|
Название детского профиля
|
Кол-во обучающихся в
профиле
|
Средняя стоимость за мес. в
профиле
|
Всего за месяц, руб.
|
Всего за год, руб.
|
|
1. «Я -сам!»
|
12
|
6 000
|
72 000
|
864 000
|
|
«Я -сам!»
|
12
|
6 000
|
72 000
|
864 000
|
|
2. «Капитан»
|
15
|
6 000
|
90 000
|
108 000
|
|
«Капитан»
|
15
|
6 000
|
90 000
|
108 000
|
|
3. «Будь Лидером!»
|
15
|
7 500
|
112 500
|
1 350 000
|
|
«Будь Лидером!»
|
15
|
7 500
|
112 500
|
1 350 000
|
|
4. «Ты - личность»
|
15
|
8 000
|
120 000
|
1 440 000
|
|
«Ты - личность»
|
15
|
8 000
|
120 000
|
1 440 000
|
|
5. «На пути к успеху»
|
15
|
8 900
|
133 500
|
1 602 000
|
|
«На пути к успеху»
|
15
|
8 900
|
133 500
|
1 602 000
|
|
6. «Следуй за мечтой»
|
15
|
9 000
|
135 000
|
1 620 000
|
|
«Следуй за мечтой»
|
15
|
9 000
|
135 000
|
1 620 000
|
|
Итого
|
174
|
-
|
1 326 000
|
13 968 000
|
Виды платежей по кредитам.
Как уверяют эксперты, российские банки предоставляют два вида платежей:
аннуитетный (равный) и дифференцированный платеж по кредиту (уменьшающий).
Применяя аннуитетный платеж, заемщик оплачивает ежемесячно одинаковую
сумму, состоящую из начисленного процента и суммы основного долга. По словам
Олега Семкичева, директора дирекции андерайтинга банка «Глобэкс», для заемщика,
предпочитающего рассчитаться по кредиту за короткий период времени (до 5 лет),
тогда выгоден именно этот вид погашения.
Различие между способами платежей в том, что дифференцированные платежи
предусматривают постоянное уменьшение размера ежемесячного платежа, а аннуитеты
сохраняют его в течение всего периода использования кредита. Опытные заемщики
знают, как лучше платить кредит и предпочитают брать кредиты исключительно в
банках, предоставляющих дифференцированный платеж по кредиту.
Но сегодня возможность погашения дифференцированным платежом
предоставляют лишь несколько банков: Газпромбанк, Сбербанк, «Глобэкс» и
«Оргрэсбанк». При этом Сбербанк и Газпромбанк имеет преимущество в процентном
соотношении платеж/доход, достигаемое до 90%, а размер самого кредита будет
существенно выше, чем кредиты с аннуитетными платежами, которые предоставляют
другие банки. «Оргрэсбанк» имеет соотношение дохода к ежемесячному размеру
платежа от 50 до 55%, что зависит от суммы дохода, а в «Глобэксе» эти
показатели составляют 40%.
Расчет платежей по кредитам.
Формула аннуитетного платежа:
. Ежемесячный аннуитетный платеж:
А=К*S
где: A - ежемесячный аннуитетный платеж,- коэффициент аннуитета,- сумма
кредита.
2. Коэффициент аннуитета:
K=(i*(1+i)n )/((1+i)n-1)
где: K - коэффициент аннуитета,- месячная процентная ставка по кредиту (=
годовая ставка/12 месяцев),- количество месяцев, в течение которых
выплачивается кредит.
Расчёт дифференцированного платежа
Размер основного платежа вычисляется следующим образом: необходимо сумму
кредита разделить на количество месяцев, за который планируется погашение
кредита, полученное число и будет являться основным платежом.
= S / N ,
где b - основной платёж, S - размер кредита, N - количество месяцев.
Для расчета начисленных процентов нужно остаток кредита на указанный период
умножить на годовую процентную ставку и всё это поделить на 12 (количество
месяцев в году).
= Sn * P / 12,
где p - начисленные проценты, Sn - остаток задолженности на период, P -
годовая процентная ставка по кредитy.
Чтобы рассчитать остаток задолженности на период, т.е. найти величину из
приведённой выше формулы, необходимо размер основного платежа умножить на
количество прошедших периодов и всё это вычесть из общей суммы платежа.
= S - (b * n) ,
где n - количество прошедших периодов.
Итоговая формула:+p+(S-(b*n))*P/12
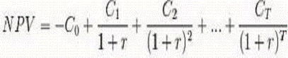
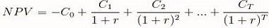
3. Основные критерии эффективности проекта
NPV -
Чистая приведённая стоимость (чистая текущая стоимость, чистый дисконтированный
доход, англ. Net present value)
это сумма дисконтированных значений потока платежей, приведённых к сегодняшнему
дню.
это разница между всеми денежными притоками и оттоками, приведёнными к
текущему моменту времени (моменту оценки инвестиционного проекта).
показывает величину денежных средств, которую инвестор ожидает получить
от проекта, после того, как денежные притоки окупят его первоначальные
инвестиционные затраты и периодические денежные оттоки, связанные с
осуществлением проекта
можно интерпретировать как общую прибыль инвестора.
(по Межову: - разница между доходами и инвестициями)
проекта будет положительным, а сам проект - эффективным, если
расчеты показывают, что проект покрывает свои внутренние затраты, а также
приносит владельцам капитала доход не ниже, чем они потребовали (не ниже ставки
дисконтирования).
По Межову: Чистая приведенная стоимость позволяет судить об изменении
стоимости предприятия в результате осуществления проекта.
Не корректно использовать при выборе между проектом с большей NPV, но с более длительным периодом
окупаемости и проектом с меньшей NPV и
коротким периодом окупаемости.
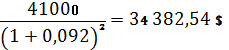
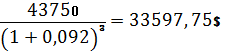
Пример:
Есть проект, 4 года. Размер инвестиций 115 000 $. Доходы от инвестиций:
1г. 32 000, 2 г. 41 000., 3г. 43 750, 4г. 38 250. Размер ставки
дисконтирования: 9,2%.
Решение: пересчитаем денежные потоки в вид текущей стоимости:
PV1=
PV2=
PV3=
PV4=
NPV=(PV1+PV2+PV3+PV4)-115000=9
183,66$
принятие
решения: для отдельного проекта: если NPV больше или равно нулю, то
проект принимается; для нескольких альтернативных проектов: принимается тот
проект, который имеет большее значение NPV, если только
оно положительное.
Индекс
рентабельности (доходности) инвестиций (англ.
<https://ru.wikipedia.org/wiki/%D0%90%D0%BD%D0%B3%D0%BB%D0%B8%D0%B9%D1%81%D0%BA%D0%B8%D0%B9_%D1%8F%D0%B7%D1%8B%D0%BA>
PI от англ.
<https://ru.wikipedia.org/wiki/%D0%90%D0%BD%D0%B3%D0%BB%D0%B8%D0%B9%D1%81%D0%BA%D0%B8%D0%B9_%D1%8F%D0%B7%D1%8B%D0%BA>
Profitability Index) рассчитывается как отношение суммы дисконтированных
денежных потоков к первоначальным инвестициям:
,
где
NCF (net cash flow) - чистые денежные потоки (дисконтированные)
I - инвестиции
Несложно
заметить, что при оценке проектов, предусматривающих одинаковый объем
первоначальных инвестиций, критерий PI полностью согласован с критерием NPV
<https://ru.wikipedia.org/wiki/NPV>.
Таким
образом, критерий РI имеет преимущество при выборе одного проекта
<https://ru.wikipedia.org/wiki/%D0%9F%D1%80%D0%BE%D0%B5%D0%BA%D1%82> из
ряда имеющих примерно одинаковые значения NPV <https://ru.wikipedia.org/wiki/NPV>,
но разные объемы требуемых инвестиций. В данном случае выгоднее тот из них,
который обеспечивает большую эффективность вложений. В связи с этим данный
показатель позволяет ранжировать проекты при ограниченных инвестиционных ресурсах.
К
недостаткам метода можно отнести его неоднозначность при дисконтировании
отдельно денежных притоков и оттоков.> 1 - проект следует принять PI < 1
- отвергнуть PI = 1 - ни прибыли, ни убытков
.1 Внутренняя норма прибыльности (IRR)
Внутренняя
норма доходности (англ.
<https://ru.wikipedia.org/wiki/%D0%90%D0%BD%D0%B3%D0%BB%D0%B8%D0%B9%D1%81%D0%BA%D0%B8%D0%B9_%D1%8F%D0%B7%D1%8B%D0%BA>
internal rate of return, общепринятое сокращение - IRR (ВНД)) - это норма
прибыли (барьерная ставка, ставка дисконтирования), при которой чистая текущая
стоимость инвестиции равна нулю, или это та ставка дисконта, при которой
дисконтированные доходы от проекта равны инвестиционным затратам. Внутренняя
норма доходности определяет максимально приемлемую ставку дисконта, при которой
можно инвестировать средства без каких-либо потерь для собственника.
Экономический
смысл данного показателя заключается в том, что он показывает ожидаемую норму
доходности (рентабельность инвестиций) или максимально допустимый уровень
инвестиционных затрат в оцениваемый проект. IRR должен быть выше
средневзвешенной цены инвестиционных ресурсов: IRR > CC.
Если
это условие выдерживается, инвестор может принять проект, в противном случае он
должен быть отклонен.
Достоинства
показателя внутренняя норма доходности (IRR) состоят в том, что кроме
определения уровня рентабельности инвестиции, есть возможность сравнить проекты
разного масштаба и различной длительности.
Для
расчета подбираются 2 ставки дисконтирования, чтобы в интервале (r1;r2) NPV
менял свое значение с + на -.
.2
Срок окупаемости инвестиций (РР-payback period)
Срок окупаемости инвестиций - время, которое требуется, чтобы инвестиция
обеспечила достаточные поступления денег для возмещения инвестиционных
расходов. Вместе с чистой текущей стоимостью (NPV) и внутренним коэффициентом
окупаемости (IRR) используется как инструмент оценки инвестиций.
Он определяется для того, чтобы понять, через какой промежуток времени
полностью возвратится та денежная сумма, которая была вложена в проект.
. Если денежный поток равномерный с одинаковым значением по годам
,
где PP - срок окупаемости инвестиционного проекта, CFt-ден.поток
Или

2. Если прибыль распределена неравномерно, то срок рассчитывается
прямым подсчетом числа лет, в течение которых инвестиция будет погашена
кумулятивным доходом (Инвестиционный доход, дисконтированный в обратную
сторону)

,
где
Ток (PP) - срок окупаемости инвестиций; n - число периодов; CFt - приток
денежных средств в период t; Io - величина исходных инвестиций в нулевой
период.
4. Риски, которые учитываются при инвестировании средств в отдельный
проект либо конкретное предприятие
Инвестиционная деятельность во всех формах и видах сопряжена с риском.
Инвестиционный риск - это риск обесценивания вложенного капитала (потеря
первоначальной стоимости) в результате неэффективных действий руководства
предприятия или государства.
Умный управляющий, составляя инвестиционный портфель должен оценивать в
первую очередь риски инвестирования и лишь затем смотреть на потенциальную
доходность. Верно и то, что высокая потенциальная доходность заключает в себе
инвестиционный риск.
Инвестиционные риски можно классифицировать по следующим признакам:
· По сферам проявления инвестиционные риски:
. Технико-технологические риски связаны с факторами неопределенности,
оказывающими влияние на технико-технологическую составляющую деятельности при
реализации проекта, как то:
· надежность оборудования,
· предсказуемость производственных процессов и технологий, их
сложность,
· уровень автоматизации,
· темпы модернизации оборудования и технологий и т.д.
2. Экономический риск связан с факторами неопределенности, оказывающими
влияние на экономическую составляющую инвестиционной деятельности в государстве
и на деятельность субъекта экономики при реализации инвестиционного проекта в
рамках целевой установки достижения общеэкономического равновесия системы и
ускорения темпов роста ее валового национального продукта путем выпуска
конкурентоспособной продукции на мировом рынке, выбора рационального сочетания
форм и сфер производства, осуществления государственных мер по антициклическому
регулированию экономики и т.д.
Экономический риск включает в себя следующие факторы неопределенности:
· состояние экономики;
· проводимая государством экономическая бюджетная, финансовая,
инвестиционная и налоговая политика;
· рыночная и инвестиционная конъюнктура;
· цикличность развития экономики и фазы экономического цикла;
· государственное регулирование экономики;
· зависимость национальной экономики;
· возможное невыполнение государством своих обязательств
(частичная или полная экспроприация частного капитала, различного рода дефолты,
прекращения договоров и другие финансовые потрясения) и т.д.
3. Политические риски связаны со следующими факторами неопределенности,
оказывающими влияние на политическую составляющую при осуществлении
инвестиционной деятельности:
· выборы различных уровней;
· изменения в политической ситуации;
· изменения в осуществляемого государством политического курса;
· политическое давление;
· административное ограничение инвестиционной деятельности;
· внешнеполитическое давление на государство;
· свобода слова;
· сепаратизм;
· ухудшение отношений между государствами, что может плохо
отразится на деятельности совместных предприятий и т.д.
4. Социальные риски связаны с факторами неопределенности, оказывающими
влияние на социальную составляющую инвестиционной деятельности, как то:
· социальная напряженность;
· забастовки;
· выполнение социальных программ.
Социальная составляющая, обусловлена стремлением личностей создавать
социальные связи, оказывать друг другу помощь, придерживаться взятых на себя
взаимных обязательств; ролью, которую они играют в обществе; служебными
отношениями; моральными и материальными стимулами; существующими и возможными
конфликтами и традициями и т.д.
Предельным случаем социального риска является личностный риск, который
связан с невозможностью точного предсказания поведения отдельных личностей в
процессе их деятельности и обусловлен человеческим фактором.
. Экологические риски связаны со следующими факторами неопределенности,
оказывающими влияние на состояние окружающей среды в государстве, регионе и
влияющими на деятельность инвестируемых объектов:
· загрязнение окружающей среды,
· радиационная обстановка,
· экологические катастрофы,
· экологические программы
· экологические движения как "Green peace".
Экологические риски подразделяются на следующие виды:
ü техногенные риски, относящиеся к чрезвычайным ситуациям,
связанные со следующими факторами: техногенные катастрофы на предприятиях,
вызывающие заражение окружающей среды радиоактивными, отравляющими и иными
вредными веществами;
ü природно-климатические риски связанны со следующими факторами
неопределенности, оказывающими влияние на реализацию инвестиционного проекта:
географическое расположение объекта; природные катаклизмы (наводнения,
землетрясения, штормы и др.); климатические катаклизмы; специфика климатических
условий (засушливый, континентальный, горный, морской и т.п. климат); наличие
полезных ископаемых, лесных и водных ресурсов и т.д.;
ü социально-бытовые риски связанны со следующими факторами
неопределенности, оказывающими влияние на реализацию инвестиционного проекта:
заболеваемость населения и животных инфекционными заболеваниями; массовые
распространения вредителей растений; анонимные звонки о минировании различных
объектов и т.д.
. Законодательно - правововые риски связаны со следующими факторами
неопределенности, оказывающими влияние на реализацию инвестиционного проекта:
· изменения действующего законодательства;
· противоречивость, неполнота, незавершенность, неадекватность
законодательно-правовой базы;
· законодательные гарантии;
· отсутствие независимости судопроизводства и арбитража;
· некомпетентность или лоббирование интересов отдельных групп
лиц при принятии законодательных актов;
· неадекватность существующей в государстве системы
налогообложения и т.д.
По формам проявления инвестиционные риски:
. Риски реального инвестирования, которые могут быть связаны со
следующими факторами:
ü перебои в поставке материалов и оборудования;
ü рост цен на инвестиционные товары;
ü выбор не квалифицированного или недобросовестного подрядчика
и другие факторы, задерживающие ввод объекта в эксплуатацию или уменьшающие
доход в процессе эксплуатации.
. Риски финансового инвестирования, которые связаны со следующими
факторами:
ü непродуманный выбор финансовых инструментов;
ü непредвиденные изменения условий инвестирования и т.д.
· По источникам возникновения:
1. Систематический (рыночный, недиверсифицируемый) риск, возникает для
всех участников инвестиционной деятельности и всех форм инвестирования.
Определяется сменой стадий экономического цикла, уровнем платежеспособного
спроса, изменениями налогового законодательства и другими факторами, на которые
инвестор повлиять при выборе объекта инвестирования не может.
. Несистематический (специфический, диверсифицируемый) риск, который
характерен для конкретного объекта инвестирования или для деятельности
конкретного инвестора. Он может быть связан с компетенций персонала руководства
предприятия; усилением конкуренции в данном сегменте рынка; нерациональной
структурой капитала и др. Несистематический риск может быть предотвращен за
счет диверсификации проектов, выбора оптимального инвестиционного портфеля либо
эффективного управления проектом
Инвестиционная деятельность характеризуется рядом инвестиционных рисков,
классификация которых по видам может быть следующей:
· Инфляционный риск - вероятность потерь, которые может понести
субъект экономики в результате обесценивания реальной стоимости инвестиций,
утраты активами (в виде инвестиций) реальной первоначальной стоимости при
сохранении или росте номинальной их стоимости, а также обесценивания ожидаемых
доходов и прибыли субъекта экономики от осуществления инвестиций в условиях
неконтролируемого опережения темпов роста инфляции над темпами роста доходов по
инвестициям.
· Дефляционный риск - вероятность потерь, которые может понести
субъект экономике в результате уменьшения денежной массы в обращении из-за
изъятия части избыточных денежных средств, в т.ч. путем повышения налогов,
учетной процентной ставки, сокращение бюджетных расходов, роста сбережения и
т.д.
· Рыночный риск - вероятность изменения стоимости активов в
результате колебания процентных ставок, курсов валют, котировок акций и
облигаций, цен товаров, являющихся объектом инвестирования. Разновидностями
рыночного риска являются, в частности валютный и процентный риск
· Операционный инвестиционный риск - вероятность инвестиционных
потерь вследствие технических ошибок при проведении операций; вследствие
умышленных и неумышленных действий персонала; аварийных ситуаций; сбоев в
работе информационных систем, аппаратуры и компьютерной техники; нарушения
безопасности и т.д.
· Функциональный инвестиционный риск - вероятность инвестиционных
потерь вследствие ошибок, допущенных при формировании и управлении
инвестиционным портфелем финансовых инструментов.
· Селективный инвестиционный риск - вероятность неправильного
выбора объекта инвестирования в сравнении с др. вариантами.
· Риск ликвидности - вероятность потерь, вызванных
невозможностью высвободить без потерь инвестиционные средства в нужном размере
за достаточно короткий период времени в силу состояния рыночной конъюнктуры.
Также под риском ликвидности понимают вероятность возникновения дефицита
средств для выполнения обязательств перед контрагентами.
· Кредитный инвестиционный риск проявляет себя, если инвестиции
осуществляются за счет заемных средств и представляет собой вероятность
изменения стоимости активов или утраты активами первоначального качества в
результате неспособности заемщика-инвестора исполнять свои договорные
обязательства, как в целом, так и по отдельным позициям в соответствии с
условиями кредитного договора.
· Страновый риск - вероятность потерь в связи с осуществлением
инвестиций в объекты, находящиеся под юрисдикцией страны с неустойчивым
социальным и экономическим положением.
· Риск упущенной выгоды - вероятность наступления косвенного
(побочного) финансового ущерба (неполучения или недополучения прибыли) в результате
неосуществления какого-либо мероприятия, например страхования.
Не существует четких границ между отдельными видами инвестиционных
рисков, так как все они находятся во взаимосвязи друг с другом. Это означает,
что изменения в одном из них вызывают изменения в другом, что в итоге влияет на
результаты инвестиционной деятельности.
.1 Учет рисков при расчетах показателей эффективности проекта
Стало ясно, что очень важно своевременно провести анализ и оценку рисков
проекта, поскольку такие ошибки могут привести к неверным инвестиционным
решениям и значительным убыткам.
Далее мною рассмотрено влияние вышеописанных рисков при расчетах
показателей эффективности проекта. Риски проекта ведут за собой предполагаемое
ухудшение итоговых показателей эффективности проекта, возникающее под влиянием
неопределенности. В количественном выражении риск обычно определяется как
изменение численных показателей проекта. Показателей эффективности проекта
несколько:
. чистый дисконтированный доход (NPV);
. внутренняя норма доходности (IRR);
. период окупаемости первоначальных затрат (РР);
. индекс доходности (PI);
. модифицированная внутренняя ставка доходности (MIRR, %) и др.
Маркетинговые риски проекта возникают в результате снижения объема
реализации или цены товара. Этот риск является одним из наиболее значимых для
большинства инвестиционных проектов. Причиной его возникновения может быть
неприятие нового продукта рынком или слишком оптимистическая оценка будущего
объема продаж. Ошибки в планировании маркетинговой стратегии возникают главным
образом из-за недостаточного изучения потребностей рынка: неправильного
позиционирования товара, неверной оценки конкурентоспособности рынка или
неправильного ценообразования. Также к возникновению риска могут привести
ошибки в политике продвижения, например выбор неправильного способа
продвижения, недостаточный бюджет продвижения и т. д.
Например, компания по изготовлению столов планирует продавать 30%
самостоятельно, а 70% - через дилеров. Если же структура сбыта окажется иной,
например 20% - через магазины и 80% - через дилеров, для которых
устанавливаются более низкие цены, то компания недополучит первоначально
запланированную прибыль и, как следствие, ухудшатся показатели проекта.
Избежать подобной ситуации можно в первую очередь за счет всесторонней
оценки рыночной среды маркетинговым отделом.
На темпы роста продаж могут оказывать влияние и внешние факторы.
Например, часть собственных магазинов компании в рассматриваемом случае
открывается в новых торговых центрах, соответственно объем продаж в них будет
зависеть от степени «раскрутки» этих центров. Поэтому для снижения риска в
договоре аренды необходимо установить качественные параметры. Так, ставка
арендной платы может зависеть от выполнения торговым центром графика запуска
торговых площадей, обеспечения транспортировки покупателей к месту продаж,
своевременного строительства автостоянок, запуска развлекательных центров и т.
п.
Причинами возникновения рисков превышения бюджета проекта могут быть как
объективными, например, изменение таможенного законодательства в момент
растаможивания оборудования и, как следствие, задержка груза, так и
субъективными, например, недостаточная проработка и несогласованность работ по
реализации проекта.
Риск несоблюдения графика проекта приводит к увеличению срока его
окупаемости как напрямую, так и за счет недополученной выручки. В случае с
компанией по производству мебели этот риск будет велик: если компания не успеет
начать реализацию нового товара до конца осеннего пика продаж, то понесет
большие убытки.
Аналогичным образом на общие показатели эффективности проекта влияет и
риск превышения бюджета. Если работы выполняют внешние подрядчики, то в
качестве способа минимизации рисков проекта можно оговорить в контракте особые
условия. Так, в примере компании по производству столов при подготовке проекта
запланированы работы по строительству помещения и установке оборудования,
выполняемые внешним контрагентом. Длительность этих работ должна составить 3
месяца, стоимость - 500 тыс. долл. США. После завершения работ компания
планирует получать дополнительную выручку от производства столов в размере 50
тыс. долл. США в месяц при рентабельности 25%. Если по вине поставщика
длительность ремонта и установки возрастает, скажем, на один месяц, то компания
недополучит прибыль в размере 12,5 тыс. долл. США (1 × 50 × 25%). Чтобы этого избежать, в
договоре определены санкции в размере 6% от стоимости контракта за один месяц
задержки по вине подрядчика, то есть 30 тыс. долл. США (500 тыс. × 6%). Таким образом, размер санкций равен
возможному убытку.
При реализации проекта только собственными силами минимизировать риски
проекта значительно сложнее, при этом объем убытков может возрасти.
В нашем примере при установке оборудования своими силами в случае
задержки на один месяц потери прибыли составят также 12,5 тыс. долл. США.
Однако следует учесть дополнительные затраты на труд работников в течение этого
месяца. Пусть в нашем примере такие затраты составляют 7 тыс. долл. США. Таким
образом, совокупные потери компании будут равны 19,5 тыс. долл. США, а срок
окупаемости проекта возрастет на 1,23 месяца (1 мес. + 7 тыс. долл. США: (50
тыс. долл. США × 25%)). Поэтому в данном случае необходимы более
точная оценка длительности и стоимости работ, а также эффективное управление
процессом реализации проекта и его постоянный мониторинг.
К общеэкономическим рискам проекта относят риски, связанные с внешними по
отношению к предприятию факторами, например риски изменения курсов валют и
процентных ставок, усиления или ослабления инфляции. К таким рискам можно также
отнести риск увеличения конкуренции в отрасли из-за общего развития экономики в
стране и риск выхода на рынок новых игроков. Стоит отметить, что данный тип
рисков возможен как для отдельных проектов, так и для компании в целом.
В нашем примере наиболее значимым является валютный риск. При расчете
проекта все денежные потоки нередко приводятся в стабильной валюте, например в
долларах США. Однако для более точного учета валютного риска денежные потоки
следует рассчитывать в той валюте, в которой осуществляется платеж. Иначе можно
получить заниженную оценку валютного риска, поскольку не будет учтено колебание
курсов. Например, если и притоки, и вложения будут рассчитаны в одной валюте, а
курс доллара вырастет, но при этом рублевая цена продукта не изменится, то
фактически мы недополучим выручку в долларовом эквиваленте. Использование для
расчета разных валют позволит учесть этот фактор, а одной валюты - нет. Это
особенно актуально в нашем случае, когда все капвложения по ремонту здания и приобретению
оборудования осуществляются в валюте, а поступления средств от продажи изделий
- в рублях.
5. Ставка дисконтирования. Методы расчета ставки дисконтирования (кроме
WACC)
Расчет ставки дисконта зависит от того, какой тип денежного потока
используется в качестве базы для оценки.
Для модели денежных потоков для собственного капитала используются метод
кумулятивного построения, основанный на экспертной оценке премий за риск,
связанный с инвестированием в конкретную компанию, и метод оценки ставки дисконта
по модели оценки капитальных активов (САРМ), основанный на анализе массивов
информации фондового рынка об изменении доходности свободно обращающихся акций.
Ставка дисконтирования нужна:
для более точного расчета доходности проекта;
для сравнения полученных показателей проекта с минимальной нормой
доходности при инвестициях в аналогичный бизнес.
Ставка дисконтирования используется при расчете срока окупаемости и
оценке экономической эффективности инвестиций для дисконтирования денежных
потоков, иными словами, для перерасчета стоимости потоков будущих доходов и
расходов в стоимость на настоящий момент.
Методы расчета ставки дисконтирования
Наиболее распространены следующие методы расчета ставки
дисконтирования: • метод оценки капитальных активов (CAPM);
• модель средневзвешенной стоимости капитала (WACC);
• метод кумулятивного построения (CCM).
Метод оценки капитальных активов CAPM
Модель оценки капитальных активов (Capital Assets Pricing Model - CAMP).
Это теоретическая модель, разработанная для объяснения динамики курсов ценных
бумаг и обеспечения механизма, посредством которого инвесторы могли бы
оценивать влияние инвестиций в предполагаемые ценные бумаги на риск и
доходность их портфеля. Эта модель может быть использована для понимания
альтернативы «риск-доходность» и применительно к бизнесу. Согласно модели
требуемая норма доходности (ставка дисконтирования) для любого вида инвестиций
зависит от риска, связанного с этими вложениями.
Основан на анализе изменения доходности свободно обращающихся на фондовом
рынке акций. Может быть использован открытыми акционерными обществами,
разместившими свои акции на фондовом рынке. Для «закрытых» организаций, метод
требует корректировок.
Расчетная формула:
где: I - ставка дисконтирования; - безрисковая ставка доходности;
β - коэффициент, являющийся мерой
систематического риска и учитывающий макроэкономическую ситуацию в стране; -
средняя доходность акций на фондовом рынке;
х - премия, учитывающая риски вложения в малые предприятия (риск
невозможности погашения долгов по причине недостаточного имущественного
обеспечения); - премия, учитывающая недостаток информации о реализуемом
проекте. Если инвестор располагает всеми данными, необходимыми для оценки
перспектив проекта, величина премии принимается равной нулю; - премия,
учитывающая страновой риск.
) При расчете номинальной безрисковой ставки можно пользоваться как
средне европейскими показателями по безрисковым операциям, так и российскими.
Для повышения точности расчета, безрисковую составляющую ставки дисконта можно
определять, исходя из котировок отечественных государственных ценных бумаг и
исходя из среднеевропейских данных. В случае использования среднеевропейских
показателей к безрисковой ставке прибавляется премия за риск инвестирования в
данную страну, так называемый страновой риск. Российские показатели берутся
исходя из средневзвешенной доходности ГКО или средневзвешенной ставки банков
высшей категории надежности и используются тогда, когда потенциальный инвестор имеет
возможность альтернативного вложения исключительно на территории России.
В качестве безрисковой ставки, как правило, используются:
• ставка по депозитам в банках наибольшей надежности;
• доходность по государственным долговым обязательствам.
) Коэффициент β представляет собой меру систематического риска.
Расчет коэффициента β осуществляется исходя из амплитуды колебания цен на
акции данной компании по сравнению с изменениями цен на фондовом рынке в целом.
Инвестиции в компанию, курс акций которой отличается высокой изменчивостью,
являются более рискованными, поскольку курс акций данной компании может быстро
упасть. Соответственно, если коэффициент β > 1, можно говорить о повышенной
рискованности инвестиций в данное предприятие, если β < 1 , то инвестиционный риск
меньше среднего сложившегося на данном рынке. Как правило, рассчитываются
отраслевые коэффициенты β, которые служат мерой риска для инвестиций в данную
отрасль.
Если курс акций рассматриваемой компании изменяется в два раза медленнее
среднего показателя по рынку, коэффициент принимает значение 0,5.
) Страновой риск представляет собой риск неадекватного поведения
официальных властей по отношению к бизнесу, работающему в рассматриваемой
стране. Чем более предсказуемо отношение государства к бизнесу, чем больше
проводимая государством политика способствует развитию предприятий, тем меньше
риски ведения бизнеса в такой стране и, как следствие, меньше требуемая
доходность.
Страновой риск можно измерить и выразить в дополнительной доходности,
которую будут требовать инвесторы при осуществлении инвестиций в акции или
облигации предприятий, работающих в рассматриваемой стране. Для того, чтобы
понять, какова та дополнительная доходность, которую сейчас требуют инвесторы,
чтобы компенсировать страновой риск, достаточно сравнить доходности
государственных и корпоративных облигаций.
Модель САРМ является самой ограниченной для расчета, т. к. на нее влияет
максимальное количество факторов.
Метод кумулятивного построения (ССМ) Экспертный метод. Расчетная формула:
где: I - ставка дисконтирования; - безрисковая ставка; =[1;k] -
количество учитываемых инвестиционных рисков; - премия за j-ый риск.
По методу кумулятивного построения величина ставки дисконтирования
определяется как сумма безрисковой ставки и надбавок на риск.
В ставке могут быть учтены следующие риски:
. Недостаточная диверсифицированность продукции (в структуре выпуска
преобладает продукция одного вида);
. Недостаточная диверсифицированность рынков сбыта (ориентация
деятельности на строго ограниченную категорию потребителей);
. Страновой риск;
. Недостаточность информации о перспективах реализации проекта.
Коллектив авторов Виленский П.Л., Лившиц В. Н., Смоляк С.А. предлагают
следующую пофакторную методику определения премии за риск.
Таблица 4. Влияние отдельных факторов на величину премии за риск
|
Факторы и их градация
|
Прирост премии за риск, %
|
|
1. Необходимость проведения
НИОКР (с заранее неизвестными результатами) силами специализированных
научно-исследовательских и (или) проектных организаций:
|
|
|
- продолжительность НИОКР
менее 1 года
|
3 - 6%
|
|
- продолжительность НИОКР свыше
1 года:
|
|
|
а) НИОКР выполняется силами
одной специализированнойорганизации
|
7 - 15%
|
|
б) НИОКР носит комплексный
характер и выполняется силами нескольких специализированных организаций
|
11 - 20%
|
|
2. Характеристика
применяемой технологии:
|
|
|
- традиционная
|
0%
|
|
- новая
|
2 - 5%
|
|
3. Неопределенность объемов
спроса и цен на производимую продукцию:
|
|
|
- существующую
|
0 - 5%
|
|
- новую
|
5 - 10%
|
|
4. Нестабильность
(цикличность, сезонность) производства и спроса
|
0-3%
|
|
5. Неопределенность внешней
среды при реализации проекта (горно-геологические, климатические и иные
природные условия, агрессивность внешней среды и т.п.)
|
0-5%
|
|
6. Неопределенность
процесса освоения применяемой техники или технологии. Наличие у участников
возможности обеспечить соблюдение технологической дисциплины
|
0-4%
|
В данной таблице отражены преимущественно риски, так или иначе связанные
с разработкой новой техники. Однако в ней присутствуют и такие факторы риска,
которые не имеют статистической закономерности проявления и, следовательно, не
поддаются прогнозированию
6. Виды платежей по кредитам
Как уверяют эксперты, российские банки предоставляют два вида платежей:
аннуитетный (равный) и дифференцированный платеж по кредиту (уменьшающий).
Применяя аннуитетный платеж, заемщик оплачивает ежемесячно одинаковую
сумму, состоящую из начисленного процента и суммы основного долга. По словам
Олега Семкичева, директора дирекции андерайтинга банка «Глобэкс», для заемщика,
предпочитающего рассчитаться по кредиту за короткий период времени (до 5 лет),
тогда выгоден именно этот вид погашения.
Различие между способами платежей в том, что дифференцированные платежи
предусматривают постоянное уменьшение размера ежемесячного платежа, а аннуитеты
сохраняют его в течение всего периода использования кредита. Опытные заемщики
знают, как лучше платить кредит и предпочитают брать кредиты исключительно в
банках, предоставляющих дифференцированный платеж по кредиту.
Но сегодня возможность погашения дифференцированным платежом
предоставляют лишь несколько банков: Газпромбанк, Сбербанк, «Глобэкс» и
«Оргрэсбанк». При этом Сбербанк и Газпромбанк имеет преимущество в процентном
соотношении платеж/доход, достигаемое до 90%, а размер самого кредита будет
существенно выше, чем кредиты с аннуитетными платежами, которые предоставляют
другие банки. «Оргрэсбанк» имеет соотношение дохода к ежемесячному размеру
платежа от 50 до 55%, что зависит от суммы дохода, а в «Глобэксе» эти
показатели составляют 40%.
Расчет платежей по кредитам.
Формула аннуитетного платежа:
. Ежемесячный аннуитетный платеж:
А=К*S
где: A - ежемесячный аннуитетный платеж,- коэффициент аннуитета,- сумма
кредита.
2. Коэффициент аннуитета:
=(i*(1+i)n )/((1+i)n-1)
где: K - коэффициент аннуитета,- месячная процентная ставка по кредиту (=
годовая ставка/12 месяцев),- количество месяцев, в течение которых
выплачивается кредит.
Расчёт дифференцированного платежа
Размер основного платежа вычисляется следующим образом: необходимо сумму
кредита разделить на количество месяцев, за который планируется погашение
кредита, полученное число и будет являться основным платежом.
= S / N ,
где b - основной платёж, S - размер кредита, N - количество месяцев.
Для расчета начисленных процентов нужно остаток кредита на указанный
период умножить на годовую процентную ставку и всё это поделить на 12
(количество месяцев в году).
= Sn * P / 12,
где p - начисленные проценты, Sn - остаток задолженности на период, P -
годовая процентная ставка по кредитy.
Чтобы рассчитать остаток задолженности на период, т.е. найти величину из
приведённой выше формулы, необходимо размер основного платежа умножить на
количество прошедших периодов и всё это вычесть из общей суммы платежа.
= S - (b * n) ,
где n - количество прошедших периодов.
финансирование окупаемость дисконтирование кредит
7. Виды лизинговых платежей
Лизинговые компании предлагают клиентам разные схемы графиков расчета за
услуги финансовой аренды, основными из которых являются два типа - аннуитет и
регресс.
При ведении расчетов по графику аннуитета на протяжении срока действия
всего договора финансовой аренды клиенту предстоит выплачивать одинаковые
суммы. Такой вариант может быть удобен с точки зрения финансовых потоков
лизингополучателя.
Тем не менее, аннуитетный график выплат является самым дорогим для
клиента, поскольку равномерность выплат происходит за счет уменьшения оплаты по
погашению стоимости предмета договора в начале срока его действия при
максимальной величине лизинговых процентов.
По сути, при таком варианте платежей происходит перераспределение
погашения стоимости предмета сделки на конец документа, что приводит к
повышению общей суммы процентов по лизингу.
Если расчеты по финансовой аренде проводятся по графику типа регресс
(уменьшающийся график), то погашение стоимости арендованного имущества
производится в равномерных долях на протяжении всего срока действия сделки. При
этом проценты по лизингу больше в начале договора, когда задолженность по
имуществу наибольшая, и постепенно снижаются.
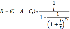
Расчет платежей по лизингу
По формуле аннуитета:

где:R -
сумма текущего лизингового платежа,
C - стоимость
передаваемого в лизинг имущества,
А
- авансовый платеж,
С0
- остаточная стоимость имущества,
t -
периодичность платежей в течении одного года,
i - лизинговый
процент,
P - срок
договора по лизингу.
(рассчитывается
без учета НДС)
Формула
расчета общей суммы лизинговых платежей:
ЛП
= АО + ПК + В+ДУ+ НДС
ЛП
- общая сумма лизинговых платежей;
АО
- амортизационные отчисления за расчетный год;
ПК
- плата за кредитные ресурсы, которые взял в банке лизингодатель на
приобретение предмета лизинга;
В
- вознаграждение лизингодателя за предоставленные услуги;
ДУ
- плата лизингодателю за дополнительные услуги лизингополучателю,
предусмотренные договором лизинга;
НДС
- налог на добавленную стоимость, уплачиваемый лизингополучателем по услугам
лизингодателя.
Финансирования
проектов в Новосибирске. Альфа-Банк
Таблица
5 Лизинг транспорта
|
Предмет лизинга
|
· легковые автомобили; · малый
грузовой коммерческий транспорт (грузоподъёмностью до 3,0 тонн); · автомобили грузовые (грузоподъёмностью свыше 3,0 тон); · пассажирские микроавтобусы; · автобусы; · железнодорожный подвижной и тяговый состав.
|
|
Валюта
|
· российские рубли; · доллары
США; · евро.
|
|
Сумма
|
От 3 000 000 (либо
эквивалент в другой валюте).
|
|
Срок
|
От 1 до 5 лет.
|
|
Аванс
|
От 15%.
|
|
Поручительства
|
Обязательно предоставление
поручительства основными собственниками бизнеса.
|
|
Порядок
|
ежемесячно равными
платежами;
|
|
Порядок погашения
|
· ежемесячно равными платежами; · убывающими платежами; · индивидуальный
график; · возможна отсрочка по погашению основного долга на
срок не более 6 месяцев.
|
Таблица 6 Лизинг спецтехники
|
Предмет лизинга
|
· cтроительная техника; · дорожно-строительная
техника, в том числе на колесах; · погрузчики и
складское оборудование; · спецтехника на колесах: o автомобили с фургонами изотермическими,
рефрижераторы, для хлеба, для мебели; o автомобили
с фургонами для одежды, для животных и т.п.; o автомобили
с цистернами (для жидких и сыпучих грузов); o контейнеровозы;
o автомобили со сменными (съемными) кузовами; o автомобили, оборудованные для перевозки длинномерных
грузов, оборудованные для перевозки строительных смесей и растворов; o тяжеловозы, панелевозы, блоковозы, фермовозы; o плитовозы, балковозы, автомобилевозы и т.д.
|
|
Валюта
|
· российские рубли; · доллары
США; · евро.
|
|
Сумма
|
От 3 000 000 (либо
эквивалент в другой валюте).
|
|
Срок
|
От 1 до 5 лет.
|
|
Аванс
|
От 20%.
|
|
Поручительства
|
Обязательно предоставление
поручительства основными собственниками бизнеса.
|
|
Порядок погашения
|
· ежемесячно равными платежами; · убывающими платежами; · индивидуальный
график; · возможна отсрочка по погашению основного долга на
срок не более 6 месяцев.
|
Таблица 7 Лизинг оборудования
|
Предмет лизинга· оборудование промышленности строительных материалов; · оборудование для производства мебели, столярных изделий, изделий из
древесины, ДСП; · металлообрабатывающее, фрезерное, кузнечно-прессовое
оборудование; · оборудование для производства текстиля, швейных
изделий, обуви, обработки кожи, меха; · оборудование для
производства и обработки пищевой, мясной, рыбной, молочной продукции; · холодильное оборудование; · оборудование
экструзионное, термопластавтоматы; · оборудование
полиграфическое; · оборудование для медицинского обслуживания,
производства медицинских препаратов, лабораторное оборудование; · оборудование общественного питания; · оборудование
предприятий бытового обслуживания; · складское
оборудование; · оборудование офисное, вычислительная техника,
средства факсимильной связи принтеры, серверы.
|
|
|
Валюта
|
· российские рубли; · доллары
США; · евро.
|
|
Сумма
|
От 3 000 000 (либо
эквивалент в другой валюте).
|
|
Срок
|
От 1 до 5 лет.
|
|
Аванс
|
От 25%.
|
|
Поручительства
|
Обязательно предоставление
поручительства основными собственниками бизнеса.
|
|
Порядок погашения
|
· ежемесячно равными платежами; · убывающими платежами; · индивидуальный
график; · возможна отсрочка по погашению основного долга на
срок не более 6 месяцев.
|
Таблица 8 Лизинг недвижимости
|
Предмет лизинга· представительский офис; · офис для
обслуживания клиентов; ·
склад для хранения сырья, готовой
продукции или товара; ·
помещение розничного магазина или
супермаркета; · здание мастерской; · производственный
цех.
|
|
|
Валюта
|
· российские рубли; · доллары
США; · евро.
|
|
Сумма
|
От 3 000 000 (либо
эквивалент в другой валюте).
|
|
Срок
|
До 10 лет.
|
|
Аванс
|
От 20%.
|
|
Поручительства
|
Обязательно предоставление
поручительства основными собственниками бизнеса.
|
|
Порядок погашения
|
· ежемесячно равными платежами; · убывающими платежами; · индивидуальный
график; · возможна отсрочка по погашению основного долга на
срок не более 6 месяцев.
|
Росбанк
Росбанк предлагает вам уникальные продукты для реализации ваших целей:
· кредит «Успешный старт» на создание бизнеса по франшизе “Tea Funny”
· кредит «Успешный опыт» на развитие бизнеса по франшизе “Tea
Funny”
Таблица 9
|
Параметры
|
Вы хотите открыть свой
бизнес? Кредит «Успешный старт»*
|
У вас уже есть существующий
бизнес, и вы хотите открыть новое бизнес-направление? Кредит «Успешный опыт»
|
|
Сумма кредита
|
От 100 000 руб. до 400 000
руб.
|
От 100 000 руб. до 1 500
000 руб.
Для добросовестных заемщиков Росбанка -
до 3 000 000 руб.
|
|
Собственные средства
|
Не менее 50% стоимости
проекта
|
Не требуются
|
|
Срок кредита
|
от 6 мес. до 3 лет
|
от 6 мес. до 3 лет
|
|
Процентная ставка
|
21,50% годовых
|
20,40% годовых
|
|
Комиссии
|
Комиссия за рассмотрение
сделки: 1000руб. единовременно
|
Без комиссий
|
|
Целевое использование
|
Приобретение оборудования
для организации работы кафе под маркой TeaFunny
|
Полное финансирование
проекта (покупка франшизы, приобретение оборудования, ремонт помещения,
товарный запас)
|
|
Залоговое обеспечение
|
Залог приобретаемого
оборудования
|
Без залога
|
|
Поручительство
|
Необходимо**
|
|
|
Отсрочка погашения
основного долга
|
3 месяца
|
Не предусмотрена
|
|
Возможность досрочного
погашения
|
Без штрафа и дополнительных
комиссий
|
Без штрафа и дополнительных
комиссий
|
Таблица 10 Кредиторы
|
Ф.И.
|
%
|
|
Чехонадский С.
|
30
|
|
Москвичёв А.
|
30
|
|
Рачковская И.
|
20
|
|
Кукушкина Ю.
|
20
|
Таблица 11 Госструктуры
|
ФИО
|
№ вопроса
|
|
Скулте Ф.
|
1 (региональная и
инвест.политика)
|
|
Санникова М. Семенова С.
|
2(программы господдержки)
|
|
Чуприна Е. Опивалов А.
|
3(налоги)
|
|
Сошкин В.
|
4(фонды НСО)
|
|
Итого:
|
|
Таблица 12 Руководители:
|
Студенты
|
Вклад в %
|
|
Жаркумбаев Амантай
|
14.28
|
|
Романов Данил
|
14.28
|
|
Минеев Влад
|
14.28
|
|
Суглобова Валя
|
14.28
|
|
Панченко Люда
|
14.28
|
|
Сидоренко Вика
|
14.28
|
|
Уварова Катя
|
14.28
|
|
Итого
|
100%
|