложения, которые отражают расположение основных элементов управления контентом. Все элементы интерфейса представлены схематично. Приложение имеет стандартный оконный интерфейс пользователя, содержащий следующие элементы:

блок меню;

блок навигации;

панель инструментов;

блок редактирования.

Блок меню содержит основные команды работы с приложением и имеет следующую структуру:

Меню «Библиотека»:

Команда «Сохранить библиотеку» - сохранение в библиотеке на локальном компьютере изменений, внесенных пользователем;

Команда «Сохранить библиотеку и сделать ее компактнее» - аналогично предыдущей команде плюс сжатие библиотеки;

Команда «Сформировать Web-сайт» - промежуточная операция, подготавливающая контент к загрузке на Сайт (серверное приложение);

Команда «Синхронизировать с сервером» - загружает подготовленный контент на Сайт;

Меню «Разделы»:

Команда «Создать раздел» - добавление раздела (подраздела) в структуру библиотеки контента;

Команда «Удалить раздел» - удаление выбранного раздела (подраздела) из структуры библиотеки контента;

Команда «Скрыть раздел» - установка для выделенного раздела атрибута «скрытый»;

Меню «Шаблоны»:

Команда «Управление шаблонами» - вызов окна настроек шаблона html-страниц Сайта;

Меню «Правка»:

Команда «Отменить действие» - отмена последней операции с библиотекой контента;

Команда «Повторить действие» - повтор последней операции с библиотекой контента;

Команда «Настройки» - вызов окна настроек безопасности Редактора.

Блок навигации по библиотеке контента имеет древовидную (иерархическую) структуру. При этом каждому элементу в этой структуре (разделу / подразделу) соответствует страница Сайта. Рядом с наименованиями разделов (подразделов) в блоке навигации отображаются пиктограммы, отражающие текущее состояние элемента библиотеки: «Сохранен / Несохранен», «Видимый / Скрытый».

Панель инструментов расположена над блоком навигации и состоит из четырех кнопок, позволяющих изменять структуру библиотеки контента:

Кнопка «Добавить раздел» - вызов окна добавления нового раздела;

Кнопка «Удалить раздел» - удаление выбранного раздел (подраздела) из структуры библиотеки контента;

Кнопка «Поднять раздел» - подымает раздел (подраздел) на ступень выше в пределах того же уровня;

Кнопка «Опустить раздел» - опускает раздел (подраздел) на ступень ниже в пределах того же уровня.

Расширенный список команд управления структурой доступен через контекстное меню элементов библиотеки и включает в себя следующие команды:

команда «Редактировать раздел» - переименование раздела (подраздела);

команда «Добавить раздел»;

команда «Скрыть раздел»;

команда «Удалить раздел»;

команда «Поднять раздел»;

команда «Опустить раздел»;

команда «Переместить раздел» - перемещение раздела на любой уровень в иерархии библиотеки контента.

Рисунок 7 - Главное окно среды просмотра и редактирования контента

Рисунок 8 - Главное окно - вкладка «Редактор». Добавление нового элемента с контентом

Рисунок 9 - Главное окно - вкладка «Редактор». Выбор типа контента

6.2 Модуль вебсайт

.2.1 Работа с контентом

Контент системы содержит как отдельные медийные составляющие - текст, таблицы, ссылки, графику, так и связанные между собой. Содержание контента доступно в левой боковой вкладке.

6.2.2 Контекст

Контекст содержит информацию об объекте и ссылку на раздел с описанием. Контекст применяется на графических схемах и появляется на экран при наведении курсора на регион с объектом как показано на рисунке 10.

Рисунок 10 - Изображение контекста станции

Контент в окне отображается в виде текста, таблиц и не масштабируемых изображений. Здесь могут быть активированы контексты или отдельные ссылки для перехода в другие разделы системы. На рисунке 11 изображено содержание контента страницы.

Рисунок 11 - Содержание контента страницы

При активации полосы прокрутки контента в окне над ней появляется кнопка «Вверх», которая предназначена для быстрого возврата к начальной позиции контента в окне.

.2.3 Просмотр изображения

Отдельно просмотреть не масштабируемое изображение в исходном качестве можно по клику на нем. На рисунке 12 показано модальное окно для просмотра не масштабируемого изображения.

Рисунок 12 - Модальное окно для не масштабируемого изображения

6.2.4 Масштабируемое изображение

Масштабируемое изображение отображает технологические схемы АЭС, чертежи тепломеханического оборудования. Начальная загрузка схемы в окно представляется уменьшенной копией и занимает всю высоту экрана. Увеличить масштаб отображения можно прокруткой колеса "мыши". Масштабирование привязано к курсору «мыши», т.е. этот участок схемы не уходит из-под курсора. Меню Просмотр работает только с масштабированным изображением. Отобразить другой фрагмент схемы можно путем перетаскивания по эрану. Нужно нажать и удерживать левую кнопку мыши и перетаскивать в пределах экрана. На рисунке 13 изображено окно с масштабируемым изображением.

Рисунок 13 - Окно с масштабируемым изображением

6.2.5 Авто-позиционирование

Правая боковая вкладка содержит таблицу оборудования. По умолчанию вкладка скрыта. Клик «мышью» по ячейке таблицы автоматически передвигает схему по экрану так, чтобы это оборудование оказалось в центре экрана и происходит его цветовая окраска. Так, на схеме «Тепловая схема 2-го контура 1-го блока Калининской АЭС» была найдена позиция «1RC10S01» - это представлено на рисунке 14.

Рисунок 14 - Пример авто-позиционирования

6.2.6 Листание списка

Если в результате поиска на схеме по данным из таблицы будет найдено несколько экземпляров оборудования (т.е. с одинаковой маркировкой или наименованием), то в левом верхнем углу экрана будет открыта панель навигации, с помощью которой можно листать отобранные фрагменты. На рисунке 15 изображено листание списка.

Рисунок 15 - Листание списка

Например, если на схеме «Тепловая схема 2-го контура 1-го блока Калининской АЭС» сделать клик «мышью» по ячейке с данными «БРУ сброса пара в конденсатор», то будет произведен поиск оборудования по данным ячейки. При этом будет найдено четыре экземпляра оборудования с таким наименование.

.2.7 Поиск схем

Поиск технологических схем или чертежей оборудования проводится по ключевому слову, набранному в поисковую строку в панели меню и нажатию кнопки «Найти», как показано на рисунке 16.

Рисунок 16 - Панель поиска с ключевым словом

Достаточно, чтобы ключевое слово содержало лишь часть символов из наименования схемы или чертежа оборудования. Например: по ключевому слову "схема" будут найдены все технологические схемы в системе или в текущем разделе, а по ключевому слову "водо" - будут найдены схемы водоснабжения и т.д.

Результаты поиска выводятся в модальном окне, которое содержит миниатюру найденной схемы, наименование схемы, наименование АЭС, номер энергоблока АЭС. Если наименование схемы будет выделено синим цветом в виде ссылки, то это означает что найденный объект принадлежит этой схеме. Клик «мышью» по миниатюре схемы приведет к открытию новой вкладки браузера с соответствующей схемой. Клик "мышкой" по ссылке откроет схему на которой есть данный объект. Для закрытия окна «Результаты поиска» необходимо кликнуть «мышью» в любом месте за пределами окна либо нажать кнопку «Закрыть» в правом верхнем углу окна или клавишей Esc. Окно с результатами поиска изображено на рисунке 17.

Рисунок 17 - Окно с результатами поиска

Результаты поиска привязан к разделу системы. Например, если текущим разделом является головной раздел «Калининская», то запрос будет отработан только для этого раздела. Это упрощает поиск схем, если известно, что схема относится к определенному разделу. Для поиска схем по всем разделам, необходимо, чтобы текущим разделом был «Планшет» (Стартовое окно).

.2.8 Работа администратора

Для перехода в административный раздел системы необходимо выбрать пункт меню «Файл» → «Администратор», после чего откроется окно, показанное на рисунке 18.

Рисунок 18 - Окно со списком пользователей

Данное окно содержит следующие элементы интерфейса:

Заголовок окна;

Таблица «Пользователи» - содержит список всех зарегистрированных в системе пользователей, их регистрационные данные (место работы, подразделение, должность, e-mail, пароль) и уровень доступа к системе;

Область «Сведения» - позволяет редактировать регистрационные данные и уровень доступа выбранного пользователя;

Область «Место работы» - позволяет добавить/редактировать перечень мест работы пользователей системы;

Область «Сообщение» - в этой области выводятся служебные сообщения;

Кнопка «Слайд» - сворачивает/открывает боковую панель;

Кнопка «На сайт» - осуществляет выход из административного раздела системы.

Уровни доступа к системе.

В системе предусмотрено распределение прав для пользователей в соответствии с принадлежностью к одной из трех групп:

Потенциальный пользователь, подавший запрос на регистрацию (уровень "0");

Читатель (соответствует уровню «1» в таблице «Пользователи»);

Редактор;

Администратор (соответствует уровню «2» в таблице «Пользователи»).

Потенциальный пользователь ожидает проверки, редакции пароля и изменения своего уровня. Факт окончания проверки - отправка электронного письма такому пользователю с отредактированным паролем.

Читатель может:

Выбирать интересующий его раздел системы и просматривать информацию по нему;

Просматривать схемы разделов системы в высоком разрешении;

Выбирать участок схемы для его дальнейшей детализации;

Переходить по ссылкам на страницу оборудования;

Скачивать документы, связанные с этим оборудованием;

Выполнять поиск по ключевым словам;

Просматривать структуру имеющихся документов и перемещаться по ней.

Редактор может:

Загружать на сервер новый контент системы, обновлять имеющийся;

Создавать страницы для нового оборудования, редактировать имеющиеся страницы;

Загружать на сервер изображения, документы и прочие файлы;

Выполнять привязку страниц оборудования к конкретным участкам схемы;

Редактировать ранее сделанные привязки.

Администратор может:

Добавлять новых пользователей;

Блокировать, разблокировать и изменять принадлежность группе существующих пользователей;

Удаленно производить действия по техническому обслуживанию серверной составляющей системы.

Регистрация нового пользователя.

Регистрация нового пользователя в системе возможна двумя способоами:

Самостоятельная регистрация пользователя;

Регистрация пользователя администратором системы.

Самостоятельная регистрация пользователя в системе осуществляется после того, как пользователь сформирует запрос и его регистрационные данные появятся в таблице «Пользователи». При этом ему будет присвоен уровень доступа «0». Для подтверждения регистрации администратор должен выделить в таблице пользователя, с помощью формы в области «Сведения» добавить к паролю, который пользователь указал при регистрации, контрольные символы и нажать кнопку «Записать». После этого пользователь будет полностью зарегистрирован в системе, ему будет присвоен уровень доступа «1» (читатель) и в области «Сообщение» системой будет сформировано соответствующее служебное сообщение. Это сообщение следует скопировать в буфер и использовать при отправке письма. Окно с текстом сообщения представлено на рисунке 19.

Рисунок 19 - Окно с текстом сообщения

Регистрация пользователя администратором системы осуществляется в следующем порядке:

В области «Сведения» заполнить все поля формы. Если поля формы уже заполнены, предварительно нажать кнопку «Очистить». Это необходимо делать, если вы работали с таблицей «Пользователи», чтобы случайно не модифицировать данные уже зарегистрированных пользователей;

Нажмите кнопку «Записать».

Редактирование данных пользователя.

Редактирование данных пользователя происходит в следующем порядке:

В таблице «Пользователи» выберите пользователя, которому необходимо изменить регистрационные данные (для редактирования доступны все поля кроме «Фамилия И.О.» и «email»);

В области «Сведения» отредактируйте необходимые поля формы;

Нажмите кнопку «Записать».

Блокировка пользователя.

Блокировка пользователя в системе осуществляется установкой уровня доступа «0» (нет доступа) пользователю. Для разблокировки необходимо изменить уровень доступа на «1» (читатель) или «2» (администратор).

7. Технико-экономическое обоснование

.1 Обоснование актуальности и необходимости разработки

Целью дипломной работы является разработка программной системы управления контентом портала с архивом конструкторской документации, которое включает в себя два модуля: вебсайт и Редактор.

Разрабатываемая система будет охватывать группу пользователей, которые в основном работают с конструкторской документацией, большими схемами и чертежами.

Обзор рынка существующих систем выявил несколько похожих решений. Наиболее популярными из всех решений можно выделить Solidworcks Enterprise PDM и Autodesk Vault Professional.

Не смотря на огромный функционал Solidworcks Enterprise PDM и Autodesk Vault Professional, у их имеются незначительные недостатки. Так как за основоу был взят контингент пользователей, который работает с конструкторской документацией, большими схемами и чертежами, из этого следует что система должна обладать функционалом масштабирования схем и чертежей, поиском отдельных элементов на схемах, глобальный и локальный поиск схем и оборудования. Перечисленного функционала в системах Solidworcks Enterprise PDM и Autodesk Vault Professional нет. Это и послужило основной причиной разработки данной системы.

.2 Обоснование выбора аналога для сравнения

Enterprise PDM (SWE-PDM) управляет данными и процессами на различных этапах жизненного цикла изделия, обеспечивая коллективную (параллельную) разработку изделия, технологий изготовления, процессов имитационного моделирования, эксплуатационной документации с возможностью двустороннего обмена данными с системами управления предприятием класса ERP/MRP. В результате на предприятии создается единое информационное пространство, охватывающее технические, финансово-экономические, логистические и управленческие подразделения, включая территориально распределенные структуры[3].Enterprise PDM позволяет пользователям:

Управлять доступом к данным

Управлять проектами

Управлять нормативно-справочной информацией

Управлять изделиями

Управлять технологическими данными

Взаимодействовать с информационными системами предприятия

Вести отчеты и аналитикуVault Professional - Программа адресована членам конструкторских, технических и производственных команд, нуждающимся в управлении данными проекта, в их организации и эффективном доступе к ним.Vault Basic позволяет пользователям:

Управлять доступом к данным;

Производить поиск данных;

Многократное использование данных;

Контролировать изменения;

Пакетная печать для автоматизированных данных.

Таблица 7 - Обоснование выбора аналога для сравнения

Параметр

Разработанная система

Autodesk Vault

Solidworcks Enterprise PDM

1. Возможность управлением контентом

да

да

да

2. Требования к аппаратной части

низкие

средние

средние

3. Удобство пользования интерфейсом - эргономика

высокая

высокая

низкая

4. Возможность поиска по контенту

да

да

нет

5. Возможность масштабирования схем

да

нет

нет


Из существующих аналогов наиболее близким по техническим параметрам и предоставляемым пользователю функциям, к разрабатываемой системе является Autodesk Vault. В дальнейшем сравнение будем проводить именной с данным программным продуктом.

.3 Определение общей продолжительности работ по проектированию и разработке программного продукта

В разработке системы принимал участие один инженер-программист.

Длительность выполнения работ по проектированию и разработке системы представлена в таблице 8.

Таблица 8 - Длительность выполнения работ

Этап работ

Длительность этапа (часы)

1

Разработка ТЗ

19

2

Анализ ТЗ, работа с источниками

54

3

Разработка основных этапов работы

10

4

Общее проектирование модулей системы

29

5

Кодирование программы

192

6

Тестирование и отладка программы

67

7

Оформление пояснительной записки

29


Итого

400


По данным таблицы 8 построим график организации работ на этапе проектирования разработки в зависимости от времени (рисунок 20.1).

Рисунок 20 - График организации работ

Так как все работы выполняет один разработчик, то распараллеливание тех или иных этапов невозможно. Время, которое планируется затратить на разработку программы, составляет Tпр = 400 часов.

7.4 Расчет суммарных затрат на разработку программного продукта

К затратам на проектирование и разработку ПП (Зс) относятся:

Материальные затраты (Зм);

Затраты на электроэнергию(Зэ);

Затраты на оплату труда(Зт);

Отчисления на социальные нужды(Зо);

Амортизация оборудования (За).

Прочие затраты (Зп).

Затраты на проектирование и разработку ПП рассчитываются по формуле (1):

Зс = Зм +Зэ+Зт+Зо+За+Зпр (1)

7.4.1 Расчет материальных затрат

Материальных затрат на разработку системы не было произведено, так как оборудование используемое для разработки уже находилось у программиста.

7.4.2 Расчет затрат на оплату электроэнергии

Рассчитаем затраты на электроэнергию (ЗЭ), результаты расчета сведены в таблицу 9.

Таблица 9 - Расчет затраты на электроэнергию

Наименование оборудования

Паспортная мощность, кВт

Коэффициент использования мощности

Время работы оборудования для разработки ПП, ч

Цена электроэнергии, Сумма, руб.


Блок питания ЭВМ

0.25

0.9

400

3.5

315

Монитор

0.05

0.9

400

3.5

63

ИТОГО затраты на электроэнергию

378


Общая сумма затрат на электроэнергию (ЗЭ) рассчитывается по формуле (2):

 (2)

где Мi -паспортная мощность i-го электрооборудования, кВт;

Кi - коэффициент использования мощности i-го электрооборудования (принимается Кi=0.7¸0.9);

Тi - время работы i-го оборудования за весь период разработки ПП, час;

Ц - стоимость электроэнергии, руб/кВт×ч (по данным бухгалтерии, или тариф для потребителей - физ.лиц);- вид оборудования;- количество оборудования i-того вида.

Тмаш - время эксплуатации ВТ для работ по проектированию и разработке прибора (устойства), по данным графика организации работ по проектированию, СкВт час - тариф на электроэнергию.

7.4.3 Расчет затрат на оплату труда

Затраты на оплату труда разработчика (ЗТ) рассчитываются исходя из его часовой ставки и времени его работы, формула (3).

Зт= Зо+Зд (3)

Где Зо- основная зарплата;

Зд- дополнительная зарплата (для юр.лиц);

Основная заработная плата (Зо) определяется по формуле (4):

 (4)

где t - время выполнения i-го вида работ, ч;- часовая (дневная) тарифная ставка исполнителя при выполненииго вида работ, руб/ч.

С учетом этого затраты на оплату труда разработчика равны

ЗТ = 90 * 400 = 36000 руб.

7.4.4 Расчет отчислений на социальные нужды

Рассчитаем суммарную величину страховых взносов (ЗО) по формуле (5).

 (5)

где Зо- основная заработная плата;

Зд- дополнительные денежные вознаграждения.

η - ставка страховых взносов (в соответствии с федеральным законом от 03.12.2011 N 379-Ф3, для основной массы плательщиков с 1 января 2012 года ставка страховых взносов установлена в размере 30%).

ЗО = (36000 * 30)/100 = 10800 руб

.4.5 Расчет затрат на амортизацию

Проведем расчет амортизационных отчислений, результаты расчета сведены в таблицу 6.5.

Общая величина амортизационных отчислений (За) определяется по формуле (6):

, (6)

где Фi -стоимость i-го оборудования, руб.;

НАi - годовая норма амортизации i-го оборудования, %;

ТНИРi - время работы i-го оборудования за весь период разработки ПП, ч;

Тэфi - эффективный фонд времени работы i-го оборудования за год, ч/год (для оборудования возрастом до 5 лет, составляет 1870 ч);- вид оборудования;- количество оборудования i-того вида.

Стоимость оборудования и годовые нормы амортизации определяются по данным бухгалтерии или исходя из возможного срока полезного использования оборудования и вычисляются по формуле (7):

, (7)

где ТNi - возможный срок полезного использования i-го оборудования, год.

Таблица 10 - Общая стоимость оборудования

Наименование оборудования

Стоимость оборудования, руб.

Блок питания ЭВМ

22000

Монитор

7000

Итого

29000


Затраты на амортизацию равны 0, так как амортизируемым имуществом признается имущество со сроком полезного использования более 12 месяцев и первоначальной стоимостью более 40000 рублей. [6]

.4.6 Расчет прочих затрат

В ходе разработки системы к прочим затратам можно отнести оплату интернет-трафика. Тариф Интернет-провайдера Мегалинк составляет 500 рублей в месяц. Разработка системы длилась 400 рабочих часов, это приблизительно равно двум месяцам. Следовательно прочие затраты составили только оплата интернет-трафика равной 1000 рублей.

7.4.7 Смета затрат на разработку

Затраты на проектирование и разработку равны:

Зс = 378руб + 36000руб + 10800руб + 1000руб = 48178 руб.

На основании полученных данных составим смету затрат на разработку ПП по форме, приведенной в таблице 11.

Таблица 11 - Смета затрат на разработку ПО

Статьи затрат

Сумма, руб.

Материальные затраты, в том числе: материалы электроэнергия Затраты на оплату труда. Страховые взносы. Амортизация оборудования. Прочие затраты.

378 36000 10800 0 1000

ИТОГО

48178


7.4.8 Определение цены реализации

Так как разрабатываемая система включает в семя модуль вебсайт, тиражирование системы не имеет смысла, поэтому разработка имеет один экземпляр.

В случае реализации программного продукта продажная цена складывалась бы из его себестоимости, закладываемой прибыли и НДС. В таблице 12 приводятся данные для определения цены продукции и полученная цена. После анализа ситуации на рынке аналогичной продукции, закладываемая норма прибыли была принята 20%.

Таблица 12 - Определение цены реализации системы

Наименование статьи калькуляции

Сумма, руб.

Себестоимость

48178

Закладываемая прибыль (20%)

9635,60


Таким образом, если бы разработка выполнялась под заказ, цена реализации системы составила бы 57813,6 рублей.

7.5 Расчет сравнительной технико-экономической эффективности

.5.1 Расчет коэффициента качества

Рассчитаем весовые коэффициенты критериев сравнения (таблица 6.7) и интегрального коэффициента качества.

Интегральный коэффициент качества вычисляется по формуле (8) K= (разработки)/ (аналога) (8)

Таблица 13 - Расчет весовых коэффициентов критериев сравнения

Критерий Сравнения

Экспертная оценка важности

Нормированный весовой коэффициент

Аналог

Разработка





Показатель

Значение

Показатель

Значение

1

Быстродействие

8

0,2105

6

1,2632

8

1,6842

2

Требовательность к системным ресурсам

6,5

0,1711

5

0,8553

7

1,1974

3

Функциональность

8,5

0,2237

9

2,0132

8

1,7895

4

Минимизация трафика

7

0,1842

6

1,1053

9

1,6579

5

Эргономика

8

0,2105

8

1,6842

8

1,6842


Итого

38

=34

= 6,92

=40

=8,01


Получаем K= (разработки)/ (аналога) = 8,01/6,92 = 1,16

Интегральный коэффициент качества для разработки K = 1,16. Из полученных данных можно сделать вывод, что по уровню качества разработанная система несколько превосходит аналог. Такое значение можно объяснить тем, что система-аналог является лишь системой со сходным функционалом, а разработанная система была запрограммирована с учетом обозначенных целей.

.5.2 Расчет коэффициента цены потребления

Для сравнения разработанного приложения и аналога используем такой интегральный экономический показатель, как цена потребления (Ic). Она выражается следующей формулой (9)

(9)

где К - единовременные затраты на разработку (приобретение) и внедрение ПП; Зэ - текущие затраты на эксплуатацию ПП за выбранный для сравнения период работы изделия.

Для разработанного приложения и для аналога примем К равным стоимости единичной копии системы.

Затраты на эксплуатацию (Зэ) для разработанного приложения и аналога одинаковы, поэтому их в расчет включать не будем.

Цена аналога в зависимости от курса доллара на 13.06.2015 составляет 74587,35 рублей.

Сводные данные по вычислению коэффициента цены потребления приведены в таблице 14.

Таблица 14 - Вычисление интегрального стоимостного показателя

Наименование статьи калькуляции

Аналог Сумма, руб.

Разработка Сумма, руб.

Единовременные затраты 74587,3557813,6



Итого, интегральный стоимостный показатель (цена потребления) 74587,3557813,6



Коэффициент цены потребления, Кэ=Ip/Ia

0,77



7.4.5 Расчет показателя сравнительной технико-экономической эффективности

Сравнительная технико-экономическая эффективность разработки определяется по формуле:

 , (10)

где  - сравнительная технико-экономическая эффективность разработки;интегральный показатель качества;

Кэ- интегральный показатель цены потребления.

Расчет сравнительной технико-экономической эффективности разработки представлен в таблице 15.

Таблица 15 - Расчет сравнительной технико-экономической эффективности разработки

Параметр,

Весовой

Аналог

Разработка

оценка

коэфф.

Быстродействие

0,2105

1

0,2105

1,3333

0,2806

Требовательность к системным ресурсам

0,1711

1

0,1711

1,4

0,2395

Функциональность

0,2237

1

0,2237

0,8888

0,1988

Минимизация трафика

0,1842

1

0,1842

1,5

0,2763

Эргономика

0,2105

1

0,2105

1

0,2105

Интегральный техн. показатель, Q



1


1,2057

Коэффициент качества

1,2057

Интегральный стоимостной показатель, I

74587,35

57813,6

Коэффициент цены потребления

0,77

Сравнительная технико-экономическая эффективность, Эср

1,6



В результате расчета сравнительной технико-экономической эффективности получилось значение 1,6. Так как сравнительная технико-экономическая эффективность разработки больше единицы, можно сделать вывод о том, что разработка и внедрение системы могут считаться экономически целесообразными.

.5 Вывод

В данном разделе был проведен анализ необходимости и актуальности разработки программного приложения. В качестве аналога для сравнение было выбрано приложение Autodesk Vault компании Autodesk. По результатам расчета интегрального коэффициента качества был сделан вывод, что по уровню качества разработанная система несколько превосходит аналог.

Были проведены расчеты для нахождения полной себестоимости и продажной цены разработки, что позволило вычислить интегральный стоимостной показатель. Получив эти значения для разработки и аналога, был произведен расчет сравнительной технико-экономической эффективности разработки, она равна 1,4, что свидетельствует о положительной оценке целесообразности внедрения разработки.

В качестве основного средства продвижения разработанной системы предполагается использовать ресурсы глобальной сети Интернет.

Похожие работы на - Программная система управления контентом портала с архивом конструкторской документации

 

Не нашли материал для своей работы?
Поможем написать уникальную работу
Без плагиата!
Без нейросетей!