Переход на эффективный контракт
Введение
Оплата труда работников любой сферы всегда порождает массу вопросов и
неоднозначных решений. А если говорить о педагогическом сообществе, то все
усложняется еще больше из-за ограниченности средств и возможности их
перераспределения. Эффективный контракт - это трудовой договор с работником,
который конкретизирует должностные обязанности, условия оплаты труда,
показатели и критерии оценки эффективности деятельности для назначения
стимулирующих выплат в зависимости от результатов труда и качества оказываемых
государственных услуг, а также меры социальной поддержки. По сути, эффективный
контракт это всего лишь метафора, подразумевающая детализированный трудовой
договор.
Предпосылки появления «эффективного контракта» в практике российского
образования берут свое начало с 2008 г. введением новой системы оплаты труда
(НСОТ) работников федеральных, бюджетных учреждений, «принцип оплаты по
заслугам». Данная система имела ряд факторов:
критерии эффективности деятельности работников учреждений недостаточно
проработаны;
применение критериев носит формальный характер ;
одинаковый размер стимулирующих выплат.
В 2012г. на смену НСОТ пришел эффективный контракт - обеспечение
соответствия оплаты труда работников качеству оказания им государственных услуг
(выполненных работ) (Программа поэтапного совершенствования системы оплаты
труда в государственных (муниципальных) учреждениях на 2012-2018 годы).
Идеологическим основанием эффективного контракта выступает доклад
общественной палаты российской Федерации: «Образование и общество: готова ли
Россия инвестировать в свое будущее?». В нем отмечается: «Необходимо от модели
преподавателя-почасовика перейти к модели преподавателя полного дня». Это
значит, что школа, техникум, университет платят преподавателю столько, чтобы он
нигде больше не подрабатывал. Зарплаты должно хватать на жизнь,
профессиональное развитие, содержание семьи. Как мы видим, в данном подходе
акцент сделан на создание условий, позволяющих педагогу сконцентрироваться на
основной деятельности в образовательной организации.[11]
Научный интерес данной работы заключатся в исследовании перехода на
эффективный контракт профессиональных образовательных организаций Московской
области. Поэтому были выявлены объект и предмет исследования, сформулированы
гипотеза и цель исследования, а также определены задачи.
Цель исследования: сравнить условия труда, размер заработной платы и
результаты труда педагогических работников образовательных организаций, которые
перешли на эффективный контракт с аналогичными показателями педагогических
работников, которым предстоит переход на эффективный контракт.
Объект исследования: педагогические работники организаций среднего
профессионального образования Московской области.
Предмет исследования: условия труда, размер заработной платы и результаты
труда педагогических работников образовательных организаций среднего
профессионального образования Московской области.
Исследовательский вопрос:
Какие эффекты можно выделить в работе педагогических работников
профессиональных образовательных организаций Московской области при переходе на
эффективный контракт?
Гипотеза, которую планируется проверить в ходе исследования, является
предположение, что при переходе на эффективный контракт организаций среднего
профессионального образования происходит повышение эффективности работы
преподавателей.
Задачи исследования
. Провести социологический опрос педагогических работников
учреждений СПО Московской области.
. Проанализировать результаты исследования, показать эффекты
введения эффективного контракта.
. Разработать рекомендации для организаций СПО Московской области
по совершенствованию механизмов эффективного контракта.
1. Глава. Проблемы перехода на эффективный контракт образовательных
организаций
Первая глава посвящена обзору литературы. Обзор литературы не
пересказывает, кто что сказал, а рисует целостную картину исследовательского
поля, рассказывает историю, дает оценку состоянию вопроса.
1.1 Нормативно-правовая база
Введение эффективного контракта предусматривает повышения оплаты труда с
достижением конкретных показателей качества оказываемых государственных
(муниципальных) услуг на основе:
· введения взаимоувязанной системы отраслевых показателей
эффективности;
· установления соответствующих показателям эффективности
стимулирующих выплат, критериев и условий их назначения с отражением в
примерных положениях об оплате труда работников учреждений, коллективных
договорах, трудовых договорах;
· отмены неэффективных стимулирующих выплат;
· использования при оценке достижения конкретных показателей
качества и количества оказываемых государственных (муниципальных) услуг
(выполнения работ) независимой системы оценки качества работы учреждений,
включающей кроме критериев эффективности их работы и введение публичных
рейтингов их деятельности.
Нормативная база эффективного контракта в сфере образования определена
следующими правовыми документами:
1. Указом
Президента РФ от 7 мая 2012 г. № 597 «О мероприятиях по реализации
государственной социальной политики»;[1]
. Указом
Президента РФ от 07.05.2012 № 596 О долгосрочной государственной экономической
политике; [2]
.
Государственной программой Российской Федерации «Развитие образования» на
2013-2020 годы, утвержденной распоряжением Правительства РФ от 15.05.2013 г. №
792-р;[3]
.
Программой поэтапного совершенствования системы оплаты труда в государственных
(муниципальных) учреждениях на 2012 - 2018 годы, утв. распоряжением
Правительства РФ от 26.11. 2012 г. № 2190-р;[4]
.
Приказом Минтруда России №167н от 26 апреля 2013 г. «Об утверждении
рекомендаций по оформлению трудовых отношений с работником государственного
(муниципального) учреждения при введении эффективного контракта»;[5]
.
Письмом Минобрнауки России от 12 сентября 2013 года № НТ-883/17 «О реализации
части 11 статьи 108 Федерального закона от 29 декабря 2012 г. № 273-ФЗ «Об
образовании в Российской Федерации»»;[6]
.
Показателями эффективности деятельности подведомственных государственных,
муниципальных учреждений образования, утвержденными органами местного
самоуправления;
.
Распоряжением от 29 декабря 2014 года №2765-р «Об утверждении концепции ФЦП
развития образования на 2016-2020 годы». [9]
Государственная
политика в этом направлении преследует три основных цели:
Ø общее повышение уровня оплаты труда педагога;
Ø достижение более четкого нормирования педагогической
деятельности;
Ø изменение принципов распределения получаемых средств,
увеличение заработной платы педагогов, работающих наиболее эффективно.[7]
педагогический эффект
контракт образовательный
1.2 Концептуальные основы эффективного контракта
Ректор
ФГАОУ ВПО НИУ ВШЭ Я.И. Кузьминов в своей статье «Академическое сообщество и
академические контракты вызовы и ответы последнего времени» выдвигает гипотезу:
экономическая устойчивость университета в 10-20-х годах ХХI века будет
требовать, чтобы уровень денежных вознаграждений (включая зарплату и
дополнительные вознаграждения) находился на конкурентном уровне с остальными
рынками труда креативных профессионалов. [23] Данную гипотезу можно
рассматривать и в отношении преподавателей профессиональных образовательных
организаций среднего профессионального образования и попытаться доказать или
опровергнуть ее в ходе проведения исследования.
В
докладе Общественной Палаты РФ «Образование и общество: готова ли Россия
инвестировать в свое будущее?» отмечается следующее: ключевое звено
образовательной системы - учитель, мастер производственного обучения, профессор
университета. Реформа образования пока промахивается мимо ключевой задачи -
разбудить активность массового учителя, преподавателя, включить его в процесс
модернизации образования не в качестве страдательного элемента, а как главное
действующее лицо, чтобы он не ожидал: «А что еще придумают, какого рода форму и
как я к этой форме буду адаптироваться», - чтобы он реально сам чувствовал себя
главным действующим лицом. Для этого нужно последовательно формировать
эффективный контракт общества с преподавателем. Контракт, который гарантировал
бы интересы общества в системе образования. А это невозможно, не учитывая
интересов преподавателей. [18]
Необходимо
от той модели, с которой мы сейчас молчаливо миримся, - от модели
преподавателя-почасовика - перейти к модели преподавателя полного дня. Это
значит, что школа, техникум, университет должны платить преподавателю столько,
чтобы он мог нигде больше не подрабатывать. Основной зарплаты должно хватать на
жизнь, на профессиональное развитие, на содержание семьи. [18] Как повышение
заработной платы педагогов будет влиять на дополнительную подработку или
репетиторство? Этот факт необходимо проверить в ходе исследования.
В
статье П.В. Деркачева и М.А. Пинской «Внедрение эффективного контракта.
Состоявшиеся и нереализованные ожидания», написанной по итогам обследования
представителей общего образования рассказывается о важности проводимых реформ
для образования и промежуточных итогах директивного повышения заработной платы.
В
подходах, предлагаемых ведущими мировыми экспертными организациями (например,
McKinsey & Company), эффективный контракт создает следующие эффекты:
привлекает наиболее квалифицированные педагогические кадры в школу и
обеспечивает дальнейший профессиональный рост действующих учителей. Для
российского образования существуют дополнительные акценты: эффективный контракт
должен сделать профессию учителя конкурентоспособной, причем настолько, чтобы в
школу пришли молодые педагоги, обладающие базовыми компетенциями, отвечающие
требованиям современной организации учебного процесса и готовые к активному
развитию и инновациям. Одна из главных идей, заложенных в концепцию
эффективного контракта, - предоставление учителю заработной платы, позволяющей
сосредоточиться на обязанностях по своему основному месту работы, отказавшись
от совместительства на стороне. В 2013/14 учебном году директора оценивают этот
уровень в 48,9 тысячи рублей, а на год раньше - в 40,2 тысячи рублей.
Руководителям
образовательных учреждений также задавали вопрос, какой размер заработной платы
способствовал бы привлечению в школу преподавателя «своей мечты». Ответ был:
67,5 тысячи рублей, на год раньше - 56,2 тысячи рублей. В то же время средний
размер фактической заработной платы педагогов по своему учреждению директора
школ оценили в 35,4 тысячи рублей, в предыдущем году - 26,1 тысячи рублей.
Таким образом, эти ответы подтверждают тенденции роста заработной платы
учителей за прошедший период. Один из значимых механизмов привлечения молодых
специалистов - повышение им заработной платы. Так, размер зарплаты учителей,
проработавших не более 3 лет после окончания вуза, составляет 28,9 тысячи
рублей, в предыдущем году - 17,3 тысячи рублей. Для привлечения молодых
учителей необходимым уровнем директора школ считают 38,1 тысячи рублей, в
предыдущем году - 32,3 тысячи рублей.
Проведенный
анализ позволяет сделать следующие выводы. Первый касается эффективности
контракта для привлечения педагогических кадров. Мнение директоров и учителей о
размере заработных плат в целом улучшается. Постепенно уменьшается разрыв между
фактической заработной платой педагогов и ее ожидаемым уровнем.
Рост
заработной платы сопровождается в значительном числе школ увеличением нагрузки
и наполняемости классов. Это ухудшает условия работы, поэтому не соответствует
самой идеологии эффективного контракта. Второй вывод подытоживает анализ
эффективности контракта для управления качеством труда действующих учителей. К
сожалению, приведенные данные свидетельствуют о том, что механизмы,
направленные на решение этой задачи, либо не запущены, либо их работа не
согласована с другими элементами системы управления. [11]
Высшая
школа экономики по поручению Правительства Российской Федерации проводит мониторинг
введения эффективного контракта в системе среднего профессионального
образования в субъектах Российской Федерации. Промежуточные результаты
мониторинга представленные в 2013г. П. В. Деркачевым, Ф. Ф. Дудыревым, Е. А.
Князевым показывают, что как и в общем образовании, повышение заработной платы
педагогов профессиональных образовательных организаций СПО происходит из-за
увеличения нагрузки, а не пересмотра квалификационных требований к работникам.
Как
свидетельствуют данные Росстата, численность обучающихся по программам НПО и
СПО в течение 2010 - 2012 годов остается стабильной.
При
этом наблюдается довольно значительное падение численности всех категорий
педагогических работников - преподавателей, мастеров производственного
обучения, воспитателей. Вероятно, одна из главных причин этого состоит в
следующем: обеспечивая выполнение указа Президента Российской Федерации от 7
мая 2012 года № 597 «О мероприятиях по реализации государственной социальной
политики», директора профессиональных образовательных организаций
перераспределяют нагрузку внутри педагогических коллективов, что ведет к
увеличению интенсивности труда у одной части штатных преподавателей и
высвобождению другой части сотрудников. Таким образом, повышение заработной
платы пока не сопровождается пересмотром квалификационных требований к
работникам, а обеспечивается за счет повышения интенсивности педагогического
труда в системе СПО.[12]
В апреле-июне 2014 года сотрудники НИУ ВШЭ А.Р. Андреева,
С.А. Попова, Н.В. Родина провели исследование, посвящённое изучению
особенностей перехода на принципы эффективного контракта в образовательных
организациях среднего профессионального образования. Проанализирована и
обобщена практика внедрения эффективного контракта с педагогическими
работниками в образовательных организациях СПО субъектов РФ, выявлены
преимущества и основные проблемы его реализации.
В
результате проведённого исследования были выявлены барьеры как
организационного, так и содержательного характера, которые не позволяют на
данном этапе внедрения эффективного контракта обеспечить его полноценное
влияние на повышение качества труда работников образовательных организаций СПО.
Отчасти это может быть связано с искусственным форсированием перехода на
эффективный контракт, который в соответствии с Программой поэтапного
совершенствования оплаты труда должен быть введён до 2018 года. Начатый в 2013
году переход на эффективный контракт обеспечил организационные процедуры, но не
содержательный характер изменений: за довольно короткие сроки в большинстве образовательных
организаций СПО были заключены дополнительные соглашения к трудовым договорам с
уже работающими педагогическими работниками и трудовые договоры по новой форме
с вновь нанятыми сотрудниками. Использование механизмов жёсткой регламентации
внедрения эффективного контракта со стороны учредителя, также как и хаотичный
поиск способов решения этой задачи самими образовательными организациями, в
реальной практике не приводят к оптимальным результатам. Образовательным
организациям необходимо методологическое и нормативно-методическое
сопровождение дальнейшего внедрения принципов эффективного контракта.[17]
Профессор ФГАОУ ВПО НИУ ВШЭ-СПБ Н.А. Заиченко в своем докладе на тему
«Проблема реалистичности целей «эффективного контракта» в общем образовании» раскрывает
ряд важных аспектов, которые будут рассматриваться в моем исследовании.
В
большинстве случаев на сегодня мы можем отнести связку «трудовой договор -
качество образования» к эффекту так называемых институциональных ловушек, т.е.
неэффективных устойчивых самоподдерживающихся норм. В случае с трудовым
договором - эффективным контрактом есть опасность того, что модель
квази-эффективного поведения в системе образования, формируемая в настоящее
время, становится той самой ловушкой, выход из которой потребует запредельных
издержек не столько материального, сколько и гуманитарного (ценностного)
характера и более длинной «дорожной карты», чем вход в формат взаимоотношений
«трудовой договор - качество образования». [10]
Реалистичность
целей эффективного контракта может быть подвергнута сомнению. Очевидный эффект
состоит в следующем - в реальной действительности мы имеем дело с имитацией
эффективности эффективного контракта. Из множества выделим только семь
аргументов не реалистичности целей.
1. Смысловая (методологическая) размытость. С точки зрения
нормативного подхода, введение нового словосочетания «эффективный контракт»
смысла не имеет, так как ничем, по сути, не отличается от понятия «трудовой
договор». Так же как ЕГЭ не может дать объективно качественную характеристику
выпускника, так и эффективный контракт сегодня является механизмом «улучшающего
отбора, ухудшающего образование». Контракт в реальной действительности не
эффективный, а стимулирующий.
. Транзакционные издержки и доверие. Образовательные услуги, как и
иные в отраслях социальной сферы, относятся к доверительным благам. Если это
так, то базовым фактором модели оплаты труда в образовании выступает доверие.
Эффективным будет контракт, построенный на доверии, имеющий высокую долю
гарантированной оплаты (до 85%), что существенно уменьшает стимулы
производителей услуг к имитационной эффективности и увеличивает степень их
ответственности, оправдывающей доверие к ним со стороны общества и государства.
. Информационная асимметрия. При кажущемся обилии информационных
потоков достоверной аналитической информации о качестве образовательных услуг
недостаточно. Производители некачественных образовательных продуктов и услуг
будут получать такие же высокие ставки оплаты, как и те, кто делает свою работу
«на совесть». Выигрывать будут имитаторы, владеющие реальной информацией о
реальном качестве услуги.
. Бюрократическая ориентация на эффективность. Бюрократическая
ориентация на применение показателей эффективности, рекомендованных «сверху»,
создает с одной стороны, иллюзию достижения определенного уровня эффективности,
с другой - имитирует прозрачность распределения ресурсов (дополнительно
выделенных средств на оплату труда). Руководители образовательных организаций
не вступают в борьбу с ветряными мельницами - запредельно велики транзакционные
издержки, дешевле адаптировать ситуацию «под себя» в целях защиты от
бюрократического давления: когда внедрение или иллюзия внедрения эффективного
контракта помогает ослабить давление извне (от районных или городских властей)
и даже получить дополнительный бонус на перспективу.
. Эффект плацебо. Реальное действие эффективного контракта можно
сравнить с эффектом плацебо, когда вещество без явных лечебных свойств
используется в качестве лекарственного средства, лечебный эффект которого
связан с верой пациента в действенность препарата. В нашем случае это звучит
примерно так, «если нам за качество образовательной услуги увеличили заработную
плату, значит, мы действительно это качество повысили».
. Институциональная пробка. Можно зафиксировать отрыв идеи и
практики внедрения «эффективного контракта» от ключевых идей «новых систем
оплаты труда» в регионах, что порождает новые противоречия и квази- эффекты. С
введением с 2012 года эффективного контракта нормативно были практически уничтожены
ранее существующие институты оплаты труда, но сформировавшаяся культура,
заложенная в работающие модели оплаты, «конфликтует» с новыми правилами. В
результате - выигрывают те, кто не формировал свои модели оплаты и не имел
правил, которые необходимо изменять с «приходом» эффективного контракта.
Одновременно, переизбыток новых норм в системах оплаты не позволяет хорошо
работать ни старой, ни новым нормам.
7. Институциональная
ловушка. К институциональным ловушкам мы относим неэффективные устойчивые самоподдерживающиеся
нормы. Образование, как мериторное благо, «зависимо» от государства, так как
(по Р. Масгрейву) спрос на образование со стороны частных лиц отстает от
желаемого обществом, потому стимулируется государством. Одновременно,
держателями этого блага являются конкретные люди, в нашем случае - педагоги,
чрезвычайно адаптивные к изменениям, так как реформирование и модернизация -
перманентное состояние системы. Политика государства в среднесрочной
перспективе (до 2018 года) зафиксирована индикаторами дорожной карты и связана
с «эффективным контрактом». Имитационная модель квази-эффективного поведения, с
реактивной скоростью формируемая в настоящее время, станет той нормой поведения
(ловушкой), выход из которой потребует гораздо больших издержек материального и
гуманитарного характера и более длинной «дорожной карты», чем вход в формат
взаимоотношений под именем «эффективный контракт». [10]
Причины
отдельных неудач представляется возможным разделить на две группы -
технического и философского порядка. К техническим просчетам отнесем отсутствие
необходимых в полном объеме ресурсов (надбавка должна дополнять норму, а не
дотягивать до нее). Низкий стимулирующий фонд позволяет увеличить выплаты на
3-4 процента. Психологи утверждают, что работником воспринимается надбавка как
значимая, начиная с уровня в тридцать процентов. Дополнительно осложнило
деятельность руководителей школ вышестоящее решение о снижении квот на
поощрение учителей. Артист получает звание «заслуженного» после съемок в двух -
трех сериалах. Педагогу для получения министерской грамоты нужно хорошо
отработать в школе лет сто (квота - одна награда в год на сто сотрудников).[13]
К
причинам философского порядка следует отнести коллективный характер
педагогической деятельности. Школа - «командная игра». Конкурентные отношения в
команде не способствуют успеху.
У К.М. Ушакова встречаем: «Нигде в мире система оплаты, направленная на
поощрение конкуренции среди педагогов, не нашла приверженцев и не прижилась.
Такие отношения входят в противоречие с философией профессии, основа этой
философии - коллективный успех».[22] Педагогический труд, безусловно, является
творческим. Критерии эффективности творческого труда в принципе не могут быть
разработаны, так как он не нормируется по своей природе. Соответственно,
попытки вписать в эффективный контракт все многочисленные детали педагогической
деятельности заранее обречены на неудачу. И, наконец, самый очевидный аргумент.
Для настоящих профессионалов материальная составляющая мотивации труда является
далеко не единственной, а часто и не основной. Иначе говоря: «Не в деньгах
счастье!».[12]
Выводы по главе 1
Эффективный контракт, призванный обеспечить общественный договор между
обществом и педагогами, превращается в очередную институциональную ловушку по
причине директивного введения сверху без реального обоснования и потребности
педагогического сообщества. Возрастающие транзакционные издержки и потеря
доверия приводит к имитации эффективности, а также всеобщее желание отчитаться
об успешной работе еще больше загоняет ситуацию в тупик. Дефицит средств вообще
ставит под угрозу реализацию намеченных планов.
Исходя из вышеизложенного, считаю актуальным проведение исследования
перехода на эффективный контракт организаций среднего профессионального
образования Московской области для выявления эффектов данного перехода и поиска
возможных решений и рекомендаций.
2. Глава. Обоснование методологии и этапов исследования
Вторая глава посвящена обоснованию методологии и процесса исследования.
Что конкретно было сделано, где и какие данные добыты. Показаны этапы
исследования.
2.1 Дизайн исследования
Обоснование возникновения исследовательского вопроса и его актуальность.
Переход на эффективный контракт продолжается и в настоящее время во всей
бюджетной сфере и в образовании в частности проводимые исследования показывают,
что существует ряд как положительных, так и отрицательных моментов. Из
положительных моментов можно отметить повышение заработной платы и как
следствие повышение престижа работы педагога, оплаты дополнительного труда и
вклада в развитие образовательной организации. Насколько здесь конкретная
заслуга эффективного контракта это еще, конечно, нужно установить, так как на
данный момент, на эффективный контракт перешли не все образовательные
организации. Сложившаяся уникальная ситуация в Московской области в сфере
профессионального образования позволяет нам исследовать две группы организаций,
которые перешли на эффективный контракт и которым предстоит переход на
эффективный контракт.
Поле исследования это образовательные организации среднего
профессионального образования Московской области подведомственные Министерству
образования Московской области. Генеральная совокупность включает 83
организации СПО, которые были разбиты на кластеры по следующим критериям:
) Территориальный:
Ø тип населенного пункта (город/село);
Ø население муниципального района;
Ø бюджетные доходы муниципального района;
Ø расстояние от Москвы;
) Критерий масштаба:
Ø среднегодовая численность студентов;
Ø проектная мощность учебно-лабораторных зданий образовательной
организации;
) Организационный:
Ø было ли учреждение укрупнено в ближайшем времени;
Ø расстояние между зданиями учреждения;
Ø доля педагогов, с которыми заключен эффективный контракт;
) Финансовый:
Ø объем финансирования;
Ø доля внебюджетных средств;
Ø размер фонда оплаты труда;
Ø доля фонда стимулирующих выплат от общего фонда оплаты труда;
Ø средняя заработная плата АУП;
Ø средняя заработная плата педагогов и мастеров
производственного обучения;
) Отраслевой:
Ø профили подготовки (отрасль);
Ø количество обучающихся по образовательным программам
подготовки квалифицированных рабочих и служащих.
Так как генеральная совокупность неоднородная, то выборка производилась
при помощи кластерного анализа, при которой генеральная совокупность
разбивается на кластеры. Сбор необходимых данных для определения выборки,
осуществлялся через региональную систему электронного мониторинга (РСЭМ)
профессионального образования Московской области.
Кластерный анализ - это обобщенное название достаточно большого набора
алгоритмов, используемых при многомерной классификации данных. Кластерный
анализ используют для группирования (классификации) объектов в относительно
однородные группы. Образование кластеров зависит от имеющихся данных, а не
определяется заранее. В нашем случае мы проводили иерархический кластерный
анализ - метод древовидной кластеризации используемый при формировании
кластеров несходства или расстояния между объектами. Эти расстояния могут
определяться в одномерном или многомерном пространстве.
Выделение и описание основных концептов, которые входят в
исследовательский вопрос
Появляются ли эффекты в работе педагогических работников профессиональных
образовательных организаций Московской области при переходе на эффективный
контракт?
Выделение основных концептов необходимо для определения вектора развития
дальнейшего хода исследования предполагает оттолкнуться от определения
эффективности. Эффективность - продуктивность использования ресурсов в
достижении какой-либо цели. В нашем случае интерес вызывает заработная плата и
условия труда со стороны оценки педагогических работников, индикаторами могут
являться разрывы между желаемой и реальной заработной платой, наличие
дополнительного заработка, готовностью выполнять дополнительную работу и другие.
Второй составляющей определения эффектов - доверие, индикаторами которого могут
являться отсутствие желания уходить на другую работу, доверие к механизмам
распределения фонда оплаты труда (ФОТ).
Концепты:
Ø удовлетворенность заработной платой;
Ø удовлетворенность условиями труда;
Ø доверие к системе оплаты труда (СОТ).
2.2 Используемый метод сбора данных. Обоснование выбора метода
В исследовании перехода на эффективный контракт организаций среднего
профессионального образования Московской области используются несколько методов
сбора данных формализованный анкетный опрос и имеющиеся статистические данные
мониторинга Министерства образования Московской области. Статистические данные
мониторинга необходимы на первом этапе для проведения иерархического кластерного
анализа и определения выборки. Анкетный опрос необходим для получения
информации непосредственно от педагогических работников и является наиболее
оптимальным сбором данных в данной ситуации, так как выборка составляет не
менее восьми образовательных организаций в среднем по 30 респондентов в каждой.
Анкета была разработана группой директоров обучающихся на магистерской
программе «Управление образованием» под руководством Пименова А.Ю. и Деркачева
П.В., затем переработана совместно с научным руководителем Деркачевым П.В. для
нашего исследования. Анкетный опрос проводился на компьютере в электронной
анкете, сделанной в google-форме, а
также на бумажном носителе в зависимости от технологических возможностей
образовательной организации. И в том и в другом случае, заполнение анкет
контролировалось. Вначале предполагалось заполнять только электронную анкету,
так как данные автоматически собирались в один файл, что упрощало обработку
результатов, но в процессе выяснилось, что могут возникать разного рода трудности,
такие как отсутствия интернета, не высокая компьютерная грамотность у
респондентов, а также возможное оппортунистическое поведение респондентов.
Благодаря личному присутствию при анкетировании удалось минимизировать
возможные риски.
Формулировка индикаторов, с помощью которых планируется «измерять»
концепты
Основные индикаторы статистических данных мониторинга министерства
образования Московской области:
Ø удаленность от Москвы;
Ø доля студентов, обучающихся по программам подготовки
квалифицированных рабочих;
Ø число работников в расчете на одного студента;
Ø число штатных преподавателей в расчете на одного студента;
Ø число штатных мастеров производственного обучения в расчете
на одного студента;
Ø средняя численность преподавателей и мастеров производственного
обучения списочного состава;
Ø размер средней заработной платы преподавателей и мастеров
производственного обучения профессиональной образовательной организации (в
расчете на одного чел.; руб.);
Ø процент трудоустройства в первый год после выпуска по
полученной профессии или направлению подготовки от общего количества
выпускников;
Ø количество заключенных договоров контрактно-целевого
обучения.
Основные индикаторы формализованного анкетного опроса
Ø Улучшилось ли Ваше материальное положение за последний год?
Ø Есть ли у Вас необходимость искать дополнительный заработок?
Ø Позволило ли Вам введение эффективного контракта уделять
больше времени семье?
Ø Считаете ли Вы, что оплата Вашего труда в настоящее время
соответствует затраченным Вами интеллектуальным и физическим усилиям?
Ø Укажите размер Вашего желаемого уровня заработка (в месяц).
Ø Укажите размер Вашего реального уровня заработка (в месяц).
Ø Какие виды работ Вы готовы выполнять для увеличения своей
заработной платы?
2.3 Обработка анкетных данных
Для обработки результатов анкетирования и проведения анализа данных
использовался программный комплекс SPSS. Использование методов статистического анализа теста
Колмогорова-Смирнова, метода t-средних
позволило подтвердить правильность и надежность построения выборки, доказать
или опровергнуть выдвигаемые гипотезы. С помощью описательной статистики были
построены диаграммы и таблицы, иллюстрирующие динамику и параметры ответов на
каждый вопрос.
Для определения статистической значимости различий средних величин
используется t -критерий Стьюдента. Может применяться как в случаях сравнения
независимых выборок, так и при сравнении связанных совокупностей. Данный метод
использовался для количественных переменных.
Критерий Колмогорова - Смирнова - это непараметрическая альтернатива
t-критерию для независимых выборок. Данный критерий используется в случае,
когда переменные выражены в порядковой шкале.
Также одним из немаловажных методов анализа полученных переменных
исследования, является определение коэффициента корреляции. Корреляция или
корреляционная зависимость - статистическая взаимосвязь двух или более
случайных величин (либо величин, которые можно с некоторой допустимой степенью
точности считать таковыми). Метод вычисления коэффициента корреляции зависит от
вида шкалы, к которой относятся переменные. Так, для измерения переменных с
интервальной и количественной шкалами необходимо использовать коэффициент
корреляции Пирсона (корреляция моментов произведений). Если, по меньшей мере,
одна из двух переменных имеет порядковую шкалу, либо не является нормально
распределённой, необходимо использовать ранговую корреляцию Спирмена.
Перевод в порядковую или номинальную шкалу в зависимости от установленных
показателей. Например, вопрос о стаже в должности предусматривал интервальные
ответы на вопросы «менее 3 лет», «от 3 до 5 лет»,… «25 лет и более». Ответ на
этот вопрос необходимо было перевести в порядковую шкалу от 1 до 6 по
возрастанию для удобства обработки программным комплексом SPSS. Вопросы, которые содержали ответы -
«да», «скорее да, чем нет», «скорее нет, чем да», «нет», также были переведены
в порядковую шкалу, где 1 - «нет», 2 - «скорее нет, чем да», 3 - «скорее да,
чем нет», 4 - «да».
В
ответах, на вопросы содержащих количественное и интервальное значение было
принято среднее между двух чисел для анализа в программном комплексе SPSS.
Например, в вопросе о возрасте для интервала «25 и моложе» вторым граничным
возрастом был средний возраст выпускников педагогических ВУЗов (22 г.). Для
интервала «60 и старше» вторыми граничным возрастом была средняя
продолжительность жизни жителей Московской области 70,78 лет данные на основе
2013 г. прогноз на 2015 (<#"894937.files/image001.gif">
Рис. 1
Рис. 2
Статистическая выборка проводилась с целью определения образовательных
организаций СПО Московской области для участия в проведении исследования.
Выборку можно считать репрезентативной, так как она представляет собой
уменьшенную копию генеральной совокупности. Отбор из каждого кластера
проводился случайным образом, и каждая организация имела шанс оказаться в
статистической выборке, поэтому выборка считается случайной и имеет не малую
степень репрезентативности.
Характеристика кластеров, приведенная в таблице 1, показывает нам
отличия, которые имеются между кластерами и основные критерии, по которым
проводился кластерный анализ. На рисунке 3 изображена диаграмма графическое
отображение получившегося распределения.
Рис. 3
Таблица 1. Характеристика кластеров
|
№ кластера
|
Удаленность от Москвы
|
Доля студентов, обучающихся по программам подготовки
квалифицированных рабочих
|
Число педагогических работников в расчете на одного
студента
|
Размер средней заработной платы преподавателей и мастеров
п/о
|
Описание кластера
|
|
1 кластер
|
82
|
89
|
12
|
36
|
НПО - в кластере сосредоточены организации в которых
преобладает подготовка квалифицир-х рабочих и служащих (бывшие профессии
НПО).
|
|
2 кластер
|
49
|
38
|
17
|
50
|
Премиум - кластер в котором в основном сосредоточены
организации на базе которых организованы ресурсные центры с дополнительным
финансированием на МТБ и сетевое взаимодействие по профильному направлению
|
|
3 кластер
|
121
|
12
|
13
|
38
|
Переферийный - кластер в котором собраны организации
основной деятельностью на протяжении долгого времени ведется подготовка
специалистов среднего звена истинные представители системы СПО.
|
|
4 кластер
|
71
|
11
|
22
|
38
|
Смешанный - кластер очень похожий на третий но высокое
число пед. Работников на одного студента, его сильно отличает возможно из-за
более высокого количества заочников в ПОО. Также просматривается зависимость
числа пед. работников от удаленности от Москвы
|
Внутри каждого кластера все образовательные организации были разделены на
контрольную группу, в которой эффективный контракт (далее ЭК) еще не введен и
экспериментальную образовательные организации, которые перешли на ЭК. Из
каждого кластера случайным образом было выбрано как минимум две образовательные
организации, представители контрольной и экспериментальной группы. (Табл. 2.) -
зеленым цветом выделены организации, в которых было проведено анкетирование.
Принадлежность к кластерам Таблица 2
|
Наблюдение
|
Введен ЭК? 1-да, 0-нет
|
№ кластера
|
Наблюдение
|
Введен ЭК? 1-да, 0-нет
|
№ кластера
|
|
1:ГБОУ СПО «Балашихинский индустриально-технологический
техникум»
|
1
|
1
|
6:ГБОУ СПО МО «Воскресенский колледж»
|
0
|
4
|
|
7:ГБОУ СПО МО «Воскресенский промышленно-экономический
техникум»
|
1
|
1
|
8:ГАОУ СПО МО «Колледж Угреша»
|
1
|
4
|
|
11:ГБПОУ МО «Индустриально-промышленный техникум»
|
1
|
1
|
10:ГБОУ СПО МО Дмитровский государственный политехнический
колледж
|
0
|
4
|
|
14:ГБОУ СПО «Московский областной аграрно-технологический
техникум»
|
0
|
1
|
18:ГБОУ СПО МО «Московский гидрометеорологический техникум»
|
1
|
4
|
|
15:ГБОУ НПО МО ПЛ № 96
|
0
|
1
|
20:ГБОУ СПО МО «Жуковский авиационный техникум имени
В.А.Казакова»
|
1
|
4
|
|
19:ГБПОУ МО « Жуковский индустриально-экономический
техникум»
|
0
|
1
|
23:ГБОУ СПО Истринский профессиональный колледж МО
|
1
|
4
|
|
22:ГБОУ НПО МО ПУ № 130
|
1
|
1
|
25:ГБОУ СПО «Клинский промышленно-экономический техникум»
|
0
|
4
|
|
24:ГБПОУ «Клинский техникум пищевой и перерабатывающей
промышленнос
|
0
|
1
|
27:ГБОУ СПО МО «Клинский колледж»
|
0
|
4
|
|
28:ГБОУ НПО МО ПУ № 6
|
0
|
1
|
31:ГБОУ СПО «Коломенский политехнический колледж»
|
0
|
4
|
|
29:ГБОУ НПО МО ПУ № 17
|
0
|
1
|
34:ГБОУ СПО МО «Котельниковский промышленно-экономический
техникум»
|
1
|
4
|
|
32:ГБОУ НПО МО ПУ № 30
|
0
|
1
|
36:ГБОУ СПО МО «Лобненский техникум строительной индустрии
и предпр
|
0
|
4
|
|
39:ГБОУ СПО МО "Люберецкий политехнический техникум
имени Ю.А.Гагар
|
1
|
1
|
37:ГБОУ СПО МО «Луховицкий авиационный техникум»
|
0
|
4
|
|
41:ГБПОУ МО «Можайский многопрофильный техникум»
|
1
|
1
|
40:ГБОУ СПО «Московский областной техникум отраслевых
технологий»
|
1
|
4
|
|
46:ГБПОУ МО «Промышленно-экономический техникум»
|
1
|
1
|
43:ГБОУ СПО МО «Мытищинский машиностроительный колледж»
|
1
|
4
|
|
47:ГБПОУ МО «Социально-технологический техникум»
|
|
1
|
49:ГБОУ СПО «Орехово-Зуевский промышленно-экономический
колледж им.
|
1
|
4
|
|
48:ГБОУ СПО МО "Московский областной железнодорожный
индустриальный
|
1
|
1
|
53:ГБОУ СПО МО «Московский областной колледж информационных
технологий
|
1
|
4
|
|
52:ГБОУ СПО МО «Ликино-Дулёвский индустриальный техникум»
|
0
|
1
|
58:ГБОУ СПО МО «Правдинский лесо-технический техникум»
|
0
|
4
|
|
57:ГБПОУ МО « Подольский промышленно-экономический техникум
имени А
|
|
1
|
61:ГБОУ СПО МО "Раменский политехнический
техникум"
|
1
|
4
|
|
62:ГБОУ НПО МО ПУ № 13
|
0
|
1
|
63:ГБОУ СПО «Подмосковный колледж «Энергия»»
|
0
|
4
|
|
72:ГАОУ СПО Московской области «Губернский профессиональной
колледж
|
0
|
1
|
66:ГБОУ СПО МО «Всероссийский аграрный колледж заочного
образования
|
0
|
4
|
|
73:ГБОУ НПО МО ПЛ № 136
|
0
|
1
|
69:ГБОУ СПО МО «Московский областной гуманитарный колледж»
|
1
|
4
|
|
76:ГБОУ СПО МО «Химкинский техникум межотраслевого
взаимодействия»
|
1
|
1
|
70:ГБОУ СПО «Серпуховский машиностроительный техникум
Московской об
|
1
|
4
|
|
77:ГБОУ НПО МО ПУ № 56
|
1
|
1
|
75:ГБОУ СПО МО «Ступинский авиационно-металлургический
техникум им.
|
1
|
4
|
|
79:ГБОУ НПО ПУ №32
|
0
|
1
|
83:ГБОУ СПО МО «Электростальский колледж»
|
0
|
4
|
|
82:ГБПОУ МО Элекстростальский техникум отраслевых
технологий»
|
1
|
1
|
|
|
|
|
2:ГБОУ СПО «Балашихинский промышленно-экономический
техникум»
|
1
|
2
|
4:ГБОУ СПО МО «Волоколамский аграрный техникум «Холмогорка»
|
0
|
3
|
|
3:ГБОУ СПО МО «Московский областной государственный
автомобильно-д
|
1
|
2
|
5:ГБОУ СПО МО «Волоколамский колледж права, экономики и
безопаснос
|
1
|
3
|
|
12:ГБОУ СПО МО «Авиационный техникум»
|
0
|
2
|
9:ГОУ СПО «Яхромский аграрный колледж»
|
1
|
3
|
|
13:ГБОУ СПО «Профессиональный колледж «Московия»»
|
0
|
2
|
16:ГАОУ СПО МО «Егорьевский промышленно-экономический
техникум»
|
1
|
3
|
|
33:ГБОУ СПО «Профессиональный техникум им. С.П.Королева»
|
0
|
2
|
17:ГБОУ СПО «Московский областной колледж искусств и
технологий»
|
1
|
3
|
|
35:ГБОУ СПО «Красногорский колледж»
|
1
|
2
|
21:ГБОУ СПО Зарайский педагогический колледж имени
В.В.Виноградова
|
3
|
|
38:ГБОУ СПО МО «Московский областной государственный
колледж техно
|
1
|
2
|
26:ГБОУ СПО МО «Московский геологоразведочный техникум»
|
1
|
3
|
|
42:ГБОУ СПО «МГТТ»
|
0
|
2
|
30:ГБОУ СПО МО «Коломенский аграрный колледж»
|
0
|
3
|
|
55:ГБПОУ «Павлово-Посадский промышленно-экономический
техникум»
|
1
|
2
|
44:ГБПОУ «Наро-Фоминский политехнический техникум»
|
0
|
3
|
|
56:ГБОУ СПО «Подольский колледж»
|
0
|
2
|
45:ГБОУ СПО МО «Ногинский политехнический техникум»
|
1
|
3
|
|
59:ГБОУ СПО МО «Раменский дорожно-строительный техникум»
|
0
|
2
|
50:ГБОУ СПО МО «Ореховский индустриальный техникум»
|
0
|
3
|
|
60:ГБОУ СПО «Московский областной государственный колледж»
|
1
|
2
|
51:ГБОУ НПО МО ПУ № 58
|
1
|
3
|
|
65:ГБОУ СПО «Московский областной профессиональный колледж»
|
1
|
2
|
54:ГБОУ СПО МО «Куровской политехнический техникум»
|
0
|
3
|
|
67:ГБОУ СПО МО «Хотьковский экономико-правовой техникум»
|
1
|
2
|
64:ГБОУ СПО МО «Рошальский промышленно-экономический
техникум»
|
0
|
3
|
|
68:ГБОУ СПО МО «Краснозаводский химико-механический
колледж»
|
1
|
2
|
71:ГБОУ СПО «Серпуховский технический колледж»
|
1
|
3
|
|
74:ГБОУ СПО МО «Подмосковный профессиональный техникум
отраслевых т
|
1
|
2
|
78:ГОУ СПО «Чеховский механико-технологический техникум
молочной пр
|
1
|
3
|
|
81:ГБОУ СПО «МОПКИТ»
|
1
|
2
|
80:ГБОУ СПО МО «Шатурский энергетический техникум»
|
1
|
3
|
3.2 Анализ вопросов анкеты подтверждающих выборку
Вопросы, которые будут подтверждать достоверность и правильность выборки,
рассмотрим в первую очередь. Для сравнения параметров будем брать значение
медианы и статистическую значимость по критерию типа Колмогорова-Смирнова. Если
критерий Колмогорова-Смирнова ≤0,05, то следует сделать вывод о том, что
данный параметр статистически значим. Медиана в математической статистике -
число, характеризующее выборку (например, набор чисел). Если все элементы
выборки различны, то медиана - это такое число, что ровно половина из элементов
выборки больше него, а другая половина меньше него. В более общем случае
медиану можно найти, упорядочив элементы выборки по возрастанию или убыванию и
взяв средний элемент.
Сколько в Вашей семье детей?
Существенного различия данный параметр не имеет, значение медианы
(рисунок 7) равно единице в обеих группах. Статистическая значимость критерия
типа Колмогорова-Смирнова равна 0,983 (рисунок 4) - это означает что
контрольная и экспериментальная группы схожи по данному параметру, т.е. нулевая
гипотеза принимается, и это подтверждает достоверность выборки.
Рис. 4
Рис. 5
Рис. 6
Рис. 7
Ваша квалификационная категория?
Значения медианы (рисунок 11) у контрольной группы равна 4, а у
экспериментальной группы равна 3. Статистическая значимость критерия типа
Колмогорова-Смирнова равна 0,713. Статистическая значимость не подтверждается,
следовательно, нулевая гипотеза принимается, что говорит об отсутствии различий
между двумя группами и данный факт подтверждает однородность выборки в
экспериментальной и контрольной группах.
Рис. 8
Рис. 9
Рис.10
Рис.11
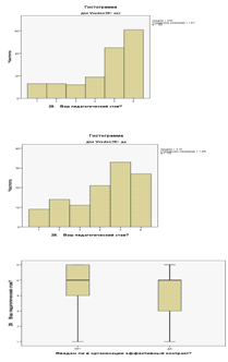
Ваш педагогический стаж?
Типичный педагогический стаж у респондентов довольно высокий: значение
медианы на рисунке 15 для контрольной и экспериментальной групп равно пяти (что
соответствует ответам «от 15 до 24 лет»). Статистическая значимость критерия
типа Колмогорова-Смирнова (рис. 12) равно 0,145, это показывает отсутствие
статистической значимости, нулевая гипотеза принимается. Это говорит об
отсутствии различий между двумя группами и это подтверждает однородность
выборки в экспериментальной и контрольной группах.
Рис. 12
Рис. 13
Рис. 14
Рис. 15
Стаж работы в этой должности?
Стаж работы в данной должности также имеет значение медианы на рисунке 19
пять для обеих групп. Статистическая значимость критерия типа
Колмогорова-Смирнова (рис.16) равна 0,168, следовательно, нет статистической
значимости, нулевая гипотеза принимается, что говорит об отсутствии различий
между двумя группами и это подтверждает однородность выборки в
экспериментальной и контрольной группах.
Рис. 16
Рис. 17.
Рис. 18
Рис 19
Ваш возраст?
Возраст респондентов в контрольной группе и в экспериментальной имеет
различную медиану (рис. 23), разница по среднему составляет 4 года.
Статистическая значимость критерия типа Колмогорова-Смирнова равна 0,026 (рис.
20), что говорит о необходимости отклонения нулевой гипотезы. Следовательно, по
показателю возраста респондентов выборки в экспериментальной группе отличаются
от контрольной группы. Таким образом, четыре из пяти параметров говорят об
однородности выборки, поэтому мы будем считать, что выборки экспериментальной и
контрольной групп сформированы репрезентабельно.
Рис. 20
Рис. 21
Рис. 22
Рис. 23
3.3 Анализ вопросов анкеты проверяющих гипотезу
После обоснования выборки необходимо проверить гипотезу исследования: при
переходе на эффективный контракт организаций среднего профессионального
образования происходит повышение эффективности работы преподавателей. Для этого
мы используем данные описательной статистики для двух групп, статистическую
значимость t-критерия и критерия типа
Колмогорова-Смирнова.
Так как целью использования одновыборочного критерия t является
установление значимости различий между стандартным и эмпирическим значениями,
при интерпретации результатов необходимо, в первую очередь, обратиться к
показателю /-уровня:
Ø - если уровень значимости ≤0,05, то различия
между эмпирическим и стандартным значениями являются статистически значимыми;
Ø - если уровень значимости >0,05, то различия между
эмпирическим и стандартным значениями являются статистически не значимыми.
После установления уровня значимости различий необходимо определить
направление различий - эмпирическое значение больше или меньше стандартного:
Ø - если перед значением t-критерия стоит знак «-», то
эмпирическое значение ниже уровня стандартного значения;
Ø - если перед значением t-критерия стоит знак «+», то
эмпирическое значение выше уровня стандартного значения.
В нашем примере результат подсчета следующий: так как значение уровня
значимости ≤0,05 (табл. 3), следует сделать вывод о том, что размер
желаемого уровня заработка статистически значим.
Таблица 3 Критерий для независимых выборок
|
t-критерий равенства средних
|
|
t
|
ст.св.
|
Значимость (2-сторонняя)
|
|
5. Укажите размер Вашего желаемого уровня заработка (в
месяц).
|
Предполагается равенство дисперсий
|
-2,952
|
276
|
,003
|
|
Равенство дисперсий не предполагается
|
-2,829
|
204,562
|
,005
|
|
6. Укажите размер Вашего реального уровня заработка (в
месяц).
|
Предполагается равенство дисперсий
|
-1,656
|
273
|
,099
|
|
Равенство дисперсий не предполагается
|
-1,648
|
234,526
|
,101
|
|
22. Ваш возраст?
|
Предполагается равенство дисперсий
|
2,638
|
278
|
,009
|
|
Равенство дисперсий не предполагается
|
2,636
|
244,909
|
,009
|
|
24. Сколько в Вашей семье детей?
|
Предполагается равенство дисперсий
|
1,271
|
277
|
,205
|
|
Равенство дисперсий не предполагается
|
1,281
|
252,236
|
,201
|
|
25. Какую долю Ваша заработная плата занимает в семейном
бюджете?
|
Предполагается равенство дисперсий
|
1,760
|
270
|
,079
|
|
Равенство дисперсий не предполагается
|
1,778
|
254,332
|
,077
|
|
Логарифм желаемого уровня заработка
|
Предполагается равенство дисперсий
|
-2,616
|
276
|
,009
|
|
Равенство дисперсий не предполагается
|
-2,568
|
226,558
|
,011
|
|
Логарифм реального уровня заработка
|
Предполагается равенство дисперсий
|
-1,907
|
273
|
,058
|
|
Равенство дисперсий не предполагается
|
-1,922
|
245,213
|
,056
|
. Улучшилось ли Ваше материальное положение за последний год?
У респондентов экспериментальной группы ощущение улучшения материального
положение выше. Медиана (рис. 27) экспериментальной группы равна 3 («скорее да,
чем нет»), в контрольной группе медиана равна 2 («скорее нет, чем да»).
Статистическая значимость критерия типа Колмогорова-Смирнова (рис. 24) равна
0,023, нулевая гипотеза отклоняется, это означает, что две группы заметно
отличаются по данному параметру. С высокой вероятностью можно предположить, эти
различия объясняются переходом организаций экспериментальной группы на ЭК.
Рис. 24
Рис. 25
Рис. 26
Рис. 27
. Есть ли у Вас необходимость искать дополнительный заработок?
Медианы двух групп на рисунке 31 совпадают и равны 3 («скорее да, чем
нет»). Статистическая значимость критерия типа Колмогорова-Смирнова на рисунке
28 равна 0,913, нулевая гипотеза принимается, это свидетельствует об отсутствии
статистической значимости данного параметра. Ряд аналогичных вопросов, которые
можно было отнести к эффектам ЭК, но они не имеют статистической значимости, мы
рассматривать не будем.
Рис.28
Рис. 29
Рис. 30
Рис. 31
. Укажите размер Вашего желаемого уровня заработка (в месяц).
В нашем случае результат подсчета, следующий, так как значение уровня
значимости ≤0,05 (табл. 3), следует сделать вывод о том, что разница в
размерах желаемого уровня заработка статистически значима. Из чего можно
сделать вывод, что в экспериментальной группе ожидание возможного увеличения
заработка выше, чем в контрольной группе.
Рис. 32
Рис.33
Рис.34
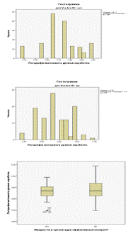
. Укажите размер Вашего реального уровня заработка (в месяц).
Анализ t-критерия не выявил статистической
значимости в этом вопросе. Поэтому говорить о подтверждении гипотезы влияния ЭК
не приходится. Но интересный факт разности значений медианы (рис. 37) все же
отметим, в экспериментальной группе она равна 34500 руб., а в контрольной 24500
руб.. Довольно ощутимая разница в 10000 руб., а средние значения не так
радикально отличаются: 31402,25 руб. и 33495,54 руб. соответственно.
Рис.35
Рис.36
Рис.37
. Согласны ли Вы с утверждением, что в Вашей образовательной организации
«стимулирующая» часть распределяется справедливо?
В справедливость распределения стимулирующей части заработной платы в
контрольной группе респонденты верят значительно меньше, из чего можно сделать
вывод, что переход на ЭК делает эту процедуру более прозрачной и понятной для
педагогических работников. Статистическая значимость критерия типа
Колмогорова-Смирнова (рис. 38) стремиться к 0, нулевая гипотеза отклоняется,
это означает, что две группы сильно отличаются по данному параметру и можно
сделать предположение, что на это повлиял переход на ЭК.
Рис.38
Рис.39
Рис. 40
Рис. 41
. Доверяете ли Вы процедуре распределения стимулирующих надбавок к
заработной плате, сложившейся в Вашей образовательной организации?
Респонденты экспериментальной группы больше доверяют процедуре
распределения стимулирующих надбавок к заработной плате. Медиана
экспериментальной группы на рисунке 45 равна 3 («скорее да, чем нет»), в
контрольной группе медиана равна 2 («скорее нет, чем да»). Критерий типа
Колмогорова-Смирнова (рис. 42) стремиться к 0, нулевая гипотеза отклоняется,
это свидетельствует о статистической значимости данного параметра. Две группы
отличаются и можно сделать предположение, что это эффект перехода на ЭК.
Рис. 42
Рис.43
Рис.44
Рис.45
. Какова частота оценки Вашей профессиональной деятельности для
начисления стимулирующей части к заработной плате?
Частота оценки профессиональной деятельности различна, в контрольной
группе она более разнообразна и преобладает ежеквартальный период (25,9%), в
экспериментальной группе ежемесячный период (40,9%), что характерно для ЭК.
Рис.46
Рис.47
Рис.48
Рис.49
. Способствует ли ныне действующая система оплаты труда повышению
качества Вашей профессиональной деятельности?
Респонденты экспериментальной группы считают, что ныне действующая
система оплаты труда способствует повышению качества профессиональной
деятельности. Медиана экспериментальной группы на рисунке 53 равна 3 («скорее
да, чем нет»), в контрольной группе медиана равна 2 («скорее нет, чем да»).
Статистическая значимость критерия типа Колмогорова-Смирнова (рис.50) равна
0,001, нулевая гипотеза отклоняется. Две группы отличаются по данному параметру
и можно сделать предположение, что присутствует положительный эффект перехода
на ЭК.
Рис.50
Рис.51
Рис.52
Рис.53
. Отражают ли разработанные в образовательной организации критерии оценки
эффективности труда, реальные результаты Вашей профессиональной деятельности?
Медиана экспериментальной группы на рисунке 57 равна 3 («скорее да, чем
нет»), в контрольной группе медиана равна 2,5 («скорее нет, чем да»).
Статистическая значимость критерия типа Колмогорова-Смирнова на рисунке 54
равна 0,01, нулевая гипотеза отклоняется, это означает, что две группы
отличаются по данному параметру и можно сделать предположение, что присутствует
эффект перехода на ЭК.
Рис.54
Рис.55
Рис.56
Рис.57
Считаете ли Вы, что профессия педагога является престижной?
Большая часть респондентов экспериментальной группы по сравнению с
контрольной группой считают, что профессия педагога является престижной.
Медиана (рис. 61) экспериментальной группы равна 3 («скорее да, чем нет»), в
контрольной группе медиана равна 2 («скорее нет, чем да»). Статистическая
значимость критерия типа Колмогорова-Смирнова на рисунке 58 равна 0,001,
нулевая гипотеза отклоняется.
И можно говорить о том, что две группы отличаются по данному параметру и
предположить, что присутствует положительный эффект перехода на ЭК.
Рис.58
Рис.59
Рис.60
Рис.61
Оцените уровень своей информированности об эффективном контракте.
Не смотря на то, что в экспериментальной группе введен ЭК, большое
количество респондентов считают свою информированность о ЭК недостаточной -
49,6%, для сравнения в контрольной группе - 70,5%. Необходимо усилить работу,
направленную на информирование работников об эффективном контракте.
Статистическая значимость критерия типа Колмогорова-Смирнова на рисунке 62/1
равна 0,000, нулевая гипотеза отклоняется.
Рис. 62/1
Рис.62/2
Рис. 63
Рис. 64
Логарифм желаемого уровня заработка
Анализ t-критерия не выявил статистической
значимости в этом вопросе.
Рис. 65
Рис. 66
Рис. 67
Логарифм реального уровня заработка
Анализ t-критерия не выявил статистической
значимости в этом вопросе.
Рис. 68
Рис.69
Рис. 70
3.4 Корреляция
Для получения выводов с практической значимости синтезированных в анализе
моделей показателям тесноты связи дается качественная оценка. Это
осуществляется на основе шкалы Чеддока (табл.4).
Таблица 4. Шкала Чеддока
|
Показатели тесноты связи
|
0,1-0,3
|
0,3-0,5
|
0,5-0,7
|
0,7-0,9
|
0,9-0,99
|
|
Характеристика силы связи
|
слабая
|
умеренная
|
заметная
|
высокая
|
Весьма высокая
|
Заметим, что функциональная связь обозначается 1, а отсутствие связи - 0.
При обозначениях показателей тесноты связи, превышающих 0,7, зависимость
результативного признака от факторного является высокой, а при значении более
0,9 - весьма высокой. Это в соответствии с показаниями индекса детерминации R2
означает, что более половины общей вариации результативного признака
объясняется влиянием изучаемого фактора. Последнее позволяет считать
оправданным применением метода функционального анализа для получения
корреляционной связи, а синтезированные при этом математические модели
признаются пригодными для их практического использования.
При показаниях тесноты связи ниже 0,7 величина индекса детерминации R 2
всегда будет меньше 50%. Это означает, что на долю вариации факторного признака
Х приходится меньшая часть по сравнению с прочими признаками, влияющими на
изменение общей дисперсии результативного признака. Синтезированные при таких
условиях модели связи практического значения не имеют. [21]
Коэффициент корреляции Пирсона характеризует существование линейной
зависимости между двумя величинами. Анализ корреляции параметрических
показателей не выявил зависимостей.
Таблица 5. Корреляции
|
5. Укажите размер Вашего желаемого уровня заработка (в
месяц).
|
6. Укажите размер Вашего реального уровня заработка (в
месяц).
|
22. Ваш возраст?
|
24. Сколько в Вашей семье детей?
|
Логарифм желаемого уровня заработка
|
Логарифм реального уровня заработка
|
|
5. Укажите размер Вашего желаемого уровня заработка (в
месяц).
|
Корреляция Пирсона
|
1
|
,270**
|
-,120*
|
-,100
|
,973**
|
,293**
|
|
,000
|
,046
|
,095
|
,000
|
,000
|
|
N
|
278
|
273
|
278
|
277
|
278
|
273
|
|
6. Укажите размер Вашего реального уровня заработка (в
месяц).
|
Корреляция Пирсона
|
,270**
|
1
|
-,061
|
,042
|
,303**
|
,985**
|
|
Знч.(2-сторон)
|
,000
|
|
,316
|
,492
|
,000
|
,000
|
|
N
|
273
|
275
|
275
|
274
|
273
|
275
|
|
22. Ваш возраст?
|
Корреляция Пирсона
|
-,120*
|
-,061
|
1
|
,309**
|
-,121*
|
-,051
|
|
Знч.(2-сторон)
|
,046
|
,316
|
|
,000
|
,044
|
,401
|
|
N
|
278
|
275
|
280
|
279
|
278
|
275
|
|
24. Сколько в Вашей семье детей?
|
Корреляция Пирсона
|
-,100
|
,042
|
,309**
|
1
|
-,086
|
,063
|
|
Знч.(2-сторон)
|
,095
|
,492
|
,000
|
|
,154
|
,301
|
|
N
|
277
|
274
|
279
|
279
|
277
|
274
|
|
Логарифм желаемого уровня заработка
|
Корреляция Пирсона
|
,973**
|
,303**
|
-,121*
|
-,086
|
1
|
,336**
|
|
Знч.(2-сторон)
|
,000
|
,000
|
,044
|
,154
|
|
,000
|
|
N
|
278
|
273
|
278
|
277
|
278
|
273
|
|
Логарифм реального уровня заработка
|
Корреляция Пирсона
|
,293**
|
,985**
|
-,051
|
,063
|
,336**
|
1
|
|
Знч.(2-сторон)
|
,000
|
,000
|
,401
|
,301
|
,000
|
|
|
N
|
273
|
275
|
275
|
274
|
273
|
275
|
Коэффициент корреляции Спирмена - мера линейной связи между случайными
величинами. Корреляция Спирмена является ранговой, то есть для оценки силы
связи используются не численные значения, а соответствующие им ранги.
Коэффициент инвариантен по отношению к любому монотонному преобразованию шкалы
измерения.[21]
Высокая корреляция (0,814**) по шкале Чеддока (табл. 4), вопросов 9
(Согласны ли Вы с утверждением, что в Вашей образовательной организации
«стимулирующая» часть распределяется справедливо?) и 10 (Доверяете ли Вы
процедуре распределения стимулирующих надбавок к заработной плате, сложившейся
в Вашей образовательной организации?) имеет практическое значение и подтверждает
наши предположения, что введение ЭК положительно влияет на доверие к системе
оплаты труда и процедурам распределения стимулирующих выплат.
Заметная корреляция (0,679**) вопросов 18 (Отражают ли разработанные в
образовательной организации критерии оценки эффективности труда, реальные
результаты Вашей профессиональной деятельности?) и 10 (Доверяете ли Вы
процедуре распределения стимулирующих надбавок к заработной плате, сложившейся
в Вашей образовательной организации?) не имеет практического значения, так как
эти вопросы с разных сторон характеризуют одну и ту же сущностную
характеристику ЭК. Остальные непараметрические корреляции (табл.6) проявляются
в основном умеренно и слабо.
Таблица 6. Корреляции
|
9. Согласны ли Вы с утверждением, что в Вашей образовательной
организации «стимулирующая» часть распределяется справедливо?
|
10. Доверяете ли Вы процедуре распределения стимулирующих
надбавок к заработной плате, сложившейся в Вашей образовательной организации?
|
|
ро Спирмена
|
9. Согласны ли Вы с утверждением, что в Вашей
образовательной организации «стимулирующая» часть распределяется справедливо?
|
Коэффициент корреляции
|
1,000
|
,814**
|
|
|
Знч. (2-сторон)
|
.
|
,000
|
|
|
N
|
223
|
214
|
|
10. Доверяете ли Вы процедуре распределения стимулирующих
надбавок к заработной плате, сложившейся в Вашей образовательной организации?
|
Коэффициент корреляции
|
,814**
|
1,000
|
|
|
Знч. (2-сторон)
|
,000
|
.
|
|
|
N
|
214
|
235
|
|
11. Какова частота оценки Вашей профессиональной
деятельности для начисления стимулирующей части к заработной плате?
|
Коэффициент корреляции
|
,063
|
,051
|
|
|
Знч. (2-сторон)
|
,434
|
,520
|
|
|
N
|
157
|
163
|
|
18. Отражают ли разработанные в образовательной организации
критерии оценки эффективности труда, реальные результаты Вашей
профессиональной деятельности?
|
Коэффициент корреляции
|
,556**
|
,679**
|
|
|
Знч. (2-сторон)
|
,000
|
,000
|
|
|
N
|
155
|
158
|
|
19. Считаете ли Вы, что профессия педагога является
престижной?
|
Коэффициент корреляции
|
,283**
|
,365**
|
|
|
Знч. (2-сторон)
|
,000
|
,000
|
|
|
N
|
216
|
228
|
|
20. Оцените уровень своей информированности об эффективном
контракте.
|
Коэффициент корреляции
|
,218**
|
,329**
|
|
|
Знч. (2-сторон)
|
,001
|
,000
|
|
|
N
|
215
|
228
|
|
21. Имеет ли трудовой договор, заключенный с Вами
индивидуальный характер, учитывающий Ваши личные профессиональные цели и
задачи или трудовой договор имеет коллективный характер для всех педагогов
вашей оргагнизации?
|
Коэффициент корреляции
|
,339**
|
,289**
|
|
|
Знч. (2-сторон)
|
,000
|
,000
|
|
|
N
|
183
|
186
|
**. Корреляция значима на уровне 0.01 (2-сторонняя)
*. Корреляция значима на уровне 0.05 (2-сторонняя)
Выводы по главе 3
В третьей главе проанализированы результаты исследования, подтверждена
выборка, проверены гипотезы. Показаны основные положения, на основе которых
будут строиться выводы проведенного исследования.
4 глава.
Описание результатов исследования, выводы, рекомендации
Подводя итоги исследования, хотелось бы в первую очередь выделить
успешные моменты. Не смотря на довольно солидное количество образовательных
организаций среднего профессионального образования Московской области, которых
было 83, с помощью кластерного анализа генеральная совокупность была разбита на
четыре кластера и сделана репрезентативная выборка. Впоследствии анализ
анкетных данных подтвердил, что выборке можно доверять. Единственным фактором,
который не совсем соответствовал схожести двух групп экспериментальной и
контрольной это небольшое расхождение в возрасте педагогических работников. В
экспериментальной группе более молодой педагогический состав.
Выявление эффектов эффективного контракта привело нас к ряду довольно
интересных факторов. Самым ярко выраженным фактором можно считать, что в
организациях, в которых перешли на эффективный контракт, доверие к системе
оплаты труда высокое. К примеру, на вопрос «Доверяете ли Вы процедуре
распределения стимулирующих надбавок к заработной плате, сложившейся в Вашей
образовательной организации?» респонденты экспериментальной группы больше
доверяют процедуре распределения стимулирующих надбавок к заработной плате.
Остальные вопросы, связанные с системой оплаты труда, подтверждают
положительные эффекты в организациях, внедривших ЭК. Следовательно, не смотря
на ряд скептических мнений об эффективном контракте, выявленных в первой главе
диссертации, есть один не маловажный фактор наличия тенденции удовлетворенности
системой оплаты труда в организациях, не внедривших ЭК, не удовлетворяет
педагогов особенно в отношении распределения стимулирующих выплат.
Предположение относительно реального роста заработной платы педагогов
экспериментальной группы не подтвердилось. А вот вопросы, связанные с
повышением материального состояния показали положительное влияние ЭК. Получился
некий парадокс, реальный заработок не увеличился, а вот ощущение, повышения
материального благосостояния и возможности заработать больше у педагогических
работников появилось. Можно предположить, что педагогические работники видят,
что могут заработать больше за свою дополнительную и качественную работу, и
есть механизм, которому они доверяют, и он гарантирует вознаграждение.
Престижность профессии педагога в организациях, перешедших на ЭК,
признали большее количество респондентов. Влияния эффективного контракта не
очевидно, но других факторов, которые могли бы повлиять на различия в
исследованных группах, наше исследование не выявило.
Информированность респондентов об эффективном контракте в экспериментальной
группе выше, чем в контрольной и это очевидно. Но большое количество
респондентов в экспериментальной группе оценили свой уровень информированности
как недостаточный, что очень неоднозначно. Есть ряд мнений о том, кто является
автором и идеологом эффективного контракта, но важно скорее не личность, а
сущность, которая на сегодняшний день может быть увязана с повсеместными
укрупнениями и объединениями государственных организаций бюджетной сферы. Идея
хорошего менеджера крупной организации с многоступенчатой управленческой
структурой. Вчерашние школы, техникумы, ВУЗЫ это, как правило, один
руководитель, один коллектив, одно «здание» и здесь, конечно же, очень важна
высокая степень доверия и контроль осуществляется практически напрямую
руководителем. Сегодня ситуация в корне меняется и руководителю необходимо
решать более широкий спектр задач, коллективы увеличиваются в разы становятся
не однородны, количество «зданий» увеличивается. В данной ситуации эффективный
контракт может стать инструментом управления огромным коллективом с сохранением
единых и прозрачных правил игры. Важно отметить, что эта работа не
рассматривала вопрос эффективного контракта с точки зрения управления крупными
образовательными организациями, это посыл к дальнейшим исследованиям и подводка
к рекомендациям по итогам проделанной работы.
Рекомендации
Ø Необходимо вводить систему ЭК во всех организациях СПО
Московской области. Так как внедрение ЭК положительно влияет на нематериальную
мотивацию и материальное положение педагогических работников.
Ø Необходимо проводить работу по информированию педагогических
работников об эффективном контракте. Информированность умеренно влияет на
доверие работников организации к ЭК.
Заключение
. На основе анализа теоретической литературы уточнено и обосновано
понятие эффективного контракта, раскрыта его роль в образовательных
организациях среднего профессионального образования Московской области.
Выделены свойства эффективного контракта и риски его внедрения в сфере
образования.
. Выявлены и обоснованы характеристики эффективного контракта
образовательных организаций среднего профессионального образования Московской
области, которые легли в основу анкетного опроса педагогических работников.
. На основе статистических данных об образовательных организациях
среднего профессионального образования Московской области сформированы
кластеры. Из каждого кластера были отобраны учреждения для проведения
исследования.
. П взаимосвязь между внедрением эффективным контрактом и
отношением респондентов к системе оплаты труда. Показано, что объективно в
организациях экспериментальной группы (внедривших ЭК) уровень мотивации,
доверия к системе оплаты труда и материального положения выше, чем в
организациях контрольной группы (не внедривших ЭК).
. Сформулированы рекомендации для организаций СПО Московской
области по совершенствованию механизмов эффективного контракта.
Исследовательский вопрос звучал: «Какие эффекты можно выделить в работе
педагогических работников профессиональных образовательных организаций
Московской области при переходе на эффективный контракт?» эффекты были описаны
в четвертой главе, основным является доверие педагогических работников
работающих по эффективному контракту к системе оплаты труда.
Продолжением данного исследования могло бы стать установление влияния
эффективного контракта на организационную структуру образовательных
организаций, так как виден мощный потенциал эффективного контракта, часть
которого удалось выявить этому исследованию.
Литература
Нормативные
документы
. Указ
Президента РФ от 07.05.2012 № 597 «О мероприятиях по реализации государственной
социальной политики»
2. УКАЗ
Президента РФ от 07.05.2012 № 596 О долгосрочной государственной экономической
политике
. Государственная
программа Российской Федерации «Развитие образования» на 2013 - 2020 годы
(утвержденной распоряжением Правительства РФ от 15.05.2013 г. № 792-р).
. Распоряжение
Правительства РФ от 26.11.2012 № 2190-р «Об утверждении Программы поэтапного
совершенствования системы оплаты труда в государственных (муниципальных) учреждениях
на 2012 - 2018 годы»
. Приказ
Минтруда России от 26.04.2013 № 167н
. "Об
утверждении рекомендаций по оформлению трудовых отношений с работником
государственного (муниципального) учреждения при введении эффективного
контракта»
. Приказ
Минтруда России от 18.01.2013 № 21 «О методических рекомендациях по разработке
органами исполнительной власти субъектов Российской Федерации планов
мероприятий (региональных "дорожных карт") "Повышение
эффективности и качества услуг в сфере социального обслуживания населения (2013
- 2018 годы)»
. План
мероприятий («дорожная карта») «Изменения в отраслях социальной сферы,
направленные на повышение эффективности образования и науки» // Утвержден
распоряжением Правительства РФ от 30 декабря 2012 г. № 2620-р.
. Распоряжение
от 29 декабря 2014 года №2765-р «Об утверждении концепции ФЦП развития
образования на 2016-2020 годы».
Статьи,
выступления
10. Заиченко Н.А. доклад
на XVI Апрельской международной научной конференции НИУ ВШЭ тема: Проблема
реалистичности целей «эффективного контракта» в общем образовании.
<#"894937.files/image072.gif">
2.Есть ли у Вас необходимость искать дополнительный заработок?
Гистограммы
.Появилось ли у Вас больше свободного времени после введения эффективного
контракта?
Гистограммы
4. Считаете ли вы, что оплата Вашего труда в настоящее время
соответствует затраченным Вами интеллектуальным и физическим усилиям?
Гистограммы
. Укажите размер Вашего желаемого уровня заработка (в месяц).
Гистограммы
6. Укажите размер Вашего реального уровня заработка (в месяц).
Гистограммы
. Согласны ли Вы с утверждением, что в Вашей образовательной организации
«стимулирующая» часть распределяется справедливо?
Гистограммы
10. Доверяете ли Вы процедуре распределения стимулирующих надбавок к
заработной плате, сложившейся в Вашей образовательной организации?
Гистограммы
. Какова частота оценки Вашей профессиональной деятельности для
начисления стимулирующей части к заработной плате?
Гистограммы
13. Способствует ли ныне действующая система оплаты труда повышению
качества Вашей профессиональной деятельности?
Гистограммы
. Отражают ли разработанные в образовательной организации критерии оценки
эффективности труда, реальные результаты Вашей профессиональной деятельности?
Гистограммы
19. Считаете ли Вы, что профессия педагога является престижной?
Гистограммы
. Оцените уровень своей информированности об эффективном контракте.
Гистограммы
21. Имеет ли трудовой договор, заключенный с Вами индивидуальный
характер, учитывающий Ваши личные профессиональные цели и задачи или трудовой
договор имеет коллективный характер для всех педагогов вашей оргагнизации?
Гистограммы
. Ваш возраст?
Гистограммы
24. Сколько в Вашей семье детей?
Гистограммы
. Какую долю Ваша заработная плата занимает в семейном бюджете?
Гистограммы
26. На какую сумму в ближайшие полгода Вы планируете осуществить значимую
покупку?
Гистограммы
. Ваша квалификационная категория?
Гистограммы
28. Ваш педагогический стаж?
Гистограммы
.Стаж работы в этой должности?
Гистограммы
Логарифм желаемого уровня заработка
Гистограммы
Логарифм реального уровня заработка
Гистограммы
Кластер
Гистограммы
критерий
Групповые статистики:
|
Групповые статистики
|
|
Введен ли в организации эффективный контракт?
|
N
|
Среднее
|
Стд. отклонение
|
|
5. Укажите размер Вашего желаемого уровня заработка (в
месяц).
|
нет
|
164
|
54500,00
|
19185,884
|
|
да
|
114
|
62236,84
|
24434,689
|
|
6. Укажите размер Вашего реального уровня заработка (в
месяц).
|
нет
|
163
|
31420,25
|
10097,660
|
|
да
|
112
|
33495,54
|
10370,718
|
|
22. Ваш возраст?
|
нет
|
165
|
50,90
|
12,355
|
|
да
|
115
|
46,94
|
12,395
|
|
24. Сколько в Вашей семье детей?
|
нет
|
164
|
1,34
|
,817
|
|
да
|
115
|
1,22
|
,781
|
|
25. Какую долю Ваша заработная плата занимает в семейном
бюджете?
|
нет
|
157
|
64,11
|
22,010
|
|
да
|
115
|
59,48
|
20,609
|
|
Логарифм желаемого уровня заработка
|
нет
|
164
|
4,7098
|
,15422
|
|
да
|
4,7612
|
,17111
|
|
Логарифм реального уровня заработка
|
нет
|
163
|
4,4773
|
,12856
|
|
да
|
112
|
4,5069
|
,12319
|
Групповые статистики:
|
Групповые статистики
|
|
Введен ли в организации эффективный контракт?
|
Стд. ошибка среднего
|
|
5. Укажите размер Вашего желаемого уровня заработка (в
месяц).
|
нет
|
1498,166
|
|
да
|
2288,518
|
|
6. Укажите размер Вашего реального уровня заработка (в
месяц).
|
нет
|
790,910
|
|
да
|
979,941
|
|
22. Ваш возраст?
|
нет
|
,962
|
|
да
|
1,156
|
|
24. Сколько в Вашей семье детей?
|
нет
|
,064
|
|
да
|
,073
|
|
25. Какую долю Ваша заработная плата занимает в семейном
бюджете?
|
нет
|
1,757
|
|
да
|
1,922
|
|
Логарифм желаемого уровня заработка
|
нет
|
,01204
|
|
да
|
,01603
|
|
Логарифм реального уровня заработка
|
нет
|
,01007
|
|
да
|
,01164
|
Критерий для независимых выборок
|
Критерий равенства дисперсий Ливиня
|
|
F
|
Знч.
|
|
5. Укажите размер Вашего желаемого уровня заработка (в
месяц).
|
Предполагается равенство дисперсий
|
10,456
|
,001
|
|
Равенство дисперсий не предполагается
|
|
|
|
6. Укажите размер Вашего реального уровня заработка (в
месяц).
|
Предполагается равенство дисперсий
|
1,152
|
,284
|
|
Равенство дисперсий не предполагается
|
|
|
|
22. Ваш возраст?
|
Предполагается равенство дисперсий
|
,636
|
,426
|
|
Равенство дисперсий не предполагается
|
|
|
|
24. Сколько в Вашей семье детей?
|
Предполагается равенство дисперсий
|
,917
|
,339
|
|
Равенство дисперсий не предполагается
|
|
|
|
25. Какую долю Ваша заработная плата занимает в семейном
бюджете?
|
Предполагается равенство дисперсий
|
4,100
|
,044
|
|
Равенство дисперсий не предполагается
|
|
|
|
Логарифм желаемого уровня заработка
|
Предполагается равенство дисперсий
|
2,344
|
,127
|
|
Равенство дисперсий не предполагается
|
|
|
|
Логарифм реального уровня заработка
|
Предполагается равенство дисперсий
|
2,056
|
,153
|
|
Равенство дисперсий не предполагается
|
|
|
Критерий для независимых выборок
|
t-критерий равенства средних
|
|
t
|
ст.св.
|
Значимость (2-сторонняя)
|
|
5. Укажите размер Вашего желаемого уровня заработка (в
месяц).
|
Предполагается равенство дисперсий
|
-2,952
|
276
|
,003
|
|
Равенство дисперсий не предполагается
|
-2,829
|
204,562
|
,005
|
|
6. Укажите размер Вашего реального уровня заработка (в месяц).
|
Предполагается равенство дисперсий
|
-1,656
|
273
|
,099
|
|
Равенство дисперсий не предполагается
|
-1,648
|
234,526
|
,101
|
|
22. Ваш возраст?
|
Предполагается равенство дисперсий
|
2,638
|
278
|
,009
|
|
Равенство дисперсий не предполагается
|
2,636
|
244,909
|
,009
|
|
24. Сколько в Вашей семье детей?
|
Предполагается равенство дисперсий
|
1,271
|
277
|
,205
|
|
Равенство дисперсий не предполагается
|
1,281
|
252,236
|
,201
|
|
25. Какую долю Ваша заработная плата занимает в семейном
бюджете?
|
Предполагается равенство дисперсий
|
1,760
|
270
|
,079
|
|
Равенство дисперсий не предполагается
|
1,778
|
254,332
|
,077
|
|
Логарифм желаемого уровня заработка
|
Предполагается равенство дисперсий
|
-2,616
|
276
|
,009
|
|
Равенство дисперсий не предполагается
|
-2,568
|
226,558
|
,011
|
|
Логарифм реального уровня заработка
|
Предполагается равенство дисперсий
|
-1,907
|
273
|
,058
|
|
Равенство дисперсий не предполагается
|
-1,922
|
245,213
|
,056
|
Критерий для независимых выборок
|
t-критерий равенства средних
|
|
Разность средних
|
Стд. ошибка разности
|
|
5. Укажите размер Вашего желаемого уровня заработка (в месяц).
|
Предполагается равенство дисперсий
|
-7736,842
|
2620,551
|
|
Равенство дисперсий не предполагается
|
-7736,842
|
2735,291
|
|
6. Укажите размер Вашего реального уровня заработка (в
месяц).
|
Предполагается равенство дисперсий
|
-2075,290
|
1253,057
|
|
Равенство дисперсий не предполагается
|
-2075,290
|
1259,294
|
|
22. Ваш возраст?
|
Предполагается равенство дисперсий
|
3,964
|
1,503
|
|
Равенство дисперсий не предполагается
|
3,964
|
1,504
|
|
24. Сколько в Вашей семье детей?
|
Предполагается равенство дисперсий
|
,124
|
,098
|
|
Равенство дисперсий не предполагается
|
,124
|
,097
|
|
25. Какую долю Ваша заработная плата занимает в семейном
бюджете?
|
Предполагается равенство дисперсий
|
4,630
|
2,630
|
|
Равенство дисперсий не предполагается
|
4,630
|
2,604
|
|
Логарифм желаемого уровня заработка
|
Предполагается равенство дисперсий
|
-,05147
|
,01967
|
|
Равенство дисперсий не предполагается
|
-,05147
|
,02005
|
|
Логарифм реального уровня заработка
|
Предполагается равенство дисперсий
|
-,02958
|
,01551
|
|
Равенство дисперсий не предполагается
|
-,02958
|
,01539
|
Критерий для независимых выборок
|
t-критерий равенства средних
|
|
95% доверительный интервал разности средних
|
|
Нижняя граница
|
Верхняя граница
|
|
5. Укажите размер Вашего желаемого уровня заработка (в
месяц).
|
Предполагается равенство дисперсий
|
-12895,649
|
-2578,036
|
|
Равенство дисперсий не предполагается
|
-13129,820
|
-2343,864
|
|
6. Укажите размер Вашего реального уровня заработка (в
месяц).
|
Предполагается равенство дисперсий
|
-4542,173
|
391,592
|
|
Равенство дисперсий не предполагается
|
-4556,265
|
405,684
|
|
22. Ваш возраст?
|
Предполагается равенство дисперсий
|
1,006
|
6,922
|
|
Равенство дисперсий не предполагается
|
1,002
|
6,926
|
|
24. Сколько в Вашей семье детей?
|
Предполагается равенство дисперсий
|
-,068
|
,316
|
|
Равенство дисперсий не предполагается
|
-,067
|
,315
|
|
25. Какую долю Ваша заработная плата занимает в семейном
бюджете?
|
Предполагается равенство дисперсий
|
-,548
|
9,809
|
|
Равенство дисперсий не предполагается
|
-,497
|
9,757
|
|
Логарифм желаемого уровня заработка
|
Предполагается равенство дисперсий
|
-,09020
|
-,01274
|
|
Равенство дисперсий не предполагается
|
-,09097
|
-,01197
|
|
Логарифм реального уровня заработка
|
Предполагается равенство дисперсий
|
-,06012
|
,00096
|
|
Равенство дисперсий не предполагается
|
-,05989
|
,00074
|
Непараметрические критерии
Непараметрические корреляции
Корреляции
|
9. Согласны ли Вы с утверждением, что в Вашей
образовательной организации «стимулирующая» часть распределяется справедливо?
|
10. Доверяете ли Вы процедуре распределения стимулирующих
надбавок к заработной плате, сложившейся в Вашей образовательной организации?
|
|
ро Спирмена
|
9. Согласны ли Вы с утверждением, что в Вашей
образовательной организации «стимулирующая» часть распределяется справедливо?
|
Коэффициент корреляции
|
1,000
|
,814**
|
|
|
Знч. (2-сторон)
|
.
|
,000
|
|
|
N
|
223
|
214
|
|
10. Доверяете ли Вы процедуре распределения стимулирующих
надбавок к заработной плате, сложившейся в Вашей образовательной организации?
|
Коэффициент корреляции
|
,814**
|
1,000
|
|
|
Знч. (2-сторон)
|
,000
|
.
|
|
|
N
|
214
|
235
|
|
11. Какова частота оценки Вашей профессиональной
деятельности для начисления стимулирующей части к заработной плате?
|
Коэффициент корреляции
|
,063
|
,051
|
|
|
Знч. (2-сторон)
|
,434
|
,520
|
|
|
N
|
157
|
163
|
|
18. Отражают ли разработанные в образовательной организации
критерии оценки эффективности труда, реальные результаты Вашей
профессиональной деятельности?
|
Коэффициент корреляции
|
,556**
|
,679**
|
|
|
Знч. (2-сторон)
|
,000
|
,000
|
|
|
N
|
155
|
158
|
|
19. Считаете ли Вы, что профессия педагога является
престижной?
|
Коэффициент корреляции
|
,283**
|
,365**
|
|
|
Знч. (2-сторон)
|
,000
|
,000
|
|
|
N
|
216
|
228
|
|
20. Оцените уровень своей информированности об эффективном
контракте.
|
Коэффициент корреляции
|
,218**
|
,329**
|
|
|
Знч. (2-сторон)
|
,001
|
,000
|
|
|
N
|
215
|
228
|
|
21. Имеет ли трудовой договор, заключенный с Вами
индивидуальный характер, учитывающий Ваши личные профессиональные цели и
задачи или трудовой договор имеет коллективный характер для всех педагогов
вашей оргагнизации?
|
Коэффициент корреляции
|
,339**
|
,289**
|
|
|
Знч. (2-сторон)
|
,000
|
,000
|
|
|
N
|
183
|
186
|
Корреляции
|
11. Какова частота оценки Вашей профессиональной
деятельности для начисления стимулирующей части к заработной плате?
|
18. Отражают ли разработанные в образовательной организации
критерии оценки эффективности труда, реальные результаты Вашей
профессиональной деятельности?
|
|
ро Спирмена
|
9. Согласны ли Вы с утверждением, что в Вашей
образовательной организации «стимулирующая» часть распределяется справедливо?
|
,063
|
,556**
|
|
|
Знч. (2-сторон)
|
,434
|
,000
|
|
|
N
|
157
|
155
|
|
10. Доверяете ли Вы процедуре распределения стимулирующих
надбавок к заработной плате, сложившейся в Вашей образовательной организации?
|
Коэффициент корреляции
|
,051
|
,679**
|
|
|
Знч. (2-сторон)
|
,520
|
,000
|
|
|
N
|
163
|
158
|
|
11. Какова частота оценки Вашей профессиональной
деятельности для начисления стимулирующей части к заработной плате?
|
Коэффициент корреляции
|
1,000
|
,029
|
|
|
Знч. (2-сторон)
|
.
|
,750
|
|
|
N
|
177
|
124
|
|
18. Отражают ли разработанные в образовательной организации
критерии оценки эффективности труда, реальные результаты Вашей
профессиональной деятельности?
|
Коэффициент корреляции
|
,029
|
1,000
|
|
|
Знч. (2-сторон)
|
,750
|
.
|
|
|
N
|
124
|
169
|
|
19. Считаете ли Вы, что профессия педагога является
престижной?
|
Коэффициент корреляции
|
,042
|
,348**
|
|
|
Знч. (2-сторон)
|
,586
|
,000
|
|
|
N
|
173
|
166
|
|
20. Оцените уровень своей информированности об эффективном
контракте.
|
Коэффициент корреляции
|
,096
|
,341**
|
|
|
Знч. (2-сторон)
|
,211
|
,000
|
|
|
N
|
173
|
165
|
|
21. Имеет ли трудовой договор, заключенный с Вами
индивидуальный характер, учитывающий Ваши личные профессиональные цели и
задачи или трудовой договор имеет коллективный характер для всех педагогов
вашей оргагнизации?
|
Коэффициент корреляции
|
,170*
|
,335**
|
|
|
Знч. (2-сторон)
|
,038
|
,000
|
|
|
N
|
149
|
148
|
Корреляции:
|
19. Считаете ли Вы, что профессия педагога является
престижной?
|
|
ро Спирмена
|
9. Согласны ли Вы с утверждением, что в Вашей
образовательной организации «стимулирующая» часть распределяется справедливо?
|
Коэффициент корреляции
|
,283**
|
|
|
Знч. (2-сторон)
|
,000
|
|
|
N
|
216
|
|
10. Доверяете ли Вы процедуре распределения стимулирующих
надбавок к заработной плате, сложившейся в Вашей образовательной организации?
|
Коэффициент корреляции
|
,365**
|
|
|
Знч. (2-сторон)
|
,000
|
|
|
N
|
228
|
|
11. Какова частота оценки Вашей профессиональной
деятельности для начисления стимулирующей части к заработной плате?
|
Коэффициент корреляции
|
,042
|
|
|
Знч. (2-сторон)
|
,586
|
|
|
N
|
173
|
|
18. Отражают ли разработанные в образовательной организации
критерии оценки эффективности труда, реальные результаты Вашей
профессиональной деятельности?
|
Коэффициент корреляции
|
,348**
|
|
|
Знч. (2-сторон)
|
,000
|
|
|
N
|
166
|
|
19. Считаете ли Вы, что профессия педагога является
престижной?
|
Коэффициент корреляции
|
1,000
|
|
|
Знч. (2-сторон)
|
.
|
|
|
N
|
270
|
|
20. Оцените уровень своей информированности об эффективном
контракте.
|
Коэффициент корреляции
|
,245**
|
|
|
Знч. (2-сторон)
|
,000
|
|
|
N
|
259
|
|
21. Имеет ли трудовой договор, заключенный с Вами
индивидуальный характер, учитывающий Ваши личные профессиональные цели и
задачи или трудовой договор имеет коллективный характер для всех педагогов
вашей оргагнизации?
|
Коэффициент корреляции
|
,208**
|
|
|
Знч. (2-сторон)
|
,003
|
|
|
N
|
206
|
Корреляции
|
Корреляции
|
|
20. Оцените уровень своей информированности об эффективном
контракте.
|
21. Имеет ли трудовой договор, заключенный с Вами
индивидуальный характер, учитывающий Ваши личные профессиональные цели и
задачи или трудовой договор имеет коллективный характер для всех педагогов
вашей организации?
|
|
ро Спирмена
|
9. Согласны ли Вы с утверждением, что в Вашей
образовательной организации «стимулирующая» часть распределяется справедливо?
|
Коэффициент корреляции
|
,218**
|
,339**
|
|
|
Знч. (2-сторон)
|
,001
|
,000
|
|
|
N
|
215
|
183
|
|
10. Доверяете ли Вы процедуре распределения стимулирующих
надбавок к заработной плате, сложившейся в Вашей образовательной организации?
|
Коэффициент корреляции
|
,329**
|
,289**
|
|
|
Знч. (2-сторон)
|
,000
|
,000
|
|
|
N
|
228
|
186
|
|
11. Какова частота оценки Вашей профессиональной деятельности
для начисления стимулирующей части к заработной плате?
|
Коэффициент корреляции
|
,096
|
,170*
|
|
|
Знч. (2-сторон)
|
,211
|
,038
|
|
|
N
|
173
|
149
|
|
18. Отражают ли разработанные в образовательной организации
критерии оценки эффективности труда, реальные результаты Вашей
профессиональной деятельности?
|
Коэффициент корреляции
|
,341**
|
,335**
|
|
|
Знч. (2-сторон)
|
,000
|
,000
|
|
|
N
|
165
|
148
|
|
19. Считаете ли Вы, что профессия педагога является
престижной?
|
Коэффициент корреляции
|
,245**
|
,208**
|
|
|
Знч. (2-сторон)
|
,000
|
,003
|
|
|
N
|
259
|
206
|
|
20. Оцените уровень своей информированности об эффективном
контракте.
|
Коэффициент корреляции
|
1,000
|
,383**
|
|
|
Знч. (2-сторон)
|
.
|
,000
|
|
|
N
|
266
|
202
|
|
21. Имеет ли трудовой договор, заключенный с Вами
индивидуальный характер, учитывающий Ваши личные профессиональные цели и
задачи или трудовой договор имеет коллективный характер для всех педагогов
вашей оргагнизации?
|
Коэффициент корреляции
|
,383**
|
1,000
|
|
|
Знч. (2-сторон)
|
,000
|
.
|
|
|
N
|
202
|
214
|
**. Корреляция значима на уровне 0.01 (2-сторонняя)
*. Корреляция значима на уровне 0.05 (2-сторонняя)