Предстартовые испытания летающего аппарата
Содержание
1. Оценка показателей предстартовых испытаний ЛА на технической
позиции
1.1 Электрические испытания
1.2 Проверка электрической прочности изоляции
1.3 Проверка сопротивления изоляции
1.4 Порядок проведения электрических испытаний ЛА
1.4.1 Проверка транзитных цепей ЛА
1.5 Факторы, влияющие на целостность изоляции кабелей
2. Статистические оценки результатов испытаний
2.1 Обработка результатов эксперимента методом регрессионного
анализа
2.2 Обработка аномальных результатов испытаний
Вывод
Заключение
Список использованных источников
Введение
В настоящее время сложно найти область деятельности человека
в которой не использовались бы космические технологии. Развитие космической
техники произошло благодаря многим отраслям науки и техники, использованию
практически всех достижений научно-технического прогресса, значительным
затратам материальных, финансовых, временных и людских ресурсов.
Для подготовки ракет-носителей к пуску требуется развитая
наземная инфраструктура, обеспечивающая решение всех задач эксплуатации
объектов космической техники.
Работы по завершению создания ракеты космического назначения
выполняются специальной технической структурой - техническим комплексом,
который является совокупностью технических средств ракетно-космического комплекса,
размещенных на специально оборудованной в инженерном отношении позиции. На
территории технического комплекса организуются и выполняются необходимые
сборочные работы, а также предстартовые испытания, т.е. проверки всех агрегатов
и систем ракеты перед ее транспортировкой на стартовый комплекс.
1. Оценка
показателей предстартовых испытаний ЛА на технической позиции
Несмотря на большое разнообразие запускаемых ЛА, подготовка
их к пуску обязательно включает в себя следующие основные этапы:
транспортировка, сборка и испытания на технической позиции (ТП), предпусковая
подготовка и пуск.
Предпусковая подготовка состоит из следующих видов испытаний:
пневматические испытания и электрические испытания.
Пневматическими испытаниями проверяют на герметичность соединения
и запорную арматуру (краны, клапаны, вентили, задвижки, заслонки и т.д.).
Электрические испытания приборов и систем проводятся с целью
проверки электрической прочности, сопротивления изоляции и нормального
функционирования летательного аппарата.
1.1 Электрические
испытания
Электрические испытания приборов и систем проводятся с целью
проверки электрической прочности, сопротивления изоляции и нормального
функционирования ЛА. Электрические испытания включают в себя: автономные
испытания приборов, агрегатов и систем до установки на аппарат, в процессе
сборки; комплексные испытания расстыкованного и состыкованного ЛА.
Электрическая прочность и сопротивление изоляции проверяются на собранных
блоках или системах:
между электрическими цепями и металлическими изолированными
частями приборов;
между разъединяющимися в процессе функционирования
электрическими цепями;
между электрически не соединенными цепями.
Вначале проверяется электрическая прочность, а затем
измеряется электрическое сопротивление изоляции. Объем электрических испытаний
определяется нормативно-технической документацией.
1.2 Проверка
электрической прочности изоляции
Электрической прочностью является способность электрической
изоляции выдерживать действие приложенного к ней электрического напряжения. Она
определяется значением напряжения, при котором наступает пробой, - пробивным
напряжением.
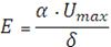
Электрическую прочность можно определить с помощью формулы:

,
где α -
коэффициент неоднородности поля; 
- напряжение, вызывающее пробой; 
- толщина изоляции.
Пробивное напряжение зависит от шероховатости поверхности, наличия
масла, влаги, пыли, гигроскопичности и т.п. Номинальное напряжение, приложенное
к изоляции изделия при нормальном функционировании, меньше пробивного
напряжения. Испытательное напряжение для проверки электрической прочности
изоляции зависит от номинального напряжения, его мощности, режимов эксплуатации
и определяется нормативно-технической документацией.
При испытаниях допускается объединять несколько электрически
независимых цепей, имеющих одинаковое рабочее напряжение, в единую систему.
Испытательное напряжение рассчитывается по формуле:

,
где 
- напряжение, определяемое нормативно-технической документацией; 
- коэффициент; 
- номинальное напряжение. Испытательное напряжение должно быть
синусоидальным. Практически изоляцию подвергают воздействию максимального
напряжения с амплитудой:

.
При пикообразном напряжении при том же действующем значении
амплитуда гораздо больше.
Испытательное напряжение должно увеличиваться и уменьшаться
плавно. При резком включении или отключении напряжения в исследуемой цепи,
имеющей значительную индуктивность, могут возникнуть ударные перенапряжения,
ударная напряженность поля в момент импульса окажется больше электрической
прочности изоляции, и тогда произойдет пробой. Продолжительность изменения
испытательного напряжения до 
должна быть более 10 с. Возможно ступенчатое изменение напряжения
от 0 до 0,5
, затем ступенями по (0,05 - 10) 
повышение до максимального напряжения 
, выдержка в течение 1 мин и ступенчатое снижение напряжения.
Установки для испытанийэлектрической прочности изоляции обычно
обладают мощностью более 500 ВА, поэтому к работе допускают только
специалистов, прошедших инструктаж по технике безопасности.
Изоляцию ЛА, обладающих различной проводимостью в различных
направлениях, подвергают испытанию напряжением постоянного тока.
Электрическую прочность межвитковой изоляции обмоток электрических
машин проверяют на холостом ходу плавным повышением напряжения на обмотке.
Изоляция должна выдерживать в течение 5 мин напряжение, в 1,5 - 2 раза
превышающее рабочее напряжение. Пробой межвитковой изоляции обмотки
контролируется по снижению напряжения.
Схема установки для проверки электрической прочности изоляции
показана на рисунке1.2.1.
Рисунок 1.2.1 - Схема установки для проверки электрической
прочности изоляции
Испытательное напряжение во вторичной обмотке трансформатора Т
устанавливается автотрансформатором Т по вольтметру V. При
пробое в первичной обмотке Т будет проходить большой ток; при этом
срабатывает максимальный автомат МА и трансформатор отключается.
При проверке электрической прочности изделий в условиях
пониженного давления испытания проводятся в барокамере при испытательном
давлении.
Испытание изделий на воздействие отклонения частоты питания. На
начальном этапе до испытания проверяют работу изделия при номинальной частоте
питания и снимают исходные характеристики.
Увеличивают частоту питания до верхнего предельного значения и
после стабилизации работы изделия проверяют требуемые характеристики.
Уменьшают частоту питания до нижнего предельного значения и после
стабилизации работы изделия проверяют требуемые характеристики.
Изделие считают выдержавшим испытание, если при измененных
значениях частоты питания (увеличении или уменьшении) его характеристики
находятся в пределах норм, установленных в технических условиях на изделие.
Метод контроля отклонения напряжения питания от номинального
значения и продолжительность переключения на резервный источник питания
устанавливают в технических условиях.
Испытание изделий на воздействие отклонения напряжения питания.
Устанавливают напряжение питания, равное номинальному значению, и после
стабилизации работы изделия проводят начальные проверки характеристик,
установленных в технических условиях на изделие.
Напряжение питания увеличивают до верхнего предельного значения и
после стабилизации работы изделия проверяют требуемые характеристики. Выбирают
плавный или скачкообразный режим изменения напряжения в зависимости от
конкретных условий эксплуатации.
Напряжение питания уменьшают до нижнего предельного значения и
после стабилизации работы изделия проверяют требуемые характеристики.
Изделие считают выдержавшим испытание, если при измененных
значениях напряжения питания (увеличении или уменьшении) его характеристики
находятся в пределах норм, установленных в технических условиях на изделие.
1.3 Проверка
сопротивления изоляции
Под воздействием приложенного напряжения электроизоляционные
материалы проявляют свойство электропроводности. Электропроводность диэлектриков
намного ниже, чем проводников, и вместе с тем эта характеристика диэлектриков
играет важную роль в функционировании оборудования. Ток утечки диэлектрика
имеет две составляющие: ток, проходящий по его поверхности, и ток, проходящий
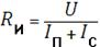
через диэлектрики. Отношение напряжения, приложенного к диэлектрику, к силе
тока утечки называется сопротивлением изоляции. Сопротивление изоляции 
может быть определено соотношением:

,
где 
- сила тока утечки по поверхности изоляции; 
- сила тока утечки через слой изоляции.
Сопротивление изоляции зависит от механических воздействий,
температуры, проникающего излучения, состояния поверхности диэлектрика,
качества обработки, сборки, пропитки и т.п.
Проверку сопротивления изоляции производят, как правило, в
нормальных климатических условиях после воздействия механических и
климатических факторов.
Нижний предел сопротивления изоляции должен быть: в холодном сухом
состоянии > 20 МОм; в нагретом состоянии > 2 МОм; в увлажненном состоянии
не менее 1 МОм. В отдельных случаях может устанавливаться более низкий предел
сопротивления изоляции.
Проверку сопротивления изоляции производят следующими способами:
сетевым и ручным мегомметрами и с помощью вольтметра определенным внутренним
сопротивлением.
Схема сетевого мегомметра представлена на рисунке 1.3.1
Рисунок 1.3.1 - Схема сетевого мегомметра
предстартовое испытание летающий аппарат
Сопротивление изоляции входа измерительных приборов должно
превышать на порядок измеряемое сопротивление изоляции. Измерительное
напряжение должно соответствовать рабочему напряжению измеряемой цепи.
Регистрацию значений сопротивления изоляции проводят, как правило, через одну
минуту после подачи измерительного напряжения.
Для измерения сопротивления изоляции наиболее часто
применяются магнитоэлектрические мегомметры и мегомметры с использованием
электронных автокомпенсационных схем.
1.4 Порядок
проведения электрических испытаний ЛА
1.4.1
Проверка транзитных цепей ЛА
Перечень приспособлений, инструментов и расходных материалов:
розетка-перемычка 926;
кабель 36;
кабель 37;
кабель 38;
кабель 39;
кабель 40;
кабель 41;
кабель 42;
кабель А;
кабель Б;
кабель В;
УКР-50 (универсальный коммутатор разъемный);
прибор электроизмерительный комбинированный;
браслет заземляющий;
кисть КФК-14;
салфетки;
спирт этиловый ректификованный высшего сорта.
Для проведения проверки транзитных цепей ЛА необходимо
пошагово выполнять следующие действия:
. Собрать схему рабочего места в соответствии с Приложением
А.
. Подготовить РН к проверке транзитных цепей кабелей КА,
выполнив следующие операции:
взять из комплекта оборудования розетки-перемычки 925 и 926 и
подготовить электрический соединитель заглушек к пристыковке по методике,
изложенной в инструкции;
пристыковать розетки-перемычки 925 и 926 соответственно к
электрическому соединителю и бортовой кабельной сети на торцевом шпангоуте
приборного отсека по методике, изложенной в инструкции.
. Подготовить комплект аппаратуры для автоматизированной проверки
разобщенности и целостности цепи к проверке цепей на обрыв по инструкции ТО,
при этом на "Пульте П" установить:
переключатель ПРОВЕРКА в положение МОНТАЖ;
переключатель КОНТРОЛЬ в положение ПРОМЕЖУТ;
переключатель КАЛИБРОВКА МОНТАЖА - КОМ в положение 0,1;
переключатель ЦЕПЬ, СЕТЬ в положение ВКЛ.
. Провести проверку целостности транзитных цепей КА в
автоматическом режиме по методике изложенной в инструкции технологического
оборудования, последовательно подключая аппаратуру для автоматизированной проверки
разобщенности и целостности цепи через кабели А, Б и универсальный коммутатор
разъемный-50 (УКР-50) последовательно к электросоединителям 736, 737, 741, 742,
738, 739, 740. При этом проверку цепей с номерами:
-50 - для электросоединителя 736;
, 9, 14-24, 45-50 - для электросоединителя 737;
, 9, 14-24, 45-50 - для электросоединителя 741;
-50 - для электросоединителя 742;
проводить в режиме рабочего сброса.
При загорании на табло ЦЕПЬ индикации "25"
контролировать загорание ламп "КОНТРОЛЬ", "ОБРЫВ".
Для электросоединителей 738-740 перед проведением проверки на
УКР-50 разорвать цепи 14, 16, 18, 20, 22, 24, 26, 28, 30, 32, 34, 36, 38, 40,
42, 44, 46, 48.
При этом проверку цепей с номерами:
, 12,14, 16, 18, 20, 22, 24, 26, 28, 30, 32, 33, 34, 36, 38,
40-46, 48, 50 - для электросоединителя 738;
, 14, 16, 18, 20, 21, 22, 24, 26, 28, 30-34, 36, 38, 40, 42,
44, 46, 48 - для электросоединителя 739;
, 12, 14, 16, 18, 20, 22, 24, 26, 28, 30, 32-34, 36, 38,
40-46, 48, 50 - для электросоединителя 740;
проводить в режиме рабочего сброса.
. Отстыковать от электрических соединителей 300-9 и 300-10
бортовую кабельную сеть РН розетки-перемычки 925 и 926 по методике, изложенной
в инструкции.
. Подготовить комплект аппаратуры для автоматизированной
проверки разобщенности и целостности цепи к проверке цепей на сопротивление
изоляции по инструкции технологического оборудования, при этом на пульте
аппаратуры для автоматизированной проверки разобщенности и целостности цепи
установить:
переключатель ПРОВЕРКА в положение ИЗОЛЯЦИЯ;
переключатель НАПРЯЖЕНИЕ в положение 150 В;
переключатель КАЛИБРОВКА ИЗОЛЯЦИИ - МОМ в положение 20,0.
. Провести проверку сопротивления изоляции транзитных цепей
КА в автоматическом режиме по методике, изложенной в инструкции
технологического оборудования, последовательно подключая аппаратуру для
автоматизированной проверки разобщенности и целостности цепи через кабели В, А,
Б и УКР-50 к электросоединителям 736-740 перед проведением проверки на УКР-50
разорвать цепи 14, 16, 18, 20, 22, 24, 26, 28, 30, 32, 34, 36, 38, 40, 42, 44,
46, 48.
. Проверить целостность цепей контроля стыковки боковой платы
РН при помощи прибора комбинированного для автоматизированной проверки
разобщенности и целостности цепи: 736/50-737/50,738/50-742/50, 741/50-740/50.
. Разобрать схему рабочего места и выполнить заключительные
операции на аппаратуре для автоматизированной проверки разобщенности и
целостности цепи, выполнив операции с комплектом аппаратуры для
автоматизированной проверки разобщенности и целостности цепи по технологии,
изложенной в инструкции технологического оборудования.
1.5 Факторы,
влияющие на целостность изоляции кабелей
Главные причины ухудшения качества изоляции силовых кабелей -
тепловой износ, наличие большого количества посторонних включений и избыточная
влажность. Для определения степени износа используется понятие сопротивления
изоляции. Сопротивление измеряется между двумя точками кабеля, выражается в
омах и характеризует токи утечки, образовавшиеся в результате пробоя в
изоляции.
Износ изоляции может происходить вследствие ее осушения.
Пропиточный состав разлагается, кристаллизуется, перемещается или стекает.
Наблюдать такие изменения можно, если кабель эксплуатируется в экстремальных
условиях под постоянно высокими нагрузками.
Большая доля износа приходится на коррозийное разрушение
свинцовых оболочек. Как правило, дефекты не носят точечный характер, а
распространяются на сотни метров по длине кабеля. Подверженность коррозии
металлических оболочек связана с высоким уровнем влажности. Решением вопроса
может стать замена устаревших кабелей.
Ускорение износа связано и с коммутационным и дуговым
перенапряжением. В этом случае напряжение может превышать номинальное в 3-4
раза. Последствием износа от перенапряжения является образование слабого места
в изоляции, которое при каждом новом перенапряжении обеспечивает пробой.
Основной причиной возникновения перенапряжения является замыкание на землю.
Одна из причин износа изоляции - старение материала. Старение
может наступить в результате перепада температур, воздействия влаги. При этом
ухудшаются как механические, так и электрические характеристики кабеля.
В некоторой степени ускорение износа изоляции происходит
из-за производственного дефекта. По этой причине перед прокладыванием силовой
кабель должен тщательно проверяться.
2.
Статистические оценки результатов испытаний
Исходные данные
Вариант № 11
Закон распределения факторов - нормальный;
Уровень значимости гипотез - α=0.05
Погрешность - ε= 0,03%
. По результатам испытаний получено 3 выборки с
заданным законом распределения по 50 результатов в каждой.
По результатам каждой из первых трех выборок определить
размер представительной (репрезентативной) по критерию оценки математического
ожидания выборки.
Условие выполняется, принятый размер выборки (n) не
удовлетворяет решению задачи и должен быть увеличен размер выборки (с 8 до 19).
Условие выполняется, принятый размер выборки (n) не
удовлетворяет решению задачи и должен быть увеличен размер выборки (с 19 до
22).
Условие выполняется, принятый размер выборки (n) не
удовлетворяет решению задачи и размер выборки дальше не может быть увеличен.

где Fp,f1,f2 - табличное значение критерия Фишера
для вероятности и чисел степеней свободы.
Так как выполняется условие для этих выборок, гипотеза
равноточности двух (2,3 в соответствии с 1) рядов результатов испытаний
принимается.
|
Fp,f1,f2
|
F2
|
F3
|
|
1,51
|
0.988
|
0.804
|
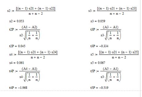
. Проверить значимость различия средних значений результатов
испытаний. Проверку статистической гипотезы выполнить для второй, третьей,
четвертой выборок в сопоставлении с первой.
При выполнении условия t
tp,f, различие средних значений двух рядов (2 ряда
относительно 1 ряда) результатов испытаний незначимо. Это условие не
выполняется для 2 ряда в сопоставлении с 1 рядом.
5. Проверить нормальность распределения результатов
испытаний. Проверку статистической гипотезы выполнить для всех выборок. Для
проверки гипотезы использовать критерий Пирсона и критерий Колмогорова. Приняв
объем выборки равным 50, осуществить проверку статистической гипотезы,
рассчитав коэффициенты асимметрии и эксцесса.
Определим шаг интервалов:
Определим границы интервалов:
Определим частоту и середину интервалов:
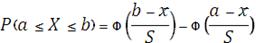
Для определения вероятности pi попадания значений
случайной величины в i-й интервал для нормального закона распределения,
необходимо найти Функцию Лапласа:
Вероятности pi попадания значений случайной величины в
i-й интервал для нормального закона распределения можно определить по формуле:
Определим Функции Лапласа по таблице:
Тогда вероятности попадания случайной величины:
|
χ21-р
|
χ21
|
χ22
|
χ23
|
|
66.351
|
41.16
|
41.204
|
42.893
|
Гипотеза о принятом типе закона распределения принимается на
данном уровне значимости p, если χ2<χ21-p, где χ21-pопределяются по таблице
для выбранного уровня значимости и числа степеней свободы f. Если χ2>χ21-pделается вывод, что
гипотеза не согласуется с выборочным законом распределения.
Для 1,2,3 гипотеза согласуется с выборочным законом
распределения.
Для определения функции распределения, запишем еще раз
средние значения интервалов.
Определим по таблице значения Функции Лапласа для этих
выражений:
Обозначим генеральную функцию распределения как DX
Обозначим выборочную функцию распределения как Fxx
Для применения критерия Колмогорова необходимо определить
наибольшее абсолютное отклонение выборочной функции распределения Fn
(x) от генеральной F (x):
Затем вычисляется величина λ:
Так как вычисленные значения λ меньше табличного λ1-р, то гипотеза о совпадении теоретического закона распределения F
(x) с выборочным Fn (x) не отвергается.
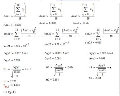
Выборочные коэффициенты асимметрии и эксцесса:
Распределения этих оценок сложны и мало изучены. Однако
известны дисперсии этих величин:
Выборки удовлетворяют условию:
Поэтому наблюдаемое распределение можно считать нормальным.
В процессе работы были выполнены следующие действия:
. По результатам каждой из трех выборок не был определен
размер представительной (репрезентативной) по критерию оценки математического
ожидания выборки (n) не удовлетворяет решению задачи.
2. Была проверена равноточность результатов испытаний. Для решения
задачи было использовано дисперсионное отношение оценок большей дисперсии к
меньшей (коэффициент Фишера) F=
/ 
. Проверка гипотезы сводится к проверке неравенства F≤ 
. Так как выполняется условие для всех выборок, гипотеза
равноточности двух рядов (2,3 рядов относительно 1 ряда) результатов испытаний
принимается.
. Была проверена значимость различия средних значений результатов
испытаний. При выполнении условия 
, различие средних значений двух рядов (относительно 1 ряда)
результатов испытаний незначимо.
. Была проверена нормальность распределения результатов испытаний.
Гипотеза о принятом типе закона распределения принимается на данном уровне
значимости p, если, где (критерий Пирсона) определяются по таблице для
выбранного уровня значимости и числа степеней свободы f. Если делается вывод,
что гипотеза не согласуется с выборочным законом распределения. Для 1,2,3 рядов
гипотеза согласуется с выборочным законом распределения. Так как вычисленные
значения λ (критерия
Колмогорова) меньше табличного, то гипотеза о совпадении теоретического закона
распределения F (x) с выборочным Fn (x) не отвергается. Выборки
удовлетворяют условию 
поэтому наблюдаемое распределение можно считать нормальным.
2.1 Обработка
результатов эксперимента методом регрессионного анализа

. Выполнить проверку возможности проведения обработки
результатов эксперимента методом множественного регрессионного анализа по
критерию Кохрена.
Проверка предпосылки фактически сводится к проверке
постоянства дисперсии "шума":
.
Считается, что это условие выполнено, если справедлива
гипотеза
Проверка данной гипотезы при конкурирующей 
хотя бы одна дисперсия 
не равна остальным, для одинакового числа параллельных опытов в
каждой точке плана эксперимента, производится с помощью критерия Кохрена.
Статистика Gэтого критерия имеет вид
Так как выполняется условие, то гипотеза об однородности
ряда выборочных дисперсий выходного параметра не отвергается.
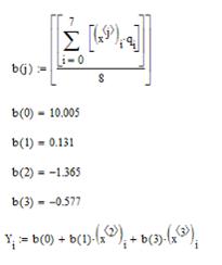
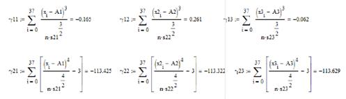
2. Записав уравнение приближенной регрессии в виде
, определить значения коэффициентов 
.
дисперсия воспроизводимости, характеризующая рассеивание значений
выходного параметра 
при повторении одного и того же опыта, при одном и том же
сочетании уровней факторов:
Любой коэффициент уравнения регрессии 
определяется как:


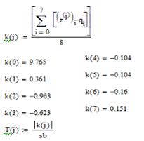
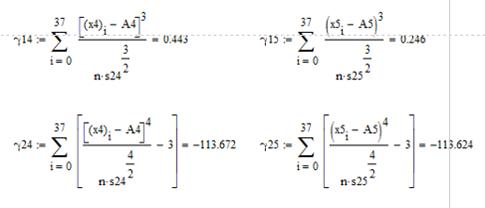
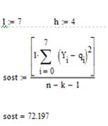
3. Вычислить проверку адекватности уравнения регрессии
результатам эксперимента.
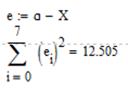
Остаточная дисперсия:
Критерий Фишера
В общем случае, так как не выполняется условие, то гипотеза
об адекватности должна быть принята.
. В случае выполнения условия адекватности, осуществить
проверку значимости оценок коэффициентов регрессии. Оставив значимые
коэффициенты, записать новое полученное уравнение регрессии и оценить ошибку
точности выбранной модели.
Для выполнения незначимых факторов производится проверка
значимости всех коэффициентов регрессии biс помощью t-критерия
Стьюдента.

- оценка среднеквадратического отклонения i-го коэффициента
регрессии.
Условие ti>tтабл (α,f) выполняется для элемента b0 уравнения
регрессии, поэтому его следует оставить, остальное отбрасывается. Тогда
линейное уравнение примет вид:
Целесообразно так подобрать математическую модель, чтобы по всем
опытам выполнялось условие
. Записав уравнение приближенной регрессии в неполном квадратичном
виде, определить значения коэффициентов регрессии.
Построение неполноквадратического уравнения регрессии:
Условиеti>tтабл (α,f) выполняется для элементаb0
уравнения регрессии, поэтому его следует оставить, остальное отбрасывается.
Тогда линейное уравнение примет вид:
Целесообразно так подобрать математическую модель, чтобы по всем
опытам выполнялось условие:
Вывод
В процессе были совершены следующие действия:
. Заданы l=7 выборки выходных параметров Y с
нормальным законом распределения объемом 10 значений.
2. Задано число входных факторов к=3.
. Выполнена проверка возможности проведения обработки
результатов эксперимента методом множественного регрессионного анализа по
критерию Кохрена. Так как, то гипотеза об однородности ряда выборочных
дисперсий выходного параметра не отвергается. Это означает, что для значимых
различий и в качестве оценки дисперсии воспроизводимости эксперимента можно
взять среднюю дисперсию.
4. Записано уравнение приближенной регрессии в виде 
, и определены значения коэффициентов 
.
. Выполнена проверка адекватности уравнения регрессии
результатам эксперимента.
В общем случае, так как не выполняется условие, то гипотеза
об адекватности не принята.
2.2 Обработка
аномальных результатов испытаний
1. Проверить значимость аномальных результатов испытаний
выборок с нормальным законом распределения по критерию Диксона.
Для наименьшего экстремального значения параметра:
Для наибольшего экстремального значения параметра
Нулевая гипотеза об отсутствии грубой погрешности не
выполняется для 1 выборки.
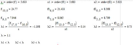
. Проверить значимость аномальных результатов
испытаний выборок с равномерным законом распределения по критерию Ирвина.
Нулевая гипотеза не подтверждается, то есть результат
ошибочный, т.к. не выполняется условие λ >λр.
. Проверить значимость аномальных результатов
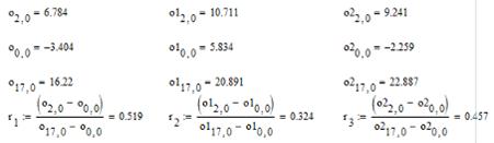
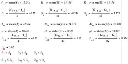
испытаний всех выборок по критерию Романовского.
Т.к. выполняется условие β > βk, результаты не являются промахом и не отбрасываются.
. Результаты иллюстрировать контрольными диаграммами.
. Проверили значимость аномальных результатов
испытаний выборок с нормальным законом распределения по критерию Диксона.
Нулевая гипотеза об отсутствии грубой погрешности не выполняется для 1-й
выборки. Для остальных выполняется.
2. Проверили значимость аномальных результатов испытаний
выборок с равномерным законом распределения по критерию Ирвина. Для всех 4
выборок гипотеза не подтверждается.
. Проверили значимость аномальных результатов
испытаний всех выборок по критерию Романовского. Результаты для значений всех
выборок не являются промахом и не отбрасываются.
. Построили диаграммы проверки целостности кабелей по
сопротивлению.
В практической части данной курсовой были обработаны
результаты испытаний на основе проверки статистических гипотез, методом
регрессионного анализа и подверглись обработке на аномальность результатов
испытаний.
Заключение
В теоретической и вводной части данной курсовой работы были
изучены общие принципы работы ЖРД и основные этапы его развития.
В практической части была спроектирована камера сгорания
жидкостного ракетного двигателя, по следующим исходным параметрам: компоненты
топлива ЖРД и его характеристики, тяга двигательной установки, время работы
двигателя, количество камер сгорания двигательной установки.
Список
использованных источников
1. Исследование
неустановившихся и переходных процессов. Отчет / НПО "Криогенмаш".
Руководитель работы Н.В. Филин.
.
Качура В.П., Филин И.В., Клебанов А.И. Динамика заполнения незахоложенной
магистрали жидким азотом. - В кн.: Процессы, технология и контроль в криогенном
машиностроении. Сборник науч. трудов. Под ред. В.П. Белякова. - Балашиха.,
1976. с.55-69.
.
Березин И.С., Жидков Н.П. Методы вычислений. Т.2. Изд.2-е; пер. Учебное пособие
для вузов. - М.: Изд-во физ-мат. лит., 1962. - 639 с.
.
ТатуpaА.Е. Влияние тупиковых отводов на величину гидравлического удара в
магистрали. Труда. ЛИИЖТа. - Л.: 1971.
Список
использованных источников
. Добровольский,
М.В. Жидкостные ракетные двигатели. Основы проектирования: учеб. для вузов /
М.В. Добровольский; под ред. Д.А. Ягодникова. - 2-е изд. - М.: Изд-во МГТУ им.
Н.Э. Баумана, 2005. - 488 с.
. Павлюк,
Ю. C. Баллистическое проектирование ракет: учеб. пособие для вузов / Ю. C.
Павлюк. - Челябинск: Изд-во ЧГТУ, 1996. - 92 с.
. Термодинамические
и теплофизические свойства продуктов сгорания: справ.: в 10 т. / под. ред.В.П.
Глушко. - М.: ВИНИТИ, 1971-75. - Т.1, 2, 4, 5.
4. Козлов,
А.А. Системы питания и управления жидкостных ракетных двигательных установок /
А.А. Козлов, В.Н. Новиков, Е.В. Соловьев. - М.: Машиностроение, 1988. - 352 с.
. Конструкция
и проектирование жидкостных ракетных двигателей: учеб. для вузов / Г.Г. Гахун
[и др.]; под общ. ред. Г.Г. Гахуна. - М.: Машиностроение, 1989. - 424 с.