Установление кредитных лимитов как механизма минимизации кредитного риска
Оглавление
Введение
Глава 1. Теоретические основы кредитного риска
1.1 Классификация банковских рисков
1.2 Сущность кредитного риска
1.3 Процесс управления кредитными рисками
1.4 Лимитирование как способ управления кредитными рисками
Глава 2. Основные подходы к определению кредитных лимитов
2.1 Традиционные методики
2.2 Методики, основанные на объединении заемщиков в группы
2.3 Методика, основанная на ожидаемой прибыли
2.4 Методика, основанная на показателях рентабельности
2.5 Скоринговые модели
2.6 Методики, основанные на теории вероятностей
Глава 3. Построение модели определение кредитных лимитов с помощью
теории ожидаемой полезности фон Неймана-Моргенштерна
3.1 Функция полезности. Теория ожидаемой полезности фон
Неймана-Моргенштерна
3.2 Используемые в модели параметры лимитов
3.3 Построение модели
3.4 Усовершенствование модели
Глава 4. Применение модели на реальных данных
4.1 Информационная база исследования
4.2 Оценка параметров модели
Заключение
Список использованной литературы
Приложения
Введение
Кредитование является одной из главных составляющих успешной
деятельности любого коммерческого банка, поскольку именно благодаря кредитным
операциям банк может стабильно получать высокую доходность. Однако высокая
доходность невозможна без рисков, и кредитование считается одним из самых
рискованных банковских процессов. В современной рыночной ситуации кредитный
портфель банка, как правило, составляет не менее 50% активов, в связи с чем,
успешность и результативность банковской деятельности напрямую зависит от
оптимизации кредитного портфеля и механизма регулирования кредитного риска.
Россия отстает от развитых стран по глубине изученности
проблемы управления кредитными рисками, что проявляется как в дефиците научной
литературы в этой области, так и в разработке методов контроля кредитных
рисков, учитывающих особенности российской банковской системы. Кроме того,
несмотря на большое количество работ, посвященных риск-менеджменту и сравнению
различных подходов к формированию кредитной политики, практическому применению
уже известных методов управления кредитным портфелем банка уделяется
недостаточно внимания. А между тем, оценка кредитного риска является важной
составляющей в политике любого банка, поскольку большинство банкротств
происходит именно вследствие невозврата кредитов заемщиками. В одной из статей
отмечается, что "для отечественных банков данная проблема актуальна
вдвойне, так как показатели просроченной и сомнительной задолженности по их
кредитным портфелям в два-три раза превышают уровень аналогичных показателей
банков развитых стран".
Основным способом ограничения кредитных рисков при управлении
кредитным портфелем является формирование лимитной политики банка. Установление
кредитных лимитов - это один из основных методов, позволяющих контролировать
кредитные риски путем учета потерь, которые банк может понести вследствие
несостоятельности заемщика. Однако до сих пор не существует единого подхода к
определению лимитов кредитования. Кроме того, несмотря на то, что в
международной практике существует множество работ и исследований, посвященных
риск-менеджменту и управлению кредитным портфелем, проблема лимитирования
кредитных рисков путем установления лимитов кредитования остается неосвещенной.
Исходя из всего этого, актуальность данной работы состоит в противоречии между
важностью и необходимостью определения кредитных лимитов и неразработанностью
этой темы как в отечественной, так и в зарубежной литературе.
Объектом данной работы является установление кредитных
лимитов как механизма минимизации кредитного риска. Предметом являют методики
определения лимитов кредитования, применяемые коммерческими банками. Цель
работы состоит в том, чтобы разработать методику нахождения оптимального лимита
по кредитным операциям, которая позволит без особых усилий и временных затрат
рассчитать кредитный лимит на каждого отдельного заемщика.
В данном исследовании был поставлен ряд задач, способствующих
достижению цели:
· изучение сущности кредитного риска и
основных его составляющих и анализ способов минимизации этого риска;
· определение кредитных лимитов как
составляющей кредитной политики банка и анализ существующих методик
установления лимитов кредитования;
· выделение возможных факторов, влияющих на
величину кредитных лимитов;
· построение модели определения лимитов
кредитования на основе теории ожидаемой полезности фон Неймана-Моргенштерна;
· оценка адекватности разработанной модели
на основе ее применения к реальным данным и дальнейшее усовершенствование.
Глава 1.
Теоретические основы кредитного риска
1.1
Классификация банковских рисков
Любая коммерческая деятельность банка сопровождается риском.
Под риском понимается вероятность потенциальных потерь, которые может понести
банк в результате наступления некоторых событий. Риск возникает из-за
неопределенности, связанной с событиями, которые могут нанести ущерб банку.
Как правило, риски подразделяются на две категории:
финансовые и нефинансовые. Главным отличием финансовых рисков является тот
факт, что они напрямую наносят ущерб банку и при этом, в отличие от
нефинансовых рисков, этот ущерб может быть представлен в числовом выражении.
В одном из источников отмечается, что финансовые риски - это
спекулятивные риски, и они могут привести как к положительному, так и к
отрицательному результату. При этом их отличительной особенностью является
вероятность наступления ущерба в результате проведения рискованных операций,
например, с ценными бумагами, то есть таких, которые являются рискованными по
своей природе.
Для того чтобы четко структурировать возможные проблемы и
разработать эффективную систему управления рисками, необходимо иметь
представление о классификации рисков и вкладе каждого вида риска в величину
возможных потерь. Рассмотрим схему финансовых рисков, составленную на основе
классификации, предложенной в одном из источников (см. рис.1).
кредитный лимит кредитование риск
Рис. 1. Классификация финансовых рисков
В процессе предоставления финансовых услуг банки сталкиваются
с большим количеством рисков. Несомненно, все они нуждаются в тщательном
анализе и контроле. Однако, согласно статистике, лишь 5% потерь банков связаны
с риском ликвидности, 20% - с рыночными рисками, а именно с процентным,
валютным и фондовым рисками, а на кредитные риски приходится около 70% потерь.
Таким образом, каждый банк должен иметь эффективную систему управления
кредитными рисками. Согласно документу Базельского комитета по банковскому
надзору, подверженность кредитному риску является одной из основных угроз
успешной деятельности большинства банков, поэтому от мер контроля и снижения
кредитных рисков напрямую зависит прибыль банка. В документе также говорится о
том, что эффективное управление кредитными рисками является залогом
долгосрочного успеха любой банковской организации.
Важность контроля кредитных рисков также подтверждается
данными Центрального Банка Российской Федерации, согласно которым доля
кредитного риска в совокупной величине рисков находится на уровне 95,1% (по
данным ЦБ РФ на 01.07.2007 г.) . В связи с этим, в данном исследовании упор
будет сделан именно на анализ особенностей кредитных рисков и методы
регулирования этих рисков. Для начала обратимся к понятию "кредитный
риск" и выясним, в чем же он заключается.
1.2 Сущность
кредитного риска
Под кредитным риском мы понимаем вероятность потенциальных
потерь, которые может понести банк в связи с невозможностью или нежеланием
контрагента выполнять финансовые обязательства по кредитам, а также в
результате несвоевременного выполнения контрагентом своих обязательств. При
этом величина кредитного риска складывается из суммы, которую может потерять
банк при нарушении заемщиком кредитных обязательств.
В одном из источников отмечается, что кредитный риск
заключает в себе потенциальные потери в двух формах: потери в стоимости
кредитного актива и потери в доходах от кредита. Максимальный потенциальный
риск равен размеру задолженности в случае, если заемщик не выплачивает кредит.
Что касается просроченных платежей, то они "не приводят к прямым убыткам,
а возникают косвенные убытки, представляющие собой издержки по процентам (из-за
необходимости финансировать дебиторов в течение более длительного времени, чем
необходимо), или потерю процентов, которые можно было бы получить, если бы
деньги были возвращены раньше и помещены на депозит". Кроме того, потери
банка могут выражаться через снижение стоимости кредита, которое может быть
связано с различными обстоятельствами, например, с ухудшением финансового
состояния контрагента или снижением его кредитного рейтинга.
Кредитный риск включает в себя следующие риски:
· риск
неисполнения финансовых обязательств
· предрасчетный
риск
· расчетный риск
· правовой риск
· суверенный или
страновой риск
· риск
концентрации
В результате невыполнения контрагентом своих обязательств по
кредиту банк может столкнуться с тем, что в портфеле активов снизится стоимость
кредитной части. А поскольку кредит - одна из основных составляющих банковских
активов, даже небольшое сокращение стоимости кредитного портфеля повлечет за
собой значительные убытки для капитала банка. В связи с тем, что потенциальные
последствия кредитного риска могут нанести серьезный ущерб деятельности банка,
важную роль играет управление кредитным портфелем и, в частности, управление
кредитными рисками.
1.3 Процесс
управления кредитными рисками
Поскольку риск сопровождает любую банковскую деятельность,
полностью его избежать не представляется возможным. В связи с этим, основной
целью банка является минимизация риска, а не полный отказ от рискованных
операций.
Существует международная организация, которая занимается
внедрением единых стандартов в сфере банковского регулирования - Базельский
комитет по банковскому надзору. В частности, члены этого комитета формулируют
основные принципы управления кредитными рисками. Рассмотрим некоторые
принципы, указанные в документе "Principles for the Management of Credit
Risk":
· Банки должны создавать надлежащие условия
для эффективного управления кредитными рисками
Согласно этому принципу, Совет директоров банка должен
утверждать и периодически пересматривать стратегию управления кредитными
рисками, реализацию выбранной стратегии должно осуществлять высшее руководство
банка. При этом стратегия банка должна отражать степень неприятия риска банком
и учитывать величину ожидаемой прибыли, которую банк планирует получить
посредством ограничения тех или иных рисков. Кроме того, банки должны оценивать
кредитный риск для каждого отдельного кредитного продукта и для каждой
конкретной кредитной операции.
· Банки должны действовать согласно
определенному сигналу выдачи кредита
Каждый банк должен иметь четкую систему, определяющую набор необходимых
характеристик, которыми должен обладать потенциальный заемщик. Соответствие
контрагента всем критериям, выделенных банком, будет является сигналом, что ему
может быть одобрен кредит. Эти критерии должны определяться исходя из целей
банка на рынке, целей заемщиков, а также из понимания структуры кредита,
предполагаемого потока платежей и источника выплат. Также в рекомендациях
Базельского комитета указано, что банки должны устанавливать различные лимиты,
как на уровне отдельных заемщиков, так и на уровне групп связанных заемщиков,
чтобы обезопасить себя от чрезмерных потерь в случае банкротства одной из
отраслей экономики.
· Банки должны осуществлять координацию и
мониторинг кредитного портфеля
Банки должны иметь систему непрерывного мониторинга состояния
кредитного портфеля в целом, а также состояния отдельных кредитов, включающую,
в том числе, процедуры определения адекватности резервов. Кроме этого, банкам
рекомендуется разработать внутреннюю систему оценки рисков, а также четко
определить методы, применяемые для анализа кредитных рисков. Также отмечается,
что банки должны принимать во внимание возможные будущие изменения в экономике
и иметь представление о том, какие убытки они могут понести в случае кризисных
ситуаций.
Это лишь часть принципов управления кредитными рисками,
предложенных Базельским комитетом по банковскому надзору. Однако эти принципы
являются лишь рекомендацией, поэтому государственные органы банковского надзора
каждой страны адаптируют их и выпускают различные нормативные документы с
требованиями по контролю кредитных рисков всеми банками, которые являются
обязательными.
В России эту функцию осуществляет Центральный Банк Российской
Федерации. Одним из нормативных документов ЦБ РФ, дающих рекомендации по
управлению рисками, является Положение №254-П "О порядке формирования
кредитными организациями резервов на возможные потери по ссудам, по судной и
приравненной к ней задолженности". Согласно этому положению, банки обязаны
формировать резервы на возможные потери по ссудам, а также проводить оценку
кредитного риска по каждой выданной ссуде (профессиональное суждение) на
постоянной основе. "Профессиональное суждение выносится по результатам
комплексного и объективного анализа деятельности заемщика с учетом его
финансового положения, качества обслуживания заемщиком долга по ссуде, а также
всей имеющейся в распоряжении кредитной организации информации о
заемщике". При этом финансовые показатели, определяющие финансовое
положение заемщика, банк должен оценивать в соответствии с методикой,
прописанной в его внутренних документах.
Также существует ряд нормативов ЦБ РФ, устанавливающих лимиты
на величину общего кредитного риска. Они будут подробнее рассмотрены в
параграфе 1.4 "Лимитирование как способ управления кредитными
рисками".
Помимо исполнения нормативов ЦБ РФ каждый банк формулирует
собственные принципы кредитной политики, в первую очередь, определяя ее цель
(например, предоставление рентабельных кредитов). Для успешного управления
кредитными рисками необходимо действовать согласно определенной
последовательности. В литературе выделяются следующие этапы управления кредитным
риском:
1. анализ риска (идентификация и оценка)
- выявление специфики риска, определение факторов, которые способствуют
увеличению или уменьшению риска при осуществлении определенных банковских
операций;
2. контроль риска (мониторинг) -
осуществление действий, направленных на своевременное выявление риска;
3. минимизация риска (нивелирование) -
использование различных методов для уменьшения риска.
Существует целый ряд методов, применяемых для управления
кредитными рисками. Рассмотрим основные из них:
· Диверсификация
кредитного портфеля
Сегодня многие банки сталкиваются с проблемой концентрации
кредитного портфеля.
Концентрация означает сосредоточение кредитных операций банка
в одной области, в одной географической зоне или на кредитовании определенных
групп заемщиков.
Чрезмерная концентрация повышает уровень кредитного риска,
поэтому для банков важно максимально диверсифицировать свой кредитный портфель,
т.е. распределить инвестируемые средства между разнородными категориями
заемщиков и различными объектами вложения капитала, которые не связаны между
собой.
· Обеспечение
обязательств
Обеспечение обязательств защищает кредитора от потенциального
кредитного риска, поскольку в случае дефолта заемщика банк сможет реализовать
полученные в качестве обеспечения денежные средства, имущество, оборудование и
т.д. в счет покрытия ущерба.
· Страхование
кредита
Страхование кредита заключается в перекладывании риска
невозврата кредита на организацию, предоставляющую услуги страхования. При
непогашении кредита заемщиком банк может возместить сумму задолженности через
страховую компанию согласно условиям договора.
· Хеджирование с помощью кредитных
производных инструментов
Хеджирование - это метод, который основан на страховании
потенциальных потерь банка на физическом рынке по отношению к фьючерсному или
опционному рынку.
· Лимитирование
Лимитирование является одним из основных и наиболее
эффективных способов управления кредитными рисками, который активно
используется не только на уровне отдельного коммерческого банка, но и на уровне
банковской системы в целом.
Рассмотрим формирование лимитной политики подробнее.
1.4
Лимитирование как способ управления кредитными рисками
Одним из наиболее часто используемых методов минимизации
кредитного риска является формирование лимитной политики или рационирование
кредитного портфеля. Под рационированием кредитного портфеля понимается
"установление гибких или жестких лимитов кредитования по сумме, срокам,
видам процентных ставок и прочим условиям предоставления ссуд; установление
лимитов по отдельным заемщикам или классам заемщиков; определение лимитов по
концентрации кредитов в руках одного или группы тесно сотрудничающих
заемщиков". Таким образом, лимитная политика банка состоит в разработке
плана по минимизации кредитного риска путем ограничения различных операций,
содержащих элементы кредитного риска.
Сами лимиты при этом - это границы потенциальных убытков,
которые могут возникнуть, если риск материализуется, и они устанавливаются на
определенном уровне для различных банковских операций. То есть с помощью
лимитов кредитования фиксируется допустимый размер кредитного риска для каждой
категории заемщиков, доли отдельных кредитов в портфеле активов банка и т.д. В
одном из источников лимиты определяются не просто как допустимый размер риска,
а как допустимый размер потерь, с которыми банк сможет справиться. Другими
словами, лимиты должны устанавливать максимальный уровень финансовых потерь,
при которых банк продолжит функционировать без нанесения ущерба своим
контрагентам.
Процедура установления кредитных лимитов имеет два
направления: следование нормативам, рекомендованным центральным банком, и
разработка внутрибанковских ограничений. Некоторым банкам, удовлетворяющим
определенным требованиям ЦБ, разрешается самостоятельно разрабатывать кредитную
политику и применять собственные методы управления кредитными и другими
рисками. Однако даже в том случае, если банк собственную лимитную политику, он
должен следовать обязательным нормативам государственных органов банковского
надзора, которые устанавливают некоторые требования для всех банковских
организаций.
В России Инструкция ЦБ PФ от 13.12.2012 г. №139-И
"Об обязательных нормативах банков" устанавливает числовые значения и
методику расчета обязательных нормативов банков, а также порядок контроля за
соблюдением этих нормативов. Рассмотрим два норматива, которым должны следовать
банки при управлении кредитными рисками.
1. Норматив достаточности собственных
средств (капитала) банка - (Н1) - "регулирует (ограничивает) риск несостоятельности
банка и определяет требования по минимальной величине собственных средств
(капитала) банка, необходимых для покрытия кредитного, операционного и
рыночного рисков. Он определяется как отношение размера собственных средств
(капитала) банка и суммы его активов, взвешенных по уровню риска". Это
один из главных показателей надежности банка, поскольку он характеризует,
насколько средства банка позволяют самостоятельно покрыть возможные потери, не
причиняя ущерба своим контрагентам. С 1 января 2016 года в качестве
минимального порога ЦБ РФ устанавливает значение норматива Н1 на уровне 8%.
2. Норматив максимального размера риска на
одного заемщика или группу связанных заемщиков (Н6) - "регулирует (ограничивает)
кредитный риск банка в отношении одного заемщика или группы связанных заемщиков
и определяет максимальное отношение совокупной суммы кредитных требований банка
к заемщику или группе связанных заемщиков к собственным средствам (капиталу)
банка. Норматив максимального размера риска на одного заемщика или группу
связанных заемщиков (Н6) рассчитывается по следующей формуле:
Крз - совокупная сумма кредитных требований банка к заемщику,
имеющему перед банком обязательства по кредитным требованиям, или группе
связанных заемщиков, за вычетом сформированного резерва на возможные потери по
указанным кредитным требованиям в соответствии с Положением Банка России N 254-П и Положением Банка
России N
283-П". Максимальное значение норматива Н6 не должно превышать 25%.
Контроль лимитной политики банков является важной функцией
государственных органов банковского надзора во всех странах. Один из основных
пунктов, которые контролируют государственные органы, является максимальный
размер риска на одного заемщика или группу связанных заемщиков. Так, например,
максимальный размер риска на одного заемщика в России, Канаде, Италии
устанавливается на уровне 25% от капитала банка, во Франции - на уровне 40%, а
в Германии и США - на уровне15%. При этом в исключительный случаях с разрешения
государственного органа банковского надзора этот показатель может быть
превышен.
Однако нормативы ЦБ РФ определяют лишь на верхний предел
кредитного риска, не учитывая при этом различия в показателях финансового
состояния заемщиков, таких, как платежеспособность, вероятность дефолта и т.д.
Таким образом, в рамках этих нормативов каждый банк может самостоятельно
определять кредитные лимиты для каждой категории заемщиков, принимая во внимание
индивидуальные характеристики их финансового положения. Допустимый размер
кредитного риска и сами лимиты при этом должны быть отражены в документе о
кредитной политике банка на определенный период времени.
В одном из источников отмечается, что "как правило,
расчет лимита кредитования потенциального заемщика является итогом анализа
финансового состояния клиента, и основная идея заключается в том, что чем лучше
финансовое состояние какого-либо заемщика, тем большую сумму кредита он может
получить". Тем не менее, установление лимитов кредитования только на
основе анализа финансового состояния заемщика может привести к завышению
лимита, поскольку некоторые показатели финансовой отчетности в компаниях могут
быть намеренно искажены. Однако нельзя недооценивать важность правильного
расчета лимита кредитования. Автор одного из источников говорит о том, что
"чрезмерно завышенный лимит кредитования может обернуться дефолтом
заемщика и, как результат, появлением проблемного актива в портфеле
банка", но, с другой стороны, "заниженный лимит кредитования приведет
к снижению рентабельности бизнеса клиента, замедлению темпов его развития и так
называемым издержкам упущенной выгоды, или альтернативным издержкам".
Таким образом, банки должны тщательно подходить к выбору методики
оценки кредитных рисков и установления кредитных лимитов. Рассмотрим
существующие подходы к формированию лимитов кредитования.
Глава 2.
Основные подходы к определению кредитных лимитов
В научной литературе предлагается большое количество методов,
позволяющих рассчитать величину кредитного лимита, однако универсального
подхода к определению оптимального размера лимита не существует. Большинство из
них либо агрегированно рассматривают лимитирование кредитных операций, не
принимая во внимание управление кредитными рисками, либо, наоборот, делают упор
на контроле кредитных рисков в целом и почти не уделяют внимания лимитированию.
А между тем, определение лимитов является составной частью кредитных рисков,
поэтому, согласно одному из источников, "при определении лимитов
кредитования можно использовать те же показатели, которые применяются для
определения уровня кредитного риска: обеспеченность собственными оборотными
средствами и устойчивыми пассивами; стабильность финансовых потоков;
ликвидность обеспечения; достаточность обеспечения и т.д. ".
2.1
Традиционные методики
Традиционные методики расчета лимитов кредитования, как
правило, основаны на корректировке значения базового лимита. Базовый лимит -
это "максимальная сумма кредита, который может быть предоставлен
конкретному заемщику на определенный период времени". Значение базового
лимита корректируется с помощью поправочного синтетического коэффициента,
изменяющегося от 0 до 1 и отражающего финансовые характеристики каждого
отдельного заемщика. Под синтетическим коэффициентом обычно понимается
вероятность возврата займа контрагентом.
Исходя из этого, в традиционных методиках величина лимита
полностью зависит от величины синтетического коэффициента. При этом
синтетический коэффициент полагается равным единице в случае, когда заемщик
имеет хорошее финансовое состояние, тогда величина установленного лимита будет
равна величине базового лимита, а если заемщик имеет неудовлетворительное
финансовое состояние, то синтетический коэффициент будет равен нулю, и величина
установленного лимита, соответственно, будет равна нулю. Таким образом, для
данных методик расчет синтетического коэффициента являетсяосновополагающим
моментом.
Существует большое количество методов расчета синтетического
коэффициента. В одном из источников приведено несколько из них:
1. Нахождение синтетического коэффициента как суммы
финансовых коэффициентов, умноженных на весовые коэффициенты.
С - синтетический коэффициент;
Ki - финансовые коэффициенты;
ai - весовые коэффициенты, определяющие уровень
значимости финансовых коэффициентов для синтетического.
Однако этот метод имеет существенный недостаток - модель дает
адекватную оценку синтетического коэффициента только в том случае, если
значения коэффициентов изменяются незначительно, поскольку связь между ними
линейна.
. Подбор весовых коэффициентов с помощью
статистических методов
В одном из источников, например, рассматривается такой
статистический метод, как линейный дискриминантный анализ, позволяющий определить
набор коэффициентов, которые дают возможность разделить всех контрагентов на
две противоположные группы: "потенциальные банкроты" и
"функционирующие успешно". В качестве примера такого подхода автор
приводит Z-модель
Э. Альтмана, которая на основе оценки показателей финансового положения
контрагента позволяет оценить уровень риска банкротства. Однако данный метод
также имеет весомый недостаток - для его осуществления необходимо наличие
достаточной базы эмпирических данных.
Главные достоинства подходов к определению лимитов
кредитования с помощью синтетического коэффициента - простота расчетов и
быстрота. Однако они имеют и ряд недостатков. Один из них заключается в том,
что они учитывают только финансовое состояние контрагента в настоящий момент времени,
не учитывая при этом возможные изменения в неблагоприятную сторону. Другой
недостаток был приведен в статье, автор которой отмечает, что все существующие
методики оценки синтетического коэффициента недостаточно глубоко анализируют
рентабельность и деловую активность контрагента, а также не включают
аналитическую оценку нефинансовых показателей деятельности заемщика. Однако
вполне возможна ситуация, когда "ликвидное и финансово устойчивое
предприятие-заемщик обладает невысокой деловой репутацией или плохой кредитной
историей, переживает кадровый кризис". В этом случае синтетический
коэффициент будет близок к 1, но полученное значение лимита не будет адекватно
оценивать вероятность возможной невыплаты кредита.
2.2 Методики,
основанные на объединении заемщиков в группы
В одном из источников предлагается устанавливать лимиты на
отдельные группы контрагентов. Авторы предлагают разбивать всех заемщиков на
группы, основываясь на разнице между корреляциями ожидаемых потерь. Корреляция
между заемщиками 1 и 2 в отраслях А и В, соответственно, рассчитывается по
формуле:
pA, pB - внутрисегментные коэффициенты корреляции
вероятностей дефолта (например, средняя вероятность того, что два любых
заемщика из отрасли А обанкротятся одновременно),
pA,B - межсегментная
корреляция (т.е. связь между изменениями в среднем уровне вероятности дефолта в
отрасли А по сравнению с отраслью В).
Авторы предлагают выделять сегменты заемщиков в соответствии
с корреляциями потерь между ними. В одном сегменте корреляции должны быть
относительно высокими, а между сегментами - низкими. При этом какие-то заемщики
могут попадать в несколько сегментов одновременно, а какие-то - ни в один
сегмент.
После выделения сегментов авторы переходят к установлению лимитов
по группам. Для этого они предлагают выделить на каждый сегмент определенный
процент капитала в зависимости от того, какой суммой банк готов рисковать.
Впоследствии этот лимит может корректироваться в зависимости от характеристик
заемщиков, связанных с риском. Далее предлагается установление различных
лимитов по концентрации, по странам и т.д.
Авторы методики полагают, что включение дисперсий и
ковариаций в структуру потерь позволят более точно определить риск, а также
рассчитать, какой суммой банк готов рисковать при кредитовании конкретного
заемщика или группы заемщиков.
Также здесь можно рассмотреть модель CART для классификации ссуд,
позволяющую на основе различных показателей разбивать кредиты на группы.
Например, с ее помощью можно выделить сомнительные или убыточные кредиты, а
далее, проанализировав их, понять, какие характеристики заемщика приводят к
попаданию в ту или иную категорию кредитов.
2.3 Методика,
основанная на ожидаемой прибыли
В одном из источников рассматривается метод установления
лимита кредитования, согласно которому величина кредита не должна превышать
величину средств, которые банк планирует получить за определенный промежуток
времени. То есть величина кредита определяется исходя из того, что ожидаемые
потери за установленный период не должны превышать ожидаемую прибыль. Таким образом,
правило принятия решений выглядит следующим образом:
- предсказываемый оборот заемщика;

- показатель, характеризующий прибыль банка, полученный на основе
аналитической оценки;

- вероятность дефолта заемщика.
Правило выражается на основе того, что величина ожидаемой прибыли
за период равна 
, а величина возможных потерь - 
. При этом оборот заемщика по определению является неизвестной
величиной, но из формулы предполагается, что за рассматриваемый период заемщик,
как минимум, достигнет предсказываемых оборотов и не окажется в состоянии
дефолта. Однако рекомендуется использовать этот метод для определения лимитов
по кредитам лишь для тех заемщиков, о которые банк имеет надежную и доступную
информацию.
2.4 Методика,
основанная на показателях рентабельности
В том же источнике рассматривается еще одна модель определения
лимитов кредитования, которая основывается на показателях рентабельности. На
первом шаге автор методики предлагает считать выигрыш банка от каждого
отдельного кредита при условии, что вероятность дефолта заемщика известна, по
следующей формуле:
L - величина
займа;
r - процентная ставка;

- процентная ставка при альтернативном размещении денег;
c0 - расходы, которые банк понесет в случае
невозврата займа при дефолте заемщика;
c1 -
расходы, которые банк понесет в случае невозврата займа в ситуации, когда не
было дефолта заемщика;
LGD - это lost given default поАльтману.
Тогда величина лимита - это сумма, которой банк готов рискнуть (
L*), получаемая из решения линейного уравнения:
Li -
величина займа, которую планирует получить контрагент;
N-1 - обратная функция нормального
распределения;
VAR - valueatrisk - это наибольший убыток банка в случае с i-тым заемщиком с заданным уровнем доверительной
вероятности.
Изложенная модель позволяет рассчитать оптимальную величину
кредита, при котором прибыль банка будет максимальной, но при этом не будет
превышать ожидаемые потери (VAR). Однако эта
модель основывается лишь на вероятности дефолта заемщика, но не учитывает при
этом другие количественные (выручка, оборот и т.д.) и качественные
(принадлежность к определенной сфере деятельности и др.) характеристики
контрагента.
2.5
Скоринговые модели
Скоринговые модели, в отличие от методики, рассмотренной
выше, позволяют оценить как количественные, так и качественные показатели
деятельности потенциального заемщика. Это дает возможность увидеть полную
картину и адекватно оценить кредитоспособность контрагента. Автор одного из
источников говорит о том, что перед кредитором встают два вопроса - принятие
решения о выдаче займа новому контрагенту и анализ деятельности заемщиков,
которым уже был выдан кредит, с целью возможного увеличения кредитного лимита.
Он предлагает для поиска ответа на первый вопрос использовать модель кредитных
скорингов, в для второго - поведенческие скоринги. Поскольку обе модели
называются скоринговыми, в их основе лежит один и тот же метод принятия
решений.
У любого банка имеется большой массив информации о предыдущих
заемщиках, их характеристиках и кредитной истории. Суть скоринговых моделей
состоит в том, чтобы на основе этой информации установить связи между
различными показателями деятельности заемщика и исходами выданных им кредитов.
Далее предлагается по определенной шкале присваивать рейтинги контрагентам по
каждому из показателей и на основе итогового рейтинга принимать решение о
выдаче или невыдаче кредита.
В источнике для получения кредитных скоринговых оценок
предлагается использовать либо статистические методы, такие как дискриминантный
анализ, логистическая регрессия, нелинейная регрессия, деревья классификации,
либо математические методы, среди которых рассматриваются линейные операторы,
интегральные операторы и нейронные сети. Все эти методы позволяют разделить
заемщиков на группы в зависимости от тех или иных показателей. Томас Л.
отмечает, что у каждого метода есть как достоинства, так и недостатки, поэтому
для определения кредитного скоринга лучше комбинировать несколько методов.
После получения скоринговых оценок риск-менеджер принимает
решение о выдаче или невыдаче кредита потенциальному заемщику, а также
определяет лимит кредитования и другие ограничения, например необходимый
уровень выручки или обеспечение кредита. Таким образом, несмотря на то, что
скоринговые модели дают возможность численно оценить характеристики
контрагента, итоговое решение по кредиту выносит риск-менеджер. То есть они не
позволяют объективно численно рассчитать конкретную величину кредитного лимита.
2.6 Методики,
основанные на теории вероятностей
Во многих банках для определения лимитов кредитования
используются модели, основанные на теории вероятностей и теории игр. Это
обусловлено тем, что для принятия решений о выдаче кредита и о его размере
необходимо оценить возможные риски, то есть вычислить вероятность наступления
нежелательного события и ущерб, который оно за собой повлечет. Риск, по сути,
представляет собой неопределенность финансового результата в будущем, а для
измерения неопределенности используются вероятностные модели. Таким образом,
теория вероятностей позволяет определить все возможные сценарии реализации
риска, а также найти вероятности наступления каждого из этих сценариев. При
этом вероятность наступления нежелательного события будет описываться случайной
величиной, принимающей значения от 0 до 1.
В вероятностных моделях количественная оценка риска может
строиться на основе различных показателей. Автор одного из
источников рассматривает следующие показатели:
· Математическое
ожидание
Этот показатель может использоваться в тех случаях, когда нам
известна величина возможных потерь при реализации риска. Тогда риск
будет характеризоваться следующей величиной:
где X - величина потерь, а p - вероятность
наступления рискового события.
· Среднее
квадратическое отклонение
При выдаче кредита банк действует в условиях
неопределенности. Возможные последствия при этом, к примеру, ожидаемые потери,
описываются одной случайной величиной, которая имеет вероятностное
распределение. Каждое значение этой величины имеет определенную полезность для
банка, причем, чем выше уровень полезности, тем лучше для банка. Если в нашем
случае Х - это случаная величина, характеризующая убытки, то полезность будет
иметь вид U
(X) = - X, то есть чем больше
убытки, тем меньше полезность и наоборот. Тогда средний прогнозируемый
результат будет описываться математическим ожиданием E (U (X)), а отклонение
реального результата от прогнозируемого значения будет описывать дисперсией Var (U (X)). При этом
стандартное отклонение и будет являться мерой неопределенности.
· Сумма под
риском (VaR)
ValueatRisk - это простейшая мера риска, которая широко
применяется в финансах. Она позволяет оценить максимальные потери на заданном
временном горизонте с определенным доверительным уровнем вероятности.
Доверительный уровень при этом зависит от склонности инвестора к риску.
Нахождение VaR подразумевает знание функции распределения доходности портфеля на
заданном временном интервале.
Существует три основных метода для оценки VaR: исторический (состоит в
оценке изменения стоимости портфеля за предыдущий исторический период),
аналитический (заключается в выявлении рыночных факторов, от которых зависит
стоимость портфеля, и оценке стоимости портфеля на основе этих факторов) и
метод Монте-Карло (основан на моделировании возможных изменений стоимости
портфеля с учетом некоторых предположений).
· Коэффициент
риска
Коэффициент риска находится по формуле:
где Х - непрерывная случайная величина с функцией
распределения f
(X), U (X) - монотонно
возрастающая функция полезности, а события X<z и X>z являются неблагоприятным
и благоприятным исходами. То есть коэффициент риска есть отношение
математического ожидания проигрыша к математическому ожиданию выигрыша.
Таким образом, вероятностные модели позволяют на основе
различных показателей оценить степень риска.
Авторы одного из источниковподробно рассматривают разделение
вероятностных моделей оценки риска на параметрические и непараметрические в
зависимости от предположения о виде функции распределения. Параметрические
модели исходят из того, что случайная величина, определяющая величину возможных
потерь, порождаемых риском, описывается функцией распределения, которая
относится к одному из известных семейств распределений (нормальных,
экспоненциальных и др.). Таким образом, модель строится на предположении, что
нам известен вид функции распределения исходных данных. Авторы статьи говорят о
том, что такое предположение редко бывает обоснованным, поскольку в этом случае
нам приходиться "втискивать" реальные данные в заранее заданное
семейство. А непараметрические методы, в свою очередь, позволяют не
устанавливать подобных ограничений. Они основываются лишь на допущении
непрерывности функции распределения случайной величины.
Дальнейшее исследование будет строиться на основе одной из
непараметрических вероятностных моделей, поскольку, во-первых, мы не знаем, к
какому семейству относится функция распределения случайной величины,
определяющей кредитный лимит, а во-вторых, непараметрическая оценка упростит
процесс вычисления кредитного риска и нахождения лимита. Модель будет
основываться на теории ожидаемой полезности фон Неймана-Моргенштерна, которую
мы рассмотрим в следующей главе.
Глава
3. Построение модели определение кредитных лимитов с помощью теории ожидаемой
полезности фон Неймана-Моргенштерна
Как правило, успешность деятельности инвестора на рынке
определяется денежным доходом, получаемым при инвестировании средств. Однако
если инвестор не только получает доход, но и потребляет его, причем в условиях
неопределенности, то измерение эффективности его деятельности представляется
затруднительным.Д. Бернулли первым попытался решить эту проблему и показал, что
"линейная денежная шкала не решает проблему измерения выигрыша в азартных
играх (на примере известного Санкт - Петербургского парадокса)". Он
предложил использовать "моральную стоимость" денег, измеренную как
логарифм выигрыша, для определения эффективности финансовой деятельности.
Логарифмическая функция полезности, предложенная Бернулли, до сих пор активно
применяется. Его идею к современному рынку применили Дж. фон Нейман и О.
Моргенштерн, которые ввели понятие "полезности" для измерения
эффективности деятельности инвесторов и предложили выводить функцию полезности
из ряда аксиом, которые определяют порядок предпочтения исходов финансовой
деятельности. Теория ожидаемой полезности активно используется во множестве
исследований в области принятия решений в условиях неопределенности в наши дни.
Исследования, посвященные управлению кредитными рисками, не являются исключением.
3.1 Функция
полезности. Теория ожидаемой полезности фон Неймана-Моргенштерна
Функция полезности строится на основе субъективных
предпочтений инвестора, поэтому "практический способ построения такой
функции состоит в том, чтобы для нескольких реальных ситуаций выяснить
предпочтения инвестора между двумя возможными решениями в каждой из этих
ситуаций, а затем найти функцию, которая принимала бы большее значение для тех
решений, которые более предпочтительны". Сама функция полезности - это
"это такой способ приписывания каждому возможному потребительскому набору
некоего численного значения, при котором более предпочитаемым наборам
приписываются большие численные значения, чем менее предпочитаемым". Смысл
приписывания полезности заключается в ранжировании возможных альтернатив для
выбора той, полезность от которой выше. Действия индивида при этом считаются
рациональными, то есть целью индивида является максимизация ожидаемого значения
функции полезности. В одном из источниковотмечается, что в экономике функция
полезности может показывать предпочтения инвестора относительно рисков и
различной доходности некоторых проектов.
Функция полезности u (x) должна быть монотонно неубывающей и должна быть определена
на всем положительном множестве. Непрерывная функция полезности может быть
вогнутой, выпуклой или линейной. Вогнутая функция полезности описывает
отношение к риску, подчиняющееся закону убывающей предельной полезности, то
есть чем больше капитал инвестора, тем менее полезен для него единичный прирост
этого капитала. Индивидов с такой функцией полезности принято называть
рискофобами или не склонными к риску. Выпуклая функция полезности характеризует
поведение индивидов, склонных к риску, или рискофилов. Для них по мере роста
богатства полезность единичного прироста капитала возрастает. Линейная функция
полезности описывает поведение инвесторов, нейтральных к риску. Нейтральных к
риску инвесторов интересует лишь ожидаемое значение полученного богатства
независимо от степени риска получения этого богатства.
В теории ожидаемой полезности возможные наборы благ, которые
могут быть получены с определенной вероятностью, называются
"лотереями". Результатом лотереи является значение показателя
прибыли, то есть прибыль представляет собой вероятностное распределение.
Создателями функции ожидаемой полезности стали Дж. фон Нейман
и О. Моргенштерн, которые от выбора между некоторыми исходами перешли к выбору
между лотереями, включающими несколько неопределенных исходов. Их теорема
формулируется следующим образом: "действуя в условиях риска, рациональный
экономический субъект стремится максимизировать математическое ожидание своей
индивидуальной функции полезности".
Для того чтобы предпочтения индивида были представимы с
помощью функции ожидаемой полезности фон Неймана-Моргенштерна, необходимо,
чтобы выполнялсяряд аксиом:
1. Рациональность
Рациональность включает в себя предположения о полноте,
транзитивности и рефлективности предпочтений между лотереями. Полнота
предпочтений означает, что при выборе между двумя лотереями выполняется
следующее: либо первая лотерея предпочтительнее второй, либо вторая
предпочтительнее первой, либо они равносильны. Транзитивность предполагает, что
если первая лотерея предпочтительнее второй, а вторая предпочтительнее третьей,
то первая также будет предпочтительнее третьей. Рефлективность предпочтений
означает, что набор благ должен быть не лучше и не хуже себя самого.
2. Независимость
Независимость предпочтений означает, что если существуют три
лотереи и первая лотерея предпочтительнее второй (L1≽L2), то независимо от третьей лотереи должно выполняться следующее
соотношение:
3. Непрерывность
Непрерывность предполагает, что для любых трех лотерей, из
который первая предпочтительнее второй, а вторая предпочтительнее третьей (L1?L2?L3), найдутся такие a
и b, при которых будет выполняться следующее соотношение:
Если выполняются все эти предпосылки, то предпочтения
индивида представимы функцией ожидаемой полезности фон Неймана-Моргенштерна,
имеющей вид:
pi - вероятность состояния мира i,
u (.) - элементарная функция полезности
("Бернуллевская"),
xi - богатство потребителя в момент времени i.
Таким образом, "из аксиом фон Неймана-Моргенштерна
следует существование у каждого индивида количественной функции полезности
(НМ-функции) наборов потребительских благ, такой, что в случайной ситуации
потребитель стремится к максимизации ее математического ожидания".
Рассмотрим функцию полезности дохода от капиталовложений U (I). Существует две
возможные ситуации: если капиталовложения не связаны с риском, то индивид,
который их осуществил, получит фиксированный доход I, а если капиталовложения
связаны с риском, то индивид получит доход I1, вероятность которого
равна U
(I1), с некоторой
вероятностью a, при этом вероятность получить доход I2>I1, полезность которого
составляет U
(I2) равна 1-a.
Тогда
функция ожидаемой полезности будет иметь следующий вид:
Авторы одного из источников, принимая во внимание аксиому
ненасыщения, делают следующий вывод: "…более высокий доход способен
принести потребителю большую полезность, а значит, U (I2) >U (I1). Следовательно, функция
ожидаемой полезности будет возрастающей, поскольку с ростом дохода получаемая
индивидом полезность будет увеличиваться, а предельная полезность дохода будет больше
нуля при любом положительном уровне дохода". Основная идея теоремы
заключается в том, что в ситуации риска рациональный индивид будет стремиться
максимизировать не свой ожидаемый доход, а свою функцию ожидаемой полезности.
В одном из источников выделяются следующие моменты, влияющие
на значение функционала Неймана-Моргенштерна:
. Характер функции распределения возможной прибыли F
2. Вид функции полезности u=u (x), который зависит от
предпочтений инвестора
. Величина ожидаемого выигрыша - случайная величина x,
которая складывается из двух компонент: случайной составляющей (xprofit - ожидаемая прибыль) и неслучайной (А - оборотные средства,
быстроликвидные активы предприятия):
Характер распределения возможной прибыли F определяется случайной
составляющей. Отношение к риску будет различаться в зависимости от величины А.
Таким образом, в одних и тех же рисковых ситуациях предпочтения инвесторов с
разным уровнем первоначальных запасов будут различаться.
Рассмотрим функции полезности, которые чаще всего
используются в принятии решений:
1. Линейная функция полезности
Линейная функция полезности описывает риск-нейтральное
отношение к риску.
2. Экспоненциальная функция
полезности:
Экспоненциальная функция полезности описывает отношение к
риску индивида-рискофоба. Она имеет постоянное абсолютное неприятие риска, то
есть для инвестора, чье предпочтение описывается такой функцией полезности,
величина потенциальных потерь не зависит от первоначального капитала, и при
увеличении собственных средств инвестор не готов инвестировать больше.
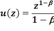
3. Показательная функция полезности:
Показательная функция полезности также описывает отношение к
риску индивида-рискофоба. Однако она имеет убывающее абсолютное неприятие
риска. Таким образом, сумма, которой инвестор готов рисковать, зависит от его
собственного капитала. Чем больше размер первоначальных средств, тем больше
готовность инвестировать.
Важным показателем в теории ожидаемой полезности является
значение безрискового эквивалента лотереи. Под безрисковым эквивалентом
случайного выигрыша понимается "гарантированный выигрыш, приводящий к
полезности богатства, равной ожидаемой полезности при случайном выигрыше".
Безрисковый эквивалент необходим, поскольку "при рассмотрении положений
общей теории полезности нам приходится иметь дело с двумя функционалами−
безусловной полезностью U (F) и математическим ожиданием (средним) денежной суммы M, которую ЛПР (лицо,
принимающее решение) может получить при проведении лотереи", а сравнивать значения
двух этих величин не имеет смысла. Поэтому ту денежную сумму, которая
равноценна для инвестора значению U (F) нужно обозначить через безрисковый эквивалент (xбэ). Тогда это значение
будет определять аналог денежной суммы М с учетом отношения инвестора к риску.
Таким образом, величина безрискового эквивалента будет равна денежной сумме,
размер которой будет определять готовность индивида принять участие в лотерее.
Величина безрискового эквивалента определяется как обратная
функция полезности от математического ожидания выигрыша:
x (S) - случайная величина выигрыша,
U (X) - ожидаемая полезность.
Перейдем к описанию разрабатываемой в данном исследовании
модели определения кредитных лимитов, которая будет строиться на основе теории
ожидаемой полезности фон Неймана-Моргенштерна.
3.2
Используемые в модели параметры лимитов
Для начала рассмотрим показатели, которые теоретически влияют
на величину кредитных лимитов.
1. Масштаб деятельности банка
Масштаб деятельности кредитора является одним из основных
факторов, определяющих величину кредитного лимита. Это, в первую очередь,
связано с тем, что банки должны соблюдать обязательные нормативы, предписанные
ЦБ РФ. Один из таких нормативов - норматив достаточности собственных средств
(Н1), который рассчитывается по формуле:
K - капитал банка,
Аi - величина активов,
wi - веса активов (как правило, вес каждого актива
принимается за 100%),
hmin - минимальное пороговое значение
коэффициента достаточности капитала, установленное ЦБ РФ на уровне 10%.
Другой норматив - норматив максимального размера риска на
одного заемщика или группу связанных заемщиков (Н6), который рассчитывается по
формуле:
S - величина кредитных требований банка,
K - Капитал банка.
Максимально допустимое значение норматива Н6 определено ЦБ РФ
на уровне 25%.
Таким образом, величина выданных кредитов напрямую зависит от
капитала банка. В данной работе масштаб деятельности банка будет оцениваться
через объем собственных средств банка.
2. Масштаб деятельности заемщика
Масштаб деятельности заемщика также влияет на величину
кредитного лимита, поскольку банк при принятии решения о величине выдаваемого
кредита, в первую очередь, смотрит на доходы контрагента, чтобы определить,
сможет ли заемщик возвратить денежные средства с учетом процентов. Как правило,
масштаб деятельности контрагента определяется на основе его активов, выручки и
т.д. В случае если заемщик не выплатит задолженность, она будет выплачена из
оставшейся части собственных средств контрагента.
3. Кредитоспособность заемщика
Кредитоспособность заемщика является одним из важнейших
параметров, влияющих на величину возможного кредита. Как правило,
кредитоспособность оценивается с помощью вероятности наступления дефолта (probabilityofdefault). Вероятность
наступления дефолта - это вероятность того, что задолженность не будет
возмещена. Вероятность дефолта определяется для каждого отдельного заемщика.
Существует большое количество моделей, позволяющих оценить вероятность
наступления дефолта. В литературе выделяется 3 основных класса таких
моделей:
· Структурные
модели
Основоположниками структурных моделей считаются Блэк, Шоулз и
Мертон. Суть этих моделей заключается в том, что "предоставление кредита
трактуется как покупка активов компании у акционеров и передача им опциона call на данные активы с ценой
исполнения, равной стоимости кредита, и временем исполнения, равным сроку
погашения кредита". В таком случае максимальный выигрыш покупателей опциона
(владельцев компании) не ограничен, поскольку он равен разности между рыночной
стоимостью активов и суммой обязательств. А максимальный проигрыш при этом
будет равен рыночной стоимости акций, которые им принадлежат, то есть как раз
опциону call.
· Модели
сокращенной формы
Определение вероятности дефолта в моделях сокращенной формы
осуществляется на основе информации о текущей стоимости долговых обязательств
заемщика и спрэдах доходности этих долговых обязательств по сравнению с
безрисковой ставкой. Модели сокращенной формы могут лишь оценить вероятность
дефолта, но при этом не позволяют выяснить причину возникновения дефолта.
· Кредит-скоринговые
модели
Скоринговые модели ориентированы на вычисление индекса
кредитоспособности, связанного с вероятностью дефолта, пользуясь для этого
статистическими методами, такими, как линейные дискриминантный анализ,
нейронные сети, деревья классификации и другими.
В данном исследовании при построении модели определения
кредитных лимитов вероятность дефолта будет определяться с помощью актуарных
оценок, которые рассчитываются рейтинговыми агентствами на основе
статистических данных. Рейтинговые агентства классифицируют предприятия по
вероятности дефолта, присваивая им кредитные рейтинги. "Кредитный рейтинг
(credit rating) представляет собой
интегральную оценку финансовой устойчивости и платежеспособности страны,
заемщика или отдельного кредитного продукта". С помощью рейтинга агентства
выражают свое мнение относительно способности и желания контрагента погасить
кредитную задолженность.
Кредитные рейтинги рассчитываются и публикуются рейтинговыми
агентствами, среди которых наиболее известными являются Fitch, Moody’s и Standard&Poor’s. Рейтинговые агентства
оценивают вероятность дефолта компании на основе определенных финансовых
показателей, таких, как совокупные обязательства, долгосрочные обязательства,
прибыль до уплаты процентов, налогов и амортизационных отчислений и т.д.
В настоящем исследовании вероятность дефолта будет
оцениваться на основе кредитного рейтинга Fitch, поскольку данные этого
рейтингового агентства находятся в свободном доступе, и рейтинг включает
большинство крупных российских компаний.
4. Срок кредитования (Т)
Срок кредита также влияет на кредитные лимиты, поскольку от него
зависит величина кредитного риска банка. Так, например, в случае долгосрочных
кредитов банк подвержен большему риску, чем в случае краткосрочных, поскольку
определение вероятности наступления дефолта контрагента представляется
затруднительным на длительном горизонте времени. Как правило, при расчете
величины кредитных лимитов вместо срока кредитования учитывается период
получаемой отчетности, поскольку именно на основе отчетности банк может
спрогнозировать вероятность наступления дефолта заемщика в следующем периоде.
Таким образом, показатель Т будет равен 
, если контрагент предоставляет отчетность ежемесячно, 
, если ежеквартально и 1, если ежегодно.
5. Обеспечение кредита
Обеспечение кредита позволяет банку застраховаться на случай
наступления дефолта заемщика. Согласно ст.329 п.1 Гражданского кодекса РФ,
"исполнение обязательств может обеспечиваться неустойкой, залогом,
удержанием имущества должника, поручительством, банковской гарантией, задатком
и другими способами, предусмотренными законом или договором". Таким
образом, при неисполнении обязательств контрагентом, банк может реализовать
обеспечение кредита в счет уплаты долга.
Как правило, обеспечение кредита оценивается с помощью потерь
в случае дефолта (lossgivendefault - LGD). Показатель LGD отражает "уровень
безвозвратных потерь с учетом их частичного возмещения, например путем
реализации залога, исполнения гарантий и т.п. ". Так, например, если
уровень возмещения составляет 40% от величины займа, то потери в случае дефолта
составят 60% от величины подверженности кредитному риску.
6. Риск-аппетит банка
Риск-аппетит банка характеризует отношение банка к риску и
определяет его кредитную стратегию, в том числе, величину кредитных лимитов.
Если банк не склонен к риску, то он будет устанавливать низкий уровень лимитов,
чтобы обезопасить себя от потенциальных потерь в случае дефолта контрагента.
Согласно Информационно-аналитическому документу Банка России
о полноте и степени реализации крупнейшими российскими кредитными организациями
современных рекомендаций международных институтов, устанавливающих стандарты
финансовой деятельности в области корпоративного управления и систем управления
рисками,риск-аппетит является важным элементом, характеризующим деятельность
банков, поэтому он должен быть четко определен в стратегию развития любого
банка. В документе Банка России аппетит к риску понимается как "совокупный
уровень рисков, который готов принять банк с учетом вероятности возникновения
возможных убытков, ведущих к потере финансовой устойчивости банка и принимая во
внимание потенциальные затраты на устранение финансовых проблем в деятельности
банка". На основе риск-аппетита банк должен разрабатывать стратегии
управления рисками, устанавливать соответствующие лимиты на риски, осуществлять
мониторинг и контроль существующих рисков. На данном этапе большинство банков
следует рекомендациям Базельского комитета по банковскому надзору при
определении параметров риск-аппетита. В Документе Банка России выделяется
несколько этапов, осуществляемых для установления аппетита к риску: оценка всех
существенных рисков в деятельности банка на основе различных количественных и
качественных показателей, учет профиля каждого такого риска, проведение
стресс-тестирования, сценарного анализа и анализа чувствительности и в итоге
получениеагрегированной оценки величины индивидуально оцененных существенных
рисков, причем эта оценка должна получаться не посредством элементарного суммирования,
а с учетом влияния стадий бизнес цикла, прогнозной оценки состояния и развития
сегментов рынка и корреляции между рисками. Таким образом, аппетит к риску
является четко сформулированным формальным показателем, характеризующим степень
готовности банка к тем или иным рискам.
В данной работе отношение к риску со стороны банка будет
определяться на основе функции ожидаемой полезности фон Неймана-Моргенштерна,
которая позволяет оценить, насколько банк готов рисковать для получения
максимальной выгоды.
7. Процентные ставки
Процентные ставки влияют на величину ожидаемой прибыли,
которую банк планирует получить при выдаче кредита. Так, например, на размер
кредитного лимита могут влиять ставки кредитования. Чем они выше, тем меньше
будет величина лимита. Также на величину кредитного лимита могут влиять ставки
дисконтирования.
В одном из источников, помимо уже рассмотренных факторов,
определяющих величину кредитных лимитов, выделяются следующие:
· отраслевая
принадлежность заемщика;
· качество
управления потенциального заемщика;
· перспективы
развития заемщика;
· взаимоотношения финансового института с
данным заемщиком;
· общее
состояние экономики.
Таким образом, на величину кредитных лимитов влияет большое
количество факторов. Однако для упрощения модели в данном исследовании были
отобраны лишь четыре наиболее важных фактора:
. Масштаб деятельности банка (измеряется как величина
собственных средств)
2. Кредитоспособность заемщика (измеряется как
вероятность дефолта на основе кредитного рейтинга рейтинговых агентств)
. Срок кредитования (в данной работе срок кредитования
принимается равным одному году)
. Отношение к риску со стороны банка (определяется
рассмотренными выше функциями полезности фон Неймана-Моргенштерна).
3.3
Построение модели
Для начала определим, как будет выглядеть лотерея, в которой
банк либо принимает участие, либо нет. Она содержит в себе два исхода: с
вероятностью PDt (вероятность дефолта) заемщик не вернет кредит и с
вероятностью (1-PDt) дефолт не наступит, и задолженность будет
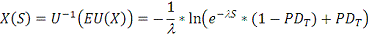
погашена. Тогда мы можем представить величину выигрыша банка следующим образом:
где X - случайная величина, характеризующая выигрыш банка;
S - величина кредита,
PDT - вероятность наступления дефолта в
периоде T
, в нашем случае 
,
Тогда математического ожидание случайной величины L равно:
R - резервы на покрытие возможных убытков.
Предположим, что k - это часть
капитала, выделяемого банком на покрытие риска одного заемщика, тогда может
быть получено следующее ограничение:
hmin - функция от кредитного рейтинга банка,
характеризующая его отношение к риску.
Согласно нормативу Н6, максимальная величина кредита на одного
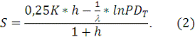
заемщика не должна превышать 25% от капитала банка, поэтому положимS=0,25K.
Для вывода формулы рассмотрим очень надежного заемщика,
вероятность дефолта которого равна 0. Подставим PDT=0 в формулу (*) и получим:
Отсюда найдем 
и подставим в формулу (*), откуда получим первый возможныйспособ
определения кредитных лимитов:
h - коэффициент достаточности капитала банка, оцененный с помощью
регрессии на основе банковских кредитных рейтингов.
Теперь необходимо ввести один из основных факторов, влияющих на
величину кредитных лимитов, - отношение банка к риску. Этот фактор вводится в
модель посредством выбора функции полезности фон Неймана-Моргенштерна,
определяющей "риск-аппетит" банка. Выше мы рассмотрели три возможных
функции полезности. Первая из них - линейная, для нее величина кредитного
лимита будет рассчитываться по формуле (1). Однако линейная функция ожидаемой
полезности не представляет для нас особого интереса, поскольку описывает
риск-нейтральное отношение банка к риску и не позволяет, таким образом,
учитывать кредитный риск.
Вторая рассмотренная нами функция ожидаемой полезности -
экспоненциальная. Она имеет вид 
. В первую очередь, необходимо рассчитать величину безрискового
эквивалента x (S). Для этого возьмем обратную функцию полезности от
математического ожидания выигрыша 
.
Величина кредитного лимита рассчитывается из следующей формулы:
R - величина резервов, 
Таким образом, получаем следующую формулу для нахождения величины
кредитного лимита:
Подставим в эту формулу значение 
и величину безрискового эквивалента. Получим:
после преобразования которой выразим величину кредитного лимита:
Сделаем то же самое для показательной функции ожидаемой
полезности, имеющей вид

Проводя те же вычисления, мы получили следующий безрисковый
эквивалент:
Подставив найденный безрисковый эквивалент в формулу (**), мы
получили следующую величину кредитного лимита:
В результате построения этих моделей мы получили лимиты,
значительно отличающиеся от выданных кредитов. Это можно объяснить тем, что в
этих моделях мы исходили из того, что кредит либо полностью выплачивается, и
потери равны нулю, либо происходит дефолт заемщика, тогда потери равны величине
выданного кредита. То есть мы учитывали лишь ожидаемые потери, но не
рассматривали ситуации, когда кредит может быть выплачен не полностью. Однако
неожидаемые потери могут также нанести серьезный ущерб финансовому состоянию
банка. В связи с этим, было принято решение усложнить модель, построив её не на
основе бинарной случайной величины, а с использованием нескольких градаций
возможных потерь.
3.4
Усовершенствование модели
Для того чтобы получить более точную оценку лимитов,
рассмотрим ситуацию, в которой будут учитываться не только потери банка при
дефолте заемщика, но и изменение стоимости кредита в результате
возможногоизменения кредитных рейтингов контрагентов. Обратимся для этого к
моделям кредитной миграции, учитывающим, что банк может понести убытки как при
дефолте заемщика, так и при понижении рейтинга.
В данной работе мы использовали подход CreditMetrics, предложенный J.P. Morgan, который основан на
анализе кредитной миграции. "Модель CreditMetrics представляет собой
методологию расчета границы потерь для финансовых инструментов, которые не
котируются на финансовых рынках (например, банковские ссуды и корпоративные
займы)". Она позволяет рассчитать стоимость кредита для каждого значения
шкалы кредитных рейтингов. Уровни рейтингов берутся из классификации
рейтинговых агентств Standard&Poor’s или Moody’s, поэтому получаемая модель является дискретной. Одним из
главных преимуществ CreditMetrics является то, что она основана на исторических данных и
полученные оценки являются безусловными.
Рейтинговые агентства с определенной периодичностью публикуют
статистические исследования, в которых приводятся данные по частоте дефолтов
для каждой рейтинговой группы и частоте миграций из одной рейтинговой группы в
другую.
Частоты миграций образуют матрицу переходных вероятностей.
"Матрица перехода (матрица вероятностей миграции кредитных рейтингов) -
это таблица, в которой представлены вероятности того, что текущий рейтинг
заемщика через определенный промежуток времени (например, через год) будет
повышен, понижен или что заемщик окажется неплатежеспособным".
Вероятности, как правило, представляют собой среднее значение частот перехода
заемщиков из одной рейтинговой группы в другую в течение заданного периода.
Помимо переходных вероятностей для построения модели
необходимы также форвардные ставки для определения стоимости кредита через
определенный промежуток времени для каждого рейтингового класса.
Расчет этих ставок осуществляется компанией J. P. Morgan на основе кривых
доходностей для займов. В Техническом документе CreditMetrics приводится следующая
матрица миграции кредитных рейтингов, которая была опубликована рейтинговым
агентством Standard&Poor’s:
Таблица 1
Матрица вероятностей миграции рейтингов в течение
1 года, %
|
Рейтинг на
начало года
|
Рейтинг на
конец года (%)
|
|
AAA
|
AA
|
A
|
BBB
|
BB
|
B
|
CCC
|
Дефолт
|
|
AAA
|
90.81
|
8.33
|
0.68
|
0.06
|
0.12
|
0
|
0
|
0
|
|
AA
|
0.70
|
90.65
|
7.79
|
0.64
|
0.06
|
0.14
|
0.02
|
0
|
|
A
|
0.09
|
2.27
|
91.05
|
5.52
|
0.74
|
0.26
|
0.01
|
0.06
|
|
BBB
|
0.02
|
0.33
|
5.95
|
86.93
|
5.30
|
1.17
|
0.12
|
0.18
|
|
BB
|
0.03
|
0.14
|
7.73
|
80.53
|
8.84
|
1.00
|
1.06
|
|
B
|
0
|
0.11
|
0.24
|
0.43
|
6.48
|
83.46
|
4.07
|
5.20
|
|
CCC
|
0.22
|
0
|
0.22
|
1.30
|
2.38
|
11.24
|
64.86
|
19.79
|
Также для определения величины лимита нам потребуются
форвардные ставки, которые также приведены в документации CreditMetrics:
Таблица 2. Значения доходностей для форвардной кривой
через 1 год, %
|
Рейтинг
|
Год 1
|
|
AAA
|
3.60
|
|
AA
|
3.65
|
|
A
|
3.72
|
|
BBB
|
4.10
|
|
BB
|
5.55
|
|
B
|
6.05
|
|
CCC
|
15.05
|
На основе имеющейся информации можно рассчитать величину
возможных убытков банка при переходе заемщика из одного рейтингового класса в
другой. Рассмотрим, как будет выглядеть теоретическая модель.
Предположим, нам известно, что банк выдал кредит заемщику с
кредитным рейтингом BB. Пусть текущая стоимость кредита равна 1 рубль. Для начала
необходимо рассчитать новый безрисковый эквивалент, который будет отражать
величину непредвиденных потерь, которые находятся из разности между стоимостью
кредита через год и его текущей стоимостью. Для этого найдем возможную
стоимость кредита, выданного заемщику с рейтингом ВВ, через год для каждой
категории рейтинга на основе приведенных выше форвардных ставок. Получим:
Таблица 3. Стоимость кредита, выданного заемщику с
рейтингом BBВ, через год, руб.
|
Рейтинг
|
Стоимость
кредита через год, руб.
|
|
AAA
|
0.965
|
|
AA
|
0.964
|
|
A
|
0.963
|
|
BBB
|
0.96
|
|
BB
|
0.946
|
|
B
|
0.941
|
|
CCC
|
0.86
|
|
Дефолт
|
0
|
Далее рассчитаем величину потерь и получим вероятностное
распределение изменения стоимости кредита при переходе заемщика из одного
рейтинга в другой. На рисунке 2 можно увидеть полученное распределение. По оси
абсцисс отображено изменение стоимости кредита, а по оси ординат - вероятность
смены рейтинга.
Рис. 2. Вероятностное распределение изменения стоимости
кредита за 1 год при миграции кредитного рейтинга заемщика
Далее необходимо рассчитать безрисковый эквивалент для
величины, отражающей изменение стоимости кредита при миграции кредитного
рейтинга, на основе функции ожидаемой полезности. Для дальнейшего исследования
была выбрана показательная функция полезности, поскольку она, в отличие от
экспоненциальной, имеет убывающее абсолютное неприятие риска, то есть величина
кредитного лимита будет зависеть от капитала банка. В действительности,
предполагается, что показательная функция должна лучше описывать риск-аппетит
банка, так как нормативы ЦБ устанавливают ограничения на кредитные лимиты,
основываясь на величине капитала банка.
Итак, безрисковый эквивалент будет рассчитываться по формуле,
которая уже была рассмотрена выше. Сначала найдем математическое ожидание
величины потерь по формуле:

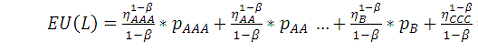
, где
η - величина потерь при смене рейтинга;
p - вероятность перехода из текущего рейтинга в указанный.
С помощью этой формулы будет получено математического ожидание
величины потерь при миграции кредитного рейтинга. Далее мы возьмем обратную
функцию от этого математического ожидания и получим безрисковый эквивалент, при
этом неизвестен будет лишь параметр β. Формула для безрискового эквивалента
будет выглядеть следующим образом:
Далее мы оценим коэффициент β и сможем рассчитать величину безрискового
эквивалента в численном виде. Таким образом, величина максимального кредитного
лимита будет находиться по формуле:

Smax - максимальная величина кредитного
лимита;
k - капитал, необходимый для покрытия риска:
PD - вероятность дефолта заемщика;
l (η) - величина безрискового эквивалента для конкретной
категории рейтинга.
Таким образом, с помощью этой формулы банк сможет моментально
определить лимит кредитования для конкретного заемщика, зная лишь его кредитный
рейтинг.
Перейдем к следующем главе, в которой попробуем реализовать рассмотренные
модели на реальных данных.
Глава 4.
Применение модели на реальных данных
В данной главе мы попытаемся определить оптимальную величину
кредитных лимитов на основе статистических данных и выясним, насколько
реалистичные лимиты будут получены на основе предложенных моделей.
4.1
Информационная база исследования
Поскольку информация о выданных банками кредитах, размерах
кредитов и заемщиках является засекреченной, для получения данных было решено
использовать новостные ленты, на которых публикуются сведения о сделках банков
с крупными компаниями. Таким образом, данные были собраны из таких новостных
источников, как www.lenta.ru, www.interfaks.ru, www.forbes.ru и www.banki.ru. С этих порталов бралась информация о кредиторе, заемщике,
сумме кредита и дате выдачи кредита. Кредиты в иностранной валюте переводились
в рубли в соответствии с обменным курсом на дату выдачи кредиты.
Кредитные рейтинги кредиторов и заемщиков на момент выдачи кредита
были взяты с сайта www.rusbonds.ru, а также с официальных сайтов рейтинговых
агентств Moody’s и S&P. Эти рейтинги
были переведены в числовую форму на основе международной шкалы оценки
вероятности дефолта, приведенной в одном из источников.
Размер собственных средств банков-кредиторов и коэффициент
достаточности капитала были взяты с сайта www.cbr.ru.
В результате была сформирована таблица, на основе которой
проводился дальнейший анализ (см. Приложение 1).
4.2 Оценка
параметров модели
В первую очередь производилась оценка параметра h - коэффициента
достаточности капитала банка. Для этого с помощью регрессии была рассчитана
зависимость коэффициента достаточности капитала банка от его кредитного
рейтинга. В результате был получен значимый коэффициент, на основе которого для
каждого банка был оценен показатель h, который содержится в Приложении 1.
Далее с помощью метода наименьших квадратов были оценены
коэффициенты для двух первоначальных моделей, основанных на показательной и
экспоненциальной функциях ожидаемой полезности фон Неймана-Моргенштерна
(подробный расчет находится в файле Mathcad). В результате, были получены следующие
коэффициенты: β = 0,996 для модели на
основе показательной функции полезности и l=0.0000017 для модели на
основе экспоненциальной функции полезности.
Таким образом, исходная формула для модели на основе
экспоненциальной функции полезности (2) может быть записана следующим образом:
Для модели, основанной на показательной функции полезности,
исходная формула (3) может быть записана следующим образом:
При попытке применить полученные формулы для расчета
кредитных лимитов выяснилось, что расхождения между теоретическим лимитов и
величиной выданного в итоге кредита достаточно велики. Поэтому именно на данном
этапе исследования решено было построить модель не на основе бинарной случайной
величины (кредит либо возвращается полностью, либо не возвращается вообще), а
учесть и промежуточные состояния, такие, как миграция кредитных рейтингов.
Для начала, была рассчитана возможная стоимость кредита,
выданного заемщику из каждой категории рейтинга, при смене рейтингового класса
(пример в Таблице 3). Далее были найдены возможный ущерб и его вероятность.
Например, при текущей стоимости кредита, равной 1 рубль, для заемщика с
рейтингом ВВВ была получена следующая таблица:
Таблица 4. Стоимость кредита, выданного заемщику с
рейтингом BBВ, через год, руб.
|
Рейтинг
|
Непредвиденные
потери через год, руб. ( Вероятность смены рейтинга, %
|
|
|
AAA
|
0.035
|
0.02%
|
|
AA
|
0.036
|
0.33%
|
|
A
|
0.037
|
5.95%
|
|
BBB
|
0.04
|
86.93%
|
|
BB
|
0.054
|
5.30%
|
|
B
|
0.059
|
1.17%
|
|
CCC
|
0,14
|
0.12%
|
|
Дефолт
|
1
|
0.18%
|
Затем был рассчитан безрисковый эквивалент потерь для
заемщиков из каждой рейтинговой категории. К примеру, для заемщиков с рейтингом
BBB безрисковый эквивалент
выглядит следующим образом:
После этого на основе метода наименьших квадратов был оценен
коэффициент β, полученный путем
минимизации следующей функции:
ki - это часть капитала банка, выделяемая на
покрытие рисков (рассчитывается на основе норматива ЦБ по формуле k = 0.25*K*h);
EL - ожидаемые потери (рассчитываются как
математическое ожидание потерь);
S - величина выданного кредита;
l (η) - безрисковый
эквивалент для конкретной категории рейтинга.
В результате мы получили β = - 4,474 и безрисковый эквивалент l (η) = 0,315 для заемщиков из категории рейтинга BBB. Подставив найденные
значения в формулу (3), мы получим максимальную величину кредитного лимита.
Рассмотрим на примере конкретного кредита, чему будет равен
максимальный лимит. Из приложения 1 возьмем кредит, выданный ОАО
"РЖД" банком ВТБ в декабре 2012 года. Капитал банка (К) составлял 557
521 846 тыс. рублей, часть средств, на покрытие кредита, показывающая отношение
банка к риску (h) была равна 0,0675, вероятность дефолта заемщика (PD), относящегося к
категории рейтинга ВВВ, равнялась 0,0016. Также мы знаем, что безрисковый
эквивалент (l
(η)) для заемщика из данной категории
рейтинга равен 0,315. Найдем максимальный лимит:
В действительности банк ВТБ выдал кредит ОАО "РЖД"
в размере 30 миллиардов рублей. Таким образом, полученный лимит достаточно
близок в реальной величине выданного кредита.
Мы проделали все описанные шаги для каждого рейтингового
класса и выяснили, что не для всех категорий рейтинга и не для всех заемщиков
предложенная модель одинаково хорошо работает. Однако несовпадение в некоторых
случая величины рассчитанного лимита и величины реально выданного кредита можно
объяснить несколькими способами:
. Модель позволяет рассчитать максимальную величину
кредитного лимита, однако необходимый заемщику кредит может быть гораздо меньше
этой величины;
2. Модель основана на показательной функции полезности,
которая описывает определенный риск-аппетит банка, в связи с чем, она может
плохо описывать поведение банков с отличным от рассматриваемого аппетитом к
риску;
. Поскольку данные по кредитам засекречены, в выборку
попали лишь крупные кредиты известным компаниям, а более мелкие займы учесть не
удалось.
Таким образом, модель необходимо дорабатывать и тестировать
на большем количестве наблюдений. Кроме того, существуют и другие способы
усовершенствования модели. Например, при наличии доступа к банковским данным, в
модель могут быть включены такие показатели, как срок кредитования, который
позволит рассчитать будущий поток платежей на несколько лет вперед, процентная
ставка по кредиту, с помощью которой можно проанализировать соотношение
ожидаемого выигрыша с риском, финансовые показатели заемщика (активы, выручка),
которые дадут более точное представление о его кредитоспособности, а также
обеспечение кредита, которое ограничит риски.
Заключение
Кредитные риски являются одной из главных причин банковских
банкротств, поэтому проблеме оценки и минимизации этих рисков в последнее время
уделяется достаточно много внимания. Однако лимитированию кредитов - основному
механизму минимизации рисков - посвящено лишь небольшое количество исследований
в области риск-менеджмента.
В данной работе была предпринята попытка разработать методику
определения оптимального кредитного лимита. Для этого были проанализированы уже
существующие методики, а также отобраны показатели, которые непосредственно
влияют на величину лимита кредитования.
В ходе анализа литературы было выявлено, что, действительно,
практически отсутствуют работы, предлагающие конкретные методики вычисления
кредитных лимитов. Также было выяснено, что одной из возможных методик определения
лимитов является модель ожидаемой полезности фон Неймана-Моргенщтерна, которая
позволяет учесть отношение кредитора к риску.
На основе двух разновидностей функции ожидаемой полезности
были предложены две модели, включающие ряд основных показателей, которые должны
влиять на величину кредитных лимитов. Однако модели не прошли проверку на
статистических данных. Поэтому было предложено усовершенствование модели,
основанной на показательной функции ожидаемой полезности, которая должна лучше
описывать поведение банка в условиях риска. В результате, итоговая модель,
действительно, позволяет определять величину максимального лимита кредитовая.
Однако не во всех случаях эта величина близка к размеру выданного банком
кредита. Это говорит о необходимости более глубокого изучения, тестирования и
усовершенствования модели.
Список
использованной литературы
1. Bazzi
M., Hasna C. Rating models and its Applications: Setting Credit Limits // Journal of
Applied Finance & Banking. - Vol.5, no.5, 2015. - p. 201-216
2. Bouteille
S., Coogan-Pushner D. The Handbook of Credit Risk Management: Originating,
Assessing, and Managing Credit Exposures. - Willey Finance, 2013. - 352 p.
. CreditMetricsTM
- TechnicalDocument. - RiskMetricsGroup, Inc., 2007. - 193 p.
4. Ghosh
A. Managing
Risks in Commercial and Retail Banking. - Willey Finance, 2012. - 480 p.
5. Horcher
<http://eu.wiley.com/WileyCDA/Section/id-302479.html?query=Karen+A.+Horcher>
K. A. Essentials of
Financial Risk Management - Willey Finance, 2005. - 257 p.
6. Laycock
M. Risk Management at the
Top: A Guide to Risk and Its Governance in Financial Institutions. - Willey
Finance, 2014. - 336 p.
. Principles
for the Management of Credit Risk // Consultative paper issued by the Basel
Committee on Banking Supervision, 1999.
8. Resti
A., Sironi A. Risk
Management and Shareholders’ Value in Banking: From Risk Measurement Models to
Capital Allocation Policies. - John Wiley & Sons Ltd, 2007. - 782 p.
9. Taylor
J. A Unified Approach to
Credit Limit Setting // The RMA Journal, 2002. - July/August [http://service.
tabf.org. tw/tw/user/RiskMt/RMA/3956. pdf]
10. Thomas
L. C. Credit Scoring and
its Applications / L. C. Thomas, D. B. Edelman, J. N. Crook. - The Society for
Industrial and Applied Mathematics, 2002. - 248 p.
11. Алёхин Е.И. Теория риска и моделирование рисковых ситуаций:
учебно-методическое пособие / Е.И. Алехин - Орел: Издательство ОГУ, 2008. - 152
с.
12. Андрианова Е.П. Современные подходы к управлению кредитным риском в
коммерческом банке // Научный журнал КубГАУ, 20013. - №87 (03). - 26 с.
. Вестник Банка
России, 2007. - №14 (1030) от 28 марта2008 года. - 36 с.
14. Вишневер В.Я.,
Соколов А.А. Управление кредитным
риском как инструмент борьбы с возникновением проблемных активов // Вестник
СГЭУ, 2013. - №3 (101). - С. 20-24.
15. Волошина О.Б. Подходы к определению лимита кредитования // Вестник
ПГУ, 2013. - №4. - С.42-45.
16. Вэриан Х.Р. Микроэкономика. Промежуточный уровень. Современный
подход: Учебник для вузов/Пер, с англ, под ред. НЛ. Фроловой. - М.: ЮНИТИ,
1997. - 767 с.
. Гражданский кодекс
Российской Федерации ст.329 п.1
. Инструкция ЦБ PФ от
13.12.2012 г. №139-И "Об обязательных нормативах банков"
[http://www.cbr.ru/PSystem/P-sys/139-I. pdf]
. Информационно-аналитический
документ Банка России о полноте и степени реализации крупнейшими российскими
кредитными организациями современных рекомендаций международных институтов,
устанавливающих стандарты финансовой деятельности в области корпоративного
управления и систем управления рисками, 2013.
[http://www.cbr.ru/analytics/bank_system/ssurkub. pdf]
20. Кабушкин С.Н. Управление банковским кредитным риском: учеб. пособие
/С.Н. Кабушкин. - 4-е изд., стер. - Минск: Новое знание, 2007. - 336 с.
21. Ковалев П.П. Лимитирование корпоративного кредитования юридических
лиц и некредитных организаций // Управление корпоративными финансами, 2006. -
№02 (14). - С.38-51
22. Коровин Д.И. О нахождении функции полезности в теории
Неймана-Моргенштерна // Вестник ИГЭУ, 2005. - №4. - С.1-5
23. Костюченко Н.С. Анализ кредитных рисков / Н.С. Костюченко. - СПб.: ИТД
"Скифия", 2010. - 440 с.
24. Медведев Г.А. Теория принятия финансовых решений (оптимальные
портфели): учеб. пособие / Г.А. Медведев, - Минск: БГУ, 2014. - 221 с.
25. Нейман Дж. фон,
Моргенштерн О. Теория игр и
экономическое поведение. - М.: Наука, 1970. - 708 с.
26. Петров А.А.,
Помазанов М.В. Кредитный риск
менеджмент, как инструмент борьбы с возникновением проблемной задолженности. //
Банковское кредитование. 2008. № 6.
. Положение ЦБ РФ от
26 марта 2004 г. №254-П "О порядке формирования кредитными организациями
резервов на возможные потери по ссудам, по судной и приравненной к ней
задолженности" [http://www.cbr.ru/PSystem/P-sys/254-P. pdf]
. Рудакова И.Е.
<http://proxylibrary.hse.ru:2120/catalog.php?bookinfo=458727> Антипина
О.Н. <http://proxylibrary.hse.ru:2120/catalog.php?bookinfo=458727>
Вощикова Н. К
<http://proxylibrary.hse.ru:2120/catalog.php?bookinfo=458727>. Экономическая
теория. Вводный курс. Микроэкономика: Уч. / И.Е. Рудакова и др; Под ред. И.Е.
Рудаковой - М.: НИЦ ИНФРА-М, 2014. - 576 с.
. Серенков П.С.
<http://proxylibrary.hse.ru:2120/catalog.php?bookinfo=440747>, Гуревич
В.Л. <http://proxylibrary.hse.ru:2120/catalog.php?bookinfo=440747>,
Романчак В.М. <http://proxylibrary.hse.ru:2120/catalog.php?bookinfo=440747>,
Янушкевич А.В.
<http://proxylibrary.hse.ru:2120/catalog.php?bookinfo=440747>Методы
менеджмента качества. Методология управления риском стандартизации / П.С.
Серенков и др. - М.: НИЦ ИНФРА-М; Мн.: Нов. знание, 2014. - 256 с.
30. Тотьмянина К.М. Обзор моделей вероятности дефолта // Управление
финансовыми рисками, 2011. - №1 (25) - С.12-24
31. Фантаццини Д. Эконометрический анализ финансовых данных в задачах
управления риском. Часть 4: Управлениекредитнымриском //
Прикладнаяэконометрика, 2009. - № 1 (13). - С.105 - 138
32. Фаррахов И.Т. Расчет лимитов межбанковского кредитования: новый
подход // Оперативное управление и стратегический менеджмент в коммерческом
банке, 2001. - №4. - С.8-14
33. Шапкин А.С., Шапкин
В.А. Теория риска и моделирование
рисковых ситуаций. - М.: 2005. - 880 с.
. Энциклопедия
финансового риск-менеджмента // Под ред. канд. экон. наук А.А. Лобанова и А.В.
Чугунова. - М: Альпина Бизнес Букс, 2009. - 487 с.
Приложения
Приложение 1.
Данные по кредитам
|
№
|
Кредитор
|
Рейтинг вер-ти
дефолта кредитора
|
1-Year
Probability of Insolvency
|
Капитал банка.
тыс. руб
|
Коэф. дост-ти
капитала
|
Заемщик
|
Рейтинг вер-ти
дефолта заемщика
|
1-Year
Probability of Insolvency (заемщик)
|
Дата выдачи
кредита
|
Сумма кредита,
тыс. руб
|
|
|
|
|
|
|
|
|
|
|
|
|
1
|
Газпромбанк
|
BBB-
|
0,007
|
363 020 779
|
11,1
|
Роснефть
|
BBB
|
0,007
|
мар.13
|
184 400 000
|
|
2
|
Газпромбанк
|
BBB
|
0,0016
|
138 084 610
|
9,2
|
ОАО
"Мобильные Телесистемы" (МТС)
|
ВВ+
|
0,0125
|
янв.09
|
12 543 960
|
|
3
|
ВТБ
|
BBB
|
0,0016
|
557 521 846
|
13,98
|
ОАО
"Российские железные дороги"
|
BBB
|
0,0016
|
дек.12
|
30 000 000
|
|
4
|
ВТБ
|
BBB-
|
0,007
|
718 154 725
|
10,24
|
ОАО
"МегаФон"
|
BB+
|
0,0125
|
дек.14
|
15 000 000
|
|
5
|
Райффайзен банк
|
BBB+
|
0,0013
|
84 645 735
|
14,15
|
Банк Русский
Стандарт
|
B+
|
0,0614
|
дек.12
|
4 000 000
|
|
6
|
Сбербанк
|
BBB
|
0,0016
|
1 507 470 496
|
12,83
|
Вымпелком
|
ВВ+
|
0,0125
|
дек.11
|
15 000 000
|
|
7
|
Сбербанк
|
BBB
|
0,0016
|
750 119 000
|
20,2
|
Транснефть
|
BBB
|
0,0016
|
июн.09
|
1 431 000
|
|
8
|
Сбербанк
|
BBB
|
0,0016
|
750 119 000
|
20,2
|
"Акрон"
|
B+
|
0,0614
|
апр.09
|
719 000
|
|
9
|
Сбербанк
|
BBB
|
0,0016
|
770 245 000
|
20,2
|
ОАО
"Кокс"
|
B
|
0,0831
|
ноя.09
|
3 000 000
|
|
10
|
Газпромбанк
|
BBB
|
0,0016
|
138 084 610
|
9,2
|
Лукойл
|
BBB-
|
0,007
|
фев.09
|
45 612 300
|
|
11
|
Промсвязьбанк
|
BB-
|
0,0396
|
87 798 972
|
11,01
|
Сибур
|
BB+
|
0,0125
|
сен.14
|
9 473 825
|
|
12
|
Сбербанк
|
BBB
|
0,0016
|
1 225 738 323
|
23,2
|
Новатэк
|
BBB
|
0,0016
|
дек.10
|
15 000 000
|
|
13
|
Сбербанк
|
BBB
|
0,0016
|
750 119 000
|
20,2
|
Северсталь
|
B+
|
0,0614
|
июн.09
|
9 287 520
|
|
14
|
ВТБ
|
BBB-
|
0,007
|
687 828 960
|
10,06
|
ТД
"ТМК"
|
B+
|
0,0614
|
ноя.14
|
6 000 000
|
|
15
|
Промсвязьбанк
|
BB-
|
0,0396
|
90 934 388
|
11,13
|
ОАО"Уралкалий"
|
BBB-
|
авг.14
|
9 023 925
|
|
16
|
ВТБ
|
BBB
|
0,0016
|
469 344 155
|
12,37
|
Алроса
|
BB-
|
0,0396
|
май.12
|
4 593 735
|
|
17
|
Сбербанк
|
BBB
|
0,0016
|
1 464 455 082
|
16,76
|
"ЕвроХим"
|
BB
|
0,0179
|
окт.11
|
20 000 000
|
|
18
|
ВТБ
|
BBB
|
0,0016
|
524 100 000
|
14,4
|
Башнефть
|
BB
|
0,0179
|
май.10
|
16 500 000
|
|
19
|
Россельхозбанк
|
BBB-
|
0,007
|
272 252 244
|
16,26
|
Группа ЛСР
|
B
|
0,0831
|
июн.14
|
6 000 000
|
|
20
|
МДМ Банк
|
B+
|
0,0831
|
34 100 069
|
11,6
|
"Гражданские
самолеты Сухого" ("ГСС")
|
BB-
|
0,0396
|
мар.15
|
3 011 690
|
|
21
|
Альфа Банк
|
BBB-
|
0,007
|
220 143 728
|
12,05
|
"Московская
объединенная электросетевая компания" (МОЭСК)
|
BB
|
0,0179
|
авг.14
|
10 000 000
|
|
22
|
ВТБ
|
BBB-
|
0,007
|
379 664 250
|
10,52
|
"Московская
объединенная электросетевая компания" (МОЭСК)
|
BB
|
0,0179
|
сен.14
|
8 000 000
|
|
23
|
Юникредит банк
|
BBB+
|
0,0013
|
76 276 769
|
15,87
|
Окей
|
B+
|
0,0614
|
ноя.10
|
1 500 000
|
|
24
|
Сбербанк
|
BBB
|
0,0016
|
750 119 000
|
20,2
|
ОАО
"Российские железные дороги"
|
BBB
|
0,0016
|
июн.09
|
10 800 000
|
|
25
|
Связь-Банк
|
BB
|
0,0179
|
267 568 051
|
12,55
|
ООО
"ТрансСервис"
|
|
|
авг.15
|
100 000 000
|
|
26
|
Альфа-Банк
|
BBB-
|
0,007
|
212 181 978
|
12,16
|
ОАО Назаровская
ГРЭС
|
B
|
0,0831
|
июн.14
|
8 000 000 000
|
|
27
|
Абсолют банк
|
B+
|
0,0614
|
24 612 824
|
12,63
|
"Славнефть"
|
|
|
окт.14
|
3 000 000 000
|
|
28
|
ВТБ
|
Ba2
|
0,0179
|
1 105 036 829
|
16,2
|
Х5 Retail Group
|
BB
|
0,0179
|
сен.15
|
24 000 000
|
|
29
|
ВТБ
|
Ba2
|
0,0179
|
994 396 448
|
12,33
|
"Московская
объединенная электросетевая компания" (МОЭСК)
|
BB+
|
0,0125
|
фев.16
|
5 500 000
|
|
30
|
ВТБ
|
Ba2
|
0,0179
|
1 105 036 829
|
16,2
|
Tele2
|
B+
|
0,0614
|
сен.15
|
15 000 000
|
|
31
|
Совкомбанк
|
B+
|
0,0614
|
|
|
Росатом
|
BBB-
|
0,007
|
сен.15
|
8 000 000 000
|
|
32
|
Газпромбанк
|
BB+
|
0,0125
|
636 239 694
|
12,36
|
Роснефть
|
BB+
|
0,0125
|
фев.16
|
37 300 000
|
|
33
|
Газпромбанк
|
BBB-
|
0,007
|
417 234 866
|
11,01
|
Башнефть
|
BB
|
0,0179
|
ноя.14
|
10 000 000
|
|
34
|
Сбербанк
|
BBB-
|
0,007
|
2 204 344 965
|
10,67
|
Федеральная
пассажирская компания
|
BB+
|
0,0125
|
фев.15
|
10 000 000
|
|
35
|
ВТБ
|
BBB
|
0,0016
|
646 849 646
|
13,2
|
Мосэнерго
|
BB+
|
0,0125
|
ноя.13
|
3 750 000
|
|
36
|
ВТБ
|
BB+
|
0,0125
|
539 478 974
|
10,24
|
Транстелеком
|
B+
|
0,0614
|
дек.14
|
3 000 000
|
|
37
|
Сбербанк
|
BBB-
|
0,007
|
2 520 815 372
|
12,67
|
Мираторг
|
B+
|
0,0614
|
июл.15
|
7 600 000
|
|
38
|
Юникредит банк
|
BBB
|
0,0016
|
137 548 110
|
10,78
|
ООО
"Лента"
|
BB-
|
0,0396
|
дек.14
|
11 500 000
|
|
39
|
Росэксимбанк
|
BB
|
0,0179
|
13 989 393
|
58,72
|
ФосАгро
|
BB+
|
0,0125
|
янв.16
|
3 000 000
|
|
40
|
Росбанк
|
BBB+
|
0,0013
|
86 738 746
|
12,91
|
О'кей
|
B+
|
0,0614
|
апр.13
|
3 000 000
|
|
41
|
Газпромбанк
|
BB+
|
0,0125
|
643 826 514
|
12,36
|
Энел Россия
|
BB+
|
0,0125
|
мар.16
|
10 000 000
|
|
42
|
Сбербанк
|
BBB-
|
0,007
|
2 678 956 688
|
11,89
|
Группа ЛСР
|
B
|
0,0831
|
янв.16
|
3 800 000
|
|
43
|
ВТБ
|
BB+
|
0,0125
|
994 396 448
|
12,33
|
Атомэнергопром
|
BBB-
|
0,007
|
фев.16
|
30 000 000
|
|
44
|
Сбербанк
|
BBB
|
0,0016
|
2 170 132 505
|
11,73
|
ГК
"Пионер"
|
B-
|
0,1508
|
ноя.14
|
8 300 000
|
|
45
|
Альфа-Банк
|
BB+
|
0,0125
|
359 641 482
|
15,57
|
Магнит
|
BB+
|
0,0125
|
янв.16
|
4 000 000
|
|
46
|
ВТБ
|
BBB+
|
0,0013
|
486 671 455
|
19,35
|
Мосводоканал
|
BBB-
|
0,007
|
июн.11
|
1 500 000
|