Основы деятельности Банка России

  • Вид работы:
    Дипломная (ВКР)
  • Предмет:
    Банковское дело
  • Язык:
    Русский
    ,
    Формат файла:
    MS Word
    280,44 Кб
  • Опубликовано:
    2016-10-13
Вы можете узнать стоимость помощи в написании студенческой работы.
Помощь в написании работы, которую точно примут!

Основы деятельности Банка России

Содержание

Введение

Глава 1. Основы деятельности Банка России

.1 Законодательная база

.2 Цели и ориентиры денежно-кредитной политики

.3 Инструменты Банка России

.4 Операционная процедура Банка России

.5 Каналы денежно-кредитной трансмиссии

.6 Прогнозирование ликвидности банковского сектора

.7 Выводы

Глава 2. Подходы в оценке денежно-кредитной политики

.1 Методология VAR

.1.1 Оценивание приведенной формы VAR

.1.2 Оценивание структурной формы VAR

.1.3 Оценивание Байесовской модели VAR

.1.4 Оценивание факторно-расширенной модели VAR

.1.5 Оценивание пороговой модели VAR

.2 Методология DSGE

.2.1 Общее описание моделей класса DSGE

.2.2 Модификация монетарной модели Хурлина-Киерженковского

.3 Эмпирические стилизованные факты

Глава 3. Эконометрический анализ макроэкономических эффектов процентной политики Банка России

.1 Оценка способности Банка России влиять на краткосрочную процентную ставку денежного рынка

.2 Оценка динамики выпуска и инфляции в ответ на шок процентной ставки денежного рынка

.3 Оценка работоспособности основных каналов денежно-кредитной трансмиссии

.3.1 Оценка влияния операционной ставки на промежуточные показатели

.3.2 Оценка влияния промежуточных показателей на выпуск и инфляцию

Заключение

Список литературы

Приложения

Введение


Процентная политика, будучи составной частью денежно-кредитной политики, осуществляемой Центральным банком, определяет характер экономической среды в стране. Принимаемые в рамках процентной политики решения по управлению процентными ставками по операциям монетарных властей напрямую влияют на стоимость финансирования для коммерческих банков, что в свою очередь сказывается и на других важных макроэкономических показателях (например, рыночной процентной ставке, обменном курсе национальной валюты, объеме банковского кредитования), в зависимости от динамики которых экономические агенты корректируют собственные потребительские и инвестиционные расходы, что в конечном счёте сказывается на объемах валового выпуска, темпов инфляции и уровне безработицы. В связи с этим, чтобы эффективно проводить денежно-кредитную политику и, в частности, процентную политику, необходимо точно знать,  к каким последствиям приведет применение Центральным банком того или иного инструмента.

Оценка макроэкономических эффектов процентной политики Банка России становится особенно актуальной в настоящий момент, когда был окончательно совершен подготавливаемый в течение нескольких лет переход к режиму таргетирования инфляции и к режиму свободноплавающего обменного курса национальной валюты. Именно в рамках данного режима денежно-кредитной политики главным инструментом монетарных властей считается, как правило, процентная ставка Центрального банка.

Целью данного исследования является оценка влияния, оказываемого Центральным Банком РФ посредством каналов денежно-кредитной трансмиссии, на динамику основных макроэкономических показателей - инфляции и валового выпуска.

Объектом исследования является процентная политика Банка России. Предметом исследования является ключевая ставка и осуществляемые по ней операции, способствующие выполнению операционной цели - воздействию на ставку денежного рынка МИАКР.

Хронологические рамки данного исследования охватывают период с января 2003 года по декабрь 2015 года, что обусловлено отсутствием данных по некоторым переменным, входящим в эконометрический анализ, за более ранние промежутки времени.

Чтобы достигнуть изложенной выше цели, следующие задачи были поставлены в рамках проведения настоящего исследования:

.        Проанализировать денежно-кредитную политику ЦБ РФ, что подразумевает под собой рассмотрение законодательной базы, регулирующей деятельность монетарных властей, и документов, которые описывают преследуемые цели и ориентиры, а также используемые в рамках операционной процедуры инструменты при проведении процентной политики;

.        Рассмотреть различные каналы механизма денежно-кредитной трансмиссии, посредством которых Центральный банк может воздействовать на таргетируемые показатели;

.        Рассмотреть и сравнить различные подходы к оценке эффектов денежно-кредитной трансмиссии, применяемые в настоящий момент, как в работах исследователей, так и самими Центральными банками;

.        Оценить способность Банка России с помощью ключевой ставки влиять на динамику операционной процентной ставки, используя эконометрический анализ;

.        Оценить воздействие, оказываемое изменением операционной процентной ставки, на основные макроэкономические показатели: инфляцию и выпуск.

Среди использованных в данном исследовании источников можно выделить следующие работы, которых придерживался автор при проведении оценки процентной политики Банка России:

·        Учебное пособие Ф.С. Мишкина [29], содержащее наиболее полное описание функционирования всех каналов денежно-кредитной трансмиссии на примере экономики США;

·        Работа Леонтьевой Е.А. [8], в которой были подробно изложены особенности функционирования механизма денежно-кредитной трансмиссии в современной российской экономике;

·        Работа Х. Луткепола [27], в которой детально описана процедура спецификации, диагностики, оценивания и интерпретации моделей VAR в приведенной и структурной форме;

·        Учебное пособие Носко В.П. [16], отдельные главы которого использовались в целях ознакомления с методологией VAR.

Данная работа структурно состоит из трёх глав. В первой главе освещены вопросы законодательного регулирования деятельности Банка России, проанализированы цели и ориентиры проводимой в настоящее время денежно-кредитной политики, определен перечень используемых инструментов и механизм их применения в рамках операционной процедуры, а также раскрыт механизм работы основных каналов денежно-кредитной трансмиссии. Во второй главе дано описание различных подходов к оценке эффективности монетарной политики (в частности, наиболее применяемые методологии VAR и DSGE), отражены положительные и отрицательные стороны каждого из них, описаны полученные в ходе предшествующих исследований эмпирические стилизованные факты. Третья глава содержит в себе результаты эконометрического анализа макроэкономических эффектов процентной политики Банка России, а также работоспособности основных каналов денежно-кредитной трансмиссии (процентного, валютного, широкого банковского кредитования).

 

Глава 1. Основы деятельности Банка России


В первой главе данной работы будут рассмотрены основные аспекты деятельности Банка России в рамках проведения денежно-кредитной политики, под которыми подразумевается ознакомление с нормативно-правовой базой, регулирующей работу монетарных властей, уяснение установленных целей и ориентиров монетарной политики, достижение которых во многом зависит от выбранного спектра инструментов. Помимо этого будут описаны операционная процедура Центрального банка Российской Федерации, определяющая последовательность действий регулятора, а также различные каналы механизма денежно-кредитной трансмиссии, по которым передаются импульсы монетарной политики. Рассмотрение перечисленных выше вопросов необходимо для верного определения характера взаимосвязи между макроэкономическими показателями и соответственно для выбора наилучшей спецификации эконометрической модели, отвечающей целям настоящего исследования.

 

1.1 Законодательная база


Деятельность Банка России регламентируется в основном следующими правовыми документами: Конституцией Российской Федерации, Федеральным законом от 10 июля 2002 года № 86-ФЗ «О Центральном банке Российской Федерации (Банке России)», Федеральным законом от 2 декабря 1990 года № 395-1 «О банках и банковской деятельности», а также иными нормативно-правовыми актами.

В Конституции Российской Федерации, помимо особого конституционно-правового статуса Банка России и его исключительного права на проведение денежной эмиссии, закреплена его основная функция, заключающаяся в защите и обеспечении устойчивости рубля [1, ст. 75]. Однако перечень конечных целей, достижение которых возложено на ЦБ РФ, в соответствии с Федеральным законом «О Центральном банке Российской Федерации (Банке России)», дополнен ещё рядом пунктов, итоговый список которых выглядит следующим образом [2, ст. 3]:

·        защита и обеспечение устойчивости рубля;

·        развитие и укрепление банковской системы РФ;

·        обеспечение и развитие национальной платежной системы;

·        развитие финансового рынка РФ;

·        обеспечение стабильности финансового рынка РФ.

Что же касается перечня функций Банка России, отраженных в статье 4 названного выше Федерального закона, то он насчитывает порядка 19-ти пунктов [2, ст. 4], среди которых, в соответствии с тематикой данной работы, наибольший интерес представляют следующие:

·        разработка и проведение единой государственной денежно-кредитной политики;

·        является кредитором последней инстанции и организует систему рефинансирования для кредитных организаций;

·        осуществляет эффективное управление собственными золотовалютными резервами;

·        осуществляет все виды банковских операций (самостоятельно или по поручению Правительства Российской Федерации) с целью исполнения своих функций;

·        осуществляет валютное регулирование и контроль.

Следовательно, будучи юридическим лицом, осуществляющим свою деятельность независимо от других федеральных органов государственной власти, органов власти субъектов Российской Федерации и органов местного самоуправления, и будучи подотчётным Государственной Думе Федерального Собрания Российской Федерации [1, ст. 75], Банк России ответственен за выполнение одного из видов экономической политики - кредитно-денежной, дополняемой со стороны Правительства бюджетно-налоговой политикой.

В зависимости от целей монетарной политики, сложившейся экономической ситуации в стране и конъюнктуры мировых рынков, Центральный банк выбирает, какие инструменты использовать, чтобы достичь намеченного уровня целевого показателя или оперативно ответить на внешние экономические шоки. Согласно законодательству [2, ст. 35], основными инструментами и методами монетарной политики Центрального банка Российской Федерации являются: процентные ставки по операциям Банка России; обязательные резервные требования; операции на открытом рынке; рефинансирование кредитных организаций; валютные интервенции; установление ориентиров роста денежной массы; прямые количественные ограничения; эмиссия облигаций от своего имени и другие инструменты, определенные Банком России.

 

1.2 Цели и ориентиры денежно-кредитной политики


Для того чтобы понять направление деятельности Банка России в настоящее время, набор таргетируемых индикаторов, перечень используемых инструментов и его планы в среднесрочном периоде, стоит проанализировать «Основные направления единой государственной денежно-кредитной политики на 2016 год и период 2017 и 2018 годов», публикуемый ежегодно документ.

Из данного документа следует, что Банк России первостепенной целью в рамках проведения денежно-кредитной политики ставит защиту и обеспечение устойчивости национальной валюты, под которой подразумевается не удержание обменного курса на заданном уровне, а поддержание её покупательной способности [3, с. 6]. Обеспечение ценовой стабильности, то есть снижение темпов роста индекса потребительских цен, рассчитываемого как отношение за месяц к соответствующему месяцу прошлого года, в качестве главной цели монетарной политики и отказ от фиксации обменного курса российского рубля подтверждает осуществившейся переход к режиму таргетирования инфляции и режиму плавающего валютного курса. Таким образом, Банк России может сконцентрироваться, в первую очередь, на управлении уровнем процентных ставок в национальной экономике, что в конечном итоге должно способствовать достижению целевого ориентира по темпу прироста индекса потребительских цен, установленном на уровне 4% в 2017 году. Однако Центральный банк Российской Федерации, как указывается в вышеприведенном документе, может периодически выходить на валютный рынок, осуществляя интервенции либо для устранения угрозы повышения инфляции в среднесрочной перспективе вследствие негативной динамики обменного курса национальной валюты либо для пополнения международных золотовалютных резервов, оптимальным уровнем поддержания которых считается 500 млрд долларов США [3, с. 45], если операции по покупке иностранной валюты не угрожают ценовой стабильности.

Ключевым индикатором, определяющим направление денежно-кредитной политики, проводимой ЦБ РФ, выступает ключевая ставка, пришедшая на смену ставки рефинансирования, изменение которой может происходить только вследствие прогнозируемого устойчивого и продолжительного отклонения темпа прироста потребительских цен от установленной целевой траектории [3, с. 8]. Банк России декларирует сближение уровня процентной ставки в сегменте «овернайт» межбанковского денежного рынка и значения ключевой ставки в качестве собственной операционной задачи. Таким образом, оказывая влияние лишь на сегмент краткосрочных ставок на денежном рынке, Банк России сможет передавать импульс монетарной политики по каналам денежно-кредитной трансмиссии, оказывая воздействие на уровень среднесрочных процентных ставок, величину денежного предложения, обменный курс национальной валюты и иные промежуточные показатели в экономике, стимулируя экономических агентов изменять свои потребительские и инвестиционные решения и задавая условия для благоприятной динамики индекса потребительских цен.

 

1.3 Инструменты Банка России


Прежде чем приступить к более подробному рассмотрению механизма работы каналов денежно-кредитной трансмиссии проанализируем, какие инструменты уже использует или планирует ввести Банк России в среднесрочной перспективе.

Важнейшую роль в деятельности Центрального банка Российской Федерации играет такие инструменты, как операции по регулированию ликвидности банковского сектора. В случае возникновения (прогнозирования) структурного дефицита ликвидности Банк России прибегает к операциям по предоставлению кредитным организациям финансовых ресурсов. Соответственно при образовании излишка ликвидности банковского сектора проводятся операции по их изъятию.  Правильное применение инструментов рефинансирования кредитных организаций играет очень важную роль в устранении несоответствий балансов банков, как в краткосрочной, так и в долгосрочной перспективе.

Операции на аукционной основе на срок одной недели, проводимые раз в неделю в форме аукционов РЕПО (предоставление ликвидности) или в виде депозитных аукционов (изъятие ликвидности), максимальный объем по которым определяется Банком России, является в настоящее время основным инструментом денежно-кредитной политики в рамках управления уровнем процентных ставок денежного рынка. При этом названные выше операции проводятся по ставке, сравнимой с уровнем ключевой ставки, за счёт чего Банк России стремится сформировать ставки денежного рынка примерно на уровне центра процентного коридора. Что касается процентного коридора, середину которого составляет ключевая ставка Банка России (основные операции, операции «тонкой настройки») и ширина которого составляет два процентных пункта, его границы сформированы операциями постоянного действия по предоставлению ликвидности на срок один день  и операциями постоянного действия по изъятию ликвидности на срок один день.

Операции постоянного действия на срок один день, в качестве которых выступают депозитные операции (изъятие ликвидности) и множество операций (по форме - обеспеченные кредиты, операции РЕПО, сделки «валютный своп»; по видам обеспечения - облигации, акции, иностранная валюта, кредитные требования к нефинансовым организациям, поручительства, золото), направленных на предоставление ликвидности, проводятся Банком России с целью ослабить колебание ставок денежного рынка по инициативе кредитных организаций на ежедневной основе в ограниченных объемах. Как правило, коммерческие банки прибегают к перечисленным выше инструментам лишь в тех случаях, когда их краткосрочные дисбалансы не могут быть закрыты операциями на рынке межбанковского кредитования, что и отражается в их сравнительно небольших объемах.

Также в круг инструментов рефинансирования Банка России входят операции «тонкой настройки» на сроки от одного до шести дней, проводимых на аукционной основе (аукционы РЕПО и депозитные аукционы). Данный инструмент, применяемый для стабилизации ставок денежного рынка внутри процентного коридора,  используется в тех случаях, когда спрос, формируемый банковским сектором, на ликвидность значительно отклоняется от предложения.

Однако, с целью улучшения условий применения основных (краткосрочных) инструментов рефинансирования, а именно операций РЕПО, Банк России использует операции предоставления ликвидности на долгосрочный период, согласно которым кредитные организации получают необходимые им денежные средства под залог широкого круга видов обеспечения. Соответственно, банки могут использовать не только ценные бумаги, входящие в Ломбардный список Банка России, но и такие виды обеспечения, как нерыночные активы, поручительства, золото. В основном, в рамках инструментов долгосрочного рефинансирования, используются ежемесячные аукционы по предоставлению кредитов под залог нерыночных активов на срок три месяца.

Также Банк России вправе осуществлять не проводимые в настоящее время иные виды операций, в число которых входят эмиссия облигаций Банка России, направленная на стерилизацию ликвидности банковского сектора в случае возникновения её структурного излишка, и покупка или продажа корпоративных или государственных ценных бумаг на открытом рынке.

Таким образом, информацию об используемых Банком России в данный период инструментах рефинансирования, стоимость привлечения которых для коммерческих банков определяется параметрами процентной политики, то есть значением ключевой ставки, можно обобщить следующим образом (таблица 1).

Немаловажную роль в денежно-кредитной политике Банка России, с учётом того факта, что экономика Российской Федерации ориентирована на экспорт различного рода энергетических носителей и что пополнение доходных статей бюджета более чем на половину зависит от конъюнктурных экспортных доходов, играют инструменты по поддержанию валютного курса. При этом целевым операционным ориентиром для ЦБ РФ служит рублевая стоимость бивалютной корзины, которая состоит из 55% доллара США и 45% евро и диапазон которой задается плавающим операционным интервалом. В случае существенного отклонения валютного курса, которое в среднесрочной перспективе может оказать влияние на уровень инфляции, Банк России проводит валютные интервенции, покупая валюту с целью ослабления рубля и продавая с целью его укрепления.

Таблица 1

Система инструментов рефинансирования Банка России

Инструмент

Цель

Форма проведения (Предоставление/Изъятие)

Срок

Частота проведения

Принятие решения

Краткосрочные операции, проводимые с целью управления ставками денежного рынка

Основные аукционные операции

Управление уровнем ставок денежного рынка

Аукционы РЕПО/Депозитные аукционы

1 неделя

еженедельно

ЦБ РФ

Операции постоянного действия

Ограничение интервала колебаний ставок денежного рынка пределами процентного коридора

Кредиты "овернайт"; сделки "валютный своп"; ломбардные кредиты; операции РЕПО; кредиты, обеспеченные нерыночными активами или поручительствами; кредиты, обеспеченные золотом/ депозитные операции

1 день

ежедневно

КО

Операции "тонкой настройки"

Предотвращение колебаний ставок денежного рынка

Аукционы РЕПО/Депозитные аукционы

от 1 до 6 дней

в отдельные дни

ЦБ РФ

Долгосрочные операции, проводимые с целью повышения эффективности краткосрочных инструментов

Регулярные аукционные операции

Компенсация спроса на ликвидность и улучшение условий проведения основных операций

Аукционы по предоставлению кредитов, обеспеченных нерыночными активами

3 месяца

ежемесячно

ЦБ РФ

Нерегулярные аукционные операции

Улучшение условий; снижение влияния структурного дефицита ликвидности на срочность пассивов банков

Аукционы по предоставлению кредитов, обеспеченных нерыночными активами

от 1 до 3 недель

нерегулярно

ЦБ РФ




18 месяцев

нерегулярно

ЦБ РФ



Ломбардные кредитные аукционы

36 месяцев

нерегулярно

ЦБ РФ

Операции постоянного действия

Улучшение условий

Кредиты, обеспеченные нерыночными активами/поручительствами/золотом

от 2 до 549 дней

ежедневно

КО

Источник: Банк России

В заключение темы инструментов, стоит также обратить внимание на обязательные резервные требования, изменение необходимых объемов которых, а также корректирование коэффициента усреднения, который позволяет кредитным организациям соблюдать требования не ежедневно, а в течение определенного периода, позволяют влиять на состояние ликвидности банковского сектора в среднесрочной и долгосрочной перспективе. В частности, с целью улучшения возможностей кредитных организаций управлять собственной ликвидностью планируется синхронизировать график усреднения обязательных резервов с расчётами по основным операциям рефинансирования, установить длину периодов равным 4-5 неделям, а также в среднесрочной перспективе продолжать повышать коэффициент усреднения, увеличившийся по итогам 2015 года с 0,7 до 0,8 [3, с. 26].

Что касается планов Банка России в отношении развития системы инструментов денежно-кредитной политики, то в будущем не планируется вносить какие-либо серьезные изменения. Так как благодаря принятым в 2015 году решениям (внедрение аукционов «валютный своп» «тонкой настройки» на 1-2 дня и расширение Ломбардного списка Банка России) система инструментов полностью сформирована [3, с. 43].

 

1.4 Операционная процедура Банка России


Как уже было отмечено выше, операционной задачей Банка России в рамках проведения денежно-кредитной политики является сближение значения процентной ставки по кредитно-депозитным сделкам в сегменте «овернайт» межбанковского денежного рынка со значением ключевой ставки на данный момент. Банк России не в состоянии влиять на динамику МИАКР напрямую, однако, осуществляя операции по предоставлению и изъятию ликвидности кредитным организациям и устанавливая параметры по обязательным резервным требованиям, он может косвенно воздействовать на значение выбранного операционного ориентира.

Из перечисленных ранее инструментов денежно-кредитной политики главенствующая роль в рамках операционной процедуры Банка России отводится регулярным аукционам прямого РЕПО по предоставлению ликвидности на срок 1 неделя с заранее объявленным объемом предложения средств. Данный вид операции на открытом рынке благодаря своей возвратной основе и оптимальному сроку позволяет регулятору, с одной стороны, влиять на краткосрочную процентную ставку денежного рынка и, с другой стороны, своевременно реагировать на колебания уровня ликвидности банковского сектора.

При этом для средств, которые привлекаются на аукционах на длительный срок, используется, в отличие от операций на короткий срок, минимальная ставка по которым фиксирована и находится на уровне ключевой, плавающая процентная ставка, привязанная к ключевой ставке.

Таким образом, объем операций и стоимость привлечения средств для кредитных организаций от Банка России устанавливаются таким образом, чтобы, как минимум, ограничивать волатильность краткосрочной процентной ставки денежного рынка в рамках процентного коридора системы процентных инструментов ЦБ РФ и, как максимум, поддерживать на уровне ключевой ставки. Успешное выполнение операционной процедуры позволяет запустить импульс монетарной политики с целью повлиять на динамику целевых макроэкономических показателей, передача которого происходит и итоговый воздействие которого зависит от работы каналов денежно-кредитной трансмиссии.

 

1.5 Каналы денежно-кредитной трансмиссии


Выяснив, какие цели и задачи преследует Банк России при проведении денежно-кредитной политики, круг целевых ориентиров, порядок применения имеющихся инструментов в рамках операционной процедуры, проанализируем процесс передачи импульса по каналам денежно-кредитной трансмиссии. В силу того, что Центральный Банк не может напрямую влиять на целевые макроэкономические показатели, он, изменяя различные параметры собственной денежно-кредитной политики, стремится оказать воздействие на поведение экономических агентов, от решений которых непосредственно зависит динамика таргетируемого индикатора, которыми наиболее часто избираются уровень выпуска, темп прироста индекса потребительских цен, уровень безработицы. Таким образом, каналы трансмиссионного механизма денежно-кредитной политики, согласно определению, сформулированному Моисеевым С.Р., «представляют собой своеобразные цепочки макроэкономических переменных, по которым передаётся импульс изменений, генерируемый денежными властями посредством инструментов денежно-кредитной политики» [14, с.1].

В силу того, что спектр каналов, выделяемых исследователями механизма денежно-кредитной трансмиссии в своих работах, расходится по причине теоретических воззрений, которых придерживаются авторы и которые лежат в основе их исследований, далее будет приведена сформулированная Фредериком Мишкиным классификация [29, с. 616-626], учитывающая приведенный выше фактор.

Традиционным каналом механизма денежно-кредитной трансмиссии является канал процентных ставок, который является ключевым в моделях Дж. М. Кейнса IS-LM и AD-AS, базовых макроэкономических моделях. В рамках данного канала предполагается, что Центральный банк, например, увеличивая денежное предложение, тем самым осуществляя стимулирующую монетарную политику, способствует снижению реальной процентной ставки, вследствие которого экономические агенты, как предприятия, так и население, увеличивают объем инвестиций, за которым следует повышение уровня выпуска. Использование данного канала, как правило, характерно для развитых стран [8, стр.8], в которых финансовый сектор развит в достаточной мере, чтобы импульс монетарной политики оказывал значимое воздействие на экономику.

Канал обменного курса национальной валюты привлек к себе внимание монетарных властей и исследователей благодаря процессу глобализации, объединению финансовых рынков, а также приходу режимов плавающего валютного курса. Так же, как и в канале процентной ставки, при проведении стимулирующей денежно-кредитной политики, характеризуемой повышением денежного предложения, происходит падение реальной процентной ставки, благодаря которому вложения в национальную валюту становятся менее привлекательными, что приводит к росту обменного курса. В результате ослабления национальной валюты импортные товары становятся дороже, в то время как стоимость экспорта растёт, что в итоге выражается в увеличении чистого экспорта и, как следствие, уровня выпуска. Данный канал, как правило, используется развивающимися странами [8, с.8], в которых работа процентного канала менее эффективна, нежели развитыми. Особенно актуальным канал обменного курса национальной валюты является для стран, тесно вплетенных в международную торговлю, контракты по которой устанавливаются в иностранной валюте. В частности, это касается Российской Федерации, где от сальдо торгового баланса, влияние на который валютного курса трудно переоценить, зависит в значительной мере множество показателей (например, доходная часть федерального бюджета, валютная и рублевая ликвидность банковского сектора).

Канал Q-коэффициента Тобина базируется на соответствующей теоретической модели, которая позволяет объяснить, как монетарные власти способны влиять на экономическую ситуацию посредством влияния на стоимость капитала, цену акций. Согласно теории Тобина, Q-коэффициент представляет собой рыночную стоимость компаний, поделенную на стоимость замены основных средств. Так, в случае если значение данного коэффициента велико, за счёт высокой рыночной стоимости собственных акций компании могут приобрести, например, новое оборудование, выпустив необходимое количество новых акций. Таким образом, повышается объем инвестиций и, соответственно, уровень валового выпуска. Значение данного Q-коэффициента может возрасти вследствие расширения денежного предложения, в результате которого часть расходов экономических агентов направляется на рынок акций, что приводит к росту их рыночной стоимости.

Функционирование канала богатства также полагается на динамику цен акций, однако в данном случае ситуация рассматривается с точки зрения потребителей. В соответствии с теорией жизненного цикла Ф. Модильяни, потребители стремятся распределить объемы собственного потребления во времени, принимая во внимание динамику процентной ставки и стоимости имеющихся финансовых активов.  Рост стоимости акций, возникающий в условиях проведения стимулирующей денежно-кредитной политики, означает для потребителя, основная доля финансовых активов которых приходится на акции, увеличение собственного богатства, в результате чего увеличивается потребление и, следовательно, валовой выпуск.

Отличительной чертой каналов механизма денежно-кредитной трансмиссии, относящихся к так называемому «кредитному взгляду», является лежащая в их основе поведенческая экономика, в соответствие с которой кредитные организации и экономические агенты (предприятия и население) сталкиваются с проблемой асимметрии информации на финансовых рынках, в частности, неблагоприятного отбора и морального риска соответственно.

Канал широкого банковского кредитования работает в соответствии со следующей схемой: стимулирующая монетарная политика приводит к возникновению излишних денежных средств у экономических агентов, часть из которых привлекаются кредитными организациями в качестве депозитов, что позволяет финансовым посредникам наращивать объемы кредитования, побуждая инвестиции к росту, а вместе с ними и валовой выпуск. Однако функционирование данного канала может быть в значительной степени ограничено, если предприятия в данной стране привлекают финансирование, как правило, на рынке ценных бумаг, а не от коммерческих банков, что отчетливо прослеживается, например, в США. Обратная ситуация, проявляющая в превалировании финансирования в кредитных организациях, характерна для экономики Российской Федерации, вследствие чего данный канал нередко становится объектом исследований.

Балансовый канал базируется на предположении, что в случае роста рыночной стоимости акций принимаемое коммерческими банками залоговое обеспечение при предоставлении кредитов бизнесу также увеличивается в стоимости, что стимулирует повышение темпов прироста кредитного портфеля. В противном случае, при снижении стоимости акций, коммерческие банки снижают объемы предоставляемых денежных средств, принимая во внимание низкую стоимость залогового обеспечения,  а также возможное участие заемщика в более рискованных проектах, в случае провала которых не будет возможности вернуть долг. В итоге объемы валовых инвестиций и валового выпуска будут изменяться в одном направлении с динамикой объемов кредитования.

Действие канала денежного потока основано на предположении, что вследствие проведения стимулирующей денежно-кредитной политики и последующего за ним падения уровня номинальных процентных ставок денежные потоки возрастут, что положительно скажется на балансе предприятий, в частности на их ликвидности. Повышение показателей ликвидности, в свою очередь, позволяет дать положительный сигнал возможным кредиторам о собственной платежеспособности, в результате чего объемы кредитования должны возрасти, стимулируя впоследствии инвестиции и, в конечном счёте, валовой выпуск.

Канал неожиданного изменения уровня цен рассматривает ситуацию, в которой проведение мер стимулирующей денежно-кредитной политики приводит к ускорению инфляции, вследствие чего обязательства предприятий, стоимость которых выражена в номинальных денежных величинах, уменьшается, в то время как реальная стоимость активов остается неизменной. Эти факторы в совокупности уменьшают проблему асимметрии информации, способствуя росту последовательно объемов кредитования, инвестиций и валового выпуска.

Канал ликвидности домашних хозяйств затрагивает действия населения в ответ на изменение объемов кредитования, снижение которых означает сужение их возможностей по получению средств, если у них отсутствует доступ к источникам финансирования, отличным от банковских кредитов. В случае повышения процентной ставки уменьшаются денежные потоки домашних хозяйств, что приводит к названным выше последствиям. Как результат любого из двух вариантов, объемы потребления падают, а следом за ним снижается и валовой выпуск. В рамках данного канала также рассматривается повышение или снижение вероятности возникновения финансовых трудностей вследствие падения или роста стоимости находящихся во владении  финансовых активов, приводящие в результате к сокращению и увеличению покупок товаров длительного пользования или инвестиций в недвижимость соответственно.

Различия выбираемых для анализа каналов механизма денежно-кредитной трансмиссии, помимо приверженности той или иной теоретической  концепции, зависит от выбранной для исследования страны. Это обусловлено тем, что характеристики экономической среды в существенной степени влияют на работоспособность каналов. Как уже было отмечено выше, канал банковского кредитования не играет значительной роли в передаче импульса монетарной политики в экономике США, так как предприятия в данной стране в меньшей степени зависят от объемов банковского кредитования и имеют альтернативный вариант привлечения финансирования в лице рынка ценных бумаг. Что касается исследований механизма денежно-кредитной трансмиссии в России, то зачастую канал богатства исключается из анализа в силу того, что население нашей страны не склонно использовать ценные бумаги как средство сбережения и что изменение цен финансовых активов не оказывает значимого воздействия на принимаемые ими экономические решения (аналогично для канала Q-теории Тобина)[6, с. 126]. Как правило, в случае экономики России рассматриваются следующие каналы: процентный, валютный, банковского кредитования [8].

Характеристики экономической среды также принимаются во внимание и Центральными банками различных стран [14, с.6], что определяет список каналов, входящих в модели регуляторов при составлении прогнозов и выбора последовательности использования инструментов и оптимальной траектории развития целевых ориентиров. Что касается Банка России, то вызываемые им изменения ключевой ставки транслируются в реальный сектор экономики по четырем основным каналам: процентному, кредитному, валютному и каналу цен активов [3, с. 7]. Помимо этого Центральный банк Российской Федерации уделяет внимание информационному каналу [3, с. 8], полагая, что проведение прозрачной денежно-кредитной политики позволит добиться верного формирования инфляционных ожиданий у экономических агентов, что облегчит задачу контролирования темпов прироста потребительских цен и достижения установленного целевого значения. Данная позиция согласуется с общими рекомендациями для стран, практикующих режим инфляционного таргетирования, которые заключаются в проведении активной информационной политики в целях повышения доверия к Центральному банку [13], эффективность которой в последнее время также становится объектом исследований [30].

Полная классификация описанных в данном пункте каналов механизма денежно-кредитной трансмиссии проиллюстрирована в таблице 2.

Таблица 2

Каналы механизма денежно-кредитной трансмиссии

Денежно-кредитная политика

Каналы

Процентный

Цен активов

Кредитный



Обменного курса

Q-Теория Тобина

Эффекта богатства

Банковского кредитования

Балансовый

Денежных потоков

Неожиданного изменения уровня цен

Ликвидности домашних хозяйств

Ориентир

Уровень реальной процентной ставки

Реальная процентная ставка

Цена акций

Цена акций

Объем банковских депозитов

Цена акций

Номинальная процентная ставка

Неожиданный уровень цен

Цена акций







Проблема морального риска и неблагоприятного отбора

Денежный поток

Проблема морального риска и неблагоприятного отбора

Финансовое богатство



Обменный курс

Q-Коэффициент Тобина

Финансовое богатство

Объем банковского кредитования


Проблема морального риска и неблагоприятного отбора


Вероятность возникновения финансовых трудностей







Объем кредитования

Объем кредитования

Объем кредитования


ВВП

Инвестиции

Чистый экспорт

Инвестиции

Потребление

Инвестиции

Инвестиции

Инвестиции

Инвестиции

Инвестиции в недвижимость


Потребление




Инвестиции в недвижимость




Потребление

Валовой Внутренний Продукт/Инфляция/Уровень Безработицы

Источник: [29, с. 619]

Стоит также отметить, что действие каждого из каналов денежно-кредитной трансмиссии проходит в два этапа, на первом из которых Центральный Банк стремится повлиять на промежуточный целевой показатель, а на втором - на конечный. При этом работоспособность каждой из ступени определяется выполнением ряда условий, отсутствие которых будет означать неэффективность данного канала. Этапы и факторы эффективности для каждого из каналов отображены в таблице 3.

Таблица 3

Факторы эффективности каналов ДКТ

Канал

Ступень

Фактор

Условия

Процентный

I

Зависимость рыночных процентных ставок от инструментов ЦБ

Наличие индикативной процентной ставки




Степень использования операций на открытом рынке в качестве инструмента ДКП




Отсутствие альтернативных целей у ЦБ


II

Зависимость ВВП от рыночных процентных ставок

Уровень жесткости цен и заработных плат




Доля производств, чувствительных к процентной ставке, в ВВП




Доля затрат на выплату процентов в совокупных издержках фирм

Валютный

I

Зависимость валютного курса от инструментов ЦБ

-


II

Зависимость ВВП от валютного курса

Доля импортных товаров в инвестиционных расходах фирм




Доля расходов на импортные товары в общем объеме потребительских расходов




Величина долга в иностранной валюте




Объем сбережений в иностранной валюте у населения и организаций




Валюта заключения импортных или экспортных контрактов




Доля издержек, номинированных в иностранной валюте, в общих издержках

Широкое Банковское Кредитование

I

Зависимость предложения кредитов банков от инструментов ЦБ

Доля кредитов частному сектору в активах банковского сектора




Размер банка




Уровень ликвидности банков 




Неравенство доступа на рынок заемных средств




Уровень глобализации банковского сектора




Уровень защищенности кредитных портфелей

Широкого Банковского Кредитования

II

Зависимость ВВП от объемов банковского кредитования

Чувствительность объема производства к объемам банковского кредитования

 




Чувствительность потребления к объемам банковского кредитования

 

Стоимости Активов

I

Зависимость цен на активы от инструментов ЦБ

Зависимость поведения экономических агентов от объявления властей о ближайших изменениях в денежно-кредитной политике

 


II

Зависимость ВВП от цен на активы

Доля финансовых активов в совокупных активах населения и предприятий

 

Источник: [9, с.9-10]

 

1.6 Прогнозирование ликвидности банковского сектора


Однако теперь встаёт вопрос, каким же образом ЦБ определяет, когда и в каких объемах ему следует применять свои инструменты? В вопросах регулирования валютного курса ЦБ опирался на значение бивалютной корзины, её нахождение в назначенном коридоре, а теперь в первую очередь на то, насколько данная стоимость национальной валюты опасна для достижения целевых ориентиров по инфляции в среднесрочной перспективе.  Касательно операций на открытом рынке, стоимость которых для кредитных организаций задается параметрами процентной политики Банка России, а именно уровнем ключевой ставки, их применение регулируется, как уже было ранее отмечено, на основе прогнозирования ликвидности банковского сектора, процедура которого далее будет раскрыта.

Структурный дефицит ликвидности банковского сектора (SD) представляет собой сумму чистой позиции автономных факторов ликвидности (AF), которая образуется вычитанием из пассивных статей баланса ЦБ активных статей, и обязательных резервов кредитных организаций (RR).

            (1)

Предоставляя или изымая ликвидность, Банк России тем самым удовлетворяет потребность банковского сектора в запасе платежных средств благодаря проведению операций на открытом рынке. Объем предоставленной ликвидности характеризуется чистой позицией по счетам обозначенных операций в балансе ЦБ (MO).

                               (2)

Оценка потребности банковского сектора в запасе платежных средств, информативная ценность которой на данный момент не максимальна в силу того, что не все кредитные учреждения используют механизм усреднения обязательных резервов, крайне необходима при работе системы симметричного процентного коридора. Так, Банк России предоставляет ликвидность именно в том объеме, который соответствует прогнозируемой величине автономных факторов ликвидности и устойчивой компоненте спроса на банковские резервы.  Однако в силу того, что динамика названных выше факторов представляет собой процесс случайный, целевой объем операций на открытом рынке определяется так, чтобы вероятности обращения банковского сектора к кредитным и к депозитным операциям постоянного действия были равными.

Немаловажным будет отметить, что, согласно некоторым исследованиям, процентная политика Банка России находится в промежуточном состоянии между системой симметричного процентного коридора и системой ключевой кредитной операции постоянного действия [15]. Данный вывод основывается на том факте, что кредитные учреждения, как правило, чаще обращаются к кредитным операциям, нежели депозитным. Соответственно и ставка МИАКР в большинстве случаев тяготеет к верхней границе коридора процентных ставок. Решению данной проблемы может поспособствовать модификация правил денежно-кредитной политики, улучшение процедур проведения операций, усовершенствование механизма прогнозирования ликвидности с учётом таких факторов, как объемы валютных интервенций и прогнозирование остатков средств на счетах расширенного правительства.

 

1.7 Выводы


Обобщая сказанное в первой главе данной работы, операционным ориентиром процентной политики Банка России является краткосрочная процентная ставка рынка межбанковского кредитования, нахождение которой вблизи ключевой ставки, т.е. центра симметричного процентного коридора, осуществляется путем проведения кредитных и депозитных операций постоянного действия на основе прогнозируемой потребности банковского сектора в ликвидности.

Изменение краткосрочной процентной ставки денежного рынка  в свою очередь влечет соответствующие корректировки в динамике промежуточных макроэкономических показателей (процентные ставки по депозитам физических лиц, процентные ставки по кредитам юридическим лицам, обменный курс национальной валюты, темп прироста денежных агрегатов и т.д.). Принимая во внимания данные изменения, домашние хозяйства и предприятия меняют собственные решения, тем самым оказывая влияние на величину компонент, определяющих валовой внутренний выпуск (потребление, инвестиций и чистый экспорт), что в свою очередь в дальнейшем определяет поведение индекса потребительских цен.

Учитывая описанные выше процессы, происходящие вследствие принимаемых Банком России в рамках процентной политики решений, оценка макроэкономических эффектов, генерируемых изменением ключевой ставки, необходима для правильного использования системы инструментов, имеющихся в распоряжении регулятора.

Однако прежде чем провести соответствующую оценку необходимо рассмотреть используемые в настоящий момент подходы для анализа эффектов монетарной политики и выбрать метод, наиболее полно отвечающий цели и задачам настоящего исследования.

денежный кредитный политика банк

Глава 2. Подходы в оценке денежно-кредитной политики


В данной главе изложены методологические основы наиболее распространенных в настоящий момент подходов к моделированию экономик различных стран и, соответственно, к оценке эффектов денежно-кредитной политики: метод векторных авторегрессий (VAR) и динамические стохастические модели общего равновесия (DSGE), пришедшие в конце в 1970-ых гг. на смену стандартным макромоделям. Наиболее подробно в данной главе описана методология VAR, а именно оценивание приведенной и структурной форм, так как именно данный подход был взят для проведения эконометрического анализа макроэкономических эффектов процентной политики Банка России, описанию результатов которого посвящена третья глава. Помимо сравнения двух главенствующих моделей, названных выше, ряд эмпирических стилизованных фактов приведен в конце настоящей главы, позволяющих построить гипотезы относительно влияния процентной политики Банка России на выпуск и на инфляцию.

 

2.1 Методология VAR


В настоящее время в эконометрических исследования, целью которых является оценка влияния шоков денежно-кредитной политики или анализ работоспособности каналов денежно-кредитной трансмиссии, как правило, используется методология VAR (векторных авторегрессий), предложенная Кристофером Симсом в 1980 году.

Выступая с критикой широко используемых на тот момент систем одновременных уравнений для макроэкономического моделирования [16,  с.414-415], которая заключалась в периодически слабо обоснованном априорном определении некоторых переменных в качестве экзогенных, Кристофер Симс предложил подход векторных авторегрессий, согласно которому все переменные изначально считались эндогенными [33, с.15].  Впоследствии допускается накладывать ограничения на переменные таким образом, чтобы, во-первых, учесть их экзогенность, на которую указывают результаты проведенных статистических тестов, и, во-вторых, принять во внимание наиболее вероятные теоретических взаимосвязи.

Из этого следует преимущество данного подхода, позволившее ему получить столь сильное развитие и заключающееся в возможности проводить анализ, не располагая достоверной информацией о взаимозависимостях между переменными. Помимо этого очевидным достоинством методологии VAR является имеющийся обширный инструментарий, с помощью которого можно составлять прогнозы динамики входящих в систему эндогенных переменных, а также исследовать структурные экономические гипотезы [27, с.2].

Исходя из методологий, лежащих в основе проанализированных исследований, можно выделить следующие виды и модификации модели VAR:

.        Приведенная форма VAR без ограничений (Unrestricted VAR)

.        Структурная форма VAR (Structural VAR)

.        Байесовкая модель VAR (Bayesian VAR)

.        Факторно-расширенная модель VAR (Factor Augmented VAR)

.        Пороговая модель VAR (Threshold VAR)

Согласно схеме, представленной в работе Х. Луткепола [27, с.3], анализ с применением методологии VAR начинается со спецификации и оценивания с помощью метода наименьших квадратов приведенной формы VAR, которая затем проверяется на соответствие условиям стационарности временных рядов, стабильности модели, отсутствия автокорреляции, гетероскедастичности, а также нормальности распределения остатков уравнений. Успешное выполнение данных тестов указывает на отсутствие необходимости отвергать имеющуюся модель и изменять её спецификацию, что даёт исследователю право на проведение дальнейших процедур, отвечающих целям исследования, которыми могут быть либо прогнозирование, либо анализ причинности по Грейнджеру, либо структурный анализ, подразумевающий под собой оценивание функции импульсного отклика и разложения дисперсии переменных.

Далее каждый шаг описанной выше схемы будет рассмотрен подробнее, чтобы наиболее полно раскрыть методологию, с помощью которой была проведена оценка макроэкономических эффектов процентной политики Банка России, результаты которой отображены в следующей главе.

 

2.1.1 Оценивание приведенной формы VAR

Стандартная иллюстрация приведенной формы VAR без ограничений представляет собой систему из нескольких уравнений, в которых каждая переменная описывается линейной функцией, определяемой прошлыми значениями всех переменных, входящих в модель, следующим образом:

     ,             (3)

Где yt - n*1 вектор эндогенных переменных, xt - k*1 вектор экзогенных переменных,  c - n*1 вектор констант, A1, A2, …, A - n*n матрицы оцененных по методу наименьших квадратов параметров для соответствующих временных лагов l = 1, 2, …, p эндогенных переменных, B - k*k матрица оценок коэффициентов экзогенных переменных, vt - n*1 вектор ошибок («белый шум», то есть vt ~ N(0, σ2In).

Оцениванию модели VAR предшествует ряд процедур, выполнение которых необходимо для построения верной спецификации системы, что подразумевает под собой, помимо выбора перечня переменных на основе теоретических концепций и собственных предположений, проверку временных рядов на стационарность и определение оптимального количества лагов.

Все временные ряды переменных, включенных в модель, должны быть стационарными, то есть их свойства не должны изменяться при изменении начала отсчёта времени [16, с.310-311]. Таким образом, основные условия стационарности временных рядов могут быть проиллюстрированы независимостью от времени их математического ожидания и дисперсии (4).

                                 (4)

Для проверки предположения о стационарности временного ряда  можно использовать тест Дики-Фуллера (Augmented Dickey-Fuller Test - ADF), нулевая гипотеза которого заключается в наличии единичного корня, то есть не стационарности данных. Если нулевая гипотеза не отклоняется, то необходимо использовать данные не в уровнях, а в первых или во вторых разностях, в зависимости от результатов теста. Если тест Дики-Фуллера указал на стационарность временного ряда лишь в разностях, то необходимо также провести коинтеграционный тест Йохансена (Johansen cointegration test), проверяющий предположение о наличии долгосрочной зависимости между переменными.

По результатам двух названных выше тестов определяется вид, в котором переменные включаются в модель, а также делается выбор между VAR и VECM методами [31, с. 611]:)                                                                            Если переменные стационарны в уровнях, то оценивается модель VAR в уровнях;

b)      Если переменные стационарны лишь в разностях, но гипотеза о наличии коинтеграционного соотношения отвергнута, то используется модель VAR в первых или вторых разностях;)      Если переменные стационарны лишь в разностях, но при этом коинтегрированны, то строится модель коррекции ошибок VECM (vector error correction model), учитывающая наличие долгосрочной зависимости между переменными, или модель VAR  в уровнях.

Не менее важная, чем тесты на интеграцию и коинтеграцию временных рядов, процедура - это выбор порядка лага для выбранной модели VAR, от величины которого в значительной степени зависят результаты дальнейших операций. Поиск оптимального лага модели, как правило, осуществляется с помощью информационных статистических критериев, основными из которых являются критерии Акаике (Akaike information criterion - AIC), Шварца (Schwarz information criterion - SC), Ханнана-Куинна (Hannan-Quinn information criterion - HQ), а также тест отношения правдоподобия (Likelihood Ratio - LR).

Однако иногда полученные с помощью информационного критерия оптимальные значения порядка лага могут существенно различаться. Например, критерий Акаике нередко завышает глубину лага модели, по сравнению с другими [5, с.44]. В таких ситуациях имеет смысл провести тест Вальда на значимость лага (Lag Exlusion Test), который демонстрирует совместную значимость всех переменных для каждого значения лага.

Определившись с окончательным вариантом спецификации модели векторной авторегрессии, необходимо проверить её стабильность, на что указывают значения обратного корня характеристического уравнения AR полинома. Система считается стабильной, если все корни по модулю не превышают 1,00, а в графической интерпретации соответственно лежат в пределах единичного круга.

Чтобы удостовериться в том, что выбранная спецификация системы уравнений даст достоверные оценки коэффициентов переменных и их стандартных ошибок, необходимо выполнить тестирование остатков модели. Это объясняется тем, что оценка коэффициентов в модели VAR происходит с помощью метода наименьших квадратов, который, согласно теореме Гаусса-Маркова, предполагает выполнения ряда условий (отсутствие автокорреляции остатков, гомоскедастичность, нормальность распределения остатков) для получения BLUE-оценок (наименьшая дисперсия в классе линейных несмещенных оценок) [11, с.41].

Проверка выполнения трех названных выше условий может проводиться на основе анализа графика остатков либо с помощью специализированных тестов.

Тестирование на наличие автокорреляции остатков, как правило, включает в себя тест Льюинга-Бокса (Portmanteau test for autocorrelation), рассчитывающего Q-статистику для каждой выбранной величины лага, и тест Бройша-Годфри (Breusch-Godfrey serial correlation LM-test), который предполагает использование дополнительного регрессионного уравнения остатков исходной модели и расчёт LM-статистики. Превышение p-value 5% уровня в обоих случаях говорит о принятии нулевой гипотезы, которая свидетельствует об отсутствии автокорреляции остатков модели [31, с. 614].

Проверка предположения о нормальности распределения остатков модели проводится с помощью расчёта третьего и четвертого центральных моментов - коэффициента асимметрии (skewness) и коэффициента эксцесса (kurtosis), расчётные значения которых сравниваются с таковыми для нормального распределения в рамках теста Харке-Бера (Jarque-Bera test) [27, с.13]. Высокое совместное значение p-value (более 5%) данного теста говорит в пользу принятия нулевой гипотезы, утверждающей, что остатки всех уравнений, входящих в систему, нормально распределены. Однако выполнение условия нормальности не является обязательным для проведения большинства статистических процедур в рамках моделей VAR [27, с. 13].

Выполнение условия гомоскедастичности остатков для VAR моделей проводится на основе теста Уайта (White heteroskedasticity test), нулевая гипотеза которого об отсутствии гетероскедастичности принимается при p-value, превышающих 5%. Однако данное условие зачастую не выполняется, что становится следствием либо высокой частоты данных, либо наличием структурных изменений в выборке. Особенно это актуально для временных рядов финансовых показателей, динамика которых существенно изменяется, например, в периоды мировых финансовых кризисов, что сказывается на непостоянстве дисперсии в течение анализируемого периода. Поэтому даже при невыполнении условия гомоскедастичности вполне можно  проводить дальнейший анализ, за исключением составления прогноза, если данную проблему не удается разрешить с помощью процедур избавления от гетероскедастичности (например, внесение поправок Уайта или двухшаговая процедура коррекции) [27, с.13]. Также для решения данной проблемы иногда строятся модели, полностью учитывающие гетероскедастичность остатков (например, GARCH или применение обобщенного метода моментов для оценки коэффициентов).

В целях дальнейшего анализа построенная VAR-модель, удовлетворяющая ранее описанным условиям, может быть использована, применительно к цели настоящей работы, для оценки использования Банком России инструментов процентной политики, ключевой ставки и операций по представлению или абсорбированию ликвидности, влияющих на денежное предложение в стране, в частности на денежную базу.

С помощью теста на причинность по Грейнджеру (Granger-causality test) можно определить, помогает ли включение настоящих и взятых с лагом значений одной переменной y2 в уравнение, описывающее динамику другой переменной y1, усовершенствовать качество прогноза для y1 [27, с.15]. В рамках модели VAR порядка p с двумя переменными, изображенной следующей формулой (5) отсутствие причинности по Грейнджеру означает, что коэффициенты a12,i=0 для всех i=1,2, …, p.

                      (5)

В таком случае нетрудно догадаться, что для проверки причинности по Грейнджеру одной переменной y2 на другую y1 достаточно провести стандартный тест Вальда на ограничение коэффициента a12,i=0, превышающее 5% значение p-value по итогам которого позволит принять нулевую гипотезу о равенстве коэффициента нулю. Отличительная черта теста Грейнджера для модели VAR, в сравнении с аналогичным парным тестом, заключается в том, что он также позволяет оценить не только влияние одной переменной, но и всех регрессоров совместно. Данный тест также можно использовать для определения эндогенности или экзогенности рассматриваемых величин, что позволит правильно упорядочить переменные при построении функции импульсного отклика методом декомпозиции Холецкого.

Построение функции импульсного отклика позволяет оценить эффект, который будет оказан на динамику всех переменных, входящих в систему, при возникновении единичных импульсных изменений фундаментальных инноваций одной переменной при фиксированных значениях всех остальных инноваций во все моменты времени, что достигается за счёт их упорядочивания. Чтобы произвести оценку функции импульсного отклика необходимо преобразовать приведенную форму VAR-модели в модель VMA (Vector autoregressive moving average model), для чего необходимо уравнение вида (6) привести к виду бесконечного скользящего среднего (7) путем замены коэффициентов B(L) на следующие C(L)=[B(L)]-1 [16, с. 416-418].

,                                              (6)

Где ,

,                             (7)

Данная VMA репрезентация, иначе называемая репрезентацией Вольда [27, с.17], позволяет построить функции откликов всех переменных на шоки фундаментальных инноваций, которые могут быть изображены следующим образом:

,                                              (8)

Функция (8) демонстрирует отклик i-переменной в момент времени t+s на импульс в j-переменной в момент времени t при условии, что другие переменные остаются неизменными.

Последним инструментом, который можно использовать для интерпретации результатов оцененной модели VAR особенно в ситуации, когда трудно сделать выводы на основе оценок коэффициентов, является анализ декомпозиции дисперсии. Декомпозиция дисперсии отображает долю дисперсии i-переменной в момент времени t+s, которая объясняется шоком j-переменной в момент времени t. Для осуществления данной процедуры также необходимо правильно упорядочить переменные.

 

2.1.2 Оценивание структурной формы VAR

Оценка приведенной формы VAR без ограничений является лишь подготовительной стадией для построения структурной формы VAR, которая позволяет произвести идентификацию шоков монетарной политики не только традиционным рекурсивным способом, заключающимся в простом упорядочивании переменных. В общем виде модель SVAR выглядит следующим образом:

,                        (9)

Формула (9) при выполнении условия стабильности модели может быть видоизменена путём умножения слева обеих частей уравнения на матрицу, обратную матрице A:

,                     (10)

Где a=A(-1)C(L), b=A(-1)D(L), µ=A(-1)Bε.

Сама процедура идентификации заключается в нахождении матриц A и B после того, как на часть их компонент исследователем были наложены ограничения. Стандартный пример наложения ограничений заключается в том, что матрица B предполагается диагональной с неизвестными элементами на её главной диагонали, а матрица А нижней треугольной, находящиеся на главной диагонали элементы которой равны единице.

Среди различных подходов к идентификации шоков монетарной политики можно выделить следующие:

.        Идентификация шоков в соответствии со стандартной рекурсивной схемой [28; 23; 24];

.        Идентификация шоков в соответствии с так называемым «нарративным» подходом, разработанным Кристиной и Дэвидом Ромерами [32];

.        Идентификация шоков с использованием подхода ограничения на знак функции отклика, разработанного Гаральдом Ухлигом [34];

.        Идентификация шоков, учитывающая долговременные ограничения.

В соответствии с первым подходом все эндогенные переменные разбиваются на три группы: Y1t - переменные, которые изменяются с некоторым лагом, Y2t - переменные, которые откликаются одновременно с шоком, st - инструмент монетарной политики в виде ставки Центрального банка или денежного агрегата. Согласно данным предположениям, матрица эндогенных переменных Yt и блочная нижнетреугольная матрица A могут быть представлены в следующем виде:

                                                (11)

                               (12)

Исходя из структуры матрицы А: нулевой блок в средней строке отражает гипотезу о том, что монетарные власти не включают Y2t при установлении уровня st; первый нулевой блок в первой строке исключает прямое влияние инструмента монетарной политики st на Y1t; второй нулевой блок в первой строке исключает косвенное влияние инструмента монетарной политики st на Y1t посредством Y2t. Соответственно при проведении исследования таким образом необходимо определить, какой инструмент Центральный банк использует в качестве главного, и верно установить список переменных, входящих в информационное множество монетарных властей при принятии ими решений [16, с.459-462].

Однако традиционная рекурсивная идентификационная схема, по мнению некоторых исследователей, не в полной мере устраняет эндогенность «шоков» денежно-кредитной политики. Иными словами, в силу того, что процентные ставки в экономике могут меняться не под воздействием мер, оказываемых монетарными властями, а под влиянием динамики других макроэкономических показателей (например, рост процентных ставок в периоды повышения экономической активности), эффекты монетарной политики могут недооцениваться.

В качестве решения данной проблемы был предложен так называемый «нарративный» подход [32], согласно которому в качестве шока денежно-кредитной политики следует выделять  лишь ту часть изменения процентной ставки на заседании монетарных властей, которую нельзя объяснить прогнозами регулятора относительно ключевых макроэкономических показателей, входящих в информационное множество Центрального банка. Авторы данного подхода для достижения поставленной выше цели использовали записи заседаний комитета ФРС США.

Однако далеко не в каждой стране Центральные Банки долговременно ведут столь открытую политику, в силу чего данный способ оказывается невыполним. Одна из возможных альтернатив была предложена Юдаевой К.В. и Синяковым А.А., которые в качестве шоков монетарной политики использовали отклонения от спрогнозированных с помощью некоторого правила политики процентных ставок [21, с. 7]. В данном случае правило политики, то есть правило, согласно которому Центральный банк, учитывая будущие и целевые значения, например, инфляции и выпуска, определяет значение инструмента монетарной политики [22], приняло следующий вид, напоминающий правило Тейлора:

, (1.11)

Где (it) - номинальная краткосрочная процентная ставка Центрального банка,  ожидаемые (e) и целевые (*) уровни инфляции (πt), выпуска (yt) и валютного курса (ert).

В прикладных эконометрических исследованиях, посвященных оценке эффектов денежно-кредитной политики, нередко получаются результаты, которые не согласуются с общепринятыми теоретическими предположениями о характере взаимосвязи между переменными. Например, «ценовая загадка» (price puzzle), проявляющаяся в том, что при проведении ограничительной денежно-кредитной политики за ростом рыночных процентных ставок следует рост цен [25, с.24; 28, с.199]. Хотя, согласно макроэкономической теории, повышение стоимости денег в экономике должно приводить к замедлению экономической активности, а следом за ней и к снижению темпов прироста потребительских цен. Однако  данный эффект, как правило, наблюдается в развивающихся странах, нежели развитых. Также иногда наблюдается «загадка ликвидности» (liquidity puzzle), проявляющаяся в повышении уровня процентных ставок в экономике, несмотря на проведение стимулирующей денежно-кредитной политики посредством увеличения денежных агрегатов [25, с.25].

Выявление таких нелогичных зависимостей повлекло за собой множество вариантов решения, одни из которых базируются на включении в список экзогенных переменных, например, цен на нефть или котировок фондовых индексов. Также был предложен и новый подход к идентификации шоков денежно-кредитной политики, заключающийся в ограничении определенных элементов матрицы A по знаку. Как правило, знак элемента определяется в соответствии со стандартной макроэкономической теорией [34].

 

2.1.3 Оценивание Байесовской модели VAR

Для исследований, проведенных по методологии VAR, характерно возникновение ситуации получения незначительно отличающихся от нуля оценок коэффициентов, стоящих перед эндогенными переменными в каждом уравнении системы. Данная проблема связана с чрезмерной параметризацией модели, которая усиливается в случае анализа временных рядов при небольшом объеме выборки. Если взять в качестве примера модель, проиллюстрированную формулой (1.1), то в данном случае необходимо оценить n+pn2 параметров, где n - количество эндогенных переменных, а p - порядок лага модели.

Чтобы справиться с проблемой чрезмерной параметризации иногда используется байесовский подход  оценивания параметров модели, который, в сравнении с классическим подходом, предоставляет возможность одновременно учесть как экспертные предположения относительно характера априорного распределения, так и располагаемые эмпирические данные и оценить большую группу переменных, не накладывая чрезмерных ограничений на коэффициенты [17, с. 27].

Наиболее важным моментом исследования, проводимого с помощью байесовского подхода, является верное задание предположения относительно характера априорного распределения параметров модели, которое может полагаться или на ранее проведенные эмпирические исследования, или на теоретические. После определения характера априорного распределения (его функции плотности), по формуле Байеса выводится функция плотности для апостериорного распределения, которое учитывает уже и эмпирические данные, включенные в модель. Это достигается за счёт того, что имеющаяся изначально безусловная функция плотности априорного распределения может быть скорректирована на информацию, включенную в выборку данных, в результате чего выводится условная функция плотности, используемая в формуле Байеса (13).

 ,                               (13)

Где p(at) - безусловная функция плотности априорного распределения отдельной переменной, p(θ) - безусловная функция плотности априорного распределения параметров модели, p(at|θ) - условная функция плотности априорного распределения отдельной переменной, p(θ|at) -функция плотности апостериорного распределения параметров модели.

Верный выбор характера априорного распределения становится особенно важным, так как, согласно формуле Байеса, такое же апостериорное распределение будет присвоено всей модели. Как правило, стандартным допущением при построении экономических моделей является предположение о нормальности распределения оцениваемых параметров, которое может быть либо независимым, либо совместным [4, с. 44]. В случае, если на основе имеющихся знаний нельзя вынести предположение относительно характера априорного распределения, тестируется априорное распределение, отражающее скудность априорных знаний.

Задача выбора априорного распределения также включает в себя подбор гиперпараметров, характерный для каждого вида распределения: например, гиперпараметр «узости» отклонения компонент математического ожидания для независимого нормального распределения, гиперпараметр числа степеней свободы обратного распределения Уиашарта. Возможный вариант осуществления данной процедуры, чтобы подобрать оптимальное значение гиперпараметра, заключается в минимизации показателя средней квадратической ошибки прогноза (RMSE).

 

2.1.4 Оценивание факторно-расширенной модели VAR

Построение факторно-расширенной модели VAR (FAVAR), оценивание коэффициентов которой может производиться как традиционным методом наименьших квадратов, так и байесовским подходом, отличается от предыдущих моделей включением в дополнение к исходным временным рядам данных также динамики главных компонент.  Применение метода главных компонент, по сравнению со стандартными VAR и SVAR моделями, позволяет включить в анализ большее количество переменных, а также, согласно исследованиям [17, с.37], улучшить точность прогноза, что подтверждается меньшей величиной показателя средней квадратической ошибки (RMSE).

Таким образом, оценивание факторно-расширенной модели VAR, как правило, включает в себя две стадии, на первой из которых оцениваются главные компоненты, а на второй - коэффициенты итоговой модели. Существует несколько алгоритмов выделения главных компонент: статический, который сводится к вычислению собственных значений и собственных векторов ковариационной или корреляционной матрицы исходных временных рядов, и динамический, основанный на применении многомерного фильтра Кальмана. Стоит также отметить, что проведению динамического алгоритма предшествует выделение главных компонент статическим методом и оценивание исходной VAR модели по методу наименьших квадратов [17, с.29]. Полученный по одному из приведенных выше алгоритмов вектор главных компонент включается в исходную модель, после чего та принимает следующий общий вид:

,                     (14)

Где Yt - вектор основных эндогенных переменных, Ft - полученный вектор главных компонент, A1, …, Ap - матрицы оцененных по МНК или по байесовскому подходу коэффициентов, εt и ut - остатки FAVAR ~ iid.

 

2.1.5 Оценивание пороговой модели VAR

Пороговая модификация модели VAR (TVAR) нашла своё практическое применение в прикладных исследованиях, посвященных анализу последовательности действий Центрального банка при проведении денежно-кредитной политики. В частности, регулятор на определенно взятом периоде может, на самом деле, стремиться достичь не одной цели, а двух, например, пытаться удерживать валютный курс в заданном коридоре и сдерживать инфляцию. В таком случае действия монетарных властей (выбор одной из двух целей) могут определяться значением некоторой пороговой переменной.

В таком случае моделирование денежно-кредитной политики Центрального банка может быть осуществлено оценивание следующей пороговой SVAR модели порядка p [19, с. 93]:

,  (15)

Где Yt - вектор эндогенных переменных, b0 - векторы констант, B1, B2 - матрицы с нулями на главной диагонали, A1(L), A2(L) - матричные лаговые полиномы порядка p, ct-d - пороговая переменная, отвечающая за переключение режима денежно-кредитной политики, γ - величина порога смены режима, I - функция-индикатор, εt - вектор фундаментальных шоков ~ iid.

Для проверки гипотезы о преследовании Центральным банком одновременно двух целей, согласно представленной формуле TVAR, достаточно провести тест Вальда на равенство элементов матриц b02, B2, A2(L)  нулю, что будет означать наличие лишь первого режима денежно-кредитной политики и отсутствие второго.

 

2.2 Методология DSGE


Преимущественно эконометрический подход в эмпирической практике макроэкономических исследований эффектов денежно-кредитной политики, основанный на оценке моделей VAR, представляющих собой линейные модели, на параметры которых накладываются минимальные структурные ограничения, не является единственным в настоящий момент. Так называемая «критика Лукаса» [26], возникшая примерно в одно время с «критикой Симса» [33] и заключавшаяся в том, что традиционные структурные макромодели, используемые в то время для моделирования денежно-кредитной политики, не состоятельны, так как они не принимали во внимание рациональные ожидания экономических агентов, поспособствовала развитию новой методологии DSGE.

 

2.2.1 Общее описание моделей класса DSGE

Модели DSGE (Dynamic Stochastic General Equilibrium) представляют собой динамические стохастические модели общего равновесия, на параметры которой накладываются структурные ограничения, отражающие взаимосвязи между входящими в систему макроэкономическими переменными. Взаимоотношения между переменными в моделях DSGE также учитывают микроэкономический фактор: решения, принимаемые экономическими агентами в рамках моделируемой системы, полностью специфицированы за счёт описания их функций полезности, целевых функций, а также условий равновесия на всех симулируемых рынках. Таким образом, результаты оптимизационных решений, принимаемых всеми экономическими агентами, накладывают сильные ограничения на вероятные взаимоотношения между макроэкономическими переменными и устанавливают тесные функциональные зависимости между коэффициентами.

Объединение микроэкономического и макроэкономического подходов в моделях DCGE, проявляющееся в более жесткой, чем в VAR моделях, параметризацией, имеет ряд преимуществ, по сравнению с традиционными эконометрическими подходами [12, с. 2]:

·        Повышается вероятность получить более эффективные оценки всех структурных взаимосвязей между переменными за счёт накладываемых ограничений;

·        За счёт принятых структурных ограничений повышается вероятность получить более качественные прогнозные значения переменных.

В некоторых случаях модели DSGE можно лог-линеаризовать, что предоставляет возможность записать их в приведенной форме VAR, коэффициенты которой будут строго связаны между собой. Однако в противном случае, когда систему уравнений невозможно привести к линейному виду, проявляется один из недостатков данной методологии, заключающийся в повышенной сложности нелинейного оценивания. Второй же недостаток связан с высокой вероятностью возникновения проблемы некорректной спецификации модели.

Как правило, статистическое оценивание модели DSGE намного сложнее модели VAR и включает в себя следующие стадии: спецификация динамической модели общего равновесия, нахождение решения полученной системы уравнений, приведение полученного решения к виду, позволяющему провести статистическое оценивание, и эконометрическое оценивание. Последняя стадия может осуществляться с применением одного из трёх существующих подходов к оцениванию моделей DSGE: обобщенный метод моментов и метод наименьшего расстояния, метод максимального правдоподобия, Байесовский метод с использованием алгоритма MCMC.

В настоящий момент модели DSGE пишутся в соответствии с неокейнсианским подходом, предполагающим учёт довольно широкого набора условий, отражающих существующие в экономике реальные и номинальные «жесткости» (например, цен, заработной платы) [18, с. 324]. Наиболее часто встречающаяся в исследованиях, посвященных анализу процессов, происходящих в экономиках развивающихся стран, в том числе России, макроэкономическая модель - это динамическая стохастическая модель общего равновесия малой открытой экономики, вариант которой, наиболее подходящий теме настоящей работы, будет подробнее описан далее.

 

2.2.2 Модификация монетарной модели Хурлина-Киерженковского

Для описания процесса передачи импульса, побуждаемого мероприятиями  денежно-кредитной политики, осуществляемых Банком России, на целевой ориентир, в частности выпуск, посредством трёх основных каналов механизма денежно-кредитной трансмиссии (процентной ставки, валютного курса, широкого банковского кредитования) предлагается использовать модифицированную Е.А. Леонтьевой модель Хурлина-Киерженковского. В рамках данной дополненной модели, входящие в которую переменные оцениваются в форме процентных отклонений от своих устойчивых равновесных значений,  симулируется малая открытая экономика с несовершенной мобильностью капитала. Равновесие в рассматриваемой экономике определяется системой из следующих четырех уравнений: рынок товаров и услуг (16), рынок банковских кредитов (17), рынок банковских депозитов (18), рынок иностранной валюты (19) [10, с. 340].

                     (16)

Где θ1,2 - зависимость совокупного спроса от ставки процента по облигациям (ib) и от ставки процента по банковским кредитам (ic); θ3,4 - эластичность частных доходов и чистого экспорта от валютного курса (er) соответственно; k1 - зависимость совокупного выпуска от уровня цен (p).

                     (17)

Где γ1,2 - зависимость предложения кредитов от ставки процента по банковским кредитам и от ставки процента по облигациям соответственно; d - величина привлеченных средств; λ1,2,3 - зависимость спроса на кредиты коммерческих банков от процентных ставок по банковским кредитам и облигациям, а также от совокупного выпуска.

                        (18)

Где dd - спрос на банковские депозиты, предъявляемые коммерческими банками; ds - предложение банковских депозитов, формируемое населением и зависящее (β1,2) от совокупного выпуска и от ставок процента по облигациям.

                                                   (19)

Где a - зависимость чистых зарубежных инвестиций от внутренней процентной ставки; θ4 - зависимость чистого экспорта от валютного курса.

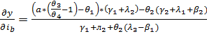
Решая приведенную выше систему уравнений, автор исследования пришел к выводу, что при допущении о ставке процента по облигациям в качестве главного инструмента денежно-кредитной политики совокупный выпуск зависит от действий Центрального банка следующим образом:

               (20)

Как можно заметить из приведенного выше выражения (20), знак отклика валового выпуска на повышение ставки по облигациям не определен. Знак знаменателя может принимать разные значения в зависимости от уровня чувствительности депозитов (β1) и спроса на кредиты (λ3) по доходу. В свою очередь знак числителя не определен в силу функционирования рынка иностранной валюты, задающее соотношение эластичностей частного спроса (θ3) и чистого экспорта (θ4) по обменному курсу иностранной валюты.

На примере данной модели, можно сформулировать следующий вывод: эффект от повышения монетарными властями уровня процентной ставки складывается из результатов влияния всех функционирующих каналов денежно-кредитной политики. Как следствие, при определенных условиях экономической среды сдерживающий эффект от роста процентной ставки на валовой выпуск, передающийся по процентному каналу, может быть нивелирован стимулирующим воздействием со стороны канала валютного курса или канала широкого банковского кредитования. Соответственно, в случае выявления нестандартной зависимости при оценке эффектов процентной политики напрямую на выпуск, возможно, имеет смысл провести дополнительные исследования, раскрывающих механизм работы отдельных каналов денежно-кредитной трансмиссии.

 

2.3 Эмпирические стилизованные факты


На основе проанализированных исследований, посвященных оценке эффектов денежно-кредитной политики или работоспособности каналов механизма денежно-кредитной трансмиссии на примере как развивающихся, так и развитых стран, можно составить небольшой перечень эмпирических фактов, то есть утверждений о взаимозависимости межу переменными, которые наиболее вероятно характерны для стран со схожими характеристиками экономической среды.

Денежно-кредитная политика, проводимая монетарными властями в развитых странах, наиболее вероятно, приведет к следующим макроэкономическим эффектам [8]:

·        Применение инструментов при проведении сдерживающей монетарной политики с некоторой задержкой приводит к снижению выпуска, который в долгосрочной перспективе, как правило, имеет тенденцию к восстановлению, что говорит о временном влиянии мер денежно-кредитной политики на выпуск и уровень безработицы;

·        Также с некоторой задержкой сдерживающая монетарная политика приводит к снижению общего уровня цен, который в долгосрочной перспективе устанавливается на более низком уровне, что говорит о постоянном характере влияния одномоментного фундаментального шока денежно-кредитной политики;

·        В ответ на шок денежно-кредитной политики различные компоненты совокупного выпуска корректируются с различной скоростью: потребительские расходы, в отличие от запасов, сокращаются заметно быстрее. Однако запасы, по сравнению с расходами, скорее восстанавливаются до прежнего уровня, что говорит об отсутствии перманентного влияния инструментов Центрального банка;

·        Для периодов подъема экономики характерна меньшая чувствительность экономических агентов на мероприятия, проводимые Центральным банком, нежели чем в условиях экономического спада.

Что касается развивающихся стран, в частности БРИКС, то для них характерны следующие факты [28]:

·        Сдерживающая денежно-кредитная политика в странах БРИКС может быть использована для стабилизации инфляции, однако при этом будет наблюдаться падение совокупного выпуска и сильное и продолжительное укрепление реального валютного курса.

·        Положительный фундаментальный шок краткосрочных процентных ставок непременно ведет к стабилизации инфляции, укреплению валютного курса, значительному сокращению совокупного выпуска и падению цен финансовых активов.

·        Во всех пяти развивающихся странах, входящих в БРИКС, денежно-кредитная политика в течение периода с 1990 года по 2008 год проводилась таким образом, чтобы поддерживать, прежде всего, совокупный выпуск, нежели стабилизировать инфляцию.

В отношении денежно-кредитной политики Банка России и работоспособности каналов кредитно-денежной трансмиссии в российской экономике было установлено следующее [8]:

·        Процентный канал является неработоспособным вследствие слабого влияния, оказываемого инструментами ЦБ РФ на рыночные процентные ставки, динамика которых к тому же не учитывается экономическими агентами при принятии потребительских и инвестиционных решений. Таким образом, не работают как первая, так и вторая ступени канала процентной ставки.

·        Валютный канал, напротив, является работоспособным и эффективным, что подтверждается способностью Банка России своими мерами влиять на динамику валютного курса, который в свою очередь формирует потребительские и инвестиционные расходы, а также воздействует на динамику чистого экспорта.

·        Канал широкого банковского кредитования является работоспособным лишь частично. Несмотря на высокую роль банковского кредитования в формировании поведения населения и предприятий, первая ступень данного канала неэффективна - Банк Росси не обладает влиянием на банковский сектор вследствие низких объемов операций рефинансирования непосредственно у ЦБ РФ (коммерческие банки предпочитают привлекать финансирование для покрытия краткосрочных балансов разрывов на рынке межбанковского кредитования).

·        Политика Банка России, начиная с 2000 года, носила непоследовательный характер: в периоды невысокой инфляции ЦБ РФ стремился не допускать чрезмерного укрепления национальной валюты, а в периоды высокой инфляции переходил в режим сдерживания темпов прироста потребительских цен [19, с.103]. Помимо этого, Банк России стремился наращивать объемы международных золотовалютных резервов [7, с.28]. Данная непоследовательность денежно-кредитной политики Банка России, негативное влияние которой на эффективность была не раз подтверждена [8; 13], может служить объяснением систематического отклонения фактической инфляции от целевого уровня.

·       

Глава 3. Эконометрический анализ макроэкономических эффектов процентной политики Банка России


В данной главе приведены результаты эконометрического анализа макроэкономических эффектов процентной политики Банка России в период с 2003 года по 2015 год. Выбор данного временного периода для исследования обусловлен отсутствием данных по ряду переменных, входящих в оцениваемые модели.

В рамках первой модели VAR была оценена способность регулятора влиять на уровень краткосрочной процентной ставки денежного рынка посредством изменения величины ключевой ставки и объёмов проводимых операций по предоставлению и абсорбированию ликвидности банковского сектора, то есть была оценена работоспособность первой ступени процентного канала денежно-кредитной трансмиссии.

Результаты оценивания второй модели VAR описывают поведение основных макроэкономических индикаторов в ответ на одномоментный фундаментальный шок краткосрочной процентной ставки денежного рынка, то есть тестируется работоспособность второй ступени процентного канала денежно-кредитной трансмиссии.

Проведенный эконометрический анализ с помощью методологии VAR позволит вынести вердикт относительно способности Банка России посредством рыночной ставки оказывать косвенное влияние на динамику целевого ориентира денежно-кредитной политики, а также воздействие на объем валового выпуска в рамках передаточного механизма. 

 

3.1 Оценка способности Банка России влиять на краткосрочную процентную ставку денежного рынка


Чтобы протестировать гипотезу о влиянии инструментов Банка России на динамику краткосрочной процентной ставки денежного рынка оценивается модель VAR на месячных данных с тремя эндогенными переменными:

·        REPO_R - минимальная процентная ставка по аукционам прямого РЕПО;

·        MB_SA - скорректированная на сезонность с помощью статистической процедуры сглаживания временных рядов Tramo-Seats денежная база в широком определении;

·        MIACR - краткосрочная процентная ставка денежного рынка по фактически совершенным сделкам.

Выбор данных переменных обусловлен следующими соображениями. Использование ключевой ставки в качестве процентного инструмента Банка России является на данный момент невозможным в силу того, что она была введена лишь в сентябре 2013 года и что, как следствие, число имеющихся наблюдений было бы недостаточным для проведения эконометрического исследования. Учитывая, что ключевая ставка была введена на уровне  минимальной процентной ставки по аукционам прямого РЕПО [20, с.1], статистика по которой представлена на сайте ЦБ РФ лишь с 2003 года, стоимость именно данной операции была включена в анализ. Включение в модель номинальной денежной базы отображает совокупное влияние Банка России в рамках осуществлений операций по предоставлению и изъятию валютной и рублевой ликвидности, которые используется для сближения краткосрочной процентной ставки денежного рынка с уровнем ключевой ставки, в качестве денежного агрегата, наиболее подверженному действиям регулятора, в сравнении с денежной массой. Ставка МИАКР используется в качестве операционного ориентира денежно кредитной политики и отражает уровень краткосрочной процентной ставки денежного рынка [3, с.25].  Источником месячных данных за период с января 2003 года по декабрь 2015 года по описанным выше переменным послужил Банк России.

Согласно проведенному тесту ADF на стационарность временных рядов, результаты которого приведены в таблице 4, все переменные интегрированы первого порядка на 1% уроне значимости, что позволяет включить их в модель в первых разностях в случае, если между ними не будет обнаружено коинтеграционных соотношений.

Таблица 4

ADF тест на стационарность переменных в первых разностях

Переменная

Обозначение

t-статистика

Критическое значение (1%)

p-value

РЕПО

d(repo_r)

-7,89

-3,47

0,0000

МИАКР

d(miacr)

-13,60

-3,47

0,0000

Денежная База

d(mb_sa)

-10,08

-3,47

0,0000


Приведенные в таблице 5 результаты теста Йохансена на коинтегрированность, проведенного с лагами, равными 1 и 2 месяцам, и включением в коинтеграционное соотношение только константы с исключением тренда, указывает на наличие одного коинтеграционного соотношения на 5% уровне значимости. В силу того, что все переменные стационарны лишь в первых разностях и они коинтегрированы, можно проводить оценивание либо модели VAR  в уровнях, либо модели коррекции ошибок VECM [31, с.611; 30, с.674]. Далее будут приведены результаты оценивания модели VAR в уровнях, модель VECM будет использована для проверки робастности полученных графиков функций импульсного отклика.

Таблица 5

Тест Йохансена на наличие коинтеграционных соотношений

Количество коинтеграционных уравнений

Trace Statistics

Prob. (5%)

Maximum Eigenvalue Statistics

Prob. (5%)

Нет

41,44293

0,0015

33,08619

0,0007

Не более 1

8,356739

0,4281

7,747035

0,4050

Не более 2

0,003977

0,4349

0,609704

0,4349



Результаты теста на поиск оптимального лага модели VAR в уровнях приведены в таблице 6. Как можно заметить, информационные критерии дают разные оптимальные значения порядка модели.

Таблица 6

Тест на поиск лага модели

Лаг

LR

FPE

AIC

SC

HQ

0

NA

72991232

 26.61948

 26.68135

 26.64462

1

 1272.175

 9357.462

 17.65752

  17.90500*

 17.75808

2

  36.39290*

  8131.291*

  17.51688*

 17.94997

  17.69286*

3

 10.37720

 8531.111

 17.56443

 18.18315

 17.81584

4

 8.100347

 9094.701

 17.62760

 18.43192

 17.95443

5

 6.229727

 9828.707

 17.70393

 18.69387

 18.10618

6

 2.620051

 10926.88

 17.80797

 18.98352

 18.28565

7

 5.404178

 11876.01

 17.88867

 19.24984

 18.44177

8

 6.468734

 12789.01

 17.95931

 19.50609

 18.58784

9

 3.759338

 14091.41

 18.05191

 19.78430

 18.75585

10

 7.458526

 15029.91

 18.11090

 20.02891

 18.89027

11

 4.480103

 16461.58

 18.19517

 20.29879

 19.04996

12

 11.74028

 16850.87

 18.21045

 20.49968

 19.14066


Между лагами, равными одному и двум месяцам, на которые указывали значения информационных критериев SC и LR/FPE/AIC/HQ соответственно, выбор был сделан в сторону большего, так как тест Вальда указал на отклонение гипотезы об отсутствии значимости второго лага на 1% уровне (таблица 7).

Таблица 7

Тест Вальда на исключение лага

Lag

REPO_R

MB_SA

MIACR

Joint

Lag 1

Chi-squared st.

 357.0247

 216.0360

 109.3765

 622.2681


p-value

[ 0.000000]

[ 0.000000]

[ 0.000000]

[ 0.000000]

Lag 2

Chi-squared st.

 35.98839

 4.613183

 9.090202

 42.02618


p-value

[ 7.53e-08]

[ 0.202414]

[ 0.028115]

[ 3.25e-06]


Данная спецификация модели является стабильной в соответствии с графиком обратных корней характеристического полинома (рисунок 1), все корни которого по модулю не превышают единицу.

Рисунок 1. Тест на единичные обратные корни

Проведенные тесты на наличие серийной автокорреляции, результаты которых содержатся в таблице 8, позволяют принять нулевую гипотезу об отсутствии автокорреляции остатков. (Q-статистика при тесте Льюнга-Бокса не рассчитывается для включенных в модель лагов)

Таблица 8

Portmanteau и LM тесты на автокорреляцию остатков

Lags

Adj Q-Stat

Prob.

LM-Stat

Prob.

1

 1.792634

NA*

 9.685944

 0.3765

2

 12.26003

NA*

 13.14100

 0.1563

3

 18.70192

 0.2276

 6.405110

 0.6988

4

 23.05256

 0.5167

 4.204387

 0.8975

5

 25.31433

 0.8283

 2.127359

 0.9893

6

 30.52125

 0.9057

 5.096860

 0.8258

7

 37.15494

 0.9267

 6.353381

 0.7041

8

 42.00707

 0.9625

 4.621233

 0.8660

9

 46.50627

 0.9828

 4.289964

 0.8913

10

 54.06360

 0.9822

 7.215351

 0.6147

11

 60.97405

 0.9847

 8.148056

 0.5193

12

 66.37310

 0.9908

 5.232309

 0.8136


Однако статистика Харке-Бера и p-value теста Уайта, приведенные в таблице 9, не позволяют принять гипотезы о нормальности распределения остатков модели и отсутствии гетероскедастичности ни на одном из разумных уровней значимости. Невыполнение данных условий может означать, что полученные по методу наименьших квадратов стандартные ошибки коэффициентов могут быть неверно посчитаны.

Таблица 9

Результаты тестов на нормальность и гетероскедастичность остатков

Test

Joint Statistics

Prob.

Normality (Jarque-Bera)

5297,5370

0,0000

Heteroskedasticity (White)

278,8303

0,0000


Тем не менее, как уже было отмечено во второй главе, условие гомоскедастичности зачастую не выполняется в исследованиях, основанных на анализе временных рядов финансовых данных, и вполне возможно дальнейшее оценивание модели, если целью исследования не значится построение прогноза. В качестве причины, по которой условия нормальности и гомоскедастичности не выполняется на заданном промежутке времени, автору видится влияние мирового финансового кризиса, начавшегося в 2008 году, а также событий конца 2014 года, вследствие которых наблюдалось значительное колебание входящих в модель переменных, выходящие за коридоры двух стандартных отклонений.

Результаты теста Грейнджера на причинность для интересующей нас переменной МИАКР, приведенные в таблице 10, указывают, что включение в регрессионное уравнение минимальной ставки по аукционам РЕПО позволяет улучшить описание динамики зависимой переменной (совместная значимость двух лагов подтверждается на 1% уровне). Аналогичный вывод можно сделать и о денежной базе. Что касается совместной значимости двух инструментов Банка России в качестве независимых переменных, их одновременное включение в уравнение также способствует улучшению описания динамики ставки денежного рынка МИАКР.

Таблица 10

Тест причинности по Грейнджеру для переменной МИАКР

Dependent variable: MIACR

Excluded

Chi-sq

df

Prob.

REPO_R

 22.81901

2

 0.0000

MB_SA

 16.34531

2

 0.0003

All

 31.07080

4

 0.0000


Далее была оценена функция импульсного отклика для входящих в модель переменных в ответ на фундаментальный шок денежно-кредитной политики. Рекурсивный порядок вхождения переменных в модель для декомпозиции по Холецкому был задан следующий: repo_r, mb_sa, miacr. Данный порядок был выбран в соответствии с предположением, что краткосрочная процентная ставка денежного рынка реагирует на изменение ставки по операциям РЕПО и на изменение денежной базы в этом же периоде. Соответственно Банк России при данной спецификации порядка переменных, управляя процентной ставкой по операциям РЕПО, определяет соотношение объемов предоставляемой и изымаемой ликвидности, что в свою очередь влияет на краткосрочную ставку денежного рынка.

Функции импульсного отклика переменных в условиях сдерживающей денежно-кредитной политики, то есть в ответ на положительный фундаментальный шок процентной ставки ЦБ РФ, представлены на рисунке 2 графиками в левой части.

Функции импульсного отклика переменных в условиях стимулирующей денежно-кредитной политики, то есть в ответ на положительный фундаментальный шок номинальной денежной базы, представлены на рисунке 2 графиками в правой части.

Рисунок 2. Функции импульсного отклика на шоки процентной ставки РЕПО и денежной базы

Как можно заметить из приведенных выше графиков, краткосрочная процентная ставка денежного рынка МИАКР повышается в течение трёх месяцев (0,45%, 0,73% и 0,80% соответственно) вслед за составившим 0,49% ростом минимальной ставки по аукционам прямого РЕПО. Затем в течение следующих месяцев темпы роста замедляются. Таким образом, повышение процентной ставки ЦБ РФ имеет долговременный положительный эффект на ставку денежного рынка МИАКР. Что касается денежной базы, то она в ответ на положительный фундаментальный шок процентной ставки Банка России, за исключением первого месяца, сокращается на всем временном промежутке.

Исходя из приведенных выше графиков, также следует, что расширение денежной базы в номинальном выражении на 133 млрд. рублей приводит к падению ставки денежного рынка МИАКР в течение пяти следующих за шоком месяцев (-0,21%, -0,20%, -0,13%, -0,07% и -0,02% соответственно). Влияние же шока денежной базы на минимальную процентную ставку по аукционам прямого РЕПО незначительное, на что указывают график самой функции импульсного отклика, а также расположение вблизи нуля доверительных интервалов на протяжении всего временного периода.

Декомпозиция дисперсии для переменной МИАКР, приведенная в таблице 11, указывает на достаточную зависимость ставки денежного рынка от процентной ставки ЦБ РФ. Так, процентной ставкой по аукционам прямого РЕПО объясняется 10,21% дисперсии ставки денежного рынка в первом месяце, после которого доля лишь увеличивается. Что касается денежной базы, то вклад данного индикатора в дисперсию ставки денежного рынка невелик, в сравнении с процентной ставкой, и в первом месяце составляет лишь 2,16%, снижаясь к концу периода до 1,90%.

Таблица 11

Декомпозиция дисперсии МИАКР

Period

S.E.

REPO_R, %

MB_SA, %

MIACR, %

1

0,49

10,21

2,16

87,63

2

0,84

22,74

2,53

74,73

3

1,11

33,12

2,37

64,51

4

1,33

40,48

2,13

57,39

5

1,49

45,48

1,94

52,58

6

48,88

1,81

49,31

7

1,71

51,23

1,73

47,04

8

1,79

52,87

1,70

45,43

9

1,84

54,03

1,71

44,26

10

1,89

54,86

1,75

43,40

11

1,92

55,43

1,81

42,76

12

1,94

55,83

1,90

42,27

 Cholesky Ordering: D(REPO_R) D(MIACR) D(MB_SA)


Таким образом, основываясь на результатах, полученных оцениванием модели VAR второго порядка на месячных данных для трёх переменных, взятых в уровнях: РЕПО, МИАКР, денежная база - можно заключить, что Банк России имел возможность оказывать влияние на краткосрочную процентную ставку денежного рынка в течение рассматриваемого периода. Это достигалось, в первую очередь, за счёт изменения уровня собственной процентной ставки, которое оказывало наибольшее воздействие в течение первых трёх месяцев после фундаментального шока. Влияние денежной базы на операционную ставку денежно-кредитной политики также подтверждено, хоть и в меньшей степени.

Аналогичные по характеру взаимосвязей между переменными результаты были получены с помощью оценивания модели коррекции ошибок VECM, в которую было включено одно коинтеграционное соотношение. Функции импульсного отклика при шоках процентной ставки и денежной базы и декомпозиция дисперсии МИАКР приведены в приложении 1 и в приложении 2.

 

3.2 Оценка динамики выпуска и инфляции в ответ на шок процентной ставки денежного рынка


Для оценки влияния положительного шока краткосрочной процентной ставки денежного рынка на валовой выпуск и инфляцию была построена VAR модель первого порядка на квартальных данных, включающая в себя следующие переменные:

·        GDP_SA - темп прироста реального валового внутреннего продукта, исходный ряд которого был скорректирован на значения дефлятора за отчетный период и избавлен от сезонности с помощью процедуры сглаживания Tramo/Seats (источник - Росстат);

·        CPI_SA - темп прироста индекса потребительских цен на конец квартала к концу предыдущего квартала, скорректированный на устранение сезонности с помощью процедуры сглаживания Tramo/Seats (источник - Росстат);

·        MIACR - средний за квартал уровень краткосрочной процентной ставки денежного рынка по фактически совершенным сделкам (источник - Банк России);

·        CRISIS - фиктивная экзогенная переменная, введенная чтобы учесть влияние мирового финансового кризиса и принимающая значение 1 для периода с третьего квартала 2008 года по второй квартал 2010 года включительно.

С помощью построения данной векторной авторегрессии можно оценить способность Банка России через собственную операционную ставку влиять на целевой ориентир денежно-кредитной политики - инфляцию, а также на валовой внутренний продукт.

Согласно проведенному ADF тесту на стационарность, результаты которого отображены в таблице 12, все временные ряды стационарны в уровнях на 5% уровне значимости. В данном случае тест Йохансена на коинтеграцию проводить не нужно - используется модель VAR в уровнях.

Таблица 12

ADF тест на стационарность временных рядов

Переменная

Обозначение

t-статистика

Критическое значение (5%)

p-value

ВВП

GDP_SA

-3,71

-2,92

0,0067

МИАКР

MIACR

-3,13

-2,92

0,0271

ИПЦ

CPI_SA

-4,83

-2,92

0,0002


Согласно всем информационным критериям, полученным по результатам теста на поиск глубины лага (таблица 13), следует оценивать модель VAR первого порядка. В таком случае тест Вальда на исключение лага проводить не имеет смысла.

Таблица 13

Тест на поиск глубины лага модели

Лаг

LR

FPE

AIC

SC

HQ

0

NA

 28.33040

 11.85742

 12.09132

 11.94581

1

  61.73406*

  9.829519*

  10.79675*

  11.38150*

  11.01772*

2

 10.13468

 11.18042

 10.91838

 11.85398

 11.27194

3

 10.07654

 12.58200

 11.02104

 12.30749

 11.50719

4

 3.815550

 16.81898

 11.28382

 12.92112

 11.90256


График обратных корней характеристического полинома для выбранной спецификации модели, изображенный на рисунке 3, позволяет сделать вывод, что система стабильна, так как все корни лежат в пределах единичного круга.

Рисунок 3. График обратных корней характеристического полинома

Проведенные тесты на наличие серийной автокорреляции остатков модели, результаты которых приведены в таблице 14, указывают на отсутствие автокорреляции.

Таблица 14и LM тесты на автокорреляцию остатков

Lags

Adj Q-Stat

Prob.

LM-Stat

Prob.

1

3,77

NA

8,93

0,4433

2

7,23

0,6131

3,83

0,9220

3

16,84

0,5342

9,13

0,4256

4

21,11

0,7812

4,29

0,8913

5

25,47

0,9045

4,19

0,8982

6

32,67

0,9145

6,95

0,6421

7

37,07

0,9619

6,41

0,6986

8

54,27

0,7754

9,73

0,4213


Результаты тестов на нормальность распределения остатков модели и на отсутствие гетероскедастичности приведены в таблице 15. Согласно статистике Харке-Бера, распределение остатков модели не является нормальным. В рамках теста Уайта на гетероскедастичность нулевая гипотеза о постоянной дисперсии остатков принимается.

Таблица 15

Результаты тестов на нормальность и гетероскедастичность остатков

Test

Joint Statistics

Prob.

Normality (Jarque-Bera)

143,8539

0,0000

Heteroskedasticity (White)

53,9825

0,1018

 

Результаты теста на причинность по Грейнджеру, содержащиеся в таблице 16, указывают на то, что включение переменной МИАКР помогает улучшить прогноз лишь для авторегрессионного уравнения темпов прироста реального ВВП. Однако по результатам данного теста выносить вердикт об отсутствии влиянии ставки денежного рынка на инфляцию преждевременно.

Таблица 16

Тест причинности по Грейнджеру для ВВП и ИПЦ

Excluded

Chi-sq

df

Prob.

Dependent variable: GDP_SA

CPI_SA

 0.054360

1

 0.8156

MIACR

 4.327543

1

 0.0375

All

 4.352140

2

 0.1135

Dependent variable: CPI_SA

GDP_SA

 2.066547

1

 0.1506

MIACR

 0.283935

1

 0.5941

All

 2.125432

2

 0.3455


Следующим этапом анализа является рассмотрение функций импульсного отклика эндогенных переменных в ответ на положительный фундаментальный шок краткосрочной процентной ставки денежного рынка, графики которых отображены на рисунке 4. При этом для декомпозиции Холецкого был задан следующий порядок взаимодействия переменных: GDP_SA, CPI_SA, MIACR - согласно которому изменение ставки денежного рынка может оказывать влияние на индикаторы реального сектора лишь с задержкой в один квартал.

Рисунок 4. Функции импульсного отклика при повышении операционной ставки МИАКР

Повышение процентной ставки МИАКР на 2% в первом квартале приводит к сокращению темпов прироста реального ВВП на 0,31% и на 0,33% во втором и третьем квартале соответственно, после чего эффект воздействия ослабевает. Тем не менее, сдерживающее влияние процентной ставки денежно рынка на валовой выпуск значимое и устойчивое. Что касается квартальных темпов прироста ИПЦ, то во втором и третьем кварталах происходит небольшое замедление (-0,06% и -0,02%), суммарное влияние которого компенсируется положительной динамикой в следующих периодах. Следовательно, можно сделать вывод об ограниченном влиянии операционной ставки на темпы инфляции.

Доли дисперсии темпов прироста реального ВВП и темпов инфляции, которые объясняются вариацией процентной ставки МИАКР, подкрепляют выводы, сделанные при анализе функций импульсного отклика. Согласно таблицам 17 и 18, демонстрирующим декомпозиции дисперсии для ВВП и для ИПЦ соответственно, положительный шок операционной ставки объясняет 3,9% дисперсии валового выпуска во втором квартале против 0,26% дисперсии темпов инфляции.

Таблица 17

Декомпозиция дисперсии темпов прироста реального ВВП

Period

S.E.

GDP_SA, %

CPI_SA, %

MIACR, %

1

 1.445133

 100.0000

 0.000000

 0.000000

2

 1.578705

 96.07609

 0.019409

 3.904503

3

 1.642753

 92.23339

 0.091482

 7.675125

4

 1.683705

 89.55927

 0.175930

 10.26480

5

 1.711163

 87.81196

 0.245604

 11.94243

6

 1.729775

 86.67081

 0.296080

 13.03311

7

 1.742443

 85.91672

 0.330948

 13.75234

8

 1.751082

 85.41278

 0.354674

 14.23255

 Cholesky Ordering: GDP_SA CPI_SA MIACR


Таблица 18

Декомпозиция дисперсии темпов прироста ИПЦ

Period

S.E.

GDP_SA, %

CPI_SA, %

MIACR, %

1

 1.042240

 2.488944

 97.51106

 0.000000

2

 1.129329

 7.169638

 92.56997

 0.260389

3

 1.144555

 8.581700

 91.14460

 0.273704

4

 1.147549

 8.932009

 90.78865

 0.279345

5

 1.148423

 9.026654

 90.66819

 0.305160

6

 1.148838

 9.059375

 90.60678

 0.333842

7

 1.149092

 9.074339

 90.56841

 0.357249

8

 1.149260

 9.082766

 90.54285

 0.374386

 Cholesky Ordering: GDP_SA CPI_SA MIACR


Согласно проанализированным графикам функций импульсного отклика и таблицам декомпозиции дисперсий для переменных GDP_SA и CPI_SA в условиях положительного фундаментального шока переменной MIACR, операционная ставка имеет существенное и продолжительное влияние на темпы прироста реального ВВП, но оказывает незначительное воздействие на темпы прироста ИПЦ. Полученные результаты оценивания второй модели VAR говорят лишь о частичной работоспособности второй стадии механизма денежно-кредитной трансмиссии.

 

3.3 Оценка работоспособности основных каналов денежно-кредитной трансмиссии


Учитывая результаты, изложенные в предыдущих двух пунктах, которые указывают на отсутствие значимого влияния ставки денежного рынка МИАКР на темпы инфляции, имеет смысл провести анализ всех трёх основных каналов денежно-кредитной трансмиссии, в число которых входит канал процентной ставки, канал валютного курса и канал широкого банковского кредитования.

Как было показано ранее в пункте 2.2.2 на модифицированной модели Хурлина-Киерженковского, изменение процентной ставки по инструменту Центрального банка продуцирует импульс монетарной политики, который передается по всем трем каналам денежно-кредитной политики, совокупное влияние которых может быть незначительным, несмотря на функционирование каждого из них в отдельности. Более детальное рассмотрение характера влияния операционной ставки посредством промежуточных показателей на целевой ориентир позволит сделать окончательный вывод относительно функционирования процентного канала, а также оценить эффекты процентной политики, передаваемые по каналам валютного курса и широкого банковского кредитования.

В целях выполнения описанного выше анализа, были построены две векторные авторегрессии, первая из которых отражала влияние операционной ставки на промежуточные показатели, воздействие динамики которых на темпы прироста валового выпуска и темпы инфляции описывалось второй моделью. Для обеих моделей использовались ежемесячные данные с января 2003 года по декабрь 2015 года, в силу чего в качестве меры выпуска в стране использовался показатель выпуска по базовым отраслям вместо ВВП, месячные данные по которому не публикуются. Переход с квартальных данных на месячные объясняется большим количеством оцениваемых переменных во избежание проблемы чрезмерной параметризации.

Так как способность Банка России посредством собственных инструментов воздействовать на ставку денежного рынка была подтверждена в пункте 3.1,  далее будет рассмотрена взаимосвязь операционной ставки и промежуточных показателей.

 

3.3.1 Оценка влияния операционной ставки на промежуточные показатели

Оцененная модель VAR первого порядка, отражающая влияние операционной ставки на промежуточные показатели, включала в себя следующие эндогенные переменные:

·        MIACR - краткосрочная процентная ставка денежного рынка в качестве операционной ставки Банка России (Источник - ЦБ РФ);

·        CRED_RATE - среднемесячная процентная ставка по кредитам юридических лиц на срок до одного года, взятая в качестве промежуточного показателя в рамках канала процентной ставки (Источник - ЦБ РФ);

·        CRED_VOL - ежемесячный темп прироста кредитного портфеля банковского сектора, взятый в качестве промежуточного показателя в рамках канала широкого банковского кредитования в силу того, что агрегированные данные по объему предоставленных за месяц кредитов начали публиковаться лишь в 2009 году (Источник - ЦБ РФ);

·        REER - реальный эффективный обменный курс российского рубля по отношению к доллару США, полученный коррекцией номинального курса на месячный индекс ИПЦ для России и США, в качестве промежуточного показателя канала валютного курса (Источник - ЦБ РФ и Росстат).

По результатам тестирования временных рядов на стационарность (таблица 19), все переменные включены в модель в первых разностях, за исключением темпа прироста кредитного портфеля, который стационарен в уровнях на 1% уровне значимости.

Таблица 19

ADF тест на стационарность временных рядов

Обозначение

t-статистика

Критическое значение (1%)

p-value

D(MIACR)

-13.60278

-3.473096

 0.0000

CRED_VOL

-3.870176

-3.473097

 0.0029

D(CRED_RATE)

-10.71714

-3.473098

 0.0000

D(REER)

-3.419858

-3.473099

 0.0117


Согласно информационным критериям Шварца и Ханнана-Куинна (таблица 20), оптимальным лагом для модели является один месяц (значения лагов, на которые указывали другие информационные критерии, были отброшены после проведения тестов Вальда на исключение лага и анализа графика обратных корней). График обратных корней характеристического полинома (рисунок 5) указывает на стабильность модели с лагом в один месяц.

Таблица 20

Тест на поиск глубины лага модели

Лаг

LR

FPE

AIC

SC

HQ

0

NA

 4.940184

 12.94891

 13.03179

1

 125.6960

 2.485443

 12.26185

  12.67623*

  12.43023*

2

 42.87325

 2.258792

 12.16567

 12.91156

 12.46877

3

 46.25529

  1.982073*

  12.03364*

 13.11104

 12.47144

4

 20.85243

 2.106293

 12.09192

 13.50082

 12.66443

5

 26.41693

 2.130190

 12.09916

 13.83958

 12.80638

6

 15.67086

 2.347012

 12.19014

 14.26205

 13.03206

7

 21.26766

 2.456288

 12.22735

 14.63078

 13.20399

8

 24.15251

 2.494064

 12.23156

 14.96649

 13.34291

9

 23.02614

 2.546557

 12.23811

 15.30455

 13.48416

10

 15.87227

 2.775726

 12.30628

 15.70422

 13.68704

11

 20.90625

 2.868041

 12.31672

 16.04618

 13.83219

12

  27.08555*

 2.763201

 12.25235

 16.31332

 13.90253


Рисунок 5. График обратных корней характеристического полинома

Результаты тестов на автокорреляцию, гетероскедастичность и нормальность распределения остатков приведены в приложениях 3 и 4 соответственно.

Результаты оценивания функций отклика промежуточных показателей на повышение ставки денежного рынка представлены на рисунке 6. При декомпозиции Холецкого использовался следующий порядок вхождения переменных: D(MIACR), D(REER), D(CRED_RATE), CRED_VOL, отражавший предпосылку о том, что влияние ставки денежного рынка прослеживается в том же периоде, когда произошел фундаментальный шок.

Рисунок 6. Функции отклика при росте МИАКР

Согласно представленным графикам, повышение краткосрочной процентной ставки денежного рынка ведёт к ослабеванию национальной валюты, повышению ставок по кредитам юридическим лицам на срок до одного года и с задержкой в один месяц к замедлению темпа прироста кредитного портфеля. Полученные результаты функций отклика и декомпозиции дисперсий (приложение 5) указывают на наличие влияния операционной ставки на промежуточные макроэкономические показатели.

 

.3.2 Оценка влияния промежуточных показателей на выпуск и инфляцию

Для оценки влияния промежуточных показателей трех основных каналов денежно-кредитной трансмиссии на валовой выпуск и темп инфляции была построена модель VAR второго порядка на ежемесячных данных. В систему уравнений, помимо реального эффективного валютного курса, ставки по кредитам юридических лиц сроком до года и темпов прироста кредитного портфеля, описанных в пункте 3.3.1, были включены следующие показатели:

·        GDP_SA - скорректированный посредством процедуры Tramo-Seats на сезонность объем валового выпуска по базовым отраслям промышленности, взятый как прокси-переменная для ВВП, по которому отсутствуют достоверные месячные данные (Источник - Росстат);

·        CPI_SA - ежемесячный темп прироста индекса потребительских цен с исключенной с помощью процедуры Tramo-Seats сезонностью (Источник - Росстат).

Результаты теста на стационарность, приведенные в таблице 21, указывают на стационарность новых переменных, отвечающих за выпуск и за инфляцию, в уровнях на 1% уровне значимости. Переменные, использованные в предыдущей модели в качестве промежуточных показателей основных каналов монетарной трансмиссии, включены в том же виде.

Таблица 21

ADF тест на стационарность временных рядов

Обозначение

t-статистика

Критическое значение (1%)

p-value

CRED_VOL

-3.870176

-3.473097

 0.0029

D(CRED_RATE)

-10.71714

-3.473098

 0.0000

D(REER)

-3.419858

-3.473099

 0.0117

GDP_SA

-25.69929

-3.473100

 0.0000

CPI_SA

-5.636730

-3.473101

 0.0000

Полагаясь на значения информационных критериев AIC и FPE (таблица 22), глубина лага была выбрана равной двум, т.к. тест Вальда на исключение лага указал на отклонение нулевой гипотезы, заключавшейся в незначимости переменных, взятых с лагом в два месяца (приложение 6).

Таблица 22

Тест на поиск лага модели

Лаг

LR

FPE

AIC

SC

HQ

0

NA

 0.269228

 12.87719

 12.98078

 12.91928

1

 281.7570

 0.048854

 11.17022

  11.79179*

  11.42280*

2

 51.46885

  0.046986*

  11.12995*

 12.26951

 11.59301

3

 41.77883

 0.048121

 11.15064

 12.80817

 11.82418

4

 36.47141

 0.050928

 11.20134

 13.37686

 12.08537

5

 31.42636

 0.055768

 11.28239

 13.97588

 12.37690

6

 27.83267

 0.062605

 11.38353

 14.59501

 12.68852

7

 24.25932

 0.072250

 11.50646

 15.23592

 13.02193

8

 38.58184

 0.072162

 11.47786

 15.72529

 13.20381

9

 15.91592

 0.090035

 11.66343

 16.42884

 13.59986

10

 28.25386

 0.098323

 11.70597

 16.98936

 13.85289

11

 33.13520

 0.100889

 11.67476

 17.47613

 14.03216

12

  43.55219*

 0.090280

 11.49328

 17.81264

 14.06116


График обратных корней характеристического полинома, изображенный на рисунке 7, свидетельствует о стабильности выбранной спецификации модели с двумя лагами.

Рисунок 7. График обратных корней характеристического полинома

Результаты тестирования остатков полученной модели (приложения 7 и 8) указывают на отсутствие серийной автокорреляции, не соответствие распределения остатков параметрам нормальности, а также на наличие гетероскедастичности.

Полученные графики оцененных функций импульсных откликов  для следующих переменных: выпуска базовых отраслей промышленности и темпа прироста индекса потребительских цен - в ответ на фундаментальные шоки промежуточных показателей основных каналов передаточного механизма представлены на рисунке 8. Порядок вхождения переменных при декомпозиции Холецкого для оценки функций импульсного отклика и декомпозиции дисперсии (приложение 9) выбран следующий: D(RER), D(CRED_RATE), CRED_VOL, CPI_SA, GDP_SA - предполагая, что промежуточные показатели оказывают влияние на выпуск и инфляции в том же периоде, когда и возникает фундаментальный положительный шок.

Рисунок 8. Графики функций отклика для выпуска и инфляции

Исходя из полученных графиков функций импульсного отклика, можно сделать следующие выводы относительно функционирования каждого взятого отдельно канала денежно-кредитной трансмиссии:

·        Канал валютного курса функционирует не в полной мере. Повышение валютного курса, то есть ослабление национальной валюты, приводит к росту индекса потребительских цен в течение следующих за шоком пяти месяцев, пик которого приходится на второй месяц (+0,12%), и к небольшому сокращению индекса выпуска базовых отраслей промышленности, максимум которого приходится на третий месяц (-0,06%). Таким образом, влияние канала валютного курса на выпуск является ограниченным, а на инфляцию, напротив, наибольшим, по сравнению с каналами процентной ставки и широкого банковского кредитования;

·        Канал широкого банковского кредитования также можно признать частично работоспособным. Рост объемов предоставляемых кредитов способствует повышению экономической активности и, соответственно, разгоняет инфляцию и повышает валовой выпуск, однако отклонение целевых показателей в данном случае умеренное (не более 0,037% и 0,05% соответственно);

·        Канал процентной ставки оказывает существенное и долговременное влияние на валовой выпуск: повышение ставки по кредитам юридических лиц приводит к сокращению выпуска базовых отраслей, пик которого приходится на второй месяц (-0,23%). Что касается влияния на месячный индекс потребительских цен, то в данном случае наблюдается «ценовая загадка» - рост цен, наиболее проявляющийся в первом месяце после шока (+0,07%) следует за повышением процентной ставки. Данный факт можно интерпретировать следующим образом: Центральный банк, опираясь на свои прогнозы, способен предвидеть рост уровня цен, однако его действия, заключающиеся в повышении уровня процентных ставок, не могут оказать влияние в краткосрочном периоде, а способны лишь не допустить дальнейшего роста в среднесрочной перспективе.  Иначе говоря, шок носит скорее эндогенный, то есть немонетарный характер.

В целом, по результатам проведенного в пунктах данной главы анализа прямого эффекта на выпуск и инфляцию от роста ставки денежного рынка и анализа работы трех основных каналов денежно-кредитной трансмиссии: процентной ставки, валютного курса, широкого банковского кредитования - можно сделать следующие выводы.

·        Первая ступень передаточного механизма работает в полной мере: повышение уровня минимальной процентной ставки по аукционам прямого РЕПО приводит к росту ставки денежного рынка, которая в свою очередь приводит к изменению величины промежуточных показателей (рост обменного курса, рост ставки по кредитам, снижение объемов кредитования);

·        Функционирование второй ступени каждого канала денежно-кредитной трансмиссии ограничено, за исключением канала валютного курса, который оказывает существенное влияние, как на инфляцию, так и на выпуск. Канал процентной ставки наиболее эффективен при стимулировании и охлаждении выпуска, в то время как эффект на темпы роста индекса потребительских цен недостаточный, что, возможно, может быть исправлено за счёт улучшения механизма формирования инфляционных ожиданий экономическими агентами. Наиболее чувствительным к импульсам, передаваемым посредством канала банковского кредитования, является выпуск, тем не менее, оказываемый на выпуск и инфляцию эффект  является наименьшим  и умеренным соответственно, в сравнении с двумя другими каналами;

·        Разнонаправленное влияние, оказываемое каждым каналом монетарной трансмиссии на инфляцию,  может обуславливать незначимое отклонение от нуля ИПЦ вследствие повышения процентной ставки ЦБ РФ, зафиксированное в пункте 3.2.

 

 

Заключение


В настоящей работе была проведена оценка макроэкономических эффектов процентной политики Банка России, значение которой существенно возросло вследствие осуществившегося перехода к режиму таргетирования инфляции и свободноплавающего валютного курса, в условиях которого основным инструментом монетарных властей является ключевая ставка Центрального банка. Тем не менее, как показывает ряд исследований [19, 21], несмотря на зафиксированную смену приоритетов денежно-кредитной политики с недопущения удорожания национальной валюты к сдерживанию инфляции [22], Банк России, начиная с 2000 года, зачастую был не в состоянии достигнуть целевых ориентиров по темпам прироста ИПЦ (например, 12,91% против 4,5% в 2015г., 11,35% против 5% в 2014г., 6,47% против 6% в 2013г.). Данный факт, помимо возможной непоследовательности ЦБ РФ при проведении денежно-кредитной политики, может быть обусловлен незначительным влиянием, оказываемым монетарными властями на основные макроэкономические показатели, эконометрический анализ которого был осуществлен в данной работе.

В первой главе настоящей работы были рассмотрены теоретические аспекты деятельности Центрального Банка РФ на основе анализа нормативно-правовой базы и выпускаемых на регулярной основе плановых и отчетных документов, а также описана работа основных каналов денежно-кредитной трансмиссии. Во второй главе было дано описание процедуры оценивания денежно-кредитной политики в соответствии с главенствующими на данный момент подходами: преимущественно эконометрический метод VAR и учитывающее структурные ограничения моделирование систем DSGE. В третьей главе данной работы был проведен эконометрический анализ механизма воздействия Банком России посредством минимальной ставки по аукционам прямого РЕПО на выпуск и инфляции с использованием методологии VAR (VECM).

Выбор методологии VAR в качестве подхода для эконометрического анализа обусловлен относительной простотой спецификации (отсутствие необходимости наложения строгих структурных ограничений) и оценивания модели в силу её линейности, а также возможностью наглядной презентации полученных результатов с помощью графиков функций импульсного отклика. Стоит также отметить, что данный метод нашёл широкое применение,  как в работах исследователей, так и в деятельности Центральных банков, что позволяет сопоставить полученные результаты.

Процедура оценивания VAR моделей включала следующие этапы с соответствующими наборами тестов, что позволяло обеспечить состоятельность и интерпретируемость результатов:

.        Определение спецификации модели: тест на стационарность, тест на наличие коинтеграции, тест поиска оптимального лага, тест на исключение лага, тест на стабильность системы;

.        Диагностика модели: тест на наличие автокорреляции, тест на нормальность распределения остатков, тест на наличие гетероскедастичности;

.        Структурный анализ модели: тест причинности по Грейнджеру, построение функции импульсного отклика, оценивание декомпозиции ошибки прогноза.

Полученные с помощью оценивания VAR моделей результаты указывают на частичную способность Банка России влиять на динамику основных макроэкономических индикаторов, валового выпуска и инфляции. Несмотря на существенную взаимозависимость между минимальной ставкой по аукционам прямого РЕПО и краткосрочной процентной ставкой денежного рынка МИАКР, посылаемый монетарными властями импульс оказывает лишь незначительное влияние на целевой ориентир - темпы роста ИПЦ. Тем не менее, невозможно отрицать наличие существенного негативного воздействия на валовый выпуск в условиях проведения сдерживающей денежно-кредитной политики, которое имеет долговременный характер.  Более детальный анализ, заключавшийся в оценке работоспособности основных каналов денежно-кредитной политики, подкрепил приведенные выше результаты, а также показал, что наибольший эффект на инфляцию оказывает канал валютного курса, в то время как  валовый выпуск наиболее подвержен колебаниям рыночной процентной ставки.

Практическая значимость настоящей работы, в соответствии с полученными результатами оценок влияния процентной политики Банка России на выпуск и инфляцию, заключаются в том, что регулятору следует проводить мероприятия по улучшению механизма формирования экономическими агентами инфляционных ожиданий с целью повышения сдерживающего эффекта роста операционной ставки на темпы прироста ИПЦ. В частности, это может быть достигнуто за счёт повышения прозрачности денежно-кредитной политики и информированности субъектов экономики, а также укрепления доверия к монетарным властям, которое во многом зависит от последовательности действий регулятора.

Однако в ходе исследования функционирования каналов денежно-кредитной трансмиссии был получены ряд противоречивых результатов, в частности «загадка цен» (рост инфляции вследствие повышения рыночной процентной ставки) и «загадка обменного курса» (ослабление национальной валюту, следующее за ростом рыночной процентной ставки). Так же, как и в ряде исследований, в которых были получены подобные результаты, идущие вразрез с экономической теорией, наиболее вероятным объяснением является экзогенная природа рассматриваемых шоков денежно-кредитной политики. В частности, Центральный банк,  повышая процентную ставку в соответствии с ожидаемым всплеском цен и ослаблением национальной валюты, не может полностью устранить нежелательную динамику данных переменных, а лишь в состоянии  уменьшить рост инфляции или курса, то есть влияние процентной ставки может быть недооценено. Помимо этого на результаты данного исследования могли повлиять наличие мирового финансового кризиса в отчетном периоде, а также периодические смены режима проводимой Банком России денежно-кредитной политики (таргетирование денежной массы, таргетирование обменного курса, таргетирование инфляции) и соответственно непоследовательность его действий при стремлении тагретировать сразу два целевых ориентира, зафиксированная в других исследованиях.

В связи с этим один из дальнейших вариантов продолжения работы в рамках данной темы является усовершенствование применяемого при эконометрическом анализе метода, который, согласно результатам проанализированных исследований, способен устранить появление «загадок» цен, обменного курса и ликвидности (то есть сделать шоки полностью экзогенными), а также учесть сменяющиеся в течение временного периода режимы. В частности, это байесовский подход к оцениванию VAR, который позволяет включить большее количество переменных в анализ, соответственно, качественно  улучшить информационное множество.

Список литературы


1.      Конституция Российской Федерации от 12.12.1993 (в ред. от 21.07.2014)

.        О Центральном банке Российской Федерации: Федеральный закон от 10.07.2002 № 83-ФЗ (в ред. от 29.12.2014)

.        Основные направления единой государственной денежно-кредитной политики на 2016 год и период 2017 и 2018 годов // Центральный банк Российской Федерации, 2015

.        Безбородова А., Михалёнок Ю. Анализ трансмиссионого механизма монетарной политики Республики Беларусь: байесовский подход // Квантиль, № 13, 2015, с. 41-61

.        Дробышевский С.М. Анализ трансмиссионых механизмов денежно-кредитной политики в российской экономике // Дробышевский С.М., Трунин П.В., Каменских М.В - М.: ИЭПП, 2008, 87с.

.        Дробышевский С.М., Козловская А.М. Внутренние аспекты денежно-кредитной политики России // Научные труды ИЭПП, 2002, 144с.

.        Карев М.Г. Выявление целевой функции Банка России: Предпринт WP2/2010/02 // Гос. ун-т - Высшая школа экономики. - М.: Изд. Дом Гос. ун-та - Высшей школы экономики, 2010, 32с.

.        Леонтьева Е.А. Механизм кредитно-денежной трансмиссии в России // Е.А. Леонтьева - М., 2013, 96с.

.        Леонтьева Е.А. Моделирование влияния кредитно-денежной политики на макроэкономические показатели (на примере России): автореферат диссертации … канд. эконом. Наук // Е.А. Леонтьева. - М., 2010, 23с

.        Леонтьева Е.А. Моделирование влияния кредитно-денежной политики на выпуск // Экономические науки, 2009, №11, С.339-342

.        Магнус Я.Р., Катышев П.К., Пересецкий А.А. Эконометрика. Начальный курс: Учеб. // М.: Дело, 2004, 576с.

.        Микушева А. Эконометрический ликбез: динамические стохастические модели общего равновесия // Квантиль, № 12, 2014, с. 1-21

.        Моисеев С.Р. Денежно-кредитная политика: теория и практика: учеб. пособие // С.Р. Моисеев. - М.: Московская финансово-промышленная академия, 2011, 784с.

.        Моисеев С.Р. Трансмиссионный механизм денежно-кредитной политики // Финансы и кредит, 2002, №18, с. 38-51

.        Моргунов В.И. Об управлении Банком России краткосрочной процентной ставкой денежного рынка // Деньги и кредит, 2014, №11, С.55-60

.        Носко В.П. Эконометрика. Кн. 2. Ч. 3,4: учебник // В.П. Носко. - М.: Издательский дом «Дело» РАНХиГС, 2011, 576с.

.        Погосян К. Альтернативные модели прогнозирования основных макроэкономических показателей в Армении // Квантиль, № 13, 2015, с. 25-39

.        Полбин А.В. Построение динамической стохастической модели общего равновесия для экономики с высокой зависимостью от экспорта нефти // Экономический журнал ВШЭ, 2013, Том. 17, № 2, с. 323-359

.        Синяков А. А. Заявленная и фактическая политика Банка России в 2000-2008 гг.: велико ли различие? // Квантиль, № 11, 2013, с. 91-105

.        Солнцев О.Г., Сухарева И.О. О проекте «Основных направлений единой государственной денежно-кредитной политики на 2014 г. и период 2015 и 2016 гг.» // ЦМАКП, 2013, 5с.

.        Юдаева К.В., Синяков А.А. Эффективность процентной политики Банка России в 2000-2011 гг. // Центр макроэкономических исследований Сбербанка России, 2011, 33с.

.        Юдаева К.В. Что таргетирует Банк России? // Центр макроэкономических исследований Сбербанка России, 2010, 15с.

23.    Bernanke B.S., Mihov I. Measuring Monetary Policy // The Qurterly Journal of Economics, August 1998

.        Chrishtiano L.J., Eichenbaum M., Evans C.L. Monetary Policy Shocks: What Have We Learned and to What End? // Handbook of Macroeconomics, 1999, Vol. 1, Ch. 2, p. 65-148

.        Leeper E.M., Sims C.A., Zha T. What Does Monetary Policy Do? // Brookings Papers on Economic Activity, 1996, №2, p. 1-78

.        Lucas R.E. Jr. Macroeconomic Policy Evaluation: A Critique // Carnegi-Rochester Conference Series on Public Policy, Vol. 1, 1978, p. 19-46

.        Luetkepohl H. Vector Autoregressive Models // European University Institute, EUI Working Paper ECO, 2011, №30, p. 1-33

.        Mallick S.K., Sousa R.M. Real Effects of Monetary Policy in Large Emerging Economies // Macroeconomic Dynamics, 2012, №16, p.190-212

.        Mishkin F.S. The Economics of Money, Banking, and Financial Markets // The Addison-Wesley Series in Economics, 7th ed., 2004

.        Montes G.C. Credibility and Monetary Transmission Channels Under Inflation Targeting: An Econometric Analysis from a Developing Country // Economic Modelling, 2013, №30, p. 670-684

.        Popescu I.V. Effects of Monetary Policy in Romania - A VAR Approach // CES Working Papers, Vol. 4, 2012, p. 605-624

.        Romer C.D., Romer D.H. A New Measure of Monetary Shocks: Derivation and Implications // The American Economic Review, 2004, №9, p.1055-1084

.        Sims C.A. Macroeconomics and Reality // Econometrica, Vol. 48, №1, 1980, p. 1-48

.        Uhlig H. What Are the Effects of Monetary Policy on Output? Results from an agnostic identification procedure // Journal of Monetary Economics, 2005, №52, p. 381-419

Похожие работы на - Основы деятельности Банка России

 

Не нашли материал для своей работы?
Поможем написать уникальную работу
Без плагиата!
Без нейросетей!