Математическое моделирование динамики популяций

  • Вид работы:
    Контрольная работа
  • Предмет:
    Информационное обеспечение, программирование
  • Язык:
    Русский
    ,
    Формат файла:
    MS Word
    226,14 Кб
  • Опубликовано:
    2017-04-02
Вы можете узнать стоимость помощи в написании студенческой работы.
Помощь в написании работы, которую точно примут!

Математическое моделирование динамики популяций

Введение

Экосистема представляет собой сложную совокупность видов, взаимодействующих друг с другом, перемещающихся в пространстве, изменяющих свою численность. На все популяции, существующие в экосистеме, дополнительно воздействуют различные абиотические и антропогенные факторы. Численность популяции зависит от погоды, химического состава среды и степени ее загрязнения. Непрерывно усиливающаяся хозяйственная деятельность человека приводит постепенно к необратимым изменениям многих природных систем. Их восстановление и рациональное использование является на сегодняшний день одной из важнейших задач, поскольку дальнейшее благополучное существование и развитие общества возможно только в гармонии с природой.

Изучение закономерностей динамики численности популяций необходимо для создания научных основ рационального использования полезных животных и борьбы с вредными насекомыми. При этом используются математические методы, в частности, моделирование. Математическая модель позволяет выявить наиболее важные факторы, влияющие на динамику той или иной популяции, наметить направление исследований и составить план необходимых наблюдений. Преимущества математического анализа очевидны: математическое моделирование не только помогает строго формализовать знания об объекте, но иногда дать количественное описание процесса, предсказать его ход и эффективность, дать рекомендации по оптимизации управления этим процессом. Это особенно важно для биологических процессов, имеющих прикладное и промышленное значение - биотехнологических систем, агробиоценозов, эксплуатируемых природных экосистем, продуктивность которых определяется закономерностями роста популяций живых организмов, представляющих собой «продукт» этих биологических систем.

Частным случаем математического моделирования является - имитационное компьютерное моделирование, которое позволяет анализировать особенности взаимодействий популяции и факторов окружающей среды, рассматривать различные сценарии изменения этих факторов, давать прогнозы динамики численности популяций. Поэтому вопрос разработки адекватного математического аппарата для изучения динамики популяций является актуальным.

Учитывая важность использования математического моделирования для изучения закономерностей динамики популяций, выбрана тема работы: «Математическое моделирование динамики популяций».

Целью работы является изучение математической модели динамики популяций.

Задачи:

.        Рассмотреть существующие модели динамики популяций.

.        Построить математические модели динамики популяций при помощи электронной таблицы MS Excel.

. Существующие модели динамики популяций

На разных уровнях развития живой природы продукционные процессы проявляют себя по-разному, но их описание всегда включает рождение, рост, взаимодействие с внешней средой, в том числе с другими особями своего вида или других видов, смерть особей. Именно это обстоятельство позволяет применять сходный математический аппарат для описания моделей роста и развития у таких, казалось бы, удаленных друг от друга по лестнице уровней организации живой материи, как клеточная популяция и сообщество видов в экосистеме.

математический популяция электронный таблица

1.1 Динамика численности популяций

Постановка математических задач в терминах популяционной динамики восходит к глубокой древности. Человеку свойственно рассуждать о предметах, жизненно ему близких, и что может быть ближе, чем законы размножения популяций - людей, животных, растений.

Первая дошедшая до нас математическая модель динамики популяций приводится в книге «Трактат о счёте», датированной 1202 годом, написанной крупнейшим итальянским ученым Леонардо Фибоначчи. В этой книге, представляющей собой собрание арифметических и алгебраических сведений того времени и впоследствии распространившейся в списках по всей Европе, рассматривается следующая задача: «Некто выращивает кроликов в пространстве, со всех сторон обнесенном высокой стеной. Сколько пар кроликов рождается в один год от одной пары, если через месяц пара кроликов производит на свет другую пару, а рожают кролики, начиная со второго месяца после своего рождения». Решением задачи является ряд чисел:

, (1)

Два первых числа соответствуют первому и второму месяцу размножения. 12 последующих - месячному приросту поголовья кроликов. Каждый последующий ряд равен сумме двух предыдущих. Ряд (1) вошел в историю как ряд Фибоначчи, а его члены - числа Фибоначчи. Это первая известная в Европе рекурсивная последовательность чисел, в которой соотношение между двумя или более членами ряда может быть выражена в виде формулы. Рекуррентная формула для членов ряда Фибоначчи была записана французским математиком Альбертом Гирером в 1634 г.:


Здесь  представляет собой член последовательности, а нижний индекс - его номер в ряду чисел. В 1753 г. математик из Глазго Роберт Симпсон заметил, что при увеличении порядкового номера членов ряда отношение последующего члена к предыдущему приближается к числу , называемому «Золотым сечением», равному 1,6180…, или . В 19 веке о свойствах ряда Фибоначчи и его связи с Золотым сечением много писал французский математик Эдуард Лукас. Ряд Фибоначчи и его свойства также используются в вычислительной математике при создании специальных алгоритмов счета.

Второй всемирно известной математической моделью, в основу которой положена задача о динамике численности популяции, является классическая модель неограниченного роста - геометрическая прогрессия в дискретном представлении,

, (2)

Модель предложена Мальтусом в 1798 г. в его классическом труде «О росте народонаселения». Томас Роберт Мальтус (1766-1834), известный английский демограф и экономист, обратил внимание на тот факт, что численность популяции растет по экспоненте (в геометрической прогрессии), в то время как производство продуктов питания растет со временем линейно (в арифметической прогрессии). Из чего, сделал справедливый вывод, что рано или поздно экспонента обязательно «обгонит» линейную функцию, и наступит голод. На основании этих выводов Мальтус говорит о необходимости ввести ограничения на рождаемость, в особенности для беднейших слоев общества. «Экономический пессимизм», следующий из прогнозов предложенной им модели, в основу которой положен анализ эмпирических данных, Мальтус противопоставлял модным в начале 19 века оптимистическим идеям гуманистов: Жана Жака Руссо, Уильяма Годвина и других, предсказывающих человечеству грядущее счастье и процветание. Можно считать, что Мальтус был первым ученым «алармистом», который на основании результатов моделирования «бил тревогу» и предупреждал человечество об опасности следования развитию по используемым ранее сценариям прогресса. Во второй половине 20 века такую «алармистскую» роль сыграли работы Римского клуба, и в первую очередь «модель глобального роста» Дж. Форрестера.

Обсуждению важности вывода Мальтуса для популяционной динамики Дарвин посвятил несколько страниц своего дневника, указывая, что поскольку ни одна популяция не размножается до бесконечности, должны существовать факторы, препятствующие такому неограниченному размножению. Среди этих факторов может быть нехватка ресурса, вызывающая конкуренцию внутри популяции за продовольствие, хищничество, конкуренция c другими видами. Результатом является замедление скорости роста популяции и выход ее численности на стационарный уровень.

Впервые системный фактор, ограничивающий рост популяции, описал Ферхюльст в уравнении логистического роста:

, (3)

Уравнение (3) обладает двумя важными свойствами: при малых  численность  возрастает экспоненциально (как в уравнении 2), при больших - приближается к определенному пределу . Эта величина называется емкостью популяции. Она определяется ограниченностью пищевых ресурсов, мест для гнездования и многими другими факторами, которые могут быть различными для разных видов. Таким образом, емкость экологической ниши представляет собой системный фактор, который определяет ограниченность роста популяции в данном ареале обитания.

Уравнение (3) можно также переписать в виде:

, (4)

Здесь - коэффициент внутривидовой конкуренции (за пищевой ресурс, убежища и т.д.). Уравнение (3) можно решить аналитически. Решение имеет вид:

, (5)

Формула (5) описывает кинетическую кривую, то есть зависимость численности популяции от времени.

Логистическая модель Ферхюльста (3) оказалось не менее замечательной, чем ряд Фибоначчи. Исследование этого уравнения в случае дискретного изменения численности в популяциях с неперекрывающимися поколениями показало целый спектр возможных типов решений, в том числе колебательные изменения разного периода и вспышки численности. Рассмотрение модификации логистического уравнения с комплексными членами привело к новому классу объектов - множествам Мандельброта и Жолиа, имеющим фрактальную структуру Бенуа Мандельброт - создатель современной теории фракталов, родился в 1924 г. в Варшаве. Полученные им впервые компьютерные изображения множества


приобрели всемирную известность и были многократно воспроизведены в разных модификациях на компьютерах.

В природе популяции имеют не только максимальную численность, определяемую величиной экологической ниши , но и минимальную критическую численность . При падении численности популяции ниже этой критической величины из-за неблагоприятных условий, или в результате хищнического промысла, восстановление популяции становится невозможным. Модели, описывающие как внутривидовую конкуренцию, определяющую верхнюю границу численности популяции, так и нижнюю критическую численность популяции, имеют два устойчивых стационарных решения. Одно из них - нулевое для начальных численностей, которые ниже наименьшей критической численности популяции. Другое равно - емкости экологической ниши в случае, когда начальная численность выше наименьшей критической величины. Такими «триггерными» свойствами обладает нелинейное уравнение, предложенное А.Д. Базыкиным:

, (6)

В формуле (6) первый член в правой части описывает размножение двуполой популяции, скорость которого пропорциональна квадрату численности (вероятности встреч особей разного пола) для малых плотностей, и пропорциональна числу самок в популяции - для больших плотностей популяции. Второй член описывает смертность, пропорциональную численности, а третий - внутривидовую конкуренцию.

Любые популяции существуют во взаимодействии с окружением. В популяционной динамике принято классифицировать взаимодействия по их результатам. Наиболее распространенными и хорошо изученными являются взаимодействия конкуренции, когда численность каждого из видов в присутствии другого растет с меньшей скоростью; симбиоза, когда виды способствуют росту друг друга; типа хищник-жертва или паразит-хозяин, когда численность вида-жертвы в присутствии вида-хищника растет медленнее, а вида-хищника - быстрее. Первое глубокое математическое исследование закономерностей динамики взаимодействующих популяций дано в книге В. Вольтерра «Математическая теория борьбы за существование». Крупнейший итальянский математик Вито Вольтерра - основатель математической биологии предложил описывать взаимодействие видов подобно тому, как это делается в статистической физике и химической кинетике, в виде мультипликативных членов в уравнениях, то есть произведений численностей взаимодействующих видов. Тогда, в общем виде с учетом самоограничения численности по логистическому закону система дифференциальных уравнений, описывающая взаимодействие двух видов, может быть записана в форме:

,

, (7)

Здесь параметры  - константы собственной скорости роста видов,  -константы самоограничения численности, - константы взаимодействия видов, .

Модель конкуренции типа (7) имеет недостатки, в частности, из нее следует, что сосуществование двух видов возможно лишь в случае, если их численность ограничивается разными факторами, но модель не дает указаний, насколько велики должны быть различия для обеспечения длительного сосуществования. Внесение стохастических элементов, например, введение функции использования ресурса, позволяет ответить на эти вопросы. Для взаимоотношений типа хищник-жертва или паразит-хозяин система уравнений (7) принимает вид:

,

, (8)

Однако существует много важных аспектов экологии хищника и жертвы, которые в модели не учтены. Даже если в популяции наблюдаются регулярные колебания численности, это вовсе не обязательно служит подтверждением модели Вольтерра, логистической модели с запаздыванием или любой другой простой модели. При описании любой конкретной ситуации требуется построение гораздо более подробной модели, чаще всего имитационной, и необходима большая работа по идентификации параметров такой модели, лишь тогда можно надеяться на правдоподобное моделирование природной ситуации.

Еще одной из наиболее известных моделей является - модель взаимодействия двух видов насекомых, которая использовалась для решения практической задачи - борьбы с вредными насекомыми с помощью стерилизации самцов одного из видов. Исходя из биологических особенностей взаимодействия видов, была написана следующая модель:

,

, (9)

Здесь - биомассы двух видов насекомых. Насекомые вида  поедают личинок вида (член ), но взрослые особи вида  поедают личинок вида  при условии высокой численности одного или обоих видов. При малых  смертность вида  выше, чем его собственный прирост. Последний член во втором уравнении отражает прирост биомассы видаза счет поедания взрослыми насекомыми вида  личинок вида .

Мы рассмотрели простейшие модели популяционной динамики: модели одного или двух взаимодействующих видов. Такие модели допускают аналитическое исследование, и потому достаточно полно изучены.

2. Построение математической модели динамики популяций

.1 Модель неограниченного роста численности популяции

Постановка задачи: построить модель неограниченного роста амеб. Одноклеточная амеба делится каждые 3 часа на двое. Построим модель роста численности клеток через 3, 6, 9, 12... часов. Факторы, приводящие, к гибели амеб не учитываются.

Создание математической модели:

Используем формулу нарастания времени:

,

где - интервал нарастания времени (для амеб он равен 3).

Расчет численности амеб вычисляется по формуле:

,

где - численность амеб в первый промежуток времени, - количество амеб в -й момент времени, - биотический потенциал амеб (он равен 2 для промежутка времени 3 часа).

При помощи электронной таблицы Excel построим модель неограниченного роста амеб.

Создадим таблицу вида:

Рисунок 1

В ячейке B2 рассчитаем формулу нарастания времени:

=A2+$A$1

В ячейку B3внесем формулу для расчета численности амеб:

=A3*$B$1

График зависимости численности амеб от момента времени:

Рисунок 2

Сформулируем выводы: мы построили модель неограниченного роста. Легко заметить, что численность особей растет в геометрической прогрессии, с учетом исходного предположения о том, что действие окружающей среды сказывается только на скорости прироста амеб. Нетрудно предположить, что применить эту модель можно и для любых других живых организмов.

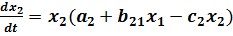
.2 Уравнение Лотка-Вольтерра как математическая модель динамики системы «Хищник-жертва»

Моделирование динамики популяции становится более сложной задачей, если попытаться учесть реальные взаимоотношения между видами. Это впервые сделал американский ученый Дж. Лотка в 1925 г., а в 1926 г. независимо от него и более подробно - итальянский ученый В. Вольтерра. В модели, известной сейчас как уравнение Лотка-Вольтерра, рассматривается взаимодействие двух популяций - хищника и жертвы. Численность популяции жертвы будет изменяться во времени (завися также от численности популяции хищника ) по такому уравнению:

,

где- численность популяции жертвы,- численность популяции хищника,- коэффициент рождаемости жертвы,- коэффициент смертности жертвы. Таким образом, увеличение численности жертвы в единицу времени происходит за счет рождения новых особей, а убыль - за счет съедения хищниками.

Прирост популяции хищника описывается таким уравнением:

,

где  - численность популяции жертвы,  - численность популяции хищника,  - смертность хищника,  - коэффициент рождаемости хищника. Рост популяции хищника в единицу времени пропорционален качеству питания, а убыль происходит за счет естественной смертности.

При помощи электронной таблицы MS Excel смоделируем динамику численности двух популяций. Создадим новую книгу, в которой на первом листе будут три столбца - номер поколения, численности жертвы и хищника. Введем номер поколения (естественно, 1), а также начальные численности жертв (1000 особей) и хищников (100 особей). Чтобы не нумеровать поколения вручную, в ячейке А3 кликнем левой кнопкой мыши (активизируем ее) и введем и нажмем [Enter].(т.е. в этой ячейке значение будет на единицу больше, чем в предыдущей).

Теперь введем в ячейку В3 формулу уравнения Лотка-Вольтерра для жертвы:

=B2+$H$7*B2*C2-$G$7*B2

Затем в ячейку С3 введем формулу для хищника:

=C2+$E$7*C2-$F$7*C2*B2

Численности установятся на исходных значениях 1000 и 100 особей соответственно, то есть популяции находятся в равновесии. Разбалансируем систему. Для этого изменим, например, численность жертвы (кликнув на ячейке В2, введем в строке формул новое значение - например, 500 и нажмем [Enter]). Программа сама пересчитает значения во всех ячейках, и появятся колебания численности обоих видов (рис. 3).

Рис.3

Рисунок 4

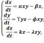
.3 Динамика популяций: волк, заяц и трава

Постановка задачи или создание описательной информационной модели. Рассмотрим экологическую систему, содержащую волка, зайца и траву. Будем предполагать, что зайцы питаются растительной пищей, а волки питаются только зайцами.

Прирост популяции волков, зайцев и травы рассчитаем по формулам:


где  - хищники,  - жертвы,  - трава; , ,  - коэффициенты рождаемости; , , - коэффициенты смертности.

При помощи электронной таблицы MS Excel смоделируем динамику численности трех популяций, выбрав значения констант.

Создадим новую книгу, в которой на первом листе будут четыре столбца - номер поколения, численности волка, зайца и травы. Введем номер поколения, а также начальные численности волков (50 особей), зайцев (500 особей) и травы (500). Шаг по времени возьмем .

В ячейку В3 введем формулу для расчета прироста волков:

Рисунок 5

Затем в ячейку С3 запишем формулу для вычисления численности зайцев:

Рисунок 6

В ячейку D3 введем формулу для расчета прироста травы:

Рисунок 7

Заключение

В настоящее время задачи экологии имеют первостепенное значение, так как стала актуальной проблема контроля над численностью популяций живых организмов в сложных экологических системах. Иногда требуется восстановить популяцию животных, находящихся на грани вымирания, а бывают случаи, когда нужно сократить число некоторых вредителей и удерживать их популяцию в заданном количестве. При этом необходимо учесть, как те или иные изменения численности одной популяции отражаются на количестве особей остальных видов данной экосистемы. Подобные задачи решаемы, если проанализирована математическая модель, соответствующая требуемой ситуации.

В данной курсовой работе построены, решены, а также исследованы: модель неограниченного роста численности популяций, модель системы «хищник-жертва» по уравнению Лотка-Вольтерра, и модель динамики популяций: волк, заяц, трава.

Таким образом, все результаты, полученные численно, являются наглядными, а поэтому и необходимы математические модели, которые позволяют оценить возможные последствия воздействия человека на природу и организовать его деятельность так, чтобы не допустить «экологической катастрофы».

Список литературы


1.      Авдин В.В. Математическое моделирование экосистем: Учебное пособие. Челябинск: Издательство ЮУрГУ, 2011. - 80 с.

.        Базыкин А.Д. Математическая биофизика взаимодействующих популяций. М.: Наука, 1985. - 181 с.

.        Вольтерра В. Математическая теория борьбы за существование. М.: Наука, 1976. - 288 с.

.        Евдокимов Е.В. Динамика популяций в задачах и решениях: Учебное пособие. Томск: Томский государственный университет, 2011. - 73 с.

.        Могилев А.В., Пак Н. И., Хеннер Е. К. Информатика: Учебное пособие для студ. пед. вузов. М.: Издательский центр «Академия», 2003. - 816 с.

.        Рубанов В. Г., Филатов А. Г. Моделирование систем: Учебное пособие. Белгород: БГТУ, 2006. - 349 с.

.        Смиряев А.В., Исачкин А.В., Панкина Л.К. Моделирование в биологии и сельском хозяйстве: Учебное пособие. Издание 3-е испр. / Смиряев А.В., Исачкин А.В., Панкина Л.К. М.: РГАУ-МСХА, 2015. - 153 с.

Похожие работы на - Математическое моделирование динамики популяций

 

Не нашли материал для своей работы?
Поможем написать уникальную работу
Без плагиата!
Без нейросетей!