Определение и основные функции собственного капитала банка

  • Вид работы:
    Курсовая работа (т)
  • Предмет:
    Банковское дело
  • Язык:
    Русский
    ,
    Формат файла:
    MS Word
    536,2 Кб
  • Опубликовано:
    2016-10-22
Вы можете узнать стоимость помощи в написании студенческой работы.
Помощь в написании работы, которую точно примут!

Определение и основные функции собственного капитала банка

Содержание

Введение

. Определение и основные функции собственного капитала банка

.1 Собственный капитал

.2 Активы, взвешенные с учетом риска

.3 Управление капиталом банка

. Модель определения регулятивных требований к банковскому капиталу на основе теории ожидаемой полезности фон Неймана-Моргенштерна

.1 Функция полезности. Функция ожидаемой полезности фон Неймана-Моргенштерна

.2 Составление модели ожидаемой полезности

. Применение модели на статистических данных

.1 Основные предположения

.2 Выбор данных и построение модели

.3 Проверка модели на согласованность с показателем достаточности капитала

Заключение

Список используемой литературы

Приложение

Введение


Проблема оценки достаточности капитала и управления им принадлежит к числу важнейших проблем, решаемых руководством любого кредитного учреждения, в частности, банка. Исследованию именно этой проблемы посвящена настоящая выпускная квалификационная работа.

В настоящий момент для оценки достаточности капитала в России используется в основном подход, основанный на стандартизированном подходе Базель. Банком России установлен норматив достаточности совокупного капитала, обязательный к соблюдению всеми банками, минимальное требование - 8%. Норматив рассчитывается как отношение располагаемого регулятивного капитала (числитель) к активам банка, взвешенным с учетом риска (знаменатель).

Не так давно Банк России внедрил два дополнительных норматива: достаточности базового капитала Н1.1 и капитала 1-го уровня Н1.2. Указанные подходы основаны на документе Базельского комитета Базель III.

Помимо этого Банком России совместно с банковским сообществом ведутся работы по внедрению продвинутых подходов к оценке активов с учетом риска для целей расчета норматива достаточности капитала. Расчет для банков, прошедших проверку на соответствие минимальным требованиям для использования продвинутых подходов, начался только в 2015 году.

Целью настоящей выпускной квалификационной работы является разработка экономической модели в рамках теории ожидаемой полезности и сравнение результатов экспериментальных расчетов, проведенных на ее основе, с результатами расчетов показателя достаточности капитала, полученных с использованием стандартизированного подхода.

Для достижения указанной цели в процессе написания работы были поставлены и решены следующие задачи:

·   дать определения капиталу и активам, взвешенным с учетом риска;

·        определение основных подходов к расчету норматива достаточности капитала;

·        разработать модель на основе концепции ожидаемой полезности фон Неймана-Моргенштерна для расчета аналогичного нормативу достаточности капитала показателя;

·        подготовить статистические данные, включающие в себя финансовые отчетности российских и зарубежных банков;

·        сформировать выводы по результатам проведенного исследования.

Теоретической основой работы явились различные книги, диссертации и публикации, касающиеся темы управления банковским капиталом и банковскими рисками.

Поставленные задачи определили структуру выпускной работы. Первая глава будет посвящена рассмотрению вопросов, связанных с капиталом и активами, взвешенными с учетом риска. Далее во второй главе будут даны основные определения и свойства теории ожидаемой полезности и подняты вопросы построения модели. И наконец, в третьей главе будет непосредственно построена сама модель и дано ее обоснование, а также будет проведен анализ полученных результатов.

риск банковский капитал

1. Определение и основные функции собственного капитала банка

В данной главе даются определения каждому из видов капитала, а также их краткая характеристика. Во второй части главы рассмотрен знаменатель показателя достаточности капитала, а именно - активы, взвешенные с учетом риска. Заключительный параграф посвящен проблемам управления капиталом банка.

1.1 Собственный капитал


Собственный (или регулятивный) капитал банка является одним из важнейших индикаторов его «здоровья». Однако собственный капитал банка редко когда совпадает с его источниками, отраженными на балансе, в виду тех или иных обстоятельств рыночная стоимость активов и пассивов отклоняется от их балансовой стоимости. Поэтому собственный капитал, рассчитываемый исходя из бухгалтерских оценок активов и пассивов, называется бухгалтерским капиталом, а истинный собственный капитал банка рассчитывается исходя из рекомендаций Базельского комитета (Basel III) и Центрального Банка Российской Федерации (инструкция 395-П).

Как уже было отмечено выше, величина собственного капитала, а точнее показатель его достаточности (отношение собственного капитала банка ко всем его активам, взвешенным с учетом риска) очень важная характеристика деятельности любого банка. Так почему же этот показатель так важен? Ответ на этот вопрос прост - собственный должен покрывать размеры непредвиденных убытков банка по активам. Поэтому можно сказать, что чем величина норматива Н1.0 больше, тем более стабильным и надежным является банк.

Стоит упомянуть и о, так называемом, экономическом капитале. Эта величина также необходима банку для покрытия рисков, однако, в отличие от регулятивного капитала, он охватывает более широкую сферу рисков, оказывающих значительное влияние, но не включенных в регулятивный капитал. Методология расчета экономического капитала возложена на плечи самих банков. Способность рассчитывать значение экономического капитала говорит о зрелости банковской системы в стране, однако большинству российских банков только предстоит научиться полноценно и корректно осуществлять расчет этого показателя.

В российской банковской теории и практике понятия регулятивного и экономического капиталов с недавнего времени получили широкую популярность в рамках обеспечения финансовой устойчивости. Однако сами по себе данные категории получили развитие еще в конце 80-х годов прошлого столетия в контексте разработки новых интернациональных правил оценки достаточности собственного капитала коммерческих банков. Введение понятия регулятивный капитал принято связывать с появлением Базель I в 1988 году, а экономический капитал с появление Базель II в 2004 году. В российской банковской практике эти понятия стали предметом пристального внимания в связи с необходимостью соответствовать современным требованиям Базельского комитета по банковскому надзору. Третья часть Базельского соглашения Базель III была разработана в виду недостатков в банковском регулировании, проявившихся в финансовый кризис конца 2000-х годов.

Поскольку данная работа посвящена анализу именно российского банковского сектора, то в дальнейшем речь будет идти в основном о регулятивном капитале.

Согласно действующим положениям Банка России, основанным на методических рекомендациях Базель III, каждый банк обязан ежемесячно сообщать величины своих базовых, основных и собственных капиталов. Основной капитал (или капитал первого уровня) состоит из базового и добавочного капиталов, а собственный капитал является совокупностью основного и дополнительного (или второго уровня) капиталов. Методология расчета этих величин для российских банков содержится в инструкции Банка России 395-П. Ниже дано краткое описание расчета капиталов каждого из уровней.

Базовый капитал состоит из источников, увеличивающих итоговое значение, и вычетов, уменьшающих его. В его расчет входят следующие основные величины:

+ уставный капитал банка, сформированный в результате выпуска и размещения обыкновенных акций;

+ эмиссионный доход банка от размещения обыкновенных акций;

+ резервный фонд банка;

+ подтвержденная аудитором прибыль текущего года;

+ подтвержденная аудитором прибыль прошлых лет;

нематериальные активы;

вложения в собственные обыкновенные акции;

убыток текущего года;

убытки предшествующих лет;

вложения в акции финансовых компаний.

Величина основного капитала состоит из величины базового и добавочного, который в свою очередь состоит из следующего:

+ уставный капитал банка, сформированный в результате выпуска и размещения конвертируемых привилегированных акций;

+ эмиссионный доход банка от размещения конвертируемых привилегированных акций;

+ бессрочные субординированные кредиты;

вложения в собственные конвертируемые привилегированные акции;

вложения в конвертируемые привилегированные акции финансовых компаний;

вложения в бессрочные субординированные кредиты финансовых компаний.

И, наконец, дополнительный капитал, который наравне с основным составляет собственный капитал банка, состоит из следующих слагаемых:

+ уставный капитал банка, сформированный в результате выпуска и размещения остальных привилегированных акций;

+ эмиссионный доход банка от размещения остальных привилегированных акций;

+ не подтвержденная аудитором прибыль текущего года;

+ не подтвержденная аудитором прибыль прошлых лет;

+ субординированные кредиты с ограниченным сроком привлечения;

+ прирост стоимости имущества за счет переоценки;

просроченная дебиторская задолженность длительностью свыше 30 календарных дней;

величина превышения совокупной суммы кредитов, гарантий и поручительств над максимально допустимым значением;

вложения банка, превышающие сумму источников основного и дополнительного капитала, осуществляемые в основные средства, паи фондов.

Считается, что основной капитал остается практически неизменным, а дополнительный может меняться.

1.2 Активы, взвешенные с учетом риска


Активами, взвешенными с учетом риска или RWA (risk-weighted assets) называются балансовые и внебалансовые активы банка, умноженные на определенный риск-вес. Этот вид расчета активов используется при определении коэффициента достаточности капитала для финансового учреждения. Базельский комитет в своих документах по банковскому надзору обосновывает, по какой причине тому или иному активу необходимо присваивать тот или иной коэффициент риска для расчета показателя достаточности капитала. Проще говоря, обычно все активы подразделяются на несколько групп, каждой из которой в свою очередь присвоен определенный коэффициент, на который умножаются все активы данной группы перед тем как получится итоговая сумма. Чтобы попасть в определенную группу, активы должны удовлетворять требованиям, присущим именно этой группе.

Плюсами этого подхода является, во-первых, то, что он позволяет стандартизировать и упростить подход к оценке и сравнению банков из различных географических регионов. Во-вторых, данный подход позволяет сравнительно легко учитывать внебалансовые активы при подсчете норматива. В-третьих, заставляет банки не избавляться от не рискованных высоколиквидных активов.

Однако выбор и присвоение весов активам зависит от того, использует банк стандартизированный или IRB-подход. Суть стандартизированного подхода была описана выше, а IRB-подход - это поход к оценке кредитных рисков банков для целей оценки достаточности регулятивного капитала, основанный на использовании внутренних рейтингов заемщиков, то есть рейтингов, устанавливаемых самими банками. Хотя поэтапное внедрение IRB-подхода большинством российских банков запланировано лишь на будущие периоды, и в дальнейшем речь будет идти в основном о стандартизированном RWA, мы все равно в дальнейшем остановимся на его рассмотрении, так как в настоящий момент это одно из наиболее перспективных направлений в банковской практике управления рисками в России.

Чтобы глубоко не вдаваться в его детали, ниже опишем лишь основные принципы присвоения весов.

Некоторым активам, таким как государственные ценные бумаги или денежные средства присваивается коэффициент 0, иначе говоря, их можно считать безрисковыми, и они не участвуют при расчете показателя достаточности. Другим активам, например, кредитам юридическим или физическим лицам или межбанковским кредитам, присваивается коэффициент, отличный 0, так как такие типы активов нельзя считать безрисковыми. Кстати коэффициент для большинства межбанковских кредитов тоже невысок и составляет 20%.

Плюсом подхода является относительная простота и быстрота его применения.

Одним из важнейших недостатков же данного подхода является то, что применение стандартизированного подхода для оценки активов, взвешенных с учетом риска, приводит к завышенным требованиям к величине капитала, необходимой для покрытия рыночного и операционного рисков.

Величина необходимого капитала для покрытия рыночного риска складывается из процентного риска для долговых инструментов, фондового риска для акций и валютного риска. Подход для оценки величины процентного риска основан на коэффициентах риска: разбитые по срокам до погашения чистые позиции по ценным бумагам умножаются на соответствующие срокам коэффициенты риска. Подход для фондового риска также сводится к произведению позиций по акциям и коэффициентов риска, а в качестве валютного риска используется размер открытой валютной позиции.

При этом коэффициенты риска для корпоративных облигаций зависят от наличия и уровня кредитного рейтинга, присвоенного международными агентствами (S&P, Moody’s, Fitch). Более высокие коэффициенты применяются для облигаций, у которых нет рейтингов выше BBB- как минимум от двух агентств. Указанное требование соответствует рекомендациям Базельского комитета, но является завышенным, так как риск дефолта российского заемщика ниже, чем заемщика развитых странах с идентичным рейтингом. А рекомендации Базельского комитета основаны на изучении статистики дефолтов на рынках развитых стран и не учитывают специфику отдельно взятых стран.

Величина необходимого капитала для покрытия операционного риска рассчитывается как 15% от общего среднего уровня чистого операционного дохода банка за последние три года. Указанный подход приводит к завышенным требованиям к капиталу, так как предполагает потенциальные потери в размере 15% от доходов банка в результате реализации операционного риска, что существенно выше реальных потерь банка от операционного риска.

Ожидается, что переход на продвинутые подходы к оценке рисков позволит более точно учитывать риски и снизит требования к величине необходимого капитала для их покрытия.

IRB-подход

В основе данного подхода лежит оценка ожидаемых и непредвиденных потерь банками по кредитам и кредитному портфелю в целом.

Ожидаемые потери являются математическим ожиданием потерь и расчет этой величины происходит путем перемножения вероятности дефолта заемщика (PD), доли потерь банка в случае дефолта заемщика (LGD) и остаточных требований на момент дефолта (EAD):

.

Вероятность дефолта определяется на основании присвоенного рейтинга заемщика самим банком, а доля потерь зависит от степени обеспечения требования и других факторов.

Под непредвиденными потерями понимается разница между максимально возможными потерями с заданной точностью и ожидаемыми потерями. Их оценка основывается на предположении наличия стандартной нормально распределенной переменной , такой что:

,

где  - это пороговое значение, зависящее от рейтинга заемщика.

Так как рейтинг заемщика и соответствующая вероятность дефолта известны, пороговое значение это:

,

где  - обратная кумулятивная функция распределения.

Также делается предположение о том, что корреляции между заемщиками (между  и ) одинаковы и равны , а сам кредитный портфель достаточно большой. Тогда по закону больших чисел с заданной точностью :

.

После чего значение RWA рассчитывается, как:

,

где 12.5 - это (обратная величина минимально допустимого уровня норматива Н1.0).

Преимущества данного подхода очевидны, теперь можно более точно оценить риски и исчезла необходимость в излишнем капитале для целей соблюдения норматива.

Недостатком, пожалуй, можно назвать нетривиальность и сложность применения данного подхода на практике.

1.3 Управление капиталом банка


Письмо Банка России 96-Т содержит указания по оценке достаточности капитала, в частности, в соответствии с этими рекомендациями составной частью внутренних процедур должны быть «методы и процедуры планирования, определения потребности в капитале, оценки достаточности и распределения капитала по видам рисков и направлениям деятельности кредитной организации».

Процесс планирования должен состоять из:

·   определения целевого уровня капитала банка для покрытия всевозможных рисков;

·        определения источников капитала;

·        распределения капитала по отдельным видам рисков.

При определении целевого уровня банковского капитала важно помнить не только о сложившемся уровне рисков, но и о возможных его изменениях в будущем, которые могут быть связаны с изменением, например, стратегии развития кредитной организации.

Для определения этого уровня Банк России предлагает использовать как стандартизированные подходы, так и внутренние модели банков для оценки экономического капитала: «Кредитным организациям, использующим методологию определения экономического капитала, рекомендуется применять унифицированные методы количественной оценки рисков, а также определить методологию агрегирования оценок рисков и процедуры согласования результатов измерения различных видов риска в части применяемых мер риска (VaR), доверительных интервалов и периодов удержания инструментов портфеля». Для крупнейших банков развитие и применение внутренних моделей является обязательной задачей.

Финансовые риски возмещаются за счет собственных средств. Следует отметить, что не обязательно использовать только те из них, которые являются частью регулятивного капитала, а и другие источники, например, «привилегированные акции, нереализованная прибыль (скорректированная на нереализованные убытки) в части активов (обязательств), отражаемых в бухгалтерском учете не по справедливой стоимости, планируемые доходы».

Стоит отметить, что получившийся риск-капитал не обязательно должен быть равен регуляторному, банк может выбрать и не такой большой аппетит к риску. Согласно рекомендациям Банка России важно также, чтобы кредитная организация имела некий буфер и не использовала полную величину риск-капитала для целей покрытия рисков.

Поэтому одной из задач современного российского банковского регулирования является самостоятельное налаживание банками процессов нахождения оптимального капитала и построение собственных моделей оценки.

Также одной из важнейших задач качественного управления достаточностью капитала банка является моделирование кризисных ситуаций. После создания определенного кризисного сценария, проводится стресс-тестирование. В общем случае процесс стресс-тестирования можно определить как оценку потенциального воздействия кризисного сценария на финансовые и иные показатели банка, например, на норматив Н1.0.

При построении кризисного сценария можно использовать два варианта:

. кризисный сценарий на основе фактических событий в прошлом;

. кризисный сценарий, основанный на гипотетически возможных событиях.

Используя второй вариант построения кризисного развития событий, следует опираться на редкие и чрезвычайные, но, тем не менее, вполне вероятные события. Рекомендации Базельского комитета сводятся к тому, чтобы моделирование кризисного сценария сосуществлялось на основе оценок 1-го и 99-го персентиля распределения изменений фактора риска (например, изменение процентной ставки или девальвация национальной валюты) по данным за последние 5 лет.

Реальным примером проведения стресс-тестирования российскими банками может служить недавняя ситуация с неожиданным падением цен на нефть в самом начале 2016 года. Многими банками тогда тестировался сценарий, при котором цена на нефть опускается до 25$ за баррель.

Применение же распределений, основанных на исторических данных, для целей моделирования прогноза может показать не совсем корректные результаты, так как такие распределения не способны полностью предсказать предстоящие изменения. Это заметно усложняет сам процесс планирования. Решением вышеописанной проблемы может служить рассмотрение всевозможных сценариев, полученных с учетом предположений риск-менеджмента о будущих возможных изменениях факторов риска.

2. Модель определения регулятивных требований к банковскому капиталу на основе теории ожидаемой полезности фон Неймана-Моргенштерна

В данной главе речь пойдет об одном из методов оценки рисков - теории ожидаемой полезности фон Неймана-Моргенштерна. Эта теория является аксиоматической, иначе говоря, определяются и предполагаются верными аксиомы, которые должны описывать поведение экономических агентов. В дальнейшем из них выводится единственно верная мера риска.

.1 Функция полезности. Функция ожидаемой полезности фон Неймана-Моргенштерна

Функцией полезности называется экономическая модель, помогающая определить предпочтения инвесторов. Она позволяет определенным наборам, которые более предпочтительны, присваивать большие численные значения. Таким образом, очевидно, что эта функция должна быть непрерывной и монотонно возрастающей, чтобы большим наборам соответствовала большая полезность. Часто на предпочтения накладываются дополнительные условия, чтобы получить функции с теми или иными свойствами. Можно, например, требовать дополнительно выпуклости функции.

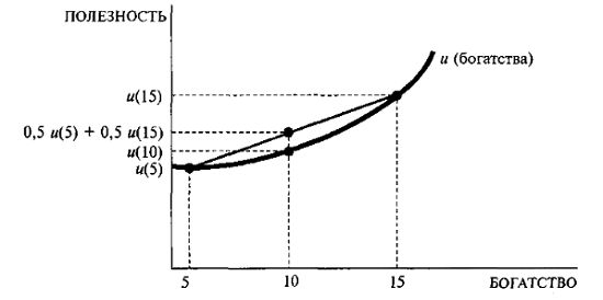
Использование выпуклой функции говорит о том, что инвестор склонен к риску, так как ее наклон, по мере возрастания богатства, становится больше. Это означает, что он предпочел бы случайное распределение богатства его ожидаемому значению.

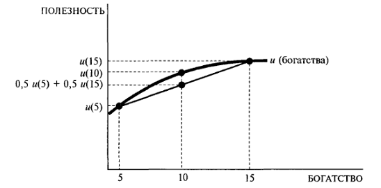
В качестве примера можно привести инвестора, располагающего набором на 10$, и он думает, стоит ли сыграть в игру, которая с вероятность ½ принесет ему выигрыш 5$ или проигрыш той же суммы. Таким образом его ожидаемая полезность будет равна ½*U(15$)+1/2*U(5$) (где U(x) - функция полезности) и она будет больше, чем полезность того, что он имеет сейчас - U(10$). Это показано на графике ниже.

Рисунок №1. Функция полезности инвестора, склонного к риску.

В противоположность сказанному, вогнутая функция полезности говорит о несклонности к риску, так как ожидаемая полезность игры меньше полезности имеющихся 10$. График ниже.

Рисунок №2. Функция полезности инвестора, не склонного к риску.

Далее остановимся на рассмотрении наиболее часто применимых функциях для целей управления рисками. Каждая из этих функций дополнительно зависит от параметра и имеет свойства, присущие той или иной группе инвесторов согласно их отношению к риску.

.        Самым очевидным примером функции полезности является линейная функцию, которая описывает предпочтения риск-нейтрального инвестора, так как в этом случае ожидаемая полезность будет равна полезности ожидаемого значения богатства:

.

2.      Следующей рассмотренной функцией будет квадратичная. Такая функция описывает поведение инвестора, ориентирующегося при принятии решения на квадратическое отклонение (например, придерживается теории Марковица). Преимущество данного класса заключается в простоте применения:

.

.        Экспоненциальная функция полезности описывает предпочтения инвесторов, для которых сумма допустимых потерь имеет значение в абсолютном выражении:

.

.        И последняя - показательная функции. В отличие от предыдущего класса функций полезности для инвестора имеет значение не абсолютная сумма потерь, а доля потерь от первоначального капитала. Его склонность к риску гораздо выше, чем для предыдущей группы инвесторов.

.

Для дальнейшей работы необходимо выбрать вид самой функции полезности, а затем оценить ее параметры для конкретного случая.

Еще одна проблема связана с тем, как безоговорочно можно представить преференции хозяйствующего субъекта. На протяжении длительного периода функции полезности изучались на основе построения «кривых безразличия», предложенных в 1881 году английским ученым Френсисом Эджвортом, которые представляют эти функции графически. Графический вариант решения проблемы использовался долго и был довольно востребованным в связи со своей доступностью и ясностью. Тем не менее, следует рассмотреть и другой подход к решению проблемы ожидаемой полезности, подход, который коренным образом изменил представления о предпочтениях экономических агентов.

Новый подход был предложен еще в XVIII веке Даниилом Бернулли, однако Джон фон Нейман и Оскара Моргенштерн считаются основоположниками теории ожидаемой полезности, развив идею Бернулли уже в ХХ столетии. В своих работах они показали, что в условиях неполной информации рациональным выбором индивида будет выбор с максимальной ожидаемой полезностью. Данная теория исходит из того, что у потребителя имеется система предпочтений не только по отношению к вполне определенным наборам благ, но и по отношению к ситуациям, в которых он может получить тот или иной набор благ с определенными вероятностями. Эти ситуации называются лотереями. Если присвоить функции полезности каждому исходу лотереи, то выбор лучшей лотереи будет равносилен выбору лотереи с наибольшей ожидаемой полезностью. Таким образом, самым главным преимуществом этой теории является то, что потребитель в состоянии сравнивать по полезности не только определенные наборы благ, но и лотереи, исходом которых являются наборы благ, получаемые с определенными вероятностями.

Ожидаемая полезность каждого варианта подсчитывается следующим образом:

, причем ,

где  - ожидаемая полезность,  - вероятность исхода,  - полезность исхода.

После чего индивид сравнивает ожидаемые полезности и осуществляет выбор, стремясь максимизировать полезность.

·     Полнота означает возможность сравнивать и ранжировать любые лотереи;

·        Транзитивность говорит нам о том, что если лотерея A предпочтительнее лотереи B, а B предпочтительнее C, то и A предпочтительнее C;

·        Непрерывность заключается в том, что если есть две различных лотереи A и B, причем A предпочтительнее B, то всегда существует такая вероятность p, что U(C)=p*U(A)+(1-p)*U(B). Другими словами, всегда найдется третья лотерея C, которая также привлекательная, как линейная комбинация двух других;

·        Независимость. Если существуют две различных лотереи A и B, причем A предпочтительнее B, тогда для любой C:

p*U(A)+(1-p)*U(С)>p*B+(1-p)*U(C).

Основным выводом и главной идеей теории ожидаемой полезности является тот факт, что инвестор выбирает не максимальный ожидаемый выигрыш, а максимальную ожидаемую полезность.

Безрисковым или детерминированным эквивалентом называется случайная величина, математическое ожидание которой равно ожидаемой функции полезности.

Рисунок №3. Безрисковый эквивалент.

Приносимый инвестиционным портфелем доход является случайной величиной. При наличии такого портфеля, можно, не принимая во внимание характер случайного распределения, рассчитать безрисковый эквивалент определенной ранее функции полезности, тем самым не беря в расчет случайность распределения дохода. Это умозаключение является квинтэссенцией теории фон Неймана-Моргенштерна, которая применяется в управлении финансовыми рисками. На графике ниже безрисковый эквивалент отмечен как S.

После определения функции полезности, чтобы перейти к безрисковому эквиваленту, необходимо взять обратную функцию полезности от ожидаемой полезности:

,

где x - случайная величина дохода, EU(Y) - ожидаемая полезность.

Отсюда следует, что для вогнутой функции полезности (непринятие риска) безрисковый эквивалент будет меньше ожидаемого выигрыша, для выпуклой - наоборот. Если инвестор не приемлет риск, то безрисковый вариант поведения будет для него предпочтительнее результата лотереи, достигаемого с тем же математическим ожиданием, но включающим в себя риск.

Теория ожидаемой полезности нашла широкое применение на финансовых рынках. Основными сферами её использования являются:

·     Интерпретация поведения инвесторов на рынке. В реальности же применение теории ожидаемой полезности для таких целей является нецелесообразным, так как поведение экономических агентов зависит от большего числа параметров, чем это возможно объяснить с помощью теории ожидаемой полезности;

·        Прогнозирование развития событий в будущем хоть и можно отнести к одной из сфер применения, однако точность получившихся результатов будет крайне низкой опять же из-за неучтенных факторов и постоянного изменения параметров;

·        Попытка объяснить прошлое поведение системы;

·        Модель используется для формирования правил поведения, например, при оценке достаточности капитала.

2.2 Составление модели ожидаемой полезности


В качестве исследуемой случайной величины было выбрано отношение потерь банка к его капиталу. Предположение о распределении этой случайной величины делается в следующей главе, сейчас же нам важно только отметить, что эта случайная величина является непрерывной.

Теперь необходимо задать основную характеристику модели - отношение к риску, за это и отвечает функция полезности. В работе рассматриваются две последние из вышеупомянутых функций - экспоненциальная и показательная. Такой выбор не случаен, поскольку обе функции характеризуют поведение индивида, не склонного к риску, каковым и является банк.

Напомним, что индивид с экспоненциальной функцией полезности вне зависимости от величины возможных потерь фиксирует в абсолютном выражении максимальную сумму, с которой он готов расстаться. Такой сценарий и присущ банковскому сектору. Ведь потери будут отражаться на капитале банка, который является постоянной величиной и не может меняться в зависимости от размера портфеля кредитов.

А отношение к риску индивида с показательной функцией полезности означает, что чем большим портфелем он управляет, тем большие потери он готов понести.

Таким образом, получается, что рассмотрение каждой из этих функций интересно с точки зрения банковского сектора. С одной стороны, капитал величина относительно постоянная, значит и потери он может покрывать равные только определенному значению, с другой стороны, увеличивающийся кредитный портфель банка требует и увеличения капитала, которого можно достичь, например, привлечением нового субординированного займа или сокращением дивидендов, а это значит, что банк готов понести бОльшие потери.

В следующей главе подробно описан процесс оценки каждой из этих функций.

Поскольку мы имеем дело с непрерывной случайной величиной и функцией полезности от нее, которая тоже является непрерывной случайной величиной, то формула для ожидаемой полезности будет выглядеть следующим образом:

,

где  - функция полезности,

 - предполагаемое распределение потерь к капиталу.

3. Применение модели на статистических данных

В данной главе делаются определенные предположения относительно распределения потерь банков, строится модель с использованием существующих данных и анализируется целесообразность применения такой модели.

3.1 Основные предположения


Динамическая модель

Для корректного измерения общего финансового риска банка необходимо построить распределение потерь при одновременном проявлении сразу нескольких видов риска.

Основной проблемой при построении распределения убытков является, тот факт, что со временем меняются не только параметры выбранного распределения, но и сами распределения. В своей диссертации под названием «Методы оценки и управления совокупным финансовым риском коммерческого банка» Шевченко Е.С. провела количественный анализ временных рядов, показывающих относительное изменение дневных доходностей торгового портфеля ценных бумаг за три года. В результате оказалось, что вид распределения, характерного для выбранного временного ряда, неустойчив и меняется во времени. Основным выводом из этого анализа является то, что риск необходимо рассматривать не просто как случайную величину, а как случайный процесс.

Таким образом, при построении портфельных моделей необходимо иметь в виду, что распределение риска в реальности очень редко имеет характер логнормального и что разным компонентам рисков могут соответствовать различные виды распределений (Пуассона, Коши, Стьюдента и другие.).

Поскольку параметры и форма самого распределения постоянно меняются, то для оценки совокупного риска должен использоваться исторический подход, должна регулярно проводиться проверка выбора адекватности выбранного распределения до выявления новых тенденций.

Модель CreditMetrics

Стоит упомянуть о модели, разработанной в банке J. P. Morgan. Она основана на оценке будущего распределения изменений стоимости кредитного портфеля за определенный промежуток времени, например, год. Оценка риска осуществляется на основе изменений рыночной стоимости обязательств заемщиков банка.

Крупнейшие рейтинговые агентства являются основными источниками данных для данной модели. Периодически агентства публикуют статистическую информацию о вероятностях перехода из одной рейтинговой категории в другую, которые образуют так называемую матрицу переходных вероятностей.

В дальнейшем необходимо определить горизонт прогноза и форвардную цену по каждому из кредитов, входящих в портфель. Очевидно, что ставка дисконтирования должна зависеть от будущего предполагаемого рейтинга заемщика:

,

где  - будущие процентные платежи по долгу,

 - конечный кредитный рейтинг заемщика,

 - конечный кредитный рейтинг заемщика,

k - номер кредитного рейтинга.

После чего можно посчитать математическое ожидание:

.

Затем можно относительно легко оценить коэффициенты попарной корреляции доходностей активов компании, входящих в кредитный портфель:

,

где .

Полученная ковариационная матрица и вектор математических ожиданий и дисперсий изменений стоимости каждого отдельного актива являются входными данными при моделировании совокупных потерь по портфелю методом Монте-Карло.

Однако в нашей модели важна не динамика (рассматриваются статистические данные по банкам лишь на одну дату), поэтому для упрощения модели, а также в силу нехватки всех необходимых данных по такому объему российских банков, было сделано допущение о том, что кредитные потери банков предполагаются логнормально распределенными.

 

функция распределения.

Это распределение имеет крутой левый и пологий правый спад, то есть имеет положительную асимметрию. Логнормальное распределение можно использовать в качестве первого приближения для описания относительного изменения потерь.

3.2 Выбор данных и построение модели

В качестве необходимых статистических данных были выбраны показатели достаточности общего капитала, активы, взвешенные с учетом риска, размеры кредитных портфелей и уровни резервирования кредитных портфелей для порядка 250 крупнейших банков Российской Федерации по состояния на 1 февраля 2016 года. В табличке ниже представлены данные по 10 крупнейшим по размерам активов банков РФ.

Таблица №1. Статистические данные.


Как уже было сказано ранее, при построении модели использовалось логнормальное распределение кредитных потерь, однако для нормировки, а также для возможности в дальнейшем сравнивать полученные результаты с показателем достаточности капитала, строились не распределения кредитных потерь для банков из выборки, а распределения отношения потерь к общему капиталу (Losses/CAR). Очевидно, что разделив случайную величину на константу ее распределение по-прежнему можно считать логнормальным.

Математическим ожиданием этого распределения, очевидно, является совокупность резервов по всем кредитом, входящим в кредитный портфель банка. Это именно та величина, которую банк «ожидает» потерять.

Таким образом, мы получаем первое уравнение:

;

Но для того, чтобы найти оба неизвестных параметра распределения необходима система из двух уравнений.

Мы знаем, что согласно требованиям Базель и Центрального Банка Российской Федерации показатель достаточности общего капитала не должен быть меньше, чем 8 процентов. Как уже отмечалось в первой главе, регулятивный капитал банка служит определенным гарантом стабильности и именно он должен покрывать непредвиденные банковские потери - unexpected losses. Поскольку капитал должен покрывать не меньше, чем 8% от активов, взвешенных с учетом риска, то это означает, что unexpected losses - это и есть 8%, умноженные на RWA.

Принимая во внимание тот факт, что согласно Базель unexpected losses - это 99-процентная квантиль распределения потерь банка (а в нашем случае 99-процентная квантиль - это 8%*RWA/CAR), получаем второе уравнение для нашей системы:

;

Таким образом, решая полученную систему уравнений последовательно для каждого банка, и помня о не отрицательности параметра формы, находим для них значения параметров  и σ, которые однозначно задают распределение.

Для примера ниже показана плотность распределения для крупнейшего российского банка - Сбербанка. По оси абсцисс на графике показано, соответственно, отношение потерь к общему капиталу.

Следующим этапом построения модели является применение теории ожидаемой полезности. Как было отмечено во второй главе, необходимо найти оптимальный параметр и сравнить результаты для двух функций полезности - экспоненциальной и показательной.

Рисунок №4. Распределение потерь Сбербанка.

Нам необходимо найти такой параметр каждой из этих функций, при котором безрисковый эквивалент был бы минимален (так как в нашем случае ожидаемая полезность потерь, чем безрисковый эквивалент окажется меньше, тем лучше).

Экспоненциальная функция полезности

Напомним, что безрисковый эквивалент - это:

,

 .

Для его нахождения, необходимо найти математическое ожидание функции от случайной величины:


 - плотность логнормального распределения.

Решая полученные интегралы численно, например, в R (Приложение 1), и находя обратную функцию при различных значениях , получаем для каждого банка из выборки значение безрискового эквивалента. Теперь задача сводится к определению верного значения параметра, такого, чтобы безрисковый эквивалент был минимальным.

Очевидно, что чем более пологой является функция ожидаемой полезности, тем меньше должен безрисковый эквивалент, поэтому для получения оптимального результата необходимо  устремить к 0.

Поскольку в дальнейшем будет выполняться проверка безрискового эквивалента на согласованность с показателем достаточности капитала, то было решено тоже округлять его до двух знаков после запятой. Численные решения интегралов показали, что, начиная с определенного  в сторону уменьшения, округленные до двух знаков после запятой значения безрисковых эквивалентов не изменяются. Эти значения в дальнейшем и послужили основой для анализа.

Показательная функция полезности

Мы рассмотрели уже экспоненциальную функцию полезности, осталось рассмотреть вторую, наиболее подходящую для анализа кредитных потерь банком - показательную:

.

Для данной функции необходимо выполнить те же действия, что были описаны выше, найти математическое ожидание:

 - плотность логнормального распределения.

А затем для каждого банка посчитать безрисковый эквивалент при определенном значении параметра , взяв обратную функцию полезности от значения интеграла. Оптимальные значения безрисковых эквивалентов в данном случае оказались немного меньше, чем при использовании экспоненциальной функции.

3.3 Проверка модели на согласованность с показателем достаточности капитала


Для того чтобы проверить на согласованность полученные результаты с теорией Базельского комитета, было решено посчитать ранговые корреляции Спирмена и Кендалла между полученными безрисковыми эквивалентами и фактическими значениями показателей достаточности капитала банков из выборки. Расчет ранговой корреляции является методом проверки зависимости между двумя переменными с помощью определения корреляции их ранговых порядков.

Таким образом, каждому банку присваивается ранг по нормативу (R_cap) и по безрисковому эквиваленту (R_eut). Чем показатель норматива больше, тем меньше значение R_cap, а для безрискового эквивалента наоборот, ранг 1 присваивается банку с наименьшим значением.

В табличке ниже представлены полученные результаты.

Таблица №2. Результаты расчетов коэффициентов корреляции.


Показательная функция

Экспоненциальная функция

Обычная корреляция

0,5

0,4

Корреляция Кендалла

0,5

0,4

Корреляция Спирмена

0,5

0,5


Было также решено проверить, как меняется корреляция в зависимости от выбора параметра функции полезности. Оказалось, что, например, для экспоненциальной функции, увеличивая значение параметра, можно добиться существенного улучшения значения корреляции. Этот результат можно объяснить тем, что с увеличением параметра функции, становится больше по значению и сам безрисковый эквивалент. А чем больше безрисковый эквивалент, тем он ближе по значению к отношению непредвиденных потерь к капиталу. Ниже показаны результаты для оптимальных параметров для обеих функций полезности. По оси абсцисс отложены ранги безрисковых эквивалентов, по оси ординат соответствующие им ранги показателя достаточности капитала.

Рисунок №5. Результат для экспоненциальной функции полезности.

Рисунок №6. Результат для экспоненциальной функции полезности.

Заключение

Представленная работа была посвящена рассмотрению наиболее актуальных для современного российского банковского сообщества проблем, связанных с расчетом норматива достаточности общего капитала и управлением капиталом. Были описаны основные существующие подходы к расчету норматива, их плюсы и минусы.

Нужно отметить, что наиболее актуальным вопросом остается построение и развитие моделей управления совокупным риском. Поскольку последние финансовые кризисы показали, что соблюдение нормативов достаточности регулятивного капитала не способно в полной мере защитить инвесторов и вкладчиков банков от дефолтов. Регулятивный капитал покрывает только кредитный, рыночный и операционный риски, оставляя без внимания прочие виды рисков. К примеру, репутационный риск, который способен привести к быстрому оттоку депозитов с баланса банка.

Несмотря на это, расчет показателя стандартизированным методом будет еще долгое время оставаться актуальным для многих российских банков. Поэтому основной идеей данной работы была попытка подойти к рассмотрению данного показателя с несколько другой стороны - используя теорию ожидаемой полезности для банковских потерь. Были подобраны подходящие функции полезности и выбраны оптимальные параметры этих функций. Итогом явились рассчитанные по всем банкам из выборки безрисковые эквиваленты отношения потерь к собственному капиталу. Для того чтобы проверить полученные результаты такого подхода определения достаточности капитала, необходимо было их сравнить с существующими значениями нормативов Н1.0. Сравнение этих показателей сводилось в исследовании к расчету коэффициентов ранговой корреляции.

Корреляция между двумя этими показателями оказалась положительной, однако значение ни одного из посчитанных коэффициентов нельзя назвать достаточно большим для того, чтобы говорить о том, что построенная модель полностью повторяет результаты показателя достаточности капитала. Глядя на полученные графики, можно заметить, что практически нет такой ситуации, при которой безрисковый эквивалент «плохой», а норматив Н1.0 «хороший», в данном случае все логично. Однако, как можно заметить, довольно частым явлением оказывается ситуация, при которой «хороший» безрисковый эквивалент сопровождается «плохим» нормативом достаточности капитала, вероятно, это может говорить о том, что таким банкам целесообразнее использовать продвинутые методы управления рисками, чтобы не завышать капитал для покрытия активов, посчитанных стандартным методом.

Подводя итоги, стоит сказать о том, что любая экономическая модель достоверна настолько, насколько достоверны предположения, сделанные при ее построении. Достоверность предположений меняется со временем в зависимости от ситуации на рынке и в мире в целом, поэтому такие модели управления рисками всегда будут нуждаться в определенных корректировках и усложнениях, призванных подстроить модель под быстро меняющиеся условия.

Список используемой литературы

1.   "Положение о методике определения величины собственных средств (капитала) кредитных организаций ("Базель III")" (утв. Банком России 28.12.2012 N 395-П) (ред. от 30.11.2015) (Зарегистрировано в Минюсте России 22.02.2013 N 27259)

2.      "Положение о методике определения собственных средств (капитала) кредитных организаций" (утв. Банком России 10.02.2003 N 215-П) (ред. от 25.10.2013) (Зарегистрировано в Минюсте России 17.03.2003 N 4269)

.        Инструкция Банка России от 03.12.2012 N 139-И (ред. от 07.04.2016) "Об обязательных нормативах банков" (Зарегистрировано в Минюсте России 13.12.2012 N 26104)

.        Письмо Банка России от 29.06.2011 N 96-Т "О Методических рекомендациях по организации кредитными организациями внутренних процедур оценки достаточности капитала"

.        Вэриан Х.Р. Микроэкономика. Промежуточный уровень. Современный подход: Учебник для вузов. М.:ЮНИТИ, 1997. 767 с.

.        Алескеров Ф.Т., Андриевская И.К., Пеникас Г.И., Солодков В.М. Анализ математических моделей Базель II. - М.: Физматлит, 2010.

.        Буздалин А.В. Надежность банков: от формализации к оценке. М.: Книжный дом «Либроком», 2012. -192с.

.        Шевченко Е.С. Методы оценки и управления совокупным финансовым риском коммерческого банка. дис.....канд. эконом. наук: 08.00.10: защищена 24.09.13. Москва, 2013. - 260 с.

.        А.А. Лобанов. Регулирование капитала на покрытие рыночных рисков в Базеле III: шаг вперед или два шага назад? // Деньги и кредит, №8, 2011.

10.    Core principles for effective banking supervision. Basel. September 1997.

.        Enrique Navarrete (2006): Practical Calculation of Expected and Unexpected Losses in Operational Risk by Simulation Methods. Published in: Banca & Finanzas: Documentos de Trabajo , Vol. I, No. 1 (October 2006): pp. 1-12.

.        J.P. Morgan. Introduction to CreditMetrics™. New York, April 2, 1997

Приложение

Ниже показана часть кода, отвечающая за расчет интеграла и безрискового эквивалента для показательной функции полезности:

df <- read.table("Text.txt",= TRUE,="\"",= TRUE,.white = TRUE)

# Файл Text.txt содержит необходимую информацию для расчетов: в первом столбце параметр распределения σ, во втором столбце параметр µ, а в третьем значение границы интеграла<-matrix(0,253,5)

# 253 банка в выборке, 5 - задаваемое количество параметров функции полезности

result2<-array(1:253)(j in 1:5){ (i in 1:253) {

# Цикл по параметру и банкам

integrand <- function(x) {(-exp(-j*x))*exp(-0.5*((log(-x)-df$mu[i])/df$sig[i])^2)/(-x*df$sig[i]*sqrt(2*pi))};

# Подынтегральное выражение=integrate(integrand, lower = df$Limit[i], upper = 0);

# Расчет интеграла[i,j]=-1/(j)*log(-res[1]$value)

# Взятие обратной функции[i]=res[1]$value=0;

}

Похожие работы на - Определение и основные функции собственного капитала банка

 

Не нашли материал для своей работы?
Поможем написать уникальную работу
Без плагиата!
Без нейросетей!