Методы обнаружения утечек в трубопроводах

  • Вид работы:
    Курсовая работа (т)
  • Предмет:
    Информатика, ВТ, телекоммуникации
  • Язык:
    Русский
    ,
    Формат файла:
    MS Word
    3,73 Мб
  • Опубликовано:
    2015-12-10
Вы можете узнать стоимость помощи в написании студенческой работы.
Помощь в написании работы, которую точно примут!

Методы обнаружения утечек в трубопроводах

АННОТАЦИЯ

Методы обнаружения утечек в трубопроводах. Спектральный анализ сигнала и его реализация в пакете LabVIEW. 2011, 80 с., 36 ил., библиогр. список - 6 наим.

В рамках данного курсового проекта проведен аналитический обзор существующих в настоящее время приборов и, используемых ими методов, для обнаружения утечек жидкостей и газов в наземных и подземных трубопроводах. Рассмотрены особенности каждого из приведенных методов, а так же их достоинства и недостатки. Рассмотрен спектральный анализ сигналов, проведена его реализация в пакетеLabVIEW.

ВВЕДЕНИЕ

Системы обнаружения утечек в трубопроводе в последние годы приобретают все большую популярность.И это неслучайно, так как в самых различных отраслях промышленности и жилищно-коммунального хозяйства в настоящее время используется огромное количество трубопроводов (тысячи километров), как наземных, так и подземных доступ к которым чаще всего затруднен (трубопроводы под слоем грунта, воды и т.д.). Как известно, в процессе эксплуатации трубопровода в нем зарождаются различные дефекты: трещины, утонения стенки и сквозные дефекты (за счет коррозии металла), расклеивания стыковых соединений (в трубопроводах из ПВХ) и др. Проблема выявления таких дефектов постоянно остается актуальной. Так же, с каждым годом увеличивается количество случаев несанкционированного подключения к трубопроводам (хищение нефти и др.), поэтому существует необходимость еще на стадии проектирования подумать о безопасности трубопроводов при дальнейшей эксплуатации.

Внедрение системы обнаружения утечек на трубопроводах позволяет обеспечить оперативное, а главное очень точное выявление повреждений трубопровода или несанкционированного подключения.

.МЕТОДЫ ОБНАРУЖЕНИЯ УТЕЧЕК В ТРУБОПРОВОДАХ

Методы обнаружения утечек из трубопроводов обычно классифицируют, во-первых, по способам получения первичной информации (измеряемым параметрам) и, во-вторых, по регламенту её получения. Перечень наиболее известных методов приведен в таблице 1.

Таблица 1 - Классификация методов обнаружения утечек в трубопроводах

Диагностика по технологическим параметрам перекачки штатными средства АСУ и КИП

Методы, основанные на контроле других физических параметров дополнительными аппаратными средствами

Методы постоянного слежения (мониторинга)

Метод мониторинга давления с фиксированной или скользящей уставкой; Метод гидравлической локации утечки;  Метод сканирующих волн («ударной диаграммы » Н. Е. Жуковского);  Метод отрицательных ударных волн (Н.Е. Жуковского);  Метод линейного баланса Метод сравнения расходов; Метод сравнение скорости изменения расходов.

Дифференциально-акустический метод; Метод акустической эмиссии;  Ультразвуковой (зондовый) метод;  Сателлитный метод (закладных УГВ датчиков); Аэрокосмический мониторинг.

Методы периодического контроля

Метод дифференциального давления;  Метод падения давления;  Метод мерных сосудов.

Визуальный метод;  Акустический метод;  Радиоактивный метод;  Метод трассирующих газов (жидкостей);  Рентген.


Метод контроля перепада давления на разделителе

Ультразвуковой метод;  Метод вихревых токов;  Магнитный метод; Комбинированный электромагнитный метод.



1.1 Метод мониторинга давления с фиксированной или скользящей установкой

Исторически первая технология оперативного обнаружения утечек на трубопроводах, базируется на сопоставлении давления, периодически полученного от манометров на приемной и нагнетательной линиях насосной станций, с рассчитанными значениями для заданной производительности. В основе диагностического алгоритма - снижение гидравлического сопротивления участка негерметичного трубопровода, часть которого работает на номинальной производительности Qo, а другая - на пониженной производительности Qo - q, обусловленной утечкой q. Таким образом, утечка в конце диагностируемого участка трубопровода этим алгоритмом практически не диагностируется.

Современные средства САУ позволяют расширить возможности получения первичной информации за счет циклического опроса датчиков давления в точках измерения, рассредоточенных по трассе. Если градиент давления до места предполагаемой утечки превысит предварительно установленное значение (при постоянном расходе), а на последующем участке - снизится, то срабатывает сигнал тревоги.

Достоинства метода

Самая низкая стоимость в инсталляции и эксплуатации;

Простота алгоритма в сочетании с использованием только штатных средств КИП;

Оперативность обнаружения значительных утечек (аварий, разрывов);

Интеграция с современными отечественными элементами САУ, Т.е. автоматическое отключение насосов и перекрытие задвижек на поврежденном участке трубопровода при появлении утечки.

К сожалению, используемые детерминированные модели установившихся изотермических режимов течения дают более 30% погрешности расчета распределения эксплуатационного давления по длине трубопровода. В этой ситуации пороговые уставки давления, используемые алгоритмом для диагностики утечки, назначаются волевым решением в соответствии с опытом эксплуатации того или иного участка трубопровода. С целью уменьшения вероятности ложного срабатывания системы эти уставки завышены, что снижает чувствительность.

Недостатки метода

Низкая чувствительность (1 о ... 15 % от номинальной производительности);

Применение только при установившемся режиме эксплуатации трубопровода;

Ложное срабатывание при перекачке различных жидкостей или нарушении сплошности потока;

Большая погрешность определения места утечки;

Не применим в сложных трубопроводных сетях переменного диаметра, при наличии отводов или аккумулирующих емкостей.

Ложные срабатывания систем СОУ в первую очередь обусловлены уровнем моделей, используемых для описания поведения эксплуатационного участка нефтепровода, уложенного в рельеф местности. Несколько лучшие результаты по определению места утечки имеет следующий алгоритм СОУ, традиционно применяемый в практике эксплуатации отечественных трубопроводов.

.2 Метод гидравлической локации места утечки нефти

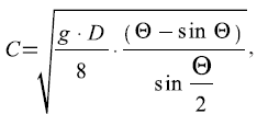
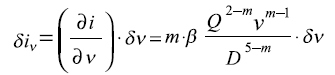
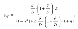
Физическая сущность метода заключается в анализе гидравлических характеристик участка нефтепровода. Измеряемой величиной в этом случае является манометрическое давление на концах двух специально выбранных базисных сегментах, находящихся вблизи перекачивающих станций. По показаниям манометров восстанавливается гидростатический напор продукта (Z+PM/r·g). Линия гидравлических уклонов, проведенная по уровням гидростатических напоров в двух точках, экстраполируется на весь участок между насосными станциями (рис. 1). Аналогичная процедура, выполненная на базисном сегменте в конце участка трубопровода при одинаковых условиях, должна дать тот же гидравлический уклон при условии герметичности трубопровода. Две экстраполяционные линии в этом случае будут параллельны. Если в некоторой точке возникает утечка нефти, то линия гидравлического уклона искажается и становится ломаной. При этом в интервале от первой нефтеперекачивающей станции до места утечки гидравлический уклон увеличивается δ il, а в интервале от места утечки нефти до последующей перекачивающей станции - уменьшается δ i2.

Рисунок 1 - Метод гидравлической локации утечки

Оценим погрешность и робастность метода. Для этого используем модель Л.С Лейбензона, предложенную для расчета изотермических трубопроводов, перекачивающих однофазную жидкость:

(1)

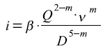
где Q - производительность перекачки; - диаметр проходного сечения трубопровода; - вязкость жидкости;

β, m - коэффициенты уравнения Лейбензона

Изменение гидравлического уклона в зависимости от производительности в рамках модели Лейбензона можно выразить в частных производных:

(2)

Зависимость этой же величины от изменений диаметра:

(3)

Сравнение чувствительности изменяемого параметра i = (∂Р/∂х) к изменению производительности δQ и проходного сечения δD можно произвести, приравняв приращение di по уравнениям (1) и (2):

(4)

Приведение подобных членов дает:

(5)

что демонстрирует большую чувствительность диагностируемого параметра 1 к изменению проходного сечения. Относительное приращение линейного размера проходного сечения D дает в 2,5 .. .4 раза (в зависимости от режима течения) большее изменение градиента давления, чем вариации производительности. Скопления газа, воды, ила и механических примесей, также как и парафиновые отложения, могут значительно сокращать проходное сечение трубы. Даже если специальными средствами поддерживать идеальное состояние базисных сегментов и обеспечить безусловный вынос скоплений воды, газа, ила, грата и парафинов, то изменение реологических свойств перекачиваемого продукта вносит ощутимую погрешность:

(6)

Анализ чувствительности алгоритма по реологическому параметру показывает:

(7)

что в ламинарном режиме течения, характерном для вязких жидкостей, изменение вязкости равнозначно влияет на градиент давления, как и вариации производительности (отношение m/(2-m)= 1). В турбулентном режиме течения это отношение несколько меньше, но чувствительность к обоим параметрам остается в том же порядке величин. Осложнений технологических параметров, не учтенных уравнением Лейбензона, значительно больше, что предполагает огромное количество корреляционных отношений в анализе робастности метода.

Влияние погрешности средств измерений на достоверность определения места утечки детально про анализировано в учебнике трубопроводного транспорта [3] на участках «идеального» трубопровода протяженностью L = 100 км, имеющего условные диаметры 300 и 500 мм. Показано, что при выбранной базе измерений фиксация дифференциального напора с точностью до 0,5 м столба нефти обеспечивает выявление утечки с интенсивностью не менее 1,5 ... 5,0 %. Увеличение диаметра нефтепровода требует для фиксации малых утечек жидкости более высокой точности измерения гидравлических уклонов на базисных сегментах.

Таким образом, метод гидравлической локации утечек позволяет фиксировать дисбаланс расходов жидкости и рассчитывать сечения, в которых они происходят. Однако возможности этого метода ограничены, Т.к. при уменьшении интенсивности утечки точность метода снижается.

Достоинства метода

• Низкая эксплуатационная стоимость;

• Использование только штатных средств КИП;

• Оперативность обнаружения значительных утечек (аварий, разрывов);

• Дополнительные аналитические возможности: визуализация распределения давления по трассе.

Недостатки метода

низкая чувствительность (5 ... 15 % от номинальной производительности), зависящая от расположения дефектного участка;

наличие «мертвой зоны» в конце эксплуатационного участка;

применение только при установившемся режиме эксплуатации изотермического трубопровода;

не применим в трубопроводных сетях со сбросами и подкачками;

чувствительность алгоритма к изменению проходного сечения труб в 3-5 раз выше, чем к утечкам, что приводит к ложным срабатываниям системы.

Тем не менее, барокорреляционный принцип применяется повсеместно во всех современных технологиях диагностики утечек совместно с другими методами ввиду удовлетворительной точности в определении места утечки и низкой стоимости аппаратных и программных средств.

.3 Метод сканирующих волн («ударной диаграммы» Н.Е. Жуковского)

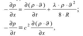
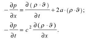
Метод определения места утечки с помощью ударной диаграммы основан на анализе переходных процессов в трубопроводах при возникновении гидроудара. Впервые этот метод теоретически был обоснован и экспериментально исследован на Алексеевской водокачке (г. Москва) выдающимся российским инженером проф. Н.Е. Жуковским в 1897 году.

На основании своих работ Н.Е. Жуковским была получена система уравнений, описывающая переходный режим при гидравлическом ударе без учета сил трения по длине. Физическая сущность этих процессов связана с преобразованием кинетической и потенциальной энергий, которые определяют физические свойства среды и характер волновых процессов в ней. Дифференциальные уравнения, входящие в предлагаемую модель и описывающие неустановившееся движение реальной жидкости по трубам, получены на основании следующих допущений: труба - цилиндрическая с постоянной площадью сечения при исходном давлении, достаточно жесткая; течение жидкости по трубе - одномерное; гидравлические сопротивления для стационарных течений и неустановившегося движения эквивалентны; стенки трубы - упругие и подчиняются закону Гука под нагрузкой от давления; скорость течения жидкости 19 меньше скорости звука; плотность жидкости р линейно зависит от давления р.

Теоретическое описание процесса предложено формализовать в системе дифференциальных уравнений:

(8)

где А - коэффициент гидравлического сопротивления; - гидравлический радиус сечения потока; с - скорость звука.

Система уравнений (8) содержит нелинейный член . Однако, принимая множитель  постоянным, равным его среднему значению по длине и по времени 2·а, можно получить линеаризованную систему для массовой скорости р и давления р.

Исходная система использована для получения «телеграфных» уравнений:

 (9)

Рисунок 2 - График изменения давления без утечки и с утечкой

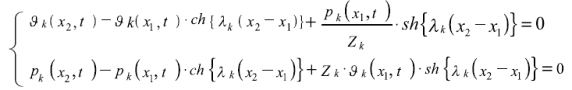
Показано, что вследствие линеаризации погрешность составляет не более 10 % от максимального давления. Аналогия между движением реальной жидкости в трубах и течением электрического тока по кабелю позволяет использовать математический аппарат, развитый в электротехнике, для описания распространения импульса давления или скорости в трубопроводной системе. Решением предложенной системы уравнений являются гиперболические функции вида:


где λk - комплексная постоянная распространения волнового процесса; - комплексный импеданс простого трубопровода бесконечной длины.

Решения (10) получены для распространения импульса прямо угольной формы вдоль идеализированного трубопровода. Вывод о наличии утечки делается при сопоставлении модельного решения и тренда показаний датчика давлений на конце диагностируемого участка трубопровода. Характерные тренды показаны на рисунке 2.

Анализ передних фронтов повышения давления показывает, что при наличии утечки появляется импульс пониженного давления через dt от момента посылки волны повышенного давления. Этот интервал времени соответствует времени пробега волны повышенного давления от датчика до утечки и возвращения отраженного отрицательного импульса назад к датчику давления. Сравнение задних фронтов - понижения давления показывает, что при наличии утечки появляется импульс пониженного давления через dt от момента посылки волны пониженного давления. Далее следуют волны пониженного давления, образованные накладкой множества отраженных от различных неоднородностей волн.

К достоинствам метода необходимо отнести возможность обнаружения утечки (несанкционированной врезки) в стадии сброса (отбора) продукта с постоянным расходом.

Достоинства метода:

непрерывность контроля во времени;

эффективен для быстрого обнаружения значительных утечек (разрывов);

обеспечивает дистанционное зондирование утечки;

независимость от погодных условий;

расположение оборудования в пределах насосной станции.

Недостатки метода:

большая погрешность при определении местонахождения значительных утечек (аварий);

низкая чувствительность к величине утечки (не применим для контроля малых утечек);

чувствительность метода понижается при последовательной перекачке различных нефтепродуктов.

Существенным недостатком данного способа является необходимость периодически генерировать импульсы давления с амплитудой 0,5 ... 1,0 МПа, что требует соответствующего запаса прочности материала труб.

Модификацией метода ударной диаграммы Н.Е. Жуковского является метод отрицательных ударных волн. Математическая модель волнового процесса, послужившая основой для метода сканирующих волн, является общей для обоих методов.

.4 Метод отрицательных ударных волн

Согласно теории неустановившихся процессов, в момент возникновения утечки (или отбора) жидкости в трубопроводе возникают волны разряжения. Волна давления достигает измерительных точек по обе стороны от утечки. Время прибытия сигналов от преобразователей регистрируется на центральном диспетчерском пункте. Вычислительная процедура обрабатывает результаты поступающей информации с учетом: последовательности поступления сигналов, расстояния до преобразователей, скорости распространения волны понижения давления, эксплуатационных параметров перекачки и вычисляет место утечки. Разность (t1 - t2) моментов прихода волн свидетельствует о смещении места утечки относительно середины рассматриваемого участка. Координата Х места утечки определяется через разность моментов прихода волн к началу и концу участка трубопровода формулой

(11)

где L - длина диагностируемого участка трубопровода;

С - скорость звука.

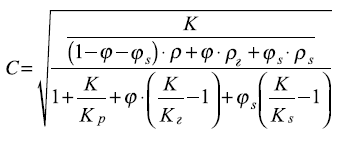
Повышенный интерес современных исследователей к скорости распространения ударной волны связан с успехами импульсной телеметрии, применяемой при производстве буровых работ. Китайскими учеными НИИ разработки нефтяных месторождений (Daqing Petroleum Institute) предложены уточнённые зависимости для скорости звука в трубах:

(12)

где φ - объёмное газосодержание по диспергированной фазе;

φs - объемная доля механических примесей;

ρs - плотность твердой фазы (мехпримесей);

ρг = P/R Т - плотность газа в пузырьках;

К - коэффициент сжимаемости жидкости;

К s - модуль упругости твёрдой фазы;

Кг = гЧR ЧТ - упругость газовой фазы;

η≈ 0,3 - коэффициент Пуассона;

Кр - упругость трубы - параметр, определяемый в зависимости от механических нагрузок на участке трубопровода:


при продольном растяжении,


без продольных сжимающих усилий,


без продольных напряжений.

Скорость распространения возмущений колеблется от 1425 м/с для «жестких» водопроводов до 1000 м/с для продуктопроводов большого диаметра.

Исследование возможностей этого метода показывает, что волны давления, генерированные возникновением утечки, распространяются в покоящейся жидкости без существенного затухания и уверенно регистрируются измерительной аппаратурой. В работающем трубопроводе применение данного метода сталкивается с существенными трудностями, связанными со значительным затуханием волн.

Газовоздушные скопления, перекрывающие часть сечения труб на нисходящих участках работающего трубопровода, значительно снижают скорость распространения ударных волн и, соответственно, их амплитуды. Скорость распространения возмущений на самотечном участке трубопровода с газовоздушным скоплением зависит от степени его заполнения:

(13)

где Θ - центральный угол границы раздела фаз в сечении трубопровода.

Скорость распространения возмущений варьируется в широких пределах в зависимости от степени заполнения трубопровода. Например, для нефтепровода Ø1200 мм-С1I2=2,15 м/с, с уменьшением степени заполнения - уменьшается практически до нуля, с увеличением - р асимптотически стремится к значению показателя напорного режима. Однако, оценка сверху при устойчивых режимах расслоенного течения дает значение С ≈ 3 м/с, что на два-три порядка меньше аналогичного показателя напорного режима.

Метод не предполагает искусственного генерирования импульсов давления, но требует постоянного слежения за параметрами перекачки, что значительно повышает стоимость системы и эксплуатационные расходы. Но высокая чувствительность, избирательность и быстродействие стали решающими факторами в промышленной реализации метода различными IТ-компаниями.

Примером успешной коммерческой реализации метода может служить система постоянного мониторинга WaveAlert® компании Acoustic System Inc., которая позволяет оперативно обнаруживать утечки (в пределах 1 мин.), выявлять место потери герметичности с точностью ± 200 м в камеральных условиях.

Система обнаружения утечек WaveAlert® включает три уровня аппаратных и программных средств:

процессор предварительной обработки сигнала (интеллектуальный датчик-преобразователь, предварительный усилитель, контроллер);

узловой (групповой) процессор с системой телекоммуникации (радио, оптоволокно, проводная связь);

головной (host) компьютер с программным обеспечением SCADA и аналитическими возможностями.

Достоинства метода:

непрерывность контроля во времени;

оперативное обнаружение криминальных врезок;

высокая избирательность;

простота адаптивного алгоритма по единственному диагностическому параметру ∂P/∂r.

Недостатки метода:

высокие эксплуатационные расходы нанепрерывный мониторинг;

неработоспособность алгоритма в стадии сброса продукта при постоянном расходе;

искажение полезного сигнала на самотечных участках;

блокирование сигнала при разрывах сплошности потока.

Регистрация на концах контролируемого участка волны разрежения отечественными средствами КИП показывает достаточно высокую чувствительность метода на действующих трубопроводах ОАО «Транснефтепродукт» (1,5 ... 3% Qном), время регистрации (5 ... 10 мин), и малую погрешность определения места утечки (500 ... 1000 м на участке 100 км). Время затухания волн давления соизмеримо со временем регистрации. Кроме того, разрыв сплошности протока в трубе на самотечном участке практически полностью изолирует сигнал и исключает возможность его регистрации, а присутствие в трубе инородных предметов или врезок, резких поворотов, гофров и пр. порождает отраженные волны, которые искажают фронт ударной волны, чем снижают процент регистраций. Тем не менее, метод нашел широкое применение в системе нефтепродуктопроводов для оперативного выявления несанкционированных врезок и хищения нефтепродуктов. Только в ОАО «Транснефтепродукт» за 2000 г. зарегистрировано 279 несанкционированных врезок, 218 из которых своевременно выявлены действующей системой.

В отсутствие контрольно-измерительных приборов по трассе трубопровода и средств синхронизации регистрации параметров на концах контролируемого участка метод упрощается до фиксации резкого перепада давлений на нагнетании и всасывании насосных станций, Т.е. сводится к методу мониторинга давления с фиксированной или скользящей уставкой.

Группа методов обнаружения утечек, основанная на интерпретации результатов измерений другого эксплуатационного параметра - производительности трубопровода Q, имеет большую точность и избирательность, но значительно дороже в эксплуатации и приборном обеспечении.

.5 Дифференциальный метод сведения баланса расходов

Дифференциальный метод сведения баланса расходов на участке трубопровода, оборудованном по концам расходомерами - самый точный из всех известных методов. В зависимости от особенностей обработки исходной информации сводится к методу линейного баланса, методу сравнения расходов или методу сравнения скорости изменения расходов, способен регистрировать «малые» утечки (меньше 1 %).

В соответствии с принципом линейного баланса масс разность расходов транспортируемого продукта на входе и выходе должна быть равна изменениям его количества в герметичном трубопроводе:

(14)

где  - скорректированный дисбаланс масс за период времени τ;

Ginи Gout - расходы соответственно на входе и выходе трубопроводной сети;

М и N - число входов и выходов трубопроводной сети;

- изменение количества продукта в трубопроводе за время τ.

Существует два способа решения уравнения (14). Фирма ATMOS® International (REL Instrumentation), являющаяся специализированной дочерней компанией Shell, ответственной за развитие и внедрение систем для обнаружения утечек трубопроводов под торговой маркой ATMOS Рiре®, предлагает статистический метод, исключающий сложное моделирование трубопровода.

В системе на основе данных, поступающих на компьютер с установленных на местах датчиков давления, температуры и расходомеров, про изводится непрерывный расчет статистических вероятностей возникновения утечек. Количество продукта в трубопроводе для вычисления  рассматривается как адаптивная стохастическая функция от эксплуатационных параметров участка трубопровода и скорости их изменения. Данные передаются и обрабатываются посредством систем PLC (Programmable Logic Controller) или RTU (Remote Terminal Unit) с использованием SCADA (Supervisory Control And Data Acquisition) или DCS (Distributed Control System).

Наибольшее преимущество статистического метода заключается в полном отказе от сложных аналитических моделей трубопроводов, что значительно сокращает объем подготовительных работ и расходов.

Система ATMOS Ртре® спроектирована на основе принципа «распознавания по моделям». Определение утечки базируется на оценке вероятности возникновения события при регулярной частоте замеров. Основным принципом, использованным для расчетов вероятности, является принцип сохранения массы (расчет баланса) и постоянная проверка гипотезы: наличие утечки против отсутствия утечки. Такое равновесие не может быть сохранено в случае образования утечки в системе. Отклонение от заданного равновесия можно обнаружить при помощи метода оптимального статистического анализа. Комбинация расчетов вероятностей с техникой распознавания моделей позволила системе ATMOS Ртре® достичь очень высокой степени надежности в смысле сведения к минимуму возникновения (генерации) ложных тревог при высокой чувствительности к формированию утечки в переходных и стационарных режимах. ATMOS® поддерживает протоколы обмена с известными инструментальными средствами: АВВ ICSS, Fisher-Rosemount (Delta V), Yokogawa, N ational Instruments, InTouch, Honeywell, Foxboro, GE Fanuc и др. Опыт компании ATMOSi (RELi) включает многочисленные внедрения как для компании Shell, так и для других высокотребовательных заказчиков, например, ВР, ВР-АМОСО, ESSO, Dow, Министерство обороны Великобритании, Лукойл и другие.

Существенными недостатками способа являются его инерционность (время обнаружения утечки до 20 периодов опроса датчиков), большая погрешность в локализации места утечки и длительный период времени обучения формальной модели при смене конструктивных параметров системы, свойств перекачиваемого продукта или внешних условий эксплуатации (грунтовых, гидрологических, погодно-климатических и пр.).

Принципы детерминированного моделирования режимов эксплуатации МНП нашли свое отражение в отечественных разработках специалистов ИПТЭР и РУНГ им. И.М. Губкина, в частности, в программе «ИРЭН» - «Изменение режимов эксплуатации нефтепродуктопроводов».

Наиболее перспективным способом решения уравнения (14) является математическое моделирование в рамках системы функциональной диагностики осложнений технологических режимов эксплуатации трубопровода.

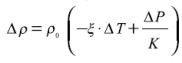
Изменения количества продукта в трубопроводе  можно представить как сумму элементарных приращений, классифицированных по причинам их возникновения:

(15)

где Vо, ρо - объем участка трубопровода и плотность продукта при известной температуре и давлении;

 - приращение плотности за счёт изменения температуры на величину ∆T и давления - ∆Р (ξ- коэффициент объемного расширения, К - модуль упругости продукта);

∆V = ∆Vт + ∆Vр - ∆Vω - приращение объема участка трубопровода,

где ∆Vт =α· ∆ Т, α - коэффициент объемного расширения металла (для стали α= 3,3·10-5 1/0С);

, где Е - модуль Юнга (для стали Е≈ 2·1011 Па);

 - сокращение объема газовых скоплений.

Теоретически чувствительность метода не ограничена. При достаточно большой выборке данных за продолжительный период мониторинга погрешность метода за счет ошибки измерений расходов и давлений становится пренебрежимо малой. Статистические оценки погрешностей метода динамического баланса объемов продукта в трубопроводе, сделанные специалистами ИПТЭР на выборке диспетчерских данных, дают вероятность 0,95 обнаружения утечки 0,1 % от номинальной производительности на 11 замерах, что в регламенте опроса датчиков системой SCADA КТК составляет 45 минут. Утечка в 10% от производительности с той же вероятностью определяется за один цикл опроса, т.е. за 4 минуты. Конкурирующим продуктом на отечественном рынке СОУ является параметрическая система обнаружения утечек (ПСОУ) ООО «Энергоавтоматика», функционирующей в рамках СКДУ фирмы ЗАО «ЭлеСи» (г. Томск) на участке нефтепровода «Калтасы-Уфа-2» Ø700 мм, протяженностью 108,9 км. В качестве приборов давления используются датчики МТ-100Р класса точности 0,5. Накладные ультразвуковые расходомеры фирмы PANAMETRICS установлены на нагнетательной линии НПС «Калтасы-Г» и на приеме НПС «Чекмагуш-2». Данная система обнаружения утечек на нефтепроводе с самотечными участками позволяет фиксировать утечки величиной от 1 ,5% на стационарном режиме перекачки и от 7% и более на переходных режимах. Фирмой Combit АВ (Швеция) предложена система обнаружения утечек из трубопровода 990 LDTM, основанная на анализе баланса расходов по трассе нефтепровода, контролируемом универсальным ультразвуковым расходомером Unitlow фирмы Controlotron. Система внедрена на трансальпийском двухниточном нефтепроводе «Триест-Мюнхен». Декларируемая чувствительность метода - 1 %.

В системах СОУ, не учитывающих динамическое изменение количества продукта в трубопроводе, значительно упрощается алгоритм обнаружения утечек. В простейшем случае - это компаратор мгновенных расходов.

.6 Метод сравнения расходов

Метод основан на постоянстве мгновенного расхода нефти или нефтепродукта в начале и конце участка трубопровода при отсутствии утечки в установившемся режиме перекачки. Уравнение (14) в этом случае упрощается:

(16)

где М и N - число входов и выходов трубопроводной сети.

На входе и выходе каждого участка трубопровода устанавливаются расходомеры турбинного или объемного типа, дистанционно связанные с ЭВМ, находящейся на центральном диспетчерском пункте. Информация от расходомеров поступает в ЭВМ, которая с учетом температурной поправки непрерывно производит сравнение расходов в начале и конце каждого участка трубопровода. В том случае, если разность расходов превышает допустимый предел, установленный программой, автоматически срабатывает аварийная сигнализация о появлении утечки.

Недостаток данного метода заключается в ложных срабатываниях системы, вызываемых нарушением стационарного характера транспортировки нефти. Несколько лучшие результаты при неустановившихся режимах эксплуатации получают при измерении скорости изменения расходов.

Метод сравнения изменения скорости расходов

Метод основан на измерении мгновенной скорости изменения расхода в различных сечениях нефтепровода. В начале и в конце контролируемого участка трубопровода устанавливают измерительные диафрагмы (калиброванные сужения, позволяющие по разности давлений до и после сужения рассчитать скорость и расход жидкости) и оборудованные устройствами дифференцирования. Ключевое уравнение метода получается дифференцированием (16) по времени:

(17)

Электрические сигналы, пропорциональные скорости изменения расхода, по каналам телеметрии поступают в RTU, где сравниваются с пороговыми значениями. Повреждение или разрыв трубопровода вызывает резкое изменение расхода транспортируемой нефти. Приближенно место утечки можно определить по разности времен появления всплесков на трендах расходов в контрольных сечениях.

Недостаток данного метода, так же как и у предыдущего, заключается в ложных срабатываниях системы, вызываемых нарушением сплошности потока, изменением свойств партий перекачиваемых нефтей или нефтепродуктов, осложнениями технологических режимов перекачки и пр. Однако сравнительно низкая стоимость системы за счет применения простых и долговечных диафрагм позволяет применять метод на участках, где не предусмотрен пропуск очистных и диагностирующих устройств.

Достоинства методов:

прямое измерение количественных показателей процесса перекачки, что упрощает алгоритмы принятия решения о наличии утечки;

оперативное обнаружение значительных утечек при установившемся режиме перекачки;

непрерывность дистанционного контроля герметичности;

возможность идентификации малых утечек инвентаризацией продукта перекачки за продолжительный период эксплуатации.

Недостатки методов:

требуют больших капитальных затрат изза высокой стоимости первичного уровня аппаратных средств - датчиков расхода и контроллеров;

не обеспечивают определения места утечки;

требуют остановки перекачки по трубопроводу для обслуживания расходомеров;

компараторы (блоки сравнения) расхода могут применяться только на коротких участках, так как не учитывают аккумулирующую способность трубопровода;

подвержены ложным срабатываниям системы при нарушениях сплошности потока, изменениях свойств партий перекачиваемой нефти или нефтепродуктов, осложнениях технологических режимов перекачки и пр.

Анализ монопараметрических мониторинговых методов обнаружения утечек, применяемых в магистральном транспорте углеводородов, показывает, что задействован практически весь спектр доступной в традиционных системах телемеханики и АСУ информации. В качестве ключевого параметра используются не только давление и производительность, но и их производные по времени и длине (табл. 2).

Таблица 2 - Методы диагностики утечек


Методы СОУ, основанные на анализе градиента производительности ∂Q/∂х, до сих пор не нашли широкого применения только из-за весьма высокой стоимости аппаратных средств регистрации расхода. Современные трубопроводные системы обычно имеют только один узел учета количества продукта (либо в начале, либо в конце эксплуатационного участка). Для прямой регистрации градиента производительности ∂Q/∂х необходимо иметь в несколько раз больше точек замера.

Проблему вдольтрассового мониторинга производительности можно решать совмещением функций расходомеров с насосными агрегатами. Изменение производительности по трассе магистральных нефтепроводов предлагается фиксировать активной составляющей тока нагрузки электроприводов насосных агрегатов. Для этого статистическими методами за продолжительный период эксплуатации восстанавливается индивидуальная для каждого насосного агрегата кривая потребляемой мощности (N-Q). А затем по мгновенным показателям электропотребления оценивается производительность агрегата.

Для коммерческого учета продукта метод слишком груб, но как способ получить дополнительную информацию для анализа состояния трубопроводной системы по градиенту производительности как независимому параметру - весьма перспективен. Работы в этом направлении ведутся специалистами ИПТЭР на объектах ОАО «Приволжскнефтепровод».

Производные более высоких порядков (∂2Р/∂х2 , ∂р2/∂τ2, ∂2Р/∂х∂τ, ∂2Q/∂τ2 ••• ) на современном этапе развития САУ магистрального транспорта УГВ не используются вследствие отсутствия аппаратных средств КИП для прямой регистрации этих параметров. Методы, использующие температуру в качестве ключевого параметра, не нашли своего приложения из-за низкой чувствительности параметра к утечкам даже при перекачке сжимаемых сред.

Таким образом, принципиальные возможности расширения параметрической базы СОУ исчерпаны. Ни один из рассмотренных методов не может удовлетворить все возрастающие требования экологической и промышленной безопасности объектов магистрального транпорта, поэтому на смену монопараметрическим методам приходят комбинированные.

Примером комбинированного метода обнаружения утечек может служить алгоритм Pressure Point Analysis (РРА)ТМ, запатентованный компанией EF А Technologies Inc. (Sacramento, Са, USA) в 1990-х. Алгоритм на расчетном уровне совмещает все методы мониторинга давления (мониторинг давления с фиксированной или скользящей уставкой, гидравлической локации утечки, Н.Е. Жуковского) для повышения помехозащищенности и чувствительности. Однако давление и его производные (Р, ∂Р/∂х , ∂Р/∂τ) нельзя считать абсолютно независимыми параметрами, Т.к. они имеют единый источник первичной информации - манометры. Поэтому современную версию своего системного продукта LeakNet компания EF А Technologies Inc. оснащает интеллектуальным алгоритмом SmartPoint™, использующим методы мониторинга и давления и расхода (mass balance & pressure monitors). Не менее впечатляющих успехов в разработке аналитических и программных средств в этой области достигла компания Stoner Associates (Carlisle, Ра, USA), чей программный комплекс PROCYS®, базирующийся на комбинированных мониторинговых методах, установлен компанией Enbridge Pipeline Inc. на двухниточном продуктопроводе в Соединенных Штатах, сравнивает технологические параметры ниток между собой и эвристическими методами обнаруживает утечки.

Другим примером реализации программного обеспечения системы обнаружения утечек является программный комплекс LeakSpy®NT, разработанный в России с использованием современных технологий и достижений отечественной аэрокосмической промышленности и предназначенный для решения задачи обнаружения утечек в магистральных нефтепроводах. Пакет LeakSpy®NT является комплексным решением, поскольку в нем объединено несколько алгоритмов диагностики, основанных на различных математических моделях течения. Каждый из алгоритмов эффективен либо в специфическом диапазоне, либо для решения определенного класса задач (диагностика утечки, ее локализация, подтверждение диагноза и др.). В основе системы LeakSpy®NT лежит математическая модель нефтепровода, функционирующая в реальном масштабе времени. Контроль утечек осуществляется на основе измерения технологических параметров, регистрируемых отечественной системой телемеханики. Окончательное решение принимает экспертная система, в рамках которой осуществляется процедура голосования алгоритмов диагностики.

Программный комплекс LeakSpy®NT инсталлируется на IBM РС-совместимом компьютере, подключенном к системе телемеханики через локальную сеть. Обмен данными осуществляется в виде бинарных файлов с использованием стандартных сетевых средств операционной системы и протокола TCPIIP. Данные из системы телемеханики в систему LeakSpy®NT поступают каждые 10 с. ®NT поддерживает следующие основные функции:

обнаружение и количественная оценка утечки;

локализация места утечки;

контроль герметичности изолированной секции трубопровода;

интеллектуальная процедура принятия решения и управления уставками;

функция архивации;

анализ качества средств измерения;

трехуровневая система сигнализации;

расчет движения партий нефти различного качества или различных нефтепродуктов;

набор инструментов для настройки и адаптации программы;

обмен данными с системой SCADA. Система прошла апробацию на нефтепроводе «Горький-Рязань-Москва» (участок «РязаньМосква») ОАО «Верхневолжскнефтепровод» Ø500 х 10 мм, протяженностью 197 км. В середине участка - одна промежуточная насосная станция НПС «Коломна», Управление режимами перекачки осуществляли из РДП «Нижний Новгород» с помощью системы диспетчерского контроля и управления ПТК «Сириус» фирмы ООО «НПА ВИРА Реал тайм», укомплектованной ультразвуковыми расходомерами фирмы CROHNE (Германия). Эксперименты проводились на двух стационарных и одном переходном режимах. Во всех случаях констатируются результаты на уровне лучших мировых образцов.

.7 Радиоактивный метод

Метод основан на регистрации радиоактивного излучения вещества (растворенный в жидкости изотоп), проникающего в грунт через сквозные повреждения в стенке резервуара.

Рисунок3 - Радиоизотопный ионизационный газоанализатор:

- ионизационная камера; 2 - источник ионизации; 3 - электроды;

К радиоизотопным газоанализаторам, в которых ионизацию газов осуществляют радиоактивным излучением, относятся приборы на основе сечения ионизации, электронно-захватные и аэрозольно-ионизационные. В первых используют разницу в сечениях (вероятности) ионизации компонентов смеси. Ионизацию осуществляют обычно β-излучением 90Sr, 3H, 63Ni, 147Pm. Эти газоанализаторы неизбирательны, их применяют для анализа смесей H2-N2, N2-CO2, Н2 - этилен, Н2-СН4, H2-CH3SiCl3, H2-BC13 и т.п.; диапазон измерения 0,01-100 %; время установления показаний - до 0,1 с.

Радиоактивные изотопы должны обладать достаточной энергией гамма-лучей и периодом полураспада. Для обнаружения мест утечек в трубопроводе изотопы подбирают для каждого конкретного участка трубопровода в зависимости от его протяженности и глубины залегания. Наибольшее распространение получили изотопы натрий-24 с энергией (1,4-2,8 МэВ) и периодом полураспада 15 ч, а также бром-82 с энергией гамма-лучей (1,32-1,48 МэВ) и периодом полураспада 36 ч. Место утечки (повышенная остаточная радиоактивность) обнаруживается автономным прибором (зондовым устройством).

Достоинства метода:

позволяет обнаруживать места незначительных утечек нефти и нефтепродуктов;

применим для любых резервуаров, содержащих нефть, нефтепродукты, воду и газ;

эффективен для обнаружения мест незначительных утечек зондовым радиометром.

Недостатки метода:

точность обнаружения незначительных утечек зависит от глубины залегания резервуара, и чем глубже подземное хранилище, тем ниже чувствительность наземных радиометров (при глубине залегания хранилища свыше 1,5 м наземный способ обнаружения мест утечек не рекомендуется);

метод небезопасен для обслуживающего персонала и окружающей среды;

технология заполнения резервуара радиоактивным изотопом и обнаружение мест утечек наземными радиометрами достаточно трудоемка.

Метод имеет ограниченное применение как за рубежом, так и в нашей стране из-за отсутствия комплексных мероприятий по биологической защите обслуживающего персонала, окружающей среды, Однако в некоторых странах, в том числе и в России, проводились интенсивные исследования по совершенствованию технологии контроля этим методом мест незначительных утечек.

.8 Метод акустической эмиссии

Метод основан на регистрации высокочувствительными пьезоэлектрическими датчиками, сигналов акустической эмиссии от напряженного состояния стенки резервуара, микротрещин и от утечек жидкости.

Акустическая эмиссия (АЭ) является результатом высвобождения энергии из материала, находящегося в напряженном состоянии. Высокочувствительные пьезодатчики, расположенные на поверхности резервуаров, воспринимают волны механических напряжений, создаваемые утечкой жидкости или газа, и преобразовывают их в электрические сигналы.

Электрические сигналы с пьезодатчиков усиливаются в 100 тыс. - 1 млн раз. Для обнаружения мест утечек разработано специальное оборудование анализа затухания и времени прихода импульсов акустической эмиссии.

Достоинства метода:

метод АЭ, реализованный в наземной, передвижной аппаратуре,

весьма эффективен для контроля незначительных утечек (микроутечек),

напряженного состояния стенки резервуаров, микротрещин и сильной

коррозии;

характеризуется высокой точностью обнаружения мест дефектов

стенки резервуаров.

Недостатки метода:

высокая стоимость обследования (до 2 тыс. долл. на обследование одного кв. метра подземного резервуара).

Лазерный газоаналитический метод

Метод основан на поглощении углеводородсодержащими (группы СН и СН2) газами энергии источника инфракрасного излучения с длиной волны 3,39 мкм.

При появлении в подземном резервуаре утечки нефти или нефтепродукта углеводородные газы, вследствие высокой проницаемости частиц почвы, выходят на поверхность и образуют газовое облако над местом утечки.

На основе лазерного газоаналитического метода разработаны и используются переносные и транспортируемые на автомобиле приборы для обнаружения мест подземных утечек нефти, нефтепродуктов и газа.

Достоинства метода:

высокая точность обнаружения мест незначительных утечек;

высокая чувствительность аппаратуры (по метану, в % объемных - до 20⋅10-4);

быстродействие аппаратуры (5-15 с);

бесконтактность метода;

достаточно высокая эффективность для периодического контроля.

Метод находит широкое применение за рубежом и в нашей стране для периодического контроля появления утечек, в основном газа, как на магистральных трубопроводах, так и на других газотранспортных системах.

Лазерные газоаналитические лаборатории применяются также для обнаружения утечек нефти и нефтепродуктов (при наличии летучих компонентов группы СН и СН2).

Метод трассирующих газов

Метод основан на поглощении в инфракрасной области спектра световой радиации трассирующим газом, выходящим на поверхность грунта в месте сквозного повреждения стенки резервуара. Метод предполагает обнаружение незначительных утечек в резервуарах по выходу на поверхность трассирующих газов, закачиваемых в резервуар под давлением. При выборе трассирующего газа необходимо руководствоваться следующим:

высокой проникающей способностью газа через грунт;

нетоксичностью газа в концентрациях, используемых для обнаружения;

химической неактивностью;

отсутствием такого трассирующего газа в атмосфере;

высоким коэффициентом поглощения в инфракрасной области спектра.

Всем этим требованиям удовлетворяет закись азота.

Способы обнаружения утечек сводятся к анализу проб воздуха над поверхностью резервуара.

Достоинства метода:

высокая чувствительность к величине незначительных утечек;

применим независимо от конструкции, диаметра резервуаров.

Недостатки метода:

высокая трудоемкость технологии контроля мест утечек;

зависимость от климатических и погодных условий;

небезопасен для обслуживающего персонала при высоких концентрациях трассирующего газа, который является токсичным.

Имеет ограниченное применение как за рубежом, так и в нашей стране из-за высокой трудоемкости технологии контроля.

Фотоионизационный метод

Устройства, использующие данный метод, основаны на сочетании фотоионизационного и инфракрасного детекторов. Принцип действия инфракрасного блока газоанализатора (ИК-блок) основан на поглощении инфракрасного излучения молекулами СО2 и углеводородов на определенной для каждого компонента длине волны. Поток инфракрасного излучения проходит через оптические фильтры, поступает в измерительную ячейку, заполненную анализируемой смесью. Компоненты анализируемой смеси (СО2, углеводороды) поглощают инфракрасное излучение на характерных для каждого вещества длинах волн пропорционально их содержанию.

Фотоионизационный блок (блок ФИД) производит экспресс-анализ суммарного содержания паров большинства органических и ряда неорганичских веществ. Принцип действия блока ФИД основан на измерении фотоионизационного тока, возникающего при ионизации молекул вещества в потоке ультрафиолетового излучения. Диапазон

детектируемых веществ зависит от энергии ионной лампы. Возможна совместная работа блоков ФИД и ИК-газоанализатора или одного выбранного блока. В случае совместной работы блоков из суммарного результата, выдаваемого блоком ФИД, устраняются данные по содержанию метана, измеренные ИК-блоком.

В России данный метод нашел применение в газоанализаторе Ecoprobe-5 (рисунок 4). Данный прибор предназначен для измерения содержания диоксида углерода (CO2), метана (CН4), углеводородов (CН) в пересчете на метан (СН4), а также для экспресс-анализа суммарного содержания паров большинства органических и ряда неорганических веществ.

Рисунок 4 - Прибор Ecoprobe-5 с присоединенным зондом

Достоинства прибора:

обнаружение, определение границ и контроль содержания углеводородов и других органических загрязнений почвы и грунтовых вод, вызванных разливом топлива;

контроль загрязнения воздуха (ФИД анализатор);

протечки от свалок и подземных резервуаров;

протечки трубопроводов и отходов сельскохозяйственного производства;

наблюдение за перемещением шлейфа загрязнений;

наблюдение за процессами биологического восстановления;

обнаружение и контроль газообразных токсичных веществ на промышленных предприятиях и в сельскохозяйственном производстве.

Еще одним примером использования данного метода является переносной двухдетекторный газоанализатор Колион-1В-04 (рисунок 5).

Рисунок5 - Газоанализатор Колион-1В-04

Он предназначен для одновременного измерения содержания паров углеводородов нефти и нефтепродуктов и других вредных соединений, а также диоксида азота в воздухе рабочей зоны. В газоанализаторе установлены два детектора: фотоионизационный (ФИД) - для измерения содержания нефти, нефтепродуктов и других вредных веществ и электрохимический - для селективного измерения диоксида азота.

Анализируемый воздух прокачивается через детекторы с помощью встроенного микрокомпрессора. Текущие значения измеряемых концентраций в мг/м3 представляются в цифровом виде на двухстрочном жидкокристаллическом индикаторе.

В приборе имеется звуковая (общая для обоих каналов измерения) и световая (отдельная для каждого канала измерения) сигнализация о превышении измеряемыми концентрациями установленных порогов.

Фотоионизационный газоанализатор ФГ-2 (рисунок 6) предназначен для неселективного измерения загрязненности атмосферы рабочей зоны различных производств, обнаружения очагов выбросов и разливов нефтепродуктов, поиска течей из резервуаров.

Рисунок 6 - Газоанализатор ФГ-2

Преимуществом данного прибора является простота в обращении, малые размеры и вес, быстрота измерений, малая потребляемая мощность (одной зарядки встроенных аккумуляторов достаточно для его использования в течение недели), встроенный микрокомпрессор, позволяющий отбирать пробу из вентиляционных систем с разрежением, наличие звуковой и световой сигнализации о превышении допустимого уровня загрязненности, режим автоматической работы прибора.

ИК-спектроскопия

Принцип действия основан на поглощении ИК-излучения молекулами контролируемых газов. Анализатор содержания нефтепродуктов HORIBA OCMA-350 (рисунок 7) проводит надёжный и простой анализ нефтепродуктов в почвах и жидкостях в диапазоне: 0-200 г/л. Анализатор содержания нефтепродуктов ОСМА-350 позволяет определять нефтепродукты в почве и воде, а также контролировать остаточное содержание нефтепродуктов в очищенных продуктах.

Рисунок 7 - Анализатор HORIBA OCMA-350

Для экстракции нефтепродуктов HORIBA разработала специальный экстрагент S-316, не наносящий вреда окружающей среде. Этот экстрагент можно регенерировать с помощью установки Solvent Reclaimer, выпускаемой HORIBA. Рабочий диапазон от 0 до 200 мг/л или от 0 до 1000 мг/кг.

Подповерхностное зондирование

Технология базируется на использовании георадара подповерхностного зондирования (РПЗ) (рисунок 8), специально разработанного для указанных целей. В основе картографирования зон, загрязненных нефтепродуктами, лежит открытое и детально исследованное явление существенной зависимости электрических характеристик грунта от насыщения нефтепродуктом. РПЗ состоит из антенны для излучения и приема сигналов, генератора зондирующих сигналов с заданными характеристиками (синтезатор частоты), приемника отраженных сигналов, цифрового блока и компьютера.

Рисунок8 - Георадар подповерхностного зондирования

Сигнал, излученный антенной РПЗ, распространяется под поверхность земли и ослабляется вследствие затухания во влажном грунте. При наличии подповерхностного аномального объекта часть сигнала отражается в направлении приемной антенны. Другая часть сигнала распространяется дальше и отражается от следующих объектов. Расстояние до объекта определяется временем задержки распространения радиоволн от антенны до объекта и обратно.

Корреляционый метод поиска утечек жидкостей из трубопроводов

Корреляционный метод обнаружения утечек среды в трубопроводах и определения мест их расположения основан на измерении виброакустического сигнала, генерируемого утечкой, с помощью двух датчиков, установленных непосредственно на трубопроводе. Если два датчика установить с двух сторон (в двух колодцах) от предполагаемого места утечки и измерить с помощью 2-х канального анализатора взаимно-корреляционную функцию (далее по тексту - функцию кросскорреляции), то в этом случае можно определить разницу (задержку) по времени распространения сигнала от утечки до одного и до второго датчика.

Задержка определяется по максимуму функции кросскорреляции сигналов, измеренных датчиками. При известной скорости распространения сигнала (звука) по трубе и, зная расстояние между датчиками (колодцами, в которые они установлены), можно точно определить место расположения утечки с помощью элементарного расчета по формуле:

, (18)

гдеl - расстояние между датчиками- скорость распространения звука в трубе (м/с);- задержка по времени, определенная по максимуму функции кросскорреляции сигналов, измеренных двумя датчиками;,2 - расстояние от утечки до одного (1) или другого (2) измерительного датчика.

Знак ± определяется тем, до какого из 2-х датчиков определяется расстояние от утечки, первого или второго.

Точность определения места утечки с помощью данного метода зависит от точности измерения временной задержки (точности идентификации максимума кросскорреляционной функции), точности измерения расстояния между датчиками и от точности определения скорости распространения сигнала утечки по трубопроводу.

Первое (c методической точки зрения наиболее важное) определяется совершенством измерительного прибора как электронного устройства и применяемыми в нем алгоритмами программной обработки сигналов.

Второе - знанием трассы трубопровода.

Третье - отклонениями скорости распространения звука по трубе от её усредненного значения (1200 м/с), которые зависят от материала и способа укладки труб, температуры, давления, природы перекачиваемой жидкости, структуры грунта и других.

При условии корректного проведения измерений и выполнении всех необходимых требований, касающихся данной технологии точность обнаружения и определения мест расположения утечек с помощью корреляционного метода очень высокая (существенно выше акустического метода).

Иллюстрация корреляционно-акустического метода определения утечек, базирующегося на совместной обработке виброакустических сигналов, измеряемых двумя пьезодатчиками, устанавливаемыми на трубопровод в двух точках измерения, находящихся по концам проверяемого сегмента трубопровода приведена на рисунке 9.

Рисунок 9 - Корреляционно-акустический метод определения утечек

Корреляционные течеискатели работают на основе корреляционно-акустического метода определения мест утечек сред в трубопроводах под давлением.

Виброакустические сигналы, измеряемые в точках А и В, подвергаются усилению, оцифровке и синхронной обработке с помощью математического аппарата быстрого преобразования Фурье для получения ряда взаимных спектрально временных функций, в частности, функций кросскорреляции и когерентности. Упомянутые функции, особенно функция кросскорреляции, обеспечивают контроль состояния выбранного сегмента трубопровода и утечек.

Функциональная схема корреляционного течеискателя Т-2001 представлена на рисунке 10.

Рисунок 10 - Схема корреляционного течеискателя Т-2001

Функциональная схема корреляционного течеискателя содержит следующие электронные устройства:

два вибропреобразователя пьезоэлектрических (пьезоакселерометры - 1) - это датчики, улавливающие виброакустические сигналы утечки, устанавливаемые в контрольных точках трубопровода;

два предусилителя (2), находящиеся вблизи от контрольных точек трубопровода (как правило, не дальше 2-7 м от датчиков);

измерительный прибор, содержащий модуль обработки сигналов (3), представляющий собой двухканальный полнофункциональный анализатор сигналов с синхронной обработкой сигналов по двум каналам и портативный компьютер ноутбук (4), содержащий программы обработки и управления модулем обработки.

Датчики (1) с подсоединенными к ним предусилителями (2) составляют две чувствительных системы (А и В). Вторичный прибор в составе модуля обработки (3) и компьютера (4) составляют систему обработки сигналов, или коррелятор.

В течеискателе сигнал от чувствительных систем А и В на коррелятор передается по экранированным кабелям (5), кабели для удобства работы намотаны на кабельные катушки (6).

Принцип работы течеискателя:

Датчики (1) устанавливаются на трубопроводе в доступных колодцах или на частях запорной арматуры, выходящих из-под земли. Выбор точек измерения определяется сегментом трубопровода, который необходимо проверять (рис. 9).

Датчики преобразуют виброакустические сигналы в точках измерений в электрические сигналы, которые подаются на подключенные к ним предусилители (2), усиливающие поступающие сигналы. Далее сигналы с чувствительных систем А и В по кабелю (в кабельной модификации) или по радиоканалу (бескабельная модификация) передаются на модуль обработки (3) коррелятора. Модуль обработки осуществляет аналогово-цифровое преобразование по двум каналам А и В и передает преобразованные в цифровой вид сигналы по параллельному порту в компьютер (4).

В компьютере осуществляется программная обработка сигнала для получения временных и спектральных аналитических функций (в том числе, функций когерентности и кросскорреляции). Для определения утечки в компьютер также нужно ввести расстояние между датчиками и скорость распространения звука.

Если утечки нет (и нет также иных постоянных точечных источников звука) в точках А и В измеряются виброакустические сигналы, соответствующие случайным шумам, распространяющимся внутри и вне трубы. Полученные аналитические функции при этом показывают, что утечка отсутствует (рисунки 11 а, б).

Рисунок 11 - а) Функция когерентности и б) функция кросскорреляции при отсутствии утечки

В этом случае, проверке подвергается смежный с проверенным сегмент трубопровода (или иной сегмент в зависимости от ситуации). Таким образом, последовательной проверкой сегментов трубопровода, проверяется весь подлежащий проверке участок трубопроводной сети для определения наличия утечки.

Утечка на трубопроводе является источником звукового сигнала (звуковых волн), который генерируется истечением среды. Сигнал от утечки распространяется вдоль трубы в двух направлениях - к точкам измерения А и В, расположенным с двух сторон от утечки. Время распространения сигнала до точек А и В будет различно в зависимости от расстояния от этих точек до утечки. В результате сигналы, полученные в точках А и В, будут сдвинуты во времени относительно друг друга на разницу времени прохождения сигнала утечки до этих точек. Если по этим сигналам рассчитать их функцию кросскорреляции, то получим ярко выраженный максимум, соответствующий этому временному сдвигу. Коррелятор как раз и предназначен для вычисления функции кросскорреляции этих 2-х сигналов. По расположению максимума функции кросскорреляции коррелятор измеряет упомянутую задержку сигналов и после введения расстояния между датчиками и скорости распространения звука рассчитывает по приведенным на рис. 1 формулам расстояние до утечки. Изображения функции кросскорреляции и функции когерентности на экране коррелятора при наличии утечки представлены на рисунках11 а, б.

Рисунок 12 - а) Функция когерентности и б) функция кросскорреляции при наличии утечки.

Функция когерентности является неким аналогом функции кросскорреляции, но в частотной области. Она позволяет оценить ширину спектра сигнала утечки и выделить полосу анализа для расчета функции кросскорреляции.

Преимущества корреляционно-акустической технологии и корреляционных течеискателей перед альтернативными технологиями и течеискателями

Корреляционно-акустическая технология определения мест утечек и корреляционные течеискатели, реализующие эту технологию, имеют чрезвычайно высокие эксплуатационно-технические характеристики:

высокую чувствительность, т.е. способность выявлять малые утечки;

высокую точность определения местоположения утечек;

высокую надежность результатов при определении мест утечек;

независимость результатов от глубины прокладки трубопроводов;

высокую производительность проверки трубопроводов.

Альтернативные - шумометрические технологии и системы, которые имеют достаточно широкое распространение и базируются на прямом измерении шума (звука), генерируемого утечкой, реально могут конкурировать с корреляционно-акустическими лишь в случае применения внутри зданий и на коротких трубопроводах с неглубокой прокладкой, поскольку имеют ряд существенных недостатков:

глубина прокладки трубопроводов не должна превышать 1,5 м - при больших глубинах надежность результатов резко падает;

акустическая помехоустойчивость очень мала, поскольку шумометрические течеискатели для работы требуют, как правило, чтобы уровни внешних шумов не превышали уровней шума от утечки; практически необходима тишина для работы с шумометрическими течеискателями, что в условиях города или завода труднодостижимо.

если соблюдены указанные выше требования, то работа с шумометрическими течеискателями требует точного знания прокладки и конфигурации трубопровода, поскольку контроль осуществляется пошаговым прослушиванием (метр за метром) трубопровода с поверхности земли; этот процесс трудоемок, низкопроизводителен и ненадежен.

Таким образом, сравнение корреляционно-акустической технологии с шумометрической и соответственно эксплуатационно-технических характеристик корреляционных течеискателей с соответствующими характеристиками шумометрических течеискателей приводит к однозначному выводу о существенном превосходстве корреляционных течеискателей над шумометрическими, которые теряют свою работоспособность при средней и глубокой прокладке труб, а также в условиях городских и промышленных шумов. Они совершенно не способны конкурировать с корреляционными течеискателями при работе на трубопроводных сетях и протяженных трубопроводах, в частности на водопроводных сетях, заводских трубопроводных коммуникациях, продуктопроводах и т.д.

Локализация утечки осуществляется по значениям функций кросскорреляции. Ключевым моментом в методике является правильный выбор частотного диапазона измерения и частотной полосы анализа.

Определение утечки осуществляется в следующей последовательности:

) установка датчиков на трубопровод. При этом прибор позволяет определить правильность установки датчиков - на один сегмент трубопроводов, (в отличие от случая установки датчиков на несвязанных трубах).

) определение скорости звука и расстояния между датчиками. Методика позволяет правильно установить параметры измерения - частотный диапазон и количество усреднений в зависимости от ситуации на объекте.

Процесс измерения может длиться в зависимости от установленного разрешения и верхней частоты анализа от нескольких секунд до нескольких минут. По окончанию измерения на дисплее отображаются функции кросс-спектра и кросскорреляции, рисунок 13.

Рисунок 13 - Отображение функций кросс-спектра и кросскорреляции, полученных в результате измерений

Для определения местоположения утечки требуется установить частотную полосу анализа на функции кросс-спектра или функции когерентности. Полоса должна охватывать значимые пики этих функций.

После ввода значений скорости звука и расстояния между датчиками, расчет местоположения утечки осуществляется в приборе Т-2001 автоматически по максимуму функции кросскорреляции (рисунок 14).

Рисунок 14 - Функция кросскорреляции с окном отображения места утечки

. СРЕДА ВИЗУАЛЬНОГО ПРОГРАММИРОВАНИЯ LABVIEW

Система LabVIEW была разработана фирмой «NationalInstruments». Эта фирма существует более 25 лет и является лидером по производству контрольно-измерительной техники. В России офис фирмы открыт в 2000 г.

Основным принципом построения систем сбора, обработки и управления на базе оборудования и программного обеспечения фирмы «NationalInstruments» является возможность превращения персонального компьютера в измерительный комплекс с требуемыми метрологическими характеристиками.

Конфигурировать измерительные комплексы в системе LabVIEW можно как от датчиков и исполнительных механизмов (измерительная часть), так и от обработки данных (вычислительная часть). В первом случае необходимо подсоединить датчики к персональному компьютеру и провести аналого-цифровое преобразование аналоговых сигналов для дальнейшей обработки и формирования отчетов. Во втором случае задача решается встроенными программными средствами обработки сигналов, статистического анализа, имитации, при необходимости - работы внешних устройств.

Появление программы LabVIEW позволило на основании датчика, АЦП и соответствующих программных средств осуществлять функции множества измерительных приборов различного назначения, а также функции обработки результатов измерений.- это мощное и удобное средство программирования, которое широко используется для автоматизации и управления различными технологическими процессами в научных исследованиях.

В основе программирования в LabVIEW лежит понятие Виртуальный прибор (VirtualInstruments, VI). Любая программа представляет собой такой виртуальный прибор.

Любой виртуальный прибор в LabVIEW состоит из Лицевой панели, которая содержит комбинацию средств управления и индикаторов и панели Диаграмма, где собственно и помещается алгоритм работы программы.

На рисунке 15 представлена лицевая панель и блок-диаграмма виртуального прибора.

Рисунок 15 - Лицевая панель и блок-диаграмма

При создании программы используется такое понятие, как «поток данных» (DataFlow). Все элементы программы (которые представлены графически) связываются между собой связями, по которым и происходит передача данных.

На рисунке 15 цифрами обозначены: 1 - Точки, элементы программы (Nodes); 2 - терминалы индикаторов (IndicatorTerminals); 3 - связи (Wires); 4 -терминалы управляющих элементов (ControlTerminals).

В LabVIEW создается пользовательский интерфейс (лицевая панель), с управляющими элементами и индикаторами. Управляющие элементы - это тумблеры, кнопки, поля ввода и прочие устройства ввода. Индикаторы - это графики, шкалы, лампочки, текстовые поля и тому подобное. После создания пользовательского интерфейса добавляется программный код, который управляет объектами на лицевой панели. Этот код содержится в схеме (blockdiagram).

Используя LabVIEW, можно создавать приложения для тестирования и измерений, сбора данных, управления различными внешними устройствами, генерации отчетов. Также можно создать независимые исполняемые файлы и библиотеки функций, такие как DLL, так как LabVIEW - это полноценный 32-битный компилятор.содержит набор подпрограмм, которые позволяют настроить устройства данных сбора данных и обмениваться с ними информацией - т.е. осуществлять сбор данных, и управление устройствами. Обычно, одно устройство может поддерживать множество функций - аналого-цифровое преобразование, цифро-аналоговое преобразование, цифровой ввод-вывод, операции счета и тайминга. Устройства DAQ различаются по своим параметрам, например, по скорости преобразования.

Прежде чем компьютерная система измерений сможет измерить реальный физический сигнал, такой как температура, сенсор или датчик должен преобразовать физический сигнал в электрический, такой как напряжение или ток. Поэтому, устройство DAQ - это только часть системы измерений, а не вся система. Фактически, DAQ выступает посредником между исследуемой системой и компьютером, преобразуя данные в цифровой формат.

Рисунок 16 - Плата USB-6008

Устройства DAQ могут быть встраиваемыми в компьютер (вставляться в PCI слот, или в PCMCIA слот в ноутбуке) или внешними - в этом случае связь с компьютером производится через последовательный порт или ethernet.

2.1Связь между числом временных дискрет с дискретой по частоте

Если выборка сигнала произведена на заданной частоте дискретизации, то интервал времени между отсчетами выборки определяется по формуле:

(19)

интервал времени между отсчетами

частота дискретизации, т.е число отсчетов в секунду

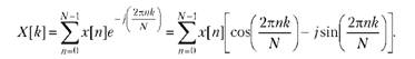
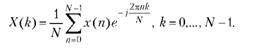
Интервал между отсчетами в выборке соответствует наименьшей частоте, которую система может реализовать через ДПФ или связанные подпрограммы. ДПФ определяется следующим выражением, в котором отсчеты по времени в отсчеты в области частот:

,  (20)= 0, … N-1

-выборка сигналов в области времени - общее число отсчетов в выборке

Необходимо обратить внимание, что xв области времени и Xв области частот имеют общее количество отсчетов N.

Подобно интервалу между выборками по времени  имеется интервал между выборками по частоте - разрешающая способность по частоте выражение:

(21)

Чтобы улучшить разрешающую способность по частоте, т.е уменьшить  нужно увеличить число N или уменьшить величину .

Оба подхода эквивалентны увеличению длительности , которая является продолжительностью выборки.

Быстрое преобразование Фурье

Быстрое преобразование Фурье (БПФ) - это название целого ряда эффективных алгоритмов, предназначенных для быстрого вычисления дискретно-временного ряда Фурье (ДВРФ). Основная проблема, возникающая при практической реализации ДВРФ, заключена в большом количестве вычислительных операций, пропорциональном N2. Хотя еще задолго до появления компьютеров было предложено несколько эффективных вычислительных схем, позволяющих существенно сократить число вычислительных операций, настоящую революцию произвела публикация в 1965 году статьи Кули (Cooly) и Тьюки (Tukey) c практическим алгоритмом быстрого (число операций Nlog2N) вычисления ДВРФ. После этого было разработано множество вариантов, усовершенствований и дополнений основной идеи, составивших класс алгоритмов, известных под названием быстрого преобразования Фурье. Основная идея БПФ - деление N-точечного ДВРФ на два и более ДВРФ меньшей длины, каждый из которых можно вычислить отдельно, а затем линейно просуммировать с остальными, с тем, чтобы получить ДВРФ исходной N-точечной последовательности.

Представим дискретное преобразование Фурье (ДВРФ) в виде

,(22)

где величина WN=exp(-j2π/N) носит название поворачивающего множителя (здесь и далее в этом разделе период выборки T=1). Выделим из последовательности x[n] элементы с четными и нечетными номерами

. (23)

Но так как то . Следовательно, (22) можно записать в виде

,(24)

где каждое из слагаемых является преобразованием длины N/2

(25)

Заметим, что последовательность (WN/2)nk периодична по k с периодом N/2. Поэтому, хотя номер k в выражении (23) принимает значения от 0 до N-1, каждая из сумм вычисляется для значений k от 0 до N/2-1. Можно оценить число комплексных операций умножения и сложения, необходимых для вычисления преобразования Фурье в соответствии с алгоритмом (23)-(24). Два N/2-точечных преобразования Фурье по формулам (24) предполагают выполнение 2(N/2)2 умножений и приблизительно столько же сложений. Объединение двух N/2-точечных преобразований по формуле (23) требует еще N умножений и N сложений. Следовательно, для вычисления преобразования Фурье для всех N значений k необходимо произвести по N+N2/2 умножений и сложений. В то же время прямое вычисление по формуле (21) требует по N2 умножений и сложений. Уже при N>2 выполняется неравенство N+N2/2 < N2 , и, таким образом, вычисления по алгоритму (23)-(24) требуют меньшего числа математических операций по сравнению с прямым вычислением преобразования Фурье по формуле (21). Так как вычисление N-точечного преобразования Фурье через два N/2-точечных приводит к экономии вычислительных операций, то каждое из N/2-точечных ДПФ следует вычислять путем сведения их к N/4-точечным преобразованиям:

,(26)

 (27)

При этом, вследствие периодичности последовательности WnkN/4 по k с периодом N/4, суммы (26) необходимо вычислять только для значений k от 0 до N/4-1. Поэтому расчет последовательности X[k] по формулам (23), (25) и (26) требует, как нетрудно подсчитать, уже по 2N+N2/4 операций умножения и сложения.

Следуя таким путем, объем вычислений X[k] можно все более и более уменьшать. После m=log2N разложений приходим к двухточечным преобразованиям Фурье вида

(28)

где "одноточечные преобразования" X1[k,p] представляют собой просто отсчеты сигнала x[n]:

[k,q] = x[q]/N, q=0,1,...,N-1. (29)

В итоге можно записать алгоритм БПФ, получивший по понятным причинам название алгоритма с прореживанием по времени :

X2[k,p] = (x[p] + Wk2x[p+N/2]) / N,

где k=0,1, p=0,1,...,N/2 -1;N/M[k,p] =XN/M[k,p] + Wk2N/MXN/M[k,p+M/2],

где k=0,1,...,2N/M -1, p=0,1,...,M/2 -1;[k] = XN[k] =XN/2[k,0] + WkNXN/2[k,1], (30)

где k=0,1,...,N-1

На каждом этапе вычислений производится по N комплексных умножений и сложений. А так как число разложений исходной последовательности на подпоследовательности половинной длины равно log2N, то полное число операций умножения-сложения в алгоритме БПФ равно Nlog2N. При больших N имеет место существенная экономия вычислительных операций по сравнению с прямым вычислением ДПФ. Например, при N = 210 = 1024 число операций уменьшается в 117 раз.

В системе LabVIEW:

Непосредственно выполнение ДПФ на N отсчетов в выборке данных требует приблизительноN2 комплексных операций, и поэтому данный процесс занимает много времени. Быстрое преобразование Фурье представляет собой быстрый алгоритм для вычисления ДПФ. ДПФ определяется уравнением

(31)

Следующие понятия являются базовыми функциями для основанного на БПФ анализа спектра сигнала:

• БПФ;

• спектр мощности;

• перекрестный (взаимный) (cross) спектр мощности.

Можно использовать базовые функции БПФ (FFT-based) как стандартные блоки для того, чтобы измерять дополнительные характеристики типа частотной, импульсной характеристик, а также последовательностей для амплитудного и фазового спектров.

БПФ и спектр мощности используются для того, чтобы произвести измерения частоты стационарных или нестационарных сигналов. С помощью БПФ производится усреднение частотных компонент сигнала по всей выборке. Поэтому можно использовать БПФ для анализа стационарного сигнала или в случаях, когда есть необходимость измерить только значение средней энергии в каждой точке по частоте.

БПФ эквивалентно набору параллельных фильтров с полосой пропускания А/, центрированных в каждом приращении частоты от постоянной составляющей до(Fs/2) - (Fs/N). Поэтому частотные линии также известны как отсчеты по частоте, частотные дискреты (bins) или БПФ-дискреты.

Вычисление частотных составляющих

Каждая гармоническая составляющая есть точечная выборка сигнала, заданного в области времени с множителем в виде экспоненциального комплекса на этой частоте, которая определяется следующим выражением:

(32)

Постоянная составляющая - это точечная выборка х(п) с весовым коэффициентом [cos(O) -7*sin(О)] или 1,0.

Первый частотный дискрет, или частотная составляющая, является точечной оценкой х(п) с весовым коэффициентом cos(2nn/N) -jsm(2nn/N). Здесь cos(2nn/N) - отдельный период косинусоидального колебания и sin(2nn/N) - отдельный период синусоидального колебания.

Вообще, отсчет с номером k - точечная выборка х(п) с k периодами косинусной составляющей для вещественной части X(k) и синусной составляющей для мнимой части X(k).

Использование БПФ для спектрального анализа подразумевает два важных отношения.

Первое отношение связывает самую высокую по частоте спектральную составляющую, которая может быть проанализирована в частотной выборке, с частотой дискретизации. Частота этой составляющей определяется следующим уравнением:

(33)

где  - самая высокая частота в спектре, которая может быть проанализирована.

Второе отношение связывает разрешающую способность по частоте с полным временем выборки, которое связано с частотой дискретизации и размером блока БПФ.

(34)

где  - разрешающая способность по частоте,

Т - время измерения,

 - частота дискретизации,

 - размер блока отсчетов БПФ.

В полиморфном виртуальном приборе БПФ (Polymorphic FFT VI) используются две разновидности БПФ: реальное БПФ (Real FFT) и комплексное БПФ (Complex FFT).

Различие между этими двумя типами преобразований состоит в том, что виртуальный прибор реального БПФ производит БПФ от сигнала с реальными отсчетами, тогда как виртуальный прибор комплексного БПФ вычисляет БПФ сигнала с комплексными отсчетами. Однако выводы для обоих видов виртуальных приборов БПФ комплексные.

Большинство реальных сигналов имеет реальные отсчеты в выборке. Поэтому можно использовать ВП реального БПФ для большинства приложений. Можно также использовать ВП комплексного БПФ, полагая отсчеты мнимой части сигнала нулевыми.

Для комплексного БПФ используются отсчеты сигнала, содержащие реальные и мнимые части.

Сигнал, состоящий из реальной и мнимой частей, встречается часто в области телекоммуникаций и радиолокации, где модулируется форма колебания показательным комплексом, а сигнал является узкополосным, что позволяет перейти к методам анализа и обработки по комплексной огибающей. Процесс умножения входных отсчетов на комплексные экспоненциальные колебания приводит к комплексному сигналу, как показано на рисунке 17.

Рисунок 17 - Модуляция комплексными экспоненциальными колебаниями

Дискретная интерпретация преобразования Фурье заключается в преобразовании цифрового сигнала в коэффициенты ряда Фурье или гармоники. К сожалению, ни время, ни шкала частот непосредственно не связаны с операцией БПФ. Поэтому необходимо определить интервал At получения отсчетов в выборке.

Поскольку полученный при дискретизации массив единичных измерений в выборке представляет эквидистантные во времени отсчеты выборки, можно определить соответствующую частоту в герцах. В следующем уравнении определяется частота fs дискретизации исходного сигнала через интервал ∆t:

(35)

На рисунке 14 показана блок-диаграмма ВП, который должным образом отображает информацию о частотах гармонических составляющих сигнала по заданному интервалу дискретизации 1000 Гц и рассчитывает амплитуды гармонических составляющих через интервал ∆t по частоте.

На рисунке 19 показан дисплей и индикатор интервала ∆t, которые определяются виртуальным прибором, представленным блок-диаграммой на рисунке 18.

Рисунок 18 - Блок-диаграмма виртуального прибора для отображения информации о частоте

Рисунок 19 - Отображенная информация о частоте на лицевой панели виртуального прибора

Два других обычных способа представления информации о частоте обеспечивают отображение постоянной составляющей в центре или показывают односторонние спектры.

Простое стандартное БПФ, представленное на рисунке ниже, говорит нам о нескольких интересных особенностях использования в LabVIEW комплексного БПФ. Спектр сигнала после комплексного БПФ начинается с компоненты постоянного тока, занимает половину выборки, а затем отображается зеркально на второй половине выборки.

Рисунок 20- ВП для вычисления простого БПФ

Такие результаты типичны для БПФ и легко могут быть изменены при разделении множества отсчетов спектра на две половины, которые располагаются зеркально относительно друг друга (рисунок 21).

Рисунок 21- Виртуальный прибор AdvFFT.vi

Другая известная особенность (или недостаток) БПФ это то, что размер входной выборки не равен степени 2. В этом случае комплексное стандартное БПФ фактически является комплексным дискретным преобразованием Фурье (ДПФ). Если необходимо гарантировать, чтобы БПФ всегда выполнялось, необходимо дополнить входные данные, приближая размер выборки к следующему по величине степени 2, как показано в улучшенном ВП на рисунке 21. Здесь имеет значение, что выполняется: БПФ или ДПФ. Из сравнительного анализа БПФ и ДПФ, можно сделать вывод, что вычисление дискретного преобразования Фурье вообще требует N2 комплексных умножений, где N- число точек в дискретном преобразовании Фурье. Наоборот, БПФ требует только(N/2) log2 Af комплексных умножений. Для примера можно предположить, что размер выборки входного сигнала - 200 000 единичных отсчетов. Если необходимо исследовать спектр этого сигнала на основе дискретного преобразования Фурье, потребуется 40 000 000 000 комплексных умножений. Это довольно много операций для выполнения любым компьютером. Используя БПФ, можно сократить число операций комплексного умножения до числа, приблизительно равного 1 760 000 . Имеется различие, более чем в 10 000 раз, между этими двумя реализациями, и, таким образом, преимущество использования БПФ очевидно.

На рисунке 21 показана блок-диаграмма и передняя панель для улучшенного ВП БПФ, названного AdvFFT.vi. Эта функция имеет возможность перед вычислением БПФ добавлять в конец входной выборки соответствующее число нулей, чтобы дополнить число N до следующего значения равного степени 2. Необходимо заметить также, что спектр, показанный на передней панели, теперь изменен так, что имеет центрированный относительно постоянной составляющей характер, и при увеличении количества отрицательных по частоте отброшенных составляющих способствует увеличению значений амплитуд составляющих с положительными частотами в правой части. В дополнение к этим особенностям ВП AdvFFT.vi также имеет способность принять реальный или комплексный входной сигнал и будет вызывать из библиотеки соответствующую БПФ-функцию. Кроме того, имеется псевдополиморфный вход ВП для обращения к реальному или комплексному БПФ и возможность отображать на передней панели результат смещения спектра. Можно вызывать этот специфический ВП регулярно и анализировать сигнал в различных точках системы связи, так же как и исследовать выходные сигналы фильтров.

Здесь есть необходимость уменьшить число головоломок, возникающих при использовании ВП AdvFFT. Это относится к генератору значений для частотной оси.

Таким образом, неизвестны отношения между компонентами сигнала, представленными на рисунке 21, и связь с ними величин амплитуд спектральных составляющих. Известно, что ДПФ вычисляется так:

(36)

При использовании выражения (35) можно увидеть, что с помощью ДПФ вычисляются спектральные составляющие входного сигналах (п) в эквидистантно расположенных по частоте точках, определенных как exp(2nk/N) дляk = 0,..., N - 1. Это означает, что будут получены N дискретных составляющих по частоте (обычно известные как точки ДПФ на частотах), в которых оцениваются спектральные составляющиеся). Необходимо иметь в виду, что, если нужно вычислить непрерывное преобразование Фурье от сигнала, необходимо оценить содержание спектральных составляющих сигнала в бесконечном числе точек по частоте. По этой причине во многих литературных источниках ДПФ именуется как дискретизация результата непрерывного преобразования Фурье. Поскольку мы толькосмотримна спектральные составляющие выборки х(п) по N дискретным отсчетам по частоте, любое спектральное содержание х(п), не соответствующее этим дискретным значениям, не будет учтено должным образом. Есть ли что-нибудь, что можно сделать в этом направлении? Один из способов разрешения этой проблемы состоит в том, чтобы расположить по частоте эти N дискретных отсчетов ближе друг к другу, увеличивая значение N. Это легко может быть обеспечено нулями, дополняющими входной сигнал, как это было сделано в AdvFFT VI при использовании функции БПФ. Так что здесь мы получаем два преимущества от дополнения нулями: повышение скорости БПФ и увеличение спектрального разрешения, вызванные использованием непрерывного преобразования Фурье при более высокой скорости дискретизации его результатов. Как всегда, будет компромисс между требуемым спектральным разрешением и временем вычисления БПФ. Таким образом, возникает вопрос: как точно связан множитель eхр(2nk/N) с интервалом разрешения ДПФ по частоте, который имеет смысл в решаемой задаче? Здесьнеобходимо точно знать обычную выборку х(п) анализируемого сигнала. Выборка х(п) получена из входного аналогового сигнала дискретизацией с частотой А, и можно рассчитать интервал по частоте между последовательными отсчетами ДПФ:

(37)

Используя выражение (37), можно легко выразить ось частоты для подготовленного спектра в ВП AdvFFT. На рисунке 22 показан ВП FreqAxis.vi, и с помощью его единственной операции можно получить значения на оси частот, основанные на интервале между отсчетами, данным в выражении (36). Входы этого ВП: N (число отсчетов), fs (обычная частота дискретизации) и булевы значения, чтобы решить, произвести одностороннюю или двухстороннюю ось частоты в спектре.

Рисунок 22- ВП FreqAxis.vi для формирования оси частот, основанной на выражении (37)

Заключительная блок-диаграмма для AdvFFT.vi, дополненная ВП FreqAxis, показана на рисунке 22. График спектра строится в декартовой системе координат XY, чтобы разместить входные отсчеты на двух осях. Теперь, если отредактировать соединительную панель, чтобы связать комплексный вход, реальный вход и ввод частоты дискретизации, а также подсоединить вход БПФ ко входным терминалам ВП, а спектр сигнала с его выхода - к одному из терминалов выхода, можно использовать AdvFFT в других ВП в виде блока (sub-VI).

Рисунок 23 - Окончательная форма блок-диаграммы ВП AdvFFT. Vi

.3 Увеличение времени наблюдения сигнала при заданных значения хтактовой частоты платы ЦАП (АЦП) в среде LabVIEW

При получении аналогового сигнала, он проходит через инструментальный усилитель в АЦП. Однако вы можете не знать, что происходит с сигналом дальше. Он поступает в FIFO (от First In First Out - первым поступил - первым выводится) буфер, расположенный в устройстве, который хранит данные до тех пор, пока они не будут переданы из устройства в компьютер. После этого данные поступают из устройства в буфер ПК по каналу прямого доступа к памяти (Direct Memory Access - DMA) или с использованием запроса прерывания (Interrupt Request - IRQ).

Буферизированный сбор данных.

Для получения нескольких точек данных за один опрос устройства, используется «буферизированный сбор данных». Перед считыванием в LabVIEW, выборки передаются из устройствав промежуточный буфер в памяти.

Для буферизированного аналогового ввода с аппаратным тактированием используютсятакие виртуальные приборы (ВП)как: DAQmx Read, DAQmx Timing, DAQmx Start Task и DAQmx Stop Task.Read (DAQmx Чтение), расположенный в палитре DAQmx - Data Acquisition, считывает выборки из заданной задачи или канала. Входные терминалы этогополиморфного ВП позволяют задать формат возвращаемых выборок, считывание однойили нескольких выборок, и считывание из одного или нескольких каналов.Timing (ВП DAQmx Тактирование) настраивает частоту выборки, число выборок для сбора или генерации и создает буфер в случае необходимости.Start Task - применяется для запуска сбора данных.Stop Task - останавливает задачу и высвобождает ресурсы, выделенные устройству.

Схема буферизированного сбора данных представлена на рисунке 24.

Рисунок 24 - Блок-схема буферизированного сбора данных

Timing задает задачу/канал, тактирование и количество выборок на канал (размер буфера). Затем, ВП DAQmx Start Task запускает сбор данных. После этого программа ждет на этапе ВП DAQmx Read, пока не заполнится весь буфер. Когда это произойдет, ВП DAQmx Read возвращает данные из буфера, ВП DAQmx Stop Task останавливает сбор данных.

Буфер персонального компьютера представляет собой область памяти, в которойхранятся данные после получения их из устройства. DAQmx Read передает данные в буфер LabVIEW, которые затем могут быть отображены

на лицевой панели. Буфер LabVIEW может передать данные на график осциллограмм, в массив или в виде типа данных «осциллограмма» в зависимости от настройки конфигуратора ВП DAQmx Read и способа подключения выходных терминалов ВПDA Qmx Read.

Итак, отметим, что при буферизированном сборе данных, мы получаем некоторое ограниченное число точек входного сигнала. Возможно, если мы будем осуществлять выборку с максимально возможной частотой для данного измерительного устройства и в течение длительных промежутков времени, то нам может не хватить оперативной памяти или дискового пространства для накопления данных.

Для того, чтобы собирать неограниченное количество данных и, соответственно наблюдать за входным сигналом более длительное время, существует так называемый «непрерывный буферизированный сбор данных».

Непрерывный буферизированный сбор данных

Следующая блок-схема демонстрирует непрерывный буферизированный сбор данных.

Рисунок 25 - Непрерывный буферизированный сбор данных

Первые три этапа на этой блок-схеме совпадают с этапами на блок-схеме буферизированного сбора данных. Они отвечают за настройку DAQ устройства виртуальным прибором DAQmx Timing, за запуск сбора данных ВП DAQmx Start Task и подготовку к считыванию данных ВП DAQmx Read. Поскольку сбор данных«непрерывный», то и считываются данные также непрерывно. Поэтому ВП DAQmx Read помещается в цикл. Цикл завершит выполняться, если возникнет ошибка, или если вы остановите его с лицевой панели. При каждом выполнении цикла ВП DAQmx Read будет возвращать данные. Когда же выполнение цикла закончится, ВП DAQmx Stop Task остановит задачу и высвободит ресурсы. ВП Simple Error Handler покажет ошибки, возникшие в процессе выполнения.

Блок-диаграмма ВП непрерывного буферизированного сбора:

Рисунок 26 - Блок-диаграмма ВП непрерывного буферизированного сбора

ВП DAQmx Read находится внутри цикла по условию (While).

Ввод число выборок на канал определяется пользователем. При сборе ограниченного числа данных NI-DAQmx автоматически определяет количество выборок для чтения.Если оставить этот ввод неподключенным или выставить значение -1, NI-DAQmx считает полное количество выборок, имеющихся в буфере.

Отслеживается количество выборок, доступных для считывания (backlog).

Для применения непрерывного буферизированного сбора данных вначале используется ВП Timing, настраивающий тактирование, число выборок на канал (буфер) ичастоту сбора данных. Далее используется ВП DAQmx Start для запуска сбора данных.Затем ВП DAQmx Read, помещенный в цикл по условию, будет считывает данные из буфера.

Для предотвращения переполнения буфера число выборок на канал для чтения(number of samples per channel to read) не может быть большим или равным размеру буфера. Обычно при непрерывном сборе данных устанавливают значение ввода numberof samples per channel to read равным четверти либо половине размера буфера.

Поскольку LabVIEW непрерывно отправляет данные в буфер, важно постоянно следить за числом доступных выборок в буфере, чтобы быть уверенным, что буфер опустошаетсядостаточно быстро.Если же количество доступных выборок на канал (backlog) постоянно возрастает,то буфер может переполниться, и возникнет ошибка. Цикл по условию, содержащий ВПRead, может быть остановлен либо пользователем, нажавшим кнопку на лицевойпанели, либо при возникновении ошибки в ВП DAQmx Read, такой как переполнениебуфера. После остановки цикла ВП DAQmx Stop Task остановит задачу и высвободит ресурсы, а ВП Simple Error Handler отобразит все возникшие ошибки.

Циклический буфер

Операция непрерывного буферизированного сбора данных достаточно сложна,поскольку компьютер использует один буфер, а мы получаем большее количество данных, чем может вместить буфер. Чтобы выполнить эту операцию, необходимо использовать циклический буфер. Следующий рисунок иллюстрирует работу циклического буфера (рисунок 27).

Рисунок 27 - Принцип работы циклического буфера

Циклический буфер похож на обычный, только вместо завершения работы при достижении конца циклического буфера, мы начинаем запуск сначала. Буфер ПК назначается при задании значения на входе samples per channel(#выборок на канал) ВПDAQmx Timing. Когда ВП DAQmx Start Task запускает сбор данных, буфер ПК начинает заполняться данными. Процесс получения данных происходит внутри цикла по условию.Предположим, что мы задали число выборок для чтения (number of samples perchannel to read) равным значению между четвертью и половиной размера буфера. Когдачисло выборок на канал в буфере ПК станет равным количеству выборок для чтения, ВПDAQmx Read переместит это число выборок из буфера ПК в буфер LabVIEW. ВП DAQmxRead устанавливает флаг (метку), называемый текущим положением выборки, чтобы вдальнейшем продолжить считывание с места, где оно было остановлено.Между тем, буфер ПК продолжает заполняться данными. Пока это происходит, ВПDAQmx Read продолжает передавать данные из буфера ПК в буфер LabVIEW. Когда метка конца данных достигает предела буфера ПК, то новые данные начинают записываться в начале этого буфера. Разница между меткой конца выборок и текущим положением выборки равна числу доступных выборок на канал (backlog). LabVIEW нужно считывать данные достаточно быстро, чтобы избежать случая, когда метка конца данных догонит текущее положение выборки. В противном случае, новые данные запишутся поверх старых, и LabVIEW выдаст ошибку.

Ошибка наложения записей

Наиболее распространенная ошибка, с которой можно столкнуться при выполнении непрерывного буферизированного сбора данных, это ошибка наложения записей (overwrite error). Эта ошибка возникнет, когда метка конца выборок догонит текущее положение выборки, и данные будут накладываться друг на друга. Это происходит, если LabVIEW не достаточно быстро считывает данные из буфера ПК. Существует несколько способов, помогающих избежать этой ошибки, но не все из них можно применять в конкретной ситуации, так как некоторые срабатывают лучше, чем другие.

Увеличить число выборок на канал (размер буфера) в ВП DAQmx Timing. Эта мера не снимет проблему, если вы не опустошаете буфер с достаточной скоростью. Норма числа выборок на канал для считывания: от четверти до половины размера буфера. Если увеличение размера буфера приведет квыполнению указанного условия,то это исключит ошибку.

Опустошать буфер быстрее, увеличивая число выборок на канал для считывания

(number of samples per channel to read). Не устанавливать этого числа слишкомбольшим, поскольку при этом возникнет пауза в ВП DAQmx Read до тех пор, покаколичество выборок в буфере не достигнет числа выборок для считывания. Время,затраченное на ожидание заполнения буфера выборками, могло быть потрачено наопустошение буфера.

Уменьшить частоту выборок на канал в ВП DAQmx Timing. Эта мера замедлит

скорость, с которой данные будут отправляться в буфер. Однако это может быть

неприемлемо, если вам необходима определенная частота дискретизации.

Избегать замедления выполнения цикла из-за ненужного анализа данных внутри него.

Ошибка переполнения

Другая ошибка, которая может возникнуть при непрерывном буферизированном сборе данных, вызывается переполнением FIFO буфера DAQ устройства. Эта ошибка не настолько распространена, как ошибка наложения записи, но ее и не так легко исправить.Она появляется, когда FIFO буфер не опустошается достаточно быстро. При передачед анных в буфер компьютера состояние FIFO буфера зависит или от DMA или от IRQ,поэтому, когда FIFO буфер опустошается недостаточно быстро, есть всего лишь несколько способов предотвратить ошибку:

убедиться, что, если DMA доступен, вы используете канал DMA для передачи данных. Прямой доступ к памяти (DMA) работает быстрее, чем запрос прерывания(IRQ), и это может значительно увеличить быстродействие. За большей информацией об использовании DMA обращайтесь как справке NI-DAQmx Help и узлу свойствDAQmx канала (DAQmx Channel Property Node) (свойство Data Transfer Mechanism(Механизм передачи данных)).

уменьшить частоту выборки на канал в ВП DAQmx Timing.

приобрести устройство с большим FIFO буфером. Однако этот способ может только оттянуть появление проблемы вместо ее решения.

приобрести компьютер с более быстрой шиной, чтобы ускорить передачу данных изFIFO буфера в буфер компьютера. Переполнение обусловлено тем, что система не забирает данные из устройства с надлежащей скоростью. Поэтому компьютер с более быстрой шиной может переносить данные из FIFO буфера быстрее.

3. СПЕКТРАЛЬНЫЙ АНАЛИЗ СИГНАЛОВ В СИСТЕМЕ LABVIEW

Спектральный метод базируется на анализе спектра полезного сигнала в определенных его частотных диапазонах. Полезный сигнал будем получать при помощи пьезоэлектрического датчика, используемого для измерения вибрации. Принцип действия этих датчиков основан на пьезоэффекте: генерации электрического сигнала, пропорционального ускорению при сжатии или растяжении пьезокристалла. В качестве исследуемого устройства воспользуемся малогабаритным электродвигателем (ЭД) постоянного тока МЭ 255, с подшипниковым узлом.

Керамический пьезодатчик приклеим к корпусу электродвигателя при помощи эпоксидного клея, а выводы датчика подключим к плате УСД по дифференциальной схеме, представленной на рисунке 28.При таком способе подключения возможно измерение сигналов с размахом ±20 В в диапазоне ±20 В.

Рисунок 28 - Подключение сигналов в дифференциальной схеме

Функциональная схема экспериментальной установки представлена на рисунке 29:

Рисунок 29- Функциональная схема экспериментальной установки

Для программной обработки сигнала вибрации, снятого с пьезодатчика и преданного при помощи УСД USB-6008 на компьютер, в LabVIEW существует виртуальный прибор DAQmxAssistant, который позволяет легко и быстро решить стандартную задачу сбора данных.

Для программной обработки сигнала вибрации, снятого с пьезодатчика и преданного при помощи УСД USB-6008 на компьютер, в LabVIEW существует виртуальный прибор DAQmxAssistant, который позволяет легко и быстро решить стандартную задачу сбора данных.

На Блок Диаграмму проектируемой программы добавляется ВП DAQmxAssistant. При этом появится диалоговое окно, в котором осуществляется конфигурация задания. В процессе создания локального задания указывается необходимый тип измерения. В нашем случае нам надо выбрать аналоговый ввод AnalogInput. На следующем шаге выберем напряжение Voltage. Далее надо выбрать канал, с которого будут считываться данные. Выбераем физический канал DAQ устройства ai 1 и нажимаем кнопку Finish. Экспресс-ВП DAQ Assistant откроет новое диалоговое окно, при помощи которого можно установить все необходимые параметры задания. Вид этого диалогового окна представлен на рисунке 30.

Рисунок 30 - Настройка параметров задания для DAQAssistant

В нижней части этого окна настраиваются параметры выборки напряжения. В выпадающем списке AcquisitionMode выберем N Samples (производить N измерений). Установим параметр Samples То Read (определяет число считываемых отсчетов), равным 5000, aRate (определяет скорость считывания) 10 кГц.

В качестве исходных данных для проведения эксперимента представлена программа вибродиагностики ЭД 111.vi, составленная на языке графического программирования в системе LabVIEW, блок -диаграмма которой представлена на рисунке 31.

Рисунок 31 - Блок-диаграмма программы вибродиагностики ЭД

Программа позволяет строить спектр сигнала и производить его анализ. С помощью данной программы можно реализовать: диагностику по сигналу во временной области, диагностику по спектру сигнала, диагностику по спектру огибающей. Полосовые фильтры (ПФ), созданные в программе позволяют пропускать частоты в нужном диапазоне и вырезают все остальные частоты. Есть возможность задавать верхние и нижние частоты среза ПФ, так как для различных типов оборудования могут понадобиться различные частотные диапазоны при проведении вибродиагностических процедур. Программа позволяет проводить расчет уровня дефекта как среднее по всем диапазонам частот сигнала.

Итак, полученный нами входной аналоговый сигнал с пьезодатчика поступает на плату УСД, где оцифровывается и отображается в окне нашей программы:

Рисунок 32 - Осциллограмма входного напряжения с пьезодатчика

Исходя из рисунка, можно сказать, что при вращении двигателя мы наблюдаем всплески амплитуды измеряемой вибрации, что говорит оразнородных дефектах, присутствующих в нашем электродвигателе, которые могут привести к скорой его поломке. Чаще всего в первую очередь приходят в негодность подвижные части приборов, например, подшипники. У каждого подшипника есть своя характерная частота вращения, а так же частоты обкатывания тел вращения по внутреннему и наружному кольцу подшипника. Тела вращения, наезжая на какое-либо повреждение производят высокочастотный «удар», который имеет практически идеальный широкий спектр. Поэтому, каждый импульс, то есть «удар» тела качения о повреждение, можно анализировать и на высоких частотах нашего сигнала. На этом принципе основан метод «огибающей» случайной составляющей сигнала. То есть, на высоких частотах выделяют диапазон частот, не имеющий никаких сторонних гармоник (например, гармоник частоты вращения, вибраций, и т.д.), и изучают эту высокочастотную составляющую сигнала, что является наиболее надежным способом. Дефектов, которые могут проявиться в нашем приборе, существует большое множество. Например, дефекты, связанные со смещением внутреннего и наружного кольца подшипника. Поэтому, лучше всего разбить весь диапазон частот нашего сигнала на «октавы», каждая из которых, скорее всего, несет в себе какой-то отдельный дефект. И анализировать каждую из полученных октав по отдельности, связав соответствующую октаву с соответствующим дефектом. Тогда мы и сможем осуществить задачу диагностику нашего прибора.

Для проведения испытаний проектируемой диагностической системы нами были установлены частотные диапазоны, представленные в таблице 3. Эти диапазоны выбирались исходя из характерных частот вращения ЭД МЭ 255 и частот, характерных для дефектов подшипников качения.

Таблица 3 - Частотные диапазоны

№ фильтра

Нижняя частота среза, Гц

Верхняя частота среза, Гц

1

1

10

2

10

50

3

50

100

4

100

250

5

250

500

6

500

2000

7

2000

2250

8

2250

2500

9

2500

2750

10

2750

3000


Далее в каждой полосе частот строится амплитудный спектр сигнала при помощи ВП Spectral Measurements.

Таким образом, мы получим десять спектральных составляющих сигнала вибрации в различных частотных диапазонах. Все эти десять спектров, для наглядности, объединяются в программе на одном графике (рисунок 33).

Рисунок 33 - Спектры и диаграмма сигнала вибрации ЭД

При необходимости можно изменить область частот. Это делается так: простым нажатием мышки на крайнее значение частотного диапазона мы получаем возможности ввести необходимое нам значение - 3000 Гц. При этом амплитуда сигнала может изменяться и переходить из одной частотной области в другую (рисунок 34).

Рисунок 34- Спектр сигнала на частоте 66 Гц.

Вся диагностическая информация отображается во вкладке «Диагностика по спектру», которая представлена на рисунке 35.

Рисунок 35 - Диагностика по спектру

На этой вкладке отображены все 10 диапазонов, которые были настроены во вкладке «Настройка фильтров». Для каждого частотного диапазона рассчитывается уровень дефекта, пропорциональный максимальной амплитуде спектральной составляющей сигнала. Например, в нашем случае,видим, что максимумы амплитуды располагается в области частот от 500 до 2000 Гц, что говорит о дефектах подшипников качения. При превышении амплитуды спектральной составляющей сигнала определенного значения (уставки), программа укажет на наличие дефекта специальной световой сигнализацией.

Так же в нашей программе существует возможность диагностики «по спектру огибающей».Метод огибающей является очень распространенным методом диагностики. Он широко применяется в различном диагностирующем оборудовании.

Суть метода заключается в анализе колебаний мощности измеряемого сигнала. Поскольку мощность сигнала определяется значением его огибающей, этот метод основан именно на анализе огибающей высокочастотного сигнала. Результат работы программы представлен на рисунке 36.

Для построения огибающей сигнала вибрации использется фильтр низких частот (Баттерворта 3-го порядка),на вход ФНЧ подается сигнал вибрации, взятый по абсолютной величине.

На выходе ВП SpectralMeasurement получаем амплитудный спектр огибающей сигнала вибрации.

Чем большее количество гармоник появляется в спектре огибающей и чем больше амплитуды этих гармоник, тем более развитым является дефект

Рисунок 36- Диагностика по спектру огибающей

Таким образом, можно сделать вывод, что спектр - универсальная информационная единица, которая содержит в себе всю информацию о сигнале. В результате анализа спектра можно выявить многие дефекты оборудования, заранее зная, какие вообще дефекты присущи данному оборудованию и на каких частотах они себя проявляют. То есть, зная параметры спектра сигнала, мы обладаем полной информацией о самом сигнале. Однако следует помнить, что в современных системах диагностики сигнал чаще всего оцифровывается. Поэтому для однозначного определения спектра аналогового сигнала необходимо четкое выполнение теоремы Котельникова.

ЗАКЛЮЧЕНИЕ

В ходе выполнения данной курсовой работы мною проведен аналитический обзор существующих в настоящее время приборов и, используемых ими методов, для обнаружения утечек жидкостей и газов в наземных и подземных трубопроводах.

Так же в пакетеLabVIEW был проведен спектральный анализ сигнала (вибрации) с выхода пьезоэлектрического датчика, установленного на экспериментальный электродвигатель;

рассмотрены основополагающие методы диагностики приборов;

приобретены базовые навыки работы со средой визуального программирования LabVIEW;

закреплены теоретические знания по курсам «преобразование измерительных сигналов» и «математическое моделирование приборных систем».

БИБЛИОГРАФИЧЕСКИЙ СПИСОК

Кутуков, С. Е. Проблема повышения чувствительности, надежности, быстродействия систем обнаружения утечек в трубопроводах / С. Е. Кутуков // Информационные технологии. - 2004. - Т. 2. - № 5 - С 29-45.

Система LabVIEW. - http://1labview.info/spektralnyy-analiz/sozdanie-dvustoronnego-bpf-s-postoyannoy-sostavlyayushchey-v-tsentre/

Поиск скрытух утечек воды и тепла. - http://te4b.ru/akusticheskij-metod-kontrolya.

Корреляционый метод поиска утечек жидкостей из трубопроводов под давлением. - http://www.vibration.ru/tech/tech.shtml.

Системы сбора данных/ NationalInstriments, учебный курс. -C 31-44.

Тревис Д. LabVIEWдля всех / Д. Тревис; пер. с англ. под ред.

В.В. Шаркова и В.А. Гурьева. - М.: ПриборКомплект, 2005. - 540 с.


Не нашли материал для своей работы?
Поможем написать уникальную работу
Без плагиата!
Без нейросетей!