Ипотечное кредитование

  • Вид работы:
    Курсовая работа (т)
  • Предмет:
    Банковское дело
  • Язык:
    Русский
    ,
    Формат файла:
    MS Word
    95,18 Кб
  • Опубликовано:
    2017-03-23
Вы можете узнать стоимость помощи в написании студенческой работы.
Помощь в написании работы, которую точно примут!

Ипотечное кредитование

Введение


Проблема относительно доступности жилья для населения - одна из наиболее актуальных на протяжении многих лет в большем числе регионов РФ. Основные причины возникновения данной проблемы - недостаточное финансирование строительной отрасли, приведшее к сокращению объемов строительства вплоть до 2000 г. и увеличению доли ветхого жилья.

По причине такой ситуации около 65% россиян испытывают потребность в улучшении своих жилищных условий, при этом улучшать их намерены только 6%. Проблема, связанная с низкой доступностью жилья в 2006 году, приобрела общенациональные масштабы, и решение ее осуществляется в рамках Национального проекта «Доступное и комфортное жилье гражданам России» [41, с. 18]. ФЦП «Жилище» с целью оценки по доступности жилья использовался разработанный программой ХАБИТАТ ООН для сравнений между странами «коэффициент доступности жилья», расчет которого основан на отношении средней стоимости на рынке стандартной квартиры к среднему совокупному годовому денежному доходу среднестатистической семьи.

Целевое значение этого показателя к 2018 г. определено в 3 года, а на сегодняшний день его реальное значение более 5 лет и показывает тенденцию увеличения. Большая часть населения не может позволить себе сразу после приятия решения о переселении купить жилье. Поэтому они обращаются к основному механизму повышения доступности жилья, то есть к ипотечному кредитованию. Но это не значит, что население способно регулярно и стабильно ежемесячно оплачивать кредит, некоторым он просто не по карману. Для таких граждан малодоходных групп разработаны государственные субсидии на приобретение жилья, ведь для некоторых это единственный способ улучшить жилищные условия [31, с. 3].

Анализ ситуации, сложившейся в области жилищной политики, сложный характер жилищных проблем требуют придания системе ипотечного кредитования статуса президентской программы. Поэтому ипотечное кредитование является одним из приоритетных направлений государственной жилищной политики.

Актуальность проблемы использования ипотечного кредитования с целью улучшения жилищной проблемы населения страны обосновала выбор темы курсовой работы.

Объект исследования - экономические отношения, возникающие в процессе ипотечного кредитования.

Предмет исследования - ипотечное кредитование как фактор реализации жилищной политики.

Целью курсовой работы является анализ роли ипотечного кредитования в современной российской экономике.

В соответствии с поставленной целью определены следующие задачи:

-    раскрыть экономическую сущность ипотечного кредитования;

-    исследовать инфраструктуру рынка ипотечного кредитования;

-    рассмотреть тенденции ипотечного кредитования в РФ;

-       провести анализ проблем ипотечного кредитования на примере ПАО «СБЕРБАНК»;

-       рассмотреть перспективы развития системы ипотечного кредитования.

Методическая основа исследования: нормативно-правовые акты, статистические данные аналитического центра АИЖК, ЦБРФ, периодическая литература, интернет - материалы. В работе использованы труды таких авторов, как Головина О.Л., Довдиенко И.В., Дубовик И.В., Жданов В.П., Зельднер А.Г., Волкова А. П. и др.

Информационная база курсовой работы включает: нормативно-правовые акты, статистические материалы, труды ведущих отечественных и зарубежных авторов, посвященные проблемам развития рынка жилья города, статьи, опубликованные в периодических изданиях, а также Интернет-ресурсы.

Курсовая работа состоит из введения, трех глав основного текста, заключения, списка использованных источников, приложений.

Содержание работы изложено на 42 страницах машинописного текста, и включает 1 рисунок, 17 таблиц. Список литературы состоит из 37 источников.

1. Теоретические аспекты организации ипотечного кредитования в экономике


1.1 Сущность и формы ипотечного кредитования


Что такое ипотека? Это принцип кредитования, при котором в качестве обеспечения обязательств перед кредиторм выступает недвижимость, которую формально отдают в залог. По факту, заемщик получает у кредитора кредит на приобретение недвижимости. Та недвижимость, которая будет приобретена, и становится залогом, обеспечивая кредитору гарантии выплаты заемщиком кредита. Квартира - не единственный вид имущества, который можно заложить в качестве обеспечения. Это могут быть яхта, земля, автомобиль и так далее. Та недвижимость, которая преобретена в ипотеку, с момента покупки становится собственностью заемщика.

От заемщика (первичный рынок ипотечных кредитов) к инвестору (вторичный рынок ипотечных ценных бумаг) проходит финансовый поток, который становится следствием совокупности отношений системы ипотечного кредитования. Трактовки которой представляют собой следующее:

      это институциональная система перераспределения финансовых ресурсов от конечных инвесторов к заемщикам ипотечных кредитов;

      комплекс взаимосвязанных субъектов, объектов и снабжения ипотечных жилищных кредитов, взаимодействующих между собой на единой организационно-экономической основе. Составляющие среды, в которой проходит полный, полноценный жизненный цикл ипотечных отношений, взаимообеспечивающиеся и взаимоподчиненыею Так в ипотечном кредитовании рассматривается первичный и вторичный рынки.

При этом существует несколько понятий таких, как ипотечное кредитование и ипотека. Разница состоит в том, что при ипотечном кредитовании банк выдает кредит, когда залогом является недвижимость. Поэтому ипотечный кредит является составляющей частью ипотечной системы. Если же кредит получен для покупки определенной недвижимости, то такая недвижимость автоматически определяется как ипотека (залог), представляющую собой гарантию возврата такого кредита. В качестве оснований для возникновения и регулирования ипотечного кредитования действующее законодательство предусматривает несколько видов таких оснований. Так, ипотечное кредитование может возникать по закону либо согласно договору об ипотечном кредитовании.

В качестве важного способа, чтобы снизить кредиторские риски, выступает ипотечное кредитование. К особенностям ипотечного кредитования могут быть отнесены следующие моменты. Прежде всего, ипотечный кредит, как правило, выдается на довольно продолжительный период времени. Процентная ставка при ипотечном кредите является практически всегда более низкой в отличие от других видов кредита. Требования, выдвигаемые такому заемщику банком, являются менее жесткими, чем при каком-либо другом кредитовании. В то же время, банк обязательно проверяет доход заемщика по ипотечному кредиту, требует внести страховой залог, проверяет оценку недвижимого имущества, непрерывный стаж работы, а также осуществляет другие действия, которые повышают безопасность ипотечного кредитования.

На сегодняшний день ипотека - залог недвижимого имущества при получении ссуды в кредитном учреждении, дающий право кредитору преимущественного удовлетворения претензий к должнику на сумму заложенного имущества.

Система ипотечного кредитования эффективно влияет на активизацию спроса. С точки зрения управления спросом на потребительском рынке систему ипотеки можно воспринимать как систему управления продажами недвижимости. Оценивая роль каждой из представленных подсистем, можно сделать вывод, что «вторичная подсистема» выполняет доминирующую функцию - инвестора.

Ипотечные жилищные кредиты классифицируются следующим образом (таблица 1):

Таблица 1 - Классификация ипотечных кредитов по мнению различных авторов

Классификационный признак


Власов А.В.

Коробова Г.Г.

Косарева Н.Б.

По целям кредитования

- ипотечный кредит на приобретение жилья на первичном рынке недвижимости; - ипотечный кредит на приобретение жилья на вторичном рынке недвижимости; - ипотечный кредит на ремонт жилья; - ипотечный кредит на рефинансирование ранее выданных кредитов; - ипотечный кредит строительство жилья; - ипотечный кредит потребительского назначения (без указания направления использования).

+

+

+

По виду залога:

- ипотечный кредит под залог приобретаемого жилья; - ипотечный кредит под залог имеющегося жилья.

+

+

+

По виду заёмщиков:

- ипотечный кредит застройщикам и строителям; - ипотечный кредит покупателям жилья.

+

-

+

По валюте кредита:

- ипотечный кредит в национальной валюте; - ипотечный кредит в иностранной валюте.

-

+

+

По инструменту ипотечного кредитования:

- ипотечный кредит погашаемый аннуитетными платежами; - ипотечный кредит с амортизацией долга («пружинные» кредиты); - ипотечный кредит с «шаровым» платежом; - ипотечный кредит с увеличением платежей. - другие ипотечные кредиты.

+

+

+

По виду процентной ставки:

- ипотечный кредит с фиксированной процентной ставкой; - ипотечный кредит с переменной процентной ставкой: - ипотечный кредит с плавающей ставкой; - ипотечный кредит со ставкой фиксированной на несколько периодов внутри срока кредитования; - ипотечный кредит с комбинированной процентной ставкой.

+

+

+

По способу досрочного погашения:

- ипотечный кредит с правом свободного досрочного погашения; - ипотечный кредит без права досрочного погашения: - погашение, при уплате фиксированной суммы штрафа; - погашение, при уплате штрафа в % от суммы досрочного платежа; - действие моратория на досрочное погашение; - ипотечный кредит с правом условного досрочного погашения.

+

+

-


Данная классификация является синтезом существующих разработок в данной области.

Риски, формы и методы предоставления кредита различаются в зависимости от целей кредитования.

Цели жилищного кредита могут быть самыми разными. Например, готовое жилье можно приобрести в качестве:

-    основного места проживания;

-       дополнительного места;

-       сезонного жилья;

-       арендного жилья с целью дохода.

Когда происходит принятие решения о кредитовании (андеррайтинг кредита) производится анализ рисков, для которого и нужно уточнить цели покупки жилья.

Для предоставления данного особого вида кредитования физическим лицам необходимо пройти две стадии:

      первая стадия - под залог прав на земельный участок

      вторая стадия - под залог земельного участка и построенного жилища после окончания строительства путем модификации кредита.

В зависимости от способов предоставления кредита различают два вида кредитов:

-    кредиты, предоставляемые одной суммой (в основном на приобретение готового жилья);

-       кредиты, предполагающие поэтапное финансирование строительства жилого объекта.

Выдается строительный кредит на 1 - 1,5 года - период строительства. Материальные активы, гарантии, поручительства, земельный участок - все это может выступать в качестве залога. Далее, перед каждым новым этапом строительства выдается определенная часть кредита, и проценты начисляют только на выданную часть. Оплачивает заемщик в процессе строительства тоже только проценты. Так, бывают случаи, когда заемщик не может оплачивать и проценты. Тогда их суммируют с основной суммой долга, а после строительства капитализируют, модифицируют, и заемщик платит уже один жилищный кредит под залог земли и дома сроком в 15-30 лет.

Имущество, которое может стать предметом ипотеки:

-    частные земельные участки;

-       эксплуатируемое в предпринимательской деятельности недвижимое имущество (сооружения, здания);

-       части жилых домов или квартир (комнаты изолированы) и сами жилые дома;

-       постройки потребительского назначения (гараж, дача, баня и так далее).

Основными кредиторами ипотечных жилищных кредитов в России являются универсальные коммерческие банки.

Не менее важными участниками могут быть государство, страховые компании, оценщики. Государство может играть существенную роль путем предоставления средств на финансирование социального жилья, гарантий, создания благоприятных условий для кредитования отраслей, связанных с ипотечным кредитом, а также введения различных льгот, например льготного налогообложения.

1.2 Зарубежный и российский опыт развития ипотеки

банк ипотека жилищный кредитование

Привлечение ресурсов для кредитования на строительство и приобретение жилья важная проблема, так как ипотека - долгосрочное и рискованное мероприятие. Основных моделей привлечения средств в мире четыре:

-    коммерческие универсальные банки (за счет депозитов);

-       ипотечные банки (за счет депозитов);

-       вторичный рынок ипотечных кредитов (выпуск и размещение ипотечных ценных бумаг);

-       учреждения основные ссудосберегательные (выпуск и размещение ипотечных ценных бумаг).

Необходимо данные схемы рассмотреть.

Менее совершенная модель, но наиболее простая - традиционная. Применяется она и комерческими и специализированными банками, занимающимися ипотекой.

На депозитных счетах юридических лиц размещена ресурсная база для ипотек. В долгосрочных архивах они размещены частично и носят краткосрочный характер. Поэтому банки используют собственный капитал и займы (межбанковские и другие).

Ипотекой в этой инвестиционной моделе связаны исключительно заемщик и кредитор (схема «заемщик - кредитор»). Непосредственным обладателем кредита до конца остается банк, несмотря на залог недвижимости. Финансовая технология закрыта. Исходя из экономической, финансовой ситуации и личных интересов банк сам регулирует инвестиционный процесс.

Данная модель кредитования присуща станам со стабильной экономикой, например, в Западной Европе. Там средний объем выданных ипотек составляет 62% [3]

Закрытая система финансирования присуща судосберегательной модели. В Германии популярны ССК (строительно-сберегательные кассы). На их примере рассмотрим данную модель. Группа физических лиц, которые объединены интересами строительства, модернизации и приобретения жилья, или банки создают данные учреждения. Здесь устанавливаются собственные кредитные и депозитные ставки, чем делают модель независимой от колебаний ставок и рынка капитала, все это сделано благодаря объединению и взаимопомощи вкладчиков. К тому же, на протяжении срока кредита ставка не меняется. 2,5%-4,5% - это ставка накопления, 4,5%-8,5% - это ставка кредитования [4]

Американская модель носит дополнительное название «модель вторичного ипотечного рынка». Различие с предыдущими - в совершенно другом решении проблем ресурсного обеспечения ипотеки. Существует вторичный рынок ценных бумаг, обеспеченных ипотечными кредитами, откуда и поступает основной приток кредитных ресурсов на ипотеку. В США действует имеено такая схема («заемщик - кредитор - посредник - инвестор», иногда «заемщик - кредитор - инвестор»).

Состоит эта модель из первичного и вторичного рынка и является двухуровневой. Кредиты дают на первичном рынке. На начальных стадиях кредитные институты привлекают заемный и собственный капитал, чем в итоге и отличается американская модель от традиционной.

В случае надобности, кредитный институт перепродает ипотеку финансовым посредникам или инвесторам, это нужно для быстрого возврата затраченных средств. Таким образом кредит можно переместить с первичного рынка на вторичный. А вырученные средства вновь идут на кредитование. Так решается проблема банковской ликвидности.

Обострение геополитической ситуации летом 2015 года вызвало повышение ставок по ипотеке и ужесточение условий кредитования. Нестабильная экономическая ситуация и усиление западных санкций привели к тому, что банки начали предъявлять высокие требования к размеру первоначального взноса и обеспечению кредита. Некоторые кредитные организации предлагают сниженные ставки при условии внесения дополнительной комиссии.

Открыл сезон повышения ставок Сбербанк, который первым поднял ставку в июле 2015 года на 0,5%-1% годовых, а в октябре отменил скидку 0,5% на строящееся жилье. В августе его примеру последовал СБЕРБАНК, увеличив ставку на 0,1%-0,3% годовых [24].

Начиная с сентября, ставки на 0,5% подняли Альфа-Банк, Райффайзенбанк и на 0,25%-0,5% - банки Открытие и Росбанк. Россельхозбанк предлагает минимальную ставку для участников зарплатного проекта - 14% годовых, для остальных заемщиков - от 14,25% [24].

Кредитные организации, сотрудничающие с АИЖК, пока не меняли условия предоставления социальной ипотеки. В то же время некоторые банки придерживаются противоположной политики и снижают номинальные ставки, например, банк Возрождение понизил ставки на 0,5%-1% годовых, чтобы не терять конкурентоспособность на рынке.

Ипотечные сделки остаются наименее рискованными, поэтому кредитные организации в 2016 году стараются придерживаться действующих условий, однако АИЖК прогнозирует, что средневзвешенная ставка по ипотеке в 2016 году составит 12,5%. Это объясняется действием санкций, введенных против российских банков и удорожанием фондирования, а также нестабильной экономической ситуацией.

В таблице 2 представлена динамика рынка ипотечного кредитования.

Таблица 2 - Динамика роста объемов ипотечного жилищного кредитования и его доли в ВВП России

Год

Объем выданных ипотечных кредитов

Объем валового внутреннего продукта

Доля ипотечных кредитов в ВВП, %


Млрд руб.

Темп изм. к предыдущему году, %

Млрд руб.

Темп изм. к предыдущему году, %


1

2

3

4

5

6

2007

263,6

100,0

26 917,2

100,0

1,0

2008

556,5

В 2,6 р.

33 247,5

123,5

1,7

2009

655,8

117,8

41 276,8

124,2

1,6

2011

152,5

23,2

38 807,2

94,1

0,4

2012

380,1

В 2,5 р.

46 308,5

119,3

0,8

2013

716,9

188,6

55 644,0

120,2

1,3

2014

1031,9

143,9

61 810,8

111,1

1,7

2015

1 353,6

131,2

66 689,1

107,9

2,0


Влияние ипотеки на развитие рынка жилья продолжает увеличиваться. В I полугодии 2015 года доля сделок с ипотекой на рынке жилья достигла очередного рекордного уровня - 26,4%, что на 2,8 п.п. выше, чем годом ранее.

Как развивалась жилищная ипотека за последние годы, свидетельствуют данные таблицы 3.

Таблица 3 - Динамика ипотечных жилищных кредитов в РФ в 2009-2015 гг.

Показатели (на дату)

1.01.2009

1.01.2011

1.01.2012

1.01.2013

1.01.2014

1.01.2016

Задолженность по ипотечным кредитам, млн руб.

125 723

350 174

702 185

903 475

1 010 889

1 150 259

Из них:







в рублях

77 396

239 361

524 045

654 015

812 775

905 125

в иностранной валюте

48 327

110 813

178 140

249 460

198 114

245 134

Темпы роста задолженности по ипотечным кредитам (в % к 01.01.2009)

-

278,5

558,5

718,6

804,1

916,2

Темпы роста задолженности по ипотечным кредитам к предыдущему г.

-

278,5

200,5

128,7

111,9

114,5


Увеличение объемов выдачи ипотечных кредитов и жилищного строительства удерживают рынок жилья на сбалансированной траектории развития - дополнительный платежеспособный спрос населения, поддерживаемый ипотекой, абсорбирует первичный рынок жилья.

Таблица 4 - Сравнительная характеристика темпов роста объемов выданных ипотечных жилищных кредитов и жилищного рынка в России

Показатель

Годы


2009

2010

2011

2012

2013

2014

2015

Объем выданных ипотечных жилищных кредитов, млрд руб.

556,5

655,8

152,5

380,1

716,9

1031,9

1353,6

Темп роста выданных ипотечных жилищных кредитов, %

В 2,1р.

117,8

23,2

В 2,5р.

188,6

143,9

131,2

Ввод жилья, млн м2 общей площади

61,2

64,1

59,9

58,4

62,3

65,7

69,4

Темп роста ввода жилья, %

120,9

104,7

93,4

97,5

106,7

105,4

105,6

Средняя стоимость 1 м2 жилья, тыс. руб.

47,2

56,6

52,9

60,0

48,2

56,4

56,5

Темп роста стоимости жилья, %

129,0

119,6

93,5

113,4

80,3

117,0

100,2


Процессом рефинансирования и секьюритизации (как метод рефинансирования) определяется сама проблема доступности ипотеки. Существует потребность в финансовых ресурсах субъектов ипотеки, но уровень развития вышеуказанных процессов сильно отстает от нее. Это видно из исследования автора.

С целью увеличения предложения жилья эконом-класса, предложено изменить процедуру проведения торгов по продаже права аренды земельных участков. Для застройщиков желающих строить жилье данного класса будет проводиться закрытый аукцион.

Максимальная стартовая цена за 1 кв. м, устанавливаемая организаторами, может быть лишь на 2% больше, установленной рыночной стоимости за 1 кв. м для каждого муниципального района. Победителем аукциона, признается тот застройщик, который предложил наименьшую цену за 1 кв. м, по которой он будет реализовывать будущую построенную на данном участке жилую недвижимость. Земельный участок с проложенными к нему инженерными коммуникациями, победителю конкурса будет выделяться бесплатно.

2. Анализ ипотечного кредитования на примере ПАО «СБЕРБАНК»


2.1 Общая характеристика банка


Основанный в 1841 г. Сбербанк России сегодня - современный универсальный банк, удовлетворяющий потребности различных групп клиентов в широком спектре банковских услуг.

К главным видам деятельности относят:

-    кредитование физических лиц

-       кредитование корпоративных клиентов

-       ипотечное кредитование

Банк уделяет отдельное внимание работе с частными клиентами и предоставляет широкий спектр банковских продуктов и услуг для физических лиц: кредитование; вклады; банковские карты; денежные переводы; коммунальные платежи; операции с ценными бумагами; индивидуальные банковские сейфы; монеты; расчетно-кассовое обслуживание; депозитарий; удостоверяющий центр; рекламные акции; операции с векселями; дисконтная программа.

Размер активов ПАО «СБЕРБАНК» на 01.01.17 составил 24586,2 млн. руб., что на 24,6 % выше подобного показателя 2013 года (таблица 5).

Темпы роста активов опережают темпы роста своего капитала.

Свой капитал банка возрос лишь на 2,2% в сравнении с данными на 01.01.15г. В свою очередь темпы роста ссудной задолженности превышают темпы роста активов ПАО «СБЕРБАНК». Размер общей ссудной задолженности возрос на 28,4%, составив на 01.01.17г. 15720,0 млн. руб. При одновременном поступательном росте активов и своего капитала, прибыль до налогообложения была снижена до 48,2% от уровня 2014г.

Таблица 5 - Основные показатели деятельности банка ПАО «СБЕРБАНК» за 2014-2016гг., на конец года

Показатель

2014г.

2015г.

2016г.

Темп роста, снижения %





2015/2014

2016/2014

Активы, млн. руб.

19725,2

20680,0

24586,2

104,8

124,6

Свои средства (капитал), млн. руб.

2339,4

2352,6

2390,7

100,6

102,2

Общая ссудная задолженность, млн. руб.

12238,7

13236,5

15720,0

108,2

128,4

в т. ч. просроченная, млн. руб.

3038,4

2068,6

2392,1

68,1

78,7

Привлеченные ресурсы, млн. руб.

17385,9

18327,4

22195,5

105,4

121,1

в т.ч. вклады, млн. руб.

10205,4

9937,2

10897,8

97,4

106,8

Прибыль до налогообложения, млн. руб.

241,3

83,2

116,4

34,5

48,2

Коэффициент рентабельности активов, %

1,3

0,4

0,5

Х

Х

Коэффициент рентабельности своего капитала, %

10,1

3,5

4,9

Х


Рост активов на 24,6% был во многом обуславливается повышением чистой ссудной задолженности, как видно из таблицы 6, занимающей наибольший удельный вес в структуре активов. На ее долю приходится около 57% общей суммы активов банка.

Таблица 6 - Состав и структура активов ПАО «СБЕРБАНК» за 2014-2016гг., млн. руб., на конец года

Активы банка

2014г.

2015г.

2016г.

Удельный вес, %





2014

2015

2016

Денежные средства

716,2

857,0

802,8

3,6

4,1

3,3

Средства кредитных организаций в ЦБ РФ

700,4

614,0

559,8

3,6

3,0

2,3

Средства в кредитных организациях

1186,0

394,4

1724,8

6,0

1,9

7,0

Финансовые активы, которые оцениваются по справедливой стоимости через прибыль либо убыток

3156,3

4030,3

4329,7

16,0

19,5

17,6

Чистая ссудная задолженность

11225,9

12083,4

13915,1

56,9

58,4

56,6

Чистые вложения в ценные бумаги и иные финансовые активы

4,4

4,4

604,6

0,0

0,0

2,5

Чистые вложения в ценные бумаги удерживаемые до погашения

308,5

217,6

219,0

1,6

1,1

0,9

Основные средства, нематериальные активы и материальные запасы

1433,2

1374,7

2236,0

7,3

6,6

9,1

Прочие активы

994,5

1104,2

194,4

5,0

5,3

0,8

ИТОГО

19725,2

20680,0

24586,2

100,0

100,0

100,0


На долю финансовых активов, которые оцениваются по справедливой стоимости через прибыль либо убыток, приходится около 18% совокупных банковских активов. Остальные 25% делят: денежные средства - 4%, средства кредитных организаций в ЦБ РФ - 3%, средства в кредитных организациях - 5%, чистые вложения в ценные бумаги и иные финансовые активы, которые имеются в наличии для продажи - 1%, чистые вложения в ценные бумаги, которые удерживаются до погашения - 1%, главные средства, нематериальные активы и материальные запасы - 7%, прочие активы - 4%.

2.2 Анализ ипотечного кредитования на примере ПАО «СБЕРБАНК»


Анализ реализуемых программ ипотечного кредитования иллюстрирует, что ипотечные программы Банка довольно привлекательны для населения.

Таблица 7 - Структура ипотечных кредитов, выданных в 2015-2016 году, млн. руб., на конец года


2016 г.

2015 г.

2014 г.

Название кредита

Сумма (млн. руб.)

Удельный вес, %

Сумма (млн. руб.)

Удельный вес, %

Сумма (млн. руб.)

Удельный вес, %

Кредит на срок 5-15 лет

796,02

92

514,26

68,53

505,21

67,53

Кредит на срок 15-20 лет

16,13

2

113,4

15,11

118,4

16,12

Кредит на срок до 5 лет

51,29

6

122,75

16,36

130,75

14,36

Всего

863,44

100

750,41

100

743,41

100

Из данных таблицы 7 видно, что в 2016 году наибольший удельный вес в портфеле ипотечных кредитов в отделении Банка занимают кредиты, которые выданы на срок 5-15 лет - 92%, в сравнении с 2015 годом этот процент увеличен на 23,47 %. Требования законодательства ограничивают перечень объектов недвижимости на первичном рынке жилья, которые, в свою очередь, могут быть приобретены с применением кредитных средств банков.

На 1 января 2014 г. кредитный портфель ПАО «СБЕРБАНК» составлял 1 552 828 тыс. р., а уже на 1 января 2017 года он увеличился и составил 1 738 944 тыс. р. С 2014 года остаток срочной ссудной задолженности ПАО «СБЕРБАНК» вырос на 186 115,8 тыс. р. либо на 12 %.

Темп роста срочной ссудной задолженности за рассматриваемый период составил 111,99 %. Что говорит о росте выданных кредитов за период 2014-2016 гг., на 11,99 %.

Из анализа данных приведенных в таблице 7 видно, что происходит постепенное повышение срочной ссудной задолженности, которая, в свою очередь, составила на 1 января 2017 года 1 738 944 тыс. р., что на 186 115,8 тыс. р. Значительно больше чем на 1 января 2015 года. Это произошло благодаря изменениям, внесенным в правила кредитования физических лиц в ПАО «СБЕРБАНК» банке с одновременным уменьшением процентных ставок.

Дальше рассмотрим предлагаемые отделением ПАО «СБЕРБАНК» программы кредитования.

Как иллюстрирует таблица 8, в отделении банка представлены как кредиты наличными, так и широкой программы ипотечного кредитования и кредитования малого бизнеса - индивидуальных предпринимателей.

Таблица 8 - Предлагаемые программы кредитования

Программа

% ставка

Минимальная сумма

Максимальная сумма, тыс.р.

Максимальный срок кредитования

Кредитные карты

инд.


750


Кредит наличными

от 21,49 %


2 000

3 года

Ипотечное кредитование

17-19 %

2500

60000

25 лет

Автокредитование

23,49% - 33,49

112

5600

3 года


Дальше рассмотрим удельный вес остатков срочной ссудной задолженности по видам кредитов в таблице 9.

Таблица 9 - Структура остатков срочной ссудной задолженности по разным видам кредитов, на конец года

Программа кредитования

2014 г.

2015 г.

2016 г.

Темп роста, 2016/2014 %


Сумма, тыс.р.

Доля, %

Сумма, тыс.р.

Доля, %

Сумма, тыс.р.

Доля, %


Ипотечный (первичный рынок)

95877

6,17

88314,2

5,41

81947,2

4,71

85,47

Ипотечный (вторичный рынок)

256988,7

16,55

271912,3

16,66

282549,6

16,25

109,95


Из данных приведенных в таблице 9 видно, что набирают обороты программы главным образом существующие достаточно давно и обладающие стандартными характеристиками.

Это кредитование наличными (28,94 % на начало периода и 33,03 % на его конец) и корпоративная программа кредитования (18,59 % на начало анализируемого периода и 20,12 % на его конец).

Относительно самого востребованного вида кредита то им остается кредит наличными, его удельный вес в ссудной задолженности растет в процентном выражении ежегодно (рисунок 1).

Рисунок 1 - Изменение доли ипотечных кредитов в общей структуре ссудной задолженности за 2014-2016 гг. (%)

Подобная тенденция к повышению происходит в силу того, что - это наиболее универсальный вид кредита, подходит для всех заемщиков и на всевозможные цели. Его преимущество в том самом, что клиент имеет возможность совершенно самостоятельно определить валюту и метод получения кредита, истратить деньги по своему усмотрению и не предоставлять в банк почти никакой отчетности.

Анализ иллюстрирует, что ставка Банка не является наиболее низкой. Также наиболее высоким является требуемый первоначальный взнос.

Изменения удельного веса по ипотечному кредиту произошли за счёт корректировки процентных ставок, сроков кредитования и роста цен на рынке вторичного жилья.

Абсолютное содержание одного процента прироста в 2016 г. составило 0,9 млн. руб., а в 2017 г. уже 1,5 млн. руб., иными словами, виден рост суммы кредитов и процентного содержания.

Согласно с данными таблицы 10 видно, что наибольшей популярностью среди населения пользуется кредит «Квартира». В 2014 г. его удельный вес составил 65,6%, в кризисный 2015 г. его доля увеличилась до 78,0%, а с 2016 г. Начала сокращаться из-за увеличения доли на кредит «Новостройка».

Таблица 10 - Состав и структура выданных ипотечных кредитов в ПАО «СБЕРБАНК» в 2014-2016 гг., на конец года

Вид кредита

2014 г.

2015 г.

2016 г.

Изменение


Объём кредитов, млн. руб

Доля, %

Объём кредитов, млн. руб

Доля, %

Объём кредитов, млн. руб

Доля, %

2016/ 2014, млн.руб.

2016/ 2014, %

Квартира

164,5

65,6

71,7

78,0

109,5

73,0

-55

66,57

Новостройка

56,5

22,5

8,3

9,0

19,5

13,0

-37

34,51

Строительство дома

30,0

11,9

12,0

13,0

21,0

14,0

-9

70,00


Связано это с тем, что резко увеличилось число строящихся домов после застоя в кризисный период, на приобретение квартир в которых, в свою очередь, выдаётся ипотечный кредит. Кредит «Строительство дома» в анализированном периоде особой популярностью у населения не пользуется.

Проведём анализ ипотечных кредитов в разрезе сроков просроченной задолженности. В таблице 11 представлены данные о сроках просроченной задолженности по ипотечным кредитам физическим лицам в 2014-2016 гг.

Согласно с данными таблицы 11 видно, что по состоянию на 31 декабря 2016 г. удельный вес просроченных кредитов составил 10,5%, наибольший удельный вес - 3,2% - просроченных кредитов - в интервале сроков до 30 дней, иными словами, задолженность является краткосрочной. Отметим относительно маленькой удельный вес просроченных кредитов с продолжительным сроком просроченности. Таким образом, в анализируемом периоде можно отметить две тенденции.

Таблица 11 - Структура ипотечных кредитов ПАО «СБЕРБАНК» по соблюдению срока возврата в 2014-2016 гг., на конец года

Ипотечные кредиты

2014 г.

2015 г.

2016 г.

Изменение 2016/2014

Непросроченные

93,2

80,5

89,5

-3,7

Просроченные, в том числе на срок

6,8

19,5

10,5

3,7

- менее 30 дней

2,8

3,2

3,2

0,4

- 30 - 90 дней

1,5

2,7

1,9

0,4

- 91 - 180 дней

0,5

2,8

1,8

1,3

- 181 - 360 дней

0,9

5,0

2,0

1,1

- более 360 дней

1,1

5,8

1,6

0,5

Всего

100,0

100,0

100,0

0


На начало анализируемого периода процентная маржа составила 6,04 %, то по итогам 2016 года она сократится до 4,89 %.

В целом стоит отметить, что отделению ПАО «СБЕРБАНК» по итогам 2014-2016 года выгоднее совершать кредитование малого бизнеса, тем не менее конъюнктура рынка влияет на данный процесс сокращением доли кредитов индивидуальных предпринимателей в ссудной задолженности отделения банка.

Главными факторами, которые, в свою очередь, затронули повышение объема доходов Банка, стали динамичный прирост кредитного портфеля Банка и сохранение достаточно высокого уровня процентной маржи.

Также клиенты могут применять средства государственной поддержки:

)     Материнский капитал, который, в свою очередь, позволит снизить либо в полном объеме покрыть первоначальный взнос, повысить сумму ипотечного кредита или погасить часть задолженности.

Кредит предоставляется в рублях на покупку готового либо строящегося жилья.

      нужно обратиться в какой угодно ипотечный центр банка.

      обеспечить стандартный пакет документов, сертификат на материнский капитал и справку из отделения Пенсионного фонда РФ о размере остатка материнского капитала.

      После оформления ипотечного кредита обратиться в отделение Пенсионного фонда РФ, для того чтобы средства материнского капитала были нацелены на частичное погашение кредита.

)     Средства жилищного сертификата (банк принимает сертификаты, которые выданы в рамках какой угодно жилищной программы государства) можно направить на частичную оплату первоначального взноса либо на погашение ипотеки.

      Клиент обращается за ипотечным кредитом в стандартном порядке, но во время оформления ипотеки учитывается его жилищная субсидия.

      Он заполняет анкету на получение ипотечного кредита и вместе с необходимыми документами и жилищным сертификатом передает ее в банк.

      Банк совершает процедуру проверки кредито- и платежеспособности, а кроме того определяет максимальную сумму кредита, которую, в свою очередь, он способен обеспечить с учетом подразумеваемой суммы субсидии и ориентировочной стоимости будущей квартиры.

      После принятия решения о предоставлении кредита клиенту выдается уведомление, и он можете начинать поиск подходящего вам и определенного требованиям банка варианта квартиры.

Если клиент применяет субсидию в качестве первоначального взноса, банк обеспечит кредитные средства лишь после оплаты части приобретаемой недвижимости средствами субсидии.

Ежемесячное погашение ипотечного кредита происходит согласно с условиями кредитного договора. Вполне возможно снижение затрат заемщика, если это предусмотрено условиями жилищного сертификата.

По ходу анализа организации ипотечного кредитования в банке были сделаны следующие выводы:

)     Резко увеличилось число строящихся домов после застоя в кризисный период, на приобретение квартир в которых, в свою очередь, выдаётся ипотечный кредит. Кредит «Строительство дома» в анализированном периоде популярностью у населения не пользуется.

)     Недостатки ипотечного кредитования в ПАО «СБЕРБАНК»:

      невозврат заемщиком полученных средств остается ;

      повышение объема проблемных кредитов;

      рост числа просрочек по выданным ипотечным кредитам.

3. Перспективы операций банка ПАО «СБЕРБАНК» на рынке ипотечного кредитования


3.1 Разработка рекомендаций по оптимизации ипотечного кредитования


Рассмотрим, как предположительно повлияет внедрение данной ипотечной программы на увеличение доходов Банка, его чистой прибыли, будет ли предложенная ипотечная программа рентабельна.

Одна из первостепенных задач для молодой семьи, сделав первый шаг на пути в самостоятельную жизнь, это приобретение квартиры. На сегодняшний день, к сожалению, такую серьезную статью финансовых расходов могут позволить себе немногие. Помочь в решении этой проблемы помогают социальные и коммерческие ипотечные программы. В условиях послекризисного восстановления актуальность ипотеки возрастает.

Таблица 12 - Распределение населения по регионам присутствия Банка в возрасте от 18 до 35 лет по регионам, занятых в экономике

Название региона присутствия Банка

Количество мужчин и женщин, тыс.чел.

Количество мужчин и женщин, занятых в экономике, тыс.чел.

Москва

2050

1135,8

Волгоградская область

235

110,1

Свердловская область

224

109,7

Кемеровская область

1174

87,2

Красноярский край

715

372,8

Липецкая область

247

128,5

ХМАО

1485

771,8

Нижегородская область

738

418,5

Новосибирская область

632

326,3

Омская область

495

254,7

Пермский край

632

327,8

Ростовская область

984

313,4

Самарская область

725

376,3

Саратовская область

592

310,7

284

161,5

Всего:

10497

5205,1


Цель разработки нового продукта ипотечного кредитования состоит в увеличении прибыли банка, и привлечении как можно большего количества клиентов, для кредитования по новому кредитному продукту «Ипотека молодой семье». Имея новый продукт, необходимо рассчитать, как он отразится на финансовом состоянии банка.

Необходимо проанализировать какое количество людей можно привлечь на данную программу кредитования, какова будет тенденция кредитования, и какие возможные доходы может получить банк.

С целью выявления потенциальных клиентов в регионах, в которых имеется Банк, и которые подходят под условия кредитования, нужно для начала провести анализ всех клиентов по возрасту, который подходит к разработанной программе, а также их участия в экономике (таблица 13).

Таблица 13 - Структура населения, в возрасте от 18 до 35 лет, состоящих в браке в % от численности молодежи соответствующей половозрастной группы


Состоящие в браке

из них



в зарегистрированном браке

в незарегистрированном браке

Городское и сельское население

Мужчины и женщины

33,3

27,4

5,9

18-23 лет

4,4

2,8

1,6

24-29 лет

33,0

26,4

6,6

30-35 лет

61,5

52,3

9,2


Из таблицы можно сделать вывод, что в регионах присутствия Банка молодых людей в возрасте о 18 до 35 лет всего 10 497 000 человек, из которых 5 205 100 человек заняты в экономике. Исходя из того, что ипотечным продукт рассчитан на приобретение его семьей, необходимо выяснить процент людей состоящих в браке, это и будут потенциальные клиенты новой ипотечной программы.

Таким образом, потенциальными заемщиками приблизительно будет 1 717 683 человека, т.е. 33 % от экономически активного населения в регионах, в которых имеется ПАО «СБЕРБАНК». Из нижеприведённой таблицы, можно сделать вывод, что 65 % населения в возрасте от 18 до 35 лет на вопрос как они оценивают свои жилищные условия ответили: удовлетворительно, плохо и очень плохо, т.е. это 1 116 494 человека.

Таблица 14 - Распределение домашних хозяйств, имеющих главу домохозяйства в возрасте до 35 лет, по степени удовлетворенности своими жилищными условиями в конце 2016 г. (в процентах ко всем домохозяйствам группы)

Доля домохозяйств, оценивающие свои жилищные условия как:

Все домохозяйства, имеющие главу до 35 лет

В том числе по возрасту главы домохозяйства



18-23 лет

24-29 лет

30-35 лет

отличные

3,6

1,4

7,4

2,1

хорошие

31,4

35,4

31,1

31,4

удовлетворительные

52,2

42,1

49,9

53,3

плохие

11,1

17,6

10,2

11,3

очень плохие

1,6

2,7

1,4

1,7

затруднились ответить

0,1

0,9

0,0

0,1


В третьем квартале 2016 г. доля ипотечных сделок в среднем достигла 48,4% от общего объема продаж жилой недвижимости.

Сотрудники банка предполагают, что в ближайшее время кредитный портфель должен увеличиться настолько, что ежемесячная его сумма будет составлять вплоть 25 миллионов рублей. Но специалисты в области кредитования и недвижимости с этим прогнозом совершенно не согласны, по их мнению ожидать такого роста довольно проблематично. Поэтому мы для своих расчетов будем считать, что средний рост портфеля в данной сфере банковских услуг составит примерно 10 тысяч рублей ежемесячно. А так как рост портфеля будет обеспечиваться преимущественно небольшими кредитами, будем считать, что сумма среднего кредита снизиться до миллиона рублей. Из-за понижения суммы среднего кредита, банк конечно потеряет долю прибыли по ипотеке, если считать потерю прибыли из общей суммы, то убыток составит приблизительно один ипотечный кредит. Кроме того, стоит учитывать и издержки операции такие как привлечение средств и расходы на персонал или хозяйственные нужды, например.

Так или иначе, мы можем смело предположить, что банк будет привлекать денежные средства под среднюю процентную ставку в 13% годовых.

Эти изменения в программе кредитования позволяют сделать вывод о высоком уровне конкуренции и спроса на новый продукт конкретно в пределах Нижегородского ипотечного рынка. В этой программе не только заимствованы некоторые приемы у конкурирующих банков, но и разработано новое условие под названием «льготный период». Также по этим изменениям можно проанализировать не только предполагаемый объем кредитной выдачи, но и количество привлеченных сумм и процентов.

Но, тем не менее, эта программа носит сугубо временный характер. Её можно использовать в период нестабильной финансовой ситуации для поддержания должного уровня продаж.

Кроме того, у этой программы есть еще одно условие, которое необходимо учитывать. Организация-работодатель заемщика должна выступить поручителем. Это означает, что организации придется пройти проверку на платежеспособность. Проверку будет проводить Кредитный Комитет Банка. Понятно, что не каждая организация будет готова выступить поручителем для кредита своего сотрудника, тем не менее, некоторые социально-ориентированные организации, планирующие дальнейшее развитие, соглашаются с этими условиями.

К тому же, у банка есть и другие источники дохода. Например, программа «Стандарт-Поручительство» имеет следующие перспективы:

      отмена комиссии в 10 тысяч рублей и привлечение большего числа клиентов к услуге ипотечного кредита;

      увеличение прибыли за счет введения в программу услуги «льготный период»;

      чем больше клиентов будет у банка по ипотечному кредиту, тем больше их будет в общей численности.

Заемщик тоже от этой сделки получает определенные преимущества:

      использование услуги «льготный период» может дать возможность заемщику получить кредиты на большую сумму, чем при любых других условиях;

Рассмотрим новую ипотечную программу «Ипотека молодой семье». Программа может реализовываться в любом регионе присутствия Банка. Целью кредита выступает приобретение квартиры в многоквартирном доме на вторичном рынке жилья. Обеспечение служит залог приобретаемого недвижимого имущества. Кредитный продукт предоставляется в рублях. Сумма кредита зависит от региона. Первоначальный взнос-10 %. Что касается максимального размера кредита, то в Москве и Московской области он будет равен 4 000 000 руб., а в других регионах присутствия - 3 000000 руб. Срок кредитования будет составлять от 3 до 30 лет. Одним из условий данного кредитного продукта является ограничение по возрасту супругов, одному из них не должно быть больше 35 лет. Максимальная сумма кредита для семьи с ребенком предоставляется в размере 90 % стоимости жилья, а для семьи без ребенка- 85 %, что является преимуществом по отношению к стандартным кредитным продуктам. По желанию Заемщика/Созаемщиков по программе «Ипотека молодой семье» может быть предоставлена отсрочка в погашении основного долга (с общим увеличением срока кредитования до 5 лет) при рождении ребенка (детей) в период действия кредитного договора до достижения им (ими) возраста трех лет.

Еще одним плюсом этой ипотечной программы является возможность учитывать не только свои доходы, но и доходы родителей. В случае, когда Созаемщиками являются супруги и Родитель, в расчет платежеспособности каждого из Созаемщиков-супругов кроме дохода по основному месту работы могут приниматься дополнительные виды доходов, а в расчет платежеспособности каждого из Созаемщиков-Родителей может приниматься только доход, получаемый им по одному месту работы (пенсия). Но кредит выдается, с тем условием, что на момент окончания срока договора возраст созаемщика не будет превышать 65 лет для мужчины и 60 лет для женщины.

Процентная ставка по данному ипотечному продукту фиксированная.

      В случае заключения заемщиком/ созаемщиком договора комплексного ипотечного страхования и выбора комиссии за выдачу кредита (2,5 % при получении кредита в течение 1 месяца с даты принятия положительного решения о предоставлении кредита), размер кредитных ставок составляет (в зависимости от соотношения Кредит/Залог) (таблица 15).

Таблица 15 - Таблица зависимости соотношения кредит/залог

Кредит/Залог

% ставка

30-50 %

10, 5 %

51-60 %

10,75 %

61-90%

11 %


Порядок погашения задолженности: ежемесячно, аннуитетными платежами. Присутствует мораторий на досрочное погашение: первые 3 года, минимальная сумма досрочного погашения- 30 000 руб.

Возможные формы расчетов по кредитному продукту «Ипотека молодой семье»:

      Аккредитивная форма - кредит предоставляется до государственной регистрации залога.

      Безналичная форма:

а)   кредит предоставляется после регистрации залога (кредитные средства перечисляются на счет продавца);

б)   кредит предоставляется до регистрации перехода права собственности и оформления залога (кредитные средства перечисляются на счет продавца). Обязательное условие выдачи кредита- предоставление расписки о подаче документов в органы юстиции на государственную регистрацию перехода права собственности.

Наличная форма - кредит предоставляется до государственной регистрации залога, расчеты производятся с использованием банковского сейфа.

Рассмотрим эффективность новой программы для ПАО «СБЕРБАНК».

Сильные стороны программы «Ипотека молодой семье»:

      фиксирование процентной ставки на весь срок кредита;

      учет дохода до трех Созаемщиков, а также учет их дополнительных доходов;

      отсутствие требований обязательного поручительства третьих лиц;

      возможность приобретения недвижимости в любом регионе присутствия БЖФ независимо от места, где прописан Заемщик;

      срок действия решения Банка о выдаче кредита - 3 месяца, что дает возможность тщательно выбрать вариант покупки недвижимости;

      первоначальный взнос -10 %, у других кредитных продуктов - 20%-30%.

      максимальная сумма кредита 90% от стоимости жилья

Слабые стороны:

      Ограничение по досрочному погашению

      Зависимость процентной ставки от договора страхования

Эффективность данной ипотечной программы будет состоять главным образом в увеличении числа клиентов, а, следовательно, увеличении дохода Банка. После небольшой стабилизации на рынке ипотечного кредитования банки стали снижать процентные ставки и сумму первоначального взноса. В рассматриваемом кредитном продукте «Ипотека молодой семье» первоначальный взнос составил 10 %. Это позволит Банку привлечь клиентов, так как данное условие ипотечной сделки будет весьма востребовано среди молодых семей, имеющих довольно таки небольшое количество денежных средств для первоначального взноса. По статистике 10-15 % клиентов банк теряет из-за высокого первоначального взноса. Еще одним преимуществом является то, что кредит можно получить не только по справке 2-НДФЛ, но и по справке по форме банка. Это значит, что Банк рассматривает не только «белую» зарплату. С кредитным продуктом «Ипотека молодой семье» жилье станет доступней населению, а это означает приток денежных средств в банк. Еще одним важным аспектом, выгодно отличающее это предложение от стандартных, является увеличение суммы выданного кредита по отношению к стоимости залога, соотношение кредит/залог достигает 90 %.

Что касается страхования, то оно добровольное. Самая низкая процентная ставка будет начисляться, если заемщик оформил договор комплексного ипотечного страхования, а самая высокая, если клиент счел нужным, лишь отдельные виды страхования. Это необходимо Банку, чтобы минимизировать кредитные и процентные риски. Изменение процентной ставки, как правило, является следствием изменения уровня инфляции. Для инвестора, владеющего правами по ипотечному кредиту, это означает, что денежный поток, предусмотренный договором об ипотеке, из-за роста инфляции оказывается ниже, чем ожидаемый. В случае снижения рыночной процентной ставки возрастает вероятность досрочного погашение кредита заемщиком. Риск досрочного погашения минимизируется за счет введения моратория на досрочное погашения и высокой суммы досрочного платежа.

В перспективе можно предположить: при принятии Банком программы «Ипотека молодой семье» она заняла бы прочное место среди прочих кредитных продуктов и принесла бы Банку еще больший доход.

3.2 Экономическая эффективность предложенных мероприятий


Рассмотрим предложенную ипотечную программу на примере молодой семьи, состоящей из 2-х человек, решивших приобрести квартиру. Стоимость квартиры составляет 1 900 000 руб., отношение кредит/залог-85 % (1 615 000 руб.), сумма кредита 1 425 000 руб.,(1 615 000 руб.-190 000 руб.) размер ставки- 10, 5%, срок-30 лет.

В соответствии с формулой аннуитетного платежа размер периодических (ежемесячных) выплат будет составлять:

A = K х· S                                                                                      (3.1)

где А - ежемесячный аннуитетный платеж,

К - коэффициент аннуитета,- сумма кредита.

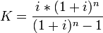
Коэффициент аннуитета рассчитывается по следующей формуле:

                                                                          (3.2)

где i - месячная процентная ставка по кредиту (= годовая ставка / 12),- количество периодов, в течение которых выплачивается кредит.

Поскольку периодичность платежей по кредиту - ежемесячно, то ставка по кредиту (i) берется месячная. Если процентная ставка 12% годовых, то месячная ставка:

i = 12% / 12 мес. = 1%.

Таким образом, К=0,00875*(1+0,0085)^360/(1+0,00875)^360-1=0,00914

А=1 425 000*0,00914=13024 руб.

Аннуитетный платеж не должен превышать 30 % от дохода заемщика, таким образом, доход каждого члена семьи, взявшего ипотеку, должен быть не менее 21 707 руб.

Для того, чтобы определить точное число людей, которые пожелают обратиться в ПАО «СБЕРБАНК», нужно учесть его долю на рынке выдач жилищных кредитов в Российской Федерации(1,44 % на конец 2016 г.). Итак, это 2926 человек.

Нужно рассчитать: - Проценты полученные; - Доход от комиссии за снятие денежных средств; - Чистую прибыль; - Рассчитать общую рентабельность по доходам и расходам.

Условно посчитаем, что из 2926 человек 75 % (2194 чел.) выберут первый вариант ставки по процентам и условий страхования, т.е 2,5 % комиссия за выдачу кредита и среднее соотношение залога к кредиту 51-60 %.

Средняя сумма кредита по регионам присутствия ПАО «СБЕРБАНК» будет равна 1 177 254 руб.

Проценты полученные:

(1 177 254*0,1175/365*30)360*2194=8926484073 руб.

Доход от комиссии:

(1 177 254* 2,5%)* 2194=64 572 381 руб.

Суммируем полученные доходы : 8926484073 руб. +64 572 381 руб.=8 991 056 454 руб.

Дополнительно полученные денежные средства банка в сумме 8 991 056 454 руб. будут распределены следующим образом:

      оплата труда операторам (12 %)-1 078 926 774 руб.

      оплата посреднических услуг кредитных и других сторонних организаций (7%) - 629373952

      расходы на технологическое сопровождение банковских операций (6%)-539463387 руб.

      представительские расходы (3,4%)- 305695919 руб.

      прочие расходы (3,4 %)-305695919 руб.

      налог на прибыль (24 %)- 2157853549

В результате чистая прибыль, от введения нового продукта кредитования «Ипотека молодой семье» составила:

ЧП= 8 991 056 454 руб. - 1078926774 руб. - 629373952 руб.- 539463387 руб.- 305695919 руб.- 305695919 руб.- 2157853549 руб. =3974046953 руб.

Основными показателями эффективности деятельности банковских операций являются показатель рентабельности, расчет которого представлен в таблице 16.

Таблица 16 - Рентабельность нового продукта

Наименование

Значение

1

Доходы, руб.

8 991 056 454

2

Расходы, руб.

5 017 009 501

3

Чистая прибыль, тыс. руб.

3974046953

4

Общая рентабельность, %

79,21


Общая рентабельность составила: ЧП/Расходы * 100%

(3974046953 / 5 017 009 501) * 100%= 79, 21%

Высокий уровень показателя обусловлен преимущественным ростом прибыли банка, опережающим рост расходов, что следует оценивать положительно.

Далее рассмотрим 2 вариант, где в случае заключения заемщиком/ созаемщиком договора комплексного страхования и выбора комиссии 1%, размер процентной ставки составляет 14 %.

Предположительно, что этим воспользуются 21 % клиентов Банка (614 человек).

Проценты полученные:

(1 177 254*0,14/365*30)360*614=2 994 314 878 руб.

Доход от комиссии:

(1 177 254* 1%)* 614=7 228 340 руб.

Суммируем полученные доходы: 2 994 314 878 руб. +7 228 340 руб. = 3 001 543 218 руб.

Дополнительно полученные денежные средства банка в сумме 8 991 056 454 руб. будут распределены следующим образом:

      оплата труда операторам (12 %)-360185186,2 руб. - оплата посреднических услуг кредитных и других сторонних организаций (7%) - 210108025,3 руб. - расходы на технологическое сопровождение банковских операций (6%)-18009259308 руб. - представительские расходы (3,4%)- 102052469,4 руб. - прочие расходы (3,4 %)-102052469,4 руб. - налог на прибыль (24 %)- 720370372,3 руб.

Общий уровень рентабельности рассчитан в таблице 17.

Таблица 17 - Рентабельность нового продукта

Наименование

Значение

Доходы, руб.

3001543218

Расходы, руб.

1674861116

Чистая прибыль, тыс. руб.

1326682102

Общая рентабельность, %

80 %


В результате чистая прибыль, от введения нового продукта ипотечного кредитования «Ипотека молодой семье» составит 1 326 682 102 руб.

На основании третьей главы сформулируем следующие выводы.

Банки не могут вкладывать крупных средств в долгосрочные проекты из сферы ипотечного кредитования из-за нестабильной экономической ситуации на территории России. Кроме того, довольно сложно привлечь достаточное количество ресурсов для долгосрочного кредитования.

Но вместе с тем, наряду с проблемами в области ипотечного долгосрочного кредитования намечается и ряд положительных перспектив. Первая: проблема с жилищной ипотекой постепенно стала находить отклик и должным образом освещаться, как на федеральном, так и на региональном уровне (например, недавно принятая Правительством Российской Федерации Концепция по развитию ипотечного кредитования касаемо жилья, в этой концепции конкретно отмечены пути развития законодательной и нормативной базы, посвященной этому вопросу). Второе: наступление кризиса повлияло на банковскую систему, как с отрицательной, так и с положительной стороны. Банк стал вкладывать больше средств в кредитование реального сектора экономики, в том числе с участием населения. Банки, получив доступ к долгосрочным средствам, постепенно осваивают этот новый сегмент рынка для них. Третья перспектива: нормативно-правовое урегулирование этого вопроса с каждым днем все больше формируется, как на федеральном, так и на региональном уровне.

Если проанализировать современную российскую практику ипотечного кредитования становится ясно, что ей требуется модернизация не только в плане объектов кредитования, но и в плане вычисления выгодных условий для предоставления займов и ссуд.

 

Заключение


В соответствии с проделанной работой можно сделать следующие выводы:

1.   Ипотека - это система долгосрочных кредитов, которые выдаются на приобретения жилья. Главное преимущество ипотеки состоит в том, что покупателю предоставляется возможность купить квартиру, внеся лишь первоначальный взнос, который обычно составляет от 10 до 30% от стоимости квартиры.

2.      Размер ипотечного кредита определяется в виде части стоимости объекта ипотеки. Это обстоятельство позволяет даже получать под залог одного и того же недвижимого имущества дополнительные ипотечные займы. Залоговое имущество остается у заемщика, который продолжает его эксплуатировать, т.е. сохраняет свое право собственника.

.        В настоящее время, несмотря на определенные трудности, вызванные кризисом, ипотечное кредитование в России продолжает развиваться, поскольку является не только важной формой улучшения жилищных условий, но и оказывает существенное влияние на экономическую ситуацию в стране в целом.

На основании второй главы сформулируем следующие выводы:

1)   На 1 января 2014 г. кредитный портфель ПАО «СБЕРБАНК» составлял 1 552 828 тыс. р., а уже на 1 января 2016 года он увеличился и составил 1 738 944 тыс. р. С начала 2014 года остаток срочной ссудной задолженности ПАО «СБЕРБАНК» вырос на 186 115,8 тыс. р. или на 12 %.

2)   Анализ показывает, что ставка Банка не является самой низкой. Также самым высоким является требуемый первоначальный взнос. Изменения удельного веса по ипотечному кредиту произошли за счёт изменения процентных ставок, сроков кредитования и роста цен на рынке вторичного жилья. Абсолютное содержание одного процента прироста в 2016 г. составило 0,9 млн. руб., а в 2016 г. уже 1,5 млн. руб., то есть, виден рост суммы кредитов и процентного содержания. Наибольшей популярностью среди населения пользуется кредит «Квартира». В 2014 г. его удельный вес составил 65,6%, в кризисный 2015 г. его доля повысилась до 78,0%, а с 2016 г. стала сокращаться за счет повышения доли на кредит «Новостойка».

На основании третьей главы сформулируем следующие выводы.

1.   Банки не могут вкладывать крупных средств в долгосрочные проекты из сферы ипотечного кредитования из-за нестабильной экономической ситуации на территории России. Кроме того, довольно сложно привлечь достаточное количество ресурсов для долгосрочного кредитования.

2.      Но вместе с тем, наряду с проблемами в области ипотечного долгосрочного кредитования намечается и ряд положительных перспектив. Первая: проблема с жилищной ипотекой постепенно стала находить отклик и должным образом освещаться, как на федеральном, так и на региональном уровне (например, недавно принятая Правительством Российской Федерации Концепция по развитию ипотечного кредитования касаемо жилья, в этой концепции конкретно отмечены пути развития законодательной и нормативной базы, посвященной этому вопросу). Второе: наступление кризиса повлияло на банковскую систему, как с отрицательной, так и с положительной стороны. Банк стал вкладывать больше средств в кредитование реального сектора экономики, в том числе с участием населения. Банки, получив доступ к долгосрочным средствам, постепенно осваивают этот новый сегмент рынка для них. Третья перспектива: нормативно-правовое урегулирование этого вопроса с каждым днем все больше формируется, как на федеральном, так и на региональном уровне.

Если проанализировать современную российскую практику ипотечного кредитования становится ясно, что ей требуется модернизация не только в плане объектов кредитования, но и в плане вычисления выгодных условий для предоставления займов и ссуд.

Список использованных источников


1.     Конституция Российской Федерации от 12.12.1993

2.      Градостроительный кодекс Российской Федерации от 29.12.2004 №190-ФЗ (ред. от 30.12.2008)

.        Гражданский кодекс Российской Федерации: часть первая от 30.11.1994 № 51-ФЗ; часть вторая от 26.01.1996 № 14-ФЗ

.        Жилищный кодекс Российской Федерации от 29.12.2004 № 188-ФЗ (ред. от 23.07.2014)

.        Земельный кодекс Российской Федерации от 25.10.2001 №136-ФЗ (ред. от 14.03.2011)

.        Закон Российской Федерации от 24.12.1992 №4218-1 (ред. от 22.08.2012) «Об основах федеральной жилищной политики»

.        Федеральный закон от 16.07.1998 № 102-ФЗ «Об ипотеке (залоге недвижимости»

.        Закон Санкт-Петербурга от 2.12.2005 № 250-з «О регулировании жилищных отношений в РБ»

.        Постановление Правительства Российской Федерации от 11.01.2000 № 28 «О мерах по развитию системы ипотечного жилищного кредитования РФ»

.        Постановление Правительства Санкт-Петербурга от 29.04.2009 № 73 «Об основных направлениях развития жилищного строительства и путях обеспечения граждан доступным жильем в Санкт-Петербурге»

.        Постановление Правительства Санкт-Петербурга от 15.08.2009 № 176 «О реализации государственным унитарным предприятием Фонд жилищного строительства Санкт-Петербурга жилых помещений гражданам»

.        Долгосрочная стратегия массового строительства жилья для всех категорий граждан на период до 2025 года

.        Приоритетный Национальный проект «Доступное и комфортное жилье - гражданам России»

.        Федеральная целевая программа «Жилище» на 2014-2016 годы

.        Постановление Правительства Санкт-Петербурга от 23 июня 2014 года N 491 «О государственной программе Санкт-Петербурга «Обеспечение доступным жильем и жилищно-коммунальными услугами жителей Санкт-Петербурга» на 2015-2020 годы (с изменениями на 24 октября 2016 года)»

16.   Ефремова О. С. Требования охраны труда при работе на персональных электронно-вычислительных машинах (ПК). - М.: Издательство «Альфа-Пресс», 2014 - 152 с.

17.    Самгин Э.Б. Освещение рабочих мест. - М.: МИРЭА, 2014. - 186с.

.        Сиваев С.Б., Трутнев Э.К., Прокофьев В.Ю. Государственная поддержка жилищного строительства и развитие коммунальной инфраструктуры: учеб. пособие. - М.: Издательство «Дело» АНХ, 2015. - 264 с.

.        Безопасность жизнедеятельности: Учебник для вузов/ С.В. Белов, А.В. Ильницкая, А.Ф. Козьяков и др.; Под общ. ред. С.В. Белова. 3-е изд., испр. и доп. - М.: Высш. шк., 2014. - 458 с.:ил.

20.   Безопасность жизнедеятельности: Учебник / Под ред. Проф. Э.А. Арусманова - 2-е издание перераб. и доп. - М.: Издательский Дом «Дашков и Ко», 2014. - 678с.

21.   Муниципальный менеджмент: Справочное пособие / Иванов В.В., Коробова А.Н. - М.: ИНФРА-М, 2015. - 718 с.

22.   Экономика недвижимости: учебник / В.А. Горемыкин. - 5-е изд., перераб. и доп. - М.: Высшее образование, 2015. - 808 с.

23.    Экономика строительства: учебник / под. общей ред. И.С. Степанова. - 3-е изд., доп. и перераб. - М.: Юрайт-Издат, 2015. - 620 с.

.        Стерник Г.М. «Доступное жилье - что это такое?» / Сб. научных трудов «Правовые и организационно-экономические основы формирования рынка доступного жилья в Москве». - РЭА им. Г.В. Плеханова (под ред. Стерника Г.М.). - М.: 2015, с. 3-17.

25.   Асаул А. Финансирование жилищного строительства в условиях появления рынков жилья // Проблемы теории и практики управления. - № 6, 2015. - с 55 - 64

26.    Белоусова Л.С. Социально-экономические аспекты формирования рынка жилья и регулирования жилищного строительства в регионе // Финансы и кредит. - № 7, 2015 - с. 68-75

.        Бесхмельницын М. Роль государства в обеспечении доступности жилья для населения России // Проблемы теории и практики управления. - № 6, 2015. - с. 15 - 21

.        Косарева Н. Об оценке доступности жилья в России // Вопросы экономики. - 2015. - № 7. - С. 118 - 135

.        Кошман Н.П. Необходимость формирования социальной жилищной политики. Зарубежный опыт реализации социальных жилищных программ // Актуальные проблемы строительного комплекса. - 2015. - № 1. - С. 4-6

.        Кошман Н.П., Понамарев В.Н. Состояние российского жилищно-строительного рынка и ситуация на ипотечном рынке в условиях мирового финансового кризиса // Актуальные проблемы строительного комплекса. - 2015. - № 4. - С. 5-12

.        Петрухин А. Б. Механизмы финансирования жилищной сферы // Финансы и кредит. - № 31, 2015. - с. 58 - 63

.        Сагитов Р. Ш. Активная жилищная политика - важнейшее условие повышения благосостояния людей: о ходе реализации приоритетного национального проекта в Санкт-Петербурге // Экономика и управление. - 2015. - № 5. - С. 18 - 23

.        Симакова Н. А. Ценовая ситуация на рынке жилья г. Нижнего Новгорода // Вопросы статистики. - 2005. - N 3. - С. 86 - 89

.        Стороженко В. Кому доступно доступное жилье // Наука и жизнь. - № 6, 2014. - с. 14 - 17

.        Ступин И. Строительство // Эксперт - 2014 . - № 38. - С. 176 - 178;

36.   Фомина Е. А. О некоторых проблемах реализации приоритетного национального проекта по жилью // Экономика и управление. - 2015. - №5. - С.29 - 33

Похожие работы на - Ипотечное кредитование

 

Не нашли материал для своей работы?
Поможем написать уникальную работу
Без плагиата!
Без нейросетей!