Сравнительный анализ 'мягкой силы' во внешней политике Соединенных Штатов Америки и России

  • Вид работы:
    Дипломная (ВКР)
  • Предмет:
    Политология
  • Язык:
    Русский
    ,
    Формат файла:
    MS Word
    1011,58 Кб
  • Опубликовано:
    2017-06-27
Вы можете узнать стоимость помощи в написании студенческой работы.
Помощь в написании работы, которую точно примут!

Сравнительный анализ 'мягкой силы' во внешней политике Соединенных Штатов Америки и России















Сравнительный анализ "мягкой силы" во внешней политике Соединенных Штатов Америки и России

ПЛАН


ВВЕДЕНИЕ

ГЛАВА I. ТЕОРЕТИКО-МЕТОДОЛОГИЧЕСКИЕ ОСНОВАНИЯ

ИЗУЧЕНИЯ «МЯГКОЙ СИЛЫ»

.1 Теоретико-методологические основания «мягкой силы» как формы политической власти

.2 Эволюция изучения концепции «мягкой силы»

.3 Применение «мягкой силы» в рамках общей теории международных отношений

ГЛАВА II. ПРИМЕНЕНИЕ ВНЕШНЕПОЛИТИЧЕСКИХ СТРАТЕГИЙ «МЯГКОЙ СИЛЫ» В РАМКАХ МЕЖДУНАРОДНОЙ ПОЛИТИКИ РОССИЙСКОЙ ФЕДЕРАЦИИ

.1 Внешнеполитическая стратегия «мягкой силы» в рамках проведения внешней политики Российской Федерации

.2 Внешнеполитическая стратегия «мягкой силы» в рамках проведения внутренней политики Российской Федерации

ГЛАВА III. ПРИМЕНЕНИЕ ВНЕШНЕПОЛИТИЧЕСКИХ СТРАТЕГИЙ «МЯГКОЙ СИЛЫ» В РАМКАХ МЕЖДУНАРОДНОЙ ПОЛИТИКИ США

.1 Внешнеполитическая стратегия «мягкой силы» в рамках проведения внешней политики США

.2 Внешнеполитическая стратегия «мягкой силы» в рамках проведения внутренней политики США

ГЛАВА IV. СРАВНИТЕЛЬНЫЙ АНАЛИЗ ПРИМЕНЕНИЯ «МЯГКОЙ СИЛЫ» ВО ВНЕШНЕЙ ПОЛИТИКЕ США И РОССИИ

.1 Индекс «мягкой силы» в политической науке

.2 Сравнительный анализ применения внешнеполитической концепции

«мягкой силы» во внешней политике США и России

ЗАКЛЮЧЕНИЕ

БИБЛИОГРАФИЯ

ПРИЛОЖЕНИЕ

ВВЕДЕНИЕ

мягкий сила политический власть

Актуальность работы определена тем, что анализ концепции «мягкой силы» в рамках внешнеполитических стратегий субъектов мировой политики, дает представление об общем характере данного явления и способствует определению возможности применения данной стратегии во внешней политике государства. Данное исследование особенно актуально сегодня, когда в современном мире усиливается противостояние различных государств-лидеров, обладающих огромной политической, экономической и военной силой. В данном случае, внешнеполитическая концепция «мягкой силы» рассматривается как инструмент политического давления на другое государство, так и как способ улучшения имиджа государства на международной арене.

«Мягкая сила» - это форма политической власти, которая используется различными политическими субъектами (чаще всего государствами) в достижении своих как внутренних, так и внешнеполитических целей, не прибегая к применению военного или же экономического принуждения для изменения политических действий другого политического субъекта. Основой

«мягкой силы» служат как идеи и образы (способствующие созданию привлекательности политики этих политических субъектов), так и различные приемы ведения дипломатических переговоров: уговоры, искажение реальности, приведение определенных аргументов в пользу принятия тех или иных решений. Современное использование «мягкой силы» является неотъемлемой частью политического давления на международной арене. В этой связи, в качестве примера можно привести информационную войну, как инструмент реализации Вашингтоном всевозможных «цветных революций», изменяющего не только политические режимы отдельных государств, но и отношение международного сообщества к событиям, происходящим в стране.

Подобное положение вещей вынудило основных субъектов многополярного мира пересматривать свое отношение к технологиям «мягкой силы» и активно использовать их как в качестве продвижения своих государственных интересов за рубежом, так и в качестве противодействия применению «мягкой силы» другими политическими субъектами в отношении этих же стран. Российская Федерация не является исключением.

Однако, прежде чем оценивать перспективы использования технологий «мягкой силы» Россией, необходимо произвести политологический анализ концепции «мягкой силы», определив ее основные характеристики, функции, и возможности использования. Это позволит выявить сущностные характеристики «мягкой силы» как неотъемлемой части «политической власти», проанализировать теоретические наработки зарубежных и отечественных политологов, а также формы и способы ее практической реализации.

Термин «мягкая сила» впервые был введен в политический дискурс профессором Джозефом Наем в своей работе «Bound to Lead: The Changing Nature of American Power» в 1990 году. В своей работе Д. Най проанализировав политику США того времени пришел к выводу, что доминирование Вашингтона на мировой арене обусловлено не только и военной и экономической мощью страны, но и третьей составляющей - «мягкой силы». Всеобщее признание США в качестве ведущей мировой державы, выступающей за соблюдение прав человека и либерально-демократический путь развития человечества, основаны именно на технологиях «мягкой силы».

В 2001 году выходит другая работа Дж. Ная «The Paradox of American Power», в которой он пытается переосмыслить и дополнить разработанную им же концепцию «мягкой силы» после событий 11 сентября. Автор анализирует значение политических ценностей американского общества в осуществлении внешней политики США, а также акцентирует свое внимание на КНР, Индии, Японии, России, Франции и на Великобритании - как стран, которые могут составить конкуренцию внешнеполитической стратегии США.

Критерии сравнения, которые использует Дж. Най в своих работах: противопоставляя «hard power» и «soft power»; безусловно необходимо использовать в сравнительном анализе эффективности применения внешнеполитической стратегии «мягкая сила», дополняя и актуализируя исследуемую информацию.

Сравнительный анализ «мягкой силы» как составляющей внешнеполитической стратегии Российской Федерации и США даст возможность определить мотивы, последствия и издержки ее использования, а так же определить, в каких областях данная внешнеполитическая стратегия неприменима. Стоит так же учитывать, что в современной политической науке до сих пор отсутствует система измерения «мягкой силы» и эффективности ее применения. Таким образом, проблема уточнения содержания понятия « мягкая сила» и определения способов ее измерения актуальна и по сей день, что и определило выбор темы данной работы.

Степень научной разработанности

Термин «мягкая сила» широко анализировали Джозеф Най, Инг Фан, Иешуа Курланчик, Хелен В. Милнер, Эндрю Моравчик, Фелимонов Г.Ю., Рукавишников В.О., Шелов-Коведяев Ф.В., Пономарева Е.Г., Леонова О.Г. и другие1. В работах было проанализировано содержание данного понятия, предприняты попытки определить при каких условиях данная внешнеполитическая стратегия приносит максимальное количество политических дивидендов, выявить издержки политики «мягкой силы», а также каким образом данная стратегия влияет на формирование имиджа государства.

Стоит отметить работу Иешуа Курланчика «The Decline Of American Soft Power», в которой впервые были затронуты проблемы влияния «жесткой силы» на «мягкую силу». Автор проводит анализ военных кампаний США в начале XXI века и рост антиамериканских настроений среди населения земного шара, что само по себе является свидетельством уменьшения эффективности проведения политики «мягкой силы» Вашингтоном.

В отечественной политической науке стратегию «мягкой силы» во внешней политике России впервые стал анализировать В.Рукавишников в статье «О «мягкой мощи» России в глобализирующемся мире». В работе поднимается вопрос о российской внешней политики: есть ли у России «мягкая мощь» или же это специальные технологии, которые используются только США, как единственной доминирующей державе в 1990-е годы активно использующей «мягкую силу» с целью сохранения своего политического господства.

Работы, посвященные российской мировой политике, написанные Д.Шерром, Д.Тренином, Д.Манкофом2, заслуживают особого внимания. Они посвящены анализу российской политической власти, истории становления современной России, внешнеполитическим и экономическим интересам Москвы. Исследователи представляют западную точку зрения в вопросах формирования внешней политики современной России, анализируют цели и задачи внешнеполитической стратегии, применимость «мягкой силы» в рамках глобального противостояния России и Запада в многополярном мире.

Практическая часть дипломной работы занимает собой сравнительный анализ эффективности применения внешнеполитической стратегии «мягкая сила» США и Российской Федерации. Принимая во внимание тот факт, что до сих пор в научном сообществе нет единого представления о том каким образом измерить «мягкую силу», сравнить эффективность использования данной внешнеполитической стратегии различными субъектами мировой политики, научная составляющая основывается на исследованиях Дж.МакКлори «The New Persuaders: An International Ranking Of Soft Power»3 и независимого маркетингового агентства «Portland»4, которое впервые предприняло попытку подсчитать возможности государств использовать свою «мягкую силу» во внешней политике.

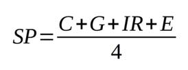
Анализируя практические исследования, в дипломной работе будет предложена альтернативная шкала и формула исследования, которая может дополняться и формироваться с учетом необходимости включения тех или иных переменных.

Объект исследования - «мягкая сила» как составляющая внешнеполитической стратегии субъектов мировой политики.

Предмет исследования - сравнительный анализ внешнеполитической стратегии «мягкой силы» США и РФ.

Цель исследования - выявить особенности реализации внешнеполитической стратегии «мягкой силы» США и России, с целью вычисления зависимых переменных, влияющих на формирования общего индекса «мягкой силы» для последующего анализа внешнеполитической стратегии «мягкой силы» во внешней политике России.

Для реализации поставленной цели предполагается постановка и решение следующих задач:

- сформировать теоретико-методологическую базу исследования;

- на основании анализа различных концепций «мягкой силы» определить ее основные характеристики, функции, цели;

-рассмотреть эффективность применения «мягкой силы» в системе международных отношений;

-проанализировать практическое применение внешнеполитической стратегии «мягкой силы» на примерах США и России;

-разработать универсальную формулу вычисления индекса «мягкой силы»;

-провести сравнительный анализ использования внешнеполитической стратегии «мягкой силы» США и РФ.

Методологические основания исследования

В рамках данного исследования будет использован интегративный подход:

политологический подход - поможет раскрыть роль и значение «мягкой силы» в реализации внешней и внутренней политики государства;

сравнительный подход - поможет сопоставить полученные результаты математического метода исследования; выявить различия во внешнеполитической стратегии США и РФ.

социологический метод - определит социальную природу и сущность «мягкой силы», ее взаимосвязь с другими сферами общественной жизни;

ценностно-нормативный подход - позволит рассмотреть ценностные основания технологий «мягкой силы»;

антропологический подход поможет выявить особенности формирования и функционирования «мягкой силы»;

бихевиористический метод - позволит определить мотивы различных политических субъектов в использовании «мягкой силы»;

математический метод - позволит разработать формулу «индекса мягкой силы», определить зависимые переменные, в формировании «индекса мягкой силы» субъектов мировой политики; выделить максимальные и минимальные значения «индекса мягкой силы», определить возможности округления полученных результатов.

Научная новизна работы заключается в следующем:

1        .Введены в оборот отечественной политической науки источники на английском и испанском языках.

2        .Предложена авторская методика проведения сравнительного анализа внешнеполитических концепций «мягкой силы».

3        .Определены критерии и шкалы сравнения индекса «мягкой силы». 4.Предложена универсальная формула вычисления индекса «мягкой силы» в рамках математического метода исследования.

5        .Проведен сравнительный анализ внешнеполитической стратегии «мягкой силы» США и РФ.

6        .Разработаны и предложены практические рекомендации по продвижению отечественной внешнеполитической стратегии «мягкой силы».

Практическая значимость работы заключается в анализе внешнеполитической стратегии «мягкой силы» России, в ее сравнении с «мягкой силы» США с целью выявления слабых и сильных сторон российской политики в данном направлении. Предложенный авторский метод исследования позволит дополнять уже имеющиеся данные новыми переменными для получения более точного знания. Данная методика поможет политическим экспертам, политтехнологам выявить те сферы внешней и внутренней политики государства, которые необходимо использовать для достижения большего эффекта «мягкой силы» в рамках проведения эффективной международной политики.

Структура работы - работа состоит из введения, четырех глав, заключения, библиографии и приложения.

 


ГЛАВА I. ТЕОРЕТИКО-МЕТОДОЛОГИЧЕСКИЕ ОСНОВАНИЯ ИЗУЧЕНИЯ «МЯГКОЙ СИЛЫ»

 

.1 Теоретико-методологические обоснования «мягкой силы» как формы политической власти


Для проведения всеобъемлющего исследования «мягкой силы», необходимо рассматривать данный феномен совместно с понятием «политическая власть», которое поможет определить наличие взаимосвязанных звеньев между двумя понятиями.

«Мягкая сила» - способность «влиять на поведение людей, опосредованно заставляя их делать то, что в ином случае они никогда не сделали бы. Такая власть становится, основываясь не только на убеждении, уговаривании или способности подвигнуть людей сделать что-либо при помощи аргументов, но и на «активах», которые продуцируют ее привлекательность».5 По мнению Е.Г.Пономаревой, активы «мягкой силы» - информация, образы и нематериальные сущности, которые способны властвовать над индивидом.

Стоит учесть схожесть политической власти и «мягкой силы» по средству воздействия на индивидов, групп индивидов - воздействие осуществляется через убеждение. Таким образом, становится понятен характер «мягкой силы», как власти, которая осуществляется ненасильственным методом, целью которой остается влияние и подчинение.

Более подробно можно рассмотреть «мягкую силу», применив следующие подходы и методы политологического исследования: ценностно-нормативный подход, социологический метод, антропологический метод, бихевиористский метод, политологический подход и сравнительный метод.

Политологический подход - является одним из ключевых подходов в политологии. Разработанный Д. Истоном и Г. Алмондом, данный метод рассматривается как базис для понимания функционирования политической системы общества. Оба политолога понимали политическую жизнь как жизнь системы, которая погружена в среду обитания и которая имеет как вход, так и выход и наделена определенными функциями.

Политическая власть в системном подходе - это совокупность ресурсов и энергии системы для поддержания ее работоспособности, обеспечение своевременной реакции на возникающие проблемы как внутри системы, так и исходящие из «окружающей ее среды». Политическая власть - важный инструмент, с помощью которого возможно менять те или иные функции системы, взаимодействовать с другими системами, производить жизненно необходимые преобразования.

«Мягкая сила» - это способ влияния и разрушения другой политической системы. Преобразование враждебной системы таким образом, что она будет лояльно относиться к тем действиям, которые производит первая система. Так же можно учесть возможность изменение отношения одной системы к другой, изменения входящих и исходящих сигналов.

При сравнении понятий «политическая власть» и «мягкая сила» стоит исходить из того, что оба понятия как схожи по своей природе, так и имеют ряд отличий. Так, оба феномена имеют определенную цель - достижение власти, навязывание своей воли воле другого политического объекта. Однако степень их применения весьма различна.

Суммируя вышеописанные попытки анализа двух понятий по методологической шкале, возможно предположить, что «мягкая сила» является частью политической власти, ее составным элементом. Их взаимосвязь прослеживается на всех этапах сопоставления.

Социологический подход в политической науке рассматривает зависимость проводимой политики от общества, связь прямую и косвенную с различными сферами общественной жизни, социальную специфику при принятии тех или иных решений, влияние различных социальных групп на политическую жизнь общества.

С начала использования данного метода, политология стала прикладной наукой. Стали широко внедряться эмпирические методы исследования, зеленый свет данного подхода дал проведение исследований фокус-групп, анализа различных слоев населения на проведение той или иной политики. Политическая власть в данном подходе рассматривается как способ уравновешивания социальных слоев населения, введения термина «справедливость», соглашений и договоренностей между политической элитой и обществом. Так, Т. Гоббс писал: «Природа справедливости, таким образом, состоит в выполнении соглашений, имеющих обязательную силу, но обязательная сила соглашений начинается лишь с установления гражданской власти, достаточно сильной, чтобы принудить людей к выполнению своих соглашений».6

«Мягкая сила», рассматриваемая как часть политической власти, может на внутригосударственном уровне поддерживать социальный порядок путем установления и сохранения «справедливости» в обществе, поддержание тех или иных общественных ценностей, используя тем самым инструменты пропаганды и силу имиджа властных государственных структур. На внешнеполитической арене, «мягкая сила» с точки зрения социологического подхода - это инструмент давления на другие государства, через ошибки других государств в удовлетворении потребностей «справедливости» общественных слоев населения. Подогревание протестных настроений может осуществляться как через создание образов сильной социальной политики и защищенности в той стране, которая проводит «мягкую силу» по отношению к другому государству, и как через финансирование отдельных протестных групп, которые могут отстаивать право на «справедливость» и тем самым менять социальную политику государства.

Сторонники ценностно-нормативного подхода в политологии, анализируя политическую сферу жизнедеятельности общества, опираются на выяснении того, что же дает обществу и индивиду политика и власть. Политологи, используя этот метод, стараются выделить некую идеальную модель политической власти, ее использования для формирования идеального государства и властной иерархической основы.

Политическая власть - это неотъемлемая сущность политики, константа политических отношений, которая может быть использована как для блага общества и его отдельных индивидов, так и для угнетения масс. Исходя из благой цели для общества, французский философ-просветитель и политический мыслитель Шарль Луи Монтескьѐ отмечает следующее: «чтобы не было возможностей злоупотреблять властью, необходим такой порядок вещей, при котором различные власти могли бы сдерживать друг друга»7, говоря о принципе разделения властей в демократическом государстве, при анализе причин падения Рима.

Однако, «мягкая сила» может быть использована как во внешней политике, так и во внутренней, для придания политическому режиму большей легитимности и поддержки масс, несмотря на то, что определенное государство может иметь не демократический режим. Как отмечал Дж. Най, «мягкая сила» есть «способность заставлять другого хотеть того же, чего хочешь ты»8, или же «способность достигать результатов через убеждение и притягательность, а не через принуждение или плату».9 Подобное использование «мягкой силы», мы наблюдали при А.Гитлере, когда легитимность лидера нацистского государства поддерживалась не через принцип разделения властей, а через убеждение харизматического лидера и его партии большей части населения Германии в своей правоте и необходимости установления тоталитарного режима.

Учитывая все вышесказанное, возможно предположить, что «мягкая сила» в рамках ценностно-нормативного подхода, должна рассматриваться с точки зрения эффективности ее использования, применяемых методов убеждения и создания определенных образов у индивидов, которые помогут подчинить себе их волю.

Очень интересно так же рассмотреть позицию сторонников антропологического подхода в политологии, которые рассматривают политику исходя из природы человека, изучая при этом не только политическую сферу доиндустриальных обществ, но и учитывая при этом их адаптивность к современных политическим реалиям.

Так, анализируя природную составляющую человека, Ф.Ницше пишет:

«Воля к власти, специализирующаяся как воля к пище, к собственности, к орудиям, к слугам (повинующимся) и господам - тело как образчик. Более сильная воля управляет слабой. Нет никакой иной причинности, как от воли к воле»10. По его мнению, власть как способ влияния и как способ достижения определенных целей и повиновения своей воле воли других - это неотъемлемая составляющая человеческой природы, которая начала проявляться в тот момент, как человек, он же Homo sapiens с самого своего рождения живет, трудится и развивается в культурном отношении в социальном обществе себе подобных.

«Мягкая сила» с точки зрения антропологического подхода - это воля к власти и воля к доминированию на международной арене. С точки зрения реалистского подхода в теории международных отношений, «мягкая сила» является важнейшей частью международного политического курса любой сверхдержавы. «Моргентау и его сторонники (А. Уолферс, К. Томпсон, Э. Карр, Дж. Шварценбергер и др.) настаивают на том, что современный мир межгосударственных взаимодействий все еще очень далек от этого, он остается миром, в котором международная политика может быть определена «как непрерывное усилие, направленное на сохранение и увеличение мощи собственной нации и уменьшение и подрыв мощи других наций».11

Реалисты утверждают, что в целях достижения мирового господства у государства нет союзников, есть лишь враги, против которых возможно применять все возможные средства для подавления их военно-политической мощи на международной арене. Тем самым, «мягкая сила» является тем новым современным оружием, которое стали использовать в информационном веке для ведения информационной войны против других государств посредством ценностей, образов и идей (как пример: США используют идею демократии, прав человека и незыблемости международного права с целью установления тотального контроля на международной арене через различные международные институты и организации).

Идея анализа политики с точки зрения бихевиоризма - определить мотивы политических субъектов при совершении тех или иных политических действий. Главным мотивом осуществления политических действий - достижение политической власти.

«Для современных бихевиористских концепций политики характерен акцент на изучении ее микроповеденческих сторон, различных механизмов индивидуального, межличностного и группового политического поведения. Бихевиористскому методу в политологии присуща отчетливая прикладная ориентация.»12

При изучении политической власти, как основополагающей категории политики, бихевиористы прибегают к получению информации об объекте исследования используя такие приемы, как: наблюдение, сопоставление фактов и действий. Политическая власть - как средство для достижения возможностей и ресурсов, позволяющих человеку управлять другими людьми, навязывать им свою волю.

Если рассматривать мотивы применения политическими игроками «мягкой силы», то возможно заметить, что в современном мире старые средства для достижения власти больше не работают. «Мягкая сила» выступает как новое оружие, иногда скрытое, которое используют крупные политические игроки для осуществления различного рода политических действий. Основным мотивом по применению «мягкой силы» служит ее сущность: неприменение военной или экономической мощи государства против другого для реализации своих интересов.

Политический процесс для бихевиористов - это столкновение индивидуальных стремлений по достижению власти. Если в процессе достижения власти возможно использовать как открытые средства (военная мощь, численность населения, экономическая сила), то скрытые средства так же применимы и весьма эффективны. Используя «мягкую силу» бихевиористы наблюдают за тем, как реагирует общество, отдельные социальные слои населения, другое государство и т. д. Путем проведения наблюдения и сбора необходимой информации, возможно вносить какие-то коррективы в свои действия, а так же менять стратегию применения «мягкой силы».

.2 Эволюция изучения концепции «мягкой силы»

Основоположником концепции «мягкая сила» является Джозеф Най, известный американский политолог, разработчик некоторых направлений неолиберализма и эксперт в области международных отношений. Дж. Най анализируя концепцию «мягкой силы» в своей работе «Soft Power: The Means to Success in World Politics», написанная в 2004 году, предположил наличие следующего парадокса: приверженность индивида к некой притягательной силе есть не что иное как совокупность образов и идей, за которыми индивид готов следовать и принимать эти образы и идеи как близкие для него, отсюда прослеживается желание тем или иным образом приобщиться к этой силе, изменяя свое поведение, убеждение и образ жизни.

Одно из определений «мягкой силы», которое Дж. Най приводит в своей книге заключается в наличие некой силы, которая может дать возможность для источника этой силы получать определенные политические и экономические дивиденты используя силу привлекательности, а не физическую силу или силу денег. Най пишет «The soft power of a country rests primarily on three resources: its culture (in places where it is attractive to others), its political values (when it lives up to them at home and abroad), and its foreign policies (when they are seen as legitimate and having moral authority.)13

Таким образом, Най выделил следующие три основания «мягкой силы» государства: культура, политические ценности (которые может нести в себе тот или иной политический режим) и международная политика.

Анализируя данное определение в контексте политики США в начале 1990х годов, можно отметить следующие маркеры: 1) американская культура основывается на базе «американской мечты», которая заключается в первую очередь в предоставлении равных возможностей для всех граждан Америки по самореализации, в соблюдении и гарантировании всеобъемлющих прав человека, в свободе предпринимательства и гарантировании незыблемости частной собственности. Все вышесказанное породило неоспоримое лидерство американской экономической системы, рождение огромных ТНК, мировых брендов и определенной культуры мировосприятия. Так, бренд «Coca-Cola» и

«McDonalds» известен по всему миру и в начале 1990х годов его выход на рынок новой демократической России воспринимался в большей мере в политических изменениях, нежели в экономических - падение полувекового противостояния сверхдержав, железного занавеса и всей социалистической модели развития; 2) американские демократические ценности - основа американского политического могущества в мире - способствовали росту протестных движений в начале 90х годов XX века по всем республикам СССР и странам блока Варшавского договора; являлись примером для многих народов, которые искали возможность для начала нового политического вектора развития; 3) внешняя политика - которая имеет в себе тот необходимый уровень легитимности и поддержки среди граждан США, основы которой кроются в идее избранности и ведущей роли Америки в продвижении демократии и соблюдения прав человека по всему миру - нашла свое отражение во всестороннем участии Вашингтона во внутренних делах практически всех стран мира в начале 90х годов.

Еще один известный американский политолог Френсис Фукуяма так описывал тот период времени: «привлекающая сила этого мира создает весьма сильное предрасположение для всех человеческих обществ в нем участвовать, а успех такого участия зависит от усвоения принципов экономического либерализма. Это и есть окончательная победа видеомагнитофона»14. Где под магнитофоном он понимал - желание людей жить в современном демократическом и свободном мире, в котором благосостояние и свобода каждого индивида превалирует над всеми другими ценностями, что явно показывает связь этой идеи с победой «американской мечты» и в удачном использовании «мягкой силы» Вашингтоном.

Тем самым, учитывая факт международной направленности работ и

измышлений Дж. Ная, возможно подтвердить вышесказанным ту значительность и важность в использовании концепции «мягкой силы» в современном мире информационных технологий.

Однако, несмотря на тот факт, что Дж. Най написал одну из фундаментальных работ по данной теме, он все-таки не дает определенного определения данной концепции, что затрудняет понимание всей сущности и природы данного явления и порождает вокруг нее площадку для дискуссий всего политологического сообщества. Так, продолжая тему исследования феномена, один политолог из Брунелевского университета Ин Фань в своей статье «Soft Power: power of attraction or confusion» выделяет следующие противоречия15: 1) «мягкая сила» обладает способностью формировать чужие предпочтения; 2) «мягкая сила» привлекает, а привлекательность в свою очередь порождает уступчивость; 3) «мягкая сила» заставляет других индивидов хотеть того, чего хотите вы, из-за культурно-идеологической силы и притягательности; 4) одно государство, которое обладает «мягкой силой» в контексте мировой политики может достигать для себя определенных побед, в силу того что другие субъекты международных отношений пытаются подражать тем политическим ценностям, которые превалируют у государства, использующего «мягкую силу»; 5) «мягкая сила» - показатель доминирующего положения одного субъекта над другим. Тем самым, он задает поле для исследования самого феномена в рамках политологии.

Данные противоречия - почва для конструктивно-критической и деструктивной позиции в вопросах исследования. Первая позиция предполагает признание наличия этого феномена, вторая же отрицание.

«Мягкая сила» в английском языке носит название soft power. Данное выражение, при переводе на русский язык, так же может привнести «подводные камни» в понимание феномена. Некоторые отечественные политологи, с момента рождения данной концепции, сначала переводили этот термин как «мягкое влияние» или же «несиловая мощь». Подобные варианты перевода, в первую очередь, были связаны с трудностями подбора русских эквивалентов, которые бы в полной мере смогли отобразить идею Дж. Ная. Само слово power на русский язык может быть переведено как мощь, и как власть. И становится понятным, что русское значение «мягкая сила» может не отображать всей той специфики, которую несет в себе данное понятие.

В своей книге, Дж. Най так же размышляет по вопросам использования «мягкой силы» в тех или иных случаях в международной политики. Так, он отмечает: «...soft power may be less relevant than hard power in preventing attack, policing borders, and protecting allies. But soft power is particularly relevant to the realization of «milieu goals»16. Так он разграничивает две важные силы - «мягкую» и военную, отмечая, что для проведения упреждающего удара следует полагаться в большей степени на военную мощь страны, когда как в случае достижения целей по привлечению союзников в долгосрочной перспективе, лучше всего использовать «мягкую силу».

Другим лимитом по использованию «мягкой силы» Най определяет наличие определенного уровня развития гражданского общества среди населения страны, которое, по его мнению, играет большую роль в аккумулировании этой силы у государства. Подобная точка зрения появляется у американского политолога после того, как он пишет следующие строки: «Much of American soft power has been produced by Hollywood, Harvard, Microsoft, and Michael Jordan. But the fact that civil society is the origin of much soft power does not disprove its existence. In a liberal society, government cannot and should not control the culture»17. Таким образом, по его мнению, лишь в свободном демократическом государстве, может сложиться гражданское общество, которое в свою очередь сможет свободно участвовать в экономической, культурной, социальной жизни страны и тем самым порождать те структуры, которые на международной арене смогут проявлять себя в качестве «мягкой силы» страны.

В этой же книге, Най анализирует и наличие других «мягких сил» у демократических стран и у тоталитарных режимов, которые нельзя не учитывать. Так политолог проводит анализ «мягкой силы» у Советского Союза, через такие примеры как запуск первого спутника земли и лидерство в образовательной и культурной сфере жизнедеятельности общества (известный всему миру Большой театр, балет и феномен «самой читающей нации мира»). Однако, экономические неуспехи Советского Союза к концу 1980х годов порождали со временем падение уровня влияния страны на международной арене, как силы, способной конкурировать с США.

Стоит отметить также наличие «мягкой силы» у неправительственных международных организаций и институтов, которые зарекомендовали себя в качестве органов, которые принимают непосредственное участие в разрешении международных конфликтов, голода, сокращению уровня бедности населения и т. д. Речь идет о таких организациях как ООН, ЮНЕСКО, Международный валютный фонд, Красный крест, Amnesty International и «Гринпис». Однако и у этих организаций имеются свои лимиты «мягкой силы».

Помимо Дж. Ная, над формированием понятия «мягкая сила», работали так же и отечественные политические исследователи, которые так же внесли свою лепту в понимание данного термина. Леонова О.Г. - доктор политических наук, профессор факультета глобальных процессов МГУ им. М.В. Ломоносова в своей статье «Мягкая сила - ресурс внешней политики государства»18 пытается рассмотреть этот феномен шире и определяет «мягкую силу» как совокупность внешних и внутренних факторов государства. Так Леонова О.Г. выделяет следующие внешнеполитические факторы:

1)     внешняя политика государства и наличие авторитета страны зарубежом;

2)    положение в общемировом контексте и геополитический статус государства;

3)    цивилизационный статус государства (политолог понимает это как приверженность того или иного государства к цивилизационной истории развитии государства);

4)  политическая и экономическая модель развития государства;

5)       стратегия развития;

6)       информационные ресурсы государства.

Стоит отметить, что автор статьи приводит во внимание исторический фактор формирования данной силы, цивилизационный фактор, который не упоминал в своих работах Най.

К внутренним факторам Леонова О.Г. относит:

1)  идеологию;

2)       стиль, качество и уровень жизни населения;

3)       ценности (национальная идея);

4)       менталитет нации;

5)       культура страны (театр, литература, искусство и т. д.);

6)   креативный потенциал государства (способность генерировать идеи и технологии).

Остановимся более подробно в анализе внутренних факторов, которые представлены Леоновой О.Г. в своей работе. Учитывая идеологическую составляющую, стоит принимать во внимание тот фактор, что на сегодняшний день наблюдается доминирование либеральной идеологии в мировой политической жизни. Отчасти это вызвано лидирующим положением США. Однако социал-демократические идеи продолжают набирать мощь и так же могут быть использованы в качестве мягкой силы. Так, возможно упомянуть о социал-демократическом опыте развития Швеции, пример которой вдохновляет немало социал-демократических движений по всему миру, старающихся построить такую же модель управления и распределения ресурсов в других странах.

Немаловажным фактором является общий экономический уровень развития нации. Примером США вдохновлены многие страны западной Европы и новые демократии восточной Европы, которые приняли модель либеральной рыночной формы как за аксиому стабильной и поступательной модели развития.

Национальная идея - одна из самых противоречивых форм, которая может оказать влияние на становление «мягкой силы». Хотя, в странах Азии, в частности в Китае, она активно нашла свое применение.

О менталитете и культуре было уже сказано, поэтому определить внимание стоит креативному потенциалу государства. Ярким примером может служить Япония после второй мировой войны. В 70-80 годы XX века весь мир наблюдал за быстрорастущей японской экономикой, которая смогла модернизировать свои военные производственные мощности в развитие высокотехнологичной индустрии. Сегодня Япония - локомотив в сфере научно-технических разработок и это позволяет ей использовать это в своих интересах: в привлечении инвестиций со всего мира в разработке высокотехнологичных информационных технологий.

 


1.3 Применения «мягкой силы» в рамках общей теории международных отношений


Одной из задач этой работы - является рассмотреть возможность применения мягкой силы в рамках различных теорий международных отношений. На сегодняшний день существуют три основополагающих направления в рамках общей теории международных отношений: реализм, либерализм и конструктивизм. От этих трех направлений есть и более новые, усовершенствованные подходы: неореализм, неолиберализм. Однако, мы будем рассматривать эти теории в общем формате и поэтапно.

Политический реализм был рожден Гансом Моргентау в книге под названием «Politics among nations. The struggle for power and peace», в которой он, известный политический мыслитель современности, определяет основные положения данной теории. Согласно Моргентау, основным движущим фактором, который побуждает страны конкурировать между собой на мировой арене - является власть и стремление к мировому доминированию. «Realism assumes that its key concept of interest defined as power is an objective category whish is universally valid, but it does not endow that concept with a meaning that is fixed once and for all»19. «International politics, like all politics, is a struggle for power»20.

Моргентау считает, что власть по своей природе свойственна человеку. И подобное положение вещей возможно и спроецировать на межгрупповой уровень (борьба групп и кланов за обладание политической властью) и на межстрановой.

По мнению исследователя, политическая сфера является весьма автономной, и как для экономиста достижение прибыли и богатства является сама цель, так и для участника политических отношений достижение власти является самой важной задачей.

С точки зрения сторонников реализма, главными субъектами международных отношения являются государства. Их мощь в основном определяется за счет количества населения, военной силы и экономическим уровнем развития, что в свою очередь сможет способствовать в продолжении борьбы государства за «место под солнцем» в мировой политике. Моргентау отмечает, что каждое государство, как и человек, рождается, существует и умирает. Тем самым, его мысли о власти и ее сущности очень схожи с идеями Фридриха Ницше.

Несмотря на то, что Моргентау не упоминает в своей работе что-либо о

«мягкой силе», а делает в основном акцент на военную, экономическую мощь государства, среди его строк прослеживается идея, что существует еще другая сила, которая способна влиять на другого субъекта посредством психологического эффекта принуждения. «Political power is a psychological relation between those who exercise it and those over whom it is exercised»21. Поэтому существует предпосылка предположить, что в момент написания его основной работы и анализа американо-советских отношений, Ганс Моргентау мог предполагать о наличии «мягкой силы», однако которую не смог до конца описать.

Рассматривая международные отношения как хаос, реалисты пытаются доказать, что в достижении власти все средства хороши. У государств нет потенциальных союзников или «друзей», все страны рассматриваются в качестве конкурентов, однако в той или иной политической ситуации, возможно идти на сотрудничество, с целью получения определенных выгод.

«Мягкая сила» в этом контексте может выступать как некая особая форма политической власти, которая может быть использована совместно с военной мощью, экономическим могуществом державы для отстаивания своих интересов и подрыва «уровня морали» (Ганс Моргентау) другой нации.

Либерализм. Как отмечал Майкл Дойль: «There is no canonical description of liberalism»22. И в этом он в чем-то прав. С одной точки зрения, либерализм - это приверженность неучастия государства в экономической сфере жизнедеятельности общества. С другой точки зрения, либерализм - это прежде всего соблюдение равенства прав и свобод всех людей, гарантирование защиты этих прав со стороны государства.

С точки зрения теории международных отношений - политический либерализм это такие условия, когда страны соблюдают мир и статус-кво, ведут экономическую деятельность и взаимодействуют друг с другом для обретения все большей прибыли. Чтобы получить наибольшую выгоду от взаимовыгодного сотрудничества, страны создают союзы, блоки и усиливают глобализационные процессы. Однако, не все страны следуют принципам всеобщих прав человека, их соблюдения и не все субъекты признают незыблемость международных институтов, которые провозглашают вышеописанные принципы. Таким образом, демократически-либеральным странам приходиться уживаться с авторитарными и тоталитарными режимами, которые в свою очередь нагнетают напряженность в том или ином регионе мира и тем самым вредят укреплению экономик либеральных стран.

Одним из факторов давления на такие режимы - является «мягкая сила», которая могла бы проявляться в создании определенного имиджа демократического сообщества по отношению к недемократическому. Нередко в авторитарных режимах существуют люди, которые не согласны с политикой, которые проводят власти этих стран. Нередки случаи политических гонений и преследований активистов, которые борются за соблюдение прав человека. Согласно Всеобще декларации прав человека ООН: «Каждый человек должен обладать всеми правами и всеми свободами, провозглашенными настоящей Декларацией, без какого бы то ни было различия, как-то в отношении расы, цвета кожи, пола, языка, религии, политических или иных убеждений, национального или социального происхождения, имущественного, сословного или иного положения. Кроме того, не должно проводиться никакого различия на основе политического, правового или международного статуса страны или территории, к которой человек принадлежит, независимо от того, является ли эта территория независимой, подопечной, несамоуправляющейся или как-либо иначе ограниченной в своем суверенитете»23. Провозглашая эти принципы современного демократического мира, ООН, как главный негосударственный политический институт, - производит мониторинг и отслеживание случаев нарушения и тем самым обращает внимание всех стран-участниц организации на факт несоблюдения прав и свобод человека в той или иной стране. Таким образом, осуществляется ненасильственный контроль и принуждения как всего мирового сообщества в целом, так и отдельного института над теми политическими субъектами мирового сообщества, которые отклоняются от ранее подписанных деклараций и резолюций.

Если рассматривать применимость «мягкой силы» с точки зрения экономики и продвижения тех или иных брендов за рубежом, которые в свою очередь создают имидж страны, в которой та или иная компания осуществляет свою деятельность, то стоит отметить тот факт, что различного рода товары дают фактическое представление об экономике и стране, в которой они производились. Например «Coca-Cola», напиток, известный всему миру. Этот бренд несет в себе не только представление о сладком шипучем напитке, но и некую идею свободу демократического мира, в частности политических ценностей США, которые активно демонстрируются через рекламу по всему миру. Или стоит лишь вспомнить о каких-нибудь пластмассовых игрушках для детей, как люди порой вспоминают КНР, и ассоциации бывают самые разные: как могучая и великая экономика мира, которая кормит и одевает весь мир, так и мысли о дешевой рабочей силе и высоком уровне бедности среди сельского населения. Тем не менее, в обоих случаях, «мягкая сила» в экономическом плане может быть использована как для увеличения веса страны на международной арене, так и сыграть контр-продуктивно (скрытая демонстрация ценностей западного мира (общества потребления и всеобщей свободы) через рекламу продукции среди мусульманских стран ближнего востока и северной Африки может вызвать отторжение, а не симпатию).

Подводя небольшой итог либерального воззрения на природу «мягкой силы» в контексте международных отношений, можно отметить ее актуальность в использовании в современных реалиях.

Конструктивизм. Данное направление еще часто называют объединение классического реализма и либерализма. Его основоположник - Александр Вендт, американский политолог немецкого происхождения, который постарался в своих работах переосмыслить реализм и либерализм и разрешить их глубокие противоречия в теоретическом плане.

В работе под названием «Social Theory of International Politics» Вендт и его коллеги постарались объяснить основные отличия конструктивизма от других теорий международных отношений, а так же взглянуть на феномен власти и ее распределения. Так, в одной из статьи в этом сборнике описывается то, что для конструктивистов власть как и для реалистов является самой важной целью. Однако, международные отношения рассматриваются не как хаос и беспорядок, а как конкуренция стран между собой. Политологи определили наличие следующих возможных отношений между странами: как friendship, enmity и rivilry. В первую очередь это партнерские отношения между государствами, которые на протяжении долгой истории сотрудничают, живут бок о бок и стараются все спорные вопросы разрешать мирным путем. «Friendship is a role structure within which states expect each other to observe two simple rules: (1) disputes will be settled without war or the threat of war (the rule of non-violence); and (2) they will fight as a team if the security of any one is threatened by a third party (the rule of mutual aid)»24 Чтобы понять взаимоотношения государств характеризующиеся как enmity, приведем следующий отрывок: «...allies expect to eventually revert to a condition in which war between them is an option - and will plan accordingly»25. Это означает, что страны-союзники, которые позиционируют другое государство как «вражеское», имеют представление о том, что война может случиться и тем самым готовы действовать в зависимости от ситуации. Понятие rivilry, лучше всего понять в контексте противостояния Советского Союза и США.

Подводя выводы блока по теории международных отношений, возможно отметить тот факт, что на сегодняшний день анализ «мягкой силы» в рамках теории международных отношений не предпринимался. Тем самым возможно предполагать, что в рамках той или иной теории «мягкая сила» как форма политической власти будет использоваться, отвечая требованиям и основным целям реализма, либерализма и конструктивизма.

 


ГЛАВА II. ПРИМЕНЕНИЕ ВНЕШНЕПОЛИТИЧЕСКИХ СТРАТЕГИЙ «МЯГКОЙ СИЛЫ» В РАМКАХ МЕЖДУНАРОДНОЙ ПОЛИТИКИ РОССИЙСКОЙ ФЕДЕРАЦИИ

 

2.1 Внешнеполитическая стратегия «мягкой силы» в рамках проведения внешней политики Российский Федерации


«Мягкая сила» как таковая стала активно использоваться и разрабатываться в современной России с приходом на пост и.о. Президента Российской Федерации В.В.Путина в конце 1999 года. Именно тогда был принят курс на поднятие имиджа России за рубежом. Эти первые попытки В.В.Путина и Администрации Президента во главе с А.С.Волошином положили начало становления новой концепции «мягкой силы» в современной России, хоть они и не давали на начальном этапе тех результатов, которые были нужны Москве: образ сильной и независимой России, который был крайне необходим в то время.

В дальнейшем, когда позади остались проблемы с Чеченской войной, «олигархический кризис» в российской политике, когда произошла смена А.С.Волошина на Д.А.Медведева на посту Администрации Президента, а МИД РФ возглавил А.С.Лавров - курс на придание России имиджа сильного и независимого государства только ускорился. Речь Президента РФ на Мюнхенской конференции по безопасности в 2007 году и Валдайская речь в 2014 году определили и укрепили направление внешнеполитического курса страны. Все это стало отражением принятой В.В.Путиным 12 февраля 2013 года Концепции внешней политики Российской Федерации. Российский имидж государства, приверженный принципам международного права, равноправия и многополярности - стал узнаваем и почитаем в мире. Россия стала одним из самых надежных политических партнеров для многих стран мира. Так, один из принципов данной Концепции звучит так: «Россия проводит политику, направленную на создание стабильной и устойчивой системы международных отношений, опирающейся на международное право и основанной на принципах равноправия, взаимного уважения, невмешательства во внутренние дела государств. Такая система призвана обеспечить надежную и равную безопасность каждого члена мирового сообщества в политической, военной, экономической, информационной, гуманитарной и иных областях»26.

Реформы, проведенные Д.А.Медведевым по переформированию Министерств Правительства Российской Федерации, а так же самой Администрации Президента, привели к возможности создания различного рода Федеральных агентств, которым были делегированы различные полномочия, в том числе по формированию «мягкой силы» и создания определенного имиджа России за рубежом. Одним из таких ведомств позже в 2008 году стало Россотрудничество. Приоритетными направлениями нового Федерального агентства стали вопросы поддержки русского языка за рубежом, продвижение русской культуры, поддержка российских граждан и бизнеса за границей, формирование концепции «общественной дипломатии». «Народная дипломатия - это совместная деятельность государственных и негосударственных организаций, направленная на расширение международных общественных связей государства. В задачу Россотрудничества входит осуществление продуктивного взаимодействия между различными неправительственными фондами, ассоциациями, союзами и другими организациями России»27. Была сформирована концепция «Русского мира».

«Современная Россия располагает огромным потенциалом для развития общественной дипломатии. Ее важнейшей опорой является «русский мир» - миллионы людей за рубежом, испытывающие потребность поддерживать связь с Россией, русским языком и культурой. Возможности «мягкой силы» более всего отвечают тем задачам, которые сегодня стоят перед Российской Федерацией: обеспечение благоприятного окружения, создание модернизационных альянсов, усиление евразийской интеграции»28. Более того, по мнению К.И.Косачева, руководителя Россотрудничества, немаловажным остается уделение внимания росту русскоязычного сегмента интернета. Введение новых технологий по популяризации русского языка в интернете - это возможность интегрировать в «русский мир» и русское языковое пространство все пространство СНГ и бывших стран членов СССР.29

Помимо политики МИД РФ и его структур, необходимо учитывать вовлеченность России в работу ведущих международных организаций и объединений, которые способствуют росту экономической, политической и имиджевой составляющей России. Среди таких организаций как ООН, Большая двадцатка (G20), Российская Федерация является постоянным членом не менее важных, с политической точки зрения, а может даже и более значимых для России международных организациях, где она может проявить себя с наилучшей стороны. Такими международными организациями являются в первую очередь: BRICS и ШОС. Принятый особый вектор развития совместно с развивающимися государствами мира, позволяет России эффективнее проводить свою политику в мире, направленную на соблюдение принципа многополярности международной системы. Более того, сотрудничество в рамках ШОС, позволяет достичь России безопасности и стабильности на южных рубежах. Более тесное и взаимовыгодное сотрудничество позволяет странам членам активнее продвигать принцип равноправия в мировой системе международных отношений, что в свою очередь привносит политические имиджевые очки.

К некоммерческим российским объединениям, которые так или иначе, участвуют в формировании «мягкой силы» России за рубежом стоит отнести и Российский совет по международным делам (РСМД), деятельность которого заключается в «укреплении мира, дружбы и согласия между народами, предотвращение международных конфликтов и кризисное регулирование»30. Позиционируя себя в качестве некого связующего звена между бизнесом, властью, гражданским обществом и экспертным сообществом, РСМД активно участвует в выработке рекомендаций, стратегий и экспертных заключений по реализации политики в области международных отношений, содействие в воплощении выработанных рекомендаций в политическом пространстве. РСМД, таким образом, является неким think tank, в том числе, в вопросах которые связаны с внешнеполитической стратегией «мягкой силы».

Другим немаловажным направлением России в реализации внешнеполитической концепции «мягкой силы» стало оказание гуманитарной помощи жителям восточных регионов Украины, когда в этой стране разразился внутриполитический кризис и начались военные действия. Подобная поддержка очень хорошо вписывается в реализацию намеченной стратегии «Русского мира» и идеей, что «свои своих в беде не бросают». Рейтинги В.В.Путина стали расти, а Россия в глазах многих людей по всему миру стала одним из идеалов модели «суверенной демократии».

Российские СМИ, как отдельный элемент общей внешнеполитической стратегии «мягкой силы» стали широко использоваться политической властью страны для формирования имиджа России за рубежом. По мнению А.О.Наумова, костяк российских СМИ, задействованных так или иначе в формировании имиджа России это: «Телеканалы «RT», «Россия-РТР» и др., Международное информационное агентство «Россия сегодня», проект

«Российская газета», Интернет-ресурсы МИД и других правительственных ведомств.»31 Создание телеканала «RT» было задумано еще в 2001 году, а его формирование и вещание началось в 2005 году. С самого начала, данный новостной телеканал создавался на английском и испанском языках, чтобы как можно больше охватить международную аудиторию и познакомить их с российской точкой зрения на различные международные вопросы, стоящие на повестке дня. Более того, контент телеканала рассказывает о жизни в России, ценностях россиян, культуре и самобытности многих народов России. Девиз телеканала «question more»32, который встречает посетителей официального сайта телекомпании на английском языке, сам по себе несет в себе образ телеканала, который не только информирует телезрителей по всем самым новым новостным событиям в мире, но и предполагает некую альтернативную точку зрения на ход различных мировых событий, тем самым телеканал противопоставляет себя ведущим зарубежным западным СМИ в характере и стратегии подачи новостной информации. Предполагает альтернативную точку зрения.

Таким образом, стоит отметить важность проведения непосредственной внешней политики в рамках формирования внешнеполитической концепции «мягкой силы» России.

.2 Внешнеполитическая стратегия «мягкой силы» в рамках проведения внутренней политики Российский Федерации

Внешнеполитическая политика «мягкой силы» с самого начала формировалась в Администрации Президента и затрагивала собой внутриполитические проблемы, которые необходимо было решить для окончательной стабилизации страны. Под системными реформами, проводимыми Министром экономического развития РФ Г.О.Грефа и Министром финансов А.Л.Кудрина были достигнуты не только финансовые результаты: выплаты всех внешних долгов России перед иностранными кредиторами, профицит бюджета и др.; но и достижение необходимого имиджа Правительства Российской Федерации, Президента РФ и других властных институтов за рубежом. Власть, способная вывести страну из затяжного экономического кризиса 90х получила поддержку широких слоев населения.

«Мягкая сила», сформированная политтехнологами и Администрацией Президента принесла первые дивиденды - Россия «поднялась с колен» в глазах зарубежных партнеров.

Внутренний имидж России, В.В.Путина и его команды лишь укреплялся на фоне дестабилизации политической обстановки в Грузии, Украине и Киргизии, где прошли «цветные революции». Политика укрепления внутриполитического единства, согласия между народами России - сплотили не только общество, но и общество с властью. Был найден и достигнут определенный негласный консенсус. Идея «если не Путин, то кто» среди населения - это плоды внутренней имиджевой технологии, которые так же отразились и на ее внешнем образе.

Стоит отметить особенно резонансное дело ОАО «Оборонсервиса», отправка Министра обороны РФ А.Э.Сердюкова в отставку и формирование нового имиджа российской армии в стране. Проведенные реформы в армии аппаратом А.Э.Сердюкова были непопулярны, требовали коррекции. На пост Министра обороны был поставлен С.К.Шойгу. Под его командованием ВС РФ не только усилились в военно-техническом плане, но и смогли приобрести новый имидж современной армии. Борьба с «дедовщиной», комфортные условия прохождения военной службы по призыву для военнообязанных граждан, замена устаревшей техники, повышение заработной платы и др. достижения в ВПК России в целом дали двойной эффект: рост желания среди молодого населения проходить службу в ВС РФ, почетность службы, а так же рост патриотических настроений как среди военнослужащих, так и среди гражданских. «Мягкая сила» образа сильной и боеспособной армии принесла такие же политические дивиденды как и системные реформы начала 2000гг., что особенно стало актуально в период дестабилизации политической и экономической обстановки в мире.

Однако, не все элементы внешнеполитической стратегии «мягкой силы» приносили нужные результаты во внешней политике. Воссоединение Крыма с Россией в 2014 году по мнению А.О.Наумова - кандидата исторических наук, доцента факультета государственного управления МГУ им. М.В.Ломоносова - несло в себе больше минусов, чем плюсов для внешней политики России и формирования ее имиджа за рубежом. Так, в своей статье «Мягкая сила» России: ресурсы, проблемы, перспективы» он отмечает следующее: «Действия России, которые по определению можно отнести к элементам «мягкой силы» (например, воссоединение Крыма с Россией весной 2014 года), многими странами, в основном западными, расцениваются как элементы «жесткой силы», что широко транслируется в подконтрольных им глобальных СМИ, укрепляя тем самым негативные стереотипы о России в мировом общественном сознании.33» Несмотря на то, что издержки по воссоединению Крыма были слишком высоки, политическая власть России пожертвовала имиджем страны на мировой арене, но тем самым решила определенные внутриполитические задачи. Более того, не стоит утверждать, что Крым привнес только имиджевые потери. Другого мнения придерживается И.О.Василенко - доктор политических наук, профессор факультета политологии МГУ им. М.В.Ломоносова - отмечая, что имидж России лишь только усилился, а западные санкции и активизация антироссийской кампании в западных СМИ - это результат контрмер по противодействию «мягкой силы» России:

«Воссоединение Крыма с Россией, которое произошло практически без единого выстрела, показало миру новую сильную и вполне демократическую Россию. Отметим, что новый образ России сформировался благодаря масс-медиа: молодой прокурор Крыма Наталья Поклонская, «вежливые люди» в военной форме, демократические выборы в Крыму, куда люди шли, как на праздник - все это поразило мировую общественность. После Крыма воспроизводить набор привычных клише о России как «отсталой стране» все труднее. Впервые, действия России в Крыму и связанные с ними образы - восхитили общество.»34

Важнейшим внутриполитическим событием, которое оказало ощутимое влияние на формирование «мягкой силы» России - проведение зимних Олимпийских игр в Сочи. По мнению Н.Ю.Маркушиной, доктора политических наук, доцента СПбГУ; и О.Л.Церпицкой, доктора политических наук, доцента СПбГУ; включение элементов внутренней и национальной политики в формирования концепта «мягкой силы» - одна из важнейших задач России35. Проведение зимних Олимпийских игр в Сочи - была одна из таких задач, по результатам которой, мог формироваться имидж России за рубежом. По мнению Президента Олимпийского комитета России А. Жукова:

«Олимпиада - это крупнейшее международное событие, где участвует огромное количество представителей из разных стран, средств массовой информации, оно имеет большой эффект. Олимпиада не только предоставляет хорошую возможность для пропаганды олимпийских идеалов, но и для улучшения имиджа страны.36» Многие эксперты отмечали, что Россия с задачей Олимпиады справилась наилучшим образом, что непосредственно отразилось на имидже России как спортивной и сильной державе. Более того, не смотря на то, что олимпийские игры сами по себе не предполагают соперничество между странами, а спортивные состязания проводятся между спортсменами; большинство населения мира так или иначе все равно воспринимают спортивные успехи своих сборных команд - как успехи государства в целом. Таким образом, получается, что количество завоеванных медалей - есть показатель успешности проводимой страной политики в области спорта.

Однако, современная российская политика в области спорта продолжает сталкиваться с новыми вызовами современности, влияющими на ее имидж. Скандал из-за применения запрещенного препарата мельдония российскими спортсменами после 1 января 2016 года, который был запрещен Всемирной антидопинговым агенством (WADA) 16 сентября 2015 года - повлек ухудшение спортивного имиджа на международной арене. А грядущий чемпионат мира по футболу 2018 года, который будет проведен в России - требует от политического руководства страны такого же пристального внимания как и успешно проведенная Олимпиада в Сочи.

Немаловажным элементом «мягкой силы» Российской Федерации является ее образовательная система, построенная еще в советское время и зарекомендовавшая себя как одна из лучших в мире. Однако, с учетом глобализационных процессов, происходящих в мире, а так же с быстрым развитием информационных технологий, экономическая мировая система как и отечественная требует от сегодняшних выпускников все большего уровня образования, которое бы отвечало современным реалиям. Отсюда, российские высшие учебные заведения, как и различные иностранные ВУЗы, стали менять свою образовательную программу от традиционной к более инновационной, чтобы быть конкурентно способными. Интегрированность в международное научное и образовательное пространство - стало залогом успешности многих учебных заведений. Помимо вышеописанных особенностей сегодняшней образовательной среды, стоит отметить тот факт, что конкуренция между высшими учебными заведениями усилилась, не только из-за финансово-денежных вопросов, качества образования и развития своих собственных научных школ, но и за счет продвижения имиджа государства через образовательные учреждения. Особенным пунктом стоит отметить важность

престижа учебных заведений через количество привлеченных иностранных студентов. Так, по мнению М.М.Лебедевой: «Студенты приобретают ценный социальный капитал и, вернувшись на родину с новым багажом накопленных знаний, связей, симпатий и новых друзей, как правило, становятся эффективными проводниками языка и культуры той страны, где учились. В итоге эффективность воздействия на внешний мир с помощью национального образования как инструмента «мягкой силы» оказывается, в конечном счете, гораздо выше, чем с помощью военных или иных рычагов давления37». Подобное утверждение подтверждает стремление России сегодня все сильнее интегрироваться общемировую образовательную среду, за счет введения

Болонской образовательной системы: разделение специалитета на бакалавриат и магистратуру, тем самым предоставив студентам большую мобильность в приобретении знаний, а так же в возможности подтверждать свой уровень образования по всему миру.

Сегодня курс по интенсивному усилению России в области межкультурного образовательного процесса курируется Министерством Иностранных Дел Российской Федерации, которое разработало «Основные направления политики России в области международного культурно-гуманитарного сотрудничества», утвержденные Президентом России 18 декабря 2008 года. Данный документ содержит в себе основы использования «мягкой силы» России в образовательной международной политике:

«Используя специфические формы и методы воздействия на общественное мнение, культурная дипломатия как никакой другой инструмент «мягкой силы» способна работать на укрепление международного авторитета страны, служить убедительным свидетельством возрождения Российской Федерации в качестве свободного и демократического государства»38.

В рамках научных исследований отечественными политологами концепции «мягкой силы» и ее использование Россией, выделяется работа О.Г.Леоновой, доктора политических наук, профессора факультета глобальных процессов МГУ им. М.В.Ломоносова. В своей работе «Мягкая сила» - ресурс внешней политики государства»39 она отмечает необходимость России учитывать цивилизационный фактор в своей политике: позиционирование с точки зрения цивилизационного центра притяжения для других субъектов мировой политики. С учетом этого, автор выделяет следующие рекомендации для России: использование социокультурного потенциала, наличие национальной идеи, обеспечение национальной безопасности, наличие национального проекта, выражение национального менталитета. Данные характеристики, по мнению политолога способны усилить «мягкую силу» через работу институтов государства. Более того, стоит уделить внимание таким важным аспектам российской действительности как: космическая программа, членство в совете безопасности ООН, опыт сотрудничества многонационального народа России и экономические блага (сырьевые и энергетические возможности России).

Некоторые представители политического истеблишмента России наоборот видят усиление имиджа России за рубежом, через поступательное формирование института гражданского общества в России. Так, Министр иностранных дел РФ С.В.Лавров заявляет: «укрепление институтов гражданского общества, государственная поддержка неправительственных организаций, заинтересованных в обеспечении российских внешнеполитических интересов, должны играть важную роль в том, чтобы Россия заняла достойное, принадлежащее ей по праву место среди ведущих стран мира.»40

Гражданское общество является неотъемлемым признаком демократического развитого правового и социального государства. Наличие гражданского общества и демократических форм управления государством являются не только гарантией соблюдения прав человека в стране, но и незыблемость частной собственности, гарантий бизнесу для проведения инвестиций в экономику. Подобная модель является очень сложной с одной стороны и зависимой от всех составляющих элементов с другой. Однако именно данная модель способствует и формированию положительного образа государства. Подобное уже не первый десяток лет демонстрируют развитые страны Европейского союза, США, Канада, Австралия и другие страны. Именно эту модель и рекомендовал Министр иностранных дел РФ.

Таким образом, можно говорить о том, что практика использования внешнеполитической концепции «мягкой силы» в современной России прошла первые испытания и показала свою действенность. Отмечается связь между внутренней и внешней политикой на формирование «мягкой силы», образа и имиджа государства за рубежом.

Не смотря на то, что технологии политического использования «мягкой силы» усовершенствуются, Россия использует все возможные рычаги, как внешние, так и внутренние, для отстаивания своих интересов в международном пространстве. Научное политическое сообщество вырабатывает необходимые экспертные рекомендации для поступательного улучшения имиджа и для необходимого реагирования на внешние раздражители.

 


ГЛАВА III. ПРИМЕНЕНИЕ ВНЕШНЕПОЛИТИЧЕСКИХ СТРАТЕГИЙ «МЯГКОЙ СИЛЫ» В РАМКАХ МЕЖДУНАРОДНОЙ ПОЛИТИКИ США

.1 Внешнеполитическая стратегия «мягкой силы» в рамках проведения внешней политики США

В 1992 году вышла в свет книга известного американского философа и политолога Френсиса Фукуямы «The end of history and the last man», в которой автор описывает триумф либеральной демократии и всего западного мира после распада Советского Союза. И действительно, можно констатировать тот факт, что после 1991 года мир трансформировался из двуполярной модели в монополярную, в которой ключевую политическую, экономическую и

культурную роль стали играть США. Среди идей о конечности политического прогресса человечества, Фукуяма анализирует «свободу», пытаясь ответить на вопрос, что же человек конца XX начала XXI века пытается вложить в это понятие. Одним из ключевых моментов в анализе этого термина Фукуямой, следует учитывать идею о некой движущей силе, которая старается придать термину «свобода» идею «всеобщего мирового признания» на межгосударственном уровне, которое стало возможным лишь при построении правового демократического государства, в конституции которого закреплено признание положений Всеобщей декларации прав человека ООН. Исходя из этого, прослеживается наличие какой-то скрытой силы, власти, способной не только косвенно изменить предпочтения целых народов, но и задать новый политический тренд на десятилетия вперед.

Подобная скрытая сила, в действительности, всегда присутствовала в жизни человека, однако, ее стали изучать более подробно лишь в начале девяностых годов прошлого века. Термин «мягкая сила» впервые был введен в политический дискурс доктором философских наук, профессором Джозефом Наем в своей работе «Bound to Lead: The Changing Nature of American Power» в 1990 году. В своей работе Д.Най проанализировал политику США того времени, и доказал, что доминирование Вашингтона на мировой арене заслужено не только из-за военной и экономической мощи страны, но и за счет некой третьей составляющей, «мягкой силы», которая обеспечила всеобщее признание США в качестве ведущей мировой державы, провозглашающей мир во всем мире, соблюдение прав человека и либерально-демократического пути развития для всего человечества в качестве незыблемых политических скрижалей нового миропорядка.

Анализируя концепцию «мягкой силы» на примере США, Д.Най отмечал, что культурная составляющая внешней политики Вашингтона играет куда большую роль в формировании привлекательности США за рубежом. Так, одним из первых проявлений «мягкой силы» на международной арене было культурно-идеологическое противостояния США и СССР в ходе холодной

войны, противопоставление демократии и авторитарной системы коммунистов; а с завершением холодной войны - «мягкая сила» США доказала свою эффективность. «Soviet state-run propaganda and culture programs could not keep pace with the influence of America‘s commercial popular culture in flexibility or attraction. Long before the Berlin Wall fell in 1989, it had been pierced by television and movies. The hammers and bulldozers would not have worked without the years long transmission of images of the popular culture of the West that breached the Wall before it fell41.»

Успех внешней политики США Д.Най видит в общей совокупности факторов, способствующих продвижению внешнеполитической концепции «мягкой силы»: культурных ценностно-ориентированных установок, внутренней и внешней политики. «THE IMAGE OF THE UNITED STATES and its attractiveness to others is a composite of many different ideas and attitudes. It depends in part on culture, in part on domestic policies and values, and in part on the substance, tactics, and style of our foreign policies42.»

Однако, среди ученых, которые занимаются исследованиями «мягкой силы» США в контексте международных отношений, находятся и другие мнения, отличающиеся от позиции Д.Ная. Так, по мнению М.В.Братерского, профессора кафедры мировой политики НИУ ВШЭ и А.С.Скрибы, аспиранта кафедры мировой политики НИУ ВШЭ, внешнеполитическая концепция «мягкой силы» США подразделяется на две составляющие - «пассивная мягкая сила» и «деятельная мягкая сила». Данный дуализм концепции проявляет себя в качестве единого механизма достижения внешнеполитических целей. Так, пример использования «пассивной мягкой силы» отмечается как раз в примере падения Советского Союза и провозглашения победы демократических сил в борьбе с коммунистическим режимом в мире. «После распада Советского Союза и мировой социалистической системы многие транзитивные (переходящие от социалистической к иным моделям государственного устройства) страны сами обратили свой взор к США как к давнему и главному защитнику ценностей, которые Фукуяма обозначил как либеральная демократия. Примечательно, что среди этих стран были не только малые государства, но и бывший оппонент последней сверхдержавы по биполярному противостоянию - Россия43.» Что же касается «деятельной мягкой силой», то ученые отмечают: «Она проявляется, когда страна-субъект пытается донести до объекта воздействия свои преимущества и сформировать в его обществе и политической среде (через экономическую, культурную, религиозную и иные сферы деятельности) выгодную для себя ценностную позицию или позицию по тому или иному международному вопросу. Такого рода воздействие (пропаганда) может содержать в себе не только реальные (такие, какими они являются), но и идеальные (такие, какими их должен увидеть объект) составляющие, вполне в духе социалистического реализма44.»

История внешней политики США по большей своей степени характеризуется активным применением не «мягкой силы», а как раз «жесткой силы». Особенно это стало заметно после событий 11 сентября 2001 года, когда террористическая атака на здания Всемирного торгового центра спровоцировало волну критики во внутренних кругах Дж.Буша и вынудила США к началу кампании по борьбе с международным терроризмом. Несмотря на то, что не все цели наземных операций в Ираке и Афганистане были достигнуты, а американские военные «увязли» в этих странах - были как положительные эффекты на формирование мягкой силы, так и отрицательные. Отмечался резкий всплеск антиамериканских настроений по всему миру, особенно в исламских странах. Подобная критика лишь негативным образом отразилась на внешнеполитическую концепцию «мягкой силы» для Вашингтона. Об этом писал в своей работе «The Decline of American Soft Power» известный политолог, критик работ Д.Ная И.Курланчик. Он особенно отмечал рост антиамериканзма, как феномена, в странах, которые априори в контексте исторического опыта всегда были и оставались союзниками Вашингтона в вопросах проведения внешней политики и использования как «жесткой силы» так и «мягкой»: « Australia is not unique. Polls taken in many nations suggest that anti- Bush administration sentiment, which developed between 2002 and 2004, has mutated and strengthened into a broader antiAmericanism45.»

Неудачи в политике приводят и к снижению рейтинга США в других сферах жизнедеятельности общества. «Foreigners are transferring anger at the US government to anger at the United States and anger at US business,‖ agreed Keith Reinhard, head of a coalition of companies, Business for Diplomatic Action, that is concerned about America‘s declining image»46 - подобное отметил глава содружества компаний «Бизнес за дипломатию» Кейт Рейнхард, анализируя отношение иностранцев как к США в целом, так и к американскому бизнесу в мире.

Причинами подобного падения сегодня американский исследователь называет не только военные вторжения стран НАТО в Ирак (статья была написана в декабре 2005 года), но и из-за общего неудовлетворения политикой США.

Так автор отмечает факт неудачной ратификации Киотского протокола, вульгарное и неуважительное поведение американцев за рубежом, неуважение чужих ценностей и интересов в мировой политике.

Государственный департамент США, определяя вектор направленности внешней политики государства, ставит перед собой задачу продвижения в мире демократических принципов и свободы через всеобщее признание основополагающих прав человека всеми государствами членами ООН. Данная стратегия прописана на официальном сайте Государственного департамента США, раскрывая цели и задачи по их достижению. Так, во внешнеполитической концепции США прописано следующее: «Promoting freedom and democracy and protecting human rights around the world are central to U.S. foreign policy.47» Данная задача реализуется через тщательное анализирование каждого государства и составления определенного отчета, который раскрывает положение прав человека и свобод в той или иной стране. Данные отчеты находятся в открытом доступе на официальном сайте Государственного департамента США; более того в них содержатся те положения, которые в первую очередь необходимы для краткого обзора текущей политической обстановки в какой-либо стране мира. Внешнеполитическая концепция «мягкой силы» проявляется в тесном сотрудничестве Государственного департамента США со многими неправительственными организациями по всему миру через систему финансирования и защиты «борцов» за права человека и свободу по всему миру. Подобное положение так же прописывается на сайте Государственного департамента США: «Since Congress established it in FY 1998, the Human Rights & Democracy Fund has been used to fulfill the bureau‘s mandate of monitoring and promoting human rights and democracy worldwide.48»

Как и российская внешнеполитическая стратегия, американская модель проявляется через финансирование различных неправительственных организаций и фондов, которые распространяют идеи прав человека, демократии и свободы по всему миру. Более того, подобные центры и организации работают так же по продвижению особой политической и правовой культуры в тех странах, где уровень демократизации и свобод является недостаточным. Исследования же, помимо Государственного департамента США, по продвижению демократии и свобод проводят так же различные организации, среди которых выделяется Freedom House49.

Особое внимание следует уделить такому феномену как американские средства массовой информации, которые продвигают и распространяют американскую культуру и точки зрения не только в пределах границ США, но и за рубежом. Появление таких медиа-гигантов как CNN, Fox News, Bloomberg - послужило толчком к продвижению позиций США в мире, демонстрацию своего образа жизни, культуры и политических позиций широкому кругу телезрителей. «Мягкая сила» приобрела инструмент «массового воздействия» использования телевидение: «мягкая сила» стала работать через голливудские фильмы и через крупнейшие новостные, музыкальные и развлекательные каналы. Данную точку зрения описывает в своей статье Р.Захарна в статье «The Soft Power Differential: Network Communication and Mass Communication in Public Diplomacy50». К тому же, по мнению исследователя и приводя цитату Р.Калимипура51, средства массовой информации являются индикатором о том, на каком уровне находятся внешнеполитические отношения одного государства с другим. Таким образом, через СМИ достигается возможность продвигать свою внешнюю политику, опираясь на эффекты достижения «мягкой силы» и тем самым навязывать свою политическую позицию другим государствам. Таким образом, возможность использования симбиоза экономической, военной, политической и культурной силы государства косвенно проявляется через установление повестки дня по средствам СМИ.

Одним из самых ярких моментов искусного использования ресурсов СМИ в продвижении внешнеполитической позиции США можно считать события августа 2008 года, с началом активных действий грузинских ВС по отношению к непризнанному государству Южной Осетии. Ведущими телеканалами и средствами массовой информации транслировались события вмешательства Российской Федерации в грузино-осетинский конфликт. Когда российские войска выдвинулись в сторону Цхинвала, мировые СМИ окрестили данное событие как нападение России на маленькую и свободную Грузию. Более того, заголовки и описания того как российские самолеты бомбили Тбилиси - только подкрепили всеобщее убеждение в том, что именно Россия является инициатором войны52.

Таким образом внешнеполитическая стратегия «мягкой силы» США основывается на симбиозе экономической, политической, исторической и культурной силе государства. Доминирование позиций США в мире в 90е года XX века сложили базисное основание для формирования «мягкой силы». Другими словами была сформирована определенная совокупность факторов, позволившие Вашингтону эффективно использовать внешнеполитические ресурсы для продвижения своей политики во всем мире. Однако, подобные успехи были бы невозможны без формирования «мягкой силы» внутри американского общества, через культуру и развитие технологий.

.3 Внешнеполитическая стратегия «мягкой силы» в рамках проведения внутренней политики США

Проведение внутриполитической стратегии «мягкой силы» США без задействования внутренних ресурсов государства было бы невозможно. К внутренним ресурсам для проведения тщательного анализа возможно отнести уровень развития культуры, экономики, спортивные достижения США и уровень образования.

В современном демократическом мире, при формировании «мягкой силы», многие страны мира используют всевозможные рычаги давления для достижения своих интересов во внешней среде. «Твердая сила», или применение военной силы, уходит на второй план. Д.Най, в работе «Soft Power: The Means To Success in World Politics» прописывает данную точку зрения, подкрепляя ее тем, что современные развитые демократические страны мира предпочитают проводить политику обеспечение благосостояния и стабильности в обществе, нежели чем демонстрировать свою силу через военные кампании и жертвы: «Postindustrial democracies are focused on welfare rather than glory, and they dislike high casualties.53» Политолог проводит основополагающую мысль о том, что именно экономическое развитие и политико-идеологическая направленность на приверженность основополагающим правам человека - главный и действенный инструмент демократий по формированию «мягкой силы» в современных условиях.

Для рассмотрения уровня экономического развития современных стран мира с точки зрения уровня жизни населения, необходимо рассмотреть уровень ВВП на душу населения. Статистические данные54, предоставленные Организацией экономического сотрудничества и развития (ОЭСР) за 2016 год, представляют собой наиболее эффективным маркером развития благосостояния общества. Согласно данным ОЭСР, США занимают 9 строчку в рейтинге, что само по себе является неплохим показателем общего экономического уровня благосостояния населения. Обгоняя показатели Еврозоны, стран Азии и Африки, США привлекают сотни тысяч мигрантов со всего мира, с точки зрения страны, которая добилась высоких показателей за свою историю через те политические и культурные ценности, которым привержен весь американский народ. Данная точка зрения является доказательством для многих людей на планете, что именно американская культура, основанная на демократичности, частной собственности и идеи предпринимательства - способна принести такие результаты.

Д.Най отмечал важность общественной жизни, ее значение на формирование «мягкой силы». Выделяя такие принципы как индивидуализм, демократический и плюралистический характер общественных отношений, открытость и дружелюбность американцев, Д.Най отмечал55 сильные стороны американской «мягкой силы».

Учитывая важность образовательной сферы для формирования «мягкой силы», которую описывала М.М.Лебедева в работе «Высшее образование как потенциал «мягкой силы» России56», возможно проследить ее эффективность и на примере США.

Принимая во внимание сильнейший потенциал высшего образования в США, в качестве продвижения ценностно-ориентированных и жизненных установок среди выпускников, необходимо рассмотреть рейтинги ведущих университетов мира. Согласно статистики компании Quacquarelli Symonds (QS), которая обновляется ежегодно, в пятерку лучших высших учебных заведений мира входят следующие образовательные учреждения: Массачусетский технологический институт (США), Гарвардский университет (США),

Кембриджский университет (Великобритания), Стэнфордский университет (США), Калифорнийский технологический институт (США)57. Подобная статистика говорит лишь о высоком уровне образования в США, который привлекает десятки тысяч студентов со всего мира.

Продвижение «мягкой силы» государства через образовательную сферу анализировали так же доктора философских наук Университета Гази (Анкара), факультета международных отношений А.Амирбек и К.Удурус. В своей статье

«Education And Soft Power: Analysis As An Instrument Of Foreign Policy», написанной в 2014 году, политологи указывают на то, что образовательная сфера как никогда становится одной из ведущих направлений по продвижению «мягкой силы» государства среди иностранных студентов: «The provision of educational opportunities for foreign students is one of the most important instruments of soft power of the state.58» Так же, в своей работе политологи отмечают ведущую роль США, указывая на возможность распространения «мягкой силы» не только в региональном, но и в глобальном масштабе59.

Таким образом, благодаря высокому уровню образования высших учебных заведений, наблюдается лидерство США в данном направлении.

Внешнеполитическая стратегия «мягкой силы» США эффективно проявила себя в результате высокого уровня технологического и информационного прогресса, который смогла достичь эта страна за последние пол века. Всеобщая компьютеризация, процесс вовлечения все большего количества людей в общемировую сеть Интернет, доступность любой информации - привели к сдвигу характеристик, которые присущи сегодня сильному государству. Так, Д.Най в работе «The Information Revolution and Soft Power», написанная в 2014 году, отмечал: «A powerful navy is important in controlling sea lanes; it does not provide much help on the internet60.» Интернет, сетевые технологии и коммуникации - выходят на первый план в рамках обретения стратегического доминирования в мире. США сегодня представляют такие крупные компании как Facebook, Twitter, Google; технологии которых широко используются по всему миру, в том числе для продвижения интересов Америки в политическом плане. Так, например, Арабская весна и выход тысяч граждан североафриканских стран на улицы городов - результат использования современных технологий и социальных сетей. Именно они позволили мобилизовать народны массы на масштабные демонстрации.

Помимо технологий, культурный аспект общества потребления - играет ключевую роль в современном преобразовании мира. С 1990х годов, когда многие авторитарные режимы пали, а бывшие страны социалистического блока перешли на новую рыночную экономику, через глобализационные процессы пошла экспансия ведущих американских компаний в те страны, в которых раньше их продукция не была представлена. Известные компании, такие как Coca-Cola, Pepsi, McDonald's, Starbucks и др. стали символом нового времени и целого поколения, которые выросли во времена глобальных перемен. Именно эти компании им широко известны с экранов телевизоров, именно мультфильмы компании Disney они смотрели в 90е годы, именно голливудские фильмы - стали проводниками в новую жизнь. А с этими продуктами и распространялась «мягкая сила» США, через ту культуру и музыку, образы и картинки. Настолько сильной скрытой культурной экспансии через средства массовой информации еще не было.

Таким образом, завершая эту главу, можно прийти к выводу о том, что внешнеполитическая стратегия «мягкой силы» США - есть совокупность как спланированной и продуманной тщательной политики между применением силы и попытками добиться желаемого результата через «мягкую силу». Сегодня, Вашингтон, обладая наибольшим потенциалом «мягкой силы» в мире, ведет политику по ее закреплению и реализации мер по сглаживанию негативных тенденций, которые могут отразиться на образе США в целом. Неудачные политические ходы, допущенные Вашингтоном в Афганистане и Ираке, затем в Ливии, требует от политиков тщательного анализа по минимизации политических издержек. Не смотря на «промахи» в политическом плане, США остаются центром, который привлекает миллионы людей со всего земного шара своей культурой, образом жизни, технологиями и ценностями, по которому живет американское общество.

ГЛАВА IV. СРАВНИТЕЛЬНЫЙ АНАЛИЗ ПРИМЕНЕНИЯ «МЯГКОЙ СИЛЫ» ВО ВНЕШНЕЙ ПОЛИТИКЕ США И РОССИИ

.1 Индекс «мягкой силы» в политической науке

С появлением термина «мягкой силы» в политологическом дискурсе, многие ученые и эксперты стали задаваться вопросом проведения практического исследования данного феномена политологическими методами. Несмотря на то, что сам термин по себе очень размыт и ученые до сих пор спорят о тех, или иных его составных частях, которые могут оказывать влияние на политического противника с нужной для страны-инициатора стороны; в современной политологии существует математический метод, позволяющий проводить практические исследования даже таких сложных явлений как «мягкая сила». Для эффективного использования математического метода в политической науке, как и в точных науках - необходимо выработать шкалу исчисления, найти зависимые переменные и разработать формулу, по которой

будет высчитываться тот или иной индекс.

Математический метод имеет как свои плюсы так и минусы. Однако используя его совместно со сравнительным методом, исследователь может получить точные более дополняющие значения, необходимые для составления общего сравнительного анализа исследуемого.

Феномен «мягкой силы» в политической науке стал исследоваться очень широко с 2000х годов, и через 10 лет возникла первая необходимость его расчета и разбивки на переменные, которые являются составной частью единого феномена.

Первые попытки рассчитать индекс «мягкой силы» были предприняты в 2010 году британской благотворительной организацией Institute for Government (IfG) и известной медиа-компанией Monocle. Работа «The new persuaders: an international ranking of soft power III: A 2012 Global Ranking of Soft Power61» была написана в 2012 году Д.МакКлори и является продолжением многолетнего исследования по проблеме подсчета индекса «мягкой силы».



Каждая составная часть «мягкой силы» по Д.МакКлори подразделяется на подкатегории.

Culture. Культура - основополагающий составной элемент «мягкой силы». То на сколько привлекательна культура государства гражданам другой страны и определяет ее главную силу. По мнению исследователя Д.МакКлори, culture включает в себя такие подкатегории как: туризм (общее количество туристов, приезжающих в страну каждый год), траты туристов (среднее значение трат туристов, выраженное в долларах США по ценам 2010 года), медиа-ресурс (среднее количество телезрителей и радиослушателей основных государственных/национальных телевизионных каналов и радиостанций), общее количество иностранных корреспондентов в стране, язык (его распространенность в мире, общее количество разговаривающих и т. д.), олимпийский индекс (общее количество золотых медалей, завоеванных страной по прошествию последних зимних и летних Олимпийских игр), рынок музыкальной продукции (общемировой показатель объема рынка музыкальной продукции данного государства), количество проданных альбомов отечественных артистов за рубежом, посещаемость музеев (общее количество туристов, посетивших художественные музеи страны, согласно рейтингу Топ 100 художественных музеев мира), объекты мирового культурного наследия (рассчитывается по данным UNESCO), рейтинг футбольной сборной команды страны (рассчитывается по рейтингу FIFA), количество фильмов, получивших международные награды (согласно данным о проведении Каннского кинофестиваля, кинофестиваль «Санденс» и др.)64.Goverment. Развитость институтов гражданского общества, институтов государства и их участие в общественно-политической жизни, по мнению Д.МакКлори - является показателем развитости демократических институтов, что в свою очередь ведет к созданию привлекательного имиджа государства: «A successful model of domestic government is an important feature of a nation‘s overall attractiveness65». Данная составляющая часть включает в себя следующие подуровни: Индекс человеческого развития - UN HDI Score, эффективность государственных институтов - government effectiveness (рассчитываемый и представленный статистикой международной финансовой организацией Всемирный банк), уровень свобод - individual freedom (индекс политических и личных свобод рассчитываемый по статистике Freedom House Index), демократические институты - democratic institutions (индекс демократических свобод рассчитываемый по статистике The Economist Freedom Index), количество аналитических центров - think-tank presence (общее количество аналитических центров в стране), уровень теневой экономической деятельности - shadow economy, уровень насилия - violence in society (уровень убийств на 1000 человек), уровень подотчетности правительственного аппарата - government accountability, смертная казнь как мера высшего наказания за совершение тяжких и особо тяжких преступлений - capital punishment, уровень доверия к правительству - trust in government, неравномерность в распределении доходов населения - income inequality66. Diplomacy. Дипломатия как показатель ведения международной политики государства - является одним из самых главных показателей в данной системе. Только взвешенные внешнеполитические действия способны придать государству необходимый уровень привлекательности на международной арене. Внешнеполитический имидж оценивается не только работой международных ведомств и посольств, но и политическими заявлениями, участию в тех или иных международных организациях, наднациональных объединениях, союзах и блоках. Согласно Д.МакКлори diplomacy включает в себя следующие составляющие: международная помощь (пропорциональный индекс) - foreign aid (proportional) (международная помощь, оказанная другим государствам в процентном соотношении от ВНД), международная помощь (общий индекс) - foreign aid (total) (общий объем оказанной международной помощи другим странам), количество стран для безвизового въезда - visa free travel, количество культурных центров в других странах - number of cultural missions, количество дипломатических представительств в других странах - diplomatic presence in country, общее количество посольств и консульств за рубежом - global diplomatic footprint, количество постоянных дипломатических миссий в международных организациях - diplomatic resource for multilateral organisations; количество международных организаций в которых страна является членом - global network, количество подписанных природоохранных международных договоров - environmental awareness and action, количество соискателей статуса беженца - opennes to asylum seekers67.

Business/Inovation. Упоминание необходимости развития в условиях глобализации международных компаний для большей узнаваемости страны на международной арене и для формирования «мягкой силы» было описано выше на примере таких корпораций как Coca-Cola, Sturbucks, McDonalds. Д.МакКлори придерживается такого же мнение и подразделяет данный блок на следующие составные части: количество международно-признанных патенто- international patents, уровень конкурентоспособности национального бизнеса - business competitiveness, уровень коррупции - level of corruption (данный индекс рассчитывается согласно данным организации Transparency International), инновационность - innovation (индекс инновационности), объем иностранных инвестиций - foreign investment, доступность сети интернет - internet connectedness68.Education. Система образования, построенная на конкурентной основе и отвечающая требованиям современного общества - есть среда, которая используется для расширения влияния эффекта «мягкой силы» на иностранных студентов, приезжающих на обучение в страну.

Д.МакКлори определяет следующие составные части education: качество начального и среднего образования - quality of primary and secondary education, качество образования в высших учебных заведениях - quality of universities, количество иностранных студентов, которые обучаются в стране - foreign students, академический рейтинг - academic publishing (количество статей, опубликованных в академических журналах (рейтинг стран))69.Для осуществления производства расчетов, Д.МакКлори использовал шкалу от 0 до 1, в которую переводил значения подиндексов каждой составной части «мягкой силы», а затем находил среднее значение, которое для лучшего анализа было умножено на значение 10.

Таким образом, исследователь впервые в истории политической науки смог просчитать индекс «мягкой силы» по странам, а так же выделить страны- лидеры из каждой отдельной подсистемы. Полученные значения опубликованы автором в исследовательской статье. Пятерку стран, с наивысшим рейтингом занимают: Великобритания, США, Германия, Франция, Швеция. Российская Федерация по выполненному математическому анализу оказалась лишь на 28 месте в рейтинге стран по индексу «мягкой силы». Рассматривая рейтинг по подкатегориям, исследователь приходит к следующим результатам: в категории government первые строчки занимают: Норвегия, Швейцария, Швеция; в категории culture лидируют: США, Великобритания, Франция, Австралия, Германия; категорию diplomacy возглавляют: Франция, Великобритания, Германия, США, Швеция; в education места распределились следующим образом: США, Великобритания, Австралия, Германия, Китай; business/innovation - Финляндия, Швейцария, Сингапур, Швеция, Дания70.Общая таблица исследования71 и таблица ранжирования подиндексов72 представлены ниже. Согласно проведенным исследованиям Д.МакКлори, можно сделать вывод о том, что наибольшим потенциалом «мягкой силы» в современном мире обладают развитые демократические страны, с рыночной открытой экономикой, политика которых направленна на формирования условий для максимального развития гражданских инициатив и технологического прогресса. Данная зависимость вполне объяснима общими глобализационными мировыми процессами, при которых только открытые экономики добиваются роста как экономического, так и политического. Политическое влияние в глобальном масштабе прямо пропорционально уровню развития всех сфер общественной жизни.

Дальнейшая работа, заслуживающая внимания Д.МакКлори это «The Soft Power 30: A Global Ranking of Soft Power73», написанная автором в 2015 году в тесном сотрудничестве с Д.Наем и международным консалтинговым агентством Portland. В данном исследовании была применима немного другая система расчета индекса «мягкой силы», так если в первой работе автор умножал значение на 10, то в данной работе была использована шкала 0 - 100, где 0 минимальное значение индекса «мягкой силы», а 100 максимальное значение. Использование более широкого круга источников информации, позволило уточнить исследователю значения различных подиндексов. Так же были добавлены и новые подиндексы. Среди них автор использовал следующие: digital, culture, enterprise, engagement, education, government, subjective data, global polling74. Проведенное исследование выстроило более полную таблицу ранжирования стран по индексу «мягкой силы». Так, в 2015 году в пятерку стран с наибольшим значением «мягкой силы» входили: Великобритания (75,61), Германия (73,89), США (73,68), Франция (73,64), Канада (71,71)75; Российская Федерация не вошла в список 30 ведущих стран в данном исследовании.В дополнении к большому исследованию, было составлено наглядное изображения ранжирования стран по рейтингу подиндексов76. Согласно данному графику, развитые страны с открытой рыночной экономикой занимают первые позиции во всех категориях, что дает им наибольший показатель в составлении общего индекса «мягкой силы».Кроме Д.МакКлори, подсчетами и сравнением «мягкой силы» по странам занимался аналитический центр Испании - Королевский Институт Элкано (El Real Instituto Elcano de Estudios Internacionales y Estratégicos), который занимается изучением проблематики в области международных отношений и в выработке стратегических решений. Несмотря на то, что аналитический центр напрямую не занимается расчетом индекса «мягкой силы», значение мировой вовлечѐнности стран в международные отношения, бизнес, общественную жизнь - есть показатель, который необходим политическим исследователям, занимающимся изучением внешнеполитической стратегии «мягкой силы».

Доклад аналитического центра «Informe Elcano de Precencia Global» за 2016 год - является одним из самых новых источников информации для исследования «мягкой силы» в общемировом масштабе. Рассчитываемы индекс мировой вовлеченности, испанские исследователи использовали так же фактор применимости «мягкой силы» (Presencia blanda), которую подразделяют на следующие составные элементы: migraciones (миграция), turismo (туризм), deportes (спорт), cultura (культура), información (сми), tecnología (технологии), ciencia (наука), educación (образование), cooperación al desarrollo (уровень международного сотрудничества в сфере развития)77.Согласно представленным данным, по расчету мирового присутствия стран в общемировом масштабе, в отличие от доклада консальтингового агенства Portland, наблюдается совсем другая расстановка стран. Лидирующие позиции занимают США, КНР, Германия, Великобритания и Россия:


Королевский институт Элкано использовал так же в своем расчете экономические и военные факторы. С другой стороны, влияние экономики и военно-промышленного комплекса на формирование положительного имиджа за рубежом как сильной экономической и военной державы, способной противостоять воздействию из вне имеет место быть. Таким образом, формирование положительного имиджа страны, напрямую зависит не только от культурной составляющей страны, но и от развитости экономики, военной сферы; что в свою очередь формирует те необходимые ресурсы для использования внешнеполитической концепции «мягкой силы» с учетом национальных интересов страны.

В рамках заявленных практических целей и задач исследования, анализируя все вышеперечисленные способы исчисления «мягкой силы», необходимо составить универсальную формулу индекса «мягкой силы», которая могла бы отображать все заявленные ранее переменные и способствовать подсчету единого результата. В ходе выполнения практической работы по созданию необходимого алгоритма исчисления, были взяты за основу исследовательские работы Д.МакКлори. Более того, в задачу составления формулы исчисления индекса «мягкой силы» была включена проблема ее дальнейшего практического применения политологическим сообществом. В результате, была получена универсальная формула, переменные которой можно дополнять и менять, а полученный результат от включения в формулу дополнительных подиндексов становится более точным.

Индекс «мягкой силы» есть сумма - индекса «культурной привлекательности», индекса «государственности», показателя вовлеченности государства в мировую политическую жизнь, экономического показателя - деленная на общее количество индексов, на 4. Имеем следующую формулу:


Где, SP - индекс «мягкой силы», C - индекс «культурной привлекательности», G - индекс «государственности», IR - показатель эффективности и вовлечѐнности государства в мировую политическую жизнь, а переменная E - экономический показатель.

Индекс культурной привлекательности состоит из следующих составляющих: где T - количество приезжающих туристов из других стран в год, Un - количество объектов UNESCO, L - индекс мирового языка (где китайский 10, английский 9, …, русский 6 и т. д.) определяющийся по кол-ву говорящих в мире, OMs - количество золотых олимпийских медалей завоеванных страной на последней летней олимпиаде, OMw - количество золотых олимпийских медалей завоеванных страной на последней зимней олимпиаде, QS - количество университетов в стране, которые попали в международный рейтинг «ТОП 200» (THES - QS World University Rankings), IS - количество иностранных студентов обучающихся в государстве, ES - траты государства в % соотношении от ВВП на образование, N - количество нобелевских лауреатов за все время. Сумма значений индекса культурной привлекательности делится на общее количество составляющих, на 9, что позволяет добавлять дополнительные переменные.

Для вычисления индекса «культурной привлекательности» используется следующая формула:


Индекс «государственности» состоит из переменных, которые непосредственно играют ключевую роль в понимании насколько государство демократично, открыто, уважает права человека. Таким образом имеем формулу:


где, HDI - значение ИЧР страны; F - значение «свободы» по рейтингу Freedom House, WPFI - уровень свободы прессы по World Press Freedom Index по рейтингу Reporters Without Borders, CPI - уровень коррупции согласно Transparency International, G - эффективность государственного управления по данным World Bank. Сумма значений индекса государственности делится на общее количество составляющих, на 5, что позволяет добавлять дополнительные переменные.

Для просчета индекса вовлеченности государства в мировую политику, используем формулу:


где IR равняется сумме показателя количества стран (VF) у государства граждане которого имеют право на безвизовый въезд в страну исследования и значения является ли страна членом совета безопасности ООН или нет (да - значение 1, нет - значение 2).

Значение Е - высчитывается по показаниям ВВП (ППС) на душу населения, по значениям МВФ, где у Катара самое большое значение 143 427 доллара США и равняется 10 пунктам. Таким образом, для вычисления других показателей, необходимо найти пропорциональное решение.

Данный алгоритм позволяет производить сравнительные исследования «мягкой силы» дополняя общую формулу и используя другие переменные. Просчитанный индекс «мягкой силы» имеет следующую шкалу, где значения около 0 - самые слабые, а значения стремящиеся к 10 - являются идеальными.

.2 Сравнительный анализ применения внешнеполитической концепции «мягкой силы» во внешней политике США и России

В ходе осуществления практической части исследования, была составлена универсальная формула по подсчету индекса «мягкой силы», позволяющая политическим исследователям менять необходимые переменные таким образом, что конечный результат от производства вычисления становился более точным и репрезентативным. Однако, заявленный базисный уровень переменных определен выше.

Для проведения сравнительного анализа внешнеполитических концепций «мягкой силы» США и Российской Федерации, необходимо, в первую очередь получить данные индекса «мягкой силы», которая имеется в наличии. Зная, что индекс «мягкой силы» есть сумма - индекса «культурной привлекательности», индекса «государственности», показателя вовлеченности государства в мировую политическую жизнь, экономического показателя - деленная на общее количество индексов, на 4, мы можем вставить необходимые значения и впервую очередь определить значения четырех переменных.

Найдем индекс «культурной привлекательности», вычислив необходимые составные части:

1)  T - количество приезжающих туристов из других стран в год. Данное значение рассчитывается согласно статистическим данным Всемирной туристической организацией79. Так, согласно данным за 2014 год, США посетили 74,8 миллиона человек, когда как Россию всего 29,8 миллионов. Для перевода данных в таблицу расчета, где 10 - максимальное значение показателя, а 0 - минимальное значение; необходимо произвести следующие арифметические расчеты: помножить 74,8 миллионов на 10 в минус 7 степени и помножить 29,8 миллионов на 10 в минус 7 степени. Таким образом имеем следующие значения показателя Т: США 7,4 / Россия 2,9;

2)       Un - количество объектов UNESCO. Данное значение рассчитывается по данным самой организации UNESCO80 81. Общее количество объектов UNESCO в США 23, в России 26. Для перевода данных показателей в шкалу от

до 10 применяется формула, где значения помножаются на 0,1. Таким образом значение Un: США 2,3 / Россия 2,6;

3)  L - индекс мирового языка определяющийся по количеству говорящих в мире. Но для перевода в нашу шкалу, необходимо будет произвести расчет пропорции, где первый язык в мире по общему количеству говорящих имеет значение 10, а языки в общей графе распространенности после 10 порядка имеют ноль. За статистические данные берется показатель международной неправительственной организации SIL International82. Таким образом, имеем следующие показатели L: США 8 / Россия 6;

4)     OMs - количество золотых олимпийских медалей завоеванных страной на последней летней олимпиаде. Статистика летних Олимпийских игр 2012 года, которые проходили в Лондоне, возможно посмотреть на официальном сайте международного олимпийского комитета83. Для расчета значения, необходимо взять количество золотых медалей, завоеванных страной и умножить на 0,1. Общее количество завоеванных золотых медалей: США 46, Россия 24. Таким образом имеем OMs: США 4,6 / Россия 2,4;

5)  OMw - количество золотых олимпийских медалей завоеванных страной на последней зимней олимпиаде. Статистика зимних Олимпийских игр 2014 года, которые проходили в Сочи, возможно посмотреть на официальном сайте международного олимпийского комитета84. Для расчета значения, необходимо взять количество золотых медалей, завоеванных страной и умножить на 0,1. Общее количество завоеванных золотых медалей: США 9, Россия 13. Таким образом имеем OMw: США 0,9 / Россия 1,3;

6)   QS - количество университетов в стране, которые попали в международный рейтинг «ТОП 200» (THES - QS World University Rankings85). По статистическим данным рейтингового агентства в рейтинг «ТОП 200» входят 49 университетов США и 1 университет Российской Федерации. Для преобразования полученного значения, необходимо умножить его на 0,1. Таким образом получаем QS: США 4,9 / Россия 0,1;

7)    IS - количество иностранных студентов обучающихся в стране исследования. Статистика студенческой мобильности изучается и просчитывается UNESCO. На официальном сайте организации представлена интерактивная карта, с имеющимися значениями, необходимые для просчета IS. Так, в США обучаются 784 427 иностранных студентов, когда как в России всего 138 469. Для перевода данных в таблицу расчета, где 10 - максимальное значение показателя, а 0 - минимальное значение; необходимо произвести следующие арифметические расчеты: помножить 784 427 на 10 в минус 5 степени и помножить 138 469 на 10 в минус 5 степени. Таким образом имеем IS: США 7,8 / Россия 1,3;

8)   ES - траты государства в % соотношении от ВВП на образование, значение которого получается из статистических данных сетевого ресурса NationMaster86. Процент расходов на образование в США - 5,4% от ВВП, в России - 4,1%. Имеем значение ES: США 5,4 / Россия 5,4;

9)  N - количество нобелевских лауреатов за все время. Согласно данным сайта Нобелевской премии87, с 1990 года по 2016 год мы имеем следующие значения: США - 115 нобелевский лауреатов, Россия - 5. Для перевода данных в таблицу расчета, где 10 - максимальное значение показателя, а 0 - минимальное значение; необходимо произвести перерасчет, где n>100 равняется 10, а остальные значения делятся на 10. Получаем значение N: США 10, Россия 0,5.

Просчитав все необходимые значения индекса «культурной привлекательности», можно выделить среднее значение. Для этого необходимо сложить все полученные показатели и разделить на общее количество переменных. Получаем значение С: США 5,7 / Россия 2,3.

Далее необходимо найти индекс «государственной привлекательности» для каждой страны исследования. Сумма значений индекса «государственной привлекательности» делится на общее количество составляющих, на 5, что позволяет добавлять дополнительные переменные при необходимости. Рассчитаем базовые значения:

1) HDI - значение ИЧР страны. Для определения значения переменной, необходимо воспользоваться статистическими данными, предоставленные ООН на официальном сайте подразделения, которое ежегодно производит подсчет данного значения88. Для перевода данных в таблицу расчета, где 10 - максимальное значение показателя, а 0 - минимальное значение; необходимо произвести следующие арифметические расчеты: HDI страны помноженное на

10. Таким образом имеем следующие значения HDI: США 9,15 / Россия 7,98;

2)   F - значение «свободы» по рейтингу Freedom House89; Исходя из последних доступных данных, в которых США имеет показатель свобод 1, Россия 6; и произведя перевод данных в таблицу расчета, где 10 - максимальное значение показателя, а 0 - минимальное значение; получаем следующие значения F: США 10 / Россия 5;

3)   WPFI - уровень свободы прессы по World Press Freedom Index по рейтингу Reporters Without Borders90. Согласно последнему отчету за 2016 год, США и Россия имеют следующие значения соответственно: 22,49 и 49,03. Для перевода данных в таблицу расчета, где 10 - максимальное значение показателя, а 0 - минимальное значение; необходимо произвести следующие арифметические расчеты: 100 минус значение World Press Freedom Index помноженное на 0,1. Таким образом имеем следующие значения WPFI: США 7,7 / Россия 5,0;

4)   CPI - уровень коррупции, который высчитывается согласно статистическим данным всемирной организации Transparency International. На официальном сайте аналитического центра есть возможность посмотреть самые последние данные за 2015 год. Согласно этим данным, индекс коррупции США сегодня составляет 76, а России 2991. Для преобразования индекса Transparency International в необходимые нам значения, мы помножаем их на 0,1. Таким образом CPI: США 7,6 / Россия 5,1;

5) G - эффективность государственного управления рассчитывается через показатели организации Всемирный банк. Согласно официальной статистике сайта организации, эффективность управления в США равняется 89,9, тогда как в России всего 51,4. Для перевода данных в таблицу расчета, где 10 - максимальное значение показателя, а 0 - минимальное значение; необходимо произвести следующие арифметические расчеты: помножить полученные данные на 0,1. Таким образом получаем G: США 8,9 / Россия 5,1.

Просчитав все необходимые значения индекса «государственной привлекательности», можно выделить среднее значение. Для этого необходимо сложить все полученные показатели и разделить на общее количество переменных. Получаем значение G: США 8,6 / Россия 5,1.

Далее необходимо найти индекс «вовлеченности в мировую политику» для каждой страны исследования. Сумма значений индекса «вовлеченности в мировую политику» делится на общее количество составляющих, на 2, что позволяет добавлять дополнительные переменные при необходимости. Рассчитаем базовые значения:

) VF - количество стран с возможностью безвизового въезда. Согласно информации международной компании henley global, которая занимается планированием местожительства и вопросами переезда92, на сегодняшний день российские граждане имеют возможность въезда в 100 стран мира не имея при этом визу, когда как граждане США имеют возможность посетить без оформления виз 172 страны мира. Для перевода данных в таблицу расчета, где

- максимальное значение показателя, а 0 - минимальное значение; необходимо произвести следующие арифметические расчеты: помножить полученные значения статистики на 100, затем разделить на общее кол-во стран ООН и помножить на 0,1. Таким образом получаем значения VF: США 8,9 / Россия 5,1.

UN - членство в совете безопасности ООН. Это значение определяется по факту участия или не участия страны в качестве постоянного члена совета безопасности ООН с правом наложения вето. Если страна является членом совета безопасности ООН, то значение 1, если нет, то 0. Таким образом имеем следующее значение UN: США 1 / Россия 1.

Просчитав все необходимые значения индекса «вовлеченности в международную политику», можно выделить среднее значение. Для этого необходимо сложить все полученные показатели и разделить на общее количество переменных. Получаем значение G: США 8,6 / Россия 5,1.

Далее необходимо найти индекс «экономики» для каждой страны исследования. Рассчитаем базовые значения:

1)  E - экономика, которая определяется показателем ВВП на душу населения в мире. Значение данного блока требуют анализа статистических данных МВФ93, где у Катара самое большое значение 143 427 доллара США и равняется 10 пунктам. Таким образом, для вычисления других показателей, необходимо найти пропорциональное решение. Значение США - 55 805 долларов США на душу населения, России - 24 411 долларов США на душу населения. Таким образом имеем значения по пропорциональному расчету Е: США 3,8 / Россия 1,7. Эти же полученные значения и являются значениями Е для общей формулы расчета индекса «мягкой силы».

Просчитав все необходимые значения индекса «культурной привлекательности», «индекса государственности», «индекса вовлеченности в мировую политику» «экономики», можно выделить среднее значение индекса «мягкой силы». Для этого необходимо сложить все полученные показатели индексов, которые были вычислены выше, и разделить их на 4. Проведя все необходимые расчеты имеем SP: США 5,7 / Россия 3. Результаты вычислений всех переменных и окончательных значений отображены в таблице94.

Математический метод исследования позволил отобразить точные значения индекса «мягкой силы» США и России для дальнейшего осуществления сравнительного анализа, в рамках достижения всех поставленных целей исследования.

Сравнительный метод в политологической науке предполагает сравнение двух политических явлений, нахождение в них сходств и различий, выявление определенных закономерностей. На основе проведенного математического метода, анализируя полученные переменные, необходимо еще раз вернуться к полученным результатам.

Для первого сравнения необходимо вновь вернуться к индексу

«культурной привлекательности», который является одним из стержневых элементов общего индекса «мягкой силы», включающий в себя 9 составных частей. Именно культура и ее сила - является движущей и основополагающей частью всего расчета. Значение США 5,7, России 2,3. Во всех основных показателях тут, Россия уступает США. К примеру, именно посещение туристов страны из других стран обуславливает продвижение имиджа за рубежом. Несмотря на то, что Россия находится близко к богатым европейским странам, туристический поток не столь велик. Это результат общей политики государства в данном направлении, в развитии инфраструктуры и гостиничного дела. Необходимы инвестиции как частных инвесторов, так и государства для привлечения большего количество гостей в Российскую Федерацию.

В образовательной сфере, которая могла бы быть отдельной, но тем не менее входит в культурный блок; просматривается та же тенденция. Не смотря на то, что недавно в стране был осуществлен переход на болонскую систему, наблюдается отставание отечественного образования от уровня образования США. Отличительной особенностью данного отставания - это различные типы образовательных систем. В США образование носит прикладной характер, инновационный, прогрессивный; когда как в России это больше академическая сфера деятельности, посвященная фундаментальным исследованиям. Однако, при активном участии Правительства Российской Федерации сегодня в России намечена тенденция к изменению положения вещей. Ярким примером может являться Сколково.

Показатель иностранных студентов, обучающихся в стране - один из самых ярких показателей привлекательности не только образовательной системы государства в целом, но и самой культурно-идеологической средой, которая создает предпосылки для развития личности во всех направлениях. Однако, стоит отметить, что именно развал Советского Союза, образовательной школы и традиции прошлого могло ударить по отечественному образованию. Сегодня, в Россию в основном едут студенты бывших социалистических республик, стран СНГ. Таким образом, это дает возможность Российской Федерации не только укрепить свой имидж в глазах иностранных студентов, но и привить им те ценности, по которым живет российское общество.

Несмотря на то, что траты на образование в процентном соотношении от ВВП по значениям индексов у двух стран не сильно отличаются, стоит понимать разность самого уровня ВВП.

Таким образом, в одном из самых больших блоков Россия отстает от США: среднее значение 5,7 против 2,3.

Индекс государственности (G), который просчитывался на основании уровня свободы и демократии в обществе, уровня свободы прессы, уровня коррупции и общей эффективности управления, так же имеет отличия. Значение США 8,6 против 5,1 у России. Не смотря на то, что Россия только недавно встала на путь демократических преобразований и по сути является молодым демократическим государством, в России наблюдается сильная зависимость от исторического прошлого. Политическая, гражданская культура не так развиты как в США. Это сказывается на взаимоотношениях общества и власти на всех уровнях. Нередки случаи злоупотреблений властными полномочиями и взяточничеством. Именно поэтому Российская Федерация отстает от США. Общий имидж государства и инвестиционная привлекательность слабее, по сравнению с США.

Индекс вовлеченности в международную политику, есть показатель общего взаимоотношения между странами. Значения полученные в данном блоке не столь различны друг от друга.

Что касается экономической составляющей, заметна разница в уровнях дохода населения. Подобная тенденция прослеживается на всем историческом этапе последних тридцати лет. Однако, стоит отметить, что уровень ВВП на душу населения в России несомненно вырос, в сравнении с уровнем 1990х годов. Поэтому дальнейшее экономическое и поступательное развитие государства в рамках глобализации и рыночной экономике - несомненно приведет к росту и этого показателя.

Таким образом, общее различие между «мягкой силой» США и России - составляет 2,7 пункта, что является очень существенным различием. Не смотря на это, внешнеполитическая концепция «мягкой силы» в России находится на стадии своего становления и развития, что отображено в Главе III. Попытки Правительства Российской Федерации и Президента Российской Федерации В.В.Путина по улучшению имиджа России на международной арене начинают приносить политические дивиденды. Активное использование СМИ, спорта, ВС РФ, дипломатии, культуры народов России - помогают в становлении отечественной «мягкой силы». Более того, активные шаги по институциональному изменению в рамках правительственных министерств и ведомств (к примеру создание таких федеральных агенств как Россотрудничество) могут повысить эффективность в достижении поставленных внешнеполитических целей через использование стратегии «мягкой силы».

 


ЗАКЛЮЧЕНИЕ


Поставленная цель - проведение сравнительного анализа «мягкой силы» США и России, с целью вычисления зависимых переменных, влияющих на формирования общего индекса «мягкой силы» с последующим анализом слабых сторон внешнеполитической стратегии «мягкой силы» во внешней политике России - в ходе исследования была достигнута. Было выяснено, что «мягкая сила» - это форма политической власти, отличная от «жесткой силы», которая используется различными политическими субъектами (чаще всего государствами) в достижении своих как внутренних, так и внешнеполитических целей, не прибегая к применению военного или же экономического принуждения для изменения действий другого политического субъекта. Данное определение было раскрыто через различные методы политологического исследования, которые включали в себя следующие подходы: системный, социологический, ценностно-нормативный, антропологический и бихевиористский.

В рамках проведенного исследования были установлены основные характеристики политологического термина «мягкая сила». Так, было установлено, что внешнеполитическая стратегия «мягкой силы» обладает набором определенных составных частей, без которых данная стратегия не может реализовываться. Среди них: культура, экономическое благосостояние населения, уровень образования, уровень развития дипломатии, участие государства в различных внешнеполитических блоках и союзах, инновационность экономического развития, уровень развития предпринимательства и наличие в государстве транс-национальных корпораций, уровень демократизации политического процесса, наличие гражданского общества и эффективная борьба с коррупцией.

Было проанализировано практическое применение внешнеполитической концепции «мягкой силы» на примерах США и России. Так, в рамках российского анализа были определены определяющие факторы становления отечественной внешнеполитической стратегии «мягкой силы»: внешняя и внутренняя политика Российской Федерации. С точки зрения внешней политики: ключевым моментом было становление внешнеполитической доктрины Российской Федерации, налаживание работы внешнеполитических институтов государства (МИД РФ, Россотрудничество) по росту имиджа России за рубежом, активное участие в ведущих международных политических организациях (БРИКС, ООН, ШОС, G20 и др.); развитие некоммерческих объединений, в которые вошли ведущие отечественные эксперты и политологи, в задачу которых входит оказывать экспертную оценку происходящим событиям и выработку рекомендаций. Во внутренней политике Российской Федерации в рамках развития внешнеполитической концепции «мягкой силы» были отмечены следующие события: формирование и укрепление имиджа Президента РФ В.В.Путина как внутри страны, так и за ее пределами; присоединение Крыма к России в 2014 году; развитие спорта, проведение Зимних Олимпийских игр в Сочи, реформирование образовательной сферы, поступательное развитие гражданского общества в целом.

В ходе исследования применения на практике внешнеполитической стратегии США были так же выявлены моменты влияния внутренней и внешней политики страны. Так, во внешней политике фундаментальным составляющим является факт победы в «холодной войне», что способствовало создания однополярного мира. Так же, всемирное продвижение культурных ценностей американского общества через различные неправительственные организации, финансируемы Вашингтоном. Развитие глобальной системы вещания американских новостных, развлекательных и музыкальных каналов, через которые миллионы людей были вовлечены в культурно-идеологическое пространство США. Во внутренней политике ставка была сделана на создания государства всеобщего благоденствия, повышения уровня жизни американского гражданина - как пример и зависть для остального мира. Принципы демократического и открытого общества являлись и до сих пор, по мнению некоторых ученых, являются идеальным примером для подражания. Технологический прогресс, создание интернета и социальных сетей - пример лидерства США и в информационной сфере. Более того, поддержка ТНК в рамках распространения американской культуры потребления и индивидуализма - одна из форм внутренней политики Вашингтона по укреплению «мягкой силы» США.

В работе были проанализированы сравнительные методы исследования «мягкой силы», которые начали появляться в начале 2010 года. Основным направлением исследований были попытки подсчета феномена «мягкой силы», использование математических методов. Так, в 2010 году был впервые создан и разработан индекс «мягкой силы» Д.МакКлори, который в последующие годы только усовершенствовал свою работу в данном направлении. Совместно с Д.Наем и экспертным сообществом консалтингового агентства Portland, были разработаны методологические способы расчета индекса «мягкой силы». Д.МакКлори впервые предложил расчленить термин на несколько составных элементов, и просчитать каждые зависимые между собой переменные.

Параллельно с работами Д.МакКлори, велись исследования испанского Королевского Института Элькано по подсчету индекса глобального присутствия государства в международной среде.

Завершающей стадией длительного сбора информации о внешнеполитической концепции «мягкой силы» стало формирование независимой формулы исчисления индекса «мягкой силы». Основываясь на работах Д.Ная, Д.МакКлори и других политологов, была предложена универсальная формула, которая способна высчитать индекс «мягкой силы», и в которую при необходимости можно было бы добавить или убрать дополнительные переменные:


Где, SP - индекс «мягкой силы», C - индекс «культурной привлекательности», G - индекс «государственности», IR - показатель эффективности и вовлечѐнности государства в мировую политическую жизнь, а переменная E - экономический показатель.

Каждая составная часть разработанной формулы имеет так же свои подиндексы, которые можно комбинировать в зависимости от целей исследования.

В результате было проведено математическое исчисление «мягкой силы» США и России. Индекс США 5,7 - России 3.

В ходе анализа полученных данных в рамках сравнительного исследования, были отмечены слабые и сильные стороны данной формулы, а так же отмечены основные результаты.

Общее различие между «мягкой силой» США и России - составляет 2,7 пункта, что является существенным отставанием. Несмотря на это, внешнеполитическая концепция «мягкой силы» в России находится на стадии своего становления и развития. Основные пункты, на которые стоит обратить внимание: культурно-идеологическая составляющая, необходимость развития отечественного образовательного потенциала, переход на инновационный характер экономического развития, поднятие общего уровня доходов населения, развитие гражданского общества и привлечение потенциальных иностранных инвесторов через постепенную либерализацию российской экономики.

СПИСОК ЛИТЕРАТУРЫ

 

1.   Астафьева, Е.М. "Жесткое" влияние "мягкой силы", Юго-Восточная Азия: актуальные проблемы развития, 2009, № 12;

2.       Американская цивилизация как исторический феномен: Восприятие США в американской, западноевропейской и русской общественной мысли. РАН. Институт всеобщей истории / Отв. ред. Н.Н. Болховитинов.

М.: Наука, 2001;

3.   Братерский М.В. - Концепция «мягкой силы» во внешнеполитической стратегии CША Вестник международных организаций. Т. 9. № 2 (2014);

4.       Буряк В. В. Глобальное гражданское общество и сетевые революции Симферополь : ДИАЙПИ, 2011;

5.       Гоббс Т. Избранные произведения. - Т. 2. - М., 1991;

6.       Давыдов, Ю.П. "Жѐсткая" и "мягкая" сила в международных отношениях, США и Канада: экономика, политика, культура. - 2007. - № 1;

7.       Демидов А.В. От «мягкой силы» к «управляемому хаосу» // Международные отношения. 2014. No 2.;

8.       Зеленев, И.В. Геополитика и геостратегия, СПб.: Питер, 2005;

9.       Истягин, Л. Влиятельный компонент "мягкой силы", Мировая экономика и международные отношения. - 2009. - № 3;

10 .Казанцев, А.А. Россия и постсоветское пространство: перспективы использования мягкой силы - Полис (Политические исследования).- 2008.

- № 2;

11 .Королев В. А., Владимирова А. В., Трунина А. А. Страновой брендинг и его отражение в глобальных рейтингах «мягкой силы» // Вестник международных организаций». 2014. Т. 9. № 2;

12      .Рукавишников В. О "мягкой мощи" России в глобализирующемся мире, Управление мегаполисом. - 2009. - № 4;

13      .Русакова О. Ф. Дискурс soft power во внешней политике // Вестник ЮУрГУ, № 32 (291), 2012. Серия «Социально-гуманитарные науки»,

выпуск 19;

14 .Косенко С.И. «Мягкое могущество» в твердой упаковке - М.: МГИМО- Университет, 2011;

15      .Лебедева М. М., Фор Ж. Высшее образование как потенциал «мягкой силы» России // Вестник МГИ-МО-Университета 2009. No6. С. 200-205;

16      .Леонова О.Г. Обозреватель. - 2013. - № 4;

17      .Лябухов И.В. Формирование позитивного имиджа Российской Федерации на международной арене: возможности и потенциал МИД России // Вестник Томского Государственного университета. 2012. No3 (19);

18 .Маркушина Н.Ю., О.Л. Церпицкая - Олимпийские и паралимпийские зимние игры в Сочи, как аспект «мягкой силы» // Научно-теоретический журнал «Ученые записки университета имени П.Ф. Лесгафта», 10 (116) - 2014;

19      .Макиавелли Н. Избранные сочинения. - М., 1982;

20 .Международная безопасность России в условиях глобализации. Под общей редакцией В.А.Михайлова и В.С.Буянова, Изд.: РАГС, 2010;

21      .Михайлова Л.Г. «Век Америки» на конференции российских американистов // США, Канада: экономика, политика, культура. - 2000. -

№ 6;

22 .Монтескье Ш.Л. О духе законов. - М.: Мысль, 1999;

23      .Най, Джозеф С. "Мягкая" сила и американо-европейские отношения, Свободная мысль-ХХI. - 2004. - № 10;

24      .Най, С. Джозеф (младший). Будущее власти / С. Джозеф Най, млад- ший; пер. с англ. В. Н. Верченко. - Москва: АСТ, 2014;

25      .Ницше Ф. Воля к власти. Опыт переоценки всех ценностей / Пер. С нем.

Е.Герцык и др.- М.: Культурная революция, 2005;

.Soft power: теория, ресурсы, дискурс / под ред. О. Ф. Русаковой. - Екатеринбург: Издательский Дом «Дискурс-Пи», 2015;

27 .Тлостанова М.В. Движение идей мультикультурализма в США конца ХХ века // США*Канада: экономика, политика, культура. - 2000. - № 10;

28      .Торкунов А.В. «По дороге в будущее» / Ред.-сост. А.В.Мальгин, А.Л.Чечевишников. - М.: Аспект Пресс, 2010;

29      .Торкунов А.В. Образование как «мягкая сила» во внешней политике России // Вестник МГИМО-Университета. 2012. No4;

30      .Торкунов А.В. Перспективы евразийской экономической интеграции // Вестник МГИМО-Университета. 2013. No4;

31      .Г. Филимонов «Мягкая сила» культурной дипломатии США: Монография. - М.: РУДН, 2010;

32      .Фукуяма Ф. Конец истории и последний человек / Φ Фукуяма, Пер. с англ. M Б Левина - M ООО «Издательство ACT: ЗАО НПП «Ермак», 2004;

33      .Цветкова Н.А. Cultural imperialism: международная образовательная политика США в годы «холодной войны». - СПб.: Изд-во С.- Петербургского университета, 2007;

34      .Цыганков П.А. О месте России в мировой политике (ресурсный потенциал и возможности) // Материалы Международного научного конгресса «Глобалистика - 2009: пути выхода из глобального кризиса и модели нового мироустройства». МГУ им. М.В.Ломоносова. М.: МАКС Пресс, 2009. Т. 1;

35      .Шадже А.Ю. Диалог как условие сохранения разнообразия в глобализирующемся мире // Материалы II Международного научного конгресса «Глобалистика - 2011: пути к стратегической стабильности и проблема глобального управления». М.: МАКС-Пресс, 2011. Т. 2;

36      .Шмагин Е.А. Культура и дипломатия // Международная жизнь. - 2002. -

№ 3;

37 .Власть, взаимозависимость и негосударственные субъекты мировой политики, под ред. Хелен В. Милнер и Эндрю Моравчика. - Принстон: Принстон Юниверсити Пресс, 2009;

38      .Шелов-Коведяев Ф.В. Мировой кризис и инструментарий "мягкой силы" для России, Безопасность Евразии. - 2009. - № 3;

39      .Джеймс Шерр, Жесткая дипломатия и мягкое принуждение: российское влияние за рубежом. Пер. с английского/ Королевский институт международных отношений Chatham House, Центр Разумкова. - К.: Заповіт, 2013;

Иностранные источники литературы:

40. A.Amirbek K.Ydyrys - Education And Soft Power: Analysis As An Instrument Of Foreign Policy Procedia - Social and Behavioral Sciences 143 ( 2014 );

.Cooper, R. Hard Power, Soft Power and the Goals of Diplomacy, In: David Held/Mathias Koenig-Archibugi (eds), American Power in the 21st Century (2004);

.Michael W. Doyle Liberalism and World Politics - American Political Science Review, vol. 80, no. 4 (December, 1986);30.Ying Fan, Soft Power: power of attraction or confusion? - Place Branding and Public Diplomacy vol.4 (2008), № 2;

43.      Fisher D. The role of philanthropic foundations in the reproduction and production of hegemony: Rockfeller foundations and the social sciences // Sociology. - L., 1983. - Vol. 17. - № 2;

44.     Hans J. Morgentau Politics Among Nations. The Struggle For Power and Peace 6th edition - Peking University Press Beijing 2006;

45.     Yahya R. Kamalipour, ‗US Image and the Political Factor‘, in Y.R. Kamalipour (ed.) Images of the US around the World: A Multicultural Perspective (Albany NY: State University of New York Press, 1999;

46.     Kearn, David W. The hard truths about soft power // Journal of Political Power. Vol. 4, No. 1, April, 2011;

47.      Nye J., Jr. Soft Power: The Means To Success in World Politics. - N.Y.: Public Affairs Group, 2004;

48.     Nye, J. Smart Power, New Perspectives Quaterly, Vol. 26, Issue 2 (2009); 49.Nye J., Jr. Soft power // Foreign Policy, №. 80, Autumn 1990;

.May L. Screening out the past: The birth of mass culture and the motionindustry. - New York - Oxford: Oxford University Press, 1980; 51.Parenti M. Reflections on the politics of culture // Monthly review: An

independent social magazine. - N.Y., 1999. - № 50. - Vol. 9;

52.      Alexander Wendt Social Theory of Interanational Politics - Cambridge Studies in International Relations 2003;

53.     Whitney Christopher and Shambaugh M. David. Soft Power in Asia: Results of a 2008 Multinational Survey of Public Opinion (The Chicago Council on Global Affairs, 2008);

.R.S.Zaharna - The Soft Power Differential: Network Communication and Mass Communication in Public Diplomacy - The Hague Journal of Diplomacy 2 (2007);


Таблица №2



Таблица №3


График №1


Таблица №4


Размещено на Аllbеst.ru

Похожие работы на - Сравнительный анализ 'мягкой силы' во внешней политике Соединенных Штатов Америки и России

 

Не нашли материал для своей работы?
Поможем написать уникальную работу
Без плагиата!
Без нейросетей!