Модернизация телеграфного узла

  • Вид работы:
    Курсовая работа (т)
  • Предмет:
    Информатика, ВТ, телекоммуникации
  • Язык:
    Русский
    ,
    Формат файла:
    MS Word
    303,47 Кб
  • Опубликовано:
    2016-03-09
Вы можете узнать стоимость помощи в написании студенческой работы.
Помощь в написании работы, которую точно примут!

Модернизация телеграфного узла

ФЕДЕРАЛЬНОЕ АГЕНТСТВО СВЯЗИ

Федеральное государственное образовательное бюджетное учреждение

высшего профессионального образования

«Сибирский государственный университет телекоммуникаций и информатики»

Бурятский филиал

(БФ ФГОБУ ВПО СибГУТИ)





Курсовая работа

на тему: «Модернизация телеграфного узла»










Улан-Удэ - 2016 год.

1. Современное состояние документальной электросвязи

Министерством связи РФ не так давно была принята «Концепция развития документальной электросвязи», разработанная Ассоциацией Документальной Электросвязи. В Концепции сформулированы основные проблемы отрасли и отмечены основные тенденции ее развития. Концепцией предполагается проведение реформ, которые обеспечат переход от убыточного телеграфа, построенного на базе устаревшего оборудования к современной документальной электросвязи, сочетающей достоверность и надежность передачи информации с новыми информационными технологиями и видами услуг.

Основные направления технического развития документальной электросвязи:

Поддержание функционирования существующих телеграфных сетей и служб на уровне, необходимом для удовлетворения спроса на телеграфные услуги;

Создание и развитие новых общероссийских служб ДЭС;

Интеграция услуг документальной электросвязи.

Развитие ДЭС подразумевает замену оборудования, отвечающего за обработку сообщений, переход на цифровые каналы связи, оборудования оконечных пунктов автоматизированными рабочими местами (АРМ).

Несмотря на то, что телеграфная отрасль переживает сложные времена, в ней происходят качественные перемены. В настоящее время, практически все телеграфные аппараты в отделениях связи и у абонентов сети, заменены компьютерами, которые позволяют упростить и автоматизировать процессы передачи и приема телеграмм. Применение различных программ позволяет сделать рабочее место многофункциональным. Уменьшилось время прохождения телеграмм внутри сети благодаря автоматическим центрам коммутации сообщений (ЦКС). Улучшилось качество обслуживания на сети Телекс благодаря замене устаревших станций коммутации каналов, на электронные.

Развитие единой системы документальной электросвязи РФ стало возможным после разработки и внедрения современных технологий в области телекоммуникаций. В большинстве регионов созданы или создаются сети магистральных и внутризоновых цифровых каналов, ведутся работы по развертыванию сетей передачи данных. В ряде городов созданы городские сети передачи данных с использованием технологий Fast Ethernet, SDH и ATM.

В настоящее время в России налажен выпуск современного оборудования документальной электросвязи. Большинство выпускаемых телеграфных станций может использоваться в качестве:

центра коммутации сообщений в сети ОП;

станции сети АТ/Телекс;

концентратора телеграфных каналов;

шлюза АТ-50/Телекс - ОП;

шлюза АТ-50/Телекс - СПД КП (Х.25);

шлюза ОП - СПД КП (TCP/IP);

факс-шлюза;

шлюза сети электронной почты Х.400.

В составе станций поставляются АРМ, позволяющие выполнять функции управления станцией, тарификации, сбора статистики. Станции комплектуются модулями сопряжения с 2- и 4-проводными телеграфными окончаниями, с сетями Х.25 и TCP/IP.

Вместе со станцией может поставляться требуемое количество комплектов ПО АРМ для установки на ПК, используемые в качестве абонентских терминалов. Соответствующее ПО обеспечивает прием телеграмм и доставку телеграмм на факс-аппарат, телеграфный аппарат или e-mail абонента.

Наличие и развитие цифровых магистральных и внутризоновых каналов, корпоративных сетей передачи данных межрегиональных компаний и филиалов, современного станционного оборудования телеграфных узлов, унифицированных технологий передачи сообщений и других возможностей операторов, по общей оценке создают реальную базу по переводу телеграфного трафика России на технологии передачи данных в течение ближайших лет. Необходимо отметить, что на большинстве организованных в настоящее время системах тонального телеграфирования <file:///H:\%D0%9B%D0%B5%D0%B1%D0%B5%D0%B4%D1%8F%D0%BD%D1%86%D0%B5%D0%B2\S6.Html>, кроме обычной телеграфной нагрузки сети ТгОП и Телекс, работают телеграфные каналы, сдаваемые в аренду различным потребителям (в том числе и спецпотребителям). Для их работы (в ряде случаев) необходимы «прозрачные» (кодонезависимые) каналы, что не обеспечивается сетями передачи данных, которые работают по определенным протоколам (Х.25, IP и другим).

2. Оборудование телеграфной сети

.1 Станция СТИН-Э

электросвязь телеграфный сеть коммутационный

Первая станция телеграфная интегрированная электронная (СТИН-Э) - появилась 15 лет назад, однако, постоянно модернизируясь, она остается современной телеграфной станцией, поддерживающей все протоколы как ЦКС, так и станции коммутации каналов (СКК), а, так же, существующие к настоящему времени, протоколы ТСР/IP, UDP/IP, Х.25, Х28.

СТИН-Э предназначен для работы как ЦКС, так и СКК, в том числе одновременно. Включает в себя основной управляющий компьютер, компьютер горячего резерва, шлюз МПТХ-IP <file:///H:\%D0%9B%D0%B5%D0%B1%D0%B5%D0%B4%D1%8F%D0%BD%D1%86%D0%B5%D0%B2\S7.Html>, МПТ <file:///H:\%D0%9B%D0%B5%D0%B1%D0%B5%D0%B4%D1%8F%D0%BD%D1%86%D0%B5%D0%B2\S9.Html>, установленные как на центральном узле, так и в виде выносных модулей (МПТ-В). Работает как на телеграфной сети (МПТ или МПТВ), так и на сетях передачи данных (протокол TCP/IP, UDP/IP, X25, X28).

Рис.1 Организация связи с применением СТИН-Э.

Возможна любая комбинация из указанных выше транспортных сред для связи с оконечными пунктами сети КС, абонентами сети АТ/ТХ, смежными ЦКС и СКК любого типа.

МПТ-В (вынос) - выносной модуль МПТ станции СТИН-Э, предназначен для работы в качестве выносного концентратора телеграфных линий станции коммутации каналов и сообщений СТИН-Э.

Для передачи телеграфного трафика по сетям передачи данных, СТИН-Э снабжается шлюзом. Сначала это был шлюз МПТХ, работавший под управлением программы DOS. Теперь - МПТХ/IP. Новый шлюз поддерживает все протоколы старого, плюс работает по TCP/IP и UDP/IP.

Чтобы наиболее полно использовать преимущества работы по цифровым сетям, в комплект СТИН-Э входит автоматизированное рабочее место телеграфиста «ИРБИС», который работает в сопряжении с СТИН-Э как ГОС, РУС, абонент сети АТ, ОВТ, СБРОС и другие. Причем, на один «ИРБИС» можно назначать несколько разных рабочих мест одновременно. Автоматизированное рабочее место «ИРБИС» является многосекторным.

В режиме коммутации каналов СТИН-Э предоставляет абонентам АТ Телекс возможность выхода на сеть ОП для выдачи телеграмм и приема телеграмм с сети ОП.

Возможная емкость одной станции - от 16 т.п. до 1024 т.п. Для реализации емкости станции более 1024 т.п. её набирают из модулей емкостью до 1024 т.п. Поддерживает протоколы ОП сети КС любого типа. Производительность на сети КС - до 1200000 тлг./сут. (до 50000 тлг./час.).

Рис.2. Внешний вид СТИН-Э

2.2 Комплекс ТК-АТ-600

Объективные тенденции перехода на скоростные сети передачи данных не могут не затронуть и телеграф. Это связано с тем, что обслуживание старых кабельных коммуникаций, оборудования тонального телеграфа становится нерентабельным, а также возникают трудности с ремонтом. Наряду с этим повсеместно идет развитие сетей передачи данных и практически в каждом населенном пункте уже имеется точка входа в региональную мультисервисную сеть. Именно ресурсы таких сетей в настоящее время наиболее целесообразно использовать для передачи телеграфного трафика. Телеграфный комплекс АЛЬФА ТЕЛЕКС 600, ТУ 6655-040-40713833-97, предназначен для работы в качестве:

- центра коммутации сообщений в сети ТГОП;

станции или подстанции национальной сети АТ/Телекс.

Телеграфный комплекс ТК-АТ-600 производства НПО «Альфа-Телекс» изначально проектировался как распределенная система. Каждое телеграфное окончание представляет собой микропроцессорный модуль, который берет на себя первичную обработку телеграфного сигнала с линии. Телеграфные модули (платы телеграфных окончаний 4-х проводные, 2-х проводные) устанавливаются в блоки АТК-АТ. Блок АТК-АТ подключается к серверу доступа «Альфа-Линк-ММ2000» производства научно-производственного объединения (НПО) «Альфа-Телекс».

Блок АТК-АТ совместно с сервером доступа представляет собой универсальный выносной комплект для организации распределенной телеграфной сети. Для малоканальных выносов вместо блока АТК-АТ используется блок АТК-М(8) на восемь или на четыре телеграфных окончания. Сервер доступа «Альфа-Линк-ММ2000» подключается к сети передачи данных. Возможны различные способы подключения:

. Подключение по порту Ethernet. В этом случае используется сервис VPN\MPLS сети передачи данных.

. Подключение по порту V.35. Потоки данных маршрутизируются оборудованием сети передачи данных. Со стороны станции ТК-АТ-600 устанавливается один или несколько серверов «Альфа-Линк-ММ2000». Сервер к станции подключается по порту Ethernet, к сети передачи данных по порту V.35. Каждый сервер «Альфа-Линк-ММ2000» со стороны станции может обслужить до 32-х выносных блоков АТК.

. Подключение по порту E1. Для обслуживания каждого выносного блока АТК достаточно одного канального интервала потока Е1. Если оборудование сети передачи данных снабжено функциями DXC, то в каждый выносной сервер «Альфа-Линк-ММ2000» устанавливается одна плата Е1. Настройкой  сервера устанавливается, какой именно канальный интервал используется на данном выносе. Если необходимо, то сервер «Альфа-Линк-ММ2000» может сам выделить нужный тайм-слот, а остальной поток Е1 отдать в сеть. Такое решение, например, успешно реализовано в Брянске, где в потоке Е1 один тайм-слот обслуживает телеграфный вынос, а остальные передаются на телефонную подстанцию.

Достаточно интересным представляется решение, когда по сети передачи данных выносятся виртуальные телеграфные оконечные пункты. Со стороны станции это поддерживается программным обеспечением Виртуального Модемного Пула (ВМП). В отделении связи, которое подключено к ведомственной сети передачи данных устанавливается компьютер с программным обеспечением Wintelex-IP. Также на этом компьютере могут быть установлены специализированные автоматизированные рабочие места (АРМы): АРМ узла связи, АРМ приема-доставки телеграмм. При этом физические телеграфные каналы вообще не используются. Все эти технические решения реализованы и успешно эксплуатируются.

Программное обеспечение комплекса ТК-АТ-600 позволяет организовывать выделенные (некоммутируемые) каналы между двумя любыми точками станции. Такое решение в сочетании с выносными блоками позволяет использовать комплекс ТК-АТ-600 как каналообразующее оборудование, заменяющее аппаратуру ТТ. Таким образом, проблема перевода телеграфных каналов на сеть передачи данных решена в Нижегородской области. Телеграфные каналы станции заведены на блоки АТК АТ, установленные в самом Нижнем Новгороде, а выносные блоки разнесены по райцентрам области.

Для настройки и контроля соединений, графического отображения соединений, обновления программного обеспечения разработана и поставляется программа «Мониторинга и управления соединениями».

На базе серверов «Альфа - Линк ММ2000» решена проблема передачи по СПД кодонезависимых телеграфных каналов (0-200 бод) для спецпотребителей. Специальные интерфейсные модули S1TG устанавливаются в слоты расширения сервера «Альфа - Линк ММ2000» (до 4-х единиц). В сеть передачи данных сервера включаются по интерфейсу Ethernet.

Завершено проектирование нового класса оборудования, включающего IP-маршрутизатор, цифровой коммутатор, аналоговые порты С1ТГ и 4-х проводные ТЧ каналы, модуль цифровой обработки аналоговых сигналов для работы в протоколе ТТ-144. Это оборудование масштабируемо, гибко наращивается и обеспечивает обработку до 3000 телеграфных каналов.

.        Комплекс «Телесофт-2000»

Совсем недавно стали эксплуатироваться комплексы «Телесофт-2000». Данные телеграфные комплексы предназначены для работы в качестве центра коммутации сообщений (ЦКС) в телеграфной сети общего пользования.

Модульная структура комплексов позволяет создавать любую их конфигурацию: от самой простой - несколько линий и без маршрутизации, до сложной - на 96 линий и развитой схемой автоматической маршрутизации и индексации. Кратко рассмотрим модули комплекса:

- коммуникационный сервер;

рабочее место оператора (РМО);

архиватор;

сервер локальных каналов;

автоиндексатор;

маршрутизатор;

ручной индексатор;

администратор комплекса;

ряд вспомогательных модулей (конвертор, модуль статистики,      редактор МИ).

Имеется опыт «закольцовывания» комплексов «Телесофт-2000»  в пределах одного объединенного узла связи. Таким образом, при выходе из строя телеграфных каналов с ЦКС одного из районов, вся нагрузка этого района перенаправляется по исправным каналам другого района. Районы закольцованы по дополнительным линиям, работающим по IP протоколу. В связи с таким решением значительно повышается живучесть телеграфной сети УЭС.

Использование в комплексах продуманной системы архивации телеграмм позволяет восстанавливать базу данных без потерь при любых сбоях в системе.

. Центр коммутации сообщений ЦКС-Х

Телеграфные комплексы ЦКС-Х производства отдела Автоматизации Информационных Технологий Хабаровской телефонно-телеграфной станции, предназначены для работы в качестве центра коммутации сообщений (ЦКС) в телеграфной сети общего пользования.

Комплекс ЦКС-Х не особо отличается от выше описанных, интересным представляется взаимодействие между центрами коммутации сообщений, а также между ЦКС и оконечными пунктами (ОП) телеграфной сети общего пользования через сети передачи данных с протоколами группы IP. Взаимодействие обеспечивается при помощи шлюза TCP/IP, входящего в состав ЦКС-Х.

В каждой паре взаимодействующих ЦКС по согласованию администраций устанавливаются на одном МД (модуле доступа) режим «пассивный», а на другом МД режим «активный». ЦКС, находящийся в режиме «пассивный», после запуска или обрыва связи открывает TCP-порт, указанный в конфигурации, и находится в ожидании соединения от «активного». ЦКС или ОП, находящийся в режиме «активный», после запуска или обрыва связи осуществляет попытки вызова «пассивного» по адресу и порту, указанному в конфигурации. Идентификация «пассивным» вызывающего его «активного» производится по IP-адресу «активного». Таким образом, по одному TCP-порту, находящемуся в состоянии ожидания соединения, «пассивным» ЦКС может обслуживать большое количество «активных» ЦКС и ОП. Использование протокола TCP/IP совместно с протоколами ЦКС-ЦКС и ЦКС-ОП обеспечивает гарантированную доставку телеграмм.

Взаимодействие осуществляется потоком символов. С точки зрения ЦКС соединение представляет собой некоммутируемый канал с протоколом ЦКС-ЦКС или ЦКС-ОП. Каждый символ представляет собой байт в кодировке CP866. При передаче символов из разных алфавитов наличие символов смены регистра не требуется. При необходимости дальнейшей передачи знаков в коде МТК-2 шлюз должен добавить недостающие символы смены регистра. Уже полученные символы смены регистра шлюз должен сохранить без изменений.

Основное достоинство алгоритма - простота реализации протокола обмена, так как для обеспечения гарантии доставки используются штатные механизмы операционной системы. Перечисленные выше телеграфные комплексы отвечают многим современным требования, но не имеют собственной каналообразующей аппаратуры и не все содержат автоматические рабочие места (АРМы). Этим выгодно отличается ТКС «Вектор-2000»

3. Телеграфный коммутационный сервер (ТКС) «Вектор-2000»

.1 Назначение и область применения ТКС «Вектор-2000»

В последнее время перед организациями, эксплуатирующими

телеграфное коммутационное и каналообразующее оборудование встает вопрос об их модернизации, которая позволила бы перейти на новые сетевые технологии, расширить спектр предоставляемых услуг документальной связи, повысить качество обслуживания пользователей и одновременно сократить эксплуатационные расходы.

Для проведения подобной модернизации необходимы современные, компактные технические решения, поддерживающие работу по различным транспортным сетям и обеспечивающие интеграцию служб электросвязи. Одним из таких решений является телеграфный коммутационный сервер (ТКС) “Вектор-2000”, разработанный московской компанией ЛИнТех (Лаборатория информационных технологий).

ТКС “Вектор-2000” представляет  собой интегрированное решение, включающее коммутационное, каналообразующее, абонентское оборудование и программное обеспечение, которое позволяет производить комплексную реконструкцию узлов и служб телеграфной (документальной) связи. При этом комплекс может функционировать на существующих сетях телеграфной связи, основанных на использовании выделенных каналов, а также на цифровых каналах, используя преимущества современных мультисервисных сетей. Введение в эксплуатацию ТКС “Вектор-2000” не требует замены оборудования на смежных узлах. Это позволяет производить постепенную замену устаревшего оборудования. Так же ТКС «Вектор-2000» предоставляет кодонезависимые каналы. Это позволит полностью заменить существующий парк устаревшего каналообразующего оборудования.

ТКС “Вектор-2000” предназначен для использования:

- на объединенной сети АТ/Телекс РФ;

телеграфной сети общего пользования ССОП РФ;

в ведомственных телеграфных сетях;

На предприятиях и в организациях, в качестве многофункционального шлюза с выходом на телеграфные сети по физическим каналам или посредством IP-сети.

ТКС “Вектор-2000”позволяет производить:

- работу по четырех- и двухпроводным телеграфным каналам;

работу по каналам ТЧ с поддержкой любого типа аппаратуры тонального телеграфирования (ТТ-144, ТТ-17, П-327 и так далее);

работу по каналам ТЧ с использованием части пропускной способности канала под передачу телефонного сигнала;

организацию неограниченного числа виртуальных телеграфных каналов поверх IP-сети;

логическую коммутацию любых телеграфных каналов;

организацию транзитных связей между каналами любых типов;

документирование (ведение журналов) соединений и повреждений;

формирование различных форм статистической отчетности.

ТКС “Вектор-2000” построен по модульному принципу и допускает возможность масштабирования за счет увеличения (уменьшения) числа модулей как в пределах конструктивных возможностей стойки, так и за счет комплексирования двух и более ТКС “Вектор-2000”, объединенных общей Ethernet-сетью.

По практике использования ТКС “Вектор-2000” в сетях передачи  данных с протоколом группы IP (IP-сети) можно сказать следующее:

- полностью решены проблемы организации межстанционных каналов связи (включая каналы специальной связи);

ряд абонентов (в том числе и специальных) отказались от физических телеграфных каналов, и перешли на работу исключительно по IP-сети средствами IP-телеграфии;

удалось существенно расширить спектр предоставляемых услуг (WEB-доступ в Internet и Intranet, интеграция с факсимильными системами и системами электронной почты), что позволило существенно увеличить абонентскую базу.

Использование ТКС «Вектор-2000» дает возможность решить вопросы постепенной замены устаревшего каналообразующего оборудования и предоставления кодонезависимых каналов для арендаторов. Различная комплектация, в зависимости от уже существующего оборудования на узлах, позволяет производить гибкую модернизацию телеграфных узлов без дополнительных затрат.

Таким образом, сегодня есть много технических решений для модернизации устаревшего оборудования, и есть предпосылки для предоставления новых услуг.

3.2 Применение ТКС «Вектор-2000» в сетях ДЭС

ТКС «Вектор-2000» предназначен для использования в узлах ведомственной документальной телеграфной связи и в телеграфных сетях общего пользования в качестве коммутирующей и каналообразующей аппаратуры с возможностью интеграции в мультисервисные цифровые сети (IP-сеть) передачи данных.

ТКС «Вектор-2000» разработан для применения в сети телеграфной документальной связи с целью замены на узлах связи устаревшего и физически изношенного оборудования телеграфных станций, телеграфных кроссов, аппаратуры тонального телеграфирования и поэтапной интеграции телеграфной документальной связи в IP-сеть. ТСК «Вектор-2000» может применяться в сетях телеграфной документальной связи Министерства Путей Сообщений Российской Федерации (МПС РФ), других ведомств, а также в сетях АТ/ТХ общего пользования. При этом аппаратура ТКС может полностью заменить все коммутационное и каналообразующее оборудование узлов телеграфной связи.

Аппаратура ТКС «Вектор-2000» обладает широкими возможностями масштабирования, как в пределах одного устройства (стойки или блоков настольного исполнения), так и за счет возможности наращивания числа коммутируемых каналов за счет соединения нескольких устройств, объединяемых общей Ethernet сетью.

Применение в качестве базового протокола связи ТСР/IP допускает размещение стоек (блоков) ТКС не только в одном помещении, но и на значительном удалении друг от друга.

ТКС "Вектор-2000" выполняет функции:

-  станции коммутации каналов (СКК);

 центра коммутации сообщений (ЦКС);

 каналообразующей аппаратуры (КОА);

 вынесенной емкости станции (Вынос);

 системы автоматической обработки внекатегорийных телеграмм (САОВТ);

 межсетевого шлюза с сетями передачи данных (Шлюз СПД);

 межсетевого шлюза доступа в сети Internet/Intranet (WEB-доступ);

 контрольно-оценочного оборудования, включая функции СОРМ (КОО).

ТКС "Вектор-2000" сертифицирован в полном объеме, включая функции коммутации каналов, коммутации сообщений, каналообразующего оборудования, технологий IP-телеграфии, организации межсетевых шлюзов с СПД. Сертификаты Минсвязи РФ подтверждают соответствие ТКС "Вектор-2000" требованиям отраслевых стандартов, предъявляемым к станциям уровня РМЦ (Региональный Международный Центр) объединенной сети АТ/Телекс, региональным и областным центрам коммутации сообщений сети ССОП и телеграфной каналообразующей аппаратуре.

3.3 Общая структурная схема Блока коммутации телеграфных каналов

Общая структурная схема БКТК представлена на рисунке 3.

Подключение к ТКС "Вектор-2000" физических двухполюсных (четырехпроводных) телеграфных линий осуществляется посредством интеллектуальных встраиваемых телеграфных адаптеров ВТГА-2П-16 (16 каналов). Для подключения однополюсных (двухпроводных) телеграфных линий используются конверторы телеграфных линий КТЛ (1 канал) и КТЛ-8 (8 каналов), объединяющиеся в блоки (БКТЛ).

Для реализации функций каналообразования существуют специализированные встраиваемые контроллеры с цифровой обработкой сигналов ВКТТ-8 (8 каналов ТЧ), способные поддерживать протоколы взаимодействия со всем парком применяемого в  настоящее  время  оборудования  тонального телеграфирования (ТТ-144, ТТ-48, ТТ-24, П-327, П-318, и тому подобные).

Это означает, что замена каналообразующей аппаратуры на реконструируемом узле телеграфной связи не приводит к необходимости одновременной замены оборудования на смежных узлах.

Встраиваемые телеграфные адаптеры ВТГА и контроллеры каналообразования ВКТТ устанавливаются на стандартные шины ISA или PCI (в зависимости от исполнения) в Блок Коммутации Телеграфных Каналов (БКТК), основой которого служит компьютер (сервер) в промышленном или офисном исполнении.

Для оперативного отображения обобщенной информации о состоянии БКТК и каналов (линий) связи, каждый блок может комплектоваться (по требованию заказчика) вынесенной интеллектуальной индикационной панелью, подключаемой к БКТК через коммуникационный порт (RS-232 интерфейс).

Индикационная панель позволяет, с расположенной на ней же клавиатуры, вводить команды управления и получать необходимые данные на информационном поле.

Для крупных и средних узлов связи, где необходимо обеспечить

большое количество точек подключения физических телеграфных линий и каналов ТЧ, в качестве БКТК используются промышленные компьютеры с возможностью установки до 14 адаптеров ВТГА и контроллеров ВКТТ. В этом случае один БКТК обеспечивает подключение до 224 физических телеграфных линий или до 112 каналов (систем) ТЧ, либо - комбинированное количество каналов/линий в соответствии с числом установленных адаптеров и контроллеров.

Дальнейшее увеличение емкости сервера производится за счет объединения нескольких БКТК с установленными контроллерами ВТГА и ВКТТ в коммутационную систему. Максимальное количество БКТК в коммутационной системе, а соответственно и максимальная емкость ТКС "Вектор-2000" практически не ограничена.

Рис.3. Структурная схема коммутационного блока (БКТК) ТКС «ВЕКТОР-2000»

Объединение БКТК, а также прочего оборудования ТКС «Вектор-2000» осуществляется посредством технологического сегмента (Fast Ethernet 10/100Mb) локальной вычислительной сети (ЛВС).

При организации горячего резервирования в составе оборудования ТКС «Вектор-2000» используется два идентичных комплекта БКТК - основной и резервный, способные переключаться, как в ручном режиме по команде администратора, так и в автоматическом режиме при обнаружении аварийных ситуаций. Переключение может производиться между двумя выбранными парными блоками основного и резервного комплекта, не затрагивая остальные БКТК коммутационной системы.

Гарантированное электропитание комплекса обеспечивается комплектацией ТКС "Вектор-2000" (по требованию заказчика) источниками бесперебойного питания (ИБП) с двойным преобразованием напряжения.

Для монтажа кабельной системы в составе комплекса ТКС «Вектор-2000» используется кросс фирмы "Krone".

Оборудование ТКС "Вектор-2000" (БКТК, функциональные модули, дополнительные сервера, оборудование технологического сегмента локальной вычислительной сети, индикационные панели, источники бесперебойного питания, кросс) устанавливается в стандартных телекоммуникационных девятнадцатидюймовых шкафах. В большинстве случаев достаточно одного шкафа для размещения всего оборудования комплекса.

3.4 Коммутационная система

Коммутационная система ТКС "Вектор-2000" состоит из БКТК объединенных технологической локальной вычислительной сетью и функционирующих под управлением отказоустойчивой серверной операционной системы (ОС) Linux. Коммутация каналов, организация шлюзов с СПД и сбор статистических данных обеспечивается специализированным программным обеспечением (ПО), разработанным и поддерживаемым специалистами компании "ЛИнТех". Для хранения баз данных по конфигурации БКТК, статистическим и тарифным данным используется SQL-сервер.

При большой и средней емкости коммутационной системы SQL-сервер размещается (по требованию заказчика) на отдельном резервированном компьютере, оснащенном дисковыми RAID массивами.

3.5 Автоматизированное рабочее место «Администратор»

ТКС «Вектор-2000» обеспечивает автономный круглосуточный режим работы, без участия обслуживающего персонала. Эксплуатационно-техническое обслуживание и управление работой ТКС осуществляется с рабочего места АРМ Администратора/Техника, организуемого в основном на базе ПК.

Все операции по конфигурированию комплекса, настройке каналов, выполнению контрольно-оценочных функций, обработке статистических и тарифных данных осуществляется с помощью вынесенного автоматизированного рабочего места (АРМ) "Администратор".

АРМ "Администратор" выполнен на базе персонального компьютера в офисном исполнении под управлением ОС Windows 9X/ME/NT/2000/XP, подключенного к технологическому сегменту локальной вычислительной сети сервера. Для простоты и удобства обслуживания ТКС "Вектор-2000" в АРМ "Администратор" реализован дружелюбный (интуитивно понятный) пользовательский графический интерфейс, способствующий быстрому обучению обслуживающего персонала. При необходимости для одного ТКС "Вектор-2000" может устанавливаться несколько АРМ "Администратора", как полнофункциональных, так и специализированных, ориентированных на выполнение конкретных задач (например, только для выполнения контрольно-оценочных функций). Специализация АРМов "Администратора" достигается путем введения разграничений по функциям управления и может быть выполнена эксплуатационно-техническим персоналом в соответствии с его пожеланиями.

Кроме АРМ Администратора/Техника, в шкафу ТКС «Вектор» имеется ИП, позволяющая визуально следить за работой сервера, а также осуществлять эксплуатационно-техническое обслуживание и управление работой ТКС.

4. Практическая часть

Задание на курсовую работу.

Необходимо осуществить модернизацию телеграфного узла на базе устаревшей, громоздкой и энергоемкой телеграфной каналообразующей аппаратуры (КОА), коммутационного оборудования СТИН-Э на Телеграфный Коммутационный Сервер «Вектор-2000».

.        Исходные данные.

Таблица 1. Количество исходящих телеграмм от ОП.

Таблица 2. Количество входящих телеграмм к ОП.

Вариант 046 ОП Исходящие  РУС-1 750  РУС-2 240  РУС-3 700  РУС-4 220  РУС-5 480  РУС-6 410  РУС-7 180  РУС-8 260  РУС-9 102  РУС-10 410  РУС-11 170  РУС-12 180  РУС-13 800  РУС-14 312  РУС-15 220  РУС-16 216  РУС-17 320  РУС-18 520  РУС-19 420  РУС-20 450  РУС-21 120  РУС-22 395  РУС-23 352  РУС-24 115  Обл. УС 2700 

Вариант 046 ОП Входящие  РУС-1 400  РУС-2 580  РУС-3 300  РУС-4 390  РУС-5 140  РУС-6 480  РУС-7 200  РУС-8 150  РУС-9 590  РУС-10 250  РУС-11 200  РУС-12 350  РУС-13 395  РУС-14 190  РУС-15 1000  РУС-16 330  РУС-17 450  РУС-18 410  РУС-19 130  РУС-20 400  РУС-21 330  РУС-22 240  РУС-23 400  РУС-24 400  Обл.УС 2450 


Расчет курсовой работы.

При расчете будем учитывать:

.        Надбавочный коэффициент, предназначенный для приведения

суточной нагрузки к нагрузке наиболее нагруженных суток неделе Нс=1,44;

.        Надбавочный коэффициент, предназначенный для приведения

месячной нагрузки к нагрузке месяца наибольшей нагрузки год Нм=1,44;

.        Доля внутризонового обмена Квз=0,34;

.        Коэффициент неиндексированной нагрузки Кнеин=0,3;

.        Коэффициент, учитывающий надбавку к нагрузке за счет передачи

по сети запросов и справок Кспр=1,1;

.        Коэффициент концентрации нагрузки в ЧНН КЧНН=0,1;

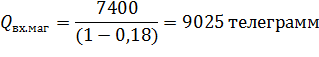
.        Коэффициент магистрального транзита βм= [0,18];

.        Удельное значение интенсивности нагрузки в ЧНН для абонентов сети АТ/Телекс Уат=0,2 Эрл. Количество абонентов сети АТ/Телекс равно 50

4.1 Расчет потоков телеграфного узла для сети ОП

Расчет исходящего и входящего обменов от ОП по формулам.


где, N - количество оконечных пунктов;

 () - исходящий (входящий) обмен i - го пункта.

Согласно данных произведем расчет исходящего обмена по формуле (1).

Исходящий обмен составляет 11042 телеграмм.

Аналогично произведем расчет входящего обмена по формуле (2)

Входящий обмен составляет 11155 телеграмм.

4.2 Расчет обмена от ОП на магистральные каналы


где, Квз - доля внутризонового обмена.

Произведем расчет обмена от оконечных пунктов на магистральные каналы по формуле (3).


4.3 Расчет обмена от магистральных связей на ОП


Произведем расчет обмена от магистральных связей на оконечные пункты согласно по формуле (4):


4.4 Расчет обмена с магистральных связей на телеграфный узел


где, βм - коэффициент магистрального транзита.

Произведем расчет обмена с магистральных связей на телеграфный узел по формуле (5):


4.5 Расчет обмена от узла связи, на магистральные связи


где, βм - коэффициент магистрального транзита.

Произведем расчет обмена от узла связи на магистральные связи по формуле (6):


4.6 Расчет числа каналов к оконечным пунктам

Рассчитаем число каналов к оконечным пунктам, с учетом, что линии к оконечным пунктам работают в режиме одновременной двухсторонней передачи (ОДП) по формуле:


где, Qисх - расчетный суточный обмен, исходящий от i-го ОП;

Спер - норматив по передаче телеграмм, Спер=75 (тлг/час).

Расчетный суточный обмен рассчитывается по формуле:


где, Qисхi - заданный исходящий обмен от i-го ОП;

Нс=1,44 - надбавочный коэффициент, предназначенный для приведения суточной нагрузки к нагрузке наиболее загруженных суток недели; Нм=1,44 - надбавочный коэффициент, предназначен для приведения месячной нагрузке к нагрузке месяца наибольшей нагрузке года;

Кспр=1,1 коэффициент, учитывающий надбавку к нагрузке за счёт передачи по сети запросов и справок.

Число входящих линий рассчитывается по формуле:


где, η - коэффициент использования канала в ЧНН, равный 0,7;

t - время, затраченное на передачу одной телеграммы из телеграфного узла, в среднем оно составляет 45 секунд.

Qвхi - рассчитывается аналогично Qисхi


Необходимое число линий к ОП определяется как максимум от Nисх и Nвх max {Nисх; Nвх}.

Произведем расчеты для районных узлов связи и областного УС, результаты решения приведем в таблице 3.

Таблица 3. Число линий к ОП.

№ п/п

Наименование ОП

Заданный суточный обмен (тлг)

Расчетный суточный обмен (тлг)

Расчетное число линий

Необходимое число линий



Исх

Вх

Исх

Вх

Nисх

Nвх


1

2

3

4

5

6

7

8

9

1.

РУС-1

750

400

1711

912

0,97

1,63

2

2.

РУС-2

240

580

548

1323

0,71

2,36

3

3.

РУС-3

700

300

1597

685

2,07

1,22

3

4.

РУС-4

220

390

502

890

0,65

1,59

2

5.

РУС-5

480

140

1095

320

1,42

0,23

2

6.

РУС-6

410

480

936

1095

1,22

1,95

2

7.

РУС-7

180

200

411

457

0,53

0,82

1

8.

РУС-8

260

150

594

343

0,77

0,61

1

9.

РУС-9

102

590

233

1346

0,31

2,41

3

10.

РУС-10

410

250

936

571

1,22

1,02

2

11.

РУС-11

170

200

389

457

0,51

0,60

1

12.

РУС-12

180

350

410

799

0,53

1,43

2

13.

РУС-13

800

1825

901

2,37

1,61

3

14.

РУС-14

312

190

712

434

0,93

0,77

1

15.

РУС-15

220

1000

502

2281

0,61

4,07

5

16.

РУС-16

216

330

493

753

0,64

1,34

2

17.

РУС-17

320

450

730

1027

0,95

1,83

2

18.

РУС-18

520

410

1187

936

1,54

1,67

2

19.

РУС-19

420

130

958

297

1,25

0,41

2

20.

РУС-20

450

400

1027

913

1,34

1,63

2

21.

РУС-21

120

330

274

753

0,36

1,34

2

22.

РУС-22

395

240

901

548

1,17

0,98

2

23.

РУС-23

352

400

803

913

1,04

1,64

2

24.

РУС-24

115

400

263

913

0,34

1,64

2

25.

Областной УС

2700

2450

6159

5589

8,006

9,98

10

ИТОГО:

61



4.7 Расчет числа магистральных каналов

Число магистральных каналов рассчитывается по формулам:


Рассчитаем число магистральных каналов по формуле (11):

.8.Расчет количества каналов категории АТ/Телекс

Нагрузка на магистральных направлениях рассчитывается с учетом того, что коэффициент внутриобластного обмена АТ/Телекс не превышает 5% и рассчитывается по формуле:


где, Yаб - удельное значение интенсивности нагрузки в ЧНН для

абонентов сети АТ/Телекс. Так как количество абонентов АТ/Телекс равно 50, то:

Число линий определяется по таблице Пальма, при P=0,01.

Согласно таблице число линий составляет 24.

Рассчитав количество потоков исходящего и входящего обмена числа линий к ОП, числа магистральных каналов, количество каналов к абонентским установкам перейдем к определению и расчету количества блоков ТКС «Вектор-2000».

5. Определение конфигурации ТКС «Вектор-2000»

Для расчета числа и вида блоков используем формулу для подсчета числа точек подключения:


где, Nцкс - количество каналов ЦКС, составляет ⅟4 часть от Nоп

где, Nсфку - система функций контроля и управления - это стандартизованное число 4:

Автоматизированное рабочее место «Администратор»

Автоматизированное рабочее место « Мониторинг событий»

Автоматизированное рабочее место модуля ЦКС от (1 до 8)

Автоматизированное рабочее место для IP - телеграфирования.

При расчете Nсфку следует учитывать Nрмит

где, Nрмит - количество рабочих мест по индексации телеграмм:


Рассчитаем количество рабочих мест по индексации телеграмм согласно формуле (15)

Согласно формуле (14), число основных точек подключения составит:

Итак, основных телеграфных точек подключения: 141.

Сюда входят абоненты станции Телекс, включенные непосредственно в станцию без каналообразующего оборудования, связи ЦКС, требующие непосредственного подключения к ТГ окончаниям «Вектор-2000», связи ЦКС, требующие непосредственного подключения к ТГ окончаниям «Вектор-2000» согласно инструкции при остановке ЦКС.

Дополнительные телеграфные точки подключения «Вектор-2000» в режиме каналообразующего оборудования:

.        Оконечные РМ ЦКС в РУС - 24;

.        Смежные ЦКС - 62;

.        Точки - ОП (магистрали) - 12;

.        Шлюз REX-400 - 2;

.        Бесплатная связь - 2;

.        УУС служебная связь - 13;

.        Рабочие места - 8.

Итого дополнительных точек подключения: 123.

Всего телеграфных точек подключения: 123+146=269

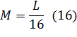
5.1 Определение количества телеграфных окончаний

Требуемое количество основных адаптеров - М типа ВТГА

определяется по формуле:


где, L - количество физических каналов, подключенных к данному узлу.

Согласно формуле (16) произведем расчет:

Количество необходимых модулей ВТГА - 17.

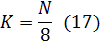
5.2 Определение количества окончаний ТЧ (ВКТТ)

Требуемое количество основных контроллеров - К типа ВКТТ-8 определяется по формуле:


где, N - количество каналов ТЧ, подключаемых к узлу.

С учетом того, что емкость ВКТТ составляет 8 точек подключения, необходимая потребность в модулях ВКТТ согласно формуле (17):

Количество необходимых модулей ВКТТ - 16 модулей.

5.3 Определение количества выносов для внутризонового участка

На всех направлениях количество задействованных каналов не превышает 16-ти (емкость модуля ВТГА). На каждом направлении достаточно установки одного выноса с одним модулем ВТГА. Подключение выносов к ТКС «Вектор-2000» производится через корпоративную сеть передачи данных с использованием технологии IP over Ethernet с организацией VLAN до оборудования ТКС. Потребность в выносных модулях для внутризоновых связей составит.

5.4 Спецификация оборудования ТКС «Вектор-2000» для реконструкции телеграфного узла

С учетом анализа количества телеграфных окончаний, количества потребности в точках подключения ТЧ, количества удаленных выносов для городского участка и организации основного узла спецификация оборудования ТКС Вектор-2000 для реконструкции телеграфного узла приведена в таблицах 4., 5. и 6. Спецификация оборудования составляет СКК+КОА 100%-е горячее резервирование, 137 ТЧ точек подключения, 160 четырехпроводных ТГ точек подключения, 4 управляющих рабочих места, 7 лицензий АРМТ «Вектор-32W.IP».

Спецификация оборудования для выносов представлена в таблице 5. Она представляет 32 выноса КОА ТКС «Вектор-2000» без резервирования, стык с центральным узлом по IP без учета монтажных работ с комплектацией UPS класса Back-UPS 500, оборудование администрирования выносов КОА ТКС «Вектор-2000».

Спецификация оборудования.

Таблица 4. Спецификация ТКС «Вектор-2000»

Наименование

Количество

База блока коммутации каналов, промышленное исполнение (шасси 4U 19" IPC-615, процессорная плата NuPro-760LV, Intel Celeron 1200, Cooler, HDD 40Gb, FDD 3,5”, DIMM 256Mb SDRAM PC133)

6

Коммуникационный модуль на 16 двухполюсных физических телеграфных каналов ВТГА-2П-16

24

Коммуникационный модуль вторичного уплотнения каналов ТТ на 8 четырехпроводных канала ТЧ ВКТТ-8

16

Базовое ПО БКТК ТКС "Вектор-2000"

6

ПО АРМ Администратора

5

Электронный ключ Guardant Fidus АРМ Администратора/Техника

5

АРМТ "Вектор-24W.IP". Поддержка виртуальных каналов TelexOverIP

7

Блок общестанционной аварийной сигнализации

1

Патч-панель Nexans на 24 порта, неэкранированная UTP, aрт. N-500.101

1

Коммутатор 3Com SuperStack 3 Baseline 10/100 Switch 16 портов

1

Шкаф серверный 42HU в составе:

Шкаф коммуникационный Риттал 42EB 800x2000x800мм. Арт. 7830.200

1

Профиль заземления (заземляющая шина) aрт.7113.000

2

Вентиляционная панель DK для шкафа 800х800на 6 вентил (2 вентил. В комплекте). Арт. 7988.035

1

Дополнительный вентилятор. Арт. 7980.000

4

Кроссовое оборудование:

Krone плинт с нормально замкнутыми контактами LSA-PROFIL Арт. 6089.1.121-06.

120

Krone плинт заземления LSA-PROFILE 2/34, арт.  6089.1.130-01

2

Каркасная рама PROFIL/ 24ЕВ на 740 пар, 19" L= 925 мм, арт. 6569 2 003-93

2

Krone контрольный шнур 2/4 Арт. 6624.2.541-00

17

Патч-корд для подключения каналов C1-ТГ

24

Система гарантированного электропитания:

Источник бесперебойного питания Liebert UPStation GXT2-3000RT

2

Источник питания постоянного тока 24В TIS300-124RED, 300 Вт

4

Блок преобразователя напряжения ~220В/12В

2

ЗИП:

Коммуникационный модуль  на 16 двухполюсных физических телеграфных каналов ВТГА-2П-16

4

Коммуникационный модуль вторичного уплотнения каналов ТТ на 8 четырехпроводных канала ТЧ ВКТТ-8

8

Модуль двухпроводных переходных устройств КТЛ-2

2

Krone универсальный сенсорный инструмент Арт. 6417 2 055-01

1

Персональные компьютеры автоматизированных рабочих мест:

Компьютер рабочего места администратора/техника

5


Таблица 5. Спецификация оборудования выносов КОА ТКС «Вектор-2000»

Наименование

Количество

1 База блока коммутации каналов, офисное исполнение (корпус S500, процессорная плата c процессором Intel Celeron 2,4GHz, Video, LAN, 5 PCI, ATX, HDD 40Gb, FDD 3,5”, модуль памяти DIMM 256Mb DDR)

24

Коммуникационные модули блока коммутации каналов:

2 Коммуникационный модуль на 16 двухполюсных физических телеграфных каналов ВТГА-2П-16/ИП;

24

Система гарантированного электропитания:

3 Источник бесперебойного питания Back-UPS 500

21

Кроссовое оборудование:

4 Krone плинт с нормально замкнутыми контактами LSA-PROFIL Арт. 6089.1.121-06.

42

7 Krone универсальный сенсорный инструмент Арт. 6417 2 055-01

21

8 Krone контрольный шнур 2/4, Арт. 6624.2.541-00

21

9 Патч-корд для подключения каналов C1-ТГ

21


10 Ноутбук ASUSTek M2400 (Pentium 1800Mhz, Intel 855PM-333, 512Mb DDR, 60Gb, 14.1" TFT XGA (1024x768), DVD/CD-RW),внешний Floppy Drive USB ASUS, сумка

2

11 Электронный ключ Guardant Fidus АРМ Администратора/Техника

2

12 Соединительный шнур UTP, кат 5е, PVC, 5м

2


Таблица 6. Спецификация ЗИП выноса КОА ТКС Вектор-2000

НаименованиеКоличество


1 База блока коммутации каналов, офисное исполнение (корпус S500, процессорная плата c процессором Intel Celeron 2,4GHz, Video, LAN, 5 PCI, ATX, HDD 40Gb, FDD 3,5”, модуль памяти DIMM 256Mb DDR)

1

Коммуникационные модули блока коммутации каналов:

2 Коммуникационный модуль на 16 двухполюсных физических телеграфных каналов ВТГА-2П-16/ИП

1



Литература

1 Крук Б.И., Попантонопуло В.Н., Шувалов В.П. Телекоммуникационные системы и сети, Том 1. - Новосибирск: Наука, 1998. - 535с.

Совещание по вопросам развития сетей документальной  электросвязи с учетом новой нормативной базы. Октябрь 2005 года.

www. stin.ru.

www. alphatelex.ru.

Технические предложения по модернизации телеграфного узла с  использованием ТКС «Вектор-2000», ЛинТех, 2003 год.

Телеграфный коммутационный сервер «Вектор-2000». Краткое техническое описание, ЛинТех, 2003 год.

Похожие работы на - Модернизация телеграфного узла

 

Не нашли материал для своей работы?
Поможем написать уникальную работу
Без плагиата!
Без нейросетей!