Создание торгового правила на фондовом рынке

  • Вид работы:
    Дипломная (ВКР)
  • Предмет:
    Банковское дело
  • Язык:
    Русский
    ,
    Формат файла:
    MS Word
    580,4 Кб
  • Опубликовано:
    2016-10-22
Вы можете узнать стоимость помощи в написании студенческой работы.
Помощь в написании работы, которую точно примут!

Создание торгового правила на фондовом рынке

Введение

финансовый вероятность прогнозирование рынок

В современном мире процессы, протекающие на финансовом рынке, характеризуются высокой степенью сложности и неоднозначности. Данная ситуация складывается ввиду возрастающей роли глобализации, углубления сотрудничества экономических агентов разных стран, нестабильной ситуации с обменными курсами валют, высокой волатильности цен на торгуемые активы. Это приводит к тому, что для инвесторов становится всё сложнее предугадывать изменения тех или иных величин на финансовом рынке, вследствие чего повышается степень рискованности. Нельзя с уверенностью определить изменение значения интересуемой величины, поэтому любой прогноз относительно её будущего значения всегда носит вероятностный характер.

Тем не менее, финансисты обладают набором специальных инструментов, которые на основе предполагаемых зависимостей позволяют снизить степень данной рискованности и создавать модели для прогнозирования. В частности, основным методом прогнозирования на финансовом рынке является построение функции плотности вероятности. Опираясь на данные, полученные благодаря данной функции, участники рынка строят свои торговые стратегии.

Таким образом, актуальность настоящего исследования обусловлена постоянным поиском участниками финансового рынка инструментов прогнозирования интересующих их показателей. Результат, который будет получен в данной работе, может использоваться в дальнейшем в качестве торгового правила на финансовом рынке.

Целью данной работы является создание торгового правила на основе построения функции плотности вероятности с помощью применения уравнения Фоккера-Планка.

Для достижения поставленной цели были сформулированы следующие задачи:

·        Подготовить базу котировок ценных бумаг за последние несколько лет;

·        Решить уравнение Фоккера-Планка, построив функцию плотности вероятности, эволюционирующую во времени;

·        На основе полученных данных построить торговое правило.

Объектом настоящего исследования является один из методов фундаментального анализа прогнозирования финансовых процессов, используя дифференциальные уравнения второго порядка.

В соответствии с поставленной целью в качестве предмета исследования было взято уравнение Фоккера-Планка, которое представляет собой дифференциальный оператор второго порядка в частных производных.

Новизна данной работы заключается в том, что известный метод решения финансовой задачи применяется на выборке, сделанной автором, в результате чего автор выводит торговое правило.

В качестве гипотезы автор ставит утверждение о том, что применение уравнения Фоккера-Планка является эффективным способом прогнозирования на финансовом рынке.

Основные методы, использованные автором в ходе написания работы, включают в себя анализ, то есть определение составных частей решения задачи и её основных этапов и их последующее изучение, и математическое моделирование, с помощью которого на основе реальных данных было построено торговое правило.

В ходе написания работы использовались учебные материалы, Интернет-ресурсы, база данных финансовых показателей (#"895917.files/image001.gif">;(1)

Для одной переменной x:

;(2)

где  - коэффициент сноса;

 > 0 - коэффициент диффузии;

W(x,t) - функция плотности вероятности.

Фактически данный оператор представляет собой дифференциальное уравнение второго порядка в частных производных. В решение финансовых задач будем использовать его в следующем виде:

,(3)

где  - скорость изменения функции плотности вероятности p во времени;

 - математическое ожидание смещения случайной величины (коэффициент сноса);

 - дисперсия вокруг данного смещения (коэффициент диффузии).

Другими словами,  - это приращение случайной величины x за бесконечно малый промежуток времени, в то время как смысл  заключается в ожидаемой дисперсии вокруг этого ожидаемого приращения. То есть .

Как уже было упомянуто выше, уравнение Фоккера-Планка описывает движение функции плотности вероятности p(x,t), в то время как движение случайной величины x описывает формула Ито:

 ,(4)

где  - винеровский процесс.

Сама случайная величина может быть распределена согласно любому закону распределения, однако в каждой конкретной точке ()x его приращение  подчиняется Гауссовскому процессу:

,(5)

то есть .

В нашем случае случайной величиной будет служить логарифм цены на ценные бумаги, подчиняющийся распределению p(x,t), а доходности данных бумаг, взятые с долговым плечом, будут подчиняться нормальному распределению. Собственно на этих доходностях мы и будем строить модель.

1.2 Способы решения уравнения Фоккера-Планка


Согласно авторам учебника «Марковские процессы» Тихонову В. И. и Миронову М. А. существует шесть наиболее популярных методов решения нестационарного уравнения Фоккера-Планка: 1) метод разделения переменных, 2) метод преобразования Лапласа, 3) метод характеристической функции, 4) метод замены независимых переменных, 5) метод гауссова приближения и 6) численные методы. Рассмотрим некоторые из них.

·        Метод разделения переменных

Основная идея данного метода заключается в том, что исходное уравнение Фоккера-Планка разделяется на 2 части: одна - зависит от финансовой переменной X(x), а другая - от времени T(t).

 (6)

В ходе данного преобразования начальное уравнение принимает вид:

(7)

Далее следует поделить обе части уравнения (7) на выражение (6), в результате чего получится преобразованное уравнение Фоккера-Планка:

(8)

Полученное выражение хорошо тем, что левая часть зависит только от времени, а правая - только от финансовой переменной. Поэтому имеем право приравнять обе эти части к одной константе (-).

Выполнив все указанные действия, получаем два обыкновенных дифференциальных уравнения из выражения (8):

 - для времени;(9)

(10)

- для финансовой переменной.

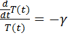
Выражение, зависящее от времени, является обычным дифференциальным уравнением первого порядка. Поэтому решив его, получаем:

(11)

Найденное выражение является решением одной из частей первоначального разложения функции p(x,t). Выразим вторую часть.

Для этого необходимо провести ряд преобразований с выражением (10). Домножив правую и левую части уравнения на X(x) и перенеся  в левую сторону, получаем выражение вида:

(12)

Таким образом, мы получили функцию, представляющую стандартный вид уравнения Штурма-Лиувилля.

Полученное уравнение Штурма-Лиувилля может быть представлено следующим образом:

.(13)

Выражение (13) имеет решение, если:


Тогда его решением будет:

,(14)

То есть получаем функцию плотности вероятности, которая в каждой точке связана с вероятностью принять определенное значение доходности.

·        Метод замены переменной

Основная мысль данного метода заключается в упрощении вида уравнения Фоккера-Планка путем взаимно-однозначного преобразования переменной.

Предположим, что . Тогда марковский процесс xt с плотностью вероятности p(x,t) будет заменен случайным процессом yt, который также будет представлять собой марковский процесс с функцией плотности . Тогда исходная функция плотности вероятности будет выглядеть следующим образом:

(15)

Изначальные коэффициенты сноса и диффузии также примут иной вид:

(16)

(17)

Из выражения (16) видно, что если мы хотим, чтобы коэффициент сноса в новом процессе был равен 0, то должно выполняться равенство:

(18)

Таким образом, используя данный метод, можно свести начальное уравнение Фоккера-Планка к упрощенному виду с коэффициентом сноса, равным 0.

Однако недостаток данного метода заключается в том, что он не универсален, потому что одна и та же функция  должна быть решением двух дифференциальных уравнений одновременно. Поэтому данный способ обычно применятся, когда  имеет экспоненциальный вид.


Глава 2. Решение уравнение Фоккера-Планка

 

.1 Общий алгоритм решения уравнения Фоккера-Планка


Остановимся на решении уравнения Фоккера-Планка с применением метода разделения переменных. Формально, алгоритм данного решения заключается в следующем:

. Находим собственные значения ;

. Раскладываем исходную функцию в базисе:

,

где  - частные решения.

На данном этапе перед нами стоит задача построить базис , используя решения которого необходимо разложить исходную функцию плотности вероятности. В данной главе будут показаны 2 варианта решения уравнения с помощью разложения базисе: по методу Родрига и с использованием тригонометрического базиса.

Тем не менее, прежде чем строить базис, необходимо разобраться, что из себя представляют веса . Формально, это коэффициенты разложения Фурье, которые находятся по следующей формуле:

,(19)

где  - функция плотности вероятности в начальный момент времени t=0;

 - ортонормированный базис;

 - весовая функция;

A и B - константы, задающие пределы интегрирования, границы области определения.

Поэтому следующие 2 подглавы будут посвящены построению весовой функции и функции плотности вероятности до начала ее эволюции во времени.

2.2 Весовая функция


Для нахождения весов  мы столкнулись с необходимостью использования весовой функции w(x). Следует разобраться, что она собой представляет и в каком виде будет использована для решения задачи в данной работе.

Весовая функция w(x) используется одна для всех решений уравнения Штурма-Лиувилля.

Весовая функция имеет следующий вид:

(20)

 

Данная запись напоминает вид функции плотности вероятности в начальном состоянии (14), тем не менее, они не равны друг другу.

2.3 Процесс нахождения функции плотности вероятности в начальном состоянии


Для того чтобы найти начальное состояние функции плотности вероятности, необходимо решить задачу вариационного исчисления. Выведем функцию плотности вероятности до начала ее эволюции, соблюдая условие максимальной информационной энтропии по Шеннону, которая позволяет количественно измерить неопределенность и информацию:

,(21)

где  - плотность вероятности в начальном состоянии;

 - это количество информации, которое дает i-ое сообщение.

Минус используется для того, чтобы показать, что с каждым новым сообщением количество информации возрастает и неопределенность снижается. Поэтому в дальнейшем наша цель - минимизировать данную функцию.

Далее задача заключается в построении функционала, который в рамках данной работы будет состоять из выбранной переменной (x), функции её распределения (y), функции плотности вероятности (первая производная функции распределения f(x)=y’(x)), а также несколько первых начальных моментов распределения:

,(22)

где  - основа информационной энтропии по Клоду Шеннону;

 - первый, второй и третий начальные моменты.

Для того, чтобы найти соответствующую y(x), построим уравнение Эйлера-Лагранжа:

(23)

где

Здесь нас интересует функция плотности вероятности . Значит, мы имеем дифференциальное уравнение первого порядка. Поэтому выполнив ряд преобразований, мы приходим к следующему виду:

(24)

 

Значит, функцию плотности вероятности можем задать следующим образом:

(25)

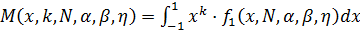
Теперь остается найти численные значения параметров распределения. Воспользуемся для этого методом моментов:

,(26)

где k - порядок момента.

На данном этапе у нас есть возможность решить поставленную задачу двумя способами и посмотреть, какой метод даст нам наиболее оптимальное решение. Первый способ решения включает в себя обычное решение системы уравнений без каких-либо преобразований. Однако ввиду того, что функция плотности вероятности включает в себя часть, зависящую от экспоненты, мы можем прибегнуть к методу разложения в ряд Маклорена по формуле:

,(27)

где z - это степень при экспоненте.

В нашем случае .

Избавление от экспоненты дает приближенный результат, тем самым снижая точность вычислений. Тем не менее, данный метод упрощает вычисления и, соответственно, снижает время расчетов в программе. Получив 2 результата мы сможем выбрать наиболее оптимальный. Если не применять метод разложения экспоненты, то моменты будут заданы следующим образом:

(28)

Следуя второму методу решения, воспользуемся формулой (27) и получим новую упрощенную формулу функции плотности вероятности, которая уже не включает в себя часть, зависящую от экспоненты:

(29)

Таким образом, моменты распределения можно найти по следующей формуле:

(30)

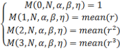
Теперь для нахождения моментов распределения нам необходимо построить систему из четырёх уравнений с четырьмя неизвестными.

(31)

Однако эмпирическим путем было проверено, что при использовании способа решения с помощью разложения экспоненты, зачастую нарушается первое условие о площади под кривой функции плотности, равной 1. Поэтому остановимся на методе решения без использования каких-либо преобразований.

 

.4 Метод Родрига


Разобравшись с основными понятиями, необходимыми для построения общей функции плотности вероятности, вернёмся к процессу нахождения базиса.

Одним из наиболее популярных способов решения получившегося уравнения Штурма-Лиувилля (12) является разложение по полиномам Родрига.

Для начала необходимо провести параметризацию функций смещения  и диффузии .

Для нашей задачи в данном случае зададим данные функции следующим образом:

;

;

где m - среднее смещение финансовой переменной,- её среднеквадратическое отклонение.

Также произведем ряд следующих замен:

(32)

(33)

;(34)

;(35)

Для чего это нужно? Вид записи уравнения с введёнными заменами позволяет решить его по формуле Родрига. Формула Родрига дает возможность не только выписать полиномы, но и найти соответствующие им собственные значения .

Таким образом, полиномы можно найти по формуле:

(36)

А собственные значения:


где n - порядок полинома,

w(x) - весовая функция,

N - константа.

Для того чтобы найти заданный нами коэффициент , необходимо определить собственные значения  и потом выразить данный вектор  через полученные .


Получив данные собственные значения, можем по следующей формуле перейти к интересующим нас коэффициентам:

(38)




Очевидно, чем выше порядок полинома, то есть чем больше частных полиномиальных решений мы будем использовать, тем лучше построенный «движок» будет описывать эволюционирование функции плотности вероятности. Однако время и сложность вычислений в программе Mathcad заставляют нас ограничиться взятием 14 полиномов.

Используя указанную параметризацию, получаем систему из 14 полиномиальных решений, которая будет использоваться в последующих вычислениях.

Таким образом, благодаря использованию метода Родрига была получена система частных полиномиальных решений, которую мы назвали u(x). Данная система представляет собой систему ортогональных векторов, что может быть проверено путем построения матрицы:

,(39)

где k=0..9 и n=0..9 - порядки полиномиальных решений.

Строим матрицу на открытом интервале, так как предполагаем по виду весовой функции, что она фиксирована на нем. Получившиеся 0 на всех местах, кроме главной диагонали, свидетельствуют об ортогональности векторов: .

Однако векторное пространство может быть лучше описано, если мы имеем дело с ортонормированным базисом. Ортонормированная матрица относительно веса w(x) - это ортогональная матрица при условии, что все ее функции нормированы относительно названного веса на анализируемом интервале. Другими словами:

(40)

Подберем для ортогональной системы нормирующий множитель D, используя следующую формулу:

(41)

Тогда ортонормированный базис будет выглядеть следующим образом:

 (42)

 

Теперь необходимо свести рассмотрение функций к одному отрезку [A,B]. Таким образом, перед нами встает необходимость ввести замену переменной. Сделаем это с помощью следующей формулы:

(43)

Можно провести проверку введенной формулы, которая подтвердит новые границы A и B:


Теперь замену стоит произвести также и для весовой функции (20). Новую весовую функцию можно найти следующим образом:

, (44)

где .

В базисе, состоящем из полиномиальных выражений, нам же достаточно просто заменить переменную x на . Далее проводится обратная замена всех y на x, и мы получаем новый базис и новую весовую функцию, по-прежнему зависящие от x, но уже нормированные на области от A до B.

 

.5 Построение тригонометрического базиса


В дополнение к полиномиальным решениям по методу Родрига исходное уравнение Фоккера-Планка можно решить путем преобразования Лапласа.

В данном случае зададим коэффициенты смещения и диффузии таким образом:

;

;

Тогда упрощенный вид уравнения Штурма-Лиувилля примет вид:


Преобразуя данное выражение по методу Лапласа, получим:

,(45)

где  - собственное значение;

D - начальное условие для первой производной;

С - начальное условие для самой функции.

Тогда применяя обратное преобразование Лапласа, имеем выражение, задающее часть, зависящую только от финансовой переменной:

(46)

Примем С равной 0, так как это начальное условие для самой функции X, можно предположить, что С=u(0,n)=0.

Собственные значения зададим следующим образом:

,

где n - по-прежнему, порядок полинома.

Такой вид выражения, задающего собственные значения, в дальнейшем поможет упростить вид базисных функций. В точках, кратных , синус будет равен 0, в то время как взятие корня не приведет к появлению иррациональных чисел.

Тогда базисные функции в данном случае будут выглядеть следующим образом:

(47)

Однако стоит обратить внимание на то, что при n=0 возникает деление на 0. Поэтому воспользуемся правилом Лопиталя, чтобы задать свою формулу для базисного решения нулевого порядка.

 (48)

По аналогии с предыдущим методом проведем нормировку базиса. Для этого найдем нормировочные постоянные.

Для


Вторая часть выражения обратится в ноль, так как синус от числа, кратного , равен 0. Поэтому по формуле (41) достаточно взять корень из первой части, поэтому норма будет равна:


Для

Обращаясь все к той же формуле (41), нормировочная постоянная примет вид:

.

Таким образом, можно построить базис, который будет состоять из ортонормированных векторов по аналогии с системой (42).

 (49)

Далее необходимо преобразовать переменную, чтобы области нашей функции плотности вероятности были заданы точками A и B, а не 0 и 1, на которых строился тригонометрический базис. Для преобразования переменной введём следующую замену:

(50)

Тогда функция плотности вероятности в начальном состоянии с обратной заменой примет вид:


2.6 Процесс нахождения общей функции плотности вероятности


В предыдущих подглавах были найдены частные полиномиальные решения и соответствующие им собственные значения с помощью построения двух различных базисов. Однако наша задача сводится к тому, что мы должны найти общее решение уравнения Фоккера-Планка. Именно общее уравнение, зависящее от двух переменных - времени и доходности, даст нам возможность делать прогнозы на будущие периоды.


,(51)

Используя выражение (51), для нахождения полиномиальных весов, которые составляют основу построения эволюционирующей во времени функции плотности вероятности, нам нужно знать функцию плотности в начальном состоянии, искусственно созданный базис из частных решений и весовую функцию. Данные составляющие были найдены в предыдущих подглавах, поэтому на данном этапе возможно начать использовать реальную выборку для построения торгового правила.

Глава 3. Построение уравнения Фоккера-Планка на реальных данных

 

.1 Используемая база данных


В качестве расчетной базы для данного исследования были выбраны ежедневные котировки обыкновенных акций 10 различных компаний, входящих в индекс Доу-Джонса. Данные взяты за двухлетний период с 25 марта 2013 года по 22 марта 2016 года (В документе в программе Mathcad данная матрица обозначена за S). Таким образом, мы имеем 755 значений котировок для построения торгового правила.

Однако трейдера, как правило, интересуют не сами значения котировок бумаг за тот или иной период, а скорее их доходности. Поэтому для того чтобы посчитать доходности, перейдем к натуральным логарифмам:

(52)

Кроме того, современный финансовый рынок характеризуется широким использованием различных кредитных возможностей. Одним из таких инструментов является финансовое плечо (leverage). Финансовое плечо представляет собой соотношение заёмного капитала и собственного, то есть, иными словами, это возможность получить дополнительные средства, которые увеличивают потенциальные прибыль или убыток. Оно повышает степень риска, однако позволяет инвестору в случае проведения успешной сделки заработать больше.

В данной работе примем данное плечо, равным 20:

(53)

Это значит, что инвестор может заключить сделку на сумму в 5 раз превышающую его собственный капитал.

Выгрузив базу данных и начав работать с доходностями, выяснилось, что в чистом виде использовать данные нельзя. Дело в том, что несколько из рассматриваемых компаний в течение анализируемого отрезка времени проводили сплит своих акций (stock split), что очевидно снизило стоимость одной их акции. Так например, 6 июня 2014 года компания Apple осуществила сплит 7:1. Причин проведения данной операции специалисты выделяют несколько. В частности, основной идеей сплита было повышение инвестиционной привлекательности и ликвидности ценных бумаг компании. Кроме того, слишком высокая цена акции не позволяла Apple попасть в индекс Dow Jones Industrial Average, что является своеобразным попаданием в высшую лигу компаний. 18 марта 2015 года аналогичную операцию проводит Visa, однако в размере 4:1. В целом, компания преследовала те же цели: повысить оборачиваемость своих бумаг и сделать их стоимость сопоставимой со стоимостью других бумаг, входящих в промышленный индекс.

В свете того, что было сказано выше, необходимо модифицировать данные, чтобы с ними было удобно работать. Поэтому заменим значения цены акции до проведения сплита в матрице 1/7 и 1/4 их стоимости для Apple и Visa, соответственно.

В дополнении к этому, зададим граничные точки рассматриваемого промежутка. Выбранный нами отрезок должен включать в себя все эмпирические значения и оставлять место для «хвостов» распределения. Поэтому зададим A и B следующим образом:

(54)

(55)

 

.2 Сравнение описательных функций базиса, построенного по методу Родрига и тригонометрического базиса


Для того чтобы определиться, какой базис наилучшим образом описывает исходную функцию, посмотрим на погрешность. Найдем погрешность следующей формуле (представим её в качестве аналога евклидовой нормы вектора):

,(56)

где

,

Таким образом, подставляя найденные в предыдущей главе функции и используя вышеописанную выборку, получаем:

для тригонометрического базиса,

для базиса, построенного на полиномах Родрига.

Формально, считается, что построенное разложение функции в базисе удачно описывает исходную функцию, когда погрешность меньше или равна  Анализируя полученные графики, можно заметить, что тригонометрический базис дает нам адекватный результат уже при 19 базисных функциях:


Однако если посмотреть на второй график, изображающий погрешность разложения по базису Родрига, следует отметить, что на 14 построенных полиномах, погрешность ещё колеблется около значения 0.383. Математический пакет Mathcad 15 в силу больших размеров вычислений не дает возможности подобрать больше полиномиальных решений.

Таким образом, практическим путем пришли к выводу, что для данной задачи будет использоваться тригонометрический базис.

3.3 Расчет оптимальных весов ценных бумаг в портфеле


В предыдущих главах были построены функции плотности вероятности, эволюционирующие во времени, для каждой из выбранных ценных бумаг, используя дифференциальный оператор Фоккера-Планка.

На данном этапе на основе данных функций можно поставить задачу, имеющую прикладной смысл. Например, определим оптимальные веса бумаг в портфеле для следующего периода t=1. Так как изначально прогноз строится на ежедневной выборке, следующий период является следующим торговым днем, то есть - 23 марта 2016 года.

Для нахождения оптимальных весов бумаг в портфеле воспользуемся коэффициентом Шарпа. Данный коэффициент помогает дать количественную оценку эффективности инвестиционного портфеля и находится по следующей формуле:

,(57)

где  - доходность портфеля;

 - безрисковая доходность;

 - стандартное отклонение портфеля.

Нас интересуют данные величины именно для портфеля. Возьмем для примера портфель, состоящий из 3 бумаг: акции Apple, Visa и Microsoft. Тогда стандартное отклонение данного портфеля можно будет найти по формуле:

,(58)

где  - дисперсия для i-ой бумаги;

 - ковариация между доходностями i-ой и j-ой бумаг;

 - вес i-ой бумаги в портфеле.

Таким образом, задача сводится к максимизации выражения (57), то есть находим такую пропорцию бумаг, когда они дают нам максимальную ожидаемую доходность при минимальном риске.

Решив поставленную задачу, получаем, что оптимальные веса для портфеля, состоящего из трёх бумаг компаний Apple, Visa и Microsoft, равны , соответственно. В период t=1 основной бумагой, с которой необходимо проводить сделки является акция Visa. Согласно данному правилу, инвестор должен будет занять длинную позицию по её акциям, также как и по акциям Apple, и короткую - по акциям Microsoft.

Таким образом, данная глава показывает применение теоретических правил, рассмотренных в предыдущих главах, на практике, результатом чего является стратегия построения оптимального инвестиционного портфеля в следующем периоде.

Заключение

Подводя итог, стоит отметить, что в рамках данной работы было рассмотрено правило выбора оптимального распределения весов между различными ценными бумагами в инвестиционном портфеле. Данное правило было построено на основании решений уравнения Фоккера-Планка, которое позволяет проследить эволюционное изменение функции плотности вероятности для финансовой переменной. В данном исследовании в качестве финансовой переменной были выбраны доходности обыкновенных акции 10 компаний, входящих в индекс Доу-Джонса, на протяжении двух лет.

В результате проведенной работы можно выделить несколько ключевых этапов. В начале была рассмотрена теоретическая основа выведения дифференциального уравнения второго порядка как для одномерного, так и для многомерного случаев. Далее для одномерного случая были расписаны несколько вариантов решения, один из которых использовался в настоящей работе. После чего были выведены функции плотности вероятности, эволюционирующие во времени, путем построения 2 базисов: основанного на полиномах Родрига и тригонометрического. Выбрав в качестве наиболее эффективного тригонометрический базис и используя построенную на его основе функцию плотности вероятности, были найдены оптимальные веса ценных бумаг в портфеле с помощью коэффициента Шарпа.

В итоге, следует сказать, что данная работа представляет собой скорее научный интерес. Оно важно для того, чтобы понять основные принципы работы с дифференциальным оператором, представленным уравнением Фоккера-Планка, и использованием его для построения торговых правил и стратегий. Кроме того, использованный в работе коэффициент Шарпа дает представление о том, как теоретическая модель может использоваться на фондовом рынке в реальной жизни. Тем не менее, большое количество упрощений приводят к тому, что работа представляет скорее теоретическую важность, нежели практическую.

Список литературы


1.      D ' Hulster, The Leverage Ratio, World Bank, 2009

.        Feller, W., An Introduction to Probability Theory and Its Applications, Volume 2, 3rd edition, Wiley, 1971

.        Heaney J., Poitras G., Distributions for Diffusions Subject to Constant Reflecting Barriers: a Density Decomposition Result, Canada, 2002

.        Hodges C.W., Taylor R. L., Yoder J. A. Stocks Bonds, the Sharpe Ratio, and the Investment Horizon, Financial Analysts Journal, 1997

.        Risken H. The Fokker-Planck Equation. Methods of solution and Applications N.Y. 1934

.        Voit, J. The Statistical Mechanics of Financial Markets, 3rd edition, Springer-Verlag Berlin Heidelberg, 2005

7.      Будылин А. М., Вариационное исчисление, М., 2001

.        Демидович Б.П., Марон И.А., Шувалова Э.З. Численные методы анализа. Приближение функций, дифференциальные и интегральные уравнения, М., Наука, 1967

.        Зайцев В. Ф., Полянин А. Д.: Метод разделения переменных в математической физике (Книжный Дом, 2009)

.        Крамер Г. Математические методы статистики, М., Мир

.        Малинецкий Г.Г., Потапов А.Б., Современные проблемы нелинейной динамики, М., Эдиториал УРСС, 2000

.        Романовский П.И. Ряды Фурье. Теория поля. Аналитические и специальные функции. Преобразование Лапласа, М., Наука

.        Тихонов В. И. и Миронов М. А. Марковские процессы. М., «Сов. радио», 1977 - метод разделения переменных

Электронные источники:

.        Инвестиционная компания Финам URL: http://www.finam.ru/ (дата последнего посещения: 06.05.2016)

.        URL: http://www.dailymail.co.uk/ (дата последнего посещения: 06.05.2016)

.        Финансовый портал www.finance.yahoo.com/

Похожие работы на - Создание торгового правила на фондовом рынке

 

Не нашли материал для своей работы?
Поможем написать уникальную работу
Без плагиата!
Без нейросетей!