Расчет орбит

  • Вид работы:
    Курсовая работа (т)
  • Предмет:
    Авиация и космонавтика
  • Язык:
    Русский
    ,
    Формат файла:
    MS Word
    1,12 Мб
  • Опубликовано:
    2017-07-01
Вы можете узнать стоимость помощи в написании студенческой работы.
Помощь в написании работы, которую точно примут!

Расчет орбит

Оглавление

1. Введение

. Математические модели

.1 Ограниченная круговая задача трех тел

.1.2 Уравнения движения

.2 Точки либрации

.2.1 Положение точек либрации

.3 Типы ограниченных орбит в окрестности точек либрации

.4 Гравитационная задача N тел

.4.1 Уравнения движения частицы в задаче N тел

. Актуальность работы

.1 Актуальность миссий к точкам либрации

.2 Затененность орбит

.3 Информационная система SPICE

. Методы решения

.1 Моделирование движения КА

.2 Поиск начальных условий для долгопериодических орбит

.3 Перенос решения в эфемеридную модель

.4 Расчет затененности

. Результаты

. Заключение

. Список литературы

. Приложение

.1 Список начальных условий

.2 Решения, не вошедшие в основной текст работы

1. Введение


Точки либрации  и  систем двух тел Солнце-Земля и Земля-Луна являются самыми востребованными на сегодняшний день с научной точки зрения. Из их окрестности возможны и удобны как наблюдения за Солнцем, Землей и Луной, так и изучение других планет и астероидов Солнечной системы.

Вопрос исследование ограниченных орбит в окрестности точек либрации рассматривался многими учеными. Существование периодических орбит в условиях задачи трех тел в окрестности коллинеарных точек либрации было впервые показано Анри Пуанкаре в 1890 [5]. В дальнейшем, это послужило основанием теории динамических систем. Также, исследования могут основываться на построении амплитудных карт [1,2]. Роберт Фаркуар в [6] предложил использование периодических и квазипериодических орбит в окрестности точек либрации  и  системы Земля-Луна для размещения на них КА. Тело на таких орбитах может оставаться длительное время, без больших затрат энергии на поддержание траектории.

В главе 3 приведено краткое описание состоявшихся миссий к точкам либраций систем Солнце-Земля и Земля-Луна.

Метод, разработанный в данной работе и представленный в главе 4, опирается на математическую модель, использующуюся в [1], и некоторые результаты [4], в частности, существование долгопериодических орбит Лиссажу.

Орбиты Лиссажу принято считать квазипериодическими, однако, как будет показано в главе 4, среди них можно выделить периодические, которые будут повторять себя каждые несколько оборотов малого тела вокруг центра масс системы.

 

 

2. Математические модели

 

.1 Ограниченная круговая задача трех тел


Задача трех тел является одной из задач небесной механики. Используя набор данных, который описывает начальные позиции, массы и скорости трех тел в определенный момент времени, рассчитывается движение трех тел в соответствии с законами движения и законом всемирного тяготения Ньютона.

Добавим следующие условия: два тела двигаются по круговым орбитам вокруг их общего центра масс, а масса третьего тела пренебрежимо мала по сравнению с конечными массами двух других, что не влияет на их движение. Задача трех тел с данными условиями называется ограниченная круговая задача трех тел. Поскольку орбиты тел в Солнечной системе не являются круговыми, ограниченная задача трех тел является лишь приближением, позволяющим понять поведение орбит относительно простым путем.

2.1.2 Уравнения движения

В круговой ограниченной задаче трех тел будем рассматривать движение частицы пренебрежимо малой массы в гравитационном поле двух тел массами  и . Для ясности положим, что .

Рассмотрим оси  инерциальной системы отсчета, связанной с центром масс системы.


Рис.1 Связь между инерциальными координатами  и вращающимися координатами  частицы, находящейся в точке P

Ось  направлена вдоль прямой от  к  в момент , ось  перпендикулярна ей и лежит в плоскости орбит этих двух тел, а ось  ортогональна плоскости  и направлена вдоль вектора момента количества движения (ось 3 дополняет до правой тройки). Координаты двух массивных тел в данной системе отсчета как  и . Два тела движутся вокруг друг друга и общего центра масс, их угловые скорости постоянны, а расстояние между ними не зависит от времени. Обозначим единицу массы, как . Пусть


тогда массы двух тел в данной системе единиц равны

 и  ,

где . Единица длинны выбирается из соображений, что расстояние между телами равно единице. Отсюда, среднее движение n, одинаковое для обоих тел, также равно единице.

Положим, что координаты исследуемой частицы в инерциальной системе координат равны . Используя векторную форму закона обратных квадратов, составим уравнение движения частицы:

 (1)

 (2)

 (3)

Где

 (4)

 (5)

Два тела в данной задаче движутся по круговым орбитам вокруг общего центра масс, с постоянной угловой скоростью, равной среднему движению n, расстояние между ними не зависит от времени. С данными условиями логично рассматривать движение частицы во вращающейся системе отсчета, в которой оба тела будут находиться в покое.

Введем новую, вращающуюся систему координат. Её начало совпадает с началом системы координат  и находится в центре масс двух тел, она вращается с постоянной угловой старостью n в положительном направлении, ось x выбирается так, чтобы оба тела всегда находились на ней. Запишем положения массивных тел во вращающейся системе координат:

 и

Отсюда найдем расстояние до частицы во вращающейся системе отсчета:

(6)

 (7)

где  - координаты частицы во вращающейся системе. Эти координаты связаны с координатами в инерциальной системе поворотом на nt:

 (8)

Продифференцируем каждую компоненту векторного уравнения два раза. Получим:

 (9)

И

 (10)

При переходе к вращающейся системе в уравнении движения появляются компоненты, пропорциональные  и , отвечающие за ускорение Кориолиса, а так же компоненты  и , отвечающие центробежному ускорению.

Подставим выражения для  в уравнения (1), (2), (3):

 (11)

 (12)

 (13)

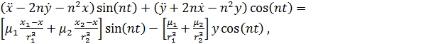
Умножим уравнение (11) на , а (12) на  и сложим результаты. Затем уравнение (11) умножим на , а (12) на  и также сложим результаты. После этого уравнения движения во вращающейся системе координат примут вид:

 (14)

 (15)

 (16)

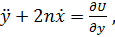
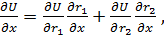
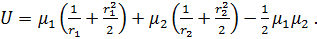
Полученные ускорения так же могут быть выражены как градиент некой скалярной функции U:

 (18)

 (19)

Где

 (20)

В данном уравнении компонента, пропорциональная , является центробежным потенциалом, а компоненты, пропорциональные , - гравитационными потенциалами. Частные же производные от них будут компонентами центробежной и гравитационной сил.

Заметим, что U не является истинным потенциалом, однако из U могут быть выведены некоторые ускорения, испытываемые частицей во вращающейся системе отсчета. Функцию U лучше называть псевдопотенциалом.

 

.2 Точки либрации


В ограниченной задаче трех тел, описывающей движение тела с пренебрежимо малой массой (например, космический аппарат) в гравитационном поле, создаваемом двумя массивными телами, вращающимися по круговым орбитам вокруг общего барицентра, существует 5 точек, в которых космический аппарат будет находится в состоянии равновесия. Будем называть их точками равновесия или либрации.

Коллинеарные точки либрации (, , ) лежат на прямой, соединяющей массивные тела, и являются неустойчивыми.  и , известные как треугольные точки либрации - устойчивы [3].

Рис. 2 Схема точек либрации в системе двух тел

 

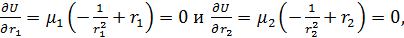
2.2.1 Положение точек либрации

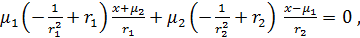
Круговая ограниченная задача трех тел не является интегрируемой, однако можно найти некоторые частные решения, например, положение точек либрации. Сделать это возможно при условии, что скорость и ускорение частицы равняются нулю во вращающейся системе координат. Далее будем предполагать, что движение частицы происходит в плоскости xy. Данное предположение не влияет на сущность динамики движения частицы [3].

Рассмотрим уравнения движения (17) и (18) при условии . Получим новую систему уравнений:

 (21)

 (22)

Где

 (23)

Вычислим частные производные:

  (24)

 (25)

Уравнения (21) и (22) имеют тривиальное решение

 (26)

что дает  в системе единиц. При подстановке в (6) и (7) получим:

 (27)

Эти уравнения имеют два решения:

 (28)

Полученные решения соответствуют треугольным лагранжевым точкам либрации  и , что можно видеть на рисунке 2.

Из уравнения (25) очевидно, что  является тривиальным решением уравнения (22). Можно сделать вывод, что оставшиеся точки либрации находятся на оси x и удовлетворяют решению (21). В действительности, есть три решения, соответствующие коллинеарным лагранжевым точкам либрации, обозначающихся , , . Точка  лежит между телами  , точка  расположена дальше тела , а  - на отризательной полуслоскости x.

Для точки  имеем следующие условия:

 (29)

Подставим (29) в уравнение (24):

 (30)

Перепишем уравнение (30) в другом виде:

 (31)

Введем величину

 (32)

Воспользовавшись методом Лагранжа для обобщенных рядов, выразим расстояние  через  :

 (33)

Для точки  имеем:

 (34)

Аналогичным методом найдем расстояние от  до :

 (33)

2.3 Типы ограниченных орбит в окрестности точек либрации


В условиях круговой ограниченной задачи трех тел в окрестности точек либрации существуют ограниченные орбиты, требующие минимальных энергетических затрат КА на коррекции поддержания орбиты. В работе [1] был проведен анализ с целью сопоставления вектора начального состояния космического аппарата с типом и характеристиками орбиты, которую он порождает.

Типы орбит:

·        Гало орбиты

·        Квазигало орбиты

·        Орбиты Лиссажу

·        Орбиты Ляпунова

·        Долгопериодические орбиты Лиссажу

Роберт Фаркуар в [6] ввел понятие гало-орбит. Он обнаружил окрестности точек либрации  системы Земля-Луна. Гало орбита является периодической, её периоды по осям X, Y и Z равны времени одного оборота вокруг точки либрации. При движении по такой орбите КА описывает замкнутую кривую, симметричную относительно плоскости XZ.

Малейшее отклонение от начальных условий, соответствующих гало орбите, приводит к рассогласованию колебаний по различным осям, в результате чего траектория движения КА по данной орбите заполняет некоторую фигуру. Данный тип орбит называется квазигало орбитами.

Если частоты колебаний в различных плоскостях существенно отличаются, движение является непериодическим, траектория движения называется орбитой Лиссажу. При бесконечном времени интегрирования получается полностью затененная фигура. Габариты орбит Лиссажу симметричны относительно эклиптики и относительно плоскости XZ.

Для вертикальной орбиты Ляпунова характерно, что период колебаний в плоскости XY в два раза меньше, чем период колебаний по оси Z.

А) Гало орбита

Б) Квазигало орбита

В) Орбита Лиссажу

Г) Вертикальная орбита Ляпунова

Д) Долгопериодическая орбита Лиссажу, T/Tn = 10

Рис. 3 Типы ограниченных орбит

У долгопериодических орбит Лиссажу период больше, чем один оборот вокруг точки либрации. Будем характеризовать их отношением периода орбит (T) к периоду обращения малого тела вокруг большого (Tn).

2.4 Гравитационная задача N тел


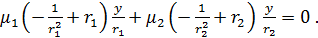
Гравитационная задача N тел предполагает нахождение N тел, которые в условиях задачи можно принято считать материальными точками, для которых известны положения и скорости трех и более тел в начальный момент времени . Необходимо определить их положения и скорости в любой момент времени . Первым задачу 𝑁 тел сформулировал Исаак Ньютон. [7]

 

.4.1 Уравнения движения частицы в задаче N тел

Рассмотрим систему из 𝑁 массивных тел, движение которых определено в некоторой инерциальной системе отсчета. Радиус-векторы тел в данной инетциальной системе отсчета обозначим  Радиус-вектор КА обозначим . Тогда уравнения движения космического аппарата в гравитационном поле N тел можно записать следующим образом:

 (34)

где 𝐺 - гравитационная постоянная.

Пусть  и  - гравитационные параметры главного тела и меньшего тела.

 (35)


 

Рис. 4 Взаимное влияние центрального тела, КА и третьего массивного тела

Главное (центральное) ускорение:

  (36)

ускорение от третьего тела:

  (37)

где  ;

ускорение начала координат, вызванное третьим телом:

  (38)

Отсюда:

  (39)

Для системы N массивных тел с центром инерциальной системы в одном из них () будет справедливо:

  (40)

 

3. Актуальность работы

3.1 Актуальность миссий к точкам либрации


Точки либрации L1 и L2 являются самыми востребованными с научной точки зрения, т.к. из их окрестности возможны и удобны как наблюдения за Землей и Солнцем, так и изучение глубокого космоса.

На текущий момент совершено большое количество успешных миссий к точrам либрации, в частности к точке либрации L2 системы Земля-Луна. Возле точек либрации находятся стабильные периодические орбиты, которые можно использовать как для наблюдения за Луной, так и в качестве переходного этапа миссии к более далеким небесным телам.

Аппарат ISEE-3, запущенный в 1978 году, был первым космическим аппаратом, размещенным около точки либрации 𝐿1 системы Солнце-Земля. Одной из целей миссии было изучение солнечного ветра вблизи Земли. Данная миссия оказалась пионерской и показала, что размещение аппарата в окрестности коллинеарных точек либрации возможно не только в задаче трех тел, но и в реальной ситуации.

Космический аппарат SOHO в 1995 году был выведен на квази-гало орбиту в окрестности точки либрации 𝐿1 системы Солнце-Земля. Задачей данной миссии являлось наблюдене за Солнцем и его активностью. По результатам данных, переданных аппаратом на Землю, было открыто множество околосолнечных комет.

Еще одним аппаратом, использующим орбиту около точки лагранжа 𝐿1 системы Солнце-Земля, является WIND, запущенный в 1994 году. Его задачей является изучение солнечного ветра. Также аппарат совершил облёт точки L2. WIND функционирует по сей день.

Также в 2009 году организацией ESA была запущена миссия Herschel, которая на сегодняшний день является самой большой космической обсерваторией. Herschel размещен на орбите Лиссажу около точки L2 системы Солнце-Земля. Миссия предназначена для изучения инфракрасного излучения в космосе.

Основными типами орбит, использующимися в миссиях к точке либрации L2, являются гало и квази-гало орбиты. В данной работе предлагается расчет и исследование резонансных долгопериодических орбит.

До настоящего времени не было осуществлено миссий с выходом на орбиту Лиссажу вблизи точек либрации системы Земля-Луна.

Результаты данной работы могут быть полезными при планировании будущих миссий к точке либрации L2 системы Земля-Луна. Изучается затененность ограниченной орбиты. Если космический аппарат находится в тени Луны, то он не может принимать или передавать сигнал на Землю, что лишает возможности контролировать космический аппарат с Земли.

Для миссий, целью которых является наблюдение или изучение обратной стороны Луны, траектории Лиссажу могут быть намного удобнее, поскольку они обладают меньшей амплитудой, чем гало-орбиты.

3.2 Затененность орбит


Одним из недостатков траекторий Лиссажу по сравнению с гало орбитами является периодическое попадание орбиты в области, которые закрыты Луной при наблюдении с Земли. Из рисунка 2 очевидно, что если поместить КА в точку либрации , то он всегда будет находится за Луной, поэтому связь с Землей не представляется возможной напрямую.

Исходя из этого, для орбит такого типа в системе Земля-Луна необходимо рассчитывать и оценивать периоды затенённости. При проектировании миссии нужно брать в расчет, что в определенные моменты времени связь с аппаратом будет полностью или частично отсутствовать.

Оценивание затененности также важно и в других системах, например, Солнце-Земля. Однако, для точки либрации , важно знать периоды, когда КА находится за Землей при наблюдении с Солнца, не только потому, что наблюдение за Солнцем в эти моменты невозможно, но и потому, что КА не получает достаточно солнечной энергии для поддержания работоспособности.

3.3 Информационная система SPICE


SPICE - система, разработанная Navigation and Ancillary Information Facility (NAIF) под руководством космического агентства NASA (National Aeronautics and Space Administration). Данная информационная система призвана помогать ученым и инженерам NASA в решении задач, связанных с космосом, в частности, в моделировании космических миссий. На сегодняшний день, инструментарий находится в открытом доступе и легко интегрируем с языками программирования C, FORTRAN, IDL. MATLAB.

Основными компонентами системы SPICE являются инструментарий SPICE и файлы данных SPICE, которые часто называют «kernels» (ядра). Ядро - файл, содержащий в себе данные формата, применимого в SPICE. Ядра SPICE состоят из навигационных или любых других структурированных и форматированных данных.

В данной работе также активно использовалась программа «MKSPK», разработанная NAIА, помогающая генерировать новые, или добавлять данные в уже существующие, файлы данных (например, эфемерид космического аппарата или любого другого тела) в формате, поддерживаемом SPICE. MICE является версией SPICE для MATLAB .

 

4. Методы решения

4.1 Моделирование движения КА


Для начала, необходимо выбрать ограничивающие плоскости , , ,  так, чтобы ограниченная орбита располагалась между ними (рис. 5). Границы могут варьироваться в зависимости от амплитуд орбит. Для заданного вектора состояния численное интегрирование происходит до момента пересечения с одной из границ.

В данной работе использовался численный метод, предложенный в [1].

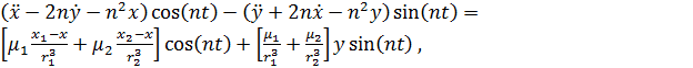
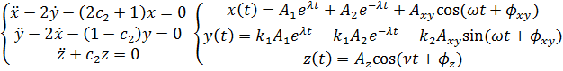
Уравнения движения КА:


Решения x(t) и y(t) являются линейной комбинацией трех компонент: неустойчивой, устойчивой и ограниченной периодической частей. Алгоритм заключается в поиске таких начальных условий, при которых неустойчивая компонента  равнялась нулю.

После выбора ограничивающих плоскостей, проводится численной интегрирование для заданного вектора состояний до момента пересечения с одной из плоскостей. В случае, когда КА достиг границы  или , коэффициент при неустойчивой компоненте больше нуля; если достигается  или  то коэффициент отрицателен. Конечная координата КА, достигшего ограничивающую плоскость, является функцией начального вектора состояния. Задача поиска вектора начального состояния КА сводится к поиску точки разрыва данной функции. Методом деления отрезка пополам находится точка разрыва функции. Погрешность решения .

Моделирование движения космического аппарата проводилось в среде MATLAB. Для некоторого вектора состояния КА дифференциальные уравнения движения интегрировались методом Рунге-Кутты 4-5 порядка. Данный метод позволяет изменять шаг интегрирования, следовательно, останавливать интегрирование в нужный момент, что необходимо при использовании численной методики, описанной в [1].

Рис. 5 Подбор скорости КА

В среде MATLAB возможно решать краевую задачу с использованием событийных функций, которая возвращает три параметра. Первый (value) является математическим выражением, описывающим событие, которое происходит при значении value = 0. Второй параметр (isterminal) отвечает за остановку интегрирования при наступлении события. В случае, когда значение параметра равно единице, интегрирование остановится; иначе, если его значение равно нулю, интегрирование продолжится после наступления события. При параметре direction = 0 рассматриваются все нули функции, при значении 1 рассматриваются только нули, при которых событийная функция возрастала, при -1, соответственно, когда она убывала.

Рассчитанные орбиты сохранялись для дальнейшего исследования.

 

.2 Поиск начальных условий для долгопериодических орбит


Поиск начальных условий, которые приводят к ограниченной орбите, осуществляется численно. Для вектора состояний  по алгоритму, описанному в 4.1, находилась скорость, достаточная для совершения минимум одного оборота вокруг точки либрации . Для поддержания КА на ограниченной орбите более долгий промежуток времени необходимы периодические коррекции вектора скорости. Величина коррекций зависит от их частоты. После одного оборота (два пересечения с плоскостью ) выполнялась корректировка скорости. Для долгопериодической орбиты интегрирование проводилось по времени, равному n оборотов малого тела вокруг центра масс системы Земля-Луна.

Используя алгоритм поиска начальных условий для ограниченных орбит в окрестности коллинеарных точек либрации, предложенный в [1], можно построить штрафную функцию, минимизация которой на определенном множестве позволит найти долгопериодическую орбиту.

Полученная орбита визуализируется средствами MATLAB и сохраняется для дальнейшего анализа на затененность.

Начальные положения в плоскости XZ, соответствующие долгопериодическим орбитам около коллинеарной точки либрации  системы Земля-Луна, были рассчитаны в [4] и представлены на рисунке 6.

Рис. 6 Начальные данные для долгопериодических орбит, нанесенные на цветовую карту характеристики . [4]

Поскольку, данная карта не предоставляет точных начальных координат , при помощи которых может быть построена долгопериодическая орбита, требуется построение алгоритма, который на заданном множестве будет искать необходимые .

Указанная ранее штрафная функция строится следующим образом: из начального вектора состояния КА движется в течение времени, равному n оборотов малого тела вокруг большого, что достигается периодическими коррекциями по алгоритму, предложенному в [1]. Величина штрафа равна , где  - компоненты скорости конечного вектора состояния КА, после n оборотов.

Далее, на каждом выбранном отрезке производится минимизация штрафной функции и находится начальный вектор состояния, соответствующий долгопериодической орбите.

Рис. 7 Некоторые множества, на которых происходит поиск минимума целевой функции

Для решения задачи нахождения минимума целевой функции на отрезке от  до  был выбран метод золотого сечения, реализованный при помощи встроенной в MATLAB функции fminbnd. Точка, соответствующая этому экстремуму, является координатами начального положения космического аппарата, которым соответствует долгопериодическая орбита.

Затем, для рассчитанных орбит строится визуализация движения космического аппарата, выполненная в трехмерном виде во вращающейся системе координат с центром в центре масс системы Земля-Луна.

На рисунках ниже можно увидеть, как выглядят эти орбиты в проекции на разные плоскости:

(а) Проекция орбиты на плоскость XY

(б) Проекция орбиты на плоскость YZ

(в) Проекция орбиты на плоскость XZ

Рис. 8 Долгопериодическая орбита, T/Tn = 6

(а) Проекция орбиты на плоскость XY

(б) Проекция орбиты на плоскость YZ

(в) Проекция орбиты на плоскость XZ

Рис. 9 Долгопериодическая орбита, T/Tn = 10

4.3 Перенос решения в эфемеридную модель


Поскольку задача трех тел не является пригодной для баллистического проектирования полета космического аппарата, возникает необходимость переноса решения в эфемеридную модель, которая учитывает эллиптичность орбиты Земли, Луны, а также наклон орбиты Луны относительно плоскости эклиптики. Для поиска долгопериодических орбит в данной задаче использовался алгоритм, описанный в 4.2. Стоит отметить, что расстояние от Луны до коллинеарной точки либрации  изменяется со временем, что может привести к уходу КА с номинальной орбиты.

Для учета влияния указанных выше факторов была использована библиотека MICE для MATLAB и необходимые эфемеридные файлы, загруженные из [11].

С момента времени epoch_time = ‘29 May 2018 01:00:00.0000’ рассчитывалось движение КА по орбите в гравитационном поле Луны, Земли, Солнца. Положения массивных тел в каждый момент определены и находятся из файлов эфемерид. Для долгопериодической орбиты интегрирование проводилось по времени, равному n оборотов малого тела вокруг большого. В данной задаче, период оборота Луны вокруг Земли брался равным 27,3 суток.

Были рассчитаны пять орбит с разными периодами обращения. Две орбиты из семейства T/Tn = 6 и три орбиты из семейства T/Tn = 10. Каждой орбите соответствует разный вектор начальных состояний космического аппарата.

либрация орбита космический плоскость

(а) Проекция орбиты на плоскость XY

(б) Проекция орбиты на плоскость YZ

(в) Проекция орбиты на плоскость XZ

Рис. 10: Долгопериодическая орбита, T/Tn = 10, период 273 суток

(а) Проекция орбиты на плоскость XY

(б) Проекция орбиты на плоскость YZ

(в) Проекция орбиты на плоскость XZ

Рис. 11 Долгопериодическая орбита, T/Tn = 6, период 163,8 суток

Как видно из приведенных выше иллюстраций, долгопериодические орбиты в эфемеридной системе имеют более сложный вид.

Список рассчитанных начальных условий можно найти в приложении.

 

4.4 Расчет затененности


Рис. 12 Теоретическая область затенения в системе двух тел

Если в некоторый момент времени t, для которого однозначно определено расстояние R между Землей и Луной, КА окажется в области O, области теоретической затененности, то связь с ним с Земли будет затруднена или невозможна, поскольку Луна полностью перекрывает Землю при наблюдении с КА.

Положение КА на рассчитанных долгопериодических орбитах определено с шагом в 20 минут. Каждая позиция геометрически проверяется на попадание в конус затененности.

Для нахождения и исследования интервалов затененности были использованы эфемериды NASA и средства пакета MICE, в частности, функция cspice_occult(), которая возвращает числовое значение от -3 до 3 в зависимости от взаимного расположения двух небесных тел и космического аппарата.

 

5. Результаты


В результате работы, было рассчитано пять долгопериодических орбит с разными периодами обращения в окрестности точки либрации L2. Полученные массивы данных содержат в себе положения космического аппарата в инерциальной системе координат, связанной с Луной, а также интервалы времени, на которых рассчитана орбиты. Построение визуального представления во вращающейся системе координат было получено с использованием средств SPICE.

Для каждой орбиты был применен алгоритм поиска интервалов затенения, описанный в 4.3. Результатом работы алгоритма является нанесение на орбиты маркеров, обозначающих, что данная точка находится в тени, т.е. связь КА с Землей невозможна из-за перекрытия планеты Луной.

Помимо графической интерпретации решения, для каждой орбиты рассчитаны максимальные и минимальные интервалы затенения, а также отношение общего времени затенения к периоду орбиты.

Пример результата работы программы:

(а)Проекция орбиты на плоскость XZ, Красный пунктир - теоретический конус затенения

(б)Проекция орбиты на плоскость YZ

Рис. 13 Теоретический конус затенения и точки затенения долгопериодической орбиты, начальные условия (20.3), T/Tn = 10, период 273 суток

·        Минимальный интервал затенения: 1 час 40 минут.

·        Максимальный интервал затенения: 10 часов 50 минут.

·        Общее время нахождения КА в тени: 110 часов (1.6789%).

Алгоритм поиска участков затененности был применён для пяти долгопериодических орбит Лиссажу. Результаты собраны в одну таблицу:

Таблица 1

Время нахождения КА в тени

Начальные условия

Минимальный интервал затенения

Максимальный интервал затенения

Общее время нахождения КА в тени (% от всего периода)

(12.1)

16 минут 40 секунд

5 часов 33 минуты 20 секунд

65 часов 16 минут 40 секунд (1.6605%)

(12.2)

3 часa 53 минуты 20 секунд

5 часов 16 минут 40 секунд

94 часа 26 минут 40 секунд (2.4024%)

(20.1)

50 минут

10 часов 50 минут.

153 часа 20 минут (2.3403%)

(20.2)

3 часа 3 минуты 20 секунд

11 часов 56 минут 40 секунд

110 часов (2.5607%)

(20.3)

1 час 40 минут

10 часов 50 минут

110 часов (1.6789%)


Чем выше полный период долгопериодической орбиты, тем ближе она расположена к коллинеарной точке либрации . Также, была выявлена зависимость полного периода и амплитуды колебаний. Для орбит, период которых составляет 10 оборотов малого тела системы вокруг большого амплитуда колебаний по оси Z в два раза меньше, чем для орбит с периодом 6 оборотов малого тела вокруг большого. То же самое можно сказать об амплитудах колебаний по оси Y: они больше у орбит с более низким отношением T/Tn. Общее время затененности варьируется внутри и между классов, в среднем составляет 2% от общего периода орбиты и во многом зависит от начального положения КА в плоскости XZ, а не от класса орбиты. Максимальные интервалы затененности близки у орбит с одинаковым отношением T/Tn, что нельзя сказать о минимальных интервалах. Максимальные и минимальные интервалы затененности, а также общее время нахождения КА в тени, короче у орбит с более низким отношением T/Tn.

 

6. Заключение


Был разработан и применен алгоритм поиска начальных условий для долгопериодических орбит Лиссажу. В условиях ограниченной круговой задачи трех тел орбиты были рассчитаны и визуализированы во вращающейся системе координат. Полученное решение затем перенесено в эфемеридную модель Солнечной системы. Пять долгопериодических орбит Лиссажу с разными периодами, рассчитанных в окрестности точки коллинеарной точки либрации  системы Земля-Луна, были исследованы на наличие точек затененности. Также выявлены некоторые зависимости между параметрами орбиты и интервалами её затененности.

Все результаты работы были наглядно представлены на графиках во вращающихся системах координат, а также для каждой орбиты были выписаны максимальное, минимальное и общее время нахождения в тени.

 

7. Список литературы


[1] Аксенов С.А., Бобер С.А., Николаева Ю.А. Компьютерное моделирование движения космического аппарата в окрестности точки либрации L2 системы Солнце-Земля. Королев: Типография ЦНИИмаш, 2015.

[2] Николаева Ю.А., Аксенов С.А., Бобер С.А Исследование зависимости формы ограниченной орбиты КА от начального вектора состояния в окрестности точки либрации l2 системы Солнце-Земля // Новые информационные технологии в автоматизированных системах. 2015. № 18. С. 154-163

[3] Мюррей К., Дермотт С. Динамика солнечной системы. М.: Физматлиб, 2010. С. 80-99

[5] Poincaré J.H. Sur le problème des trois corps et les équations de la dynamique // Acta Mathematica. 1890. V. 13. P. 1-270.

[6] Farquhar R.W. The control and use of libration-point satellites // USA: Washington. Technical Report. 1970.

[7] Roy A.E. The Foundations of Astrodynamics. New York: Macmillan, 1965. P. 124-126.

[8] Folta D., Bosanac N., Guzzetti D., Howell K. An earth-moon system trajectory design reference catalog // Acta Astranautica. 2015. V. 110. P. 341-353.

[9] Kolemen E., Kasdin N., Gurfil P. Quasi-periodic orbits of the restricted three-body problem made easy // New Trends in Astrodynamics and Applications III. 2007. V. 886. P. 68-77.

[10] Суханов А.А Астродинамика. М.: Учреждение Российской академии наук Институт космических исследований РАН, 2010 С. 42-43.

[11] Introduction to the SPICE System. URL: https://naif.jpl.nasa.gov/pub/naif/toolkit_docs/MATLAB/info/intrdctn.html (дата обращения 20.05.2017).

 

 

8. Приложение

 

.1 Список начальных условий


Все начальные условия представлены в километрах в следующей системе координат:

·        Ось X направлена от Земли к Луне в момент времени epoch_from.

·        Ось Y направлена по вектору скорости Луны относительно Земли в момент времени epoch_from.

·        Ось Z дополняет оси XY до правой тройки.

Список начальных условий:

(12.1) -= 3.402991868772839e+04;

y0 = 0;= 5.710011616038801e+04.

(12.2) -= 3.200006610696135e+04;= 0;= 5.999933893038648e+04.

(20.1) -= 5.230559649391512e+04;= 0;= 3.025202413778690e+04.

(20.2) -= 5.352500638514318e+04;= 0;= 2.700026442784541e+04.

(20.3) -= 5.226583995368575e+04;0 = 0;

z0 = 2.859265591899460e+04.

 

8.2 Решения, не вошедшие в основной текст работы


. Теоретический конус затенения и точки затенения долгопериодической орбиты, начальные условия (20.1), T/Tn = 10, период 273 суток

(а)Проекция орбиты на плоскость XZ,

(б)Проекция орбиты на плоскость YZ

Красный пунктир - теоретический конус затенения

·        Минимальный интервал затенения: 50 минут.

·        Максимальный интервал затенения: 10 часов 50 минут.

·        Общее время нахождения КА в тени: 153 часа 20 минут (2.3403%).

. Теоретический конус затенения и точки затенения долгопериодической орбиты, начальные условия (20.2), T/Tn = 10, период 273 суток

(а)Проекция орбиты на плоскость XZ,

(б)Проекция орбиты на плоскость YZ

Красный пунктир - теоретический конус затенения

·        Минимальный интервал затенения: 3 часа 3 минуты 20 секунд.

·        Максимальный интервал затенения: 11 часов 56 минут 40 секунд.

·        Общее время нахождения КА в тени: 110 часов (2.5607 %).

. Теоретический конус затенения и точки затенения долгопериодической орбиты, начальные условия (12.1), T/Tn = 6, период 163,8 суток

(а)Проекция орбиты на плоскость XZ,

(б)Проекция орбиты на плоскость YZ

Красный пунктир - теоретический конус затенения

·        Минимальный интервал затенения: 16 минут 40 секунд.

·        Максимальный интервал затенения: 5 часов 33 минуты 20 секунд.

·        Общее время нахождения КА в тени: 65 часов 16 минут 40 секунд (1.6605%).

. Теоретический конус затенения и точки затенения долгопериодической орбиты, начальные условия (12.2), T/Tn = 6, период 163,8 суток

(а)Проекция орбиты на плоскость XZ,

(б)Проекция орбиты на плоскость YZ

Красный пунктир - теоретический конус затенения

·        Минимальный интервал затенения: 3 часa 53 минуты 20 секунд.

·        Максимальный интервал затенения: 5 часов 16 минут 40 секунд.

·        Общее время нахождения КА в тени: 94 часа 26 минут 40 секунд (2.4024%).

Похожие работы на - Расчет орбит

 

Не нашли материал для своей работы?
Поможем написать уникальную работу
Без плагиата!
Без нейросетей!