Обеспечение техносферной безопасности деревообрабатывающего цеха

  • Вид работы:
    Дипломная (ВКР)
  • Предмет:
    Безопасность жизнедеятельности
  • Язык:
    Русский
    ,
    Формат файла:
    MS Word
    3,55 Мб
  • Опубликовано:
    2016-12-09
Вы можете узнать стоимость помощи в написании студенческой работы.
Помощь в написании работы, которую точно примут!

Обеспечение техносферной безопасности деревообрабатывающего цеха

РЕФЕРАТ

техносферный безопасность деревообрабатывающий

Основными целями дипломного проекта в области техносферной безопасности и охраны труда являются:

а) обеспечение требуемого уровня техносферной безопасности и охраны труда в деревообрабатывающем цеху ГБУ «Заинский лесхоз»;

б) обеспечение безопасной эксплуатации деревообрабатывающего цеха ГБУ «Заинский лесхоз», предупреждение аварий, обеспечение готовности предприятия к локализации и ликвидации последствий таких аварий;

в) обеспечение безопасности, улучшение условий труда и обеспечение защиты здоровья работников.

В данной работе ставятся следующие задачи:

дать характеристику производства;

выявить производственные опасности и вредности;

провести анализ действующей системы обеспечения техносферной безопасности и внести предложения по ее усовершенствованию;

провести экономический анализ системы обеспечения техносферной безопасности;

В работе рассмотрены - характеристика предприятия, рассмотрена деятельность деревообрабатывающего цеха ГБУ "Заинский лесхоз". Проведен анализ экологической, производственной, техносферной безопасности на предприятии. В работе сделан расчет экономической эффективности предлагаемых технических и технологических решений по обеспечению техносферной безопасности.

ВВЕДЕНИЕ

Значительный вклад в загрязнение атмосферы вносит деревообрабатывающая промышленность.

Особенно актуальна проблема прогнозирования загрязнения окружающей среды от деревообрабатывающей промышленности, связанного с ростом потребления целлюлозно-бумажной продукции.

В связи с этим разработаны схемы очистки окружающей среды.

Так же актуальной является проблема утилизации твердых отходов. Наиболее эффективным методом утилизации твердых отходов является их переработка.

Деревообрабатывающая промышленность оказывает негативное влияние на воздух рабочей зоны предприятия. В атмосферу выбрасывается большое количество пыли, которая влияет на самочувствие рабочих, вызывая с течением времени различные хронические заболевания легких и аллергии, таких как астма, пневмокониоз. В данной работе рассматриваются вопросы нахождения наиболее эффективных методов защиты окружающей среды от загрязнения вредными веществами. [2 стр. 34]

Несмотря на то, что обеспечение безопасности жизнедеятельности является непременным условием социального и экономического развития общества и в самых различных законодательных актах заложены принципы обеспечения безопасности жизнедеятельности, в целом уровень безопасности остается низким. Наблюдается ежегодный рост количества пострадавших на производстве, крупных промышленных и транспортных катастроф. Сложившаяся обстановка объясняется не только низким уровнем обеспечения безопасности и человеческим фактором, но и конструктивным несовершенством используемого оборудования.

Решение проблемы безопасности жизнедеятельности состоит в обеспечение нормальных условий деятельности людей, в защите человека и окружающей среды от воздействия вредных факторов производственной среды, превышающих нормативно-допустимые уровни.

Целью дипломного проекта является разработка системы обеспечения техносферной безопасности деревообрабатывающего цеха ГБУ "Заинский лесхоз".

Создание здоровых и безопасных условий труда в деревообрабатывающем цехе достигается комплексом мероприятий, и в частности, применением наименее вредных технологий обработки древесины, эффективных санитарно-технических средств и индивидуальных средств защиты работающих. Предотвращение выделения различных производственных вредностей позволяет облегчить условия труда для большого числа работающих, занятых в этих производствах.

Созданная человеком техносфера является основным источником опасности для всего существующего на земле, происходящие в ней аварии приводят не только к человеческим жертвам, но и уничтожению окружающей среды, её необратимой деградации.

Много бедствий приносит производственная деятельность различных предприятий, наносящая серьезный ущерб окружающей среде. Результатами такой деятельности являются засухи, уничтожение лесов, кислотные дожди, загрязнение окружающей среды и другие нежелательные экологические последствия.

Восстановление нарушенных природных комплексов длится десятки лет и требует значительных затрат труда и средств. Поэтому в настоящее время на первый план выходят профилактические мероприятия, проведения которых невозможно без наличия оперативной информации о состоянии природной среды.

Дипломный проект включает в себя пояснительную записку, которая, в свою очередь, состоит из 3 основных разделов. Также в состав данного проекта входит введение, заключение, список использованной литературы и графическая часть.

. ХАРАКТЕРИСТИКА ПРОИЗВОДСТВЕННОГО ОБЪЕКТА.

.1 Общая характеристика производства

ГБУ "Заинский лесхоз" занимается заготовкой и переработкой древесины. Организационно-правовая форма - государственное предприятие. Адрес пос.Мирный, Заинский р-н, Татарстан, РФ, 423520. Основная деятельность: Охрана, защита лесов; производство: пиломатериалов

С 1998 года предприятие занимается производством строганных пиломатериалов, соответствующим мировым стандартом качества. В рамках данного производства был закуплен сушильный комплекс SK - 55, 144 (Польша). Данный комплекс основан на безотходном производстве и способствует сохранению экологической среды.

В 2003 году были приобретены линия по сращиванию пиломатериала по длине в "минитип". Для сохранения уровня влажности и качества, применяется упаковочная, термоусадочная пленка (Швеция) для упаковки данного пиломатериала (Mabasira).

Для повышения выхода пиломатериалов из пиловочного сырья установлена линия по переработке горбыля.

Также данная линия предусматривает дальнейшую перспективу использования в производстве клееного бруса, паркета и рейки пола.

Год за годом набирает новые обороты лесопильное производство, закупаются деревообрабатывающие станки и лесопильные рамы. На сегодняшний день предприятие представляет собой мощный комплекс по заготовке и переработке древесины.

Проект имеет поддержку администраций всех уровней РТ, так как он создает новые рабочие места и является источником пополнения бюджета.


1.2 Характеристика изготавливаемой продукции

ГБУ "Заинский лесхоз" специализируется на переработке древесины (круглого леса) хвойных и лиственных пород, изготовлении пиломатериалов и готовых изделий длиной 4 и 6 м. Следующей номенклатуры:

брус:

x100 мм

х 150 мм

x150 мм

доска не обрезная, толщиной:

; 30; 40; 50; 60 мм

доска обрезная:

х 100 мм 40х 150 мм 25х 150 мм 50х 100 мм 30x100 мм 50x150 мм 30х 150 мм 60x100 мм 40x100 мм 60х 150 мм

За счет использования прогрессивного технологического оборудования номенклатура данного вида изделий может быть существенно расширена:

доска половая:

x100 мм

x150 мм;

доска обшивочная (выборка в четверть - «вагонка»):

х 100 мм

х 150 мм;

плинтуса, раскладки, наличники и т.д. по имеющейся конструкторской документации.

Дополнительная и перспективная номенклатура - услуги в виде столярных изделий: рамы и блоки оконные; коробки и двери; срубы бань, саун и домов и т.д.

Повышенным спросом пользуются пиломатериалы и отделочные материалы, т.к. они универсальны, достаточно дешевы и предназначены для выполнения практически любого строительного проекта на производственном объекте или в частном строительстве. Спрос на данную продукцию постоянен, хотя и меняется по типоразмерам в зависимости от конкретного заказа. На объемы продаж оказывает влияние и время года: в весенне-летне-осенний период при активизации работ на данных участках происходит настоящий бум в реализации изделий.

Несмотря на то, что ассортимент продукции достаточно обширен и пользуется спросом, есть отдельные категории продукции, которые пользуются меньшим спросом и поэтому скапливаются на складе готовой продукции (брус 150*150, доска не обрезная, толщиной 40, 50, 60 мм, доска обрезная 60*100, 60*150, отходы производства и брак). Но так, как производство пиломатериалов в основном рассчитано на конкретные заказы, то и данная продукция не занимает долго место на складах.

Что касается поставок отдельных видов продукции, то для их реализации необходимо выполнение дополнительных требований по качеству, маркировке и упаковке.

Так, например, влажность поставляемого материала должна находиться в пределах 8-18%, что требует дополнительной сушки изделий в сушильной камере и упаковки готовой продукции полиэтиленовой пленкой и т.д.

На рынке реализация продукции осуществляется на договорной основе с промышленными и торговыми предприятиями для собственных нужд предприятий (ремонт и т.д.).

.3 Описание технологического процесса

На предприятии ГБУ "Заинский лесхоз" организован полный комплекс оборудования для изготовления столярных изделий из древесины от строгания и раскроя до шлифования и калибровки. Наличие инструмента дает возможность изготовления столярных изделий любой сложности. Дальше мы рассмотрим основное оборудования деревообрабатывающего цеха и приведем его технические характеристики.

Таблица 1 Описание оборудования деревообрабатывающего цеха ГБУ "Заинский лесхоз"

Наименование и краткое описание основного и вспомогательного оборудования для столярного изделия

Год выпуска

Кол- ство, шт.

Состояние

Форматно-раскроечный станок Filato 3200 MAXI

2007

1

Рабочий

Станок поперечно-пазовый


1

Рабочий

Станок поперечно-пазовый


1

Рабочий

Циркулярная пила ЦБ-2УХЛ 4

1980


Рабочий

Полуавтоматический торцовочный станок MJ 2415

2008

1

Рабочий

Рейсмус Makita 2012NB

2006

1

Рабочий

Станок рейсмусовый, СР6-7

1971

1

Рабочий

Станок рейсмусний, JaromaО5М6-63 (Польша)

1985

1

Рабочий

Фуганок СФ4-1

1986


Рабочий

Станок калибровально-шлифовальный, SR-R P 1300 A


1

Рабочий

Станок плоскошлифовальный одноленточный


1

Рабочий

Фрезерный станок Felder, Profil 45/07

2007

1

Рабочий

Гравировально-фрезерная машина Woodpecker HS- 1212

2007

1

Рабочий

Фрезерный станок Robland T120TP

2008

1

Рабочий

Фрезерный станок ФСШ

1984

1

Рабочий

Лазерный гравер с ЧПУ, CO2 Yueming PN -1480

2007

1

Нет лампы

Пресс для сращивания заготовок по длине, ПСД-3

2010

1

Рабочий

Вайма пневматическая односторонняя


2

Рабочий

Вайма пневматическая двухсторонняя


1

Рабочий

Аспирационная установка MF-9040

2007

2

Рабочий

Аспирационная установка, MF 9055

2007

2

Рабочий


танки столярного участка

Форматно-раскроечный станок Filato 3200 MAXI 

Форматно-раскроечный станок Filato 3200 MAXI

Предназначен для продольного, поперечного и углового раскроя заготовок из массивной древесины, с предварительной подрезкой нижней кромки заготовки для исключения образования сколов.

Применяется в серийном столярном производствах для изготовления паркетной доски.

Высочайшая надежность и большой запас прочности.

Длинная алюминиевая каретка и широкий поперечный стол позволяют устанавливать и перемещать относительно пильного механизма листы большого формата.

Пильный механизм включает в себя два режущих узла основную пилу и подрезную пилу.

Подрезная пила имеет попутное вращения относительно подачи заготовки и за счет предварительного реза позволяет раскраивать древесину без появления сколов.

Роликовая каретка со стальными цилиндрическими направляющими обеспечивает высочайшую точность и качество распиловки. Практика и основные производители показывают, что на сегодняшний день такой тип каретки наиболее надежен, долговечен и практически не требует технического обслуживания.

Литой корпус пильного узла обеспечивает высокую жесткость, виброустойчивость и надежность станка.

Пильный узел жестко смонтирован со станиной станка, что существенно снижает вибрацию узлов. На многих станках пильный узел прикреплен непосредственно к основному столу.

Подшипниковые опоры на основном валу увеличивают жесткость узла, значительно снижают биение вала и тем самым повышают ресурс пильного узла в целом.

Удобная система регулировки частоты вращения основной пилы (Altendorf) позволяет за 3-5 минут изменить количество оборотов, при этом совершенно не нужны инструменты.

Удобная система регулировки наклона пильного агрегата (с градацией по 1°)

Практичный пульт управления позволяет быстро настраивать по высоте основную и подрезную пилу. Также пульт оснащен аварийной кнопкой, что в экстренной ситуации просто необходимо для мгновенного выключения станка.

Регулировка подъема опускания основной и подрезной пилы осуществляется электроприводом, что значительно снижает время на настройку пильного узла и оптимально упрощает этот процесс.

Усиленная конструкция салазок на каретке позволяет надежно базировать крупногабаритные детали, что дает высочайшее качество и геометрию распила.

В стандартную комплектацию станка входит эксцентриковый прижим для надежной фиксации детали.

Таблица 2 Технические характеристики станак Filato 3200 MAXI

Наибольшая длина пропила, мм

3200

Размеры основного стола, мм (длина х ширина)

1250 х 730

Размеры дополнительных столов, мм (длина х ширина)

1250 х 600


600 х 730

Размеры подвижного стола каретки, мм

3200 х 360

Расстояние между пилой и боковой базовой линейкой, наибольшее, мм

1200

Высота пропила основной пилой, наибольшая, мм,

100/70

Наклон пильного узла, град.

0 - 45

Диаметр основной пилы (наибольший) / посадочный диаметр, мм

350 / 30

Диаметр подрезной пилы / посадочный диаметр, мм

120 / 22

Диаметр патрубка стружкоприемника,




пильного узла / ограждения основной пилы, мм

120 / 100

Мощность двигателя основной пилы, кВт

5,5

Частота вращения основной пилы, об/мин

3800/5200

Мощность двигателя подрезной пилы, кВт

0,75

Частота вращения подрезной пилы, об/мин

9000

Общая установленная мощность, кВт

6,25

Габаритные размеры, мм: (длина х ширина х высота)

3300х3100х900

Масса, кг

1200



Рисунок 1 Полуавтоматический торцовочный станок с пневматическим подъемом пильного узла MJ 2415

Полуавтоматический торцовочный станок с пневматическим подъемом пильного узла MJ 2415 можно использовать как отдельно, так и в технологической линии, для вырезания дефектов, изготовления элементов мебели, дверей, рам и переплетов, на любом деревообрабатывающем производстве. Расчетная производительность до 20 операций в минуту.

Безопасность работы обеспечивает защитный кожух, который также является прижимом для фиксации заготовок при обрезке. Только в финальной стадии распила часть лезвия выходит наружу, но и в этот момент защитная стойка предохраняет руку оператора от случайного контакта с лезвием.

Все органы управления легко доступны оператору, стартер приводного двигателя и переключатель пневмосистемы расположены на лицевой панели, зажим заготовки и поднятие пилы для обрезки приводится в действие оператором нажатием педали, расположенной в нижней части станины. Станок требует подключения внешнего источника сжатого воздуха. Конструкция станка гарантирует прямую и ровную линию отреза точно по заданным размерам в течение многих лет функционирования. Макс. ширина отреза 320 мм при высоте заготовки 12 мм, макс. высота отреза 100 мм, при ширине заготовки 180 мм.

Процесс торцевания состоит из 4-х этапов:

Прижим и защитный кожух опускаются и зажимают деталь.

Деталь зажата, пила поднимается из стола и производит распил.

По завершении распила пила опускается в стол.

Прижим и защитный кожух поднимаются и высвобождают деталь.

Комплектуется: станина, пильный узел, пневматическая система подъёма пилы, прижимное устройство, два рольганга (подающий и приёмный).

Таблица 3 Технические характеристики MJ 2415

Основные технические характеристики

Значение

Обороты пилы

3180 об/мин

Размеры пилы

25,4х457х3,4 мм

Мощность привода пилы

5,5 кВт

Размер рабочего стола

690х660 мм

Высота стола

840 мм

Рабочее давление

0,5 МПа

Габариты

3700х820х1280 мм

Вес

420 кг


Рейсмус Makita 2012NB - представляет собой рейсмусный станок для профессиональной обработки древесины и может работать несколько часов в день в отличии от бытовых. Применяется для подгонки досок под определенный размер толщины. Оснащен автоматической подачей. Все детали выполнены из дорогостоящих материалов как впрочем у всех продуктов фирмы Makita.

Станина тщательно отшлифована, что облегчает подачу материала. Боковые "крылья" рейсмуса удобно складываются поднимаясь вверх. Мощный двигатель асинхронного типа требует минимум технического обслуживания и выдерживает максимальные нагрузки.

Триста четыре миллиметра захват считается очень удачным при больших объемах обрабатываемого материала. Оборудован станок специальной коробкой для хранения инструментов. Ограничитель высоты обеспечивает надежную работу без брака и сбоев.

Рейсмус Макита имеет возможность подключения к промышленным пылесосам и воздушным стружкоотсосам благодаря специальному дополнительному переходнику. Очень низкий уровень шума работы значительно выделяет модель Makita 2012NB среди конкурентных брендов.

Рисунок 2 - Рейсмус Makita 2012NB

Станок СР6-7 предназначен для одностороннего плоскостного строгания деревянных деталей и изделий на заданный размер по толщине. Станок допускает одновременную обработку нескольких заготовок с неравномерностью по толщине до 4 мм.

Станок СР6-7 может быть использован на деревообрабатывающих производствах, в мебельных и модельных цехах, на строительных площадках и т.д.

Станок СР6-7 выполнен в виде замкнутой рамной конструкции, с размещением всех механизмов внутри станины. Материал станины - чугунное литье. Стол станка имеет винтовой подъем и перемещается по высоте в зависимости от толщины пропускаемого материала вручную. Подача материала вальцовая. Впередний части станка смонтирована когтевая завеса.

Станок СР6-7 снабжен приспособлением для заточки и фуговки ножей на станке, перемещение заточного приспособления - ручное. Ножевой вал с закрепленными 4-мя строгальными ножами осуществляет главное движение резания. Опоры ножевого вала выполнены на подшипниках качения и смазаны уникальной высокотемпературной смазкой на заводе. Привод подающих валиков осуществляется от ножевого вала ременной передачей через четырехскоростную коробку подач и цепную передачу. Коробка подач обеспечивает подачу в диапазоне 8-30 м/мин.

Рисунок 3 Станок рейсмусовый, СР6-7

Вращение на приводной шкив обеспечивается по средствам 2-х клиноременных передач. Передний подающий валик выполнен рифленым и состоит из отдельных секций шириной 50 мм. Каждая секция имеет внутреннюю и наружную обойму с резиновыми демпферами. Прижим подающих валиков обеспечивается с помощью спиральных пружин. Заточка ножей производится при неподвижном вале. Доводка ножей производится при вращающемся ножевом вале. Заточный круг установлен непосредственно на валу электродвигателя. Ручное перемещение приспособления осуществляется специальной рукояткой.

Таблица 4 Технические характеристики СР6-7

Ширина строгания, наибольшая мм

630

Толщина обрабатываемого материала, наибольшая мм

200

Толщина обрабатываемого материала, наименьшая мм

5

Длина обрабатываемого материала, наименьшая мм

400

Толщина снимаемого слоя древесины, наибольшая мм

5

Число оборотов ножевого вала об/мин

5000

Диаметр корпуса ножевого вала мм

125

Режущий диаметр ножевого вала мм

128

Скорость резания м/сек

33,5

Число ножей ножевого вала шт

4

Скорость подачи м/мин

8; 12; 20; 30

Способ подачи

вальцовый

Стол:

подъем - ручной

размеры рабочей поверхности мм

1100х640

вертикальное перемещение мм

200

перемещение за один оборот лимба мм

2

цена деления лимба мм

0,1

Способ торможения

электромеханический

Электродвигатель привода ножевого вала , кВт

7,5

число оборотов об/мин

3000

Электродвигатель привода заточного кругамощность кВт

0,25

число оборотов об/мин

3000

Общая установленная мощность кВт

7,77

Габариты


длина мм

1100

ширина мм

1360

высота мм

1500

Вес станка кг

1350


Фуганок СФ4-1

Ширина обработки 410 мм, длина столов 2550 мм. Чугунная станина, столы.

Рисунок 5 Фуганок СФ4-1

Станок фуговальный предназначен для прямолинейного одностороннего строгания изделий из древесины по плоскости. Станок с увеличенной длиной столов и большим диаметром ножевого вала. Большая масса и мощность станка обеспечивает хорошее качество обрабатываемой поверхности.

Таблица 5 Технические характеристики СФ4-1

Ширина обработки, мм

400

Наибольшая толщина снимаемого слоя, мм

6

Общая длина столов, мм

2535

Размер ножа

410 * 40 * 3

Диаметр ножевого вала, мм

128

Количеств о ножей ножевого вала,

шт 4

Частота вращения вала, об/мин

4950

Установленная мощность,

кВт 4

Габариты, м

2,5*1*1,15

Масса, кг

680


Предназначен для калибрования и шлифования поверхности различных материалов, мебельного щита, а также окон и дверных полотен для устранения дефектов сборки. Станок отличается производительностью и надежностью.

Технологические возможности станка позволяют использовать его на крупных и средних предприятиях, а также в цехах по производству столярно-строительных изделий, оконных блоков, дверей из массива древесины, погонажных изделий и клееных мебельных щитов, на предприятиях по выпуску элементов мебели, паркета и других деревообрабатывающих производствах.

Станок калибровально-шлифовальный, SR-R P 1300 A

Обработка заготовки производится в три этапа: двумя калибровальными и одним шлифовальным узлами.

Рисунок 5 Станок калибровально-шлифовальный, SR-R P 1300 A

Автоматический обдув шлифовальной ленты на втором и третьем узле. Автоматическое центрирование подающей ленты. Индикация толщины заготовки на цифровом дисплее.

Рисунок 6 Схема обработки на станке SR-R P 1300 A

Конструктивные особенности, обеспечивающие высокое качество шлифования, удобство обслуживания станка и безопасность его эксплуатации.

Осуществляется с помощью цифровой индикации на дисплее высоты подъема рабочего стола, что обеспечивает точность обработки детали.

Регулировка натяжения ленты осуществляется с помощью пневмоцилиндра с управлением от рукоятки. Регулировка натяжения шлифовальной ленты на каждом шлифовальном агрегате с контролем по манометрам и индикацией величины натяжения на дисплее обеспечивает надежное крепление ленты и исключает ее излишнее натяжение. В случае превышения допустимого значения натяжения ленты происходит автоматическая остановка станка.

Устройство автоматического обдува шлифовальных лент освобождает их от спрессованной мелкой пыли непосредственно во время работы, что обеспечивает чистоту обработки и увеличивает срок службы лент.

Прижимные ролики предназначены для прижима заготовки к конвейерной ленте стола. Обеспечивают более точное позиционирование заготовки и препятствуют ее вылету из рабочей зоны, что гарантирует дополнительную безопасность работы оператора.

Система безопасности соответствует нормам СЕ. В случае обрыва шлифовальной ленты, станок автоматически останавливается для обеспечения безопасности работы оператора. При расположении заготовки на позиционере рабочего стола возможна автоматическая регулировка высоты рабочего стола до уровня толщины заготовки на основании введенных данных.

Установка дополнительного устройства обдува ленты на первом и втором узлах позволяет также эффективно очищать шлифовальные ленты во время работы, что продлевает срок ее службы и улучшает качество обработки.

Сенсорный дисплей более удобен в обращении и наглядно демонстрирует задаваемые технические параметры обработки. С его помощью можно сканировать неисправности в работе станка, т.е. при остановке станка можно увидеть на экране ее причину и своевременно принять необходимые меры. Данная опция также позволяет избежать «заваливания» кромок. При соприкосновении с кромкой заготовки на входе и выходе шлифовальный вал и утюжок опускаются и поднимаются соответственно.

Предотвращает проскальзывание заготовки при обработке тонких и гибких материалов (шпон, фанера), коротких заготовок длиной меньше расстояния между соседними прижимными роликами, а также лакированных заготовок.

Таблица 6 Технические характеристики SR-R-RP1300А

Наименование параметра

SR-R-RP1300А

Ширина заготовки, мм

1300

Минимальная длина заготовки, мм

500

Толщина заготовки, мм

2 - 160

22+22+15+4+0,37=63,37

Размеры абразивной ленты, мм

1330*2620

Рабочее давление воздуха в пневмосистеме, мПа

0,6 - 0,8

Расход воздуха в пневмосистеме, м?/час

9000

Первый шлифовальный узел, диаметр обрезиненного ролика /жесткость, мм/шор

240 / 90

Второй шлифовальный узел, диаметр обрезиненного ролика /жесткость, мм /шор

240 / 60

Третий шлифовальный узел, диам.обрезиненного ролика /жесткость, мм/шор

180 / 60

Габариты, мм

2670*2030*2270

Масса, кг

3500


Фрезерный станок Felder, Profil 45/07

Для промышленного применения.

Назначение станка:

Для всех видов производства от индивидуального до массового.

Рисунок 7 Фрезерный станок Felder, Profil 45/07

Фрезерный агрегат

Для фрезерования заготовок по упорным линейкам, по кольцу, шаблону или с помощью подвижного стола.

Общий вид станка представляет стальную, сварную, усиленную, с ребрами жесткости раму. Раскрой листов стали для станка - лазером, сварка - роботом. При изготовлении сплошной контроль качества сварных швов. Окраска станка - на автоматических линиях без участия человека. Чугунный стол сверху станины и встроенное днище снизу геометрически замыкает конструкцию и придает ей исключительно высокую жесткость.

Таблица 7 Технические характеристики фрезерного станка Felder, Profil 45/07

Мощность электродвигателя

кВт

7,5

Пуск электродвигателя


Звезда-треугольник

Реверс шпинделя


Есть

Фрезерныйстол

мм

1200*860

Шипорезнопазов. Подвижныйстол

мм

1300

Диаметротверствия в чугунномстоле для фрез. Шпинд.

мм

320

Частотывращения шпинделя

мин-1

3500 4500 6000 8000 10000

Перемещение шпинделя по высоте


Электромеханическое

Контроль высотыположения шпинделя


На электронн.табло

Изменениеугланаклона шпинделя 0-450


Электромеханическое

Контроль угланаклона шпинделя


На электронн.табло

Система быстрой (менее 10сек) замены шпинделя


Есть

Диаметрх длина шпинделя

мм

30*160

Тип фрезерного упора для фрез до 0250мм


«250»

Ограждение фрезы Centrex


Есть

Электромеханическая система настройки фрезерного упора «250» с электронной цифровой индикацией


Есть

Длина подвижного стола

мм

1300


Гравировально-фрезерная машина Woodpecker HS-1212

Гравировально-фрезерная машина Woodpecker HS-1212 - модель с рабочим полем 1200 х 1200 х 100 мм. Как и все гравировально-фрезерные станки серии HS, HS-1212 предназначен для 3D и 2D фрезеровки. Эта модель также оснащена считывающим устройством для карты памяти CompactFlash, что позволяет управлять станком дистанционно. Мощный шпиндель 1,5 КВт для обработки широкого спектра материалов с высокой производительностью.

Жесткость конструкции, масивная станина, высокоточные шаговые двигатели, шарико-винтовые передачи (производства США) по всем осям обеспечивают отсутствие вибрации и высокую точность фрезеровки даже при обработке твердых материалов.

Рисунок 8 Cтанок Woodpecker HS-1212

танок Woodpecker HS-1212 способен обрабатывать не только мягкие материалы (пластик, оргстекло, дерево...), но и цветные металлы (латунь, магний, алюминий...), возможна даже поверхностная гравировка по стали. Как и все станки Woodpecker серии HS, HS-1212 позволяет закреплять на рабочем столе заготовки не ограниченные по длине. HS-1212 предназначен для 3D и 2D обработки, изготовлениея объемных букв, изделий из дерева, пластиковых и латунных табличек, номерков и бейджей из двуслойного пластика, малых литьевых форм, латунных и магниевых клише, приборных панелей и многого другого. HS-1212 принимает управляющие программы в G-кодах (это международный промышленный стандарт), что позволяет использовать в подготовке файлов широкий спектр профессиональных CAD/CAM программ.

В комплект со станком HS-1212 входит все, что необходимо для начала работы в том числе программное обеспечение для 3D и 2D фрезеровки. Комплектация: инструкци по эксплуатации - 1 шт., профессиональное программное обеспечение "Type3" с электронным ключем - 1 шт., набор струбцин для крепления заготовки на рабочем столе - 6 шт., цанговый патрон (4 мм) - 1 шт., цанговый патрон (6 мм) - 1 шт., цанговый патрон (6 мм) - 1 шт., ключ для закрепления фрез в цанговом патроне - 2 шт., коническая фреза - 4 шт., торцевая фреза - 1 шт., шестигранный ключ, запасные ремни к шпинделю - 2 шт., крестовая отвертка - 1 шт., шлицевая отвертка - 1 шт., щетка для удаления стружки - 1 шт., промасленная кисть для удаления стружки - 1 шт., ножки станка - 4 шт.

Программное обеспечение для 3D и 2D обработки

В комплекте поставляется полноценное трехмерное ПО совместимое с Windows - программа для 2D и 3D моделирования и создания управляющих программ Type 3.

Комплектация:

Стойка с DSP процессором - DSP 21.

Шаговые моторы и контроллеры.

Шпиндель китайского производства - 1,5 kW.

ШВП и направляющие немецкого производства по всем осям.

Архитектура - стальная цельносварная рама

Технические характеристики:

Рабочая площадь X,Y: 1360 * 1720 мм.

Обрабатываемый объем: 1200 * 1200 * 100.

Максимальная скорость гравирования: 12000 мм/мин.

Разрешение: 0,005.

Мощность шпинделя: 2200 Вт.

Частота вращения шпинделя: 24000 об/мин

Способ крепления инструмента: Цанга. Стандарт ER

Источник питания: AC220V ± 10% 50HZ

Размеры: 1800 * 1450 * 1420 мм

Вес: 680 кг.

Потребление энергии: 2.0 кВатт.

Дополнительно может быть собрана стандартная комплектация гравировально-фрезерной машины.

Сервосистема PANASONIC (Япония) по всем осям.

Шпиндель Elte (Италия - начиная с мощности шпинделя 2,2 Квт).

Стойка ЧПУ - SAI 02 на базе промышленного компьютера IP 4 с предустановленными XP и NC - studio.

Автоматический Z сенсор.

Архитектура - стальная цельносварная рама + дополнительная чугунная литая.

Фрезерный станок Robland T120TP

Фрезерные станки индустриального класса серии T120 предназначены для выполнения разнообразных, в том числе тяжелых энергоемких операций, связанных с механической обработкой древесины, древесных, композитных материалов и пластиков с помощью фрез. Фрезерный станок ^20-TP оснащен удобной адаптивной шипорезной кареткой, что значительно расширяет его производственные возможности. Станок позволяет выполнять широкий ряд технологических операций: плоское и профильное фрезерование кромок

деталей, криволинейное фрезерование по шаблону, фрезерование пазов, нарезание шипов, выборка проушин и многие другие операции, которые можно выполнять как с ручной, так и механизированной (с помощью автоматического подающего устройства - доп. оборудование) подачей заготовок. Это делает его незаменимым во многих отраслях деревообработки, таких как производство мебели, окон, дверей, лестниц, интерьеров, столярных конструкций, тары, в домостроении, машиностроении и т. п.

Фрезерный станок является одной из ключевых позиций в модельном ряду Robland, поставляется в Россию уже более 15 лет. За это время он успел зарекомендовать себя на наших производствах как исключительно надежный и удобный станок, заслужил устойчивую добрую репутацию.

Конструкция:

В основе станка лежит мощная сварная конструкция из стального листа толщиной 8 мм. Жесткая коробчатая структура станины является залогом долгосрочной бесперебойной работы оборудования, а также обеспечивает виброустойчивость. Суппорт рабочего узла представляет из себя монолитный чугунный элемент, эффективно гасящий даже малейшие вибрации, возникающие вследствие вращения механических деталей станка. Вал шпинделя идеально отбалансирован. Все столы станка отлиты из чугуна, их поверхность отфрезерована на станках с ЧПУ управлением для придания им идеальной геометрии. На всех станках Robland применяется специальный тип фрезерования чугунных столов, улучшающий их устойчивость к стиранию и облегчающий скольжение заготовок.

Станок T-120TP является полнофункциональной версией, что позволяет ему занимать центральное место во многих технологических циклах деревообрабатывающих производств. Он оснащен мощной шипорезной кареткой имеющей жесткую сборную конструкцию. Каретка легко перемещается по двум усиленным цельнометаллическим направляющим цилиндрической формы диаметром 50 мм.с помощью линейных шариковых подшипников. Система имеет дополнительную нижнюю скользящую опору (на основе подшипника), придающую конструкции дополнительную стабильность и жесткость, также полностью исключающую малейшее провисание подвижного стола даже под тяжестью очень массивных или габаритных зоготовок. Каретка оснащена крупноформатным (760 * 500 мм.) адаптивным (перемещается по оси, перпендикулярной направлению хода каретки, по точным направляющим) чугунным столом, позволяющим максимально комфортно позиционировать заготовку относительно шпинделя. Удобному позиционированию заготовок также помогает телескопическая линейка с 4 откидными упорами и эксцентриковый прижим.

Фрезерные станки ROBLAND серии T120TP позволяют выполнять большинство наиболее востребованных деревообрабатывающих операций и имеют следующую стандартную комплектацию:

ручная фиксация шпинделя;

ограждение с микрорегулировкой (до 250 мм);

специальный клиновой ремень для работы при больших нагрузках;

револьверные упоры с 8-ью позициями;

быстросменных оправок к валу MK;

двойная аспирация: от ограждения и внизу стола.

Версия TP оборудована следующими приспособлениями:

эксцентриковым прижимом;

телескопической наклонной линейкой для нарезания шипов с 4-мя упорами с возможностью установки 4-х размеров;

специальный кожух с аспирацией (максимальный диаметр инструмента 360 м); линейные шариковые подшипники, обеспечивающие очень легкое скольжение сборной каретки.

В качестве опций предлагаются: копировальное устройство; автоматическое пусковое устройство «звезда-треугольник»; верхние и боковые прижимы заготовки на ограждении; алюминиевые ограждения шпинделя.

В исполнении CE станок оборудован защитным выключателем на дверце станка, индикатором частоты вращения шпинделя и цепью безопасности с низким напряжением 24 В.

Таблица 8 Технические характеристики фрезерного станка Robland T120TP

Размер стола, мм:

1200*705

Частота вращения шпинделя, об/мин:

3000-7000

Наибольший диаметр фрез, мм:

320

Наибольший ход каретки, мм:

1050

Мощность, кВт:

7,5

Габариты, мм:

2600*1200*1300

Вес, кг:

800


Рисунок 9 Фрезерный станок Robland T120TP

Фрезерный станок ФСШ

Собран на цельно литой виброустойчивой чугунной станине, внутри которой установлен высокоскоростной шпиндельный узел с механизмом подъёма и приводом от двухскоростного электродвигателя.

На станине установлен литой чугунный стол. На столе крепятся ограждение фрезы с регулируемыми направляющими линейками и патрубком для стружкоотсоса. Шипорезная каретка имеет поворотную линейку с эксцентриковым прижимом.

Габариты, мм     1085*1150*1320

Масса, кг   900

Рисунок 10 Фрезерный станок ФСШ

Пресс для сращивания заготовок по длине, ПСД-3

Полуавтоматический пресс марки ПСД предназначен для продольного беззазорного соединения заготовок пиломатериалов хвойных и лиственных пород зубчато- клиновыми шипами.

Пресс изготавливается в двух вариантах для склеивания бруса длиной Зм и 6,3м. Эргономичная конструкция пресса для сращивания заготовок требует от оператора минимум усилий для работы на станке. Пресс оснащен торцовочным узлом. Основное сжатие на прессе обеспечивается пневмоцилиндром, специально разработанным НПО «ГК МАГР». Цилиндр обеспечивает сжатие с усилием до 3,5 тонн. Использование этой оригинальной разработки дало возможность избежать использования дорогостоящей и энергоемкой гидравлики, которую обычно устанавливают на аналогичном оборудовании.

Рисунок 11 Пресс для сращивания заготовок по длине, ПСД-3

Основное сжатие на прессе для сращивания бруса осуществляется пневмоцилиндром, который обеспечивает сжатие до 3,5 тонн, что позволяет избежать использования дорогостоящей и энергоемкой гидравлики

Аспирационная установка "WEILI" MF-9040

Аспирационные установки (пылеулавливающие аппараты) предназначены для отсоса и очистки воздуха от сухой неслипающейся пыли и стружки, перетаривания сыпучих веществ, отходов от абразивных материалов и.т.д.

Главные преимущества аспирационных установок WEILI по сравнению с аналогами:

Для производства аспирационных установок применяются только качественные материалы прошедшие проверку ОТК.

На данный тип устройства устанавливается малошумный вентилятор с профилированными лопостями, этот вентилятор изготовлен из стали и имеет большой срок эксплуатации.

Вся продукция WEILI перед отправкой проверяется и тестируется на заводе - производителе, это исключает возможность поставки продукции потребителю ненадлежащего качества.

Аспирационные установки WEILI имеют промышленное назначение т.к. на них устанавливаются двигатели повышенной мощности с большим запасом прочности, которые работают от напряжения 380В.

Технические характеристики:

Мощность двигателя 4,0 кВт.

Производительность 4000 м3/ч.

Скорость потока воздуха 35-40м/с.

Диаметр переходника 100мм х4шт.

Диаметр крыльчатки (вентилятора) 350мм.

Размер фильтра (верхний) 640 х1200 х1шт.

Размер фильтра (нижний) 640 х1000 х1шт.

Габаритные размеры 1450 х700 х660мм.

Размер упаковки 1450 х700 х660мм.

Вес 110кг.

Вес с упаковкой 118кг.

Рисунок 12 Аспирационная установка MF-9040

Аспирационная установка, MF 9055

Предназначена для древесных или аналогичных материалов, например, пробка или пластик. Собирает опилки и отходы после обработки панелей, волокнистых панелей, ламинированных панелей и проч. Также может собирать отходы в текстильной промышленности.

Рисунок 13 Аспирационная установка, MF 9055

Не подходит для сбора отходов после обработки материалов с пропиткой, пыли, испарений, газа или взрывоопасных субстанций, а также для работы во взрывоопасных условиях.

Таблица 9 Технические характеристики аспирационной установки MF 9055

Модель

9055

Мощность, Квт

5,5

Скорость воздуха,м3/ч

40-45

Производительность по воздуху, м/с

6000

Диаметр впускного отверстия

4*4


На предприятии осуществляется постоянная модернизация оборудования, также осуществляется текущий и профилактический ремонт, в данном разделе мы описали оборудования цеха для производственного процесса на предприятии

. АНАЛИЗ ФАКТОРОВ БЕЗОПАСНОСТИ ОБЬЕКТА

.1 Анализ безопасности оборудования

Опасность (производственная) - свойство производственной среды обитания, которое при определенных условиях может причинять ущерб человеку, материальным ценностям, природной среде.

Опасности носят потенциальный, т. е. скрытый характер. Очень важно своевременное обнаружение и установление количественных, временных и пространственных характеристик опасностей (идентификация) и проведение необходимых профилактических мероприятий, защищающих человека.

Следует отметить, что в последние годы значительно больше внимания уделяется вопросам разработки и реализации профилактических мероприятий по предупреждению производственного травматизма и совершенствованию системы управления охраной труда. Актуальными становятся вопросы идентификации опасностей, прогнозирование и количественная оценка риска[24]. Оградительные устройства - класс средств защиты, препятствующих попаданию человека в опасную зону. Оградительные устройства применяют для изоляции систем привода машин и агрегатов, зоны обработки заготовок на станках, зон выделения вредных веществ, загрязняющих воздушную среду.

Оградительные устройства по своей конструкции и в зависимости от вида оборудования, расположения человека в рабочей зоне, специфики опасностей и вредностей, габаритов оборудования подразделяются на:

стационарные;

подвижные;

переносные;

В качестве материала ограждения используют металлы, пластмассы, дерево, а при необходимости наблюдения за рабочей зоной прозрачные материалы (оргстекло, триплекс). Ограждения должны быть достаточно прочными и надежно крепиться к частям машин или фундаменту.

Круглопильные станки имеют металлический кожух, закрывающий диск пилы и автоматически поднимающийся при подаче материала, а также расклинивающий нож и зубчатый сектор или диск, препятствующий обратному выходу материала.

ограждения движущихся механизмов станка сблокированы с цепью управления станком посредством путевых выключателей. При открытых ограждениях исключается возможность работы любого механизма;

подача расклиниваемого материала в неработающий пильный узел исключена. Блокировка осуществлена замыкающим блок-контактом пускателя;

перемещение механизма прижима возможно только при отключенном пильном механизме. Блокировка осуществлена размыкающим блок-контактом пускателя;

при невключенной вытяжной системе работа станка исключена. Схемой предусмотрен разрыв цепи управления, в который должен быть включен замыкающий блок-контакт аппарата управления вытяжной системой.

Предохранительные защитные средства предназначены для автоматического отключения агрегатов и машин при отклонении какого - либо параметра, характеризующего режим работы оборудования, за пределы допустимых значений. Таким образом, при аварийных режимах (увеличении давления, температуры, рабочих скоростей, силы тока, крутящих моментов) исключается возможность взрывов, поломок, воспламенений. В соответствии с ГОСТ 12.4.125 - 83[25], предохранительные устройства по характеру действия бывают блокировочными и ограничительными.

Ограничительные устройства по конструктивному исполнению подразделяют на муфты, штифты, клапаны, шпонки, мембраны, пружины, сильфоны и шайбы. На деревообрабатывающих станках предусмотрены ограничительные устройства, которые являются элементами механизмов, рассчитанные на разрушение (или несрабатывание) при перегрузках технологического оборудования или при нарушении режимов обработки. К слабым звеньям таких устройств относятся: срезные штифты и шпонк, соединяющие вал с маховиком; фрикционные муфты, не передающие движения при больших крутящих моментах.

Блокировочные устройства препятствуют проникновению человека в опасную зону либо во время пребывания его в этой зоне устраняют опасный фактор. Большое значение этим видам средств защиты придается на рабочих местах агрегатов и машин, не имеющих ограждений, а также там, где работа может вестись при снятом или открытом ограждении. [27]

По принципу действия блокировки делятся на: механические, электрические, пневматические, гидравлические, фотоэлектрические, радиационные и комбинированные.

На деревообрабатывающих станках предусмотрена механическая система блокировки защитного щитка. Она представляет собой систему, обеспечивающую связь между защитным экраном и тормозным (пусковым) устройством. При снятом оградительном экране станок невозможно растормозить, а следовательно, и пустить его в ход. [31]

Наличие контрольно - измерительных приборов одно из условий безопасной и надежной работы оборудования. Это приборы для измерения давления, температур, статических и динамических нагрузок, концентраций паров и газов. Эффективность их использования повышается при объединении их с системами сигнализации.

Устройства автоматического контроля и сигнализации делятся:

по назначению:

а) информационные

б)      предупреждающие;

в)      аварийные;

г)       ответные

         по способу срабатывания

а)      автоматические;

б)      полуавтоматические;

         по характеру сигнала:

а)      звуковые;

б)      световые;

в)      цветовые;

г)       знаковые;

д)      комбинированные

         по характеру подачи сигнала:

а)      на постоянные;

б)      пульсирующие.

В деревообрабатывающем цехе на предприятии ГБУ «Заинский лесхоз» предусмотрено несколько видов сигнализации: предупреждающая и информационная. Предупредительная сигнализация предназначена для предупреждения об опасности, она опережает включение оборудования или подачу высокого напряжения. К предупредительной сигнализации относятся указатели на самом станке и около рабочего места, а также плакаты типа: «Не открывать - высокое напряжение». Видом предупредительной сигнализации является сигнальная окраска. Травмоопасные элементы оборудования выделяют чередующимися полосами желтого и черного цвета. На станках в красный цвет окрашивают обратные стороны дверец, ниш для электрооборудования, а также поверхности схода стружки. Информативная сигнализация используется в виде схем, указателей, надписей.

Знаки безопасности установлены ГОСТ 12.4.026 - 76[26]. Они могут быть запрещающими, предписывающими и указательными и отличаются друг от друга формой и цветом. В производственном оборудовании и в цехах применяют предупредительные знаки, представляющие собой желтый треугольник с черной полосой по периметру, внутри которого располагается какой - либо символ (черного цвета). Например, при электрической опасности - это молния, при опасности травмирования перемещаемым грузом - груз, при прочих опасностях - восклицательный знак.

Обеспечение безопасной эксплуатации анализируемого технологического процесса за счет применения защитных устройств наглядно представлено в таблице 10.

Таблица 10 Обеспечение безопасной эксплуатации анализируемого технологического процесса за счет применения защитных устройств.

Опасный фактор

Средства защиты

Нахождение человека в зоне возможного воздействия механического фактора от подвижных частей оборудования

Металлический кожух, закрывающий диск пилы и автоматически поднимающийся при подаче материала. Расклинивающий нож и зубчатый сектор или диск, препятствующий обратному выходу материала. Сигнализация преднамеренного неприведения защитного щитка в рабочее положение

Поражение электрическим током

Заземление.  Изоляция токоведущих проводов.

Повышенный уровень шума

Звукоизолирование.  Противошумные наушники, беруши.

Запыленность рабочей зоны

Респираторы

Недостаточная освещенность рабочего места

Источник света: лампы и светильники


.2 Анализ электробезопасности и пожарной безопасности

Способ монтажа вертикальных заземлителей зависит от габаритов электродов заземления, характера грунта и его состояния во время монтажа (талый, мерзлый), времени года и климатических условий, количества погружаемых электродов, удаленности объектов друг от друга и от механизации, наличия и возможности получения механизмов и приспособлений, необходимых для монтажа.

Рациональные способы монтажа:

для талых, мягких грунтов - вдавливание и ввертывание стержневых электродов, забивка и вдавливание профильных электродов;

для плотных грунтов - забивка электродов любого сечения;

для мерзлых грунтов - вибропогружение;

для скальных и мерзлых грунтов при необходимости глубокого погружения - закладка в пробуренную скважину.

Сопротивление растеканию забитого электрода минимальное; сопротивление электрода, смонтированного ввертыванием, на 20-30% выше; сопротивление электрода, заложенного в готовую скважину и засыпанного рыхлым грунтом, может оказаться еще выше, что не позволит ввести электроустановку в эксплуатацию.

Сопротивление электродов увеличивается незначительно при вдавливании в грунт и при погружении вибраторами и превышает сопротивление забитых электродов лишь на 5-10 %. Через 10-20 дней сопротивление электродов, погруженных вибраторами, вдавленных и забитых, начинает выравниваться. Значительно больше времени требуется для восстановления структуры грунта и уменьшения сопротивления электродов, ввернутых в грунт, особенно при применении расширенного наконечника на электроде, что облегчает погружение, но разрыхляет грунт.

При забивке можно применять стальные электроды любого профиля - уголковые, квадратные, круглые, однако наименьший расход металла (при одинаковой проводимости) и наибольшая устойчивость к грунтовой коррозии (в случае равного расхода металла) достигаются при использовании стержневых электродов из круглой стали.

При забивке в обычные грунты на глубину до 6 м экономично применять стержневые электроды диаметром 12-14 мм. При глубине до 10 м, а также при забивке коротких электродов в особо плотные грунты, необходимы более прочные электроды диаметром от 16 до 20 мм.

Чтобы забить электроды глубже, чем на 10-12 м, применяют механизмы ударно-вибрационного действия - вибраторы, с помощью которых электроды легко погрузить даже в промерзший грунт.

Вибраторами можно погрузить электроды значительно глубже, чем при ввертывании и вдавливании, что особенно важно для грунтов с высоким удельным сопротивлением (порядка 1000 Ом) и глубоким уровнем грунтовых вод (более 9 м), например, для сухих песков, в которых сопротивление электрода по мере заглубления очень резко снижается.

Если при проектировании грунт не зондировали и его электрические характеристики неизвестны, во избежание лишней работы монтаж глубинных заземлителей рекомендуется проводить в следующей последовательности:

Подготовить отрезки электрода, их длину принять соответственно конструкции используемого механизма.

Забить нижний отрезок электрода.

Измерить сопротивление растеканию забитого отрезка.

Приварить следующий отрезок электрода.

Забить второй отрезок и снова выполнить измерение.

Продолжать работу до достижения нужной проводимости.

Как и любой другой способ, ввертывание электродов имеет свои преимущества и недостатки, определяющие его применение в конкретных условиях. Несомненным преимуществом является сравнительная легкость освоения механизированных приспособлений (ручных электросверлильных машин, малых бензодвигателей), которые позволяют заглублять электроды лишь на сравнительно небольшую глубину, что в ряде случаев увеличивает число электродов и расход металла.

Мощность этих приспособлений небольшая, и для облегчения ввертывания приходится применять наконечники на электродах, разрыхляющие грунт, что резко увеличивает электрическое сопротивление грунта на период, пока его структура не восстановится. Необходимость быстрого ввода в эксплуатацию вызывает увеличение числа погружаемых электродов для достижения нужной проводимости заземлителя и как следствие, дополнительный расход металла.

Схема заземлительного устройства представлена на рисунке 14.

Рисунок 14. Вертикальное заземлительное устройство

Определяем характеристику окружающей среды и степень опасности поражения электрическим током:

по характеру окружающей среды помещение может быть отнесено к жарким, т.к. температура в помещении под воздействием различных излучений превышает постоянно или периодически 35 оС.

по степени опасности поражения электрическим током, к классу - особо опасные

Определяем Rд - допустимое (нормативное) сопротивление растеканию тока по ПУЭ. Rд = 4 Ом для Uc = 380 В.

Определяем приближенное удельное сопротивление грунта, рекомендуемое для расчета.

Определяем значение Ксв - коэффициента сезонности для вертикальных заземлителей по климатической зоне района проектирования. Ксв = 1,2

Определяем значение Ксг - коэффициента сезонности для горизонтальных заземлителей по заданной климатической зоне III. Ксг = 2,0

Определяем - расчетное удельное сопротивление грунта для вертикальных заземлителей:

 


Определяем - расчетное удельное сопротивление грунта для горизонтальных заземлителей:

 


Определяем t - расстояние от поверхности земли до середины вертикального заземлителя:

 

 

Определяем  - сопротивление растеканию тока в одном вертикальном заземлителе:

 


Определяем - теоретическое число вертикальных заземлителей без учета коэффициента использования  (при )


Определяем коэффициент использования вертикальных электродов при полученном теоретическом числе заземлителей () и в соответствии с соотношением расстояния между электродами и длиной заземлителя - .

Определим - потребное число вертикальных заземлителей с учетом коэффициента использования

)


Определим- расчетное сопротивление растеканию тока в вертикальных заземлителях при их количестве равном , без учета увеличения соединительной полосы.

     


Определим  - расстояние между заземлителями по отношению , отсюда

Определим длину соединительной полосы (горизонтального заземлителя):

   


Определяем - сопротивление растеканию тока в соединительной полосе (горизонтальном заземлителе):

 


Определяем - коэффициент использования горизонтального заземлителя при выбранном ранее соотношении  и .

По таблице

Определяем расчетное сопротивление растеканию тока в горизонтальном (соединительной полосе) заземлителе.

 


Определяем  - расчетное сопротивление растеканию тока в вертикальном и горизонтальном заземлителях:

 


Если соблюдается условие  (), расчет окончен.

Выбираем материал и сечение соединительных проводников: медные сечением 4,0 мм2. Для магистральных шин применяют стальную полосу толщиной , сечением 100 мм2.

По требованиям ВСН 196-83 для общего освещения основных производственных помещений следует применять газоразрядные источники света низкого и высокого давления (лампы люминесцентные, ДРЛ, металлогалогенные).

Люминесцентные лампы нужно применять при повышенных требованиях к цветоразличению и цветопередаче (малярные цехи, отделения приготовления красок, участки подбора текстуры шпона и др.);

Исходя из требований ВСН 196-83 выбираем соответствующий расчет.

Требования пожарной безопасности при разработке объемно-планировочных и конструктивных решений окрасочных цехов, участков и вспомогательных помещений устанавливаются на основе требований действующей нормативно-технической документации с учетом следующих исходных данных:

функционального назначения помещений и зданий;

категории помещений и зданий;

степени огнестойкости зданий и сооружений класса конструктивной пожарной опасности зданий;

класса зоны по Правилам устройства электроустановок (ПУЭ).

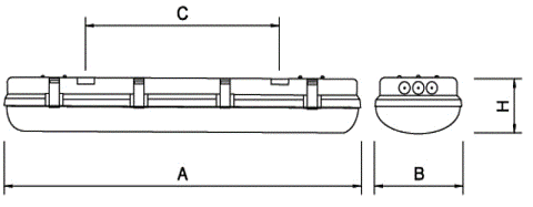
Допустимые типы светильников ОД, исходя из пожароопасности помещения П2. Выбран подвесной открытый дневного света с защитным углом α=150 в поперечной плоскости (типа ОД - прямого света со сплошными отражателями).

Для категории зрительных работ средней точности, объект различения свыше 5 мм, контраст средний, фон темный. в - Освещенность ЕН = 200 лк для системы общего освещения, показатель ослепленности Р = 40, коэф. пульсации Кп = 20%.

Коэффициенты отражения потолка ρПТ и стен ρСТ = 0,7

Коэффициент запаса Кз = 1,5

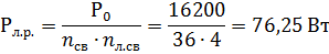
По таблице по расчетной мощности одной лампы ЛД80-4 уточняем паспортную мощность люминесцентных ламп РЛ = 80 Вт, и световой поток FЛ = 4070 лм.

Ру = 16,2 Вт/м2

Определяют общую мощность на освещение, Вт:


и расчетную мощность одной лампы, Вт:


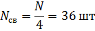
где пСВ - общее число светильников;

пЛ.СВ - число ламп в светильнике.

Определяем коэффициент использования осветительной установки по таблицам, приведенным для различных серий светильников, исходя из значений коэффициентов отражения и индекса помещения.

Минимальная высота подвеса светильников с люминесцентными лампами 3,5 м.

Расстояние между светильниками

Оптимальные значения отношения расстояния между светильниками к высоте их подвеса: γ = Lсв/hсв

Необходимое количество ламп:


Где Е - требуемая освещенность горизонтальной плоскости, лк.- площадь помещения, м2

Кз - коэффициент запаса (Кз = 1,5)

η = 0,56 - коэффициент использования осветительной установки.

Ф - световой поток одной лампы, лк.

Число рядов светильников по ширине помещения

Определяем количество светильников в ряду

Действительную мощность осветительной установки, Вт, рассчитывают по формуле:

Действительная удельная мощность,  Вт/м2

где ЕН - нормативная освещенность, лк, по [21].

Длина светильника - 1600 мм = 1,6 м

Длина помещения - 50 м

Вывод: действительная освещенность соответствует нормам освещенности цеха.

Рисунок. 15 Подвесной светильник открытый дневного света с защитным углом α=150 в поперечной плоскости (типа ОД - прямого света со сплошными отражателями)

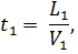
Предельно допустимая длина эвакуационного участка, м:


где v - скорость движения людей при вынужденной эвакуации: при движении по горизонтальным участкам v = 16 м/мин, по лестнице вверх vВВ =8 м/мин, вниз vВН = 10 м/мин;

τ - допускаемое время эвакуации, мин: при эвакуации из зданий III и IV степеней огнестойкости τ = 4 мин.

Плотность размещения людей на площади эвакуационного участка, (2,82х25 м2/м2):

;

где Ni - численность людей на участке; - площадь горизонтальной проекции человека, м2; - площадь участка эвакуации, м2.

Значение Д должно быть не более 0,92 м2/м2.

Ширина эвакуационного участка, м:

;

где δ - предельная плотность потока людей: для взрослых не более 10...12 чел./м2, для детей - не более 20...25 чел./м2.

Значение предельной плотности потока людей можно определить по формуле:

;

Ширину эвакуационных участков принимают с учетом ширины строительных элементов зданий и сооружений.

Число путей эвакуации:

;

Полученное значение округляют в большую сторону, но в любом случае ПЭ должно быть не менее двух.

На каждый из 2х участков пути получилось по 1 эвакуационному выходу.

Расчетное время эвакуации людей цеха t следует определять как сумму времени движения людского потока по отдельным участкам пути t по формуле:


Время движения людского потока по участку пути t , мин., рассчитывают по формуле:


где  - длина участка пути, м;

- скорость движения людского потока по горизонтальному пути на участке, м/мин.

Плотность однородного людского потока на участке пути D (чел/м2) рассчитывают по формуле:


где  - число людей на участке, чел. взято из возможной максимальной загруженности аудиторий и кабинетов; f - средняя площадь горизонтальной проекции человека, м2/чел., принимаемая в соответствии с таблицей [11], можно принять равной 0,125;  - ширина первого участка пути, м.

Из таблицы [11] находим интерполяцией скорость движения потока и интенсивность:


Время движения людского потока:


.3 Анализ основных вредных и опасных производственных факторов

Опасными и вредными производственными факторами при выполнении плотницких работ являются:

неогражденные режущие кромки инструментов;

вылетающие стружка, опилки, осколки обрабатываемого материала;

повышенная физическая нагрузка;

повышенная (пониженная) температура окружающего воздуха;

падение с высоты;

падение предметов с высоты;

повышенный уровень шума;

напряжение в электрической сети;

пыле- и газообразные выделения применяемых в производстве веществ в воздухе рабочей зоны.

К вредным (опасным) факторам, присутствующих на рабочем месте плотника являются:

Шум (эквивалентный уровень на стройплощадке и максимальный уровень при работе с ручным электрифицированным инструментом);

Вибрация локальная (при работе с ручным электрифицированным инструментом);

Микроклимат;

Освещенность.

Физические факторы.

К физическим факторам на рабочем месте плотника относятся:

Шум;

Вибрация общая и локальная;

Параметры микроклимата (температура воздуха, относительная влажность воздуха, скорость движения воздуха, инфракрасное излучение);

Параметры световой среды (искусственное освещение (освещенность) рабочей поверхности).

По данным протокола измерения и оценки шума (таблица 11) определяем, что эквивалентный уровень звука на рабочем месте плотника составляет класс условий труда 3.2.

Таблица 11 Протокол измерений и оценки шума

Фактор

Фактическое значение

Нормативное значение

Класс условий труда

Эквивалентный уровень звука, дБА

91

80

3.2

Максимальный уровень звука, дБА

95.3

110

2


Сильный шум вредно отражается на здоровье и работоспособности людей. Человек, работая при шуме, привыкает к нему, но продолжительное действие сильного шума вызывает общее утомление, может привести к ухудшению слуха, а иногда и к глухоте, нарушается процесс пищеварения, происходят изменения объема внутренних органов.

Механизм действия шума на организм сложен и недостаточно изучен. Когда речь идет о влиянии шума, то обычно основное внимание уделяют состоянию органа слуха, так как слуховой анализатор в первую очередь воспринимает звуковые колебания и поражение его является адекватным действию шума на организм. Изменения, возникающие в органе слуха, некоторые исследователи объясняют травмирующим действием шума на периферический отдел слухового анализатора - внутреннее ухо. Этим же обычно объясняют первичную локализацию поражения в клетках внутренней спиральной борозды и спирального (кортиева) органа. Имеется мнение, что в механизме действия шума на орган слуха существенную роль играет перенапряжение тормозного процесса, которое при отсутствии достаточного отдыха приводит к истощению звуковоспринимающего аппарата и перерождению клеток, входящих в его состав. В патогенезе профессионального поражения органа слуха нельзя исключить роль ЦНС. Патологические изменения, развивающиеся в нервном аппарате улитки при длительном воздействии интенсивного шума, в значительной мере обусловлены переутомлением корковых слуховых центров.

Профессиональное снижение слуха бывает обычно двусторонним. Начальные проявления профессиональной тугоухости чаще всего встречаются у лиц со стажем работы в условиях шума около 5 лет.

Под воздействием шума, превышающего 85-90 дБА, в первую очередь снижается слуховая чувствительность на высоких частотах.

Воздействуя на кору головного мозга, шум оказывает раздражающее действие, ускоряет процесс утомления, ослабляет внимание и замедляет психические реакции. По этим причинам сильный шум в условиях производства может способствовать возникновению травматизма, так как на фоне этого шума не слышно сигналов транспорта, автопогрузчиков и других машин.

Недостаточное освещение рабочего места может привести к травматизму и некачественному изготовлению продукции. На организм человека недостаточная освещенность влияет на органы зрения. Недостаточное освещение влияет на функционирование зрительного аппарата, то есть определяет зрительную работоспособность, на психику человека, его эмоциональное состояние, вызывает усталость центральной нервной системы, возникающей в результате прилагаемых усилий для опознания четких или сомнительных сигналов.

Установлено, что свет, помимо обеспечения зрительного восприятия, воздействует на нервную оптико-вегетативную систему, систему формирования иммунной защиты, рост и развитие организма и влияет на многие основные процессы жизнедеятельности, регулируя обмен веществ и устойчивость к воздействию неблагоприятных факторов окружающей среды. Сравнительная оценка естественного и искусственного освещения по его влиянию на работоспособность показывает преимущество естественного света.

Важно отметить, что не только уровень освещенности, а все аспекты качества освещения играют роль в предотвращении несчастных случаев.

Неравномерное освещение может создавать проблемы адаптации, снижая видимость. Работая при освещении плохого качества или низких уровней, люди могут ощущать усталость глаз и переутомление, что приводит к снижению работоспособности. В ряде случаев это может привести к головным болям. Причинами во многих случаях являются слишком низкие уровни освещенности, слепящее действие источников света и соотношение яркостей. Головные боли также могут быть вызваны пульсацией освещения. Таким образом, становится очевидно, что неправильное освещение представляет значительную угрозу для здоровья работников.

Для оптимизации условий труда имеет большое значение освещение рабочих мест. Задачи организации освещённости рабочих мест следующие: обеспечение различаемости рассматриваемых предметов, уменьшение напряжения и утомляемости органов зрения. Производственное освещение должно быть равномерным и устойчивым, иметь правильное направление светового потока, исключать слепящее действие света и образование резких теней.

Оптимальные и допустимые параметры микроклимата рабочей зоны определяются в соответствии с СанПиH 2.2.4.548 96 "Гигиенические требования к микроклимату производственных помещений".

В теплый период года температура воздуха в цехе достигает 16-270С, при влажности воздуха 15-60%, скорость движения воздуха-0,1 м/с, что относится ко второму классу опасности.        В холодный период года температура воздуха - 15-220С, влажность 15-75%,      скорость движения воздуха - 0,1м/с, что тоже относится ко второму классу опасности.

Химические факторы.

К химическим факторам на рабочем месте плотника является участие его в процессе обработки дерева - антисептирование. Антисептирование осуществляется лаками и красками. Все химические вещества изготовлены по ГОСТУ 9980.2-89, которые во внешней среде не оказывают вредного воздействия на организм.

Биологические факторы.

К биологические факторам относится воздействие древесной пыли на организм. В работе плотника пыль является основным фактором влияния на его организм. Пыль образуются вследствие деревообработки, дробления или истирания, обточки, распиловки и т.д.

Источниками выделения древесной пыли являются циркульные пилы, торцовочные станки, станки фуговальные, рейсмусовые, сверлильные, фрезерные, строгальные, шипорезные, шлифовальные и др. Действие пыли на организм человека. Пыль обладает рядом отрицательных свойств. Она уменьшает прозрачность воздуха, снижает солнечную радиацию, угнетает рост растений, способствует туманообразованию, ухудшает общие санитарно-бытовые условия. Пыль может вызывать порчу оборудования, зданий.

При дыхании они легко задерживаются в верхних дыхательных путях и удаляются при чиханье и кашле. Частицы, имеющие микроскопический размер (0,25-10 мкм), более устойчивы в воздухе. Такая пыль при дыхании проникает в альвеолы, особенно частицы размером менее 5 мкм. Ультрамикроскопическая пыль (частицы размером менее 0,25 мкм) значительное время находится в воздухе, подчиняясь законам броуновского движения. Роль пылинок данной фракции в развитии поражения организма невелика.

Действие пыли на кожный покров сводится в основном к механическому раздражению. Вследствие такого раздражения возникает небольшой зуд, неприятное ощущение, а при расчесах может появиться покраснение и некоторая припухлость кожного покрова, что свидетельствует о воспалительном процессе.

Пылинки могут проникать в поры потовых и сальных желез, закупоривая их и тем самым, затрудняя их функции. Это приводит к сухости кожного покрова, иногда появляются трещины, сыпи. Попавшие вместе с пылью микробы в закупоренных протоках сальных желез могут развиваться, вызывая гнойничковые заболевания кожи - пиодермии. Закупорка потовых желез пылью в условиях горячего цеха способствует уменьшению потоотделения и тем самым затрудняет терморегуляцию.

При попадании пыли на слизистые оболочки глаз и верхних дыхательных путей ее раздражающее действие, как механическое, так и химическое, проявляется наиболее ярко. Слизистые оболочки по сравнению с кожным покровом более тонки и нежны, их раздражают все виды пыли, не только химических веществ или с острыми гранями, но и аморфные, волокнистые и др.

Пыль, попавшая в глаза, вызывает воспалительный процесс их слизистых оболочек - конъюнктивит, который выражается в покраснении, слезотечении, иногда припухлости и нагноении

Пыль занимает одно из первых мест среди причин профессиональной патологии легких, наиболее распространенными из которых являются пневмокониозы. Под этим названием подразумевают хронические заболевания легких в результате воздействия пыли, сопровождающиеся развитием фиброза легочной ткани. Содержание пыли в воздухе, не превышает норму, следовательно относится ко 2 классу.

Психофизиологические факторы.

При работе плотник должен быть концентрирован на работу. Внимательно выполнять свою работу во избежание травм на рабочем месте.

.4 Анализ охраны окружающей среды на предприятии

Деревообрабатывающее предприятие оказывает значительное загрязнение на окружающую среду.

Таким образом, для деревообрабатывающих производств в настоящее время характерны следующие факторы, определяющие воздействие на окружающую среду:

•        быстрое обновление парка технологического оборудования для увеличения производительности и сокращения материало- и трудозатрат;

•        частая смена технологического процесса и оборудования в пределах производственных помещений, обусловленная гибкостью производства разнообразной продукции;

•        увеличение объема выбросов загрязняющих веществ в атмосферный воздух и количества измельченных отходов деревообработки и удельного содержания в них пыли за счет увеличения скоростей распила сырьевых материалов;

•        необходимость соблюдения законодательства по охране окружающей среды, а также ужесточение требований к экономии энергетических ресурсов.

Основными источниками загрязнения атмосферного воздуха являются цеха механической обработки древесины, производства плит ДСП, ДВП, клееной фанеры, а также отделочные, сушильные цеха.

При механической обработке древесины источниками выделения загрязняющих веществ в атмосферный воздух являются дисковые пилы, пилорамы, круглопильные, торцовочные, фрезерные, фуговальные, рейсмусовые, строгальные, шлифовальные, ленточнопильные, сверлильные, шипорезные станки, дробилки.

В таблице 12 приведены загрязняющие вещества, выделяемые в атмосферный воздух от основных технологических процессов различных деревообрабатывающего производства, которые вносят существенный вклад в загрязнение атмосферного воздуха.

Таблица 12 Перечень загрязняющих веществ от различных технологических процессов деревообработки

Технологический процесс

Наименование загрязняющего вещества

Класс опасности загрязняющего вещества

ПДК (мкг/м3)




Максимальная разовая

Средне-суточная

Механическая обработка (пиление, резание, дробление)

Пыль древесная

3

400,0

160,0

Механическая обработка плитных материалов (раскрой, фрезерование, сверление)

Пыль неорганическая, содержащая двуокись кремния более 70 %

3

150,0

50,0


Твердые частицы суммарно

3

300,0

150,0

Отделка изделий (нанесение лакокрасочных покрытий, сушка)

Ацетон

4

350,0

150,0


Бутилацетат

4

100,0

-


Этилацетат

4

100,0

-


Ксилол

3

200,0

100,0


Бутан-2-он

3

100,0

40,0


Этанол

4

5000,0

2000,0

Пропитка стружки смолой, Горячее Прессование Сушка изделий

Аммиак

4

200,0

-


Формальдегид

2

30,0

12,0


Фенол

2

10,0

7,0


Метанол

 

1000,0

500,0

Механическая обработка (обрезка, шлифование, раскрой)

Пыль неорганическая, содержащая двуокись кремния более 70 %

3

150,0

50,0


Твёрдые частицы суммарно

3

300,0

150,0


Качественные и количественные показатели выбросов обусловлены видом и составом сырья и материалов, применяемых в производстве (например, в зависимости от марки смолы, используемой в производстве плит ДСП, меняется процентное содержание формальдегида и/или фенола и соответственно изменяется массовый выброс этих загрязняющих веществ).

Интенсивность выбросов зависит от характера ведения технологического процесса (производительность труда, объем и качество производимой продукции, удельный расход материалов на единицу продукции, тип и производительность оборудования) и режима работы (непрерывный или с перерывами).

Очистка выбросов от древесной пыли. Так как основную долю в валовых выбросах деревообрабатывающего предприятия составляет древесная пыль, то первоочередной задачей является эффективная очистка воздуха от пыли в рабочей зоне производственных помещений и охрана атмосферного воздуха от загрязнения пылевыми выбросами с минимальными капитальными и эксплуатационными затратами.

Наиболее эффективными, получившими наибольшее распространение, являются системы аспирации и пневмотранспорта.

. ОБЕСПЕЧЕНИЕ БЕЗОПАСНОСТИ ОБЪЕКТА

.1 Определение экономической эффективности мероприятий по улучшению условий труда

Для уменьшения вредного производственного фактора шума на деревообрабатывающем производстве предложено применение звукопоглощающей конструкции. Особенностью шума в закрытом помещении является - не только прямой звук от источника, но и звук, многократно отраженный от стен, потолка и пола. Уровень шума в помещении деревообрабатывающего предприятия за счет отражения превышает уровень прямого шума от источника на расстоянии 10 м и более на 7... 16 дБ. Отсюда следует, что снизить шум в производственных помещениях можно уменьшением отраженного шума, в частности отделкой стен звукопоглощающими материалами.

Для деревообрабатывающих предприятий наиболее пригодны звукопоглощающие конструкции, представляющие собой тонкий листовой перфорированный материал (например листы фанеры), набитый на деревянный каркас. За перфорированный лист помещают стекловату или пористый материал (например пенопласт). Слой звукопоглощающего материала примыкает к стене, что повышает звукопоглощение. Стоимость одной такой плиты, размерами 3м*2м, составляет 1200 рублей.

Общий вид цеха со звукопоглощающим подвесным потолком: 1 - технологические коммуникации, скрытые подвесным звукопоглощающим потолком; 2, 3 - звукопоглощающая облицовка потолка и стены; 4 - оконные проемы.

Данное здание имеет размеры:

•        длина l1 = 60 м;

•        ширина 12 = 24 м;

•        высота H = 6 м.

В наружных стенах цеха деревообрабатывающего предприятия имеется 10 одинаковых оконных проемов. Расстояние от пола до нижнего края каждого оконного проема Yн = 1,2 м. Расстояние от пола до верхнего края проема Yе = 2,4 м. Ширина каждого оконного проема в = 1,2 м. Суммарная ширина оконных проемов = 24 м.

В противопожарной стене имеется дверной проем шириной и высотой 2,4 м. Этот проем защищен противопожарными дверями. При пожаре этот проем закрыт.

Цех деревообрабатывающего предприятия имеет один дверной проем, соединяющий цех с наружной средой. Его ширина равна 2,4 м. Расстояние от пола до верхнего края дверного проема Yв = 3 м. Расстояние от пола до нижнего края дверного проема Yн = 0 м.

Для того чтобы рассчитать нужное количество звукопоглощающих, надо рассчитать общую площадь стен.

Площадь стен = (длина стен +ширина стен)*2=(60 м+24м)*2=168м2

Из общей площади стен надо вычесть дверные и оконные проемы.

168м2- (2,4*2,4)-(3*2,4)=155,04 м2

Площадь одной звукопоглощающей плиты 6м2. Для площади 155,04м2 с высотой стен 6 метров, нам понадобиться 52 плиты, общей стоимостью 62400 рублей.

Таким образом для уменьшения шума в цехе понадобится 52 плиты, суммой 62400 рублей.

Благодаря применению таких плит снизиться уровень профессиональных заболеваний на рабочем месте плотника, возникающих в результате повышенного уровня производственного шума.

3.2 Экономический анализ потерь от производственных травм и профессиональных заболеваний

Экономические потери (ущерб) от производственного травматизма и профессиональных заболеваний определяются не только потерями возмещения, но и условной стоимостью недополученной продукции в связи с выбытием работающего из производственного процесса.

В общем виде условная стоимость недополученной продукции (условные потери прибавочного продукта) определяются произведением числа дней нетрудоспособности из-за травматизма и профессиональных заболеваний на среднюю стоимость продукции, вырабатываемой работающим за один день. Условная стоимость недополученной продукции в целом по предприятию может быть определена путем суммирования стоимости недополученной продукции на каждом рабочем месте, где отсутствовал работник по причине получения травмы или профессионального заболевания.

Утрата трудоспособности (временная или стойкая) у работающих может быть следствием, которое вызвано производственной травмой, профессиональными заболеваниями, производственно обусловленными, общими болезнями.

Главными задачами анализа травматизма и профессиональных заболеваний являются: установление закономерностей, вызывающих несчастные случаи и разработка на этой основе эффективных профилактических мероприятий.

Для оценки производственного травматизма применяются показатели: коэффициент частоты травматизма, коэффициент тяжести травматизма, коэффициент травмопотерь, период работы без травм.

Коэффициент частоты травматизма (Кч) определяется по формуле:

Кч=А*1000/Б

где А - число травм за отчетный период; Б - среднесписочная численность работников предприятия, цеха.

Таким образом

Кч=А*1000/Б=10*1000/50=200

Коэффициент тяжести травматизма (Кт) определяется по формуле:

Кт=В/А,

Таким образом

Кт=В/А=140/10=14

где В - общее число рабочих дней, потерянных за отчетный период в связи с временной нетрудоспособностью, вызванной несчастными случаями на производстве; А - число травм за отчетный период.

Коэффициент травмопотерь (Кп) используется для оценки прямого экономического ущерба предприятию от производственного травматизма с временной утратой трудоспособности:

Кп = Кт*Кч,

где Кт - коэффициент тяжести травматизма; Кч - коэффициент частоты травматизма.

Таким образом

Кп = Кт*Кч=14*200=2800

Период работы без травм (Тб) рассчитывается по формуле:

Тб=270/А

где А - число травм рассматриваемой категории за отчетный период, равный одному календарному году.

Таким образом

Тб=270/А=270/10=27

.3. Технические и технологические решения по обеспечению охраны окружающей среды (техносферной безопасности)

При шлифовании деревянных изделий происходит выделение древесных продуктов (стружки, опилок, древесной пыли и т. д.), загрязняющих воздушную среду. Основная часть выделяющихся вредных твердых отходов улавливается местными отсосами, остальные - растворяются системами общеобменной вентиляции.

Загрязнения, удаляемые системами вытяжной вентиляции, направляются на установки обезвреживания или рассеиваются в атмосфере.

Рассеивание вредностей в атмосфере является наиболее простым и дешевым способом защиты окружающей среды. Однако его можно использовать лишь в том случае, если расчетами будет доказано, что содержание выбрасываемых вредностей в приземном слое совместно с существующим фоном не превышает допустимого по санитарным нормам.

Для обработки древесных материалов шлифованием рекомендуется применять следующие типы установок обезвреживания загрязненного воздуха:

) очистка загрязненного воздуха при помощи вентиляции.

) прямое термообезвреживание, заключающееся в выжигании примесей в загрязненном воздухе при температуре 1000-1100 °С; несмотря на кажущуюся простоту этого метода, его из-за большого расхода топлива нужно применять только при наличии в воздухе примесей, пассивирующих работу. Из представленных методов обезвреживания загрязненного воздуха, наиболее эффективным, для очистки воздуха от древесных примесей, является метод очистки загрязненного воздуха при помощи вентиляции газов, так как прямое термообезвреживание проходит при более высокой температуре (1000-1100 °С), кроме того термообезвреживание требует большого расхода топлива.

По этому для очистки воздуха применяем циклон ЦН-15

Рисунок 16 - Схема циклона ЦН-15

Где: Диаметр выхлопной трубы d - 0,59 м; диаметр пылевыпускного отверстия d1 - 0,3-0,4 м; диаметр входного патрубка b - 0,2 м; Длина входного патрубка l - 0,6 м; высота входного патрубка а - 0,66 м; высота выхлопной трубы (ВТ) hт - 1,74 м; высота внешней части (ВТ) hв - 0,3 м; высота цилиндрической части Нц - 2,06 м; высота конуса Нк - 2,0 м; высота установки фланца hфл - 0,1 м; общая высота циклона Н - 4,56 м.

Циклоны ЦН-15 предназначены для очистки воздуха от сухой, неслиппающейся, неволокнистой пыли, образующейся в различных помольных и дробильных установках и при транспортировании сыпучих материалов.

Степень очистки в циклоне сильно зависит от дисперсного состава частиц пыли в поступающем на очистку газе (чем больше размер частиц, тем эффективнее очистка). Для распространённых циклонов типа ЦН степень очистки может достигать:

для частиц с условным диаметром 20 микрон - 99,5% - для частиц с условным диаметром 10 микрон - 95% - для частиц с условным диаметром 5 микрон - 83% C уменьшением диаметра циклона степень очистки возрастает, но увеличивается металлоёмкость и затраты на очистку. При больших объёмах газа и высоких требованиях к очистке газовый поток пропускают параллельно через несколько циклонов малого диаметра (100-300 мм.). Такую конструкцию называют мультициклоном или батарейным циклоном. Возможно, также применить электростатический фильтр, который, напротив, эффективен именно для малых частиц [13 стр. 72].

Существуют также фильтры по очистке воздуха, работающие, по аналогии с фильтром ЦН-15, но в отличии от ЦН-15, эти фильтры более сложные в эксплуатации и дорогостоящие. К таким фильтрам можно отнести:

. Рукавные фильтр "СМЦ-101 А".

Предназначенный, для очистки воздуха от стружки, опилок и шлифовальной пыли. Установки оборудованы системой непрерывной выгрузки отходов в пневмотранспорт, механический транспортер или специальный бункер-накопитель отходов.

Степень очистки воздуха установками составляет 99,9%. Установки используются в качестве элемента очистки воздуха в системах аспирации и пневмотранспорта как с применением рециркуляционной схемы обращения воздуха, так и без нее.

Установка предназначена для очистки больших объемов загрязненного воздуха от древесной стружки, опилок и непрерывной выгрузки отходов деревообработки в пневмотранспорт или иной транспортер отходов до сборного бункера. Обеспечиваемая установкой степень очистки воздуха позволяет возвращать очищенный воздух в помещение, сохраняя при этом его температуру.

Установка состоит из блока фильтров с механической системой регенерации и бункера, в котором расположено устройства непрерывной выгрузки отходов, выполненных в едином корпусе. Устройство выгрузки может быть двух типов: выгрузка на базе шнекового транспортера и выгрузка на основе цепного транспортера. Установка комплектуется шкафом управления и выносным пультом управления системой выгрузки. По желанию Заказчика установка может системой подачи воды при возгорании и дублирующей системой порошкового пожаротушения.

Установка оснащена автоматическим пожаротушением, включающим в себя термодатчики и систему подачи воды в случае возгорания, обратными клапанами на входных воздуховодах, клапанами разгрузки избыточного давления.

Так же возможно применение фильтров для очищения воздуха от мелкодисперсной пыли.

Принцип действия фильтра СМЦ -101 А состоит в следующем: воздух засасывается вентилятором от источника выделения пыли через диффузор (ПВУ) и подается в блок фильтров. Здесь кассетой грубой очистки улавливаются аэрозольные частицы крупнее 3-5 мкм, а кассетой тонкой очистки более мелкие частицы. Фильтрующие материалы обеих кассет работают в режиме накопления пыли. При достижении перепада давления 260-300 Па кассета грубой очистки подлежит промывке. Складчатая фильтрующая кассета после накопления в ней ~ 6 кг пыли подлежит утилизации и замене на новую (перепад давлений 700 Па).

Допускается частичная регенерация фильтрующей кассеты тонкой очистки обратной продувкой сжатым воздухом.

Фильтр СМЦ -101 А состоит из блока инерционной очистки с контейнером для уловленной пыли, блока фильтров и блока вентилятора. Блок инерционной очистки состоит из корпуса и контейнера для сбора уловленной пыли. К корпусу снаружи крепится инерционный осадитель, через который очищаемый воздух подается в фильтр. Блок фильтров состоит из корпуса, в котором размещаются сетчатый фильтр грубой очистки воздуха, фильтр тонкой очистки на основе ультратонкого стекловолокна и химкассета (в случае комплектации ею агрегата). Фильтр грубой очистки вставляется в корпус через дверцу, остальные фильтрующие элементы вставляются и извлекаются через верхнюю часть корпуса после снятия блока вентилятора. Блок вентилятора устанавливается на блок фильтров. В блок вентилятора встроен комплект электрической пусковой аппаратуры двигателя: автоматический выключатель, магнитный пускатель, кнопки "Пуск" и "Стоп", кабель электропитания, здесь же установлен дифманометр для контроля степени загрязненности фильтра тонкой очистки. Блок вентилятора соединен с блоком фильтров четырьмя замками защелками для удобства разборки и замены фильтрующего элемента. Очищенный воздух выходит наружу через выходной патрубок, снабженный шумоглушителем.

Принцип действия фильтра СМЦ -101 А состоит в следующем: загрязненный воздух из рабочей зоны засасывается блоком вентилятора во входной патрубок блока инерционной очистки, где вследствие резкого поворота струи, расширения потока и падения его скорости происходит отделение крупных частиц пыли размером более 20-50 мкм и выпадение их в бункер фильтра. Далее очищаемый воздух поступает в сетчатый фильтр грубой очистки (улавливаются частицы от 3 мкм и более) и в фильтрующую кассету тонкой очистки воздуха (улавливаются более мелкие частицы), затем в химкассету (в случае комплектации ею агрегата) для очистки воздуха от CO, NOx, HF и других вредных веществ.

. Фильтр ФСК-1000.

Фильтр ФСК-1000 состоит из корпуса, полноповоротного вытяжного устройства и вентилятора. В корпусе фильтра размещаются: кассета грубой очистки и неразборный складчатый кассетный фильтрующий элемент тонкой очистки. Вентилятор закрыт специальным звукоизолирующим кожухом. Все основные узлы фильтра установлены на раме. Для контроля запыленности кассет грубой и тонкой очистки на корпусе фильтра установлены два дифманометра. Там же размещена пусковая арматура электродвигателя вентилятора, включающая: магнитный пускатель, автоматический выключатель, кнопки "Пуск", "Стоп". Фильтр установлен на колесах. В стационарном варианте на входе фильтра вместо ПВУ устанавливается диффузор [5 стр. 124].

Фильтр ФСК 1000 в основном предназначен для очистки воздуха от СО, NO, HF и условия эксплуатации очень строгие. А рукавный фильтр СМЦ 101 "А" также так же сложен в эксплуатации, дорогостоящий и очень большой по своим размерам, чего нельзя сказать про циклон ЦН - 15, по этому в данной работе применим именно его.

Также рассмотрим методы переработки отходов деревообрабатывающего цеха, что является важным фактором техносферной безопасности предприятия

.

Рисунок 17 - Схема производства топливных гранул из древесных отходов

- рубильная машина; 2 - склад с подвижным полом; 3 - транспортер; 4 - дробилка; 5 - грохот вибрационный; 6 - бункер-дозатор; 7 - питатель-дозатор; 8 - бункер теплогенератора; 9 - теплогенератор; 10 - газоход; 11 - растопочная труба; 12 - барабан сушильный; 13 -циклонная установка; 14 - выпускная труба; 15 - вентилятор-дымосос; 16 - сепаратор; 17 - дробилка; 18 - пневмотранспорт; 19 - бункер пресса-гранулятора; 20 - пресс-гранулятор; 21 - охладитель гранул; 22 - вибросито; 23 - линия упаковки; 24 - биг-бэг.

Брикетирование - это процесс, во время которого сырье прессуется под сильным давлением. Лигнин, содержащийся в дереве под давлением выделяется и склеивает сырье в брикет. Когда поршень прессует сырье, температура существенно поднимается, при этом содержащиеся в сырье клейкие вещества выходят наружу. Однако влажность сырья должна быть минимум 6%. Влажность в сырье испаряется из-за высокой температуры. При сильном испарении могут образоваться полости для пара, что приведет к разрушению брикета из-за расширения. Наилучший процент влажности для брикетирования зависит от используемого сырья, но исходя из нашего опыта, мы рекомендуем в пределах от 6% до 16%. При влажности более 16% качество существенно будет снижено, пока брикетирование не станет вообще невозможным.

Процесс прессования мелко измельченных отходов древесины по высоким давлением без использования вяжущих веществ. Влажность брикетируемого материала не должна превышать 15% на единицу массы, а размеры должны соответствовать по величине размерам опилкам или стружкам - макс. 15 мм. Сырье с повышенной влажностью и размерами перед брикетированием необходимо размельчить и высушить. Брикетирование используется для переработки древесных отходов на высококалорийное экологическое топливо (брикеты), для изготовления индивидуального топлива, используемого круглый год, для решения проблем хранения сгораемых отходов, а также решает проблемы с отбросами, которые возникают в малых и средних столярных мастерских и лесопилках. Полученный в результате брикетирования топливный материал из-за своих высоких потребительских свойств находит широкое применение, как в домашнем хозяйстве, так и в промышленных отопительных системах.

Преимущества опилочных брикетов перед непрессованными опилками следующие:

Брикеты занимают объем в 4-5 раз меньший, чем непрессованные опилки, и это дает соответствующую экономию в складских площадях.

Брикеты, обладая большим весом, чем опилки, становятся транспортабельным топливом ( 1м3 хвойных сухих опилок весит 150-200 кг, а брикетов- 800-1100 кг).

Брикетирование позволяет повысить в 4-8 раз эффективность использования транспортных емкостей при перевозке отходов.

Пресса поставляемые нашей компанией обладают производительностью от 100 кг/ч до 2200 кг/ч. С помощью пресса превращают неликвидные отходы в брикеты, для использования как для собственных нужд, так и для дальнейшей продажи в качестве твердого топлива. Вложение денег в брикетирование надежное, и в ряде случаев является очень выгодным.

ЗАКЛЮЧЕНИЕ

техносферный безопасность деревообрабатывающий труд

В данном курсовом проекте была разработана система производственной безопасности деревообрабатывающего участка цеха «По глубокой переработке древесины и тары» на ФГУП «Муромский приборостроительный завод». Был рассмотрен технологический процесс «Изготовления деревянного ящика», на основании которого определенны производственные опасности.

В данном проекте была разработана система обеспечения производственной безопасности, а именно был произведен расчет освещения на рассматриваемом участке, по результатам которого выявлено, что при работе на станках установленное освещение достаточно. Также были определены оптимальные параметры микроклимата рабочей зоны станочника, и проведен расчет эффективности общеобменной механической аспирации, расчет отсасывающих устройств - местных отсосов для удаления загрязненного частицами древесной пыли воздуха из зоны ее выделения. Был произведен расчет защитного заземления - для обеспечения электробезопасности, а так же рассмотрена молниезащита - для защиты деревообрабатывающего участка от поражения молнией.

Проанализировав влияние технологического процесса на окружающую среду, можно сделать вывод, что пыль, выделяющаяся в результате технологического процесса, не превышает предельно допустимую концентрацию. Для определения этого, был произведён расчёт очистного оборудования - циклона ЦН-15, установленного в цехе. По расчётам эффективность очистки данного устройства составляет 78%. Такой эффективности вполне достаточно для того, чтобы концентрация пыли в очищенном воздухе не превышала ПДК.

В экономической части диплома был произведён расчёт затрат на приобретение, транспортировку и установку проектируемого оборудования на деревообрабатывающем участке. Эта сумма составила 129970 рублей. Был произведён расчёт платы за выбросы производственной пыли в атмосферу от стационарных источников, плата составила 17,7 руб., т.к. установлена система очистки.

Наряду с экономическим эффектом при создании системы производственной безопасности достигается и социальный эффект, который не имеет количественного выражения и заключается в улучшении условий труда, повышении техники безопасности.

В результате создания системы производственной безопасности на деревообрабатываемом участке улучшаются условия труда, повышается его безопасность, что приводит к снижению уровня профессиональных заболеваний и улучшению удовлетворенности работников данного участка.

Периодически следует делать замеры концентрации пыли в воздухе. Необходимо также следить за наличием у каждого работника средств индивидуальной защиты, особенно, таких как респиратор и противошумные наушники.

Подведя итог проделанной работе можно сказать, что разработанная система промышленной безопасности поможет улучшить условия труда работников деревообрабатывающего участка.

В данном проекте был рассмотрен один из способов очистки воздуха от древесных отходов, образующихся в процессе шлифовании.

В деревообрабатывающем цехе этой курсовой концентрация загрязнителя составляла 80 мг/м3, что превышает предельно допустимую концентрацию.

С целью снижения содержания древесных отходов в воздухе рабочей зоны и в промышленных выбросах цеха деревообработки была спроектирована система, включающая в себя местное вытяжное устройство, установку циклона ЦН-15.

Предельно допустимая концентрация древесной пыли составляет 25 мг/мг3, после применения циклона концентрация составила 23,2 мг/мг3.

Таким образом, достигнуты цели данного проекта, а именно была снижена степень загрязнения атмосферы рабочей зоны шлифования и окружающей среды.

Любое предприятие отрасли заинтересовано в том, чтобы утилизация древесных отходов из статьи затрат перешла в статью доходов, и по этому в данной работе был так же предложен способ переработки и повторного использования твердых отходов.

СПИСОК ИСПОЛЬЗОВАННОЙ ЛИТЕРАТУРЫ

«Определение загрязнений воздуха в атмосфере и на рабочем месте»/ Под ред. П.А. Коузова, В.А. Симонова. -М.: Химия, 1980. 343 с.

Арашкевич О.В. Оценка экономического потенциала предприятий деревообрабатывающей промышленности Гомельской области / Вестник экономической интеграции / 2011 / № 8 / Москва / Интеграция.

Безопасность жизнедеятельности. Безопасность технологических процессов и производств: Учеб. пособие для вузов / П.П. Кукин и др. М.: Высшая школа, 2011.

Безопасность жизнедеятельности: Учебник для вузов /Под ред. С.В. Белова. М.: Высшая школа, 2014.

Библиографический список / Бунаков П.Ю., Стариков А.В. / Автоматизация проектирования корпусной мебели: основы, инструменты, практика / Москва / ДМК Пресс / 2009.

Богословский В. Н., Пирумов А. И., Посохин В. Н. и др.; под ред. Павлова Н. Н. и Шиллера Ю. И. Внутренние санитарно-технические устройства. Ч. 3: в 3 ч. // Кн. 1: Вентиляция и кондиционирование воздуха. М.: Стройиздат, 2012.

В.Г.Артамонова, Н.Н.Шаталов "Профессиональные болезни", Медицина.

Г.А.Суворов, А.М.Лихницкий "Импульсный шум и его влияние на организм человека".

ГН 2.2.5.686-98 «Предельно допустимые концентрации (ПДК) вредных веществ в воздухе рабочей зоны. Гигиенические нормативы»

Голубева Л.А., Сергеичев Д.М. «Метод очистки воздуха рабочей зоны от древесной пыли» //Научный потенциал молодежи - будущее России: II Всероссийские научные Зворыкинские чтения. Сб.тез. докладов II Всероссийской межвузовской научной конференции - Муром: Изд. Полиграфический центр МИ ВлГУ, 2010.- с.499-500

Голубева Л.А., Сергеичев Д.М. «Электробезопасность при работе на деревообрабатывающем оборудовании» //Научный потенциал молодежи -будущее России: II Всероссийские научные Зворыкинские чтения. Сб.тез. докладов II Всероссийской межвузовской научной конференции - Муром: Изд. Полиграфический центр МИ ВлГУ, 2010.- с.500-501

ГОСТ 12.1.005 - «Общие санитарно-гигиенические требования к воздуху рабочей зоны»

ГОСТ 12.2.003-74 «ССБТ. Оборудование производственное. Общие требования безопасности».

ГОСТ 12.2.043-80 «ССБТ. Оборудование Пылеулавливающее. Классификация.»

Гуревич Н.А., Аксенов В.Л. Защита воздушного бассейна деревообрабатывающих предприятий. М., 2012, с. 1 - 48 с ил. и табл.

Деревообработка. Инструменты и оборудование. НТС «Стройинформ», 2015 г, 452 с.

Доронин Ю.Г., Мирошниченко С.Н., Святкина М.М. Синтети-ческие смолы в деревообработке. М., Лесная промышленность, 2010, 220 с.

Доронин Ю.Г., Мирошниченко С.Н., Святкина М.М. Синтетические смолы в деревообработке. М., Лесная промышленность, 2013, 207 с.

Е.Ц.Андреева-Галанина и др. "Шум и шумовая болезнь".

Иванов А.М. Экологические аспекты химических процессов и основы промышленной экологии [Текст]: учеб. пособие химических специальностей вузов / А.М. Иванов. - Курск: КПИ, Тула, 2012. - 104 с. Библиогр.: 101 с.

Катализаторы очистки газовых выбросов промышленных производств / Н.М. Попова - М.: Химия, 2011. 176с.

Курсовое и дипломное проектирование по вентиляции гражданских и промышленных зданий: Учебное пособие для ВУЗов/ В.П. Титов,,Э.В. Сазонов, Ю.С. Краснов, В.И. Новожилов - М.: Стройиздат, 2015

Литвинцева Г.А., Павлов В.Ф., Медведев М.Е. Химические материалы, применяемые в мебельной промышленности. М., Лесная промышленность, 2013, 240 с.

Методические указания к выполнению курсового проекта «Системы обеспечения промышленной безопасности», Муром, 2014г.

Охрана труда в машиностроении: Учебник для Машино-строительных вузов/ Е.Я.Юдин, С.К.Баланцев и др.; Под ред. Е.Я.Юдина, С.В.Белова-2-е изд., перераб. и доп.-М.: Машиностроение, 2013,432 с.,ил.

Переработка кусковых отходов древесины в технологическую щепу / Тимонин А.С. / Инженерно-экологический справочник. Том 3 / Калуга / Издательство Н. Бочкаревой / 2013.

Погодин А.С. Шумоглушащие устройства. М, " Машиностроение" Борьба с шумом на производстве: Справочник /Под общ. ред. Е.Я. Юдина. М.: Машиностроение, 2010.

РД 34.21.122-87. «Инструкция по устройству молниезащиты зданий и сооружений».

Рысин С.А. Вентиляционные установки машиностроительных заводов: Справочник. - Государственное научно-техническое издательство машиностроительной литературы. Москва 1956 г.

СанПиН 2.2.2.548-96 «Гигиенические требования к микроклимату производственных помещений»

СанПиН 2.2.4.562-96 «Шум на рабочих местах, в помещениях жилых, общественных зданий и на территории жилой застройки».

Севастьянов Б.В. Управление безопасностью труда: учебное пособие для студ. высш. учеб. заведений. - В 2 ч. / Б.В. Севастьянов, Е.Б. Лисина, И.Г. Тюрикова. - Ч. I. Государственное управление охраной труда. Ижевск: Изд-во ИжГТУ, 2010. - 276 с.

СН 2.2.4/2.1.8.566-96 «Производственная вибрация, вибрация в помещениях жилых и общественных зданий»

СНиП 2.04.05-91 «Отопление, вентиляция и кондиционирование»

СНиП 23.05.95. Строительные нормы и правила. Нормы проектирования. Естественное и искусственное освещение».

Стеймацкий Р.М., Красиков В.И. Справочник по шпалопилению и лесопилению. М., Лесная промышленность, 2007, 285 стр.

Физико-химические свойства пыли: Методические указания к проведению практического занятия по дисциплинам "Экология", "Промышленная экология", "Процессы и аппараты защиты атмосферы" / Курск. гос. техн. Ун-т; Сост. В.М. Попов, В.В. Юшин. Курск, 2012

Юшин В.В., В.Л. Лапин, В.М. Попов и др. Техника и технология защиты воздушной среды [Текст]: учеб. пособие для вузов / В.В. Юшин, В.М. Попов, П.П. Кукин и др. - М.: Высшая школа, 2015. - 391 с. Библиогр.: 389-390 с.

Похожие работы на - Обеспечение техносферной безопасности деревообрабатывающего цеха

 

Не нашли материал для своей работы?
Поможем написать уникальную работу
Без плагиата!
Без нейросетей!