Управление денежным потоком

  • Вид работы:
    Дипломная (ВКР)
  • Предмет:
    Финансовый менеджмент, финансовая математика
  • Язык:
    Русский
    ,
    Формат файла:
    MS Word
    227,05 Кб
  • Опубликовано:
    2017-12-10
Вы можете узнать стоимость помощи в написании студенческой работы.
Помощь в написании работы, которую точно примут!

Управление денежным потоком


Управление денежными потоками

Содержание

Введение. 3

1.  Теоретический аспект управления денежным потоком. 5

1.1 Понятия «денежных потоков» и «денежных средств» в компании. 5

1.2 Оценка эффективности управления денежными средствами. 19

1.3. Планирование денежных потоков в компании. 25

1.4. Управление денежными потоками. 31

2. Управление денежными потоками на примере ООО РИА «Семейная студия»  37

2.1. Характеристика деятельности компании. 37

2.2. Анализ хозяйственной деятельности компании. 40

2.3. PEST-анализ и SWOT-анализ. 55

2.4. Анализ системы бюджетирования в компании. 64

2.5. Управление денежными потоками в компании. 66

3. Разработка рекомендаций для повышения эффективности управления денежным потоком в компании. 70

Заключение. 73

Список использованной литературы.. 75

Приложение 1. 78

Приложение 2. 80

Введение

В условиях динамично меняющейся внешней среды развитие компании не представляется возможным без разработки политики управления денежным потоком, так называемого денежного менеджмента, который включает как управление собственно наличностью и средств на текущих счетах предприятия, так и управление денежными эквивалентами.

Что касается денежных средств у предприятия, то они выступают в качестве наиболее ликвидной части оборотных средств, которые являются тем не менее ограниченным ресурсом, в связи с этим возникает необходимость формирования в компании механизма эффективного управления денежными ресурсами.

Управление денежным потоком – это управление выживанием, с учетом изменения стоимости во времени динамическое управление капиталом. Оборотные средства в процессе кругооборота меняют свою функциональную форму и превращаются в денежные средства по средствам реализации готовой продукции, оказания услуг компаниям или же населению и выполнения различны работ.

Управление денежным потоком происходит при помощи его прогнозирования, т.е. притока (поступления) или же оттока (использования) денежных средств. В условиях нестабильности и инфляции определение денежных притоков и оттоков в результате может быть весьма затруднено и недостаточно точно, особенно на финансовый год.

В настоящее время данная тема набирает актуальности, т.к. многие компании вынуждены функционировать в условиях жесткой нехватки денежных средств, дефиците оборотных средств, обновление основных фондов происходит по мере острой необходимости. В условиях рыночной экономики необходимо четкое планирование поступления денежных  потоков и направления его использования, чтобы обеспечить компании нормальное функционирование операционной деятельности, а также своевременную и в полном объеме выплату дивидендов с учетом стратегического развития компании.

Объект исследования – денежные средства компании на примере ООО РИА «Семейная студия».

Предмет исследования – управление денежным потоком компании на примере ООО РИА «Семейная студия».

Цель исследования – рассмотреть основы управления денежными потоком компании на примере ООО РИА «Семейная студия».

В рамках обозначенной темы необходимо решить следующие задачи:

1. Рассмотреть понятие денежных средств и денежного потока;

2. Методики управления денежных потоком, понятие оптимальной величины денежных средств на предприятии;

3. Основы управления денежным потоком;

4. Рассмотреть управление денежным потоком предприятия на примере ООО РИА «Семейная студия».

Данная выпускная квалификационная работа основывается на изучении методологии и теории по проблемам управления денежным потоком компании отечественных экономистов, так и зарубежных.

В работе для составления методологии управления денежным потоком предприятия применяется материал, который изложен в работах российских и зарубежных экономистов: Балабанов И.Т., Вайнхорн Джеймс, Бланк И.А., Яшина Н.В., Василенко Е. Н. и другие.


1.  Теоретический аспект управления денежным потоком

1.1 Понятия «денежных потоков» и «денежных средств» в компании

В процессе функционирования компании её оборотные средства непрерывно меняют функциональную форму, поэтому в сфере обращения по итогам реализации готовой продукции становятся денежными средства.

Что касается денежных средств компании, то преимущественно они хранятся на расчетном счете самой компании в банке, так как в настоящее время основная часть расчетов происходит в безналичной форме. Но в тоже время в небольших суммах денежные средства могут находится и в кассе. Также денежные средства покупателей могут быть в аккредитивах или же иных формах расчетов до момента их окончания.

Оборотные средства с точки зрения денежного оборота предприятия представлены на конкретный момент времени стоимостью, которая авансируется в дебиторскую задолженность, запасы, а также затраты в незавершенном производстве и временно свободные остатки денежных средств как на счетах, так и в кассе предприятия. Ключевыми категориями, которые связаны с управлением денежными средствами, являются денежный оборот и остаток денежных средств предприятия. 

Остаток денежных средств представляет собой временно свободные денежные средства на счетах и в кассе предприятия; наиболее ликвидная категория активов, обеспечивающие текущую платежеспособность субъекта хозяйствования, а, следовательно, и свободу выбора действий. Под денежным оборотом принято понимать разность между всеми полученными и выплаченными организацией денежными средствами за конкретный период времени.

Денежные средства - это неприбыльные активы, которые при хранении в кассе и на расчетном счете теряют часть своей стоимости.

Рассмотрим виды денежных средств, которые можно встретить у компаний на территории РФ (рисунок 1.1.).

Рисунок 1.1 - Виды денежных средств в компании

Дадим краткую характеристику каждому из видов денежных средств.

Что касается денежных средств в кассе компании, то они бывают как в национальной, так и иностранной валюте, они необходимы для обеспечения текущих потребностей компании в наличности, например, выдаче зарплаты, командировочные расходы и иные цели. Величина денежных средств в кассе часто различна для различных компаний, кроме того данный вопрос регулируется и на законодательном уровне.

Расчетные счета есть у всех компаний, открываются самой компанией. Существует определенный порядок открытия для расчетного счета, который строго регламентирован инструкцией, согласно которой каждая компания имеет возможность открыть исключительно один расчетный счет в одном из банков по его выбору. На этом счете находятся временно свободные денежные средства, кроме того поступления за реализованную продукцию, уже выполненные работы (или авансы для подобных работ) и оказанные услуги, также как краткосрочные, так и долгосрочные ссуды, которые компания может при необходимости получать от банка, и другие различные зачисления.

Что касается валютных счетов, то здесь стоит отметить, что далеко у каждой компании они есть в наличие, что обусловлено спецификой её деятельности, далеко не у каждой компании есть импортные или экспортные операции. Но в тоже время право на проведение операций с иностранной валютой есть у любой компании. С подобной целью необходимо открыть в банке, у которого есть разрешение (лицензия) от Банка России на осуществление операций в иностранной валюте, именно текущий валютный счет. Банки, которые получили лицензию, принято именовать в качестве уполномоченных банков.

Рассматривая депозиты, также стоит понимать, что возможность открытия депозитов в банке есть у любой компании, но открывают далеко не все компании, а только те, у которых есть временно свободные денежные средства на расчетном счете. Иными словами, нередко денежные средства, потребности в которых именно в настоящее время нет, или же их сумма не соответствует целевому назначению данных средств и менеджмент компании склонен считать необходимым накапливать конкретную сумму денежных средств (на пример, с целью приобретения основных средств, оплаты в будущем по крупному контракту за поставку сырья и иные ситуации), то компания выбирает именно такую форму как депозит, обеспечивающий, с одной стороны, высокую степень ликвидности денежных средств, а, с другой стороны, еще доход на них в виде процентов. В подобной ситуации у компании есть возможность держать у себя деньги «под рукой» [21].

Рассматривая ценные бумаги, важно понимать, что к денежным средствам компании относятся и ликвидные ценные бумаги, которые находятся в кассе компании или же в депозитарии банка. Функция, которая выполняется ценными бумагами, будет аналогичной функции депозита, но есть целый ряд отличий по способу их обращения, а также степени ликвидности и даже доходности. Так, досрочно изымая денежные средства с депозита компания нередко может утратить часть дохода в виде потери процентов, а вот реализуя ценные бумаги, оно, согласно от конъюнктуры рынка, может нередко даже выиграть.

Что касается состава внутренних источников формирования денежных средств и фондов, то здесь основное место принадлежит именно прибыли, которая остается в распоряжении, она обеспечивает увеличение собственных средств, следовательно, и увеличение рыночной стоимости компании. Важная роль в составе внутренних источников принадлежит и амортизационным отчислениям, особенно в компаниях с высокой стоимостью собственных основных средств или же нематериальных активов, но, стоит понимать, что саму сумму денежных средств и фондов они не увеличивают, а исключительно остаются в качестве средства реинвестирования собственных средств.

Что касается самого механизма формирования и распределения прибыли, то он состоит из двух частей (рисунок 1.2).

 


Рисунок 1.2 - Механизм формирования и распределения прибыли

Что касается механизма формирования прибыли, то он собой представляет регламентируемый нормативно-правовыми актами процесс образования прибыли, который организуется и осуществляется финансовыми органами для установления в стоимостном выражении результатов финансово-хозяйственной деятельности компании за конкретный период времени [1].

Данные для расчета получаются из оборотно-сальдовой ведомости, которая четко регламентирована где и что отражать [6]. При этом есть иные законы, которые в частности регламентируют порядок отражения доходов [2], а иные именно расходов [3]. Важно отметить, что и бухгалтерская отчетность четко регламентируется законами [4], но закрывается с учетом учетной политики компании. где находят отражение некоторая специфика бизнеса, оформляется она в виде приказа, также четко регламентируется, что именно важно учесть при разработке учетной политики [7]. Что касается самого бухгалтерского учета, то здесь также есть ряд требований, которые обязаны учитывать все компании [8].

В практике компаний России при рассмотрении процесса формирования прибыли принято применять такие определения как балансовая прибыль, валовая прибыль, чистая прибыль, остающаяся в распоряжении компании, прибыль к налогообложению и ряд других. Эти определения нормативно не закреплены и могут употребляться в самых различных контекстах.

В валовую прибыль принято включать также превышение выручки от реализации основных фондов и иного имущества (включая земельные участки) без налога на добавленную стоимость над их остаточной стоимостью.

В бухгалтерской отчетности валовая прибыль не находит отражения, поэтому следует ввести определение, которое характеризует ту величину прибыли, которая фигурирует в отчете о прибылях и убытках и которая, собственно, выступает в качестве итога финансово-хозяйственной деятельности компании. Подобную прибыль пока принято именовать в качестве балансовой прибыли. В таблице 1.1 приведен механизм формирования отчета о прибылях и убытках.

Таблица 1.1 - Механизм формирования чистой прибыли (убытка)

Показатели, используемые при расчете

Порядок расчета (на *.*.2017)

Наименование

Код

Выручка

2110

КО(90-1)-ДО(90-3)

Себестоимость продаж

2120

ДО(90-2)

Валовая прибыль (убыток)

2100

(2110)-(2120)

Коммерческие расходы

2210

ДО(90-7)

Управленческие расходы

2220

ДО(90-8)

Прочие доходы

2340

КО(91-1) –ДО(91-2 по НДС)

Прочие расходы

2350

ДО(91-2) без ДО(91-2 по НДС)

 Прибыль (убыток) от продаж

2200

(2100)-(2210)-(2220)

Прибыль (убыток) до налогообложения

2300

(2200)+(2340)-(2350)

Текущий налог на прибыль

2410

0,2×(2300)

Чистая прибыль  (убыток)

2400

(2300)-(2410)


Данные для расчета, в частности, чистой прибыли получаются на базе оборотно-сальдовой ведомости, которая заполняется в течение отчетного периода на основании документов, которые позволяют регистрировать все хозяйственные операции.

Прибыль в качестве экономической категории выступает как совокупность экономических, финансовых и распределительных отношений, что возникают относительно формирования, распределения и направления использования части вновь созданной стоимости, выступающей в качестве приращения суммы средств, что авансируются на осуществление хозяйственной деятельности, или же в качестве избытка над понесенными в ходе деятельности и связанными с нею издержками производства [11].

Балансовая прибыль выступает базой для определения величины налогооблагаемой прибыли. Рассмотрим распределение балансовой прибыли на рисунке 1.3.

 











Рисунок 1.3 - Общая схема распределения балансовой прибыли

По мере получения прибыли компания использует ее в соответствии с действующим законодательством государства и учредительными документами компании.

В настоящее время прибыль компании используется в следующем порядке:

1. Уплачивается в бюджет налог на прибыль (доход);

2. Производятся отчисления в резервный фонд;

3. Образуются фонды и резервы, предусмотренные учредительными документами самой компании.

Что касается принципов распределения прибыли можно сформулировать следующим образом:

1. Прибыль, которую получает компания по итогам деятельности, распределяется между компанией и государством;

2. Прибыль для государства поступает в соответствующие бюджеты в виде налогов и сборов, ставки которых не могут быть произвольно изменены. Состав и ставки налогов, порядок их исчисления и взносов в бюджет устанавливаются законодательно; величина прибыли предприятия [5], оставшейся в его распоряжении после уплаты налогов, не должна способствовать уменьшению её заинтересованности в росте объема производства и улучшения итогов производственно-хозяйственной и финансовой деятельности.

Финансовые результаты деятельности компании тесно связаны с величиной выручки (валового дохода) от реализации продукции, величиной налога на добавленную стоимость, как видно даже с примера компании.

Рентабельность представляет собой обобщающий критерий, который дает представление об экономической эффективности компании в целом, в частности, производства [15].

Рентабельность выступает необходимым показателем для любой компании, так как именно данный показатель помогает понять тот факт, что все ресурсы используются по максимуму и закупка новой продукции не несет убытки для компании, а помогает усиливать его экономику и увеличивать производство.

 Рентабельность комплексно показывает результат использования трудовых, вещественных и валютных ресурсов.

Рентабельной компанией будет считаться та, которая способна генерировать доход.

Анализируя состав внешних источников создания денежных средств и фондов, здесь ведущая роль принадлежит привлечению компанией дополнительного паевого (по средствам дополнительных взносов средств в уставный фонд) или же акционерного (по средствам дополнительной эмиссии, а затем реализации акций) капитала. Для некоторых компаний в качестве одного из внешних источников формирования денежных средств и фондов может выступать предоставляемая им безвозмездная финансовая помощь (обычно, подобная помощь оказывается исключительно отдельной государственной компанией разного уровня). К иным источникам относят бесплатно передаваемые компании как материальные, так и нематериальные активы, которые в последствие включаются в состав её баланса.

Проведение большинства видов финансовых операций компании ведет к возникновению определенного движения денежных средств в таких формах как их поступление или же расходование. Подобное движение денежных средств действующей компании во времени является непрерывным процессом и формирует такое понятие как «денежный поток».

Под денежным потоком понимается совокупность распределенных во времени как поступлений, так и выплат денежных средств, которые обусловлены её хозяйственной деятельностью.

Денежные потоки компании во всех их формах и видах, а, следовательно, и совокупный его денежный поток, выступают в качестве важнейшего самостоятельного объекта для финансового менеджмента, который требует углубления теоретических основ, кроме того и расширения практических рекомендаций. Подобное определяется той ролью, которую управление денежными потоками имеет именно в развитии компании и создании конечных результатов его деятельности.

В такое сложное понятие как «денежный поток» включаются в состав многочисленные виды потоков, которые направлены на обслуживание хозяйственной деятельности. Для обеспечения эффективного целенаправленного управления денежными потоками они требуют определенных знаний, умений и классификации.

Согласно масштабам обслуживания хозяйственного процесса, выделяют также несколько видов денежных потоков (рисунок 1.4).

Рисунок 1.4 - Виды денежных потоков согласно масштабам обслуживания хозяйственного процесса

Денежный поток по компании целом является наиболее агрегированным видом денежного потока, который аккумулирует абсолютно все виды денежных потоков, направленные на обслуживание хозяйственных процессов компании в целом;

Денежный поток по отдельным видам хозяйственной деятельности компании характеризует итог дифференциации совокупного денежного потока компании, но в разрезе отдельных видов её хозяйственной деятельности;

Денежный поток в разрезе отдельных структурных подразделений компании показывает самостоятельные объекты управления в системе организационно-хозяйственного построения компании;

Денежный поток в разрезе отдельных хозяйственных операций стоит рассматривать в качестве первичного объекта самостоятельного управления.

Согласно видов хозяйственной деятельности денежные потоки различают также нескольких видов (рисунок 1.5).

Рисунок 1.5 - Виды денежных потоков согласно видов хозяйственной деятельности

Денежный поток по операционной деятельности характеризуется денежными выплатами различным поставщикам за работы, услуги, сырье и материалы, заработную плату персоналу и налоговые платежи. Данный денежный поток отражает поступления денежных средств именно от покупателей продукции компании; от налоговых органов в порядке проведения пересчета излишне уплаченных сумм, а также некоторые иные платежи, что являются предусмотренными международными стандартами учета;

Денежный поток по инвестиционной деятельности характеризует как платежи, так и поступления денежных средств, которые связаны с проведением как реального, так и финансового инвестирования, реализацией выбывающих основных средств или же нематериальных активов;

Денежные потоки по финансовой деятельности характеризует поступления и выплаты денежных средств, связанные с привлечением дополнительного акционерного и паевого капитала, получением долгосрочных и краткосрочных кредитов и займов, уплатой в денежной форме дивидендов и процентов по вкладам собственников и некоторые другие денежные потоки.

Рассмотрим виды денежных потоков по направленности движения денежных средств (рисунок 1.6).

Рисунок 1.6 - Виды денежных потоков по направленности движения денежных средств

Под положительным денежным потоком понимается совокупность поступлений денежных средств в компании от всех видов хозяйственных операций («приток денежных средств»).

Под отрицательный денежный поток понимается совокупность выплат денежных средств в компании в процессе осуществления всех видов его хозяйственных операций («отток денежных средств»).

Рассмотрим виды денежных потоков по методу исчисления объема (рисунок 1.7).

Рисунок 1.7 - Виды денежных потоков по методу исчисления объема

Под валовым денежным потоком понимается вся совокупность как поступлений, так расходования денежных средств в конкретном периоде в разрезе отдельных периодов.

Под чистым денежным потоком понимают разницу между положительным и отрицательным денежными потоками, иными словами, между поступлением и расходованием денежных средств в конкретном периоде.

Рассмотрим виды денежных потоков по уровню достаточности объема (рисунок 1.8).

Рисунок 1.8 - Виды денежных потоков по методу исчисления объема

Под избыточным денежным потоком понимается поток, при котором поступления денежных средств, естественно, будут превышает реальную потребность компании в целенаправленном их расходовании

Что касается дефицитного денежного потока, то это такой поток, при котором поступления денежных средств, соответственно, будут значительно реальных потребностей компании в целенаправленном их расходовании. Даже при положительном значении суммы чистого денежного потока он может характеризоваться как дефицитный, если эта сумма не обеспечивает плановую потребность в расходовании денежных средств по всем предусмотренным направлениям хозяйственной деятельности предприятия. Отрицательное же значение суммы чистого денежного потока автоматически делает этот поток дефицитным.

Рассмотрим виды денежного потока по методу оценки во времени (рисунок 1.9).

Рисунок 1.9 - Виды денежных потоков по методу оценки во времени

Что касается настоящего денежного потока, то он характеризует поток в качестве единой сопоставимой его величины, приведенной по стоимости к данному моменту времени;

А вот будущий денежный поток характеризует поток в качестве единой сопоставимой его величины, которая приведена по стоимости к определенному будущему моменту времени.

Рассмотрим виды денежных потоков по непрерывности формирования в рассматриваемом периоде (рис.8.).

Рисунок 1.10 - Виды денежных потоков по непрерывности формирования

Под регулярным денежным потоком понимаются совокупность поступлений и расходования денежных средств по отдельным денежным потокам одного вида, который в анализируемом периоде времени происходит непрерывно по отдельным интервалам периода. Потоки, что связаны с обслуживанием финансового кредита во всех его формах; денежные потоки, которые обеспечивают реализацию долгосрочных реальных инвестиционных проектов.

Под дискретным денежным потоком понимают поступление или же расходование денежных средств, которое связывается с осуществлением единичных хозяйственных операций компании в анализируемом периоде.

Они имеют отличие исключительно в рамках конкретного временного интервала. Рассмотрим виды денежных потоков по стабильности временных интервалов формирования (рисунок 1.11).

Рисунок 1.11 - Денежные потоки по стабильности временных интервалов формирования

Что касается регулярных денежных потоков с равномерными временными интервалами за анализируемый период, то здесь все предельно ясно, а вот регулярный денежный поток с неравномерными временными интервалами за анализируемый период требует примера, в качестве которого стоит привести график лизинговых платежей за арендуемое имущество с согласованными сторонами.

В практической деятельности компаний четкое разграничение денежных активов поданным видам проблематично, т.к. из-за абсолютной ликвидности данного вида оборотных средств они свободно трансформируются один в другой. Виды денежных активов рассмотрим на рисунке1.12.

Рисунке 1.12 Виды денежных активов

Кратко охарактеризуем каждый из видов.

1. Операционный остаток денежных активов (ДА) поддерживается с целью обеспечения текущих платежей, связанных с хозяйственной деятельностью организации. С целью расчета потребности в данном остатке денежных активов применяется формула:

Дао= ДОпл:Кла

 
 

                                                                                              (1)

ДОпл

 
 

Подпись: Клагде                     - планируемый объем денежного оборота по операционной деятельности предприятия;

                      - коэффициент оборачиваемости денежных активов в плановом периоде.

2. Резервный остаток денежных активов формируется для страхования риска несвоевременного поступления средств из-за ухудшения конъюнктуры на рынке или замедления платежного оборота, с целью поддержания необходимого уровня платежеспособности по текущим обязательствам предприятия.

3. Инвестиционный остаток денежных средств дает возможность осуществлять эффективные краткосрочные финансовые вложения с целью благоприятной конъюнктуре рынка. Потребность в данном виде денежных активов планируется на основании финансовых возможностей субъекта хозяйствования после формирования всех иных видов внеоборотных и оборотных активов. Размер инвестиционного остатка денежных активов не лимитируется, т.к. его стоимость в процессе хранения не теряется. Критерием формирования данной части активов выступает более высокий уровень доходности краткосрочных финансовых вложений относительно рентабельности операционных активов.

4. Компенсационный остаток денежных активов создается на основании требования банка, который осуществляет расчетно-кассовое обслуживание и кредитование предприятия. Потребность в компенсационном остатке денежных активов (ДАК) планируется в размере, который определен соглашением между банком и предприятием.

Инвестиционный и резервный остатки денежных активов предприятия являются взаимозаменяемыми, потребность в них при отсутствии финансовых ресурсов может быть уменьшена.

В контексте финансового менеджмента денежные средства принято рассматривать совместно с так называемыми денежными эквивалентами. Эквивалент денежных средств представляет собой условный термин в анализе и финансовом менеджменте, который относится к высоколиквидным рыночным ценным бумагам, находящимся на балансе предприятия и приобретенным им для создания страхового запаса денежных средств, где эти бумаги при необходимости могут быть трансформированы в минимальные сроки и с минимальными потерями в балансовой стоимости.

1.2 Оценка эффективности управления денежными средствами

Что касается эффективность использования денежных средств компании, то подобное оценивается с применением целого ряда показателей [12]:

1. Коэффициент участия денежных средств в оборотных активах (Ку), который характеризует долю оборотных активов, находящихся в абсолютно ликвидной форме. Формула расчета следующая:

Ку=ДАср : ОАср

 
                                                                                             (2)

где ДАср, - средний остаток денежных активов в данном периоде;

      ОАср - средняя сумма оборотных активов в данном периоде.

2. Средний период оборота денежных активов (ПОча), который используется с целью расчета роли денежных активов в общей продолжительности операционного цикла, находится по формуле:

ПOда = ДАcр : V

 
 

                                                                                                                                 (3)

V

 
где                 - это однодневный объем реализованной продукции в данном периоде.

3. D краткосрочные финансовые вложения уровень отвлечения свободного остатка денежных активов (УКфН) показывает соотношение между краткосрочно инвестированными и неинвестированными средствами, находится по формуле:

Укфо = КФВ : ДА

 
 

                                                                                             (4)

КФВ

 
 

где                - средняя сумма краткосрочных финансовых вложений в данном периоде.

4. Коэффициент рентабельности краткосрочных финансовых вложений (КфП) показывает доходность на единицу краткосрочных инвестиций за период и рассчитывается по формуле:

Rкфо = П : КВФ

 
 

,                                                                                             (5)

П

 
 

где       - сумма прибыли, полученная от краткосрочного инвестирования в данном периоде.

5. Показатель оборачиваемости денежных средств показывает, сколько раз за рассматриваемый период денежные средства проходят цикл от поступления на расчетный счет до выбытия в виде оплаты контрагентам:

         (6)

6. Период оборачиваемости денежных средств показывает средний срок от поступления денежных средств на расчетный счет до момента их выбытия:

    (7)

Следующие модели оптимизации среднего остатка денежных активов организации базируются на достижении компромисса между издержками упущенной выгоды от поддержания значительного остатка средств на счете и издержками масштабов производства, которые связаны с небольшим остатком (или его отсутствием) денежной наличности и необходимостью реализовывать ценные бумаги.

ДАр = ДАохКВ

 
 

ДАр = ДАо + ДАр + ДАи +ДАк

 
                                                                                             (8)

                                                                                              (9)

Модель Баумоля представляет собой классическое средство определения оптимального остатка денежных средств с точки зрения данных видов издержек. Она используется в организациях со стабильным денежным оборотом, который хранит излишки денежных средств в форме краткосрочных финансовых вложений и допускает снижение активов в денежной форме до 0.

Чем чаще осуществляется пополнение денежных активов по средствам продажи краткосрочных вложений или поступления краткосрочных банковских кредитов, тем меньше будет размер как среднего, так и максимального остатка денежных активов организации, но тем больше станут расходы на пополнение денежных активов [13].

Чем реже осуществляется пополнение денежных активов, тем меньше сумма расходов по обслуживанию одной операции пополнения денежных средств (Р") и больше средний остаток денежных активов. Остатки денежных средств в кассе и на счетах  доходов субъекту хозяйствования не приносят, и их рост ведет к  потере организацией альтернативных доходов в виде упущенной выгоды от финансовых вложений. Величина данных потерь (Пл) приравнивается произведению среднего остатка денежных средств за определенный период и средней ставки процента по краткосрочным вложениям [16].

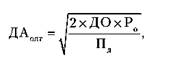
Оптимального размера среднего остатка денежных активов предприятия рассчитывается:

                                    #                     (10)

где ДО - прогнозируемый объем денежного оборота в периоде;

       Ро - расходы по конвертации денежных средств в ценные бумаги;

       Пд - приемлемый и возможный для организации процентный доход по краткосрочным финансовым вложениям.

Величина среднего остатка денежных средств составляет половину оптимального (ДА0||Т: 2), а общее количество сделок но конвертации ценных бумаг в денежные средства (К) находится согласно формуле:

К=ДО : ДАопт

 
 

                                                                                            (11)

Общие расходы (ОР) по реализации данной политики управления денежными средствами находятся согласно формуле:

ОР = Ро х К + Пд х ДАопт:2

 
 

                                                                                            (12)

В данной формуле первое слагаемое - это прямые расходы снятие (пополнение) счета, второе - упущенная выгода от хранения средств на счете.

В практике хозяйственной деятельности стабильность денежных расходов встречается крайне редко. Чаще остаток денежных средств изменяется случайным образом и возможны значительные колебания.

Модель Миллера-Орра дает ответ на вопрос, как предприятию необходимо управлять денежным запасом, если невозможно предсказать ежедневный отток и приток денежных средств.

В ходе построения модели применяется процесс Бернулли - стохастический процесс, где поступление и расходование денег от периода к периоду являются независимыми случайными событиями (рисунок 1.13).

Модель Миллера-Орра

Рисунок 1.13 - Модель Миллера-Орра

Хаотически меняется остаток средств на счете до тех пор, пока не достигает верхнего предела.

Если остаток денежных активов достигает своего максимума, то денежные средства инвестируются в краткосрочные ценные бумаги.

Если же остаток денежных средств уменьшается ниже минимального уровня, происходит его пополнение по средствам продажи ценных бумаг или краткосрочного банковского кредита.

Значение среднего остатка денежных активов находится не посередине минимального и максимального размера остатка денежных средств, а на одну треть выше его минимального значения или на две трети ниже максимального значения, что дает возможность уменьшить уровень потерь альтернативных доходов.

В ходе решения вопроса о размахе вариации (разность между верхним и нижним пределами) стоит придерживаться такой политики: если ежедневный денежный оборот огромный или затраты, которые связаны с покупкой и продажей ценных бумаг значительны, то организации стоит увеличить размах вариации, и наоборот. Также стоит уменьшить размах вариации, если есть возможность получения дохода благодаря высокой процентной ставке по ценным бумагам.

Модель Миллера-Орра предусматривает создание страхового запаса денежных средств, неравномерность их как поступления, так и расходования, и следовательно, остатка денежных активов. Нижний предел остатка денежных средств принимается на уровне страхового запаса, а верхний - на уровне трехкратного размера страхового запаса.

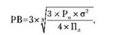
Расчета размаха вариации между верхним и нижним пределами денежных активов (РВ) имеет такой вид:

                                  #                   (13)

где  а - среднеквадратическое отклонение ежедневного объема денежного оборота.

Максимальный (ДАШКС) и средний (ДАср) остатки денежных активов находятся по формулам:

ДАмакс=ДАмин +РВ

 
 

ДАср = ДАмин + РВ:З

 
                                                                                           (14)

                                                                                           (15)

Модель нахождения оптимального остатка денежных активов Стоуна усложнила модель Миллера-Орра по средствам введения в нее денежного потока, ожидаемого в ближайшем будущем. Согласно данной модели действия предприятия по управлению остатком денежных средств в текущий момент времени определяются прогнозом на ближайшее будущее. Следовательно, достижение остатком денежных активов верхнего предела не приводит к  немедленному переводу наличности в ценные бумаги, если в ближайшие дни ожидаются значительные расходы денежных средств. Таким образом,  минимизируется число конверсионных операций и, следовательно, снижаются расходы. Эта модель может учитывать сезонные и циклические колебания объемов производства.

На статистических методах базируется имитационное моделирование по методу Монте-Карло, которое учитывает вероятностное распределение чистых денежных потоков при нахождении оптимального остатка денежных активов, величина которого определяется с учетом приемлемой вероятности дефицита денежных средств.

1.3. Планирование денежных потоков в компании

В компании применяется бюджетирование с целью предусмотрения кассовых разрывов, своевременно нахождения источников для их финансирования, кроме того используется в целях планирования за своевременностью поступлений и расходования денежных средств по крупным статьям затрат. Таким образом, контроль за денежным потоком осуществляется по средствам бюджетирования с использованием Бюджета движения денежных средств.

Что касается формирования долгосрочных БДДС, то это важно в целом для существования компании, так как формируется представление, когда именно можно будет заменить основные средства, исходя из коньюктуры рынка определить жизнеспособность самой компании, т.е. насколько управление данной компанией происходит успешно, как долго она в данной сфере будет способна получать выручку, то касается расходной части, то здесь стоит обратить внимание, на сколько компания способна за счет реинвестированной прибыли развиваться и т.д. [27]

Что касается оперативного БДДС, то в данном бюджете на конкретный месяц будет заранее виден результат, хватит ли полученных поступлений для покрытия заранее спланированных расходов, избежать которых компании не представляется возможным, в частности, оплаты налогов, заработной платы персоналу, оплаты за сырье, материалы, услуги, работы и т.д.

Под бюджетом движения денежных средств (БДДС) принято понимать бюджет движения денежных средств на расчетном счете и наличных денежных средств в кассе компании или же её структурных подразделениях, который отражает все будущие прогнозируемые поступления и снятия денежных средств в результате хозяйственной деятельности компании.

БДДС принято формировать для обеспечения непрерывного наличия денежных средств, которые направляются на исполнение обязательств самой компании, так и с целью эффективного за действия избытка подобных денежных средств. Поэтому в БДДС обязаны быть учтены мероприятия, которые будут препятствовать возникновению «кассовых разрывов». Что касается временно свободных денежных средств, то их необходимо перенаправлять, к примеру, в инвестиционные проекты, можно разместить в банковском вкладе под процент и другие направления с целью возникновения у компании пассивного дохода.

БДДС формируется с целью обеспечения наличия оптимального ежедневного остатка денежных средств в течение всего периода планирования [27].

Бюджет денежных средств включает три блока:

1. «Операционную деятельность», где отражается все, что связано с текущей деятельностью данной компании;

2. «Инвестиционная деятельность», которая фиксируются инвестиции в основные средства и иные долгосрочные инвестиции, кроме того доходы от реализации активов;

3. «Финансовая деятельность», которая учитывает поступления и выплаты, которые связаны с финансированием, за исключением процентов по кредитам, которые принято относить к операционным потокам. Кроме того, те же движения денежных средств находят отражение будущие платежи и поступления денежных средств. В подобный бюджет стоит сводить результирующую информацию всех основных операционных бюджетов.

В практической деятельности есть два метода формирования бюджета: прямой и косвенный. Что касается различий в формировании денежных потоков обозначенными методами, то они относятся исключительно к операционной деятельности [19].

Рассмотрим прямой метод формирования БДДС, основная идея которого заключается именно заключается в том, чтобы последовательно определить все основные поступления, а также основные выплаты от операционной деятельности, а вот дельта между ними и будет составлять чистый приток или же чистый отток денежных средств от операционной деятельности.

Бюджет движения денежных средств формируют прямым методом при решении задачи обеспечения бездефицитности бюджета движения денежных средств, кроме того еще и с целью определения направлений инвестирования временно свободных денежных средств.

Данный метод формирования БДДС, дает возможность получить достаточно точную картину движения денежных средств, но при этом он подразумевает грамотно построенную систему учета.

Что касается общей картины, то будет достаточно понимать количество денежных средств поступило на расчетный счет. Но система бюджетного управления формируется обычно с разбивкой на бюджетные центры (центры ответственности), в этой связи необходим механизм получения данных с детализацией движения денежных средств.

С целью получения управленческой отчетности по БДДС именно в разрезе структурных подразделений, желательно применять все-таки прямой метод.

Рассмотрим косвенный метод формирования БДДС. Подобный формат бюджета движения денежных средств применяется несколько для иной цели, а, именно, с целью формирования понимания взаимосвязи между финансовыми потоками, финансовым результатов, а также изменениями финансового положения.

Что касается косвенного метода, то чаще его используют исключительно к операционной деятельности, что дает возможность оценить сгенерированный ею денежный поток. С этой целью полученная операционная прибыль подлежит корректировкам на амортизацию (при этом важно помнить, что данная статья не является денежной статьей расходов) и изменением оборотного капитала. Такой способ является достаточно эффективным в силу того, что дает возможность достаточно быстро сформировать бюджет компании, подразделения или же иногда при необходимости отдельного проекта.

Амортизация увеличивает чистую прибыль, т.к. является неденежной статьей затрат, т. е. исключительно начисляется, но не ведет к оттоку денежных средств из компании.

В процессе формирования этого отчета применяются два основных принципа:

1. Уменьшение статей текущих активов в результате приводит к росту денежного потока (так, сокращение дебиторской задолженности свидетельствует о том факте, что клиенты компании выплатили часть долгов за предыдущие периодов);

2. Уменьшение статей текущих пассивов в результате ведет к сокращению денежного потока (так, сокращение кредиторской задолженности показывает тот факт, что данная компания погасила перед поставщиками часть задолженности предыдущих периодов, поэтому произошел отток денежных средств).

А вот равенство денежных потоков показывает то, что бюджет сформирован правильно. В ситуации расхождения двух отчетов возникает необходимость перепроверить корректность формирования результирующих и операционных бюджетов.

В ситуации если по БДДС в планировании возникает дефицит денежных средств, то необходимо спланировать получение, например, краткосрочного кредита, соответственно, и выплаты процентов по нему. С этой целью необходимо проделать следующее:

1. В бюджете движения денежных средств добавить такой раздел как  “финансовая деятельность”, где и будет отражаться поступление кредита и оплата процентов;

2. В прогнозном балансе на конец месяца также следует учесть сумму самого краткосрочного кредита в текущих пассивах;

3. В прогнозном отчете о прибыли возникнет сумма процентных платежей при расчете прибыли до налога.

Современным методом регулирования среднего остатка денежных активов выступает корректировка притока и оттока денежных средств (перенос срока отдельных платежей по согласованию с контрагентами), т.е. происходит изменение в планировании платежей, соответственно, изменение в планировании денежных потоков. Подобная корректировка происходит в несколько этапов:

1. На базе плана (бюджета) поступления и расходования активов в предстоящем квартале изучается размах вариации остатка денежных активов предприятия в разрезе отдельных декад. Такой диапазон колебаний определяется но отношению к минимальному и среднему показателям остатков денежных активов в предстоящем периоде.

2. Регулируются декадные сроки расходования денежных активов (в увязке с их поступлениями), что дает возможность минимизировать остатки денежных активов в рамках каждого месяца и по кварталу в целом. В качестве критерия оптимальности плановых сроков денежных выплат выступает минимальный уровень среднеквадратического (стандартного) отклонения декадных значений остатка денежных активов предприятия от среднего [27].

3. Полученные в результате регулирования денежного потока остатки денежных активов оптимизируются с учетом заложенной величины страхового остатка подобных активов. Вначале находятся максимальный и минимальный остатки денежных активов с учетом нового размаха вариации и размера их страхового запаса, а затем - их средний остаток.

Высвобождаемая в процессе подекадной корректировки потока платежей сумма денежных активов реинвестируется в краткосрочные финансовые инструменты или в другие виды активов.

Есть иные формы оперативного регулирования среднего остатка денежных активов, которые обеспечивают как увеличение, так и снижение его размера. К основным подобным формам относятся [10]:

1. Применение флоута, который представляет собой сумму денежных активов предприятия, связанную уже выписанными им платежными документами (поручениями, чеками, аккредитивами и т.п.), но еще не инкассированную их получателем. Флоут по конкретному платежному документу стоит рассматривать как период времени между его выпиской по конкретному платежу и фактической его оплатой. Максимизируя флоут (период прохождения выписанных платежных документов до их оплаты), организация способна соответственно увеличивать сумму среднего остатка своих денежных активов без дополнительного вложения финансовых активов;

2. Уменьшение расчетов наличными деньгами. Наличные денежные расчеты увеличивают остаток денежных актинон организации и уменьшают период использования денежных актинов на срок прохождения платежных документов поставщиков;

3 Открытие кредитной линии в банке, которая обеспечивает оперативное поступление краткосрочного кредита при необходимости срочного пополнения остатка денежных активов;

4. Использование частичной предоплаты поставляемой продукции, если это не приводит к снижению объема ее реализации. Подобная практика обычно используется при реализации продукции, имеющей высокий спрос.

1.4. Управление денежными потоками

Политика управления денежным потоком (денежными средствами) является неотъемлемой частью общей политики управления оборотными активами компании, которая заключается в оптимизации величины их остатка с целью обеспечения платежеспособности, кроме того еще и эффективного применения в процессе хранения [9].

Управление денежным потоком компании выступает в качестве залога обеспечения стабильной платежеспособности. В ситуации отсутствия планирования или же своевременного контроля за всеми платежами, подобная компания нередко сталкивается с такими проблемами:

1. Задержками зарплаты;

2. Необоснованный рост дебиторской задолженности;

3. Дефицитом денежных средств, иначе подобное именуют как кассовый разрыв;

4. Недостаточный уровень собственного оборотного капитала;

5. Возникают сложности в направлении привлечения как займов, так и кредитов, особенно. долгосрочных.

С целью оптимизации денежных потоков компании стоит сформировать рычаги управления [28]:

1. Прогнозировать и планировать движение денежных средств;

2. Осуществлять контроль на этапе оперативного планирования;

3. Управлять временно свободными денежными средствами;

4. Осуществлять контроль и анализ фактических денежных потоков.

Политика управления денежными потоками представляет собой базу эффективного финансового менеджмента. Что касается современных методов планирования, учета и контроля движения денежных средств, то в настоящее время они дают возможность менеджменту выявить следующее:

1. Подразделения и бизнес-линии компании, которые генерируют наибольшие денежные потоки;

2. Какие сроки и цены наиболее целесообразно привлекать финансовые ресурсы с целью обеспечения необходимой рентабельности деятельности с соблюдением условий финансовой устойчивости предприятия;

3. Величину постоянного остатка денежных средств стоит иметь с целью обеспечения платежеспособности по текущим операциям;

4. Направление эффективного инвестирования средств.

Что касается основных задача денежных средств, то сюда принято относить [25]:

1. Оперативный контроль за сохранностью средств в кассе компании;

2. Контроль за применением строго в направлении целевого назначения денежных средств;

3. Контроль за балансом денежных поступлений, а также выплат с целю недопущения кассовых разрывов (недостатка денежных средств для расчета по текущим обязательствам);

4. Контроль как за корректностью, так и своевременностью расчетов с бюджетом, банками, персоналом;

5. Контроль за соблюдением форм расчетов, которые установлены в договорах с покупателями и поставщиками;

6. Своевременная выверка расчетов с дебиторами и кредиторами с целью исключения просроченной задолженности;

7.  Диагностика состояния абсолютной платежеспособности компании;

8. Прогнозирование способности организации погасить возникшие обязательства в установленные сроки;

9. Способствование грамотному управлению компанией.

Денежные средства сами по себе не способны принести доход; у любой компании всегда должна быть определенная сумма свободных денежных средств с целью расчетов по текущим операциям. Система эффективного управления денежными средствами включает несколько блоков (рисунок 1.14).

 






Рисунок 1.14 Схема эффективного управления денежными средствами

В рамках любого предприятия происходит расчет определенных показателей, например, расчет операционного и финансового циклов.

Под операционным циклом понимается продолжительность времени, в течение которой денежные средства являются отвлеченными из оборота в связи с производством, реализацией готовой продукции, а также поступления оплаты за отгруженную продукцию. Операционный цикл рассчитывается как совокупность периода оборачиваемости запасов и дебиторской задолженности в днях.

Под финансовым циклом принято понимать такой период времени, в течение которого денежные средства являются отвлеченными из оборота в связи с осуществлением текущей производственной деятельности. Что касается финансового цикла, то он характеризует производственно-коммерческий процесс, в начале которого денежные средства направляются в качестве оплаты поставщикам за приобретенные у них как сырье, так и материалы, а в конце которого денежные средства, соответственно, поступают в качестве оплаты за уже отгруженную продукцию её покупателям. Длительность финансового цикла определяется как операционный цикл за исключением периода оборачиваемости кредиторской задолженности за уже приобретенные как сырье, так и материалы, в днях.

Осуществляя анализ движения денежных средств, можно определить сальдо денежного потока в результате текущей, инвестиционной и финансовой деятельности с целью выявления всех операций, которые непосредственно затрагивают движение денежных средств.

Проводя прогнозирование денежных потоков, стоит понимать, что подобная необходимость связана с потребностью в планировании денежных потоков на перспективу от текущей, инвестиционной и финансовой деятельностей. В качестве итогового результата прогнозирования денежных потоков обычно выступает составленный бюджет движения денежных средств (БДДС).

Что касается нахождения оптимального уровня денежных средств, то с подобной целью определяется необходимостью нахождения компромисса между сохранением определенного уровня ликвидности, а также желанием разместить свободные денежные средства с целью получения дополнительного дохода. В процессе нахождения оптимального уровня денежных средств часто применяют самые различные оптимизационные модели, при этом менеджмент компании в большей степени руководствуются статистикой или же неформализованными методами обоснования финансовых решений. В процессе нахождения оптимального уровня денежных средств происходит ориентация на систему внутрифирменного анализа и управления финансами.

Нахождение минимально необходимой потребности в денежных активах с целью осуществления текущей хозяйственной деятельности направлено на установление нижнего предела остатка необходимых денежных средств в национальной и иностранной валютах (в процессе расчетов иностранная валюта пересчитывается по установленному курсу в национальную).

Расчет минимально необходимой суммы денежных активов (без учета их резерва в форме краткосрочных финансовых вложений) производится на базе планируемого денежного потока по текущим хозяйственным операциям, в частности на объеме их расходования в предстоящем периоде.

Ускорение денежных поступлений может осуществляться следующими методами:

1. С применением локбоксов (поступающие чеки направляются в специальное отделение банка по месту нахождения покупателя. Подобное позволяет уменьшить время, которое необходимо с целью получения чеков, депонирования и осуществления расчетов через банковскую сеть на 1- 4 дня);

2. По средствам системы расчетов в порядке плановых платежей с последующим акцептом (в заранее оговоренные дни автоматически осуществляется перевод средств на счет поставщика);

3. Применение денежных средств в пути, т.е. разницы между остатком денежных средств, который отражается на расчетном счете предприятия и проходящим по банковским документам. Оптимально планировать платежи и взыскание задолженности таким образом, чтобы иметь возможность использовать временный излишек средств.

Политика управления денежными активами обязана учитывать обеспечение рентабельного использования временно свободного остатка денежных активов. Для разработки системы мероприятий в направлении минимизации потерь альтернативного дохода и противоинфляционной защиты в процессе хранения денежных средств. К таким мероприятиям относят:

1. Согласование с банком, который осуществляет расчетное обслуживание предприятия, условий текущего хранения остатка денежных активов с выплатой депозитного процента по средней сумме этого остатка (например, путем открытия контокоррентного счета в байке);

2. Применение краткосрочных денежных инструментов инвестирования (в первую очередь депозитных вкладов в банках) с целью временного хранения страхового и инвестиционного остатков денежных активов;

3. Применение высокодоходных инструментов фондового рынка с целью инвестирования резерва и свободного остатка денежных активов (государственных краткосрочных облигаций; краткосрочных депозитных сертификатов банков и т.п.) при условии достаточной ликвидности подобных финансовых инструментов на финансовом рынке.

Таким образом, грамотное управление денежными потоками требуется непрерывного усовершенствования знаний специалиста, который возглавляет данный процесс в компании, требует от него огромного внимания к различным  деталям, грамотного планирования БДДС, достаточно большого опыта  и глубокого понимания бизнес-процессов, которые происходят в конкретной компании.

2. Управление денежными потоками на примере ООО РИА «Семейная студия»

2.1. Характеристика деятельности компании

Организационно-правовая форма компании – общество с ограниченной ответственностью.

Тип собственности: частная собственность

Дата регистрации         27 мая 2005 года.

В качестве основного вида деятельности выступает деятельность рекламных агентств. Кроме основного вида деятельности, у компании есть и дополнительные виды деятельности [26]:

79.11 - Деятельность туристических агентств;

18.12 - Прочие виды полиграфической деятельности;

93.29 - Деятельность зрелищно-развлекательная прочая;

74.10 - Деятельность специализированная в области дизайна;

79.90 - Услуги по бронированию прочие и сопутствующая деятельность.

Рассмотрим организационную структуру компании на рис.2.1.

Рис.2.1. Организационная структура ООО РИА «Семейная студия»

Все структурные подразделения подчиняются директору компании, который стоит во главе её и является ответственным за её стратегическое развитие перед собственниками компании.

Данные о руководителе предприятия: Директор - Горшкова Наталья Анатольевна.

Техническое и материальное оснащение: резак для резки большого объема визиток, ламинатор пленочный двухслойный, сырье- бумага, прочие материалы для полиграфии.

Потенциальными покупателями полиграфических и копировальных услуг являются физические и юридические лица, которые нуждаются в изготовлении бланков, формуляров, бюллетеней, листовок, рекламных брошюр, проспектов, a также в срочном и несрочном изготовление копий печатных материалов форматом A3 и A4. OOO  РИА «Семейная студия» занимает выгодное территориальное положением в г. Нижний Новгород.

Незначительная удалённость от центра города делает доступным обращение в типографию жителей практически всего города. Отсутствие поблизости фирм, оказывающих услуги подобного уровня, обеспечит приток всех потенциальных покупателей полиграфической продукции этого района. Необходимо отметить, что рядом организацией расположена нотариальная контора, клиентам которой часто приходится копировать необходимую документации.

Рассмотрим ценовую политику компании на основную продукцию в таблице 2.1.

Таблица 2.1 - Ценовая политика, анализ стоимости услуг и продуктов

Услуга

Формат

Цветность

Тираж

Изготовление фотокниг

Любой

2 000 руб./шт

Изготовление визиток

1 000 шт.-

3 000 шт.

3 001 шт.-

5 000 шт.

5 001 шт.-

10 000 шт.

0,75 руб./шт.

0,5 руб./ шт

0,35 руб./шт.

Тиснение на бумаге

100 шт.-500 шт.

501 шт.-3000 шт.

3 001 шт-

10 000 шт.

8,4 руб./шт.

7,2 руб./ шт.

6,4 руб./ шт.

Изготовление календарей

500 шт.-2000 шт.

2 001 шт-

4 000 шт.

4 001 шт.-

6 000 шт.

10 руб./шт.

7 руб./шт.

4 руб./шт.

Изготовление бланочной продукции

50 шт.-

1 000 шт.

1 001 шт.-

5 000 шт.

5 001 шт.-

10 000 шт.

А3

1+0

2,45 руб./шт.

1,65 руб./шт.

1,25 руб./шт.

1+1

4,25 руб./шт.

2,65 руб./шт.

1,85 руб./шт.

А4

1+0

1,55 руб./шт.

1,15 руб./шт.

0,95 руб./шт.

1+1

2,45 руб./шт.

1,65 руб./шт.

1,25 руб./шт.

А5

1+0

1,15 руб./шт.

0,95 руб./шт.

0,67 руб./шт.

1+1

1,65 руб./шт.

1,25 руб./шт.

1,05 руб./шт.

А6

1+0

0,95 руб./шт.

0,67 руб./шт.

0,8 руб./шт.

1+1

1,25 руб./шт.

1,05 руб./шт.

0,95 руб./шт.

Изготовление флаеров

500 шт-

2 000 шт.

2 001 шт-

4 000 шт.

4 001 шт-

10 000 шт.

А5

4+0

6 руб./шт.

2 руб./шт.

0,8 руб./шт.

А5

4+4

10 руб./шт.

4 руб./шт.

1,5 руб./шт.

А6

4+0

5 руб./шт.

1,8 руб./шт.

0,7 руб./шт.

А6

4+4

9 руб./шт.

3,5 руб./шт.

1 руб./шт.

Изготовление блокнотов

100 шт-400 шт.

401 шт-

1 500 шт.

1 501 шт-

2 500 шт.

75,4 руб./шт.

58,6 руб./шт.

49,7 руб./шт.

Брошюровка

10 шт-50 шт.

51 шт-100 шт.

101 шт-250 шт.

40 руб./шт.

25 руб./шт.

15 руб./шт.



             2.2. Анализ хозяйственной деятельности компании            

На основании баланса проанализируем деятельность предприятия. Баланс отображен в таблице 1.

Сделаем горизонтальный и вертикальный анализ баланса, результаты которого отражены в таблице 2 и таблице 3 соответственно.

Таблица 2 – Горизонтальный анализ баланса за 2013-2015гг.

Наименование показателя

Горизонтальный анализ

Асб. откл, руб.

Отн. Откл., %

2015 от 2014

2014 от 2013

2015 от 2013

2015 от 2014

2014 от 2013

2015 от 2013

АКТИВ







I. ВНЕОБОРОТНЫЕ АКТИВЫ







Нематериальные активы







Результаты исследований и разработок







Основные средства

-3 234

-4 854

-8 088

-18,4%

-21,68%

-36,12%

Доходные вложения в материальные ценности







Финансовые вложения






Отложенные налоговые активы

13

2

15

2,25%

0,35%

2,60%

Прочие внеоборотные активы







Итого по разделу I

-3 221

-4 852

-8 073

-17,8%

-21,13%

-35,15%

II. ОБОРОТНЫЕ АКТИВЫ

Запасы

15 458

-1 514

13 944

14,10%

-1,36%

12,55%

Налог на добавленную стоимость по приобретенным ценностям

680

155

835

42,16%

10,63%

57,27%

Дебиторская задолженность

2 212

1 226

3 438

2,98%

1,68%

4,71%

Финансовые вложения

-1 984

-2 032

-4 016

-57,4%

-37,01%

-73,14%

Денежные средства

956

6 157

7 113

12,46%

405,97%

469,04%

Прочие оборотные активы

-48,6

-52

-101

-9,04%

-8,82%

-17,06%

Итого по разделу II

17 274

3 940

21 214

8,76%

2,04%

10,98%

БАЛАНС

14 053

-912

13 141

6,53%

-0,42%

6,08%

Наименование показателя

2015 от 2014

2014 от 2013

2015 от 2013

2015 от 2014

2014 от 2013

2015 от 2013

ПАССИВ







III. КАПИТАЛ И РЕЗЕРВЫ 6







Уставный капитал (складочный капитал, уставный фонд, вклады товарищей)

0

0

0

0,00%

0,00%

0,00%

Собственные акции, выкупленные у акционеров







Переоценка внеоборотных активов







Добавочный капитал (без переоценки)







Резервный капитал

0

0

0

0,00%

0,00%

0,00%

Нераспределенная прибыль (непокрытый убыток) прошлых лет

-46 509

3 588

-42 921

-88,71%

7,35%

-87,88%

Нераспределенная прибыль (непокрытый убыток) отчетного года

0






Итого по разделу III

-46 509

3 588

-42 921

-88,5%

7,33%

-87,68%

IV. ДОЛГОСРОЧНЫЕ ОБЯЗАТЕЛЬСТВА







Заемные средства







Отложенные налоговые обязательства

-174

-284

-458

-15,3%

-20,01%

-32,28%

Резервы под условные обязательства







Прочие обязательства







Итого по разделу IV

-174

-284

-458

-15,3%

-20,01%

-32,28%

V. КРАТКОСРОЧНЫЕ ОБЯЗАТЕЛЬСТВА







Заемные средства

61 915

-9 730

52 185

82,04%

-11,42%

61,25%

Кредиторская задолженность

-884

2 242

1 358

-1,08%

2,83%

1,71%

Доходы будущих периодов

0

0

0

0,00%

0,00%

0,00%

Оценочные обязательства

-294

3 272

2 978

-6,43%

251,89%

229,25%

Прочие обязательства







Итого по разделу V

60 737

-4 216

56 521

37,6%

-2,54%

34,09%

БАЛАНС

14 054

-912

13 142

6,53%

-0,42%

6,08%


Таблица 3 Вертикальный анализ баланса за 2013-2015гг.

Наименование показателя

Вертикальный анализ

Доля статьи в валюте баланса 2015, %

Доля статьи в валюте баланса 2014, %

Доля статьи в валюте баланса 2013, %

АКТИВ




I. ВНЕОБОРОТНЫЕ АКТИВЫ




Нематериальные активы




Результаты исследований и разработок




Основные средства

6,24%

8,15%

10,36%

Доходные вложения в материальные ценности




Финансовые вложения




Отложенные налоговые активы

0,26%

0,27%

0,27%

Прочие внеоборотные активы




Итого по разделу I

6,49%

10,62%

II. ОБОРОТНЫЕ АКТИВЫ

Запасы

54,53%

50,91%

51,40%

Налог на добавленную стоимость по приобретенным ценностям

1,00%

0,75%

0,67%

Дебиторская задолженность

33,35%

34,50%

33,79%

Финансовые вложения

0,64%

1,61%

2,54%

Денежные средства

3,76%

3,56%

0,70%

Прочие оборотные активы

0,21%

0,25%

0,27%

Итого по разделу II

93,51%

91,59%

89,38%

БАЛАНС

100,00%

100,00%

100,00%

Наименование показателя

Доля статьи в валюте баланса 2015, %

Доля статьи в валюте баланса 2014, %

Доля статьи в валюте баланса 2013, %

ПАССИВ




III. КАПИТАЛ И РЕЗЕРВЫ 6




Уставный капитал (складочный капитал, уставный фонд, вклады товарищей)

0,04%

0,05%

0,05%

Собственные акции, выкупленные у акционеров




Переоценка внеоборотных активов




Добавочный капитал (без переоценки)




Резервный капитал

0,01%

0,01%

0,01%

Нераспределенная прибыль (непокрытый убыток) прошлых лет

2,58%

24,35%

22,59%

Нераспределенная прибыль (непокрытый убыток) отчетного года




Итого по разделу III

2,63%

24,41%

22,64%

IV. ДОЛГОСРОЧНЫЕ ОБЯЗАТЕЛЬСТВА




Заемные средства




Отложенные налоговые обязательства

0,42%

0,53%

0,66%

Резервы под условные обязательства




Прочие обязательства




Итого по разделу IV

0,42%

0,53%

0,66%

V. КРАТКОСРОЧНЫЕ ОБЯЗАТЕЛЬСТВА




Заемные средства

59,91%

35,06%

39,41%

Кредиторская задолженность

35,16%

37,86%

36,66%

Доходы будущих периодов

0,02%

0,02%

0,02%

Оценочные обязательства

1,86%

2,12%

0,60%

Прочие обязательства




Итого по разделу V

96,95%

75,07%

76,70%

БАЛАНС

100,00%

100,00%

100,00%


Вертикальный анализ (структурный) - деление каждой расходной статьи отчета о прибылях и убытках данного года на чистые продажи для определения тех статей расходов, которые растут быстрее или медленнее изменений в продажах.

Вертикальный анализ позволяет сделать вывод о структуре баланса и отчета о прибыли в текущем состоянии, а также проанализировать динамику этой структуры.

Горизонтальный анализ отчетности – это сравнительный анализ финансовых данных за ряд периодов. Данный метод также известен под названием "трендовый анализ".

В 2015г. относительно 2014г. сумма активов баланса увеличилась на 14 053 тыс.руб (6,53%), а в 2014г. относительно 2013г. было уменьшение на 912тыс.руб (0.42%), в целом за исследуемый период изменение составило на 13142тыс.руб (6,08%).

Рассмотрим данное изменение в структуре активов:

1. В 2015г.относительно 2014г. данное увеличение было связано с увлечением оборотных активов на 17 274тыс.руб. (8,76%) в связи с увеличением реализации произошло увеличение запасов в виду специфики деятельности предприятия на 15 458тыс.руб. (14,10%). Но при этом в связи с кризисом предприятие уменьшило финансовые вложения на 1 984тыс.руб (57,36%). При этом внеоборотные активы уменьшились на 3 221тыс.руб (17,78%), что было связано с амортизацией основных средств.

2. В 2014г. относительно 2013г. было увеличение оборотных активов относительно  2013г. на 3 940тыс.руб (2.04%), а внеоборотные активы уменьшились на 4 852тыс.руб (21.13%).

3. В итоге увеличение активов 2015г. относительно 2013г. было вызвано увеличением оборотных активов на 21 214тыс.руб.(10,98%). В тоже время произошло сокращение внеоборотных активов на 8 073тыс.руб за счет основных средств в связи с амортизацией основных средств.

По структуре в активах наблюдается постепенно уменьшение внеоборотных средств в 2013г. – 10,62%, в 2014г. -8,41%, 2015г. - 6,49%, что связано с амортизацией.

В тоже время в связи с увеличением объема продаж предприятие увеличило оборотные средства преимущественно за счет запасов, х доля в активах возросла с 51,40% в 2013г. до 54.53% в 2015г.

Рассмотрим структуру пассивов за исследуемый период.

Собственный капитал в 2014г. относительно 2014г. уменьшился на 46 509тыс.руб в связи с выплатой дивидендов. В 2014г. относительно 2013г. произошло увеличение за счет заработанной величины прибыли.

Краткосрочные обязательства увеличились в 2015г. относительно 2014г. на 60 737тыс.руб. (37,58%) в основном за счет увеличения краткосрочных заемных средств, увеличение которых составило 61 915тыс.руб. (82,04%). В 2014г. относительно 2013г. уменьшение краткосрочной задолженности составило  4 216грн (2,54%) – преимущественно за счет погашения краткосрочных кредитов на 9 720тыс.руб (11,42%) по средствам их погашения.

По структуре произошли такие изменения:

1. Величина собственного капитала уменьшилась с 22,64% до 2.63%, что связано с выплатой дивидендов, которые уменьшают величину собственного капитала, а также стремительным ростом краткосрочного кредитования, которое обычно привлекается с целью пополнения оборотных средств.

С целью выявления ликвидности баланса сгруппируем активы по ликвидности, а краткосрочные пассивы по срочности, результаты группировки отражены в таблице 4.

Таблица 4 Группировка активов по ликвидности и пассивов по срочности

Активы

Сумма

Пассивы

Сумма

 

2015г.

2014г.

2013г.

2015г.

2014г.

2013г.

 

Абсолютно ликвидные активы

10 105

11 133

7 008

Наиболее срочные активы

84 899

86 077

80 563

 

Быстро-ликвидные активы

76 491

74 279

73 053

Краткосрочные заемные средства

137 387

75 472

85 202

 

Медленно реализуемые активы

125 059


109 601

111 115

Долгосрочные заемные средства

961

1135

1419

Трудно-реализуемые активы

14 893

18 114

22 966

Постоянные активы

6 032

52 541

48 953


Условия абсолютной ликвидности баланса:

1. Критерий А1>П1- не соблюдается ни в одном периоде.

2. Критерий А2>П2 – не соблюдается ни  в одном периоде.

3. Критерий А3>П3 –соблюдается во всех периодах – т.е. медленно реализуемых активов достаточно для погашения долгосрочных заемных средств.

4. А4<П4 – соблюдается в 2013г. и 2014г. а в 2015г –нет, следовательно данный показатель ухудшился.

Следовательно, необходимо провести дополнительный анализ.

1. А1+А2+А3 должен превышать П1+П2 – не соблюдается ни в одном периоде

2. А1+А2 должен превышать П1+П2    - не соблюдается ни в одном периоде.

3. А1/(П1+П2) – не выполняется (должен составлять 0,1-0,3). Самое большое значение в 2013г. и составляет 0,07.

Коэффициент автономии (финансовой независимости, концентрации собственного капитала в активах)

Характеризует независимость предприятия от заемных средств и показывает долю собственных средств в общей стоимости всех средств предприятия. Чем выше значение данного коэффициента, тем финансово устойчивее, стабильнее и более независимо от внешних кредиторов предприятие:

Коэффициент автономии (независимости) = Собственный капитал / Активы                                                             (2.1)

Коэффициент финансовой зависимости, характеризующий зависимость от внешних источников финансирования (т.е. какую долю во всей структуре капитала занимают заемные средства). Расчет происходит по формуле:

Коэффициент финансовой зависимости = Обязательства / Активы  (2.2)

В соответствии с Приказом Минрегиона РФ от 17.04.2010 №173 коэффициент финансовой зависимости определяется по формуле:

Кфз = (Д0 + КО - Зу + Дбп + Р) / П                                                           (2.3)

где, Кфз - коэффициент финансовой зависимости;

       Д0 - долгосрочные обязательства;

       КО - краткосрочные обязательства;

       Зу - задолженность перед учредителями;

      Дбп - доходы будущих периодов;

      Р - резервы предстоящих расходов;

      П - пассивы.

Расчет показателей сделан в таблице 5.

Таблица 5 – Показатели финансовой устойчивости

Показатель

2015

2014

2013

Коэффициент автономии

0,03

0,24

0,23

Коэффициент финансовой независимости

0,97

0,76

0,77

Коэффициент обеспеченности собственными источниками финансирования

-0,04

0,17

0,13


Коэффициент автономии постепенно с 2013г. ухудшился, что свидетельствует о том, что постепенно предприятие переходит на заемные источники финансирования деятельности, о чем свидетельствует и увеличение коэффициента финансовой независимости, который увеличился за исследуемый период с 0,77 до 0.97.

Коэффициент обеспеченности собственными источниками финансирования показывает, что величина оборотного капитала финансируется полностью за счет привлеченного капитала.

Ликвидность – способность активов быть быстро проданными по цене, близкой к рыночной. Ликвидность – способность обращаться в деньги.

Коэффициент текущей (общей) ликвидности— финансовый коэффициент, равный отношению текущих (оборотных) активов к краткосрочным обязательствам (текущим пассивам). Расчет производится по формуле:

Ктл = ОА / КО                                                              (3.4)

где: Ктл – коэффициент текущей ликвидности;

       ОА – оборотные активы

       КО – краткосрочные обязательства.

Коэффициент быстрой ликвидности — финансовый коэффициент, равный отношению высоколиквидных текущих активов к краткосрочным обязательствам (текущим пассивам). Источником данных выступает бухгалтерский баланс компании, но в составе активов не учитываются материально-производственные запасы так как при их вынужденной реализации убытки будут максимальными среди всех оборотных средств. Формула быстрой ликвидности:

Кбл = (Краткосрочная дебиторская задолженность + Краткосрочные финансовые вложения + Денежные средства) / Текущие обязательства (3.5)

Коэффициент абсолютной ликвидности — финансовый коэффициент, равный отношению денежных средств и краткосрочных финансовых вложений к краткосрочным обязательствам (текущим пассивам). Источником данных служит бухгалтерский баланс компании аналогично, как для текущей ликвидности, но в составе активов учитываются только денежные и близкие к ним по сути средства:

Кал = (Денежные средства + краткосрочные финансовые вложения) / Текущие обязательства                                                                        (3.6)

 

Расчет коэффициентов ликвидности находится в таблице 6.

Таблица 6  Коэффициенты ликвидности.

Показатель

2015

2014

2013

Абсолютная ликвидность

0,35

0,48

0,47

Коэффициент срочной ликвидности

0,39

0,53

0,48

Коэффициент текущей ликвидности

0,96

1,22

1,17


Абсолютная ликвидность уменьшается, что свидетельствует о том, что денежных средств и высоколиквидных активов недостаточно для погашения краткосрочных обязательств. Так за исследуемый период он уменьшился с 0.47 до 0,35.

Коэффициент срочной ликвидности также уменьшился с 0,48 до 0,39, т.е. оборотных средств недостаточно для того чтобы расплатиться по краткосрочным обязательствам, т.е. рост краткосрочной задолженности осуществляется более опережающими темпами, чем оборотных активов.

Коэффициент текущей ликвидности у также уменьшается – за исследуемый период уменьшился с 1,17 до 0,96.

Одним из важнейших показателей является показатели деловой активности. Особый акцент необходимо сделать на том факте, чтобы период погашения кредиторской задолженности не наступал раньше, чем по дебиторской, иначе будет происходить вымывание денежных средств с предприятия, что в будущем ему грозит  банкротством.

Расчет показателей осуществлен  в таблице 7.

Таблица 7. Показатели деловой активности

Показатель

2015

2014

Оборачиваемость запасов, оборотов

18,56

18,54

Оборачиваемость запасов, дней

19,40

19,41

Оборачиваемость дебиторской задолженности, оборотов

28,88

27,78

Оборачиваемость дебиторской задолженности, дней

12,46

12,96

Оборачиваемость кредиторской задолженности

26,86

25,46

Оборачиваемость кредиторской задолженности, дней

13,40

14,14

Оборачиваемость собственного капитала, оборотов

74,35

40,33

Оборачиваемость собственного капитала, дней

4,84

8,93


В 2015г. период оборачиваемости запасов увеличился с 18,54 до 18,56оборотов, немного ускорился в 2015г.относително 2-13г. быстрее высвобождаются денежные средства.

В 2015г. период погашения по дебиторской задолженности предприятию удалось уменьшить с 12,96 до 12,46дней, что приводит  к более быстрому высвобождению денежных средств.

В то же время оборачиваемость кредиторской задолженности также увеличилась, что привело к более быстрому периоду погашению в днях кредиторской задолженности, уменьшение произошло с 25,46 до 26,86дней.

При этом период погашения дебиторской задолженности меньше, чем по кредиторской, следовательно, предприятие получает от своих покупателей денежные средства с целью своевременно оплатить свои обязательства перед своими поставщиками.

Необходимо рассмотреть еще одну группу показателей – это показатели рентабельности.

Показывает, сколько предприятие имеет прибыли с каждого рубля, затраченного на производство и реализацию продукции.

Рентабельность продаж (оборота) = Чистая прибыль / Выручка от реализации                                                       (3.8)

Характеризует эффективность предпринимательской деятельности, сколько прибыли от реализации имеет предприятие с рубля продаж.

Экономическая рентабельность = Чистая прибыль /Активы предприятия                                                   (3.9)

 

Рентабельность активов показывает эффективность использования всего имущества организации. 

Рентабельность собственного капитала = Чистая прибыль / Собственный капитал                                                                                   (3.10)

Расчет показателей рентабельности осуществлен в таблице 8.

Таблица 8 Показатели рентабельности

Показатель

2015

2014

Рентабельность продаж

0,01

0,01

Рентабельность собственного капитала

2,73

0,07

Рентабельность активов

0,07

0,02


Рентабельность продаж осталась на уровне и показывает прибыль с каждого рубля сделки.

Рентабельность собственного капитала увеличилась, что связано с уменьшением величины капитала в связи  с выплатой дивидендов.

Рассмотрим показатели деятельности предприятия в отчете о финансовых результатах, результаты которого оформлены в таблице 9.

В 2015г. чистая прибыль получена больше, чем в 2014г., но в целом положительный финансовый результат свидетельствует о том, что предприятие способно генерировать прибыль за период.

Анализ отчета о финансовых результатах представлен в таблице 10.

Таблица 10 Анализ отчета о прибылях и убытках за 2014-2015гг.

Наименование показателя

абс. откл.

руб

отн. откл.

%

доля статьи в 2015г.

доля статьи в 2014г.

Выручка

131 067,00

6,40%

100,00%

100,00%

Себестоимость продаж

-103 091,00

5,82%

-86,04%

-86,52%

Валовая прибыль (убыток)

27 976,00

10,14%

13,96%

13,48%

Коммерческие расходы

4 981,00

-1,75%

-12,86%

-13,93%

Управленческие расходы





Прибыль (убыток) от продаж

12 957,00

118,03%

1,10%

0,54%

Доходы от участия в других организациях





Проценты к получению

-136,00

-96,45%

0,00%

0,01%

Проценты к уплате

419,00

5,90%

-0,35%

-0,35%

Прочие доходы

4 921,00

19,04%

1,41%

1,26%

Прочие расходы

4 018,00

16,41%

-1,31%

-1,20%

   Прибыль (убыток) до налогообложения

15 285,00

0,95%

0,26%

Текущий налог на прибыль

-2 292,00

109,04%

-0,20%

-0,10%

В т. ч. постоянные налоговые обязательства (активы)

87,00

-63,97%

0,00%

-0,01%

Изменение отложенных налоговых обязательств

-110,00

-38,73%

0,01%

0,01%

Изменение отложенных налоговых активов

11,00

550,00%

0,00%

0,00%

Прочее

-24,00

0,00%

0,00%

Чистая прибыль (убыток)

12 890,00

361,37%

0,76%

0,17%


В 2015г. выручка возросла на 131 067тыс.руб (6.40%), при этом себестоимость продаж лишь на 4 981 тыс. руб. (1,75%), что привело к увеличению валового доходы на 27 976 тыс. руб. (10.14%).

Коммерческие издержки  уменьшились на 12 957тыс. руб (1.75%). Подобные изменения привели к увеличению прибыли от продаж на 12 957тыс.руб. (118,03%).

Проценты к получению уменьшились на 136тыс. руб. (96.45%) в связи с уменьшением финансовых вложений предприятия,  а проценты к уплате увеличились на 419тыс.руб (5.90%) в связи с увеличением краткосрочных кредитов в 2015г. относительно 2014г.

Прочие доходы увеличились на 4921тыс. руб. (19,04%), при этом прочие расходы увеличились на 4 018тыс.руб (16,41%), прочие доходы увеличиваются более опережающими темпами, чем прочие расходы.

В результате налогооблагаемая прибыль увеличилась на 15 285 тыс. руб. (282,90%),  следовательно, подобное привело и к увеличению поступлений в бюджеты федерального и регионального значения в виде налога на прибыль, который возрос на 2 292тыс. руб (109,04%). В результате и чистая прибыль увеличилась на 12 890тыс.руб (361,37%).

В целом у предприятия есть способность генерировать прибыль.

Рассмотрим изменения в платежах и поступления предприятия за период 2014-2015гг. в таблице 11.

Таблица 11- Анализ отчета о движении денежных средств

Наименование показателя

2015

2014

абс. откл., руб

абс. откл., %

Денежные потоки от текущей деятельности

2 228 747

2 070 006

158 741

7,67%

Поступления - всего:

2 118 444

1 989 377

129 067

6,49%

 в том числе от продажи продукции, товаров, работ и услуг





арендных платежей, лицензионных платежей, роялти, комиссионных, и аналогичных платежей





от передачи финансовых вложений





прочие поступления

110 303

80 629

29 674

36,80%

Платежи-всего:

-2 234 511

-2 060 292

174 219

8,46%

в том числе поставщикам сырье, материалы, работы, услуги

-2 028 998

-1 908 469

120 529

6,32%

в связи с оплатой труда работников

-86 719

-79 981

6 738

8,42%

проценты по долговым обязательствам

-7 485

-7 206

279

3,87%

налога на прибыль организаций

-3 179

-2 368

811

34,25%

прочие платежи

-108 130

-62 268

45 862

73,65%

Сальдо денежных средств от текущих операций

-5 764

9 714

-15 478

-159,34%

Денежных потоки от инвестиционных операций





Поступления- всего:

2 990

520

2 470

475,00%

в том числе от продажи оборотных активов





от продажи акций других организаций





от возврата предоставленных займов, от продажи долевых ценных бумаг (прав требований денежных средств к другим лицам)

2 990

520

2 470

475,00%

дивидендов, процентов  по долговым финансовым вложениям и аналогичных поступлений от долевого участия в других организациях





Платежи-всего:

-3 962

-2 412

1 550

64,26%

в т.ч.  в связи с приобретением, созданием, модернизацией, реконструкцией и подготовкой к использованию внеоборотных активов





в связи с приобретением акций (долей участия)





в связи с приобретением долговых ценных бумаг (прав требования денежных средств к другим лицам), предоставление займов другим лицам

-3 962

-2 412

1 550

64,26%

процентов по долговым обязательствам, включаемым в стоимость инвестиционного актива





прочие платежи





Сальдо денежных потоков от инвестиционных операций

-972

-1 892

-920

-48,63%

Денежные потоки от финансовых операций

477 463

443 110

34 353

7,75%

Поступления- всего:





в том числе получение кредитов и займов

477 463

443 110

34 353

7,75%

денежных вкладов собственников (участников)





от выпуска акций, увеличение долей участия





от выручка облигаций, векселей и других долговых ценных бумаг и др.





прочие поступления





Платежи-всего:

-469 771

-444 775

24 996

5,62%

в т.ч. собственникам  (участникам) в связи с выкупом них акций (долей участия) организации или их выходом из состава участников





на уплату дивидендов и иных платежей  по распределению прибыли в пользу собственников (участников)

-57 300


-57 300


в связи с погашением (выкупом)векселей и других долговых ценных бумаг, возвратов кредитов и займов

-412 471

-444 775

-32 304

-7,26%

прочие платежи





Сальдо денежных потоков от финансовых операций

7 692

-1 665

-9 357

-561,98%

Сальдо денежных потоков за отчетный период

956

6 157

-5 201

-84,47%

Остаток денежных средств и денежных эквивалентов на начало отчетного периода

7 674

1 517

6 157

405,87%

Остаток денежных средств и денежных эквивалентов на конец отчетного периода

8 630

7 674

956

12,46%

Величина влияния изменений курса иностранной валюты по отношению к рублю






Анализ движения денежных средств показал, что

1. Денежные средства от операционной деятельности показал, что в 2014г. был положительный денежных поток в размере 9 714тыс.руб, а в 2015г. отрицательный в размере 5 764тыс.руб. В 2015 г. сальдо от текущих операций показывают превышение расходов над поступлениями, в 2014г. подобной тенденции не наблюдалось, поэтому в 2015г. были привлечены краткосрочные кредиты с целью пополнения оборотных средств предприятия. В итоге результат от текущих операций уменьшился на 15 478тыс. руб. (159.34%).

2. Денежные средства от инвестиционной деятельности показал, что был рост относительно 2014г. в 2015. Результат от инвестиционных операций в 2015г. увеличился на 920тыс.руб. (48,63%) в связи с увеличением финансовых вложений на 1 550тыс.руб (64.26%), но при этом был возврат займов на 2 479тыс.руб (475%) больше чем 2014г.

3. Результат от финансовой деятельности увеличился на 9 357тыс.руб, что связано с поступлением кредитных денежных средств больше чем в 2014г на 34 353тыс. руб., а при этом были погашены векселя и другие долговые обязательства меньше на 32 304тыс.руб (7,26%). Но были выплачены дивиденды на 57 300тыс.руб.

С целью анализа денежных средств определим показатели его характеризующие, которые отражены в таблице 13.

Таблица 13 – Показатели анализа денежных средств

Показатель

2015г.

2014г.

Коэффициент участия денежных средств в оборотных активах

0,04

0,02

Уровень отвлечения свободного остатка денежных активов

0,23

0,49

Коэффициент рентабельности краткосрочных вложений

0,21

0,18

Показатель оборачиваемости денежных средств

1,35 

0,81 

Операционный цикл

31,86

32,37

Финансовый цикл

18,46

18,23

Расчет оптимального остатка

10 167,22

19 580,20


Коэффициент участи денежных средств в оборотных активах показывает их долю в составе оборотных средств, данные средства являются абсолютно ликвидными для погашения краткосрочной задолженности предприятия, данный коэффициент увеличен в 2015г. до 004 по отношению 2014г.

Уровень отвлеченности свободного потока в 2015г. был уменьшен относительно 2014г. с 0,49 до 0,23, что связано с тем, что предприятие собиралось выплачивать дивиденды.

Коэффициент рентабельности краткосрочных вложений увеличился, т.к. были проданы менее рентабельные ценные бумаги для обеспечения выплаты дивидендов. В связи с этим показатель оборачиваемости денежных средств увеличился, т.к. после выплаты дивидендов денежных средств осталось больше, чем в предыдущем периоде, что связано с тем, что оптимальный остаток выше, чем денежных средств на счету.

Операционный цикл уменьшился в 2015г. до 31,86дней с  32,37дней в связи с более быстрым оборотом дебиторской задолженности. Начало операционного цикла — появление материальных запасов на балансе корпорации, а его окончание — появление на балансе выручки от реализации произве­денной и проданной продукции. 

Финансовый цикл увеличился в 2015г. до 18,46дней с 18,23дней в связи с опережающим сокращением оборачиваемости кредиторской задолженности. Финансовый цикл характеризует среднее время между фактическим оттоком денежных средств в связи с осуществлением текущей производственной деятельности и их фактиче­ским притоком как результатом производственно-финансовой деятельности.

Сокращение операционного и финансового циклов в динамике рассмат­ривается как положительная тенденция. Если сокращение операционного цикла может было сделано за счет ускорения оборачива­емости дебиторской задолженности, то финансовый цикл был сокращен за счет оборачи­ваемости кредиторской задолженности.

2.3. PEST-анализ и SWOT-анализ

Для эффективного проведения анализа внешней среды следует разделить внешнюю среду на 2 уровня: среду косвенного воздействия (макросреда, общая среда) и среду прямого воздействия (микросреда, конкурентная среда).

PEST-анализ – направлен на анализ среды косвенного воздействия.

 Таблица 2.7-  PEST-анализ факторов среды косвенного воздействия

Факторы среды

Оценки

 

влияния на организацию

направленности влияния

Интеграль-ная

 

1

2

3

4

5= ст.3хст.4

 

Политические (Р)

 

Политическая ситуация

1

-1

-1

 

Изменение законодательства

0

-1

0

 

Государственное влияние на отрасль

2

-1

-2

 

Уровень развития правового регулирования экономики,

0

-1

0

 

Налоговая политика

1

-1

-1

 

Экономика (Е)

 

 

 

Общая характеристика эконо­мической ситуации

1

-1

-1

 

Курс национальной валюты

2

-1

-2

 

Уровень инфляции

3

-1

-3

 

Инвестиционный климат в отрасли

2

+1

2

 

Социум ( S )

 

 

 

Демографические изменения

2

+1

2

 

Уровень безработицы

2

-1

-2

 

Отношение к труду и отдыху

1

+1

1

 

Социальная мобильность насе­ления

3

+1

3

 

Активность потребителей

3

+1

3

 

Технология ( Т )

 

 

 

Развитие производственных технологий

3

+1

3

 

Развитие Интернета и прочих дополнительных каналов связи

3

+1

3

 

Уровень автоматизации производства

3

+1

3

 

Новые продукты (скорость обновления и освоения новых технологий)

3

+1

3

 

ИТОГО

35

0

11

 


Каждому из факторов экспертным образом дается оценка:

· влияния на организацию по шкале:

3 - сильное, 2 - умеренное, 1 - слабое, 0 - отсутствие влияния;

· направленности влияния по шкале:

«+1» - позитивная, «-1» - негативная.

Исходя из приведенного анализа можно сделать вывод, что наиболее влияющим фактором для организации является технологии и экономика, следовательно заслуживают наиболее внимательного рассмотрения для руководства организации при разработке стратегии. Рассматривая фактор политической обстановки следует обратить внимание на вопрос денежного регулирования и изменения в налоговом законодательстве. В случае рассматриваемой организации наиболее сильное влияние в этом разделе оказывает налоговая политика государства, а так же ценовое регулирование максимального порога стоимости услуг.

Фактор экономики важен для выявления верной ценовой политики, спроса продукции и расчета прибыли и расходов предприятия. Фактор социальной сферы влияет на взятое предприятие косвенно, в данном разделе самым важным моментом является изучение предпочтений потребителя, его демографические признаки, уровень жизни и прогнозировать спрос исходя из полученных данных. Раздел о технологических решениях является основным к изучению для такого предприятия, как типография, благодаря аналитике изменений это позволит своевременно провести реконструкцию или замену оборудования, получив новые возможности и источники дохода.

Классификация конкурентов

В настоящее время на рынке типографий преобладает довольно высокий тип конкуренции, что объясняет ее воздействие на предприятия. При наличии высокой конкуренции в отдельно взятом регионе, стоимость товаров и услуг, осуществляемых взятым типом организации становятся приблизительно на один уровень с уровнем цен, указанных в прайс-листах лидеров на рынке. Важно отметить, что конкуренция строится не только на ценовой политике, но и на качестве предоставляемых услуг. Существуют анализы прямого и внутреннего воздействия, которые позволяют оценить влияние со стороны внешней и внутренней среды на предприятие. 

Проводя анализ среды прямого воздействия можно отметить, что на нижегородском рынке существует более пятидесяти типографий, предоставляющих разнообразные услуги по печати и изготовлению любых типографических материалов. Здесь же следует добавить потенциальных конкурентов, многофункциональные предприятия, в спектр услуг которых входят в том числе и услуги печати.

Потребителей данных услуг практически невозможно посчитать и сгруппировать по какому-либо признаку, т.к. ими могут быть как рекламные агентства, так и частные организации, которые осуществляют заказы по мере необходимости, небольшими партиями. Поставщиками являются любые организации, предоставляющие полиграфические материалы, и чаще всего, это одна конкретная организация, которая предоставляет свои льготы и выгодные персональные предложения постоянным заказчикам. Контактными аудиториями в этом случае будут являться рекламные агентства, в случае если организация нуждается в рекламе при выходе на рынок или поддержании узнаваемости.

Анализ внутренней среды

В анализ внутренней среды помимо swot- анализа, который будет приведен далее так же необходимо включить анализ таких факторов, как организационно операционную деятельность предприятия, анализ бизнес-процессов на предприятии, анализ внутреннего документооборота и информационного обеспечения организации, а так же анализ основных и специфических рисков. Обращая внимание на все эти факторы, следует отметить, что анализ был произведен в разделе финансового баланса, где основной проблемой было выявлено недостаточное финансирование прибылью предприятия и опора на сторонние, внешние источники финансирования. Исходя из этого, следует еще раз сделать вывод о том, что предприятию необходимо сделать упор на погашение долгов и повышение прибыли предприятия. Для этого необходимо составить эффективный бизнес-план предприятия, наладить работу бухгалтерии и тщательную координацию документооборота. По отношению к возможным рискам и угрозам организации необходимо провести мероприятия по укреплению и стабилизации коллективного духа, а так же  исследовать внутреннюю и внешнюю среду, для искоренения существующих, и предотвращения возможных рисков для организации.

Что касается стратегий, действующих в рассматриваемой организации, следует рассмотреть такую маркетинговую стратегию, как стратегию сокращения, направленную на повышение эффективности деятельности предприятия путем сокращения неэффективных подразделений. Ориентация данной стратегии концентрирована на целевую аудиторию, т.е. на определенный сегмент потребителей.

Кадровая стратегия организации может охватывать различные аспекты управления персоналом: совершенствование структуры управления персоналом (по возрасту, категориям, профессии, квалификации и т.д.); оптимизацию численности персонала; повышение эффективности затрат на персонал, включающих оплату труда, вознаграждения и другие денежные расходы; меры социальной защиты (гарантии, социальное страхование, социальные компенсации, социально-культурное и бытовое обеспечение и др.); развитие организационной культуры (норм, традиций, правил поведения в коллективе и т.п.); совершенствование системы управления персоналом и т.д.

При разработке кадровой стратегии должен учитываться достигнутый, сложившийся уровень по всем указанным направлениям и с учетом анализа внешней и внутренней среды организации, и факторов, влияющих на их изменение.

Классификация конкурентов

В настоящее время на Российском рынке преобладает тип высокой конкуренции, ограничивающий возможности организаций и означающий достаточно сильное ее воздействие. При наличии этого типа конкуренции сравниваются цены, указанные в прайс-листах фирм, относящихся к группе лидеров по сфере продаж. Цель столь всеобъемлющего контроля – определение динамики конкуренции.

Также на этой стадии изучения конкурента добавляется ещё и сравнение по качеству продукции или услуги. В качестве рекомендаций можно отметить, что следует подобрать совокупность таких мер, которые могут позволить выйти из условий конкурентного влияния. Например: сочетание полного ассортимента по товарным группам, с комплексом сервиса по консультациям, акциям, доставкой и более низким ценам на конкурирующие товары.

В таблице 3 приведен конкурентный анализ по десяти параметрам, оценки ставились по 10-ти бальной шкале.

Конкуренты:

Конкурент №1 – Арт-Графика» (Нижний Новгород г., Бекетова улица, 37 , оф. № 6)

Конкурент №2 -  «Stayer» (Нижний Новгород г., Минеева улица, 29)

Конкурент №3 - «Растр-Нн» (Нижний Новгород г., Белинского улица, 61 , оф. № 10)

Конкурент №4 –«Бэст-Нн» (Нижний Новгород г., Федосеенко улица, 39-А )

Рассмотрит конкурентные преимущества компании перед конкурентами в таблице 2.8.

Таблица 2.8. Конкурентные преимущества компании

Параметры

Наша компания

Конкуренты

№2

№3

№4

Цена

6

3

4

7

9

Качество

8

4

6

7

7

Финансовое состояние

5

5

5

7

9

Конкурентные преимущества

6

5

6

8

9

Эффективность рекламы

5

4

6

8

8

Ассортимент выпускаемой продукции

9

6

7

3

5

Уровень обслуживания

7

4

6

7

8


Итого:

Наше предприятие- 46 баллов

Конкурент 1- 31 балл

Конкурент 2- 40 баллов

Конкурент 3- 47 баллов

Конкурент 4- 55 баллов

Данные таблицы 2 свидетельствуют о том, что одним из  преимуществ фирмы перед конкурентами является цена, качество и ассортимент, который насчитывает порядка 100 наименований. Наш главный конкурент- компания «БэстНН».

Кроме экономических показателей  существует ряд качественных, таких как известность и лояльность, которые в наибольшей степени  отражают реальное отношение потребителя, и поэтому являются ключевым индикатором положения предприятия на рынке. Потому основные усилия организации будут также направлены на развитие маркетинговой и рекламной деятельности предприятия и формировании положительного имиджа компании среди потребителей.

Поставщики

 Факторы, характеризующие влияние поставщиков на эффективность деятельности организации: уровень специализации поставщика; стоимость перехода к другому потребителю; важность данных продаж; стоимость и качество товара; график поставок; пунктуальность и обязательность выполнения условий поставки.

Поставщики имеют возможность оказывать прямое влияние на эффективность функционирования их покупателей и заказчиков. Сильные поставщики способны повышать или снижать цены на свои товары, а также повышать или снижать качество поставляемых товаров и услуг.

Основными поставщиками являются :

1. «Берег-НН» оптовая компания

Россия Нижний Новгород, ул. Шекспира, 10г

2. «Анталис»

Россия Нижний Новгород, ул. Ларина, 18а, 3 офис; 1 этаж

3. «Танзор»

Россия Нижний Новгород, ул. Родионова, 134

Потребители (клиенты)

 Факторы, влияющие на торговую силу покупателя: уровень информированности покупателя, чувствительность к цене, к способам стимулирования, ориентация на определенную торговую марку, возможность выбора продавца, товаров-заменителей, наличие определенных требований к качеству продукции.

К ним относятся: крупные коммерческие учреждения , средние коммерческие организации, индивидуальные предприниматели, государственные и муниципальные учреждения. Исследование внутренней среды представлено в таблице 2.9.

Таблица 2.9 - Исследование внутренней среды

Срез

Элементы внутренней среды

Оценки в баллах

1

2

3

4

5

Кадровый срез

стиль управления

квалификация менеджеров и сотрудников

эффективность политики оплаты труда по сравнению с конкурентами

найм, обучение и продвижение персонала



*

*



*





*

Организацион-ный срез

Четкость распределения в фирме прав и обязанностей

Эффективность взаимодействия различных структурных подразделений по достижению целей развития

Эффективность организационной структуры



*

*





*


Операционный срез

Соответствие технологии и оборудования конкурентным требованиям   потребителей

эффективность использования техники и оборудование

Приводят ли НИОКР к созданию принципиально новых продуктов?

Каковы правовые формы защиты продуктов фирмы и как они используются?






*

*




*

*


Маркетинго-вый срез

Сильные и слабые стороны товаров и услуг фирмы

Доля рынка и насколько твердо удерживает фирма

Возможности для выхода на рынок с новыми продуктами и для освоения новых рынков





*

*

*


Финансовый срез

Обеспечение прибыльности

Достаточность осуществляемых капитальных затрат для обеспечения будущих потребностей развития фирмы

Положительная кредитная история фирмы

Рациональность налоговой политики




*

*



*






*

Организацион-ная культура

Ценности и нормы, принятые в фирме;

Миссия, ценности, отношение к окружающему миру;

Трудовая этика и мотивация

Взаимоотношения между людьми в фирме





*

*

*


*



Завершением анализа внешней и внутренней среды является SWOT-анализ, приведенный в таблице 2.10.

Таблица 2.10 - Матрица SWOT – анализа


Возможности

Угрозы


1) Появление новых структур (склад, цех)

2) Возможность введения новых изделий и услуг

3)Привлечение дополнительных групп потребителей

4) Предоставление хранения заказов

5) Производительность с большей рентабельностью

1)Сбои в поставках продукции

2)Появление новых конкурентов

3)Потеря покупателей – переход их к конкурентам

4)Изменение уровня цен

5)Плохой курс валют

6) Рост налогов

7)Пожар,

ограбление

Сильные стороны

«Сила и возможности»

«Сила и угрозы»

1) Большой ассортимент товаров

2) Гибкая ценовая политика

3) Короткие сроки производства

4) Изготовление и разработка новых изделий

- увеличение ассортимента.

- Закупка нового оборудования

- изменение рекламных технологий - приведет к налаженному сбыту продукции

- улучшение сервиса и                   сокращение времени на производство

- привлечение новых клиентов, за счет сроков производства

- налаженный поток специализированной продукции

- Автоматизация операций.

- Расширение производства или открытие дополнительных структур (цехов)

- Закупка нового оборудования

Слабые стороны

«Слабость и возможности»

«Слабость и угрозы»

1)Сбои в поставках (человеческий фактор)

2)Диктат поставщиков

3)Близко конкуренты

4)Недостатки в рекламной политике

- Слабые производственные мощности

- Повышение цен и низкий запас материалов.

- Устаревшее оборудование

- Плохая реклама и слабая информированность потенциальных клиентов.

- Потеря клиента из- за невыполнения договоренностей по срокам.

- Увольнение квалифицированных рабочих (возможен уход к конкурентам)


Исходя из анализа матрицы, можно дать следующие рекомендации:

-  Усовершенствование рекламной политики;

- обновление оборудования- закупка нового, усиление производственной мощности;

- Улучшение условий работы  для привлечения квалифицированных рабочих;

- Создать улучшение ценовой политики и условия для достаточного запаса материалов.

2.4. Анализ системы бюджетирования в компании

Анализ системы бюджетирования показал, что ежегодно составляется бюджет на будущий год в разрезе всех операционных бюджетов, а в качестве заключительной части формируются баланс, отчет о прибылях и убытках.

Ежегодный бюджет формируется в разбивке по месяцам, подобная детализация необходима, чтобы заранее предусмотреть вероятные «кассовые разрывы», чтобы заранее позаботиться об источниках финансирования. Кроме того, в бюджете виден излишек денежных средств на счетах в отдельных месяцах, которые в текущем году были направлены на приобретение дополнительных мощностей основных средств и их обновления с целью увеличения объемов производства, т.к. у компании достаточно устойчивые позиции на рынке и кроме того оно периодически вынуждено отказываться от выгодных заказов вследствие ограниченной мощности основных средств.

В процессе формирования бюджета менеджмент компании уделяет достаточно большое внимание сбалансированности поступлений и расходной части, т.к. у компании достаточно низкая ликвидность, в наличие есть как краткосрочные, так и долгосрочные кредиты, следовательно, в результате их обслуживания снижается прибыль компании.

Компания также использует бюджет с целью формирования системы мотивации для персонала.

Компания планирует достаточно детально доходную часть в разрезе покупателей, а также видов продукции, так как у неё за годы работы сформировалась база клиентов, некоторые из которых ежемесячно размещают заказы в компании.

Что касается расходной части, то она также планируется в разрезе основных поставщиков и статей (коммунальные расходы, обслуживание оборудования, оплата труда персоналу, налоговые отчисления и т.д.).

Еще одним важным аспектом, которые предусматривается в рамках бюджетного БДДС является своевременная и в полном объеме выплата дивидендов её собственникам согласно существующей внутренней политики в вопросе дивидендов.

В результате сопоставления план-факта видно, насколько выполнена производственная программа, рост цен на сырье и материалы, увеличилась ли заработная плата для персонала и. т.д.

В рамках компании осуществляется оперативное планирование, которое необходимо с целью планирования выплат по текущим потребностям, а также поступлений денежных средств. В качестве конечной цели такого планирования в рамках данной компании выступает платежный календарь, где находят отражение все планируемые остатки денежных средств как на начало, так и конец периода.

Платежный календарь формируется на базе всей совокупности поступлений и полученных заявок расходования денежных средств от различных подразделений. Модуль оперативного планирования позволяет решить целый ряд задач таких, как регистрация прогнозируемых расходов и поступлений денежных средств; контроль остатков, сверка с бюджетом, резервирование средств; процесс утверждения заявок, а затем, соответственно, планирование оплат.

Эффективное использование денежных потоков ведет к увеличению росту объема производства, а, следовательно, реализации продукции, что было продемонстрировано в отчетном периоде, т.к. приобретение основных средств было заложено в инвестиционный бюджет, а затем в БДДС. Поэтому в компании четко понимают, что при любом нарушении платежной функции подобное негативно будет влиять на такие процессы как создание запасов сырья, уровень производительности труда вследствие ухудшения мотивации персонала, реализацию готовой продукции и  т. д.

В рамках компании относительно денежных потоков происходит:

1. Планирование;

2. Балансировка, в которой возникает необходимость в связи с периодическими возникновениями дефицита или же избытка денежных средств, так как подобное в результате приводит к отрицательному влиянию на деятельность компании в целом.

С целью ускорения оборота капитала компании одним из самых главных факторов является именно управление денежными потоками по средствам экономного использования собственных средств, кроме того уменьшения потребности в заемных средствах. 

Эффективность работы компании находится в зависимости от системы управления денежными потоками. Эта система необходима с целью выполнения стратегических (увеличение объемов производства, соответственно, реализации, выход на новые рынки), а также краткосрочных планов компании, а именно сохранения платежеспособности, финансовой устойчивости, рационального использования активов и источников финансирования, минимизации затрат.

2.5. Управление денежными потоками в компании

В качестве основных мероприятий в направлении управления денежными потоками в рамках компании выступает следующее:

1. Формирование запросов (заявок) на платеж;

2. Проверка заявленных расходов с расходами в БДДС;

3. Согласование внебюджетных платежей на основании директора

4. Формирование реестра платежей на следующую недель и день с разбивкой по банкам и назначениям платежей;

5. Все платежи подлежат распределению с учетом приоритетов;

6. Проведение платежей по банку;

7. Учет уже проведенных платежей, информирование руководителей;

8. Контроль регламента.

В регламенте обязательном порядке указывается сама процедура согласования платежей, а также сроки, определяются действия отдельных участников процесса:

1. Сотрудники центров финансовой ответственности (ЦФО) формируют заявки на денежные средства;

2. Руководители ЦФО согласуют заявки согласно утвержденного бюджета денежных средств.

Наличие четкого регламента платежей дает возможность компании упорядочить платежи, способствует росту эффективности использования денежных средств самой компании.

Исходя из опыта компании, менеджмент пришел к выводу, что в оперативном управлении денежными потоками компании очень важное место должно отводится именно их сбалансированности во времени.

Финансовый план

Одна из основных расходов – закупка высококачественного технологичного оборудования для типографии (принтер, сканер, компьютер и др.). Стоимость необходимого оборудования указана в таблице 2.12.

Таблица 2.12 - Расходные материалы для копировального оборудования 

Тип расходного материала

Количество копий

Цена, руб.

Мастер-пленка на ризограф

4000

1340

Сменный фотобарабан на копировальный аппарат

15000

4366

Сменный фотобарабан на лазерный принтер

6500

2543




Рассмотрим стоимость оборудования, которое есть у компании, в таблице 2.13.

Таблица 2.13 Стоимость оборудования

Оборудование

Модель

Цена, руб. (без НДС)

Ризограф

Riso CZ 180

72 036

Копировальное устройство для бумаги формата А3

Xerox CopyCenter C118

54 800

Цветной лазерный принтер

Epson AcuLaser C4200DN

53 106

Сканер

EPSON GT-S80

50 103

Компьютер

DEPO Z50

33 576

ИТОГО

263 621



Рассмотрим план расходных материалов в таблице 2.14.

Таблица 2.14 – План расходных материалов и план производства

Наименование оборудования

Цена, руб./копию

План производства, копий/год

Расход материалов, руб./год

Ризограф

0.335

350 000

117 250

Копировальный аппарат

0.291

105 000

30 562

Лазерный принтер

0.391

120 000

46 920

ИТОГО

194 732


Рассмотрим план затрат у компании на месяц в таблице 2.15.

Таблица 2.15 – Затраты у компании

Статья затрат

Сумма, руб.

Закупка расходных материалов для работы копировальной техники

165 027

Стоимость бумаги

116 983

Заработная плата персоналу

504 000

Страховые взносы

131 040

Арендная плата помещения

203 390

Оплата коммунальных платежей

83 051

Амортизационные отчисления

65 905

Другие расходы (оплата интернета и связи, уборка и т.п.)

36 000

ИТОГО

1 305 396

 

На основании приведенных данных затем формируется прогнозный баланс, отчет о прибылях и убытках. А также БДДС.

Все бюджеты позволяют видеть прогнозную картину для компании на месяц и на год. В последние 2 года ввели процедуру согласования в рамках бюджета, все внеплановые платежи проводятся исключительно за подпись директора. В компании ввели регламент платежей, что позволило сократить время на их обработку, в результате привело к более грамотному управлению денежными потоками.

3. Разработка рекомендаций для повышения эффективности управления денежным потоком в компании

Управление денежными потоками относится к числу основных задач финансового менеджмента, которое осуществляется в рамках финансовой политики компании. В качестве задачи финансовой политики выступает формирование эффективной системы управления финансами. Целью управления денежными потоками является целенаправленное обеспечение финансового равновесия по средствам балансирования поступления и расходования денежных средств компании [22].

Важно понимать, что управление денежными потоками является инструментом получения прибыли. Менеджмент компании самостоятельно выбирает собственную тактику развития. Эффективное управление денежными потоками дает возможность самостоятельно финансировать деятельность компании без привлечения сторонних организаций и кредитов в банке [23].

На данном периоде компании стоит проанализировать именно себестоимость продукции, так как вследствие приобретения нового оборудования её показатели рентабельности должны были возрасти, а в отчетном периоде у компании обратный эффект. Проанализировав основных конкурентов можно прийти к выводу, что у компании достаточно бюджетные цены, что у неё есть возможность поднять цены на свою продукцию и услуги. скорее всего подобное мероприятие не приведет к утрате основных покупателей, а вот её прибыль и рентабельность увеличатся [22,24].

У компании в отчётном периоде наблюдается погашение кредитов как краткосрочных, так и долгосрочных, ей необходимо пересмотреть свои расходы, возможно закупать сыре и материалы более крупными партиями, обычно в подобной ситуации поставщик предоставляет достаточно серьёзные скидки, подобное мероприятие может позволить избежать краткосрочного кредитов, оплаты процентов по ним, что в результате приведет к росту рентабельности продаж.

Четко рассчитывать оптимальную стоимость партии, даже если цена ниже, чем обычная при покупке объема сырья и материалов, ведь если в полном объеме сырье и материал не отправляется на конкретный заказ, то необходимо компании дополнительно по мимо оплаты процентов по кредиту еще нести и логистические в виде хранения сырья и материалов на складе, охраны их, в  процессе хранения они могут быть испорчены или украдены.

К примеру если стоимость сырья составляет по обычным ценам 600тыс.руб, при этом привлекается краткосрочный кредит – предприятие понесет дополнительно 51тыс.руб, а скидка на товар была всего лишь 2%.

Получается 600*2%= 588 тыс. руб.

Проценты будут выплачены в месяц 588%*34%/12=16,660 тыс.руб.

При этом потребность была закрыта для двух заказов, на первый сразу данный материал будет востребован в сумме 200тыс.руб, а на второй заказ только через месяц в размере 400тыс.руб.

Вот и получается, что при покупке на объеме съэкономили 2% - в размере 12тыс.руб, а за проценты заплатили 16, тыс. руб. При этом на сумму 400тыс. материалов для второго заказа понесли еще и дополнительные расходы как минимум по хранению, кроме процентов, а проценты по кредиту были уплачены банку просто так с точки зрения деятельности предприятия.

В целом на 400тыс. согласно обычных цен (а на этот объем уже дается скидка) компания потеряла 11,107тыс руб на проценты, на скидке выиграла на этой сумму 8тыс. ру, итого потери составили 3,107тыс.руб.

В данной ситуации более логично было поступить так:

1. Закупка материала 200тыс. с привлечением кредитных средств. Оплата процентов в размере 5,667тыс. руб.

2. Закупка материала 400тыс. с учетом скидки 2% оплата 392тыс.руб. а проценты 11,107тыс.руб. в случае если бы не было достаточно денежных средств с целью их приобретения за счет собственных средств.

В то время как можно было приобрести в первом месяце 200тыс.руб и заплатить проценты только от этой суммы.

В обязательном порядке брать предоплату у покупателей в качестве гарантийного взноса, по мере заверения конкретных работ – не продолжать её без оплаты, у компании дебиторская задолженность выросла за год почти в три раза.

Подобные мероприятия приведут к уменьшению необходимости привлечения краткосрочных заемных средств, в результате увеличится и рентабельность продаж.

Заключение

В данной работе рассматривается такое понятие как управление денежными потоками. Грамотное управление денежными потоками ведет к увеличению прибыли, так как компания может избегать краткосрочного кредитования, проценты по которому значительно выше, чем по долгосрочным кредитам.

В такое сложное понятие как «денежный поток» включаются в состав многочисленные виды потоков, которые направлены на обслуживание хозяйственной деятельности. Для обеспечения эффективного целенаправленного управления денежными потоками они требуют определенных знаний, умений и классификации.

Грамотное управление денежными потоками дает возможность избежать и многих затруднений, например. задержки заработной платы, ухудшения системы мотивации для персонала, возникновения задолженностей перед поставщиками и т.д.

При избытке денежных средств на счетах компании. у неё всегда возникает возможность «пассивного заработка» по средствам размещения на депозит, инвестирования в ценные бумаги и т.д.

Также всегда есть возможность при наличие избытка денежных средств на счетах, аккумулировать денежные средства для открытия новых направлений бизнеса, диверсификации продукции или услуг, приобретения более производительного оборудования и. т.д.

В компании применяется бюджетирование с целью предусмотрения кассовых разрывов, своевременно нахождения источников для их финансирования, кроме того используется в целях планирования за своевременностью поступлений и расходования денежных средств по крупным статьям затрат. Таким образом, контроль за денежным потоком осуществляется по средствам бюджетирования с использованием Бюджета движения денежных средств.

Что касается формирования долгосрочных БДДС, то это важно в целом для существования компании, так как формируется представление, когда именно можно будет заменить основные средства, исходя из коньюктуры рынка определить жизнеспособность самой компании, т.е. насколько управление данной компанией происходит успешно, как долго она в данной сфере будет способна получать выручку, то касается расходной части, то здесь стоит обратить внимание, на сколько компания способна за счет реинвестированной прибыли развиваться и т.д.

В данной работе рассматривается управление денежными потоками на примере ООО РИА «Семейная студия». Стоит отметить, что у компании достаточно сложная ситуация, т.к. рентабельность падает, одновременно у неё увеличиваются денежные средства на счетах, в наличие краткосрочные и долгосрочные кредиты, которые всегда ведут к уменьшению рентабельности собственного капитала.

В компании достаточно хорошо используется такой инструмент как бюджетирование, в результате компания смогла в отчетном периоде обновить основные средства.

Есть четкий регламент согласования расходной части, в целом за отчетный период у компании ситуация улучшилась, но есть еще ряд аспектов которые только предстоит разрешить руководству в текущем году, именно поэтому для компании были разработаны ряд достаточно эффективных рекомендаций в вопросе управления денежными потоками.

Список использованной литературы

Нормативные акты

1. Федеральный закон N 146-ФЗ от 31 июля 1998 года «Налоговый кодекс Российской Федерации» (НК РФ) (с изм. от 30.11.2016). Интернет -ресурс: [#"_Toc500700173">Приложение 1

Таблица 1 Баланс за 2013-2015 гг.

Наименование показателя

На 31 декабря 2015 г.

На 31 декабря 2014г.

На 31 декабря 2013 г.

АКТИВ




I. ВНЕОБОРОТНЫЕ АКТИВЫ




Нематериальные активы




Результаты исследований и разработок




Основные средства

14302

17 536

22 390

Доходные вложения в материальные ценности




Финансовые вложения




Отложенные налоговые активы

591

578

576

Прочие внеоборотные активы




Итого по разделу I

14893

18114

22966

II. ОБОРОТНЫЕ АКТИВЫ


Запасы

125059

109 601

111 115

Налог на добавленную стоимость по приобретенным ценностям

2293

1 613

1 458

Дебиторская задолженность

74 279

73 053

Финансовые вложения

1475

3 459

5 491

Денежные средства

8630

7 674

1 517

Прочие оборотные активы

489

538

590

Итого по разделу II

214437

197 163

193 223

БАЛАНС

229330

215 277

216 189

Наименование показателя

На 31 декабря 2015 г.

На 31 декабря 2014 г.

На 31 декабря 2013 г.

ПАССИВ




III. КАПИТАЛ И РЕЗЕРВЫ 6




Уставный капитал (складочный капитал, уставный фонд, вклады товарищей)

100

100

100

Собственные акции, выкупленные у акционеров




Переоценка внеоборотных активов




Добавочный капитал (без переоценки)




Резервный капитал

15

15

15

Нераспределенная прибыль (непокрытый убыток) прошлых лет

5917

52426

48 838

Нераспределенная прибыль (непокрытый убыток) отчетного года




Итого по разделу III

6032

52541

48953

IV. ДОЛГОСРОЧНЫЕ ОБЯЗАТЕЛЬСТВА




 

Заемные средства




 

Отложенные налоговые обязательства

961

1135

1419

 

Резервы под условные обязательства




 

Прочие обязательства




 

Итого по разделу IV

961

1135

1419

 

V. КРАТКОСРОЧНЫЕ ОБЯЗАТЕЛЬСТВА




 

Заемные средства

137387

75 472

85 202

 

Кредиторская задолженность

80622

81 506

79 264

 

Доходы будущих периодов

52

52

52

 

Оценочные обязательства

4277

4 571

1 299

 

Прочие обязательства




 

Итого по разделу V

222338

161601

165817

 

БАЛАНС

229331

215277

216189

 

 



Приложение 2

Таблица 9 – Отчет о финансовых результатах за период 2014-2015гг.

Наименование показателя

Код

За 2015г.

За 2014г.

Выручка

2110

2 177 453,00

2046386

Себестоимость продаж

2120

-1 873 526,00

-1770435

Валовая прибыль (убыток)

2100

303 927,00

275 951,00

Коммерческие расходы

2210

-279 992,00

-284973

Управленческие расходы

2220



   Прибыль (убыток) от продаж

2200

23 935,00

10978

Доходы от участия в других организациях

2310



Проценты к получению

2320

5

141

Проценты к уплате

2330

-7521

-7102

Прочие доходы

2340

30 771,00

25850

Прочие расходы

2350

-28 502,00

-24484

   Прибыль (убыток) до налогообложения

2300

20 688,00

5403

Текущий налог на прибыль

2410

-4 394,00

-2102

В т. ч. постоянные налоговые обязательства (активы)

2421

-49,00

-136

Изменение отложенных налоговых обязательств

2430

174

284

Изменение отложенных налоговых активов

2450

13

2

Прочее

2460

-24


Чистая прибыль (убыток)

2400

16 457,00

3567



Похожие работы на - Управление денежным потоком

 

Не нашли материал для своей работы?
Поможем написать уникальную работу
Без плагиата!
Без нейросетей!