Анализ флоры рек Вологодской области

  • Вид работы:
    Дипломная (ВКР)
  • Предмет:
    Биология
  • Язык:
    Русский
    ,
    Формат файла:
    MS Word
    1,8 Мб
  • Опубликовано:
    2017-06-17
Вы можете узнать стоимость помощи в написании студенческой работы.
Помощь в написании работы, которую точно примут!

Анализ флоры рек Вологодской области

СОДЕРЖАНИЕ

ВВЕДЕНИЕ

. ХАРАКТЕРИСТИКА РАСТИТЕЛЬНОСТИ ДОЛИННЫХ КОМПЛЕКСОВ

.1 Водная и прибрежно-водная растительность

.2 Растения-индикаторы

.3 Лесные и луговые сообщества

. ОБЪЕКТЫ И МЕТОДЫ ИССЛЕДОВАНИЯ

.1 Объекты и предмет исследования

.2 Характеристика района исследования

.3 Методы исследования

. ЭКОЛОГИЧЕСКИЙ, СИСТЕМАТИЧЕСКИЙ И ГЕОГРАФИЧЕСКИЙ АНАЛИЗ ИССЛЕДУЕМЫХ ВОДОТОКОВ

.1 Систематический анализ флоры

.2 Экологический анализ флоры

.3 Географический анализ флоры

. СРАВНИТЕЛЬНАЯ ХАРАКТЕРИСТКИ ФЛОРЫ ВОДОТОКОВ

. РОЛЬ РЕЧНЫХ БАССЕЙНОВ В СОХРАНЕНИИ БИОРАЗНООБРАЗИЯ РЕГИОНАЛЬНОЙ ФЛОРЫ

ВЫВОД

СПИСОК ИСТОЧНИКОВ

ПРИЛОЖЕНИЯ

ВВЕДЕНИЕ

 

Актуальность. Мировой масштаб в настоящее время приобретает проблема изучения и сохранения биологического разнообразия природных экосистем, так как для человека сохранность его естественной среды обитания важное условие. Решение данной проблемы не обходится без флористических исследований, ведь именно растительность во многом обеспечивает нам подходящую среду [3; 24].

Наиболее уязвимы азональные виды, произрастающие на границах своих ареалов. Эти виды наиболее существенно реагируют на отрицательные абиотические, биотические и антропогенные факторы, так как находятся на пределах своего географического распространения. Распространение и закрепление на территории региона «нетипичных», азональных видов в первую очередь осуществляется по речным бассейнам, которые являются своеобразными «экологическими коридорами». Именно они обеспечивают поддержание биоразнообразия и способствуют возможности обмена видами между локальными природными комплексами.

Экологическая специфика речных биотопов способствуют сохранению флористического разнообразия как в целом, так и редких видов в частности. По речным долинам продвижение новых видов осуществляется только в направлении от истока к устью. Поэтому непосредственное влияние на формирования флоры территории оказывают: расположение реки и ее истока, направление и скорость ее течения, площадь бассейна, геоморфологические особенности водотока, а также связь с другими водотоками. Таким образом, флоры долинных комплексов должны отличатся высокой специфичностью [7; 20].

Выбранные объекты исследования (р. Кобожа, р. Песь, р. Молога, р. Чагодоща) относятся к одному бассейну, образуя единую речную сеть. Интерес вызывает непосредственная связь, а также разный порядок и масштаб данных рек.

Цель: выявить роль речных бассейнов в сохранении разнообразия сосудистых растений области.

Задачи:

1.   Составить общие флористические списки исследуемых рек.

2.      Проанализировать общие флористические списки по систематическому составу, по происхождению, по географическим элементам.

.        Провести биоэкологический анализ изучаемой флоры.

.        Выявить редкие и охраняемые виды.

.        Установить значение рек для флорогенеза территорий.

Этапы работы:

1.   Подготовительный (выбор объекта, постановка цели и задач исследования).

2.      Организационный (подбор литературы и фондовых материалов).

.        Практический (экспедиционные исследования, изучение флористических списков, работа с литературой).

.        Обобщающий (анализ флоры по различным аспектам, оформление результатов работы, выводы).

Научная новизна работы:

Проанализирована флора долин четырех рек юго-запада Вологодской области, показана их роль в обеспечении целостности региональной территориальной системы ООПТ.

Апробация работы:

Промежуточные и итоговые результаты ВКР были представлены докладами на международных, региональных и вузовских конференциях:

.     Студенческая научно-практическая конференция ВГПУ, 2014. Доклад «Редкие виды реки Кобожа» (диплом 1 степени).

2.      Международная научная конференция «Молодые исследователи - регионам», Вологда, 2014. Доклад «Видовой состав редких растений долины реки Кобожа».

.        Региональная научная конференции VIII ежегодной научной сессии аспирантов и молодых ученых, Вологда, 2014. Доклад «Вклад долины реки Кобожи во флору редких видов сосудистых растений Вологодской области».

.        Международная научная конференция «Молодые исследователи - регионам», Вологда, 2015. Доклад «Флористическое разнообразие долинного комплекса реки Песь».

.        Студенческая научно-практическая конференции ВоГУ, 2016. Доклад «Роль речных бассейнов в формировании региональной флоры на примере рек юго-запада Вологодской области» (диплом 2 степени).

.        Международная научная конференция «Молодые исследователи - регионам», Вологда, 2016. Доклад «Значение рек в формировании флоры региона».

Результаты ВКР представлены в виде публикаций:

.     «Видовой состав редких растений долины реки Кобожа». Сборник статей Молодые исследователи - регионам: материалы международной научной конференции. В 3-х т. Вологда: ВоГУ, 2014. - Т. 2. - 359 с.

2.      «Флора долины р. Кобожа и примыкающих участков водораздела». Молодежь в науке: Новые аргументы: Сборник научных работ I-го Международного конкурса (Россия, г. Липецк, 06 октября 2014 г.). Часть IV / Отв. ред. А.В. Горбенко. - Липецк: Научное партнерство «Аргумент», 2014. - 224 с.

.        «Вклад долины реки Кобожи во флору редких видов сосудистых растений Вологодской области». Сборник статей Материалы XIX международной экологической студенческой конференции «Экология России и сопредельных территорий» / Новосибирский национальный исследовательнский государственный университет. Новосибирск , 2014. 242 с.

.        «Редкие виды долинного комплекса реки Песь». Молодежь в науке: Новые аргументы: Сборник научных работ II-го Международного конкурса (Россия, г. Липецк, 21 октября 2015 г.). Часть II / Отв. ред. А.В. Горбенко. - Липецк: Научное партнерство «Аргумент», 2015. - C. 70-72.

.        «Флористическое разнообразие редких видов долинного комплекса реки Кобожа». Сборник статей Материалы региональной научной конференции VIII ежегодной научной сессии аспирантов и молодых ученых: в 2-х т. / Мин-во образования и науки РФ; Вологод. гос. ун-т. - Вологда: ВоГУ, 2014. - Т. 1: Технические науки. Экономические науки. - 445 с.: ил., табл.

.        «Флористическое разнообразие долинного комплекса реки Песь». Сборник статей Молодые исследователи - регионам: материалы международной научной конференции. В 3-х т. / Мин-во обр. и науки РФ; Вологод. гос. ун-т. - Вологда: ВоГУ, 2015. - Т. 1. - 619 с.

.        «Роль речных бассейнов в формировании региональной флоры на примере реки Кобожа (Вологодская область)». Совместно с Левашовым А.Н. в ежемесячном научном журнале ЕСУ № 10(19) 2015.

.        «Значение рек в формировании флоры региона». Сборник статей Молодые исследователи - регионам: материалы международной научной конференции. В 3-х т. / Мин-во обр. и науки РФ; Вологод. гос. ун-т. - Вологда: ВоГУ, 2016 (в печати).

Автор выражает благодарность ст.пр. каф. ботаники ВоГУ А.Б.Чхобадзе за оказанную помощь в оформлении флористических списков.

1. ХАРАКТЕРИСТИКА РАСТИТЕЛЬНОСТИ ДОЛИННЫХ КОМПЛЕКСОВ

1.1 Водная и прибрежно-водная растительность

Гидроботаника занимается изучением прибрежно-водной растительности. Она является разделом ботаники, и находится на стыке таких дисциплин, как геоботаника, гидробиология и экология растений. Мнения ученых о данной науке сильно варьирует. Однако, несмотря на это, ученые долгие годы изучают прибрежно-водную растительность, принося в гидроботанику новые сведения о жизни растений [15].

Однако, не только сама гидроботаника, как наука, вызывает споры, терминология, объект вызывают не меньше разногласий. Так, существуют проблемы разграничения водных и наземных растений в связи с наличием промежуточных групп, а также необходимо различать такие понятия как «растения, или флора водоема» и «водные растения, или водная флора» [6].

Рост числа публикаций лишь усугубляет данное положение, происходит формирование новой терминологии применительно к водной растительности, что порой затрудняет ее использование. Кудряшов и Садчиков [15] в своих работах применяют термин «прибрежно-водные растения», понимая под ним все растения (кроме деревьев и кустарников), жизнь которых связана с водой. Так, данный термин объединяет растения, обитающие в толще воды, на ее поверхности и собственно прибрежные растения.

Высокое разнообразие прибрежно-водных растений позволяет им занимать широкий спектр экологических зон. На распределение растительности в толще воды оказывают существенное влияние различные факторы: физические характеристики водоема, геоморфологические и т.д. Высотность распределения прибрежно-водной растительности связанна в первую очередь с видами, имеющими корневую систему [4]. В целом можно отметить поясное строение, в этом случаи наблюдается смена одних ценозов другими с увеличением глубины. Так, у самого берега развивается пояс из хвоща и крупных осок.

Далее следует зона более высоких растений: тростника, камыша озерного, рогоза широколистного. За этой зоной идет пояс погруженных в воду растений с плавающими на поверхности воды листьями: кубышки, кувшинки. Еще при более значительных глубинах развиваются рдесты и другие растения. На самых больших глубинах и при достаточной прозрачности воды встречаются придонные сообщества харовых водорослей и мохообразных [2].

Прибрежно-водные растения занимают особое положение в растительном мире благодаря своим морфологическим, биологическим и экологическим характеристикам. Водная среда в целом сглаживает климатические различия, которые действуют на наземную флору. Относительная однородность водной среды способствовала формированию ряда адаптаций. Так, многие водные растения способны существовать при высыхании водоема, переходя при этом в наземную форму. Однако, попав обратно в воду, они способны развиваться там по прежнему пути. К таким видам относятся: водяные лютики, калужница, повойнички, стрелолист, гречиха земноводная, уруть и кувшинка [2; 15].

Прибрежно-водные растения - это главным образом многолетники; однолетних и двулетних видов встречается существенно меньше. Большинство видов цветет и плодоносит над водой. Увеличение поверхности тела по сравнению с их массой облегчает поглощение минеральных веществ, кислорода и других газов, содержание в воде которых существенно ниже. Увеличение поверхности тела осуществляется морфологически. Так, многие растения данной группы имеют длинные тонкие, расчлененные листья, продырявленные листовые пластинки и др. [15].

Несмотря на общие закономерности распределения растений в водоемах, о которых говорят многие авторы, в пределах каждого водотока имеются свои особенности. Так, водотоки отличаются флористическим составом, обилием видов, занимаемой площадью и распределением по территории.

Важную роль в этом играют физические, гидрологические, гидрохимические, морфометрические показатели и другие факторы, в том числе и антропогенная нагрузка. Они определяют возможность благоприятных для обитания конкретных видов прибрежно-водной растительности [4; 15].

Наибольшей специфичностью на территории Вологодской области обладают водоемы бассейна внутреннего стока. Только здесь отмечены такие виды, как: дербенник войлочный, уруть сибирская, незабудка литовская, пастуха злаколистная, рдест краснеющий, камыш укореняющийся, осока богемская, мятлик Танфильева, ряска горбатая, посконник коноплевидный, аир обыкновенный и другие виды. Лишь для водоемов бассейна Северного Ледовитого океана характерны такие виды, как частуха Юзепчука, касатик сибирский, осока Буксбаума, ситняг финский, верблюдка холодная, ива грушанколистиая. Специфическими видами водоемов бассейна Атлантического океана являются: ситник балтийский, шелковник водный, чина волосистая [7].

Высшие водные растения являются неотъемлемым средообразующим элементом водных экосистем и во многом обусловливают структуру сообщества водоема. Они поддерживают способность водотоков к самовосстановлению и стабильности, что имеет важное значение, в том числе и для нормального существования человека.

Гидрофиты являются объектом питания водных организмов: зообентоса, зоопланктона, нектона. Кроме того, водные растения создают огромное количество биомассы, которая при распаде способствует образованию сапропеля. Многие виды водоплавающих птиц используют заросли водных растений, как кормовую базу, а прибрежных как место гнездования. Заросли укореняющихся гидрофитов препятствуют эрозии (водной и ветровой), обвалам берегов.

Высока роль водных растений и в поддержании качества воды в водоемах. Они интенсивно аккумулируют различные вещества, в том числе биогенные, минеральные и органические элементы, ионы тяжелых металлов, радионуклиды, пестициды и нефтепродукты. В зарослях гидрофитов осаждаются взвеси органических и минеральных веществ, что повышает прозрачность водоемов [4; 7; 15].

1.2 Растения-индикаторы

Ученые постоянно делают попытки классификации водоемов в связи с интенсивностью развития прибрежно-водной растительности. Попытки приводят к выделению наиболее характерных видов для того или иного типа вод. Необходимо учитывать, что растения имеют довольно широкий географический и экологический ареал, в связи с этим не возможно в полной мере обеспечивать индикаторную способность различных видов. Так, одинаковые виды при различных условиях могут встречаться в водоемах отличного трофического уровня и могут нести разное индикаторное значение.

В связи с этим, по присутствию или отсутствию какого-либо вида нельзя оценить качество среды. Еще одной сложностью является высокая толерантность значительной части водных растений, что вновь затрудняет их использование в качестве индикаторных видов. Однако, не смотря на трудности, такие работы имеются [15].

Классификация водоемов по количеству органики предполагает подразделение их на четыре основные группы: олиготрофные, мезотрофные эвтрофные и дистрофные. На побережье высшие водные растения произрастают во всех типах водоемов.

Однако, оптимальным для ее развития является эвтрофный тип, с илистым дном, высокой прозрачностью и содержанием биогенных элементов как в толще воды, так в и донных отложениях [4].

Присутствие в водоемах Isoetes lacustris, I.echinospora, Lobelia dortmanna, Myriophyllum alterniflorum говорит о чистоте и олиготрофности вод. Массовое развитие рясковых является сигналом о неблагополучии в данной водной экосистеме.

Обилие Lemna trisulca говорит о большом количестве в среде биогенных веществ, в связи с чем, происходит повышение трофности, развитие L.minor и Spirodela polyrhiza, помимо эвтрофирования, сигнализирует о сельскохозяйственном загрязнении, например с животноводческих ферм. О воздействии человека на водоток может рассказать пышное развитие Sagittaria sagittifolia, Alisma plantago-aquatica, Elodea canadensis, Stratiotes aloides, Ceratophyllum demersum и Myriophyllum spicatum.

При индикации загрязнения водотока с помощью единичных видов растений можно использовать признаки жизненного состояния и общего облика растения. Чрезмерное развитие или угнетенное состояние растений может указать на отклонения в качественном или количественном составе вод, что является своеобразным сигналом для детальной оценки водоема [15]. флорогенез природный речной экологический

Видовой состав прибрежно-водной растительности немало может сказать об экологическом состоянии водоема. По Кокину, сапробность - это комплекс физиологических свойств данного организма, обуславливающий его способность развиваться в воде с тем или иным содержанием органических веществ, с той или иной степенью загрязнения [4].

Для Вологодской области слабо минерализованные водоемы имею бедный видовой состав, являются олигосапробными и распространены преимущественно на северо-западе области. С возрастанием количества органических веществ, происходит повышение видового состава водной флоры, при этом роль доминирующих приобретают так называемые «элодеиды» [7].

Анализируя таблицу 1, можно сказать, что высшие водные растения развиваются в основном в олигосапробной и β-мезосапробной зонах. Исходя из этого, можно сказать, что многие водоемы Вологодской области, исходя из данных таблицы, будут олиго- или β-мезосапробными, а следовательно их трофность будет не высока.

Таблица 1 - Высшие водные растения в системе сапробности (Кокин, 1982)

Вид

Зона


S

x

o

β

α

p

I

S

Marchantia polymorpha

o

1

8

1

-

-

4

1,0

Riccia glausa

o

-

7

3

-

-

4

1,3

Riccia fluitans

o

-

7

3

-

-

4

1,3

Ricciocarpus natans

o

-

8

2

-

-

4

1,2

Marsupella aquatica

x- o

5

5

-

-

-

3

0,5

Marsupella sphacellata

x- o

5

5

-

-

-

3

0,5

Drepanocladus aduncus

o-β

-

6

4

-

-

3

1,4

Fontinalis antipyretica

o-β

1

5

4

-

-

2

1,35

Cinclidotus aquaticus

o

1

7

2

-

-

3

1,35

Sphagnum sp.

o

-

10

-

-

-

5

1,0

Hydrohypnum ochraceum

x- o

5

5

-

-

-

3

0,5

Amblystegium riparium

o-β

-

5

4

1

-

2

1,65

Salvinia natans

o

-

9

1

-

-

5

1,1

Equisetum fluviale

o

2

8

-

-

-

4

0,8

Isöetes lacustris

x

9

1

-

-

-

5

0,1

Isöetes echinospora

x- o

5

5

-

-

-

4

0,3

Myriophyllum spicatum

β

-

2

8

-

-

4

1,8

Ceratophyllum demersum

β

-

1

9

-

-

5

1,9

Potamogeton dramineus

β

-

3

7

-

-

4

1,7

Potamogeton lucens

β-o

-

6

4

-

-

3

1,4

Potamogeton crispus

β

-

2

8

-

-

4

1,8

Potamogeton perfoliatus

β

-

3

7

-

-

4

1,7

Nuphar luteum

β-o

-

5

5

-

-

3

1,7

Nymphaea alba

β-o

-

7

3

-

-

3

1,4

Utricularia vulgaris

β

-

2

8

-

-

4

1,8

Spirodela polyrrhiza

β

-

1

8

1

-

4

2,0

Elodea Canadensis

β

-

2

7

1

-

3

1,85

Lemna gibba

β

-

1

8

1

-

4

2,0

Lemna minor

β

-

1

3

-

3

2,25

Lemna trisulca

o-β

-

5

5

-

-

3

1,80

Polygonum amphibium

β

-

3

6

1

-

3

1,75

Hydrocharis morsus ranae

o-β

-

5

5

-

-

3

1,5

Sagittaria sagittifolia

o-β

-

6

4

-

-

3

1,4


Следовательно, многие виды водных растений могут быть использованы для определения уровня сапробности водоема, но лишь при условии их обильного произростания в исследуемом водотоке [4].

1.3 Лесные и луговые сообщества

Берега рек разнообразны по местообитания. В качестве местообитания на территории южной тайги, к которой относится район исследования, выступают преимущественно хвойные леса: ельники и сосняки. Часто по берегам рек Вологодской области встречаются ивняки, ольшаники, березняки. Помимо лесов, долины рек характеризуются наличием пойменных лугов, которые являются единственными естественными лугами. Большинство лугов для Вологодской области являются вторичными.

Основными лесообразующими породам еловых лесов являются ель европейская (Picea abies (L.) Karst.) и ель финская (P. fennica (Regel) Коm.). Данные виды произрастают, как правило, на тяжелых подкисленных подзолистых суглинках.

В верхнем ярусе доминирует ель, но, как правило, имеется примесь березы повислой (Betula pendula Roth), березы пушистой (B. pubescens Ehrh.), осины (Populus tremula L.), реже сосны обыкновенной (Pinus sylvestris L.) и др. Второй ярус представлен рябиной обыкновенной (Sorbus aucuparia L.), ивой козьей (Salix caprea L.), черемухой обыкновенной (Padus avium Mill.), однако нередко можно встретить Quercus robur L., Ulmus glabra и U. laevis Pall., Acer platanoides L., Corylus avellana L. и в недалеком прошлом Fraxinus excelsior L., представленые отдельными массивами [12]. Кустарниковый ярус: крушина ломкая (Frangula alnus Mill.), жимолость обыкновенная (Lonicera xylosteum L.), малина (Rubus idaeus L.), калина обыкновенная (Viburnum opulus L.).

Для яруса кустарничков и травянистых растений характерны черника (Vaccinium myrtillus L.), костяника (Rubus saxatilis L.), кислица обыкновенная (Oxalis acetosella L.), майник двулистный (Maianthemum bifolium (L.) F. M. Schmidt), седмичник европейский (Trientalis europaea L.), ландыш майский (Convallaria majalis L.), золотарник обыкновенный (Solidago virgaurea L.), вейник тростниковидный (Calamagrostis arundinacea (L.) Roth), линнея северная (Linnaea borealis L.) и др. [2].

Сосновые леса формируются либо на легких супесчаных и песчаных почвах, в основном по долинам крупных рек на надпойменных террасах, либо на торфянистых подзолистых почвах по окраинам верховых болот. Древостой образован сосной, березой, реже свою роль вносят ель и осина. Во II ярусе нередко произрастает рябина. Кустарники главным образом - это можжевельник обыкновенный (Juniperus communis L.) и крушина. Среди травостоя необходимо отметить бруснику (Vaccinium vitisidaea L.), вереск обыкновенный (Calluna vulgaris (L.) Hill), плаун булавовидный (Lycopodium clavatum L.), гудайеру ползучую (Goodyera repens (L.) R. Br.) - виды относительно сухих песчаных сосновых лесов; осоку шаровидноколосковую (Carex globularis L.), багульник болотный (Ledum palustre L.), пушицу влагалищную (Eriophorum vaginatum L.), голубику (Vaccinium uliginosum L.) - растения заболоченных торфяных сосняков. Все это свидетельствует о высоком разнообразии даже в пределах одного типа леса [2; 23].

Леса, в древесном ярусе которых на равнее с хвойными породами встречаются широколиственные, сформировались в южной части Вологодской области на водораздельных пространствах, главным образом на дерновых суглинистых почвах. В сравнении с южнотаежными хвойными лесами имеют в составе своего древесного яруса значительное количество широколиственных пород: дуба черешчатого (Quercus robur L.), липы, клена платановидного (Acer platanoides L.), вяза гладкого (Ulmus laevis Pall.), в. шершавого (U. glabra Huds.) и ясеня обыкновенного (Fraxinus excelsior L.). Однако, роль ели, березы и осины сохраняется. В кустарниковом ярусе формируются неморальные виды: лещина обыкновенная (Corylus avellana L.), бересклет бородавчатый (Euonymus verrucosa Scop.), а также жимолость и крушина. Травянистый ярус представлен суммой как таежных лесов, так и неморальных видов [2; 12].

Ранее дубравы широко распространялись в Молого-Шекснинском междуречье, большая часть которого ныне затоплена водами Рыбинского водохранилища. На сегодняшний день в чистом виде дубравных лесов в Вологодской области нет, но многие участки юга-запада нашего региона, в частности дорлиного комплекса реки Мологи, имеют облик, схожий с дубравами, в том числе за счет нижних ярусов [12].

Сероольшаники зачастую относят к составу мелколиственных лесов, что не лишено оснований. Основные массивы сероольшаников связанны с долинами малых рек. Вполне ожидаемо, что основная лесообразующая порода березняка - береза повислая и б. пушистая, а в осинниках доминирует в древостое осина. Осина, в отличие от березы, нуждается в более богатых почвах. Поскольку мелколиственные леса являются стадией восстановления первичного хвойного, то нижние ярусы образованы, как правило, видами первичных лесов.

Пойменные луга приурочены к долинным комплексам рек, они образуются в условиях периодического весеннего затопления во время половодья и ежегодного отложения ила. Для сообществ в целом характерно доминирование злаковых и бобовых видов. На пойме можно выделить в направлении от русла к коренному берегу возвышенный прирусловой вал, более низкую и ровную центральную пойму, занимающую наибольшие площади, и далее - самое низкое притеррасовое понижение. Прирусловый вал при молодых наносах на легких песчаных почвах и при невысоком увлажнении способствует развитию костреца безостого (Bromopsis inermis (Leyss.) Holub), пырея ползучего (Elytrigia repens (L.) Nevski), астрагала датского (Astragalus danicus Retz.), лядвенца рогатого (Lotus corniculatus L. s.l.), подорожника среднего (Plantago media L.), девясила британского (Inula britannica L.), полыни полевой (Artemisia campestris L.) и др.

Центральная пойма имеет более тяжелые глинистые наносы, сформированные дерновыми почвами с близко залегающими грунтовыми водами. Здесь формируются луга из тимофеевки луговой (Phleum pratense L.), ежи сборной (Dactylis glomerata L.), овсяницы луговой, лисохвоста лугового, клевера, люцерны серповидной, чины луговой, горошка мышинного, а также подмаренников, борщевика сибирского (Heracleum sibiricum L.), козлобородника лугового (Tragopogon pratensis L.), василистника блестящего (Thalictrum lucidum L.) и др. [2].

2. ОБЪЕКТЫ И МЕТОДЫ ИССЛЕДОВАНИЯ

2.1 Объекты и предмет исследования

Объектом исследования является флора долины рек Кобожа, Песь, Молога и Чагодоща.

Предмет: флора высших сосудистых растений.

.2 Характеристика района исследования

Река Кобожа является левым крупным притоков реки Мологи, а река Песь является одним из крупных правобережных притоков реки Чагодоща, которая в свою очередь является левобережным притоком реки Мологи. Данные водотоки относится к бассейну Верхней Волги (приложение 1).

Река Кобожа берет свое начало на территории Новгородской области из озера Великое.

Река пересекает Чагодощенский и Устюженский районы Вологодской области и впадает в р. Мологу в 92 км от ее устья. Длина реки составляет 184 км, общая площадь водосбора - 2660 км² [34].

Река Песь берет свое начало на территории Новгородской области из озера Ракитское. Река пересекает Чагодощенский район Вологодской области и впадает в р. Чагодоща в 131 км от ее устья. Длина реки составляет 145 км, общая площадь водосбора - 2730 км² [36].

Реки Кобожа и Песь берут начало по фитогеографическому районированию Новгородской области на территории Моложского фитогеографического района. Это холмисто-равнинный район с еловыми и сосновыми лесами «таежного облика», что типично для зоны тайги.

Однако, количество южных видов на территории повышенно. Сравнительная бедность этого района в пределах Новгородской области бореально-неморальными видами связанна положением к востоку от Валдайско-Онежской гряды и широким распространением песчаных почв; вместе с тем здесь присутствуют многочисленные термофильные виды.

Специфика района - обильное развитие псаммофитов, южноборовых и лесостепных видов [16].

Река Чагодоща берет свое начало на территории Ленинградской области из озера Шиповское. Пересекает Ленинградскую и Вологодскую области. На территории Вологодской области протекает в Чагодощенском, Бабаевском и Устюженском районах. Впадает в реку Молога в 58 км от ее устья.

Длина реки составляет 242 км, общая площадь водосбора - 9680 км² [37]. Река Чагодоща по фитогеографическому районированию берет начало в Волховском районе.

Данная территория характеризуется преобладанием еловых и мелколиственно-еловых лесов, в меньшей степени заболоченных сосновых лесов, а также массивов торфяных болот.

Несмотря на расположение в пределах гемибореальной зоны, в районе имеются лишь единичные местонахождения термофильных неморальных видов, что говорит о сравнительно низком разнообразии участка, а, вероятно, и водотока [16].

Река Молога - это крупный водоток нашей области. Она берет начало на территории Тверской области, в Липецких болотах. Пересекает Тверскую, Новгородскую и Вологодскую области. Впадает в Рыбинское водохранилище. Длина водотока составляет 456 км, площадь водосбора - 29700 км². В Мологу впадает около 47 рек и крупных ручьев, таких как Ривица, Волчина, Кеза, Сарагожа, Кирва, Кобожа, Чагодоща [35].

По типу водного режима исследуемые реки принадлежат к водотокам восточно-европейского гидрологического типа с преимущественно снеговым питанием. Весеннее половодье приходится на конц марта - начало апреля и достигает максимальных значений во второй половине апреля.

Спад уровня вод происходит существенно медленнее и длится до июня - июля. Летняя межень приходится на конце июля - начало августа и длится до сентября.

Осенью, благодаря осадкам, уровень воды кратковременно поднимается.

Зимняя межень устойчива, но уровень можно объяснить с обильными подтоками болотных вод [1].

По уровню минерализации вод, исследуемые реки следует отнести к слабоминерализованным водам, с повышенным содержанием железа и гуминовых веществ, что связанно с питанием рек с заболоченного водосбора [27]. В ландшафтном районировании исследуемая территория относится к Молого-Судскому району, Верхневолжской области [1].

Территория исследования расположена на Молого-Шекснинской низменности, где рельеф представлен слабонаклоненной к Рыбинскому водохранилищу заболоченной равниной с абсолютной высотой 115-140 м.

Основными рельефообразующими факторами являлись абразионно-аккумулятивная деятельность позднеледникового и послеледникового Молого-Шекснинского водоема, а также биогенная аккумуляция.

Типы рельефа, образовавшиеся биогенной аккумуляцией, принадлежат к междуречьям. В пределах Молого-Шекснинской низменности можно выделить три озерно-ледниковые террасы [9].

Климат района исследования умерено-континентальный с коротким прохладным летом и холодной продолжительной зимой. Ветер главным образом юго-западный, особенно в зимний период.

На год приходится около 550 мм осадков. Средние температуры в июле +17°С, в январе -11°С; среднегодовые температуры +3°С. Число дней со снежным покровом варьирует около 145. Безморозных дней: 110-115 [1].

Почвы на территориях, прилегающих к долинам данных рек, типичны для Вологодской области: слабоподзолистые, болотно-подзолистые, дерново-подзолистые, болотные, глеевые и глееватые, на мореных или озерно-ледниковых отложениях.

В пойме рек наблюдаются пойменные дерновые почвы на аллювиальных отложениях [1].

Коренные леса в ландшафте представлены главным образом сосновыми и еловыми зеленомошными, травяно-папоротниковыми и лишайниковыми насаждениями с участием неморальных пород, широко распространены вторичные мелколиственные березовые, осиновые, сероольховые зеленомошно-широкотравные и травяные леса.

В составе лугов преобладают крупнозлаковые и мелкозлаковые суходольные луга и разнотравно-злаковые, крупноразнотравные и осоковые пойменные луга [9].

2.2 Методы исследования

Основой для написания работы послужили полевые материалы, собранные в ходе областных научно-исследовательских экспедиций по изучению биоразнообразия речных долин области. Организатором этих экспедиций выступил областной центр детского и юношеского туризма и экскурсий (ОЦДиЮТиЭ).

Начальник экспедиционного отряда - педагог-организатор ОЦДиЮТиЭ Романовский А.Ю. Научный руководитель и консультант - старший преподаватель кафедры ботаники ВоГУ Левашов А.Н.

Лично удалось принять участие в экспедиционных исследованиях рек Кобожа и Песь. Экспедиционные исследования в долине реки Кобожа проводились от д. Избоище до д. Софронцево в июле 2013 года (рисунок 1), а в долине реки Песь - от границы Новгородской и Вологодской областей до д. Сазоново в июле 2014 года (рисунок 2).

Рисунок 1 - Карта района исследования лета 2013 года.

Рисунок 2 - Карта района исследования лета 2014 года.

Экспедиция по изучению р. Молога проводилась в июле 2012 г. Маршрут пройден от границы Вологодской области до д. Леонтьево, в пределах Устюженского района Вологодской области. Общая протяженность маршрута составила около 200 км.

По результатам экспедиционных исследований реки Мологи была опубликована статься Левашовым А.Н. и Романовским А.Ю. [8], а также была выполнена ВКР Кудрявцевой С. [39]. Река Чагодоща подвергалась изучению в 2011 году без участия сотрудников кафедры ботаники.

Исследования проводились традиционным маршрутным методом, движение по реке осуществлялось на байдарках.

Изучались акватория рек, их пойма, надпойменные террасы, коренные берега, прирусловые участки притоков и прилегающие участки междуречья, в пределах километровой зоны.

На местах стоянок и мониторинговых участках происходило максимально полное исследование флоры сосудистых растений, что способствовало выяснению характера распространения отдельных видов и своеобразия отдельных участков долинных комплексов.

Местообитание редких видов было внесено в полевой журнал с точными координатами.

Гербаризации подвергались только наиболее редко встречаемые и сложно определяемые виды, в соответствии с правилами гербаризации [18; 19]. Обнаруженные растения определялись до вида по определителям [11; 14; 25].

На основании проведенных экспедиционных исследований составлены компьютерные варианты списков видов с использованием программы, разработанной в лаборатории «Биоразнообразия» ВоГУ (Flobases). Данные флористические списки и послужил основой для написания работы.

Для биоэкологического и географического анализа флоры использованы видовые характеристики и шкалы указанные во флористических сводках и методических пособиях: Матвеев Н.М. (2006), Цвелев Н.Н. (2000), Шмидт В.М. (2005), Орлова Н.И. (1993), Раменский Л.Г. (1956), Тарасова Е.М. (2007) [10; 13; 21; 25; 28; 30].

Для сравнения флор на видовом уровне определялись сходства и различия с использованием коэффициентов и пропорций флор [29].

 

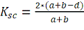
Коэффициент Сёренсена-Чекановского:

 

где а - число видов в одной флоре, b - число видов в другой флоре, d - общее число видов в двух флорах.

Предел коэффициента от 0 до 1, причём Кsc = 1 означает полное сходство флор (абсолютное совпадение списков).

Коэффициент Стугрена - Радулеску:

 

где с - число видов общих для двух флор, а - число видов в одной флоре, b - число видов в другой флоре, d - общее число видов в двух флорах.

Данный коэффициент варьирует в пределах от - 1 до + 1, при этом в диапазоне от - 1 до 0 указывает на сходство, а от 0 до +1 - на различие флор.

3. ЭКОЛОГИЧЕСКИЙ, СИСТЕМАТИЧЕСКИЙ И ГЕОГРАФИЧЕСКИЙ АНАЛИЗ ИССЛЕДУЕМЫХ ВОДОТОКОВ

3.1 Систематический анализ флоры

На основании экспедиционных данных были составлены списки флор исследуемых водотоков: Кобожа, Песь, Молога и Чагодоща. Флористический список реки Молога включает 543 вида сосудистых растения, реки Кобожа - 403 вида, реки Чагодоща - 306, а реки Песь - 375 видов сосудистых растений (приложение 1). Обнаруженные виды относятся к 5 отделам: Polypodiophyta, Lycopodiophyta, Equisetophyta, Gymnospermae и Magnoliophyta (таблица 2).

Таблица 2 - Соотношение отделов во флоре изучаемых водотоков (количество видов / %)

 

Молога

Кобожа

Чагодоща

Песь

Equisetophyta

7

1,29

7

1,74

6

1,96

5

1,33

Lycopodiophyta

4

0,74

3

0,74

2

0,65

3

0,80

Polypodiophyta

12

2,21

11

2,73

3

0,98

7

1,87

Gymnospermae

4

0,74

3

0,74

3

0,98

2

0,53

Magnoliophyta

516

95,03

379

94,04

292

95,42

358

95,47


Во флорах всех исследуемых водотоков участие высших споровых и голосеменных растений не столь существенно, как цветковых (доля Magnoliophyta около 95 % во всех исследуемых флорах).

Во флоре реки Молога можно выделить 93 семейства, реки Кобожа - 82, реки Чагодоща - 70, реки Песь - 71 семейство.

Таблица 3 - Лидирующие семейства (доля которых выше 4 %) во флоре исследуемых водотоков

 

Молога

Кобожа

Чагодоща

Песь

Asteraceae Dumort.

+

+

+

+

Poaceae Barnhart

+

+

+

+

Cyperaceae Juss.

+

+

+

+

Rosaceae Juss.

+

+

+

+

Caryophyllaceae Juss.

+

+

+

+

Fabaceae Lindl.

+

 

 

+

Ranunculaceae Juss.

+

+

 

 


Состав ведущих семейств в исследуемых флорах (таблица 3) схож, что объяснимо близким расположением рек, и, как следствие, сходными экологическими условиями. К тому же преобладание данных семейств, для территории Вологодской области, которая располагается в зоне тайги, весьма типично [22]. Большое количество видов семейства Гвоздичные, вероятно, связанно с наличием специфических опушечно-боровых экотопов, где произрастает большинство редких гвоздичных, связанных с псаммофитными местообитаниями.

В долине реки Молога 128 редких видов (23,6 %), из которых 73 находятся под охраной, а 55 требуют контроля. Долина реки Кобожа характеризуется 74 редкими видами (18,4 %), среди которых 39 - занесены в перечень редких и исчезающих видов, подлежащих охране, а 35 - в перечень редких видов, нуждающихся в биологическом контроле [32] (рисунок 3).

Рисунок 3 - Доля редких видов во флоре исследуемых рек (%).

Долина реки Чагодощи несет существенно меньше редких видов - 40 (13,1 %), среди которых 15 видов включены в список охраны, а 25 в список биологического контроля.

В долине реки Песь, было обнаружено 54 редких вида (14,4 %), из которых 22 - занесены в перечень редких и исчезающих видов, подлежащих охране, а 32 - в перечень редких видов, нуждающихся в биологическом контроле [32] (рисунок 3).

Можно отметить, что доля редких видов в долине реки Молога выше, чем в остальных исследуемых водотоках. Однако процент редких видов для Вологодской области довольно высок также в реках Кобожа и Песь.

Более высокое содержание редких видов в долине реки Молога объясняется большим разнообразием ценозов в долине реки, что обусловленно хорошо сформированной долиной и большей протяженностью. Малое количество редких видов в долине реки Чагодоща, вероятно, связанно с недостаточной изученностью данного водотока (в исследованиях этого объекта сотрудники кафедры ботаники участие не принимали), а так же с более бореальной типичной флорой.

3.2 Экологический анализ флоры

Аборигенная фракция во всех исследуемых флорах составляет 94 % - 96 % (таблица 4). Аборигенные виды являются относительно постоянным компонентом флоры. Преобладание во флоре местных видов вполне ожидаемо и объяснимо.

Таблица 4 - Доля аборигенных и адвентивных видов во флоре исследуемых водотоков

Название водотока

Количество аборигенных видов

Количество адвентивных видов

Доля аборигенных видов, %

Доля адвентивных видов, %

Молога

514

29

94,7

5,3

Кобожа

388

15

96,3

3,7

Чагодоща

295

11

96,4

3,6

Песь

353

22

94,1

5,9


Адвентивные виды являются наиболее непостоянным компонентом флоры, хотя некоторые из них довольно устойчиво закрепляются на территории, например ирга колосистая образует обширные заросли в долине реки Песь. Аборигенные (местные) виды распространяются самостоятельно, т.е. являются автохорами. Способ заноса адвентивных видов различен (таблица 5).

Таблица 5 - Доля во флоре исследуемых водотоков групп по миграции (%)

Название водотока

Доля автохоров

Доля ксенофитов

Доля эргазиофитов

Доля эргазиоксенофитов

Молога

94,7

2,6

2,0

0,7

Кобожа

96,3

1,5

1,7

0,5

Чагодоща

96,4

2,3

1,0

0,3

Песь

94,1

1,6

2,9

1,3


По способу заноса адвентивные виды можно подразделить на ксенофитов, которые являются случайно занесенными, эргазиофитов, которые дичают из культуры, и эргазиоксенофиты, способ заноса которых до конца не ясен.

Доля ксенофитов существенно выражена во всех исследуемых флорах. К данной группе относятся элодея канадская, подмаренник цепкий, лепидотека пахучая. Эргазиофиты преобладают среди адвентивных видов реки Песь, что, вероятно, связанно с большим количеством стоянок, частым посещением реки туристами-рыбаками и расположением населенных пунктов по берегам.

Так, например, деревня Сазоново широко тянется вдоль реки Песь, оказывая существенное воздействие на водоток как загрязнением, так заносом культурных видов (горошек посевной, борщевик Сосновского, гвоздика бородатая и др.). Важным аспектом при рассмотрении флористического разнообразия является соотношение жизненных форм. По продолжительности жизни преобладают многолетние растения, а однолетние и двулетние представлены меньшим числом видов (рисунок 4).

Рисунок 4 - Соотношение видов по продолжительности жизни.

В составе флоры исследуемых водотоков можно выделить различные группы многолетних растений, соотношение которых во всех водотоках сходно (рисунок 5).

Рисунок 5 - Соотношение многолетних форм в долине исследуемых рек.

Среди многолетних форм (Серебряков И.Г. [17]) преобладают корневищные травянистые растения (61,1 %; 61,7 %; 58,5 %; 57,8 % соответственно во флоре рек Молога, Кобожа, Чагодоща и Песь). Меньшее, но значительное количество видов приходится на стержнекорневые травянистые растения.

По расположению почек возобновления (К. Раункиер [31]) во флоре долинных комплексов рек преобладают гемикриптофиты (более 50 % во всех водотоках): 280 видов в р. Молога, 213 видов в р. Кобожа, 163 вида в р. Чагодоща и 191 вид в р. Песь. К криптофитам относится 111 видов в долине реки Молога, 80 видов в долине р. Кобожа, 57 видов в долине р. Чагодоща и 69 вид в долине реки Песь, к фанерофитам - 51, 44, 32 и 44 видов, к хамефитам - 33, 26, 24 и 25 видов, к терофитам - 68, 40, 30, 46 видов соответственно (рисунок 6).

Рисунок 6 - Биологические типы по К. Раункиеру во флоре долины р. Молога, р. Кобожа, р. Чагодоща и р. Песь (по порядку) (%).

Вероятно, существенная доля криптофитов и терофитов связана с высокой долей песчаных почв в районе исследования. Значительное количество корневищных гемикриптофитов, возможно, связано с более надежным сохранением корневищных растений в неблагоприятное время года (разлив реки, холодная зима). Так, участок исследования располагается в зоне тайги, где существенный промежуток времени в году приходиться на зимний холодный сезон, а безморозный период лишь 110 дней [1].

Представленность экологических групп растений по отношению к влажности почвы определяется режимом увлажнения местообитаний. Условия увлажнения в районе исследования изменяются от засушливых до переувлажнения. В гидротипической структуре долинных комплексов наблюдается преобладание мезофитных видов (37 % в долинном комплексе реки Молога, 38 % в долинном комплексе реки Кобожа, 37,9 % в долинном комплексе реки Чагодоща и 40 % в долинном комплексе реки Песь) при высокой доли гигрофильного и ксерофитного компонентов (рисунок 7).

Рисунок 7 - Экологические группы растений по отношению к влажности (%).

Преобладание мезофитных видов связано с умеренным увлажнением в лесной зоне. Большая доля гигрофильного компонента характерна для долинных комплексов, где на берегах наблюдается повышенная влажность. В малой степени представлены гидрофиты (4,4 % - в р. Мологе, 3,2 % - в р. Кобоже, 5,2 % - в р. Чагодоще и 3,5 % - в р. Песь). Например, такие виды, как водокрас обыкновенный (Hydrocharis morsus-ranae L.), телорез алоевидный (Stratiotes aloides L.), касатик водный (Iris pseudacorus L.), кувшинка снежно-белая (Nymphaea candida J. et C.Presl).

Существенное влияние на формирование растительности оказывает и световой режим. В гелиотипической структуре флоры преобладают виды открытых пространств - гелиофиты (62,2 % в долине р. Молога, 57,8 % в долине р. Кобожа, 66 % в долине р. Чагодоща и 64,5 % в долине р. Песь). Значительную долю составляют сциогелиофиты (виды, приуроченные к сообществам полуажурнокронных лесонасаждений с полуосветвленной световой структурой) - 23,2 %, 25,3 %, 20,9 % и 23,5 % в долинах рек Молога, Кобожа, Чагодоща и Песь соответственно (рисунок 8).

Рисунок 8 - Представленность гелиоморф в долине рек Молога (слева вверху), Кобожа (справа вверху), Чагодоща (лева внизу) и Песь (справа внизу) (%).

Виды, имеющие экологический оптимум по отношению к освещенности в сообществах полуплотнокронных насаждений (гелиосциофиты) и плотнокронных лесов теневой структуры (сциофиты), составляют всего 14,6 %, 16,9 %, 13 % и 12 % (р. Молога, р. Кобожа, р. Чагодоща и р. Песь соответственно). Такое соотношение гелиоморф объясняется преобладанием в долине водотоков светлых сосновых лесов, открытых пространств и луговых разнотравных сообществ.

На видовой состав флоры существенное влияние оказывают почвы, особенно их механический и химический состав. Во флоре исследуемых долинных комплексов преобладают виды-мезотрофы - 43,5 %, 43,4 %, 39,2 % и 43,5 % (р. Молога, р. Кобожа, р. Чагодоща и р. Песь соответственно). Вместе с тем встречаются олиготрофные и мегатрофные виды (рисунок 9).

Рисунок 9 - Представленность трофоморф во флорах (%).

Превалирование мезотрофов согласуется с основными видами почв Вологодской области (подзолистые и дерново-подзолистые), которые являются среднеплодородными. Наличие олиготрофов и мегатрофов связано с высокой долей бедных песчаных почв (песчаные берега, насыпи, сосняки) и богатых гуммированных, характерных для нитрофильных сообществ.

Интересна картина в долине реки Кобоже, где в низовьях флора более разнообразна, чем в среднем и верхнем течении. На такую картину существенное воздействие оказывает тип почв: в нижнем течении преобладают суглинястые почвы, а в среднем и верхнем - песчаныее. Суглинястые почвы оказываются благоприятными для многих растений, которые достигают существенного развития, например посконник коноплевидный, однако, песчаные способствуют высокому развитию многих редких гвоздичных.

3.3 Географический анализ флоры

Ядром ценофлоры растений долготных географических групп являются европейскоазиатские виды. Значительную часть составляют евроазиатско-американские, европейские и циркумбореальные виды. В меньшей степени представлены плюримеридиональные, циркумполярные и амфиатлантическая долготные группы (таблица 6).

Таблица 6 - Соотношение долготных фракций в исследуемых флорах

Долготные фракции

Количество видов (%)


р. Молога

р. Чагодоща

р. Кобожа

р. Песь

ЦМ

ЦП

1,10

1,31

1,74

1,07


ЦБ

15,10

12,75

11,17

10,40

ЕАМ

ЕААМ

11,42

13,73

14,14

14,93


ЕАМ

0,37

0,33

0,50

0,27


АМФ

0,37

0,33

0,25

0,27

ЕА

ЕА

54,70

56,86

53,85

56,00


Е

13,08

11,76

13,65

13,33

ПМ

ПМ

3,87

2,94

4,71

3,73


* ЦМ - Циркуммеридиональные виды; ЦП - Циркумполярные виды; ЦБ - Циркумбореальные виды; ЕАМ - Евро-американские виды; ЕААМ - Евроазиастко-американские виды; АМФ - амфиатлантические виды; ЕА - Евроазиатские виды; Е - Европейские виды; ПМ - Плюримеридиональные виды.

При рассмотрении широтного аспекта, можно говорить об умеренно-бореальном характере района. В изучаемой флоре преобладают растения, относящиеся к «зональной» бореальной группе - 58,56 %, 64,27 %, 64,38 % и 63,20 % для рек Молога, Кобожа, Чагодоща и Песь соответственно. Существенную долю составляют плюризональные (около 17 % для долинного комплекса р. Песь и р. Молога, более 18 % для р. Чагодоща) и южные виды: лесостепные, неморальные и неморально-бореальные (приложение 5). В меньшей степени во флоре представлены «северные» виды: арктические и гипоарктические (таблица 7).

Таблица 7 - Соотношение широтных фракций в исследуемых флорах

Широтные фракции

Количество видов (%)


р. Молога

р. Чагодоща

р. Кобожа

р. Песь

«Зональная» (бореальная)

58,56

64,38

64,27

63,20

«Северная»

2,21

1,31

1,49

1,07

«Южная»

22,10

16,01

19,11

19,20

Плюризональная

17,13

18,30

15,14

16,53

Всего

100 (543)

100 (306)

100 (403)

100 (375)


Преобладание бореальных видов объясняется расположением участка исследования в зоне тайги, а существенный процент плюризональных - с возможностью произрастания данных растений в различных природных зонах, а также длительной деятельностью антропогенного фактора и широким распространением песчаных почв.

Наблюдается выпадение элементов «северной» фракции, виды которой в нашем регионе главным образом связанны с болотными биоценозами. Особенности геоморфологической структуры долины исследуемых рек обеспечивают отсутствие типичных болотных сообществ, что вызывает контраст с участками междуречья юго-запада региона. Существенное присутствие во флоре «южных» видов необычно для Вологодской области. Поэтому возникает вопрос о путях миграции и факторах, способствующих выживанию южных видов.

Большинство рек юго-запада нашей области, в том числе реки Кобожа и Песь, берут свое начало в Новгородской области. Согласно фитогеографическому районированию Новгородской области этот участок относится к Моложскому району [16], где наблюдается обилие псаммофитов, южноборовых и лесостепных видов. При этом большой части южных видов способствует деятельность человека для успешного закрепления на территории.

Так, например, из 77 южных видов, обнаруженных в долине реки Кобожа, 29 являются почти абсолютно долинными (Carex praecox Schreb., Allium oleraceum L., Petasites spurius (Retz.) Reichenb. и др.), а распространение 40 видов связанно с деятельностью человека (Phleum phleoides (L.) Karst., Artemisia campestris L., Oenothera rubricaulis Klebabahn, Verbascum nigrum L. и др.).

Данные виды удачно закрепляются вдоль лесных дорог и просек, на вырубках, где возникают более благоприятные экологические условия. При отсутствии антропогенной нагрузки, зональные типичные растения вытесняют данные виды, поэтому долины рек является для них своеобразным рефугиумом.

4. СРАВНИТЕЛЬНАЯ ХАРАКТЕРИСТКИ ФЛОРЫ ВОДОТОКОВ

Как известно на флорогенез территории оказывают влияние различные факторы: расположение истока, скорость и направление течения, притоки и др. [8]. Исходя из этого, флора различных водотоков имеет свои специфические особенности. Чем существеннее будут отличаться водотоки по условиям, тем значительнее будут отличия во флористическом составе.

Важно отметить, что река Кобожа и Чагодоща являются притоками реки Мологи первого порядка, т.е. впадают непосредственно в реку Молога, а река Песь - приток второго порядка реки Мологи (приложение 6).

В связи с этим, можно предположить, что река Кобожа и Чагодоща будут иметь больше общего, чем различий. Река Песь будет отличаться, но ее близкое расположение относительно реки Кобожа, вероятно, скажется на высокой степени сходства. Что касается реки Мологи, то можно предположить, что данный водоток будет наиболее богатым по видовому составу, т.к. все притоки (Чагодоща, Кобожа, в том числе и Песь) будут вносить свои «уникальные» редкие виды в ее состав. Опираясь на экспедиционные материалы по данным водотокам, была составлена единая таблица по видовому составу долинных комплексов (приложение 1). Видовой состав реки Мологи оказался наиболее богатым (543 вида), что было ожидаемо. Однако, видовое богатство рек Кобожа и Чагодоща существенно отличаются (403 вида - р. Кобожа и 306 - р. Чагодоща), что, вероятно, связанно с неполным изучением долины реки Чагодоща и отличными условиями истоков и самих рек. Видовое богатство реки Песь (375 видов) ниже, чем у реки Кобожа, как предполагалось, однако выше чем у р. Чагодоща, что, вероятно, связанно с близким расположением, как рек Кобожа и Песь, так и их истоков, которые берут начало из Моложского фитогеографического района Новгородской области, который имеет повышенную долю южных видов. Для исследования сходства и различий флор изучаемых рек были рассчитаны коэффициенты Сёренсена-Чекановского и Стугрена-Радулевску (таблица 8).

Таблица 8 - Коэффициенты сходства и различий исследуемых водотоков


Молога

Кобожа

Чагодоща

Песь

Молога

543

0,7796

0,6478

0,7059

Кобожа

-0,2508

403

0,6883

0,7661

Чагодоща

0,0418

-0,0495

306

0,7107

Песь

-0,0909

-0,2417

-0,1025

375

* Верхняя часть таблицы - коэффициенты Сёренсена-Чекановского; нижняя часть таблицы - коэффициенты Стугрена-Радулевску; одноименные ячейка серого цвета - видовое богатство долины реки.

Наибольшим сходством среди исследуемых водотоков отличаются реки Кобожа и Молога, а также Кобожа и Песь. Такая картина несколько отлична от выдвинутых ранее предположений, из чего следует, что порядок реки не оказывает существенного прямого воздействия на сходство во флористическом составе. Наибольший вклад вносят близость водотоков, близость истоков, условия фона данных рек, а порядок лишь способствует созданию данных условий. В целом стоит отметить, что все исследуемые водотоки очень схожи, как по экологическим характеристикам видов (гелиоструктура, увлажнение, почвы), географическим, так и по коэффициентам. Такая картина объясняется непосредственной связью в единую водную сеть, а также близким расположением (Кобожа и Песь) рек и их истоков. Из общей картины сходства несколько выделяется река Чагодоща, что, вероятно, связанно с более северным ее расположением и, что важнее, с более северным и «таежным» расположением ее истока, при этом не стоит исключать субъективный фактор при исследовании.

5. РОЛЬ РЕЧНЫХ БАССЕЙНОВ В СОХРАНЕНИИ БИОРАЗНООБРАЗИЯ РЕГИОНАЛЬНОЙ ФЛОРЫ

Обязательным элементом сети ООПТ являются так называемые экологические коридоры.

Принято считать, что именно они способствуют миграции или перемещению видов между сохранившимися в естественном или близком к нему состоянии участками. Это обеспечивает устойчивое существование популяций различных организмов.

Речные долины, как правило, относят к категории «экологические коридоры», подразумевая, что большая часть флоры мигрирует и закрепляется непосредственно по водотокам.

Для оценки природного статуса изученных речных долин проведено сравнение видового разнообразия охраняемых видов, зарегистрированных во флорах рек, со списками охраняемых видов административных районов, по которым они протекают (таблица 9, приложение 6) [40].

Таблица 9 - Сравнительная характеристика видового разнообразия охраняемых растений

Территория

Количество охраняемых видов

Охраняемые виды районов, общие с флорами речных долин



Количество абсолютное

Количество в %

Устюженский район

100

73

73,0

Долина р. Мологи

73

-

-

Устюженский район

100

26

27,0

Чагодощенский район

68

24

41,2

Долина р.Кобожи

39

-

-

Бабаевский район

117

10

8,5

Чагодощенский район

68

9

13,2

Устюженский район

100

9

9,0

Долина р. Чагодоща

15

-

-

Чагодощенский район

68

22

32,4

Долина р.Песь

22

-

-


Река Молога протекает в пределах Вологодской области по Устюженскому району, река Кобожа - по двум районам (Устюженскому и Чагодощенскому), река Чагодоща по трем (Бабаевскому, Чагодощенскому и Устюженскому), а река Песь по Чагодощенскому району.

На речных долинах и примыкающим к ним участкам водораздела сконцентрировано от 9 % (от 27 % без учета реки Чагодощи) до 73 % видового разнообразия охраняемых видов административных районов, по которым они протекают, что подчеркивает роль рек, как «экологических коридоров».

Поэтому, при разработке сети ООПТ региона, необходимо особое внимание уделять речным долинам. Роль долинного комплекса реки Чагодощи существенно ниже (8,5 % - 13,2 %), что, возможно, связанно с меньшей изученностью данного комплекса и менее высоким разнообразием местообитаний в долине реки.

О недостаточности данных по реке Чагодоща может говорить довольно высокое видовое разнообразие р. Песь.

Исследования в этом направлении до настоящего времени носят очень ограниченный и фрагментарный характер, поэтому не сформулированы конкретные практические рекомендации для создания региональной системы экологических коридоров.

Однако, именно эта сеть способна обеспечивать территориальную целостность и связанность сети ООПТ.

Не стоит забывать, что речные долины являются убежищами для многих азональных видов, которые при отсутствии антропогенной нагрузки вытесняются с иных территорий.

Так, например, среди редких растений исследуемого участка (таблица 10) в целом 26,7 % встречаются непосредственно в связанном состоянии с водоемом, а 6,2 % лишь в нарушенных местообитаниях [5].

Таблица 10 - Фитоценотические группы редких растений исследуемой территории

 

В целом

Молога

Кобожа

Чагодоща

Песь


шт.

%

шт.

%

шт.

%

шт.

%

шт.

%

сорно-рудеральные

9

6,2

8

6,3

2

2,7

0

0,0

2

3,6

прибрежно-водные

39

26,7

31

24,2

16

21,6

10

25,0

8

14,5

болотные

14

9,6

12

9,4

6

8,1

1

2,5

4

7,3

лесные

36

24,7

31

24,2

24

32,4

16

40,0

20

36,4

луговые

6

4,1

6

4,7

4

5,4

0

0,0

1

1,8

опушечные

42

28,8

40

31,3

22

29,7

13

32,5

20

36,4

Всего:

146

100

128

100

74

100

40

100

55

100


Однако, остальные виды, как правило, не теряют хотя бы косвенную связь с водотоком. Так, например лещина, вязы, дуб, не смотря на то, что относятся к лесной фитоценотической группе, лишь вдоль реки достигают высокого и обильного развития на территории нашего региона. Успешное закрепление многих болотных видов происходит в пойме, где длительный период наблюдается затопление участка.

ВЫВОД

1.   Флористический список долинного комплекса реки Мологи составляет 543 вида высших сосудистых растения, реки Кобожи - 403 вида, реки Чагодощи - 306 видов, а реки Песь - 375 видов сосудистых растений.

2.      Флора исследуемых водотоков очень схожа, что связанно с близким расположением как самих рек, так и их истоков, а также непосредственной их связью в единую сеть. Наибольшей схожестью по коэффициентам обладают реки Молога и Кобожа, а также Кобожа и Песь.

.        В целом флора исследуемой территории типична для нашего региона, она имеет явно выраженный умеренно-бореальный характер. Стоит отметить высокую долю южных видов, которая объясняется расположением истока рек за пределами нашей области, где доля степных и лесостепных видов существенно выше.

Во флоре превалируют виды мезофиты, с повышенной ролью гигрофитного и ксерофитного компонентов, что связанно с биотопическим разнообразием и расчлененностью рельефа в долинных комплексах.

Преобладание мезотрофных видов типично для нашей области, где чаще встречаются почвы со средним содержанием плодородия. Заметное количество олиготрофных видов связанно с преобладанием песчаных почв в районе исследования.

В гелиотипической структуре преобладают гелиофиты, что объясняется большим количеством открытых местообитаний (водно-прибрежная зона, луга, опушки и др.), а также светлых или разреженных лесов.

.     Доля редких видов в долинном комплексе реки Мологи составляет 23,6 %, в долинном комплексе реки Кобожа - 18,4 %, в долине реки Чагодоща - 13,1 %, а реки Песь - 14,4 %. Процент редких видов в исследуемой флоре довольно высок для нашего региона, на что, вероятно, оказывает влияние пограничное расположение участка исследования, а также связь данных водотоков с другими областями, в частности с Новгородской, и наличием специфичных мест обитания, таких как выходы грунтовых вод, галечники, песчаные обрывы, старицы и др.

5.      Речные долины играют роль экологических коридоров, о чем свидетельствует большой вклад рек в состав редкой флоры административных районов. Многие виды встречаются исключительно в долинных комплексах.

СПИСОК ИСТОЧНИКОВ

Используемая литература:

1.   Атлас Вологодской области / под ред. Скупинова Е.А. - СПб.: ФГПУ «Аэрогеодезия», Череповец: ООО «Порт-Апрель», 2007. - 108 с.

2.      Бобров, А. А. Геоботаника: метод. пособие / А. А. Бобров, - Рыбинск: ОАО «Рыбинский Дом печати», 2004. - 45 с.

.        Введение // Тихомиров, В.Н. Флора Средней России: Аннотированная библиография / В. Н. Тихомиров, И. А. Губанов, И. М. Калиниченко, Р. А. Лозарь. - М.: Рус. Университет, 1998. - С.3-8.

.        Кокин, К.А. Экология высших водных растений / К. А. Кокин, - М.: Издательство Московского университета, 1982. - 160 с.

.        Красная книга Вологодской области. Том 2. Растения и грибы / под ред. Конечная Г. Ю., Суслова Т. А. - Вологда: ВГПУ, изд-во «Русь», 2004. - 360 с.

.        Лапиров, А.Г. Экологические группы растений водоемов. // Гидроботаника: методология, методы: Материалы Школы по гидроботанике (п. Борок, 8-12 апреля 2003 г.) / А. Г. Лапиров, - Рыбинск: ОАО «Рыбинский Дом печати», 2003. - С. 5-22.

.        Левашов, А.Н. Водная и прибрежно-водная флора и растительность / А. Н. Левашов // Природа Вологодской области / гл.ред. Г.А. Воробьев. - Вологда: Издательский дом Вологжанин, 2007. - С. 234-240.

.        Левашов, А.Н. Флора и растительность долины реки Мологи и примыкающих участков водораздела // Устюжна: краеведческий альманах / А. Н. Левашов, А. Ю. Романовский, - Вологда: ВГПУ, 2014. - Вып. 8. - С. 373-422.

.        Максутова, Н.К. Ландшафты / Максутова Н.К., Воробьев Г.А. // Природа Вологодской области / гл.ред. Г.А. Воробьев. - Вологда: Издательский дом Вологжанин, 2007. - С. 322-323.

.        Матвеев, Н.М. Биоэкологический анализ флоры и растительности (на примере лесостепной и степной зоны): учебное пособие / Н. М. Матвеев. - Самара: Издательство «Самарский университет», 2006. - 311 с.

.        Определитель высших растений Ярославской области / под ред. В.К. Богачева. - Ярославль: Ярославское книжное издательство, 1981. - 499 с.

.        Орлова, Н. И. Схема флористического районирования Вологодской области / Н. И. Орлова // Бот. журн., 1990. Т. 75. № 9. - С. 1270 -1277.

.        Орлова, Н.И. Конспект флоры Вологодской области / Н. И. Орлова. - СПб: 1993. - 262 с.

.        Орлова, Н.И. Определитель высших растений Вологодской области / Н. И. Орлова. - Вологда: ВГПУ издательство «Русь», 1997. - 264 с.

.        Садчиков, А.П. Гидроботаника: Прибрежно-водная растительность / А. П. Садчиков, М. А. Кудряшов, - М.: Издательский центр «Академия», 2005. - 240 с.

.        Сенников, А.Н. Фитогеографическое районирование Северо-Запада европейской части России (Ленинградская, Псковская и Новгородская области) / А. Н. Сенников // Биогеография Карелии. Труды Карельского научного центра РАН. Вып. 7. - Петрозаводск, 2005. - С. 206-243.

.        Серебряков, И.Г. Экологическая морфология растений. Жизненные формы покрытосеменных и хвойных / И. Г. Серебряков, - М.: Высшая школа, 1962. - 378 с.

.        Скворцов, А. К. Гербарий. Пособие по методике и технике / А. К. Скворцов. - М.: Наука, 1977. - 199 с.

.        Скворцов, А. К. Усовершенствование метода сушки растений для гербария / А. К. Скворцов // Бот. журн., 1967. Т. 52. № 7. - С. 975-978.

.        Суслова, Т.А. Факторы формирования и распределения растительного покрова / Т. А. Суслова // Природа Вологодской области / гл.ред. Г.А. Воробьев. - Вологда: Издательский дом Вологжанин, 2007. - С. 177-179.

.        Тарасова, Е.М. Флора Вятского края. Часть 1. Сосудистые растения / Е. М. Тарасова. - Киров: ОАО "Кировская областная типография, 2007. - 440 с., с ил.

.        Толмачева, А.И. Введение в географию растений / А. И. Толмачева. - СПб.: Издательство Ленинградского университета, 1974. - 244 с.

.        Управление лесопользованием в рамках концепции устойчивого развития: учебное пособие / Составители: А.Г. Медведев, Т.Л. Баранова, М.В. Марков. - Тверь: Тверской институт экологии и права, 2011.

.        Фролов, Д.А. Флора бассейна реки Свияги: автореф. дис. … канд. б. наук: 03.01.02 / Д. А. Фролов. - Ульяновск, 2011. - 23 с.

.        Цвелев, Н.Н. Определитель сосудистых растений Северо-Западной России (Ленинградская, Псковская и Новгородская области) / Н. Н. Цвелев. - СПб.: Издательство СПХФА, 2000. - 781 с.

.        Шестакова, Л.Г. Кобожа / Л. Г. Шестакова // Вологодская энциклопедия. - Вологда: ВГПУ, издательство «Русь», 2006. - С. 254.

.        Шестакова, Л.Г. Река Молога / Л. Г. Шестакова // Природа Вологодской области / гл.ред. Г.А. Воробьев. - Вологда: Издательский дом Вологжанин, 2007. - С. 144-145.

.        Шмидт, Б.В. Флора Архангельской области / Б. В. Шмидт. - СПб.: Издательство Санкт-Петербургского университета, 2005. - 346 с.

.        Шмидт, В.М. Статистические методы в сравнительной флористике / В. М. Шмидт. - СПб.: Издательство Ленинградского университета, 1980. - С. 59 - 72.

.        Экологическая оценка кормовых угодий по растительному покрову / Раменский Л.Г., Цаценкин И.А., Чижиков О.Н., Антипин Н.А. - М.: Сельхозгиз, 1956. - 472 с.

.        Raunkiaer Ch. Plant lifeforms / transl. form Danish by H. Gilbert-Carter. - Oxford: Clarendon Press, 1937. - vi, 104 p.

Электронныйе ресурсы:

32. Об утверждении перечня (списка) редких и исчезающих видов (внутривидовых таксонов) растений и грибов, занесенных в Красную книгу Вологодской области от 24.02.2015 № 125 [Электронный ресурс] //Официальный портал Правительства Вологодской области. - Режим доступа: #"896539.files/image012.gif">

Похожие работы на - Анализ флоры рек Вологодской области

 

Не нашли материал для своей работы?
Поможем написать уникальную работу
Без плагиата!
Без нейросетей!