Процентные ставки и доходы банка

  • Вид работы:
    Курсовая работа (т)
  • Предмет:
    Банковское дело
  • Язык:
    Русский
    ,
    Формат файла:
    MS Word
    87,64 Кб
  • Опубликовано:
    2017-06-30
Вы можете узнать стоимость помощи в написании студенческой работы.
Помощь в написании работы, которую точно примут!

Процентные ставки и доходы банка

Введение


Начиная с семидесятых годов XX века, когда резкие скачки цен на нефть и возросшая волатильность процентных ставок повлекли серьезные проблемы для финансовой системы США, научным сообществом активно исследуется вопрос происхождения прибыли банков. Ищутся факторы, объясняющие динамику уровня прибыли и процентного спрэда как в краткосрочном, так и в долгосрочном периодах. Одним из общепринятых факторов, влияющих на прибыльность банков, является уровень процентных ставок в экономике. Начиная с работы Ho и Saunders (1981), исследователи активно изучают влияние шоков процентных ставок на банковскую систему как отдельной страны, так и валютного союза. Несмотря на более чем тридцатилетнюю историю изучения данного вопроса, все еще существуют разногласия в понимании данного взаимодействия, не существует даже единого мнения по поводу направления взаимодействия между прибыльностью банков и уровнем процентных ставок.

Сложившаяся в России уникальная ситуация, когда после длительного периода относительно стабильных процентных ставок в экономике Центральный Банк резко повысил уровень ключевой ставки для обеспечения стабильности финансовой системы, позволяет более тщательно изучить вопрос взаимодействия как уровня процентных ставок, так и величины их волатильности на величину процентного спрэда, характерного для банков в РФ. В дополнение к этому будет также учитываться специфика российской банковской системы, а именно распространённая практика трансформации долларовых пассивов в рублевые активы.

Банковский сектор болезненно пережил предыдущий шок процентных ставок, прибыль по итогам 2015 года упала на 80%. Чтобы иметь возможность предсказывать последствия таких шоков и способствовать их сглаживанию, необходимо понимание зависимости прибыльности банков и процентных ставок. Таким образом, целью данной работы является: выявление зависимости между изменением процентных ставок в экономике и процентной маржи, характерной для банков в России. Для получения более точных результатов и выявления тех банков, которые смогут легче переносить шоки, в регрессию вводится такая независимая переменная, как доля долларовых обязательств, а выборка на втором этапе исследования разделяется на банки с высокой и низкой долей долларовых пассивов. Конечной целью исследования является выявление направления влияния процентных ставок на величину процентной маржи для банков с различным объемом валютных обязательств. В итоге предполагается выяснить, как высокая доля долларовых пассивов влияет на динамику процентной маржи после шока процентной ставки. банк маржа процентный

Для достижения поставленной цели в работе были поставлены следующие задачи:

1.      Изучить результаты уже проведенных эмпирических исследований по данной проблематике;

.        Описать основные теоретические подходы, касающиеся формирования процентной маржи и ее возможной реакции на изменение процентных ставок;

.        Специфицировать модель регрессии, определить переменные и количество лагов в модели;

.        Определить выборку банков;

.        Собрать необходимые данные из источников Центробанка и ЕМИАС Банки и Финансы.

.        Данные очистить от выбросов.

.        Построить эконометрическую модель на собранных данных, протестировать гипотезы.

.        Проверить значимость полученных результатов.

Объектом исследования являются российские банки, входящие в список ста пятидесяти крупнейших по объёму активов. Предметом исследования является влияние изменения процентной ставки и доли долларовых пассивов на величину процентной маржи банка.

В первой главе будут рассмотрены основные теоретические работы, связанные с анализом влияния процентных ставок на прибыльность банков и величины процентной маржи. Будут описаны основные теоретические рамки данной работы.

Во второй главе будет специфицирована модель регрессии, описаны выбранные переменные и количество включенных в модель лагов, обоснована их значимость для регрессионного анализа. Кроме того, будет дана краткая характеристика проверяемым гипотезам.

В заключительной главе будут подытожены эмпирические результаты исследования, дана характеристика полученным результатам, объяснено их соответствие выдвинутым гипотезам, даны основные выводы из проведенного исследования.

 

 

 

Глава 1. Основные подходы к исследованиям, объясняющим динамику процентной маржи банков

 

.1 Теоретические подходы к проведению исследования


На данный момент существует множество научных статей, посвященных анализу прибыльности банковского сектора. В большинстве своем авторы рассматривают прибыльность банка как его способность генерировать достаточно денежных средств для поддержания деятельности и рассматривают агрегированные показатели рентабельности. Часто используются такие показатели, как ROE (return on equity, или рентабельность капитала), ROA (return on assets, или рентабельность активов), в дополнение к которому часто используют ROAA (return on average assets, или рентабельность средних активов). Однако эти показатели имеют ряд существенных недостатков. Так, банк может продемонстрировать высокое значение ROE при низкой достаточности капитала или при отрицательном значении капитала и отрицательной прибыли. Кроме того, стабильно высокая прибыль может быть направлена на увеличение собственного капитала, что увеличивает устойчивость банка, но уменьшает показатель ROE. С этой точки зрения, именно ROA предпочтительнее использовать в качестве меры эффективности банка. Однако в российской действительности этот показатель имеет существенный недостаток. Прослеживается высокая отрицательная корреляция между показателями ROA, ROAA и размером активов банка. Из-за этого результаты регрессионного анализа могут быть не интерпретируемы и будут требовать дальнейшей кластеризации выборки, что противоречит требованию к разбиению выборки на две части, по доле долларовых активов.

Вместо вышеописанных переменных прибыльности банков часто используют величину NIM (net interest margin,или чистая процентная маржа). Этот вариант наиболее предпочтителен для данного исследования, так как он не подвержен искажениям и не требует дополнительного разделения выборки. Еще одним критерием в поддержку чистой процентной маржи выступает структура доходов российских банков. Доля чистого процентного дохода в структуре операционных доходов коммерческого банка составляет в среднем 75%.

Существует несколько теоретических подходов к объяснению влияния процентных ставок на маржу банков. Одними из пионеров в этой области были Ho и Saunders (1981). В своем исследовании они сравнивают банки с дилерами на денежном рынке, которые предоставляют мгновенную ликвидность для своих клиентов. Их теоретическая модель рассматривала банк как финансового посредника, минимизирующего принимаемый риск. Источником риска для посредника выступает неопределенность на рынке вытекающая из стахостичекой природы спроса и предложения на рынке денег. Для концентрации на деятельности финансового посредника они не рассматривают в модели кредитные риски и операционные издержки. Деятельность таких банков можно охарактеризовать четырьмя пунктами:

1.      Банк не производит рационирование кредита, удовлетворяет спрос на кредиты и принимает деньги на депозиты мгновенно, в течение одного периода;

.        Момент выдачи кредита или получение депозита на счет описывается случайной величиной, но вероятность привлечения депозитов или привлечения заемщиков может регулироваться банком через механизм ценообразования;

.        Процентный спрэд между депозитом и кредитом является вознаграждением банка за мгновенное оказание услуг по привлечению средств и принятие на себя риска ликвидности;

.        Банки работают с длинными деньгами.

Целью банковской деятельности в модели является максимизация ожидаемого благосостояние банка (W), которое состоит из собственного капитала (Y), нетто инвестиций (I), которые равны разнице между кредитами и депозитами (L-D), и нетто позиции на денежном рынке (CL-CD). При отсутствии операционной деятельности банка (выдачи кредитов и привлечения депозитов) динамика переменных между периодами описывается следующим образом:


Последними элементами модели являются цены на кредиты и депозиты. Важно отметить, что цены являются величиной обратной ставкам, то есть высокое цены означают низкие ставки и наоборот. В данном уравнении p - безрисковая ставка, a, b - комиссии банка за оказание услуг. Сумма a + b образует процентный спрэд.


Подразумевается, что цены PL PD устанавливаются в начале периода и остаются неизменными до его конца. За это время банк обрабатывает нетто операций объемом I (L - D), величина которого меняется в зависимости от a и b - банковских наценок. Из-за долгосрочных кредитов и депозитов и стохастической природы их привлечения банки вынуждены выходить на денежный рынок каждый раз, когда портфели кредитов и депозитов не сбалансированы (I<>0), тем самым получая меньшую прибыль и принимая дополнительно риск рефинансирования процентный риск каждый раз, когда происходит изменение процентных ставок. Банк может компенсировать эти риски, повышая величину чистого спрэда. Таким образом, банк определяет величину наценки (a и b), а значит, и величину маржи (a+b), исходя из максимизации ожидаемого благосостояния (W). Ожидаемое благосостояние банка можно разложить в ряд Тейлора и представить в виде:


Из-за стохастической природы привлечения депозитов и выдачи кредитов банки часто должны выходить на денежный рынок для финансирования своей деятельности. В этом случае функция (W) может принимать два вида.


(при фиксированном объеме кредитов)


(при фиксированном объеме депозитов)

Общее ожидаемое благосостояние банка в рассматриваемом периоде зависит от взвешенных по вероятности выигрышей от привлечения средств и выдачи кредитов.


В этом уравнении λа λb показывают вероятность наступления каждого из событий. Согласно оптимизационной задаче, банк максимизирует полезность по a и b, значит, производные уравнения по a, b равны нулю. Если продифференцировать EU (W | a, b) по каждой из переменных и поделить одно полученное уравнение на другое, результатом будет зависимость процентного спрэда от величины банковских трансакций (Q) и вариации процентных ставок по кредитам и депозитам (σ2I):


Так как ставки по кредитам и депозитам напрямую зависят от безрисковой ставки (2), при любом ее изменении изменяются и цены на банковские услуги, растет дисперсия цен на эти услуги, поэтому в краткосрочной перспективе величина чистого спрэда возрастает, возвращаясь на прежний уровень в долгосрочной перспективе.

Альтернативный взгляд на проблему в более позднем исследовании осветили Giovanni Dell Aricciaa, Luc Laevena, Robert Marquezc (2014). Их теоретико-игровая модель рассматривает банк как финансового посредника, который вынужден привлекать средства и выдавать кредиты без полной уверенности в их возврате. Для повышения вероятности возврата у банка есть возможность изменять предлагаемую процентную ставку по кредитам и усилия по мониторингу или отбору заемщиков (рационированию кредита). Результатом модели является теоретическое доказательство того, что при долгосрочной возможности изменять уровень финансового рычага и длительном периоде низких процентных ставок банки уменьшают величину достаточности капитала, а также уменьшают усилия по мониторингу заемщиков. Растущие риски банкротства банков и неосуществления выплаты привлеченных средств заставляют инвесторов требовать большую премию, что при сокращающихся ставках по кредитам снижает маржу.

Рассмотрим данную модель подробнее. В ее основе лежат три предпосылки:

1.      Банк функционирует при ограниченной ответственности собственников перед инвесторами;

.        Банки могут свободно изменять уровень капитала в пассивах, пренебрегая требованиями регулятора. В реальной жизни это достижимо через ошибочную недооценку потенциальных потерь, особенно во время кризиса;

.        Все агенты в модели нейтральны к риску.

В модели банки сталкиваются со спросом на кредиты, который представлен убывающей функцией L(rl), где (rl) - реальная ставка процентов по банковским кредитам. Банки проводят рационирование кредитов, то есть выдают займы не всем, кто готов заплатить требуемую ставку. Степень усилий, направленных на рационирование, показывает вероятность возврата денег и обозначается q. Издержки усилий описываются в виде  на единицу долга. Из-за изменений процентной ставки меняется доходность на капитал: чтобы поддерживать требуемый уровень доходности, банки меняют структуру пассивов, привлекая больше депозитов или выпуская облигации. Доля собственного капитала в валюте баланса - k, доля привлеченных средств соответственно (1-k). В модель включены альтернативные издержки, в частности, доходность, требуемая акционерами. Она определяется как доходность на капитал с поправкой на вложенный капитал и вероятность возврата средств  . Последней переменной, введенной в модель, является ставка по депозитам, которая определяется так же, как ожидаемая доходность акционеров, но без поправки на вложенный капитал, то есть как


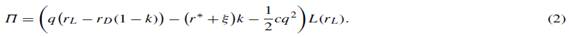
где -, безрисковая ставка. В равновесии ожидания инвесторов верны, поэтому , а . Для банка это означает, что инвесторы требуют безрисковую доходность с поправкой на вероятность возврата средств заемщиками или рискованность активов банка. Исходя из введенных предпосылок и обозначений, прибыль банка можно записать как:


В данном уравнении показано, что банк с вероятностью q получает прибыль  за вычетом платежей по привлеченным средстав и требуемой доходности на капитал акционеров  Зная, что  , уравнение (1) можно переписать, убрав из него . Полученное уравнение имеет вид:


На основе этого уравнения в работе делаются выводы, которые подтверждаются математически.

Первым заключением из модели является отрицательная зависимости между безрисковой ставкой и количеством привлеченных средств (  ). С ростом процентной ставки инвесторы и акционеры рассчитывают на большую доходность, заставляя банк повышать ставки по кредитам. Растущие ставки по кредитам отпугивают надежных заемщиков и усугубляют проблему неблагоприятного отбора. Чтобы уменьшить общий уровень риска, банки вынуждены снижать размер финансового рычага.


Вторым важным заключением модели является вывод позитивной зависимости между предлагаемой банком ставкой по кредитами и безрисковой ставкой. В данном случае интуитивное объяснение данного вывода достаточно просто: при росте безрисковой ставки альтернативные издержки всех способов финансирования растут вместе с ней. Как было показано в предыдущем параграфе, при растущих ставках банк не может увеличивать финансовый рычаг, поэтому единственным способом покрыть растущие издержки является повышение стоимости кредита.

Третьим выводом из модели является обнаруженная положительная зависимость между процентной ставкой и уровнем мониторинга над заемщиками. Это происходит из-за того, что при низких процентных ставках на рынок заемных средств выходит большее количество проектов с низкими рисками и низкой прибылью

.

Таким образом, при низких ставках стратегия банка на рынке становится более рисковой. Он увеличивает финансовый рычаг и уменьшает мониторинг заемщиков. Согласно модели CAPM, ожидаемая инвесторами доходность актива положительно зависит от уровня риска. Таким образом, при прочих равных, процентные платежи по привлеченным средствам у банка должны возрасти. Однако из-за падения безрисковой ставки они не растут, а падают, хоть и незначительно. Авторы выводят зависимость между изменениями ставки по кредитам и депозитом при меняющейся процентной ставке:


Из уравнения видно, что ставка по кредитам менее чувствительна к изменениям безрисковой ставки, чем ставка по депозитам. Из этого следует отрицательная зависимость между банковской маржой и безрисковой процентной ставкой. Стоит отметить, что данная зависимость верна только в долгосрочной перспективе, так как модель рассматривает ситуацию равновесия, и банкам необходимо время, чтобы изменить структуру капитала, подстраиваясь под изменения ставок. Данный вывод подтвердили в своей работе Mitchell Berlin, Loretta Mester (1999).

 

.2 Практические подходы к проведению исследования


Кроме описанных выше теоретических статей, существует множество эмпирических исследований, подтверждающих ту или иную гипотезу. Так, Leonardo Gambacorta (2008), рассматривая подвыборку итальянских банков, обнаружил отрицательную зависимость между процентными ставками и маржой банков. Он объясняет полученный результат через потребность банков в трансформации ликвидности. Занимая на короткие сроки и предоставляя долгие деньги, после шока банки сталкиваются с необходимостью брать займы по более высокой ставке, что ведет к временному сокращению маржи. Kashyap и Stein (1995) на примере американских банков подтвердили отрицательную зависимость между рассматриваемыми факторами, объяснив это невозможностью привлечения банками дополнительных недепозитных средств после возникающего при повышении ставки ФРС краткосрочного дефицита ликвидности. Из-за этого банки, особенно небольшие, вынуждены поднимать ставку по депозитам выше ставки по кредитам, уменьшая маржу. Исследуя долгосрочные последствия шоков на выборке немецких банков за 40 лет, Ramona Busch и Christoph Memmel (2015пришли к противоположным выводам, выявив асимметричное влияние на прибыльность банков. При повышении безрисковой ставки наблюдается незначительное повышение процентной маржи - только на 7 процентных пунктов, в то время как понижение приводит к падению более чем на 97 пунктов.

Дальнейшие исследования расширяли изначальные предпосылки, заложенные в модели Ho и Saunders (1981), а именно: размер выдаваемых кредитов, дисперсию процентных ставок по кредитам и депозитам, степень конкуренции на рынке и неприятия риска, определяющие уровень процентной маржи. Так, Naceur S. B. (2003) исследовал влияние достаточности капитала и обнаружил его положительное влияние на процентную маржу. Angbazo L. (1997) усовершенствовал модель, предложенную Ho и Saunders, добавив показатель кредитного риска. McShane и Sharpe (1985) изменили источник процентного риска банка, заменив переменные «ставки по кредитам и депозитам», применяющиеся в первичной модели, на процентные ставки на финансовом рынке. Allen, L (1988) расширил ее, чтобы добавить несколько типов кредитов и депозитов, предоставляемых банками. Одно из последних уточнений оригинальной модели Ho и Saunders было сделано Joaquın Maudos и Juan Fernandez de Guevara (2003): в своем исследовании прибыльности европейских банков они выявили зависимость между процентной маржой и степенью конкуренции на рынке, вариацией рыночной процентной ставки, кредитным риском, операционными издержками. Так как европейская банковская система с менее развитым по сравнению с США денежным рынком ближе к российской, то именно эта спецификация, а не модель, предложенная Angbazo L. (1997) для американского рынка, будет использоваться в данном исследовании.

Глава 2. Эмпирическая оценка зависимости чистой маржи банка от внутрибанковских и внешнеэкономических факторов

 

.1 Общие положения проводимого исследования


Как уже говорилось, основной целью данной работы является выявление зависимости между процентными ставками на процентную маржу банков и степень влияние величины пассивов в иностранной валюте на это взаимодействие. Исходя из анализа литературы, можно заключить, что такое взаимодействие существует и может проявляться или в краткосрочной, или в долгосрочной перспективе. Основными гипотезами, тестируемыми в исследовании, будут:

.        Статистическая зависимость чистой процентной маржи банков от процентных ставок, а именно краткосрочное снижение чистой процентной маржи банков при повышении процентных ставок;

.        При повышении процентных ставок, чистая процентная маржа банков с высокой долей валютных пассивов будет снижаться на меньшую величину, чем у остальных банков.

Объяснение последней гипотезы состоит в том, что банки с высокой долей валютных пассивов занимаются трансформацией ликвидности в меньшей степени, чем остальные банки. Вместо этого, трансформируя валютные долги в рублевые, они замещают процентный риск валютным, что позволяет им зарабатывать на разнице процентных ставок. Рост локальных процентных ставок снижает маржу по той части кредитов, которая финансируется за счет рублевых пассивов, но увеличивает по тем активам, которые финансируются за счет валютных заимствований. Такой механизм делает их менее восприимчивыми к шокам процентных ставок.

В качестве временного периода для тестирования гипотез был выбран промежуток времени между 1 января 2004 года и 31 декабря 2016 года. Данные содержат показатели ста пятидесяти крупнейших на момент исследования банков РФ, которые существовали на всем рассматриваемом временном промежутке. В модели будут использоваться панельные ежеквартальные данные, доступные в базе данных ЕМИАС Банки и Финансы, а также на сайте Центрального банка России. Эконометрическое исследование проводится при помощи статистического пакета EViews.

В качестве теоретического обоснования берется модель, описанная Ho и Saunders (1981). Учитывается также то, что в российской действительности величина валютной задолженности должна дополнительно увеличивать данный показатель. Это связано в первую очередь с распространенной на российском рынке практике Carry trade. Кроме этого, исходя из модели Giovanni Dell Aricciaa, Luc Laevena, Robert Marquezc (2014), более низкие ставки по валютным займам приводят к более рисковой деятельности банков, приводя к повышению маржи.

 

.2 Обзор переменных


Российская банковская система отличается высокой степенью своеобразности, и, конечно, включить все значимые переменные в модель невозможно из-за проблем со сбором информации. Однако, опираясь на известную литературу по данной тематике, можно выделить ряд наиболее важных факторов, помимо описанных выше, влияющих на уровень процентной маржи банков. Условно их можно разделить на две группы:

.        Внутрибанковские факторы. Эти факторы варьируются от банка к банку в зависимости от характера деятельности банка, выбранной им стратегии и положению, занимаемому на рынке. Часто банк в состоянии сам определять величину внутрибанковских переменных, однако все изменения внутрибанковских факторов происходят как реакция на изменение внешних переменных. В рассмотренных теоретических моделях банк меняет внутренние переменные только в долгосрочной перспективе. Для расчета большинства зависимых переменных использовалась база данных агентства «Мобиле», позволявшая получать месячные данные по основным статьям баланса и отчета о прибылях и убытках для всех банков, зарегистрированных на территории России.

Следующие переменные включены в модель:

.        Размер банка (LNA). В качестве размера банка берется логарифм активов. В качестве активов берется показатель работающих активов из базы данных ЕМИАС Банки и Финансы. В нем учитываются ссуды предприятиям, организациям и населению в рублях и иностранной валюте, кредиты, депозиты и другие размещенные средства, предоставленные иным банкам, и вложения в государственные и негосударственные ценные бумаги, исключая нерезидентов.

.        Норматив достаточности капитала Н1 (SK). Взят на основе предпосылок модели Giovanni Dell Aricciaa, Luc Laevena, Robert Marquezc (2014).

.        Эффективность использования средств (RSA). Эта переменная определяется как доля расхода на персонал, нормированная на величину работающих активов. Интуиция, объясняющая включение этого фактора, заключается в том, что при фиксированных затратах на привлеченные средства и больших расходах на персонал, процентный доход с фиксированного объема активов должен быть выше.

.        Показатель ликвидности. (LIK) Доля ликвидных активов к обязательствам банка.

.        Риск портфеля (RISK). В качестве этой переменной берется величина резервов на возможные потери, нормированная на размер работающих активов. Данная переменная включена в модель на основании модели Giovanni. Предполагается, что банки формируют резервы на возможные потери с учетом взвешенных по риску активов и не увеличивают размер резервов для получения налоговых выгод.

.        Доля непрофильных активов (NMO). Определяется как отношение вложений в имущество банков, а именно из раздела основные средства базы данные ЕМИАС в который входят здания, сооружения, нематериальные активы, за вычетом износа основных средств.

.        Процентная ставка (RATE), (RATEL). Данные будут взяты с сайта центрального банка РФ, в качестве ставки будут использоваться две переменные: ключевая ставка Центрального банка как основной ориентир ценообразования для ставок в российской банковской системе и средневзвешенная ставка по трехмесячным межбанковским займам на московском денежном рынке (MIBOR) как индикатор стоимости ликвидности в банковской системе.

.        Волатильность процентных ставок (DISP). Взяты в соответствии с моделью Ho.

.        Чистая процентная маржа. Определяется как отношение процентного дохода к работающим активам за вычетом процентного расхода к пассивам, проносящим процентный расход.

Помимо расчёта регрессоров база данных агентства «Мобиле» использовалась для расчета зависимой переменной. Для ее расчета были вычислены показатели следующих переменных:

.        Процентный доход (ПД): сумма процентов, полученных за предоставленные кредиты, и доходов от операций с ценными бумагами;

.        Процентный расход (ПР): сумма процентов за привлеченные кредиты юридическим лицам по привлеченным средствам, физическим лицам по депозитам и расходов по операциям с ценными бумагами;

.        Активы, приносящие процентный доход (АПД): сумма выданных ссуд, кредитов МБК, вложений в государственные и частные долговые обязательства;

.        Пассивы, приносящие процентный расход (ППР): разность между пассивами, собственным капиталом банка и обязательств до востребования.

Процентная маржа посчитана по формуле NIM(ПМ):


Для того чтобы избежать проблемы эндогенности, а также отразить факт запаздывания реакции чистой процентной маржи на шоки, эта переменная вводится в регрессию с лагом в один квартал.

Таким образом, для целей исследования была сформирована выборка из 150 крупнейших по размеру активов банков на конец 2016 года. При первичном анализе данных было обнаружено, что данные по 101 форме отчетности, относящиеся к периоду до 2008 года, не содержат информации по валютным счетам для большей части выборки. Из-за этого изначальный временной промежуток исследования был ограничен 01.09.2008 г. и 31.12.2016 г. Вторым ограничением выборки является очистка ее от выбросов. В качестве критерия выброса использовалась формула:


В которой:- критерий наличия выброса;

 - значение характеристики;

μ, s - среднее и стандартное отклонение, рассчитанные для группы, включающей выброс;st - граничное значение критерия выброса, определяемое согласно 95% доверительному интервалу распределения Стьюдента. В качестве характеристики, исследуемой на наличие выбросов, выступала средняя величина чистой процентной маржи банков за весь рассматриваемый период.

После проведения процедуры очистки от выбросов была получена единая несбалансированная панель, состоящая из 139 банков. С целью устранения пробелов итоговая выборка была очищена от пробелов в данных. После описанных процедур по очистке выборки была получена сбалансированная панель данных, состоящая из 99 ключевых банков за 108 месячных наблюдений, начиная с первого января 2008 г.

Важность выбранного интервала подчеркивается двумя произошедшими за это время финансовыми кризисами, во время которых резко менялась ставка центрального банка и период относительного спокойствия между ними. Подобные условия позволяют проверить гипотезы о значимости уровня процентной ставки и ее волатильности на процентную маржу.

Помимо уже описанных двух гипотез о зависимости процентной маржи от процентной ставки и величины заимствований в иностранной валюте, важно отметить ряд предпосылок относительно знаков коэффициентов перед введенными в модель контрольными переменными, значимость которых будет проверяться в работе.

 

.3 Порядок проведения исследования


Исследование состоит из трех этапов, необходимых для проверки теоретических предпосылок тестируемой модели и проверки выдвинутых гипотез. На первом этапе исследования будет проверяться необходимость включения в модель выбранных переменных. Теоретическая значимость влияния контрольных переменных на ЧПМ основывается на исследованиях, проводимых в странах западной Европы, США и Японии. Из этого вытекает необходимость проверки необходимости их включения в модель, работающую на российских данных.

На втором этапе исследования будет проведен анализ оставшихся переменных на стационарность и коинтеграцию, построена векторная авторегрессионная модель (VAR-модель) и функции отклика ЧПМ на шоки основных переменных. Итогом второго этапа будет подтверждение или опровержение выдвинутой гипотезы относительно исследуемого влияние шоков процентной ставки на ЧПМ банков.

На заключительном этапе работы, для построения VAR-модели, первоначальная выборка будет разделена на две части, характеризующие банки с высокой и низкой долей валютных пассивов. Построенные модели будут сравнены по критерию реакции ЧПМ на шоки долгосрочных процентных ставок.

 

.4 Анализ контрольных переменных исследуемой модели и оценка их влияния на маржу


Для первичного исследования необходимости включения всех контрольных переменных в модель чистой процентной маржи было решено отойти от модели векторной авторегрессии из-за неинтерпретируемости полученных коэффициентов VAR-модели. Для определения направления зависимости между описанными переменными будет использоваться объединенная панельная регрессия PM (pooled model), которая позволяет изучить общее влияние включенных регрессоров на исследуемую переменную, без учета индивидуальных эффектов.

В качестве критерия отбора переменных используется обратный метод с максимизацией логарифма правдоподобия.

Модель тестируется с учетом наличия разрывов в исследуемых временных рядах. Из-за отсутствия в пакете анализа EViews инструментов для анализа панельных данных на наличие разрывов применяется метод рекурсивных оценок для отдельных временных рядов. В общей сложности для определения точек разрыва было использовано пятнадцать временных рядов из 96, составляющих панель. В большинстве случаев метод рекурсивных оценок показал наличие разрывов в двух временных промежутках:

·       между 18-ым и 24-ым месяцем;

·       между 82-ым и 90-ым.

Во всех случаях значимость обнаруженных разрывов подтверждается тестами ЧОУ (Chow breakpoint test) и Квандта - Эндрюса (Quandt-Andrews unknown breakpoint test). Исходя из анализа точек разрыва отдельных составляющих панели, было решено разделить выборку на три периода.

·       Наблюдения 1-24 - первый период. Соответствует 01.01.2008 - 01.01.2010;

·       Наблюдения 25-82 - второй период. Соответствует 01.02.2010 - 01.10.2014;

·       Наблюдения 83-108 - третий период. Соответствует 01.11.2014 - 01.01.2017.

Результат, полученный из анализа собранных данных, не противоречит общей экономической интуиции. Разрыв теоретической зависимости между изучаемыми переменными в обозначенные временные промежутки может происходить из-за изменений макроэкономической среды в российской экономике. Обнаруженные временные промежутки совпали с периодом выхода российской экономики из кризиса 2008 г. и началом кризиса банковской ликвидности 2015 г.

В качестве метода исключения переменных используется обратный метод. В качестве критерия для исключения из модели выступает условие ее незначимости на пятипроцентном доверительном интервале. Этапы процедуры отбора показаны в приложении 3. По результатам процедуры исключения переменных в модели оставлены переменные: SK, RSA, LIK, RISK, NMO. Помимо описанного выше критерия, полученная спецификация модели имеет максимальный показатель логарифма правдоподобия.

Помимо проверки значимости включенных контрольных переменных, важно удостовериться, что их влияние на ЧПМ соответствует теоретическим предпосылкам их введения в модель. Проверка будет осуществляться на каждом из исследуемых периодов при помощи двух типов моделей:

·       Модель с детерминированным индивидуальным эффектом, далее FEM (fixed effect model);

·       Модель со случайным индивидуальным эффектом, далее REM (random effect model).

После построения моделей в каждом периоде на основе теста Хаусмана будет выбрана статистически более подходящая модель. По результатам построения моделей были получены следующие результаты.

В первом временном промежутке значимыми на пятипроцентном доверительном интервале оказались все исследуемые переменные. Оценки коэффициентов регрессии соответствуют теоретическим предпосылкам относительно направлении влияния контрольных переменных на величину ЧПМ. По результатам теста Хаусмана была отвергнута нулевая гипотеза о приоритетности модели REM.

Таблица 1. Результаты FEM регрессии на интервале с 1 по 24 наблюдение

Переменная

Значение коэффициента β

Вероятность ошибки (β=0)

C

0.499292

0.0000

RISK

9.428285

0.0000

LIK

0.544782

0.0000

SK

-6.355729

0.0000

NMO

3.055516

0.0000

RSA

10.39704

0.0041


При добавлении в модель переменных RATE, RATEL, DISP коэффициенты перед контрольными переменными в первом периоде не потеряли своей значимости и знак, что еще раз доказывает высокую значимость построенной модели. Итоговые оценки коэффициентов модели для первого периода имеют вид:

Таблица 2. Итоговые оценки коэффициентов регрессии на интервале с 1 по 24 наблюдение

Переменная

Вероятность ошибки (β=0)

C

-0.286319

0.2079

RISK

7.187933

0.0001

LIK

0.514703

0.0000

SK

-5.352968

0.0000

NMO

3.037666

0.0000

RSA

8.858434

0.0049

RATE

12.39390

0.0424

RATEL

0.185497

0.9302

DISP

0.043223

0.0352


Из результатов видно, что в кризисный период 2008 - 2010 годов долгосрочные процентные ставки не оказывали статистически значимого влияния на ЧПМ банков. Это можно объяснить оттоком “длинных денег” из экономики в рассматриваемом периоде и сокращением среднего срока кредитования из-за возросших рисков банкротства.

Во втором рассматриваемом промежутке, как и в первом, знак перед контрольными переменными соответствует теоретическим предпосылкам, все коэффициенты значимы на пятипроцентном доверительном интервале. По результатам теста Хаусмана была отвергнута модель со случайным индивидуальным эффектом.

Таблица 3. Результаты FEM регрессии на интервале с 25 по 82 наблюдение

Переменная

Значение коэффициента β

Вероятность ошибки (β=0)

C

-0.049868

0.0000

RISK

1.256609

0.0000

LIK

0.130244

0.0000

SK

-0.651199

0.0000

NMO

0.741857

0.0000

RSA

0.772765

0.0249


При добавлении в модель переменных RATE, RATEL, DISP коэффициенты перед контрольными переменными в первом периоде не потеряли своей значимости и знак. На втором рассматриваемом периоде (2010- 2014) наблюдался длительный период стабильно снижающихся ставок, резкие падения которых временно увеличивает показатель DISP и на короткий промежуток времени позволяет трансформировать короткие кредиты в длинные с большим процентным спредом. Итоговые оценки коэффициентов модели для второго периода имеют вид:

Таблица 4. Итоговые оценки коэффициентов регрессии на интервале с 25 по 82 наблюдение

Переменная

Значение коэффициента β

Вероятность ошибки (β=0)

C

-0.011906

0.6091

RISK

1.226329

0.0000

LIK

0.121620

0.0000

SK

-0.680698

0.0000

NMO

0.0000

RSA

0.796861

0.0124

RATE

0.720272

0.5285

RATEL

-1.256772

0.2478

DISP

0.198249

0.0011


В итоговом рассматриваемом периоде значимыми оказались все рассчитанные β, кроме коэффициентов перед переменной RISK. Согласно тесту Хаусмана, статистически предпочтительной моделью является модель FEM.

Таблица 5. Результаты FEM регрессии на интервале с 83 по 108 наблюдение

Переменная

Значение коэффициента β

Вероятность ошибки (β=0)

C

-0.018867

0.0861

RISK

0.057131

0.7737

LIK

0.125808

0.0000

SK

-0.400113

0.0000

NMO

0.084864

0.0000

RSA

2.285120

0.0000


В итоговой спецификации модели в третьем периоде статистически незначимыми оказались β перед коэффициентами RISK, RATE, RATEL. Итоговые оценки коэффициентов модели для третьего периода имеют вид:

Таблица 6. Итоговые оценки коэффициентов регрессии на интервале с 82 по 108 наблюдение

Переменная

Значение коэффициента β

Вероятность ошибки (β=0)

C

0.119705

0.0035

RISK

0.021673

0.9101

LIK

0.174161

0.0000

SK

-0.413101

0.0000

NMO

0.068509

0.0009

RSA

1.628501

0.0000

RATE

-0.104843

0.9176

RATEL

-1.082125

0.1712

DISP

0.024765

0.0380


Результатом предварительного анализа модели является статистическая незначимость переменных RATE и RATEL. Однако коэффициент перед переменной DISP оказался значим во всех рассмотренных временных промежутках. Из этого можно сделать предварительный вывод об отсутствии статистически значимой долгосрочной связи между процентными ставками в экономике и динамикой ЧПМ. Вместо этого обнаружено существование краткосрочной зависимости между описываемыми переменными. Предполагается, что шоки процентных ставок увеличивают ЧПМ на короткое время и этот эффект спадает после 3-4 месяцев после шока.

 

.5 Построение VAR-модели и интерпретация результатов


Для построения VAR-модели и исследования функции отклика переменных на шоки необходимо правильно специфицировать модель. Спецификация включает проверку переменных на стационарность как гарантию “затухания” шока и возвращения ЧПМ на прежний уровень. Такая спецификация модели подразумевает, что в экономике существует “нормальный” уровень ЧПМ, не зависящий от макросреды. Такое предположение соответствует выводам об отсутствии долгосрочной зависимости между ставками RATE, RATEL и ЧПМ, полученным в первой части исследования.


Таблица 7. Обзор результатов теста Левина для всех переменных

Переменная

Величина статистики

Вероятность

NIM

2.25345

0.9879

DISP

-55.6824

0.0000

LIK

-23.5011

0.0000

NMO

-3.26838

0.0005

RATEL

-4.95595

0.0000

RATE

3.96964

1.0000

RISK

-11.0171

0.0000

RSA

-29.8602

0.0000

SK

-2.83947

0.0023


По результатам теста видно, что нестационарными рядами являются переменные NIM и RATE. Для устранения этой проблемы было решено перейти к первым разностям. Результатом проведенной процедуры являются временные ряды, стационарные на всем рассматриваемом временном промежутке.

Таблица 8. Обзор результатов теста Левина для первых разностей переменных NIM, RATE

Переменная

Величина статистики

Вероятность

ΔNIM

-50.0963

0.0000

ΔRATE

-39.8134

0.0000


Дальнейшее построение VAR-модели требует определения количества лагов, включаемых в модель. Оптимальная длина лага будет выбираться на основе критериев Акайке, Шварца, Ханана - Квина в каждом из трех периодов отдельно. Из таблицы видно, что 5 из 6 тестов указывают на необходимость включать 6 лагов в модель. Спецификации количества лагов во втором и третьем периоде приведены ниже.

Таблица 9. Определение максимального количества лагов в первом периоде

Lag

LogL

LR

FPE

AIC

SC

HQ

1

67477.90

58439.51

2.21e-25

-34.06919

-33.95487

-34.02865

2

71282.05

7575.620

3.34e-26

-35.95959

-35.74364

-35.88300

3

72373.59

2169.278

1.98e-26

-36.47894

-36.36631

4

73062.97

1367.270*

1.45e-26

-36.79503

-36.37583

-36.64636

5

73882.25

1621.577

9.88e-27

-37.17678

-36.65595

-36.99206

6

76377.04*

2922.906

2.99e-27*

-38.37303*

-37.64896*

-38.11623*

7

74894.23

1998.897

6.12e-27

-37.65592

-37.03347

-37.43515


·       AIC - Информационный критерий Акаике;

·       SC - Байесовский информационный критерий или критерий Шварца;

·       HQ - Критерий Ханнана-Куинна.

Итоговая спецификация панельной векторной авторегрессионной модели включает в себя систему из девяти уравнений, где оценивается зависимость каждой рассматриваемой переменной от всех остальных с учетом шести лагов. Данная модель учитывает теоретические предпосылки о взаимозависимости рассматриваемых переменных и возможность банка варьировать их в соответствии с внутренней бизнес-стратегией в ответ на изменение шоков макросреды. Важно отметить обнаруженные отрицательные коэффициенты перед переменными RATE, RATEL. Однако из-за комплексного воздействия переменных друг на друга коэффициенты VAR-модели невозможно интерпретировать напрямую. Вместо этого наибольший интерес представляют функции отклика на шоки.

К сожалению, динамика шоков не показывает схожего движения во всех трех рассматриваемых периодах, однако из графиков можно сделать вывод о краткосрочном положительном влиянии шоков ставок на ЧПМ. Видно, что повышение ЧПМ происходит в течение полугода с момента шока. Точный срок шока ЧПМ скорее всего зависит от среднего срока выданных кредитов, чем быстрее клиенты будут рефинансировать долги, тем быстрее вырастет ЧПМ. Можно также заметить, что во времена кризисов эта зависимость проявляется быстрее, что может свидетельствовать о сокращении среднего срока обращения активов и пассивов в кризисные времена. Более конкретные выводы требуют дополнительного исследования, которое будет проведено в части 3.

В последней части исследования будет определено влияние доли валютных пассивов на величину ЧПМ, проверена гипотеза о том, что банки с высокой долей валютных обязательств менее подвержены колебаниям ЧПМ при шоках процентных ставок, чем остальные банки. Для этого в модель была добавлена переменная VPAS как доля валютных обязательств в общем объеме пассивов, а вся выборка была разделена на три части:

·       Банки с долей долларовых пассивов выше сороковой перцентили;

·       Банки с долей долларовых пассивов ниже шестидесятой перцентили;

·       Все остальные банки.

Дальнейшие исследования будут проводиться на основе первых двух выборок, банки со средним уровнем валютной задолженности были исключены с целью увеличить статистическую значимость полученных результатов и сделать их более наглядными.

Из полученных графиков реакции становится заметно, что банки с низким уровнем валютных заимствований реагируют на увеличение процентных ставок отрицательно, их ЧПМ падает. Это соответствует концепции трансформации ликвидности, когда банки привлекают более дешевые краткосрочные депозиты для финансирования дорогих долгосрочных кредитов. В этих условиях при повышении краткосрочных ставок ЧПМ падает, когда банку необходимо привлекать новые депозиты по более высокой ставке. В противоположность этому, реакция ЧПМ банков с высокой долей валютных пассивов положительная. Это не вписывается в концепцию трансформации ликвидности, однако можно объяснить это тем, что банки привлекают долларовые обязательства по низкой ставке и трансформируют их в рублевые активы. В таком случае при повышении рублевых долгосрочных процентных ставок цена привлечения долларовой ликвидности не меняется, а проценты по долгосрочным рублевым кредитам возрастают, увеличивая чистую процентную маржу. Исчезновение этого эффекта на третьем временном промежутке говорит о том, что перекрытие возможности привлекать долгосрочные кредиты на международном финансовом рынке сделало стратегию трансформации валютных долгов в рублевые активы невозможной.

 

 

 

Заключение


В ходе исследования были поэтапно осуществлены все поставленные задачи и достигнута основная цель - проверка поставленных гипотез. Было обнаружено, что в среднем банковская процентная маржа реагирует на увеличение процентных ставок положительно, но только в краткосрочном периоде. Разделение выборки на подгруппы внесло дополнительную ясность: была полностью подтверждена гипотеза о том, что повышение процентных ставок ведет к снижению банковской маржи. Это было доказано на примере шока краткосрочных процентных ставок на чистую процентную маржу банков с низкой долей валютных обязательств.

Кроме того, подтвердилась третья гипотеза о том, что при повышении процентных ставок чистая процентная маржа банков с высокой долей валютных пассивов будет снижаться на меньшую величину, чем у остальных банков. Неожиданным результатом стало то, что маржа рассмотренных банков не только не снижалась, но даже вырастала при повышении ставок. Подобный результат может свидетельствовать о преобладании валютного финансирования в таких банках, их высокой зависимости от международного валютного рынка. Наконец, было доказано, что внутренние факторы, такие как риск портфеля, доля собственного капитала и коэффициент ликвидности, оказывают значительное влияние на чистую процентную маржу банков.

Данные выводы помогут аналитикам предсказывать последствия изменения процентных ставок, а коммерческим банкам - выработать стратегию для преодоления последствий шоков. Результаты исследования могут также использоваться Центральным банком для проведения стресс-тестов банковского сектора.


Список использованных источников

 

Литературные источники

1.   Allen, L., 1988. The determinants of bank interest margins: A note. Journal of Financial and Quantitative Analysis 23 (2), 231-235.

2.      Angbazo L. Commercial bank net interest margins, default risk, interestrate risk, and off-balance sheet banking //Journal of Banking & Finance. - 1997. - Т. 21. - №. 1. - С. 55-87.

.        Giovanni Dell Aricciaa, Luc Laevena, Robert Marquezc Real interest rates, leverage, and bank risk-taking Journal of Economic Theory 149 (2014) 65-99

.        Kashyap A. and Stein J.C. (1995), “The Impact of Monetary Policy on Bank Balance Sheets”, Carnegie Rochester Conference Series on Public Policy, Vol. 42, pp.151-195.

.        Leonardo Gambacorta (2008) HOW DO BANKS SET INTEREST RATES? European Economic Review Volume 52, Issue 5, July 2008, Pages 792-819

.        Maudos, Juan Fernandez de Guevara Factors explaining the interest margin in the banking sectors of the European Union Journal of Banking & Finance 28 (2004) 2259-2281

.        McShane, R.W., Sharpe, I.G., 1985. A time series/cross section analysis of the determinants of Australian Trading bank loan/deposit interest margins: 1962-1981. Journal of Banking and Finance 9, 115-136.

.        Mitchell Berlin, Loretta Mester, Deposits and relationship lending, Rev. Finan. Stud. 12(3) (1999) 579-607.

.        Naceur S. B. The determinants of the Tunisian banking industry profitability: Panel evidence /Universite Libre de Tunis working papers. 2003.

.        Ramona Busch Christoph Memmel Banks’ net interest margin and the level of interest rates Deutsche Bundesbank No 16/2015

.        Ho Saunders (1981) The Determinants of Bank Interest Margins: Theory and Empirical Evidence The Journal of Financial and Quantitative Analysis, Vol. 16, No. 4,

Электронные ресурсы

1.   ИАС Банки и Финансы информационного агентства Мобиле [Электронный ресурс] / Электронные данные. - Доступ через терминал НИУ ВШЭ

2.      Официальный сайт Банка России [Электронный ресурс] / Банк России.- Режим доступа: http://cbr.ru/, свободный

Похожие работы на - Процентные ставки и доходы банка

 

Не нашли материал для своей работы?
Поможем написать уникальную работу
Без плагиата!
Без нейросетей!