Определение наличия угрозы людям и чужому имуществу в случае пожара

  • Вид работы:
    Курсовая работа (т)
  • Предмет:
    Безопасность жизнедеятельности
  • Язык:
    Русский
    ,
    Формат файла:
    MS Word
    856,29 Кб
  • Опубликовано:
    2017-04-12
Вы можете узнать стоимость помощи в написании студенческой работы.
Помощь в написании работы, которую точно примут!

Определение наличия угрозы людям и чужому имуществу в случае пожара

Содержание

Введение

. Общие положения

.1 Цели курсового проектирования

.2 Исходные даны

.Определение наличия угрозы людям в помещении в случае пожара

.1 Определение расчетного времени эвакуации людей

.2 Определение необходимого времени эвакуации людей

.Определение наличия угрозы чужому имуществу при пожаре

.1 Расчет температурного режима при свободно развивающемся пожаре в помещении пожар эвакуация тушение

3.1.1 Определение вида возможного пожара в помещении

.1.2 Расчет среднеобъемной температуры

.1.3 График температурного режима при пожаре в помещении

.2 Определение возможности распространения пожара и оценка устойчивости строительных конструкций здания

.Предварительное планирование боевых действий членов добровольных противопожарных формирований по тушению пожара первичными средствами пожаротушения в помещении

.1 Определение резерва времени для работы со средствами пожаротушения

.2 Определение площади зоны риска

.3 Выбор и определение необходимого количества средств пожаротушения

.3.1Выбор и определение необходимого количества огнетушителей для тушения пожара

.3.2 Выбор и определение необходимого количества пожарных кранов для тушения пожара

.4.Определение количества и порядка действий членов добровольных противопожарных формирований при тушении пожара

Выводы

Литература


Введение

Прямыми доказательствами наличия угрозы людям являются расчеты критической продолжительности пожара и возможности безопасной эвакуации людей, произведенные по методикам ГОСТ 12.1.004-91 «Пожарная безопасность. Общие требования».

Эта ситуация осложняется тем, что Правила пожарной безопасности, наряду с требованиями обеспечения безопасной эвакуации людей, содержат требования об оборудовании помещений первичными средствами пожаротушения, которые необходимо использовать в начальной стадии пожара для его ликвидации (локализации). Поэтому при определении наличия угрозы людям необходимо учитывать и это обстоятельство, что создает дополнительные трудности, потому что люди, использующие первичные средства пожаротушения, начинают эвакуацию с определенной отсрочкой во времени.

Основной целью курсовой работы является формирование умений анализировать и комплексно оценивать риск угрозы людям и чужому имуществу при пожаре, возможность организации тушения пожара первичными средствами, оптимально учитывая реальные ситуации, совершенствование навыков определения наличия угрозы людям и чужому имуществу в случае пожара, проведения административных расследований по факту пожара, принятия обоснованных решений при применении мер административного воздействия.

1. Общие положения

.1 Исходные данные

Таблица 1.1.

Длина помещения - А, м.

Ширина помещения - L, м

Высота помещения - h, м

Величина пожарной нагрузки, кг

Вид пожарной нагрузки

66

44

5,8

9700

Органическое стекло


Таблица 1.2.

Ширина оконных проемов - b1, м

Ширина оконных проемов - b2, м

Высота оконных проемов, м

Ширина дверных проемов - а, м

Высота дверных проемов, м

22

22

3,5

1,8

2,5


Таблица 1.3.

Количество людей в помещении, чел

Длина 1участка эвакуационного пути l1, м / ширина первого участка эвакуационного пути, м (А - по табл. 1.1.)

Длина 2 участка эвакуационного пути l2, м / ширина второго участка эвакуационного пути, м (L - по табл. 1.1.)

Ширина эвакуационного выхода из помещения

16

42,9/1,5

33/1,2

1,8


Таблица 1.4.

Длина рукава пожарного крана, м

Диаметр спрыска наконечника пожарного ствола пожарного крана, мм

Диаметр пожарного крана, мм

Напор у пожарного крана, м

Число струй на внутреннее пожаротушение, шт.

20

9

65

8,3


Таблица 1.5.

Строительные конструкции

вид огнезащитного покрытия (ОП)/толщина ОП, мм

Тип перегородки

Фермы покрытия

Колонны


САЭ-5Б/0,6

Без огнезащиты

С-122 (ГКЛ)



. Определение наличия угрозы людям в помещении в случае пожара

2.1 Определение расчетного времени эвакуации людей

Расчетное время эвакуации людей из помещений и зданий устанавливается по расчету времени движения одного или нескольких людских потоков через эвакуационные выходы от наиболее удаленных мест размещения людей.

Определение расчетного времени эвакуации необходимо проводить по методике, изложенной в п. 2.4 ГОСТ 12.1.004-91 «Пожарная безопасность. Общие требования».

При расчете весь путь движения людского потока подразделяется на участки (проход, коридор, дверной проем, лестничный марш, тамбур) длиной li и шириной . Начальными участками являются проходы между рабочими местами, оборудованием, рядами кресел и т. п.

При определении расчетного времени длина и ширина каждого участка пути эвакуации принимаются по проекту. Длина пути по лестничным маршам, а также по пандусам измеряется по длине марша. Длина пути в дверном проеме принимается равной нулю. Проем, расположенный в стене толщиной более 0,7 м, а также тамбур следует считать самостоятельным участком горизонтального пути, имеющим конечную длину li .

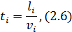
Расчетное время эвакуации людей (tр) следует определять как сумму времени движения людского потока по отдельным участкам пути ti по формуле:


где время движения людского потока на первом (начальном) участке, мин.;

 время движения людского потока на каждом из следующих после первого участка пути, мин.;

- интервал времени от возникновения пожара до начала эвакуации людей, мин.

При отсутствии необходимых исходных данных для определения времени начала эвакуации в зданиях (сооружениях) без систем оповещения величину tHЭ следует принимать равной 0,5 мин. - для этажа пожара и 2 мин. - для вышележащих этажей.

Если местом возникновения пожара является зальное помещение, где пожар может быть обнаружен одновременно всеми находящимися в нем людьми, то tHЭ допускается принимать равным нулю.

Примечание. Зданиями (сооружениями) без систем оповещения считают те здания (сооружения), возникновение пожара внутри которых может быть замечено одновременно всеми находящимися там людьми.

Время движения людского потока по первому участку пути (t1), мин, вычисляют по формуле:


где l1 - длина первого участка пути, м;, - значение скорости движения людского потока по горизонтальному пути на первом участке, определяется по табл. 2.1. в зависимости от плотности D, м/мин.

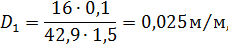
Плотность людского потока (D1) на первом участке пути, м /м , вычисляют по формуле:

где  - число людей на первом участке, чел.;- средняя площадь горизонтальной проекции человека, принимаемая равной, м2,

взрослого в домашней одежде 0,1

взрослого в зимней одежде 0,125

подростка 0,07

, - ширина, первого участка пути, м.


По таблице 2.1


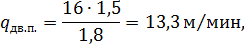
Скорость  движения людского потока на участках пути, следующих после первого, принимается по табл. 2.1 в зависимости от значения интенсивности движения людского потока по каждому из этих участков пути, которое вычисляют для всех участков пути, в том числе и для дверных проемов, по формуле:


где ,  - ширина рассматриваемого i-го и предшествующего ему участка пути, м;

, - значения интенсивности движения людского потока по рассматриваемому i-му и предшествующему участкам пути, м/мин, значение интенсивности движения людского потока на первом участке пути (q=qi-1), определяемое по табл. 2.1 по значению D1 установленному по формуле 2.3


По таблице 2.1. тогда:


Примечание. Табличное значение интенсивности движения в дверном проеме при плотности потока 0,9 и более, равное 8,5 м/мин, установлено для дверного проема шириной 1,6 м и более, а при дверном проеме меньшей ширины интенсивность движения следует определять по формуле:


Т. к. ширина дверного проема 1,8 м, т.е. 1,6, определяем:


По таблице 2.1.

Если значение qi, определяемое по формуле 2.5, меньше или равно значению qmax, то время движения по участку пути () в минуту:


при этом значения qmax следует принимать равными, м/мин:

для горизонтальных путей16,5

для дверных проемов19,6

для лестницы вниз16

для лестницы вверх11

Если значение qi, определенное по формуле 2.5, больше qmax, то ширину  данного участка пути следует увеличивать на такое значение, при котором соблюдается условие:


При невозможности выполнения условия (2.7) интенсивность и скорость движения людского потока по участку пути i определяют по табл. 2.1 при значении D = 0,9 и более. При этом должно учитываться время задержки движения людей из-за образовавшегося скопления.

При слиянии вначале участка i двух и более людских потоков (см. рис. 2.1) интенсивность движения (qi,), м/мин, вычисляют по формуле:


где  - интенсивность движения людских потоков, сливающихся в начале участка i, м/мин.

 - ширина участков пути слияния, м;

- ширина рассматриваемого участка пути, м.

Рис. 2.1. Слияние людских потоков

Если значение , определенное по формуле 2.8, больше qmax, то ширину  данного участка пути следует увеличивать на такую величину, чтобы соблюдалось условие 2.7. В этом случае время движения по участку i определяются по формуле (2.6.).


.2 Определение необходимого времени эвакуации людей

Необходимое время эвакуации рассчитывается как произведение критической для человека продолжительности пожара на коэффициент безопасности. Предполагается, что каждый опасный фактор воздействует на человека независимо от других.

по повышенной температуре:


по потере видимости:


по пониженному содержанию кислорода:


по каждому из газообразных токсичных продуктов горения


где В - размерный комплекс, зависящий от теплоты сгорания материала и свободного объема помещения, кг (определяется по формуле 2.9);- начальная температура воздуха в помещении, to = 37°С;- показатель степени, учитывающий изменение массы выгорающего материала во времени (см. формулу 2.15);

А - размерный параметр, учитывающий удельную массовую скорость выгорания горючего материала и площадь пожара, кг/сn (определяется по формуле 2.15);- безразмерный параметр, учитывающий неравномерность распределения ОФП по высоте помещения (определяется по формуле 2.13);- низшая теплота сгорания материала, МДж/кг;

Значение низшей теплоты сгорания материала принимается по справочной литературе (см. Приложение 3);

Ср - удельная изобарная теплоемкость газа, Ср = 0.001068 МДж/кг/K;

 - коэффициент теплопотерь;

В зависимости от условий взаимодействия зоны горения с окружающей средой значение коэффициента теплопотерь колеблется в пределах от 0.4 до 1.0,  = 0.6.

 - коэффициент полноты горения;

В зависимости от вида горючего материала и внешних условий протекания процесса горения значение коэффициента полноты горения колеблется в пределах от 0,75 до 0,98,  = 0,95.- свободный объем помещения, м ;

Свободный объем помещения соответствует разности между геометрическим объемом и объемом оборудования или предметов, находящихся внутри. Если рассчитывать свободный объем невозможно, допускается принимать его равным 80% геометрического объема.

 - коэффициент отражения предметов на путях эвакуации;

При отсутствии специальных требований значение принимается равным 0,3.

Е - начальная освещенность, лк;

При отсутствии специальных требований значение Е принимается равным 50 лк.пр - предельная дальность видимости в дыму, м;

При отсутствии специальных требований значение lпр принимается равным 20 м.- дымообразующая способность горящего материала, Нп м /кг;

Значение дымообразующей способности горящего материала Dm принимается по справочной литературе (см. Приложение 3).- удельный выход токсичных газов при сгорании 1 кг материала, кг/кг;

Значение удельного выхода токсичных газов при горении 1 кг материала L принимается по справочной литературе по каждому из газообразных токсичных продуктов горения (см. Приложение 3).

Х - предельно допустимое содержание токсичного газа в помещении, кг/м3;

Значение предельно допустимого содержания токсичного газа в помещении принимается по каждому из газообразных продуктов горения: ХCO2 = 0,11 кг/м3, Хсо = 1,16 * 10-3 кг/м3 , ХНС1 = 23 * 10-6 кг/м3.

 - удельный расход кислорода, кг/кг.

Значение удельного расхода кислорода  требующегося для сгорания 1 кг вещества или материала принимается по справочной литературе (см. Приложение 3).

Если под знаком логарифма получается отрицательное число, то данный ОФП не представляет опасности.

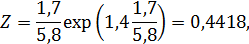
Параметр Z вычисляется по формуле:


где h - высота рабочей зоны, м;

Н - высота помещения, м.

Определяется высота рабочей зоны:


где - высота площадки, на которой находятся люди, под полом помещения, = 0 м;

 - разность высот пола, равная нулю при горизонтальном его расположении,  = 0 м.

Следует иметь в виду, что наибольшей опасности при пожаре подвергаются люди, находящиеся на более высокой отметке. Поэтому, например, при определении необходимого времени эвакуации людей из партера зрительного зала с наклонным полом значение h следует находить, ориентируясь на наиболее высоко расположенные ряды кресел.

Параметры А и n вычисляют так:

для кругового распространения пожара:


где v - линейная скорость распространения пламени, м/с;

Значение линейной скорости распространения пламени v принимается по справочной литературе (см. Приложение 3).

- удельная массовая скорость выгорания, кг/м2с;

Значение удельной массовой скорости выгорания  принимается по справочной литературе (см. Приложение 3).


т.к под знаком логарифма получается отрицательное число, то данный ОФП не представляет опасности


т.к под знаком логарифма получается отрицательное число, то данный ОФП не представляет опасности


Из полученных в результате расчетов значений критической продолжительности пожара выбирается минимальное:


Необходимое время эвакуации людей (), мин, из рассматриваемого помещения рассчитывают по формуле:


При расположении людей на различных по высоте площадках необходимое время эвакуации следует определять для каждой площадки.

3.Определение наличия угрозы чужому имуществу при пожаре

Для оценки угрозы чужому имуществу необходимо определить пожарную опасность для несущих конструкций и возможность распространения пожара за пределы одного помещения. Для этого необходимо знать температурные режимы при возможном пожаре, температуры на поверхностях ограждающих конструкций, зависящие от пожарной нагрузки и объемно-планировочных решений принятых на данном объекте.

.1 Расчет температурного режима при свободно развивающемся пожаре в помещении

Определение вида возможного пожара в помещении

Вычисляют объем помещения V.

Рассчитывают проемность помещений П, м0,5, для помещений объемом V 10 м3 по формуле 3.1, а для помещений V > 10 м3 по формуле 3.2:


где  - площадь i-го проема помещения, м2, hi - высота i-го проема помещения, м; V - объем помещения, м3.


где S - площадь пола помещения, м2.

Характеристики проемов в помещении представлены в табл.1.2.

Т. к. , то проемность вычисляется по формуле (3.2.):


Рассчитывают количество воздуха, необходимое для сгорания 1 кг материала пожарной нагрузки по формуле 3.3:


где Рi - общее количество пожарной нагрузки i-го компонента твердых горючих и трудногорючих материалов, кг, принимается по табл.1.1;i - количество воздуха, необходимое для сгорания 1 кг материала пожарной нагрузки, нм3/кг, (приложение 3).


Определяют удельное критическое количество пожарной нагрузки qкр.к, кг/м , для кубического помещения объемом V, равным объему исследуемого помещения по формуле 3.4:


Вычисляют удельное значение пожарной нагрузки qk, кг/м , для исследуемого помещения по формуле 3.5:


где S - площадь пола помещения, равная S = V0,667;

А = - суммарная площадь проемов помещения, м2;

 - низшая теплота сгорания i-го компонента материала пожарной нагрузки, МДж/кг (см. Приложение 3);


Сравнивают значения qк и qкp.к. Если qк < qкp.к, то в помещении будет пожар, регулируемый нагрузкой (ПРН); если qк  qкp.к, то в помещении будет пожар, регулируемый вентиляцией (ПРВ).

Т. к. , то в помещении будет пожар, регулируемый нагрузкой (ПРН).

.1.2 Расчет среднеобъемной температуры

Определяют максимальную среднеобъемную температуру Tmax для ПРН:


для ПРВ:


где q - количество пожарной нагрузки, отнесенное к площади пола, кг/м2;

Т0 - начальная среднеобъемная температура, равная 37°С;

Т.к. в помещении пожар, регулируемый нагрузкой ПРН, то максимальная среднеобъемная температура вычисляется по формуле (3.6).


Определяют характерную продолжительность объемного пожара, рассчитываемую по формуле 3.8:


где nср - удельная массовая скорость выгорания древесины, nср = 1.49, кг/(м2?мин);- удельная массовая скорость выгорания i-го компонента твердого горючего по приложению 3. 

Похожие работы на - Определение наличия угрозы людям и чужому имуществу в случае пожара

 

Не нашли материал для своей работы?
Поможем написать уникальную работу
Без плагиата!
Без нейросетей!