Моделирование орбитального движения
Содержание
Введение
Глава 1. Обзор проблематики и
постановка задачи
.1 Обзор миссий к точкам либрации
.2 Современное состояние исследуемой
проблематики
.3 Постановка задачи
Глава 2. Описание методов
моделирования движения космического аппарата вблизи точек либрации
.1 Математическое описание
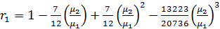
орбитального движения космического аппарата
2.1.1 Законы Ньютона
.1.2 Задача двух тел
.1.3 Ограниченная круговая задача
трёх тел
2.1.4 Точки либрации как частные
решения ограниченной круговой задачи трёх тел
.1.5 Моделирование орбитального
движения спутника в окрестности первой точки либрации L1 системы Солнце-Земля
.2 Алгоритм коррекции скорости
космического аппарата вблизи коллинеарных точек либрации
.3 Классификация ограниченных орбит
в окрестности точки либрации L1 системы Солнце-Земля
.4 Осуществление непрерывной связи с
космическим аппаратом, находящимся на орбите в окрестности точки L1 системы
Солнце-Земля
2.5 Использованное в ходе работы
программное обеспечение
Глава 3. Результаты исследования
3.1 Зависимость типа ограниченных
орбит в окрестности точки L1 системы Солнце-Земля от вектора начального
состояния
.2 Ограниченные орбиты вблизи точки
L1 системы Солнце-Земля, не пересекающие зону солнечных радиопомех
.3 Перелёт на ограниченные орбиты в
окрестности точки либрации L1 в системе Солнце-Земля с низкой околоземной
орбиты
Заключение
Список использованных источников
Введение
В восемнадцатом веке известный математик Жозеф
Луи Лагранж предположил, что в системе двух массивных тел, вращающихся вокруг
общего барицентра, существуют точки, в которых третье тело бесконечно малой
массы будет оставаться неподвижным относительно двух других. В настоящее время
человечество активно использует эти точки, называемые точками либрации или
точками Лагранжа, как парковочные места для космических аппаратов, исследующих
как объекты Солнечной системы, так и дальний космос.
В любой системе двух массивных тел, вращающихся
вокруг общего барицентра, существует пять таких положений равновесия: три из
них (коллинеарные точки либрации) лежат на одной линии, соединяющей центры
массивных тел, две другие (треугольные точки либрации) образуют с массивными
телами равносторонние треугольники. В центре настоящей работы лежит первая
точка либрации L1 в системе Солнце-Земля, лежащая между двумя небесными телами
системы на расстоянии около полутора миллиона километров от Земли.
Позиция точки либрации L1 в рассматриваемой
системе имеет множество преимуществ. Приемлемая близость к Солнцу в
совокупности с относительной неподвижностью к Земле делает данную точку
идеальным местом для размещения космической обсерватории для ведения наблюдений
за Солнцем и происходящими на ней процессами, чем и воспользовались в ходе
таких миссий как ISEE-3 [1, 2], SOHO [1, 2], WIND [1, 2] и т.д. С
рассматриваемой позиции можно вести наблюдения и за нашей планетой, что уже
используется в миссии DSCOVR [1, 2]. Не менее важным представляется
использование точек Лагранжа, в том числе и L1, для осуществления
сверхэкономичных межпланетных перелётов [3]. Но, с точки зрения безопасности
человечества и всего живого на нашей планете, наиболее важным преимуществом
рассматриваемой точки Лагранжа является возможность отслеживания опасных
космических объектов, летящих к Земле со стороны Солнца [1, 4], ведь, как
известно, такие небесные тела практически невозможно отследить с поверхности
планеты. Примеров таких опасных объектов можно привести много, например,
знаменитый Челябинский метеорит, упавший в одноимённом городе в 2013 году.
Приближение опасного небесного тела, принёсшего России большие убытки и
разрушения в Челябинске и ближайших населённых пунктах, никак нельзя было
отследить, так как он летел к планете со стороны Солнца. Если на орбиту в
окрестности точки либрации L1 в системе Солнце-Земля разместить телескоп с
целью мониторинга объектов, приближающихся к Земле со стороны Солнца, то
вероятность избежать ненужных жертв и разрушений от их падения значительно
возрастёт.
Вследствие этого, исследование движения
космических аппаратов вблизи точки либрации L1 в системе Солнце-Земля является
актуальным на сегодняшний день. До сих пор коллинеарные точки Лагранжа
находятся в центре внимания мировой науки, было проведено много исследований и
создано множество методов, позволяющих строить ограниченные решения вблизи
данных положений равновесия. Однако до сих пор еще не было получено
инструмента, позволившего бы дать чёткую и целостную картину всего того, что
происходит в окрестности рассматриваемой в работе точки L1.
Подробное исследование орбитального движения
космического аппарата в окрестности первой точки либрации L1 в системе
Солнце-Земля является целью данной работой. Для её достижения необходимо
выполнить несколько задач. На первом этапе необходимо выявить зависимость типа
ограниченной орбиты от начальных условий. На втором этапе ставится задача
исследовать траектории на условие осуществления непрерывной связи с аппаратом,
который на ней бы находился. На последнем этапе обязательным видится
рассмотреть возможность перелёта на периодические ограниченные траектории
вблизи L1 с низкой околоземной орбиты с совершением одного импульса.
В первой главе проводится обзор космических
миссий к коллинеарным точкам либрации, рассматриваются и сравниваются методы
построения ограниченных решений вблизи точек либрации и стратегии коррекции
аппарата вблизи положений неустойчивого равновесия. В конце данной главы
приводится точная формулировка цели и постановка задач, призванных для её
достижения.
Вторая глава полностью посвящена теоретической
части вопроса. В данном разделе формулируются законы Ньютона, задача двух тел и
круговая ограниченная задача трёх тел, объясняется понятие точек либрации, их
свойств, особенностей, описывается используемая в работе математическая модель
описания орбитального движения вблизи коллинеарных точек либрации, приводится
описание применяемых в ходе работы методов, а также сказано несколько слов об
используемом для вычислений программном обеспечении.
В третьей главе описываются результаты,
полученные в процессе решения поставленных задач. В конце приводятся сделанные
по результатам выводы.
Данные и результаты, полученные в ходе дипломной
работы можно использовать в проектировании космических миссий и экспедиций к
первой точке либрации в указанной системе Солнце-Земля, а также рассматривать
как базу для дальнейших исследований и разработок в данной области науки.
Глава 1. Обзор проблематики и постановка задачи
.1 Обзор миссий к точкам либрации
На протяжении нескольких столетий после открытия
французским учёным Ж. Л. Лагранжем точкам либрации не уделялось особого
внимания и их рассматривали только как частный случай решения ограниченной
круговой задачи трех тел. В 1950 году впервые было предложено использовать одну
из точек Лагранжа (L2 в системе Земля-Луна) как место для трансляции
радиосигналов колониям, которые могли бы быть размещены на обратной стороне
Луны. Начиная с того момента и вплоть до 1970-х годов было выдвинуто множество
предложений использовать точки Лагранжа как места для проведения космических
миссий, но по некоторым причинам ни одно из них не было принято и реализовано.
Первая космическая экспедиция к точке либрации
была осуществлена в 1972 году как продолжение международной программы по
изучению Солнца и Земли - International
Sun-Earth Explorer (ISEE). Космический аппарат, разработанный агентством
НАСА и названный ISEE-3 [1, 2] стартовал
12 августа 1978 года и спустя почти три месяца достиг расчётной гало-орбиты
около точки либрации L1 системы Солнце-Земля.
Основной целью, стоявшей перед ISEE-3,
было изучение взаимодействия между магнитным полем Земли и солнечным ветром.
Гало-орбита (рис. 1), на которой находился ISEE-3 в ходе всей миссии, имела период 6
месяцев, с амплитудой 120000 км по Z и 666670 км по Y [1]. Выбранная для миссии
траектория не пересекала зону солнечных радиопомех, что позволяло вести
непрерывное наблюдение за аппаратом с Земли. В течение 4-х лет аппарат
оставался на выбранной траектории. Каждый год для подержания гало-орбиты
совершался корректирующий манёвр величиной примерно 10 м/с.
После окончания четырёхлетней миссии ISEE-3 был смещён с гало-орбиты около точки L1
системы Солнце-Земля и направлен на изучение комет. В ходе второй миссии ISEE-3, переименованный в ICE, совершил пролёт
вокруг точки L2 в системе Солнце-Земля, тем самым став первым аппаратом,
побывавшим в окрестности данной точки либрации.
Рис. 1. Траектория космического аппарата ISEE-3
После успеха миссии ISEE-3 точка либрации L1 в системе Солнце-Земля стала
рассматриваться как место проведения космических экспедиций, основной целью
которых было изучение Солнца и процессов, происходящих на нём. Спустя 18 лет
после старта первой миссии к точкам либрации было успешно проведено несколько
экспедиций к L1 - WIND (1994 г.) [1, 2], SOHO (1996 г.) [1, 2], ACE (1997 г.)
[1, 2].
Первым аппаратом, вышедшим на ограниченную
орбиту в окрестности точки либрации L2 системы Солнце-Земля стал спутник MAP
(Microwave Anisotropy Probe), главной целью которого стояло измерение фоновой
радиации, представленной фотонами, которые образовались во время Большого
Взрыва. Проект профинансировало агентство NASA. Старт аппарата состоялся 30
июня 2001 года. Для перелёта на расчётную орбиту использовались фазовые орбиты
и проход Луны. 1 октября 2001 года MAP вышел на орбиту Лиссажу точки L2,
обладающей малой амплитудой.
За успешной миссией MAP последовали и другие
космические экспедиции, местом осуществления которых стала точка L2 в системе
Солнце-Земля. Вплоть до 2015 г. к L2 было запущено множество миссий
(инфракрасный телескоп Herschel[1] в 2007 г., Plank [1] в 2007 г. с целью измерение
реликтового излучения, Gaia [1] в 2013 г. для изучение структуры галактики),
запущенные европейским космическим агентством ESA. В 2011 году китайское
национальное космическое управление отправило свой аппарат Чанъэ-2 [1] в L2 с
целью зондирования Луны, в 2015 стартовала миссия к той же точке либрации
DSCOVR [1], задачей которой было наблюдение за Землёй, организованная NASA.
Россия также собирается в будущем осуществить миссии в точку либрации L2 - в
2017 - ожидается запуск аппарата Спектр-РГ [1], в ходе которой будет проведён
обзор всего неба в гамма- и рентгеновском диапазоне, более глубоко изучены
черные дыры; после 2019 года планируется запуск экспедиции Миллиметрон [1],
главной целью которой является размещение в L2 космической обсерватории для проведения
широкого спектра исследований: изучение астероидов, комет, планет Солнечной
Системы, всей Галактики в целом и т.д. В точку L1 системы Солнце-Земля в
будущем индийским космическим агентством планируется миссия Aditya [5].и ESA
готовят экспедиции в точку L2 - JWST [1] для изучения глубокого космоса, Euclid
[1] и Wide Field Infrared Survey [1], перед которыми стоит цель - изучение
тёмной материи и тёмной энергии.
.2 Современное состояние исследуемой
проблематики
космический аппарат либрация спутник
На протяжении последних десятилетий исследование
движения в около точек либрации, а в частности поиск ограниченных орбит в их
окрестностях, являлось одной из центральных проблем в небесной механике.
Начиная с конца девятнадцатого - начала двадцатого века многие учёные по всему
миру, такие как Ф.Р. Мултон (F. R. Moulton), Д. Бьюкенен (D. Buchanan), Э.
Стромгрен (E. Stroemgren), искали пути обнаружения ограниченных периодических
решений вблизи точек Лагранжа.
Впервые гало-, вертикальные и планарные
ограниченные орбиты точек либрации были исследованы Р. В. Фаркуаром (R. W. Farquhar), М. Хеноном (M. H´enon),
Дж.
В. Брэйквелом (J. V. Breakwell) и т.д. Все ученые использовали разные методы
для исследования орбит и их характеристик.
Р. В. Фаркуар (R.
W. Farquhar) и А. А. Камэл (A. A. Kamel)
для поиска периодических решений вблизи точек либрации использовали Метод
Пуанкаре-Листенда (Poincaré-Lindstedt method) [6], заключающийся
в постепенной аппроксимации периодического решения к виду обыкновенных
дифференциальных уравнений с помощью введения масштабируемого параметра по
времени. В работе [6] учёные подробно
описали квазипериодическое движение вблизи точки L2 в системе Земля-Луна,
продемонстрировав возможность использования вышеуказанного метода
Д. Л. Ричардсон (D. L. Richardson ) и Н. Д. Кэри
(N. D. Cary) исследовали квази-периодическое движение вблизи точек L1 и L2 в
системе Солнце-Земля, использовав для исследований метод многократного
временного масштабирования (method of multiple time scales) [7].
В. М. Гибаут (V. M. Guibout) и Д. Дж. Ширес (D.
J. Scheeres) для изучения периодических решений в окрестности точек Лагранжа
воспользовались методом производящих функций [8, 9], заключающийся в разложении
решения в ряд.
Э. Колмэн (Egemen Kolemen), П. Гурфил (Pini
Gurfil) и Н. Дж. Касдин (N. Jeremy Kasdin) совсем недавно разработали новый
метод отыскания периодических и квазипериодических орбит, базирующийся на
построении карт Пуанкаре, фиксирующих пересечения ограниченных решений вблизи
точки либрации с некоторой специально подобранной плоскостью (a Poincaré
section). Подробное описание указанного алгоритма
приведено в [10]. Разработанный Колмэном метод является полностью численным и
считается одним из наиболее быстрых и удобных, по сравнению с предыдущими.
Все вышеприведённые алгоритмы не дают полной
картины, описывающей происходящее в окрестности точек либрации, либо достаточно
сложны в реализации. В данной работе для определения типа ограниченной орбиты в
окрестности точки либрации L1 в системе Солнце-Земля был использован не менее
удобный (по сравнению с предыдущим), достаточно быстрый численный метод,
разработанный Московским Институтом Электроники и Математики (МИЭМ), который
основан на построении карт характеристик орбит. Подробное описание данного
метода будет приведено ниже.
Метод построения карт характеристик ограниченных
орбит приводится в [11] на примере второй точки либрации L2 в системе
Солнце-Земля. В настоящей работе на основе указанной методики было проведено
подробное исследование движения аппарата в окрестности первой точки либрации L1
в той же системе.
Для осуществления реальных миссий в окрестности
коллинеарных точек либрации в системе Солнце-Земля важным моментом является
удержание аппарата на выбранной ограниченной орбите вокруг точки Лагранжа путём
коррекции движения спутника (в силу неустойчивости точек либрации в
рассматриваемой системе). Всего существует два класса стратегий коррекции
орбитального движения вблизи коллинеарных точек Лагранжа: техника свободного
контроля (loose control strategy), в которой варьируется лишь одна компонента
корректирующего импульса, который необходимо сообщить космическому аппарату,
чтобы приблизить его орбиту к номинальной, и техника строгого контроля (tight
control technique), которая базируется на варьировании двух или более компонент
корректирующего импульса. Примером стратегии, принадлежащей второму классу,
может служить методика, использованная в ходе миссии ISEE-3 [12]. Метод
заключался в варьировании компонент вектора импульса для достижения номинальной
орбиты. В ходе миссии было выполнено порядка 15 корректирующих импульсов
(суммарный импульс - 30 м/с).
Примером стратегии из класса loose control
strategy может служить методика, которую использовали в миссии SOHO [12].
Использованная стратегия базировалась на контроле энергии спутника, по которой
можно было определить величину корректирующего импульса - если энергия аппарата
слишком велика, то дан слишком большой импульс и аппарат отклонится в одну
сторону, и наоборот - если энергия мала, то спутник улетит в противоположную
сторону и корректирующий импульс нужно увеличить. В ходе миссии SOHO было
совершено всего 9 корректирующих импульсов, а суммарный импульс был равен всего
чуть более 5 м/с (без учёта вынужденных экстренных манёвров), что делает
стратегии первого класса предпочтительнее методик из второго.
В данной работе был использован алгоритм
коррекции скорости космического аппарата, предложенный в [11], который может
быть отнесён к классу loose control strategy. Подробное описание
использованного алгоритма будет приведено в следующей главе.
.3 Постановка задачи
В настоящей работе главной целью ставится
моделирование полёта и исследование движения космического аппарата вблизи
первой точки либрации в системе Солнце-Земля. Для достижения поставленной цели
должны быть решены следующие задачи:
·построить
карты характеристик ограниченных орбит вблизи точки либрации L1 системы
Солнце-Земля, отражающих зависимость соответствующей характеристики орбиты от
начальных условий;
·провести
анализ полученных карт характеристик и вывести зависимость типа ограниченной
орбиты в окрестности точки либрации L1 системы Солнце-Земля от начальных
условий;
·вычислить
точные начальные условия, соответствующие гало-орбитам около точки L1 в
исследуемой системе тел;
·рассмотреть
ограниченные орбиты вблизи рассматриваемой точки либрации на возможность
попадания в зону солнечных радиопомех и найти те траектории, которые бы смогли
обеспечить непрерывное наблюдение за находящимся на ней космическим аппаратом с
Земли;
·исследовать
возможность перелёта с низкой околоземной орбиты на гало-орбиты в окрестности
точки L1 с помощью одноимпульсного перехода.
Итак, в первой главе были рассмотрены
осуществлённые и планируемые в будущем космические миссии к точкам либрации,
показавшие практическую значимость и возможные варианты использования
коллинеарных точек либрации. Далее был проведены обзор и сравнение имеющихся
методов расчёта ограниченных орбит в окрестности коллинеарных точек Лагранжа и
стратегий коррекции орбитального движения вблизи точек неустойчивого положения
равновесия. В конце главы сформулированы основная цель работы и задачи для её
достижения.
Глава 2. Описание методов моделирования движения
космического аппарата вблизи точек либрации
2.1 Математическое описание орбитального движения
космического аппарата
2.1.1 Законы Ньютона
Моделирование движения любого тела, в том числе
и космического аппарата, находящегося на орбите в космосе, невозможно без
использования законов Ньютона.
Первый закон Ньютона (закон инерции)
Второй закон Ньютона
В инерциальной системе отсчёта ускорение,
получаемое материальной точкой, которая обладает постоянной массой, прямо
пропорционально равнодействующей всех приложенных к ней сил и обратно
пропорционально её массе.
Третий закон Ньютона
Материальные точки взаимодействуют друг с другом
с силами, имеющими одинаковую природу, направленными вдоль одной прямой,
соединяющей эти две точки, равными по модулю и противоположными по направлению.
Закон всемирного тяготения
Два точечных тела притягиваются друг к другу с
силой, которая прямо пропорциональна массам этих тел и обратно пропорциональна
квадрату расстояния между ними.
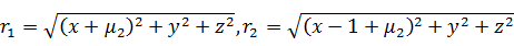
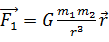
2.1.2 Задача двух тел
Задача двух тел описывает взаимодействие двух
тел, которые движутся под действием взаимного гравитационного притяжения.
Согласно закону всемирного тяготения Ньютона для двух взаимодействующих частиц
с массами
и
справедливо
соотношение (1).
(1)
F - сила притяжения частиц, G = 6.67260
10-11Н
м2/кг2
- постоянная всемирного тяготения, r - расстояние между частицами. Если
обозначить F1 силу, которая действует на
,
а F2 - силу, действующую на
, то согласно
третьему закону Ньютона справедливо соотношение (2).
(2)
Пусть имеется некоторая инерциальная система
отсчёта с началом координат в точке О. Обозначим
и
радиус-векторы,
проведённые из О к точкам, в которых расположены частицы с массами
и
.
Вектор
.
Рис. 2. Система двух взаимодействующих частиц
Силы взаимного тяготения, а также создаваемые
ими ускорения будут равны:
=
(3)
=
(4)
Формулы (3) и (4) образуют закон движения двух
частиц под действием взаимного притяжения. Центра масс системы либо неподвижен,
либо движется прямолинейно с постоянной скоростью относительно точки О.
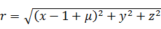
Если рассматривать систему двух тел, в котором
одно тело намного массивнее другого -
>>
,
например Солнце и Землю или Землю и Луну, то задача двух тел перейдёт в задачу
одного притягивающего центра. В данном случае главной целью ставится найти
закон движения тела с малой массой
относительно
тела с большей массой
. Уравнения
относительного движения имеют вид (5).
= 0(5)
где
.
Траектория тела с массой
описывается
уравнением (6),
(6)
являющимся формулой конического сечения в
полярных координатах. В данной формуле p - фокальный параметр конического
сечения, e - эксцентриситет,
- истинная
аномалия, - долгота перицентра.
Рис. 3. Пример эллиптической орбиты с большой
полуосью а, эксцентриситетом е и долготой перицентра . Массивное тело
находится
в одном из фокусов эллипса
Возможных конических сечений всего четыре -
окружность, эллипс, парабола и гипербола. Отсюда происходят и типы движения
тела в задаче одного притягивающего центра: движение по окружности,
эллиптическое, параболическое и гиперболическое движение. Существует пятый тип
движения, являющийся вырожденным случаем - прямолинейное движение.
2.1.3 Ограниченная круговая задача трёх тел
Задача трёх тел заключается в
нахождении закона относительного движения трёх материальных тел под действием
взаимного притяжения. В отличии от задачи двух тел, данная задача не имеет
аналитического решения и может быть решена с использованием численных методов.
Если рассматривается система
трёх тел, в которой первые два тела, обладающие большей массой, движутся по
круговым орбитам вокруг общего центра масс, а третье тело, обладающее
сравнительно малой массой, не оказывает никакого влияния на движение двух
первых тел, то задача называется ограниченной круговой задачей трёх тел.
Примером такой системы тел может служить система, включающая Солнце, Землю и
космический аппарат. В данном случае ограниченная круговая задача трёх тел
будет описывать движение аппарата около Земли и Солнца.
Рассмотрим подробнее движение
третьего тела системы, обладающее пренебрежимо малой массой, относительно первых
двух тел с массами m1 и m2. Пусть два массивных тела движутся по круговым
орбитам вокруг барицентра системы, а также оказывают гравитационное
взаимодействие друг на друга и на третье тело, которое, в свою очередь,
никакого влияние на первые два тела не имеет.
Рис. 4. Вращающаяся система
координат
Первое и второе тело движутся
по круговым орбитам вокруг общего барицентра со скоростью, равной по величине
среднему движению n. Введём вращающуюся систему координат (рис. 4), начало
которой поместим в барицентр системы, а расстояние между двумя первыми телами,
которое всё время остаётся неизменным, примем за единицу. Введённая система
отсчёта вращается также со скоростью n, при этом ось ОХ выбирается из расчёта,
что первые два тела должны лежать на этой оси. Положение частицы определяется
координатами x, y и z. Предположим, что
>
, т.е. первое тело обладает наибольшей массой, по сравнению с
остальными телами. В новой системе отсчёта введём массы двух тел,
рассчитываемые по формулам (7).
,
,(7)
И тогда
.
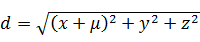
Координаты первого тела (
,0,0),
второго - (
,0,0). Расстояние
от третьего тела системы до первого и второго тела обозначим
и
:
(8)
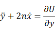
Уравнения движения в заданной системе координат
примут вид (9).
(9)
- это
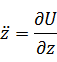
псевдопотенциал, его можно рассчитать по формуле (10).
,(10)
где
,
.
U нельзя считать истинным потенциалом, лучше
всего рассматривать его просто как скалярную функцию, используя которую можно
вывести некоторые ускорения частицы.
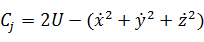
Интеграл Якоби (константа Якоби)
рассчитывается
по формуле (11).
(11)
и представляет собой постоянную движения.
-
не является интегралом энергии, поскольку в рассматриваемой ограниченной задаче
трёх тел ни энергия, ни момент количества энергии не сохраняются. Данная
величина позволяет рассмотреть положения, в которых скорость третьего тела
равна нулю.
2.1.4 Точки либрации как частные решения
ограниченной круговой задачи трёх тел
В рассмотренной выше ограниченной задаче трёх
тел существует 5 положений равновесия, называемых точками Лагранжа или точками
либрации. Если поместить частицу в одну из таких точек, оно будет оставаться
неподвижным во вращающейся системе отсчёта, другими словами, тело будет иметь
нулевые скорость и ускорение во введённой выше вращающейся системе отсчёта.
Все пять положений равновесия располагаются в
плоскости движения двух массивных тел. Первые три точки Лагранжа - L1, L2, L3,
лежат на прямой, соединяющей массивные тела (на оси ОХ), и называются
коллинеарными точками либрации; L4 и L5 - треугольные точки либрации, они
образуют равносторонний треугольник с центрами массивных тел. На рисунке 5
изображена схема, показывающая местоположение точек либрации в системе двух
тел, когда первое тело намного массивнее второго.
Рис. 5. Схема расположения точек либрации в
системе двух массивных тел
Чтобы определить точное положение каждой точки,
предположим, что все три тела системы движутся в одной плоскости - плоскости
XOY. Расстояние между первым и вторым телами остаётся равным единице, тогда
средняя скорость, с которой вращается вся система координат, также равна
единице.
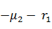
Первая точка либрации L1 лежит между первым и
вторым телом, что означает, что в этой точке:
+
,
z = 0, y = 0 .
Т.е. L1 находится в точке с координатами (
,
0, 0), где
определяется по
формуле (12).
(12)
Параметр
определяется:
по формуле (13).
(13)
Во второй точке либрации L2 выполняется:
-
,
z = 0, y = 0 .
Координаты второй точки Лагранжа - (
,
0, 0), где
определяется по
формуле (14).
(14)
В третьей точке либрации L3:

, z = 0, y = 0 .
Тогда точные координаты L3 - (
,
0, 0), где
+
(15)
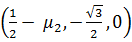
Координаты треугольных точек либрации L4 и L5 во
вращающейся системе координат:
L5 =
.
В разных системах тел точки либрации могут
оказаться как точками устойчивого, так и неустойчивого положения равновесия.
Если бесконечно малую частицу поместить вблизи
точки либрации (предполагается, что смещение частицы от точки Лагранжа и её
скорость малы) и она с течением времени будет удаляться от неё, то эта точка -
положение неустойчивого равновесия. Если же частица будет продолжать колебаться
около точки, то рассматриваемая точка Лагранжа - положение устойчивого
равновесия.
Чтобы определить, является ли рассматриваемая
точка положением устойчивого или же неустойчивого равновесия, нужно
линеаризовать уравнения движения и провести линейный анализ устойчивости.
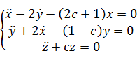
После линеаризации уравнения движения получается
(16).
, (16)
где
.
Уравнение (16) можно преобразовать к виду (17)
или
,
где X - вектор-столбец, A - матрица.
(17)
Если х удовлетворяет
,
то х - собственный вектор матрицы А.
Характеристическое уравнение для матрицы А имеет
вид (18) и сводится к виду (19).
(18)
(19)
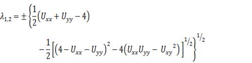
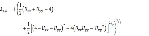
Его четыре корня имеют вид (20) и (21):
(20)
(21)
Решение для
и
X,
и
может
быть записано:
(22)
(23)
Общий вид собственных значений, определяемых
уравнениями (20) и (21), следующий:
где j1, j2, k1, k2 - вещественные числа;
Так как общее решение для компонент векторов
положения и скорости относительно точки либрации (см. выражения (22) и (23))
включает линейную комбинацию членов вида
,
это означает, что каждому из двух членов
сопутствует
член
.
Если
,
решение будет периодическим, поскольку члены с
и
сведутся
к синусам и косинусам. Однако, если значение j больше нуля, то всегда имеет
место экспоненциальный рост по крайней мере одной моды, и поэтому возмущенное
решение неустойчиво. Таким образом, точка либрации устойчива, если все
собственные значения являются чисто мнимыми.
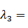
Для точек либрации в системе Солнце-Земля корни
характеристического уравнения принимают следующие значения:
Для L1:
2.532557031610,
=
2.086391218211i.
Для L2:
2.5086891900067,
=
2.071839275836i.
Для L3:
0.00280748177874,
=
1.00000262730993i.
Для треугольных точек либрации (L4 и L5):
0.004502030054172413i,
=
0.99998986581134477i,
-
0.99998986581134477i,
-
0.00450203005417241i.
На основе этих данных можно сделать вывод, что в
рассматриваемой в работе системе Солнце-Земля коллинеарные точки либрации (L1,
L2, L3) являются неустойчивыми, так как корни характеристического многочлена,
составленного для каждой из этих точек, содержат как мнимые, так и
действительные значения. Треугольные точки в данной системе (L4, L5), напротив,
являются точками устойчивого равновесия, поскольку их характеристические корни
- чисто мнимые.
2.1.5 Моделирование орбитального движения
спутника в окрестности первой точки либрации L1 системы Солнце-Земля
В данной работе движение космического аппарата,
находящегося на орбите в окрестности точки либрации L1 системы Солнце-Земля,
будет рассматриваться во вращающейся системе координат, иллюстрация которой
приведена на рисунке 6. В выбранной системе отсчёта начало координат находится
в точке либрации L1, ось OX проходит от Солнца к Земле через центры массивных
тел, ось OZ направлена к северному полюсу эклиптики, третья ось - ось OY, -
ортогональна осям OX и OZ, дополняя систему до правой тройки.
Рис. 6. Используемая в работе вращающаяся
система координат с центром в первой точке либрации L1 системы Солнце-Земля
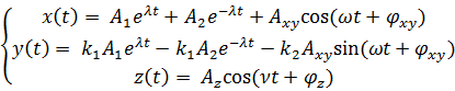
Уравнения движения космического аппарата в
задаче трёх тел выглядят следующим образом:
(25)
где с - это параметр, который зависит от масс
Солнца и Земли,
,
и
-
это возмущающие ускорения, зависящие от x, y и z и от эксцентриситета орбиты
планеты - Земли. В окрестности точки L1 уравнения примут вид:
(26)
Решение системы (26):
(27)
где
-
фаза
колебаний по оси OZ,
- фаза колебаний в
плоскости XOY,
,
параметры, которые, как и фазы
,
зависят
от начальных условий. Остальные параметры можно посчитать по формулам:
,
,
Из уравнений (27) видно, что
и
зависят
от трёх компонент:
·
-
ограниченная периодическая компонента;
·
-
возрастающая по модулю, неустойчивая компонента;
·
-
убывающая по модулю к нулю, устойчивая компонента.
Для отыскания ограниченной орбиты и соответствующего
ей начального вектора состояния нужно устранить неустойчивую компоненту -
необходимо приравнять параметр
в неустойчивой
компоненте к 0.
Решения, которые получаются при приравнивании
к
нулю, образуют устойчивые многообразия (с течением времени космический аппарат
не покинет окрестности точки либрации L1). Если же приравнять к нулю
коэффициент
, то получим
неустойчивое многообразие, включающее решения, уводящие космический аппарат с
течением времени из окрестности L1.
.2 Алгоритм коррекции скорости космического
аппарата вблизи коллинеарных точек либрации
Как было показано выше, чтобы вывести
космический аппарат на ограниченную орбиту в окрестности точки L1, необходимо
найти вектор начального состояния, при котором бы выполнилось условие равенства
нулю коэффициента
в
и
.
Поиск вектор начального состояния будет производиться с помощью методики,
предложенной в источнике [11].
На первом этапе необходимо обозначить область,
которая будет полностью включать желаемую ограниченную орбиту. Эта область
задаётся двумя плоскостями X = Xleft и X = Xright, при этом значения Xleft и
Xright выбираются из условия Xleft < 0 < Xright. Далее при условии, что
первые три компоненты известны (начальные координаты), производится поиск трёх
последних компонент вектора состояния, отвечающих за скорость аппарата:
выбираются значения проекций скоростей на оси, орбита интегрируется до
пересечения с одной из плоскостей X = Xleft и X = Xright, далее смотрим
получившуюся конечную координату X = Xf, которая является функцией компонент
вектора начального состояния. Если в получившемся решении
>
0, Xf = Xright, в противном случае если
<
0, Xf = Xleft. В случае
= 0 Xf терпит
разрыв. Таким образом, для того, чтобы найти начальные условия, которые бы
вывели аппарат на ограниченную орбиту, достаточно найти разрыв функции Xf,
поиск которого в данной работе осуществляется с помощью метода деления отрезка
пополам. Пример реализации метода приведён на рис. 7. Данный алгоритм позволяет
найти компоненты скорости с любой точностью. В настоящей работе была выбрана
точность 10-16, позволяющая находиться космическому аппарату на ограниченной
орбите до 900 суток (примерно 4 витка вокруг точки либрации).
Для удержания спутника на полученной
ограниченной орбите необходимо с некоторой установленной периодичностью
совершать корректирующие импульсы. Величину импульсов также можно искать с
помощью описанной выше методики. В данной работе корректировка совершалась раз в
оборот и величина корректирующего импульса не превышала 10-10 м/с.
Рис. 7. Пример подбора начальной скорости
космического аппарата
.3 Классификация ограниченных орбит в
окрестности точки либрации L1 системы Солнце-Земля
Космический аппарат в окрестности точки либрации
может находится на ограниченных орбитах нескольких типов, классификация которых
приведена в рабтах [10,13].
Вертикальная орбита Ляпунова (рис. 8) - плоская
ограниченная периодическая орбита, симметричная относительно эклиптики и
имеющая форму восьмёрки.
Гало-орбита (рис. 9) - трёхмерная ограниченная
периодическая орбита, период каждого витка (вокруг точки либрации) которой
равен периоду орбиты. Гало-орбиты вследствие своей относительной стабильности считаются
наиболее подходящими для использования в космических миссиях траекториями
полёта космического аппарата.
Квази-гало орбита (рис. 10) - трёхмерная
ограниченная орбита, отдалённо похожая по форме на гало-орбиту, но заметающая в
пространстве некоторую фигуру (как орбита Лиссажу).

Орбита Лиссажу (рис. 11) - трёхмерная орбита,
заметающая с каждым витком фигуру, называемую фигурой Лиссажу. Габариты орбиты
Лиссажу симметричны относительно плоскостей XOY и XOZ (в рассматриваемой в
работе системе координат). Периоды по осям не совпадают, как, например, у
гало-орбит.
Лепестковая орбита (рис. 12) - трёхмерная
ограниченная периодическая орбита, имеющая форму цветка, период которой может в
несколько раз превышать время, за которое совершается один оборот вокруг точки
L1. Количество совершенных за один период орбиты витков (иначе говоря
лепестков) может варьироваться.
Различные комбинации компонент начального
вектора состояния космического аппарата в окрестности L1 приводят к
ограниченным орбитам разных типов. Чтобы иметь возможность определить тип
получаемой орбиты при запуске космического аппарата с любой точки в окрестности
L1, необходимо получить зависимость типа орбиты от начальных координат.
Спутник, находящийся на ограниченной траектории,
не являющейся идеальной гало-орбитой, за каждый оборот совершает виток,
отличный от витка, сделанного на предыдущем обороте. В результате, траектория,
по которой летит аппарат, заметает фигуру, размеры и габариты которой могут
быть измерены следующими характеристиками:
,
где первые шесть параметров являются амплитудами
орбиты по осям OX, OY и OZ, остальные пять показывают разброс проекции орбиты
на разных плоскостях по трём осям. На рис. 13 приведён пример квазигало-орбиты
с отображёнными характеристиками.
Рис. 13. Пример квазигало-орбиты,
спроецированной на плоскости XOY, XOZ, YOZ, с отмеченными на ней
характеристиками
Вследствие этого, для определения типа
ограниченной орбиты достаточно знать её характеристики, перечисленные выше.
Опираясь на данный факт становится возможным построить зависимость типа ограниченной
орбиты в окрестности точки либрации L1 в системе Солнце-Земля от начальных
условий.
.4 Осуществление непрерывной связи с космическим
аппаратом, находящимся на орбите около точки L1 системы Солнце-Земля
В предыдущем пункте было представлено пять типов
ограниченных орбит, на которых может находиться спутник в окрестности точки
либрации L1 системы Солнце-Земля. Однако для осуществления космических миссий,
в ходе которой от аппарата поступал бы сигнал связи, не перекрываемый
возможными помехами от Солнца, подходит лишь малая часть траекторий [1]. По
этой причине одним из главных условий при выборе орбиты является отсутствие
пересечений ею зоны исключения солнечных помех.
Зона помех от Солнца - это область, при
нахождении в которой космический аппарат может потерять связь с Землёй по
причине зашумления радиосигнала, передаваемого аппаратом на планету, в
результате смешения сигнала связи со спутника с излучением от звезды. Когда
аппарат находится в окрестности рассматриваемой точки L1, то есть угроза его попадания
в такую зону, которая, как показано в [1], при наблюдении с поверхности Земли
имеет диаметр 6о. Пользуясь этими данными, необходимо найти орбиты, которые бы
не пересекали зону солнечных помех, обеспечивая непрерывную связь с находящимся
на ней космическим аппаратом.
.5 Использованное в ходе работы программное
обеспечение
Для построения решений вблизи точки либрации L1
в системе Солнце-Земля использовались математические функции пакета прикладных
программ Matlab, позволившие произвести численное интегрирование орбит методом
Ронге-Кутта четвёртого или пятого порядка, а также систематизировать и
проанализировать полученные данные. Для визуализации полученных результатов (в
виде графиков, схем и т.д.) использовались графические функции пакета Matlab.
В данной главе были углублённо изучены законы
Ньютона, являющиеся законами движения материальных тел, задача двух тел,
ограниченная круговая задача трёх тел, рассмотрены точки Лагранжа и их
свойства, подробно описаны используемая в работе математическая модель движения
космического аппарата в окрестности коллинеарных точек либрации, алгоритм
коррекции скорости спутника вблизи коллинеарных точек Лагранжа, приведена
классификация ограниченных орбит в окрестности первой точки либрации в
рассматриваемой системе, а также представлено описание используемого метод
определения зависимости типа орбиты от начальных условий, рассмотрено условие
попадания космического аппарата на ограниченной орбите вблизи L1 в зону
радиопомех от Солнца. В конце главы указано используемое для расчётов в работе
программное обеспечение.
Глава 3. Результаты исследования
.1 Зависимость типа ограниченных орбит в
окрестности L1 от вектора начального состояния
В данной работе рассматривались траектории, для
перелёта на которые задаётся вектор начального состояния, имеющий следующие
характеристики: Y-компонента, а также компоненты VX и VZ - равны нулю (Y = VX =
VZ = 0). Начальные значения координат космического аппарата по осям X и Z - X0
и Z0, - брались из ограниченной области: X0 варьируется от -500000км до
+500000км от точки L1, Z0 варьируется от 0 до +500000км от L1. Используемая в
работе система координат описана в пункте 2.1.3.3.
Определение типа ограниченной орбиты
осуществлялось с помощью её характеристик, перечисленных в пункте 2.3. Для
оценки значений каждой характеристики было проведено численное интегрирование
траектории движения аппарата до достижения 30 полных оборотов в окрестности
точки либрации L1 c использованием методики подбора начальной скорости и
алгоритма коррекции скорости аппарата на каждом следующем обороте, описанной в
пункте 2.2. Для анализа полученных данных были построены карты характеристик
орбит, отражающие зависимость каждой характеристики от начальных координат X0 и
Z0. На рисунках 15 и 16 приведены построенные карты характеристик
и
.
После подробного анализа и сравнения полученных
карт, были выявлены интересные закономерности, которые позволили определить тип
орбиты в зависимости от начальных координат. Рассмотрим карту характеристики
Рис. 15. Карты характеристик
Рис. 16. Карты характеристик



А)



Б)
Рис. 17. Иллюстрация перехода между
квазигало-орбитами и орбитами Лиссажу
На данной карте с правой стороны чётко виден
разрыв функции
(X0, Z0). С левой
стороны разрыв также наблюдается, но он не так чётко выражен. Оба разрыва
связаны с переходом от квазигало-орбит к орбитам Лиссажу. На рисунке 17
приведена иллюстрация, показывающая как происходит данный переход на примере
орбит с X0 < 0 (рис. 17 А) и с X0 > 0 (рис. 17 Б) при Z0 = 250000 км. На
обеих иллюстрациях прослеживается изменение типа орбиты: наблюдается
постепенный переход от квазигало-орбит к гало-орбитам, затем обратно к
квазигало-орбитам, а после преодоления разрыва орбиты преобразуется в орбиты
Лиссажу.
После сравнения полученных карт характеристик
было также выявлено, что существуют множества точек (X0, Z0), соответствующих
«оврагам» каждой функции (для соответствующей карты), отражающей зависимость
характеристики от начальных координат. Вышеуказанные множества соответствуют
гало-орбитам и вертикальным орбитам Ляпунова. Также на некоторых картах
(например, на карте характеристики
)
можно заметить несильно выраженные овраги, соответствующие орбитам, период
которых в несколько раз превышает время, за которое совершается один оборот
вокруг точки L1 - лепестковым орбитам. На рисунке 18 на карте характеристики
проиллюстрировано
соответствие периодических орбит каждого из трёх типов «оврагам» функции
(X0,Z0).
В результате проведённого анализа карт
характеристик стало возможным определить зависимость типа орбиты от начальных
координат. Схема искомой зависимости приведена на рис. 19. На основе полученной
схемы были вычислены точные начальные координаты космического аппарата,
приводящие к гало-орбитам, Найденные координаты указанны в таблице 1.
Рис. 18. Соответствие гало-орбит, вертикальных
орбит Ляпунова и лепестковых орбит «оврагам» функции
(X0,Z0)
Рис. 19. Схема соответствия типа ограниченной
орбиты в окрестности точки либрации L1 в системе Солнце-Земля начальным
координатам
Таблица 1.
Начальные координаты для перелёта на гало-орбиты
в окрестности точки либрации L1 в системе Солнце-Земля
|
X0
|
Z0
|
|
-171994.04698
|
25000.00000
|
|
-171886.08086
|
50000.00000
|
|
-171699.64069
|
75000.00000
|
|
-171435.51040
|
100000.00000
|
|
-171090.66572
|
125000.00000
|
|
-170661.34870
|
150000.00000
|
|
-170143.13540
|
175000.00000
|
|
-169531.06570
|
200000.00000
|
|
-168819.63865
|
225000.00000
|
|
-168002.92950
|
250000.00000
|
|
-167075.22093
|
275000.00000
|
|
-166030.38135
|
300000.00000
|
|
-164862.28747
|
325000.00000
|
350000.00000
|
|
-162123.20309
|
375000.00000
|
|
-159999.99582
|
400000.00000
|
|
-158815.81759
|
425000.00000
|
|
-156935.47797
|
450000.00000
|
|
-154894.82284
|
475000.00000
|
|
-152684.74714
|
500000.00000
|
|
237311.45801
|
25000.00000
|
|
238697.06668
|
50000.00000
|
|
241009.19925
|
75000.00000
|
|
244252.12680
|
100000.00000
|
|
248432.07060
|
125000.00000
|
|
253557.45563
|
150000.00000
|
|
259639.20732
|
175000.00000
|
|
266690.63314
|
200000.00000
|
|
274729.66203
|
225000.00000
|
|
283777.72091
|
250000.00000
|
|
293855.62723
|
275000.00000
|
|
304977.21931
|
300000.00000
|
|
317235.81654
|
325000.00000
|
|
330625.54084
|
350000.00000
|
|
345215.40240
|
375000.00000
|
|
361065.84598
|
400000.00000
|
|
378275.58167
|
425000.00000
|
|
396919.89938
|
450000.00000
|
|
417139.80440
|
475000.00000
|
|
439060.88958
|
500000.00000
|
3.2 Ограниченные орбиты вблизи точки L1 системы
Солнце-Земля, не пересекающие зону солнечных радиопомех
Как было сказано в пункте 2.4, одним из главных
условий при выборе ограниченной орбиты в окрестности точки либрации L1,
подходящей для осуществления космической миссии, непрерывно наблюдаемой с
поверхности Земли, является отсутствие пересечений у выбранной траектории с
зоной солнечных радиопомех, имеющая диаметр 6о при наблюдении с поверхности
Земли. Основываясь на этих данных, было найдено множество начальных координат
(X0,Z0), с которых возможно перейти на ограниченные орбиты около L1, не
пересекающихся с зоной солнечных радиопомех, обеспечивая тем самым непрерывную
связь находящемуся на ней космическому аппарату. На рисунке 20 приведена схема,
на которой выделена область с начальными координатами, с которых аппарат может
выйти на орбиты, удовлетворяющие стоящему условию.
Рис. 20. Начальные координаты ограниченных орбит
в окрестности точки L1 в системе Солнце-Земля, не пересекающие зону солнечных
радиопомех
Из построенной схемы видно, что найденные
области соответствуют начальным координатам, приводящим либо к гало-орбитам,
либо к квазигало-орбитам. На рис. 21 приведена иллюстрация того, что найденные
области действительно включают искомые начальные условия траекторий, не
пересекающих зону солнечных радиопомех.
Рис. 21. Пример ограниченных орбит пересекающих
и не пересекающих зону помех от Солнца
Например, гало-орбита с начальными координатами
X0 = 266690.63314,= 200000, взятыми из выделенной области, полностью лежит за
пределами зоны помех от Солнца, гало-орбита с начальными координатами X0 =
238697.06668,= 50000, не принадлежащими обозначенной области, имеет пересечения
с зоной исключения, как и, например, квазигало-орбита с начальными
координатами= 250000, Z0 = 200000 (также взятые извне найденной области).
В таблице 2 приведён список начальных координат,
соответствующий гало-орбитам, не пересекающим зону исключения.
Таблица 2.
Начальные координаты для перелёта на гало-орбиты
в окрестности точки либрации L1 системы Солнце-Земля, не пересекающие зону
помех от Солнца
|
X0
|
Z0
|
X0
|
Z0
|
|
-171435.51040
|
100000.00000
|
100000.00000
|
|
-171090.66572
|
125000.00000
|
248432.07060
|
125000.00000
|
|
-170661.34870
|
150000.00000
|
253557.45563
|
150000.00000
|
|
-170143.13540
|
175000.00000
|
259639.20732
|
175000.00000
|
|
-169531.06570
|
200000.00000
|
266690.63314
|
200000.00000
|
|
-168819.63865
|
225000.00000
|
274729.66203
|
225000.00000
|
|
-168002.92950
|
250000.00000
|
283777.72091
|
250000.00000
|
|
-167075.22093
|
275000.00000
|
293855.62723
|
275000.00000
|
|
-166030.38135
|
300000.00000
|
304977.21931
|
300000.00000
|
|
-164862.28747
|
325000.00000
|
317235.81654
|
325000.00000
|
|
-163559.81433
|
350000.00000
|
330625.54084
|
350000.00000
|
|
-162123.20309
|
375000.00000
|
345215.40240
|
375000.00000
|
|
-159999.99582
|
400000.00000
|
361065.84598
|
400000.00000
|
|
-158815.81759
|
425000.00000
|
378275.58167
|
425000.00000
|
|
-156935.47797
|
450000.00000
|
396919.89938
|
450000.00000
|
|
-154894.82284
|
475000.00000
|
417139.80440
|
475000.00000
|
|
-152684.74714
|
500000.00000
|
439060.88958
|
500000.00000
|
.3 Перелёт на ограниченные орбиты в окрестности
точки либрации L1 в системе Солнце-Земля с низкой околоземной орбиты
Ещё одним необходимым условием при выборе
ограниченной орбиты в окрестности L1, является возможность осуществления
перелёта на выбранную траекторию с низкой околоземной орбиты с помощью
одноимпульсного перехода [11,13]. Все траектории для осуществления данного
перелёта принадлежат устойчивому многообразию решений ограниченной задачи трёх
тел. Если ни одна траектория из устойчивого многообразию рассматриваемой орбиты
вблизи точки либрации не проходит на расстоянии достаточно близком от Земли
(2000 км от поверхности или 8371 км от центра планеты), то на данную орбиту
нельзя совершит перелёт ни с одной околоземной орбиты посредством
одноимпульсного перехода.
В данной работе рассматривалась возможность
перелёта на гало-орбиты, начальные условия которых приведены в таблице 1. Для
каждой гало-орбиты было построено множество перелётных траекторий, входящих в
её устойчивое многообразие (на рис. 22 приведён пример построения устойчивого
многообразия гало-орбиты), и измерено минимальное расстояние от каждой
траектории до Земли - Ap. После этого, из множества полученных Ap для каждой
гало-орбиты были выделены максимальное и минимальное значение. Далее на основе
полученных данных были построены графики, изображённые на рисунках 23 и 24, на
которых отображена зависимость минимальных и максимальных значений Ap для
каждой гало-орбиты от её амплитуды по оси OY - Ay. На графике 24(А) красной
линией обозначено наибольшее значение Ap, при котором возможен перелёт с низкой
околоземной орбиты (Ap равно наибольшей высоте, на которой может располагаться
низкая околоземная орбита - примерно 8371 км от центра Земли). Из этого графика
видно, что на гало-орбиты, Ay которых ниже значения 740000 км, нельзя перейти с
околоземной орбиты с помощью одного импульса. Для таких орбит вначале
потребуется перейти на более высокую околоземную орбиту и после этого совершить
переход на перелётную траекторию, что требует больших топливных затрат. Однако,
на гало-орбиты, у которых амплитуда по оси OY превышает 740000 км, можно перелететь
с околоземных орбит посредством одноимпульсного перехода.
Рис. 22. Пример построения устойчивого
многообразия гало-орбиты с начальными условиями X0 = 304977.21931, Z0 = 300000
Рис. 23. Общий график зависимости Ay от
минимальных и максимальных значений Ap для гало-орбит с
положительным/отрицательным значением X0
А)
Б)
Рис. 24. Графики зависимости Ay от минимальных
(А) и максимальных (Б) значений Ap для гало-орбит с положительным/отрицательным
значением X0
Таким образом, в ходе работы были построены
карты характеристик ограниченных орбит в окрестности L1 системы Солнце-Земля,
выявлена зависимость типа ограниченной орбиты вблизи рассматриваемой точки
либрации от начальных условий, рассчитаны начальные координаты, приводящие к
гало-орбитам около L1. Также были найдены начальные условия для орбит, не
попадающих в зону радиопомех от Солнца и обеспечивающие непрерывную связь с
космическим аппаратом, находящимся на них, проанализирована возможность
перелёта на гало-орбиты с Земли и предоставлен инструмент, позволяющий выбирать
гало-орбиту, наилучшим образом подходящую по параметрам амплитуда орбиты по Y и
удалённость от Земли. На основе результатов, полученных в ходе работы, можно
утверждать, что вблизи точки L1 системы Солнце-Земля существует бесконечное
число ограниченных орбит, нескольких типов, которые можно было бы использовать
для различных целей, но для обеспечения непрерывной связи с аппаратом, подходит
лишь малая часть траекторий - гало- и квазигало-орбиты, начальные координаты
которых приведены в таблице 2. Также можно с уверенностью сказать, что на все
гало-орбиты вблизи L1 возможно совершить перелёт с околоземной орбиты.
Заключение
В работе было проведено исследование
особенностей орбитального движения вблизи первой точки либрации системы
Солнце-Земля. Обобщение проведенных расчетов позволило исследовать зависимость
типа ограниченной орбиты в окрестности точки L1 от компонент начального вектора
состояния космического аппарата. Построены цветовые карты, которые могут быть
использованы для выбора начальных условий, приводящих к ограниченной орбите с
заданными характеристиками. Выделены начальные условия, приводящие к
траекториям, не пересекающим зону Солнечных радиопомех и обеспечивающим
непрерывную связь с находящимся на них аппаратом с Земли.
Выполнен анализ возможностей перелёта на
ограниченные орбиты вокруг L1 траектории с помощью одноимпульсного перехода с
низкой околоземной орбиты. Рассчитаны зависимости амплитуды гало-орбиты от
перицентра орбиты перелета. Анализ данных зависимостей, в частности, показал,
что одноимпульсный перелет с низких околоземных обит, возможен на гало-орбиты с
амплитудой не менее 700000 километров.
Список использованных источников
1.
Данхэм Д.У., Назиров Р.Р., Фаркуар Р.У., Чумаченко Е.Н., Эйсмонт Н.А., Симонов
А.В., Космические миссии и планетарная защита. - М.: ФИЗМАЛИТ, 2013. - 276c.
.
Robert W. Farquhar, HALO-ORBIT AND LUNAR-SWINGBY MISSIONS OF THE 1990's // Acta
Aastronautica, 1991. Vol.24, pp. 227-234.
.
Dunham D.W., Farquhar R.W., Aksenov S.A., Fedorenko Y., Furfaro R., Kidd Jr, J.
Interplanetary human exploration enabled by lunar swingbys and libration-point
orbits // AIAA/AAS Astrodynamics Specialist Conference, 2014.
.
Данхэм Д.У., Рейтсема Х.Дж., Эд Лу, Арентц Р., Линфилд Р., Чапмэн К., Фаркуар
Р., Ледков А., Эйсмонт Н., Чумаченко Е. МЕТОД ПРЕДУПРЕЖДЕНИЯ СТОЛКНОВЕНИЯ МАЛЫХ
АСТЕРОИДОВ С ЗЕМЛЕЙ // Астрономический вестник, 2013. Т. 47. № 4. С. 341-351.
5.
Sharma R. After Mars, India to Secure Place on
Sun
<http://www.newindianexpress.com/nation/After-Mars-India-to-Secure-Place-on-Sun/2013/12/22/article1958133.ece>
[Электронный ресурс]: The New Indian Express, 2013. - режим доступа к журн.:
http://www.newindianexpress.com/ (дата
обращения 08.05.2016).
.
Farquhar R.W., Kamel A.A. Quasi-Periodic Orbits
About the Translunar Libration Point // Celestial Mechanics, 1973. Vol.7(4),
pp. 458-473.
. Richardson
D. L., Cary N. D. A Uniformly Valid Solution for Motion About the Interior
Libration Point of the Perturbed Elliptic-Restricted Problem // In AAS/AIAA
Astrodynamics Specialist Conference, 1975.
.
Guibout V. M., Scheeres D. J. Solving Two-Point Boundary Value Problems Using
Generating Functions: Theory and Applications to Optimal Control and the Study
of Hamiltonian Dynamical Systems // Astrodynamics, 2007. Vol. 1, pp. 53-105.
10.
Kolemen E., Kasdin N. J., Gurfil P. Multiple Poincar´e Sections Method
for Finding the Quasiperiodic Orbits of the Restricted Three Body Problem //
Celestial Mechanics and Dynamical Astronomy, 2012. Vol. 112(1), pp. 47-74.
.
Аксенов С. А., Бобер С. А., Николаева Ю. А., Николаев П. В., Федоренко Ю. В.
Компьютерное моделирование движения космического аппарата в окрестности точки
либрации L2 системы Солнце-Земля. - ЦНИИмаш, 2015.
.
Dunham D.W., Roberts C.E. Stationkeeping Techniques for Libration-Point
Satellites // The Journal of the Astronautical Sciences, Vol. 49, No. 1,
January-March 2001, pp.127-144.
.
Renk F., Landgraf M. Sun-Earth Libration point transfer options with
intermediate HEO // Acta Astronomica, 2012. Vol. 74, pp. 1-19.
.
Мюррей К., Дермотт С. Динамика Солнечной системы / Пер. с англ. под ред. И. И.
Шевченко. - М.: ФИЗМАТЛИТ, 2010. - 588 с.
.
Скибина Е.С., ИССЛЕДОВАНИЕ ОСОБЕННОСТЕЙ ДВИЖЕНИЯ КОСМИЧЕСКОГО АППАРАТА В
ОКРЕСТНОСТИ ТОЧКИ ЛИБРАЦИИ L1 СИСТЕМЫ СОЛНЦЕ-ЗЕМЛЯ // Межвузовская
научно-техническая конференция студентов и молодых специалистов им. Е.В. Арменского:
Материалы конференции. - М. ~: МИЭМ НИУ ВШЭ, 2016. -412.