Машинная модель взволнованной водной поверхности и её обратного отражения, разработанного ЭВМ

  • Вид работы:
    Курсовая работа (т)
  • Предмет:
    Информатика, ВТ, телекоммуникации
  • Язык:
    Русский
    ,
    Формат файла:
    MS Word
    1,9 Мб
  • Опубликовано:
    2015-08-16
Вы можете узнать стоимость помощи в написании студенческой работы.
Помощь в написании работы, которую точно примут!

Машинная модель взволнованной водной поверхности и её обратного отражения, разработанного ЭВМ














Курсовая работа

Машинная модель взволнованной водной поверхности и её обратного отражения, разработанного ЭВМ



Содержание

Введение

1. Феноменологическая модель рассеяния ЭМВ протяженной поверхностью

1.1 Дискретное представление протяженной поверхности

.2 Динамическая импульсная характеристика отражения поверхности

.3 Проверка знаний

2. Результаты моделирования рассеяния радиолокационных сигналов

2.1 Зондирующий сигнал - простой импульсный радиосигнал

.2 Зондирующий сигнал - оптимально согласованный с поверхностью радиосигнал

Список использованных источников

Введение

Важным этапом в разработке эффективных алгоритмов дистанционного мониторинга параметров взволнованной морской поверхности является исследование особенностей формирования пространственно-временной структуры отраженных полей декаметрового радиодиапазона и статистических характеристик радиолокационных отражений.

Для успешного решения основной задачи - выявления новых информативных признаков рассеянного сигнала позволяющих повысить точность измерений спектральных характеристик морского волнения необходимо провести ряд натурных экспериментов по зондированию поверхности моря с борта летательного аппарата. Такие натурные эксперименты чрезвычайно дорогостоящие мероприятия, а в связи со стремительным развитием вычислительной техники, им появилась хорошая альтернатива - моделирование. В связи с этим было выбрано направление по созданию адекватной математической модели рассеяния электромагнитных волн протяженными шероховатыми поверхностями.

Решение обратной задачи рассеяния электромагнитных волн шероховатой поверхностью сводится к определению комплексной амплитуды отраженного поля. Ряд приближенных методов определения поля, основываются на решении интегральных уравнений Максвелла. Такое решение получено Кирхгофом и является строгой математической формулировкой принципа Гюйгенса-Кирхгофа, согласно которому каждая точка, в которой возбуждается электромагнитное поле, может рассматриваться как источник вторичной сферической волны. Однако, извлечение и анализ таких данных осложняется тем, что рассеивающие свойства объекта локации зависят от ряда факторов, меняющихся в широких пределах.

Использование в качестве зондирующих сигналов, сигналов со сложным спектральным составом (сверхширокополосных (СШП) сигналов, сигналов с внутриимпульсной модуляцией и т.д.), позволяет повысить разрешающую способность по пространственным координатам.

 

 

1. Феноменологическая модель рассеяния ЭМВ протяженной поверхностью

 

1.1 Дискретное представление протяженной поверхности


В качестве протяженной поверхности будем рассматривать морскую поверхность. Сложную волновую поверхность в промежутке квазистационарности и на участке квазиоднородности, можно представить моделью Лонге-Хиггинса [1]

, (1.1)

где alh - амплитуда элементарной плоской волны; elh - начальная фаза элементарной волны, распределенная равномерно в интервале [-p; p].

Согласно такой модели морская поверхность - есть линейная суперпозиция плоских поверхностных волн, имеющих различные амплитуды, частоты, направления распространения относительно главного направления распространения морских волн и случайные начальные фазы.

Каждая элементарная волна подчиняется всем законам классической гидродинамики.

Амплитуды плоских волн определяются двумерным энергетическим спектром волнения , приращениями волновых чисел  и направлений

(1.2)

В качестве частотного спектра будем использовать спектр В. Пирсона и Л. Мошковица, рекомендованный международной конференцией опытных бассейнов в качестве стандартного.

,

;;;,

где V - скорость ветра.

Для построения реализации квазипериодической поверхности удобно оперировать частотным спектром, выраженным в длинах волн . Тогда выражение (1.1) можно записать в следующей форме

,(1.3)

Фрагмент реализации поверхностной волны, рассчитанная с использованием выражения (1.3), приведен на рис. 1.1 (вид сверху) и на рис. 1.2 (изометрическая проекция). На рис. 1.1 стрелкой показано направление главного распространения, пунктиром - фронт распространения волн. Реализация получена для скорости ветра 6 м/с и направления главного распространения g0=30°.

Однако для оценки адекватности динамической РЛХ необходимо иметь априорно известный энергетический частотно-направленный спектр. В качестве такого «эталонного» энергетического спектра волнения будем рассматривать спектр имеющий Гауссову огибающую частотного спектра.

, (1.4)

где L0 - центральная длина волны; DL - ширина спектра по уровню 0,707;

 - параметрическое решение уравнения


Фрагмент реализации поверхностной волны, рассчитанная с использованием выражения (1.3) и (1.4), приведен на рис. 1.3 (вид сверху) и на рис. 1.4 (изометрическая проекция). На рис. 1.3 стрелкой показано направление главного распространения, пунктиром - фронт распространения волн.

1.2 Динамическая импульсная характеристика отражения поверхности


Известно, что сверхширокополосные РЛХ являются наиболее общей характеристикой объекта радиолокации. Подобные характеристики могут быть получены как отклик цели на тестовое сверхширокополосное воздействие - функцию Дирака d(t) [2, 3]. Таким образом, импульсная характеристика представляет собой поле, рассеянное объектом при падении сферической монохроматической волны единичной амплитуды. На практике формирование тестового сигнала вида d(t) практически не осуществимо, поэтому необходимо изыскивать возможности описания сверхширокополосных РЛХ адекватно используемому зондирующему сигналу. Это означает, что сверхширокополосные РЛХ должны быть определены в диапазоне частот большим или равным ширине спектра воздействия. В этом случае, речь идет о так называемой «сглаженной» импульсной характеристики [4, 5].

Таким образом, длительность тестового импульса для получения сглаженной импульсной характеристики определяется минимальным интервалом дискретизации зондирующего сигнала DT выбранного согласно теореме Котельникова. Таким образом, для получения адекватной сглаженной импульсной характеристики необходимо чтобы частота ее дискретизации была равна или превышала удвоенную максимальную частоту в спектре предполагаемого зондирующего сигнала.

Передающая система излучает зондирующий сигнал, который представляет прямоугольный импульсный сигнал единичной амплитуды с длительностью DT. Пространственно-избирательные характеристики передающей системы Fr пока принимать во внимание не будем, частотно-избирательные характеристики передающей системы в данном случае не учитываются. Т.е. излучающая система не вносит искажений в амплитудный и фазовый спектр зондирующего сигнала а, следовательно, не искажает его форму. Излучаемая сферическая волна имеет два фронта соответствующие переднему и заднему фронту зондирующего импульса. Таким образом, интервал наклонных дальностей DR=cDT, будет определять участок отражения поверхности в конкретный момент времени (см. рис. 1.5).

По мере распространения зондирующего сигнала в различные моменты времени будут освещаться различные участки поверхности. Не трудно представить, что на интервале  участок отражения будет представлен окружностью, при  участком отражения будет кольцо, по мере распространения радиус кольца будет увеличиваться, а его ширина уменьшаться.

Отсечение поверхности реализовано на основе модифицированного для полярных координат алгоритма быстрого отсечения. Листинг алгоритма приведено ниже.

ISCUtilsUnit;, Math, Precisions, ErrorHandle;

// should be included in all units in project

{$I 'Defaults.inc'}

CircleClipping (var x0, y0, x1, y1 : TFloatValue;Cx0, Cy0, R, DeltaR : TFloatValue) : Boolean;

// function clip two polar points and compute realated Cartesian coordinatesClipSample (var aR_0 : TFloatValue;aX_0 : TFloatValue;aY_0 : TFloatValue;aZ_0 : TFloatValue;

aR_1 : TFloatValue;aX_1 : TFloatValue;aY_1 : TFloatValue;aZ_1 : TFloatValue;

aSlantRange : TFloatValue;aSlantRangeDelta : TFloatValue;aHeight : TFloatValue;aCoordinateX : TFloatValue;aCoordinateY : TFloatValue

) : Boolean;

// returns distance between two spatial pointsGetDistance (const x0, y0, z0 : TFloatValue;x1, y1, z1 : TFloatValue) : TFloatValue;

// returns cosine of angle between tangent plane and triangle plane

// for more see

// "К построению 3х мерной ИХП (Форма тока на треугольнике -

решение задачи).mcd"GetCosGamma (const A_triangle, B_triangle, C_triangle : ;A_tangent, B_tangent, C_tangent : TFloatValue) : TFloatValue;

// compute plane coefficients A, B, C, D using three spatial points

// for more see

// "К построению 3х мерной ИХП (Форма тока на треугольнике -

решение задачи).mcd"GetPlaneCoef (const x0, y0, z0 : TFloatValue;x1, y1, z1 : TFloatValue;x2, y2, z2 : TFloatValue;A_plane : TFloatValue;B_plane : TFloatValue;C_plane : TFloatValue;D_plane : TFloatValue

);

// returns area of triangleGetTriangleArea (const x0, y0, z0 : TFloatValue;x1, y1, z1 : TFloatValue;x2, y2, z2 : TFloatValue): TFloatValue;

// represent approximation of antenna patternAntennaPatternApprox (aAlpha : TFloatValue; // azimuthaBeta : TFloatValue; // tilt angleaBeamWidth : TFloatValue // beam width on 0.5 level

) : TFloatValue;

CircleClipping (var x0, y0, x1, y1 : TFloatValue;Cx0, Cy0, R, DeltaR : TFloatValue) : Boolean;_x0, CC_y0, CC_x1, CC_y1,: TFloatValue;, Visible : Byte;

Clip0_Top;, a, b, c, D,, sY : TFloatValue;:= (CC_y1 - CC_y0)/(CC_x1 - CC_x0);

:= 1 + k*k;:= 2*k*(CC_y0 - k*CC_x0 - Cy0) - 2*Cx0;:= Cx0*Cx0 - R*R + SQR(CC_y0 - k*CC_x0 - Cy0);

:= b*b - 4*a*c;:= (-b + SQRT(D))/(2*a);:= k*(sX - CC_x0) + CC_y0;

_x0 := sX;_y0 := sY;;Clip0_Bottom;, a, b, c, D,, sY : TFloatValue;:= (CC_y1 - CC_y0)/(CC_x1 - CC_x0);

:= 1 + k*k;:= 2*k*(CC_y0 - k*CC_x0 - Cy0) - 2*Cx0;:= Cx0*Cx0 - SQR(R + DeltaR) + SQR(CC_y0 - k*CC_x0 - Cy0);

:= b*b - 4*a*c;(D<0) then:= -D;

{$IFDEF DODEBUG}.WtiteToLog (sErrorLogFilePath,('Determinant is negative x0=%g, y0=%g, x1=%g, y1=%g; X0=%g, =%g',

[CC_x0,CC_y0, CC_x1, CC_y1, Cx0, Cy0]));

{$ENDIF};:= (-b - SQRT(D))/(2*a);:= k*(sX - CC_x0) + CC_y0;

_x0 := sX;_y0 := sY;;

Clip1_Top;, a, b, c, D,, sY : TFloatValue;:= (CC_y0 - CC_y1)/(CC_x0 - CC_x1);

:= 1 + k*k;:= 2*k*(CC_y1 - k*CC_x1 - Cy0) - 2*Cx0;:= Cx0*Cx0 - R*R + SQR(CC_y1 - k*CC_x1 - Cy0);

:= b*b - 4*a*c;:= (-b - SQRT(D))/(2*a);:= k*(sX - CC_x1) + CC_y1;

_x1 := sX;_y1 := sY;;

Clip1_Bottom;, a, b, c, D,, sY : TFloatValue;:= (CC_y0 - CC_y1)/(CC_x0 - CC_x1);

:= 1 + k*k;:= 2*k*(CC_y1 - k*CC_x1 - Cy0) - 2*Cx0;:= Cx0*Cx0 - SQR(R + DeltaR) + SQR(CC_y1 - k*CC_x1 - Cy0);

:= b*b - 4*a*c;(D<0) then:= -D;

{$IFDEF DODEBUG}.WtiteToLog (sErrorLogFilePath,('Determinant is negative x0=%g, y0=%g, x1=%g, y1=%g; X0=%g, =%g',

[CC_x0,CC_y0, CC_x1, CC_y1, Cx0, Cy0]));

{$ENDIF};:= (-b + SQRT(D))/(2*a);:= k*(sX - CC_x1) + CC_y1;

_x1 := sX;_y1 := sY;;

:= 0;:= 0; // segment is invisible:= False;

_x0 := x0;_y0 := y0;_x1 := x1;_y1 := y1;

evaluation for segment:= Hypot(Cx0 - CC_x1, Cy0 - CC_y1);sRange < R then Code := Code + 1 elsesRange >= R + DeltaR then Code := Code + 2;

:= Hypot(Cx0 - CC_x0, Cy0 - CC_y0);sRange < R then Code := Code + 4 elsesRange >= R + DeltaR then Code := Code + 8;

clipping for all of 9 cases

Code of

$00: inc(Visible);

$01: begin_Top;(Visible);;

$02: begin_Bottom;(Visible);;

$04: begin_Top;(Visible);;

$05: Exit; // skipped

$06: begin_Top;_Bottom;(Visible);;

$08: begin_Bottom;(Visible);;

$09: begin_Bottom;_Top;(Visible);;

$0A: Exit; // skipped('{07A7DBA4-FFFA-4A45-A112-2E73C38E7613}', 'Wrong clipping code!');;

Visible > 0 then:= CC_x0;:= CC_y0;:= CC_x1;:= CC_y1;

:= True;;;

ClipSample (var aR_0 : TFloatValue;aX_0 : TFloatValue;aY_0 : TFloatValue;aZ_0 : TFloatValue;

var aR_1 : TFloatValue;aX_1 : TFloatValue;aY_1 : TFloatValue;aZ_1 : TFloatValue;

aSlantRange : TFloatValue;aSlantRangeDelta : TFloatValue;aHeight : TFloatValue;aCoordinateX : TFloatValue;aCoordinateY : TFloatValue

) : Boolean;_0 : TFloatValue;_1 : TFloatValue;

_0 : TFloatValue;_1 : TFloatValue;_0 := aR_0;_1 := aR_1;

:= CircleClipping (aR_0, aZ_0, // first radial point_1, aZ_1, // second radial point

, aHeight, // relative carrier coordinats,

);Result thentmpR_0 <> 0 then_0 := aR_0/tmpR_0_0 := 1;

_1 := aR_1/tmpR_1;

_0 := aCoordinateX + (aX_0 - aCoordinateX) * tmpK_0; // similar _0 := aCoordinateY + (aY_0 - aCoordinateY) * tmpK_0; // similar

_1 := aCoordinateX + (aX_1 - aCoordinateX) * tmpK_1; // similar _1 := aCoordinateY + (aY_1 - aCoordinateY) * tmpK_1; // similar ;;

GetDistance (const x0, y0, z0 : TFloatValue;x1, y1, z1 : TFloatValue) : TFloatValue;:= SQRT (SQR(x1 - x0) + SQR(y1 - y0) + SQR(z1 - z0));;

GetCosGamma (const A_triangle, B_triangle, C_triangle : ;A_tangent, B_tangent, C_tangent : TFloatValue) : TFloatValue;:= (_triangle * A_tangent

+_triangle * B_tangent

+_triangle * C_tangent

)

/(

(_triangle * A_triangle

+_triangle * B_triangle

+_triangle * C_triangle

)

*

(_tangent * A_tangent

+_tangent * B_tangent

+_tangent * C_tangent

)

);;

GetPlaneCoef (const x0, y0, z0 : TFloatValue;x1, y1, z1 : TFloatValue;x2, y2, z2 : TFloatValue;A_plane : TFloatValue;B_plane : TFloatValue;C_plane : TFloatValue;D_plane : TFloatValue

);_plane := (y1 - y0)*(z2 - z0) - (z1 - z0)*(y2 - y0);_plane := (z1 - z0)*(x2 - x0) - (x1 - x0)*(z2 - z0);_plane := (x1 - x0)*(y2 - y0) - (y1 - y0)*(x2 - x0);_plane := - (x0*A_plane + y0*B_plane + z0*C_plane);;

GetTriangleArea (const x0, y0, z0 : TFloatValue;x1, y1, z1 : TFloatValue;x2, y2, z2 : TFloatValue): TFloatValue;, b : TFloatValue;: TFloatValue;:= GetDistance (x0, y0, z0,, y1, z1);:= GetDistance (x0, y0, z0,

x2, y2, z2);

// see "К построению 3х мерной ИХП (Форма тока на треугольнике -

решение задачи).mcd"

CosPhi := GetCosGamma (x1 - x0, // l1

y1 - y0, // m1- z0, // n1

- x0, // l2- y0, // m2- z0 // n2

);

:= 0.5*ABS (a*b

*(1 - CosPhi*CosPhi) // sine Phi

);;

AntennaPatternApprox (aAlpha : TFloatValue; // azimuthaBeta : TFloatValue; // tilt angleaBeamWidth : TFloatValue // beam width on 0.5 level

) : TFloatValue;:= exp (

.38 * (*aAlpha +*aBeta

)/

(aBeamWidth*aBeamWidth)

);

;

end.

Известно, что подобный алгоритм имеет линейную временную сложность. Применение алгоритма быстрого отсечения позволяет получить объем разрешения , а также рассматривать поверхность в виде непрерывной функции.

Сглаженная импульсная характеристика отражения подстилающей поверхности есть временная зависимость напряжения в согласованной нагрузке приемной антенны, как реакции поверхности на излученный тестовый импульс [5].

,(1.5)

где N - общее количество ЭО участка отражения в объеме разрешения ;  - напряжение в согласованной нагрузке приемной антенны, полученное от воздействия i-го ЭО; d(х) - функция Дирака.

Используя выражение (1.5) была рассчитана импульсная характеристика отражения морской поверхности, сплошная линия см. рис. 1.6, рис. 1.7. На рис. 1.6, рис. 1.7 пунктиром представлена импульсная характеристика отражения, рассчитанная по аналитическим выражениям. Графики представлены в относительных задержках.

Из приведенных графиков видно, что результат моделирования хорошо согласуется с аналитическим расчетом.

Отсчеты отраженного от поверхности сигнала  будем искать в виде дискретной свертки отсчетов импульсной характеристики  и зондирующего сигнала

, (1.6)

где N - количество отсчетов сглаженной импульсной характеристики отражения поверхности.

Отчеты сигнала представлены следующей общей записью:

,(1.7)

где Ak - отсчеты амплитуды зондирующего сигнала; wk - отсчеты круговой частоты; yk - отсчеты фазы.

Листинг программы получения отчетов зондирующего сигнала приведен ниже.

unit SignalUnit;

, Messages, SysUtils, Precisions, Math, ErrorHandle, XpDOM,, ThreadPoolHandle, CommonUtils, MathUtils, ,, ISCUnit, MiscellaneousUnit;

// should be included in all units in project

{$I 'Defaults.inc'}

{$I '..\StrConst.inc'}

= 'The following error occurred while '+

'maximum band frequency';= 'The following error occurred while %d sample with'+#13+

'signal kind "%s"';

= (stSimpleImpulse, stLFM, stOptimum);

= ^TOptimumParams;= record: TFloatValue;: TFloatValue;: TFloatValue;;

// Class TSignal implements probe signal= class (TCustomModule, IDataTimeDomain, IDataFreqDomain,, IOpimalFilterFreqDomain)

// inner all model parameters.

// should only be used as a data storage.

// all parameters involved in computations

// should have an alias, i.e.

// tmpNodes := FxmlParameters.DocumentElement.SelectNodes ('XPath ');

// tmpNode := tmpNodes.Item(0).Attributes.GetNamedItem('Attribute ');

// FAlias := tmpNode.NodeValue;

// ...

// FAlias := FAlias + SQR(FAlias) - Power (FAlias, 5);

//---------------------------------------

// Alias definitions

//---------------------------------------: TSignalKind; // Signal Type to use: TFloatValue; //Carrier Height: TFloatValue; // Duration of signal: TFloatValue; // Carrier Frequency of signal: TFloatValue; // FM Deviation of signal: TFloatValue; // Carrier Height for optimum signal: TFloatValue; // WaveLenght in Surface

// for optimum signal: TFloatValue; // Signal Amplitude: TFloatValue; // Infill Initial Phase

: TFloatValue; // Maximal Frequency in probe signal

// spectrum (мы препарируем импульсную хар-ку

// под наш диапазон, определяемый максимальной

// частотой в спектре зондирующего сигнала)

ObservationPeriod : TFloatValue; // Observation Period: TFloatValue; // Quantity of samples per Signal Wave : Boolean; // Show Absolute or Relative (t=t-2*H/c) : Boolean; // Correct time delay for optimum signal

//---------------------------------------

// End of alias definitions

//---------------------------------------: TFloatValue; // Time discrete of signal: TIntValue; // Count of spatial intervalsNCount : TIntValue; // Count of spatial intervals

// closest to 2^N, needed for DFFT

: TFloat2DData; // alias of Signal data: TFloat2DData; // alias of signal envelope data: TFloat2DData; // alias of signal amplitude data

// optimum signal only: TFloat2DData; // alias of signal phase data

// optimum signal only: TFloat2DData; // alias of filter phase data

// optimum signal only

PrepareData (const aOwnerThread : IPooledThread; aData : );ComputeSamples (const aOwnerThread : IPooledThread; aData : );

GetSamples : TFloat2DData; stdcall;GetAmplitudeSamples : TFloat2DData; stdcall;GetPhaseSamples : TFloat2DData; stdcall;GetFilterPhaseSamples : TFloat2DData; stdcall;

IDataFreqDomain.GetAmplitudeSamples = GetAmplitudeSamples;IDataFreqDomain.GetPhaseSamples = GetPhaseSamples;

IOpimalFilterFreqDomain.GetAmplitudeSamples = ;IOpimalFilterFreqDomain.GetPhaseSamples = ;

GetMaxBandFrequency : TFloatValue; stdcall;DoAccomplish; override;RenewParameters; override;Execute; override;;

FrequencyToTimeDelay (AbscissValue : TFloatValue; Data : ): TFloatValue;, b : TFloatValue;pOptimumParams (Data)^ do:= 2*CarrierHeight/c;:= c*pi/SpectrumCentralWaveLenght;:=b/Sqrt(1-Sqr(a/(2*pi*AbscissValue)));;;

OptimumDeviation (AbscissValue : TFloatValue; Data : ): TFloatValue;pOptimumParams (Data)^ do:= FrequencyToTimeDelay (CarrierFrequency - AbscissValue/2, ) -(CarrierFrequency + AbscissValue/2, Data);;

{TSignal}TSignal.RenewParameters;RenewParameters;

not Assigned (Parameters) then('{8CAE3FF9-8576-452F-9472-B8215DAE429D}',

'Parameters object is not assigned');;;

:= TSignalKind (GetIntegerParameter (Parameters, 'Signal',

'SignalKind', 0));

:= GetFloatParameter (Parameters, 'Carrier', 'Height', 0);

:= GetFloatParameter (Parameters, 'Signal', 'PulseDuration',0;:= GetFloatParameter (Parameters, 'Signal',

'CarrierFrequency', 0);:= GetFloatParameter (Parameters, 'Signal',

'FrequencyDeviation', 0);:= GetFloatParameter (Parameters, 'Signal',

'OptimumCarrierHeight', 0);:= GetFloatParameter (Parameters, 'Signal',

'OptimumSurfaceWaveLenght', 0);:= GetFloatParameter (Parameters, 'Signal',

'Amplitude', 0);:= GetIntegerParameter (Parameters, 'Signal',

'InitialPhase', 0)*pi/180;:= GetFloatParameter (Parameters, 'Signal',

'MaxBandFrequency', 0);

ObservationPeriod := GetFloatParameter (Parameters, 'Signal',

'ObservationPeriod', 0);:= GetIntegerParameter (Parameters, 'Signal',

'SamplesPerPeriod', 0);:= Boolean(GetIntegerParameter (Parameters, 'Signal',

'AbsoluteTimeDelay', 0));:= Boolean(GetIntegerParameter (Parameters, 'Signal',

'AdjustTimeDelay', 0));;

TSignal.Execute;Execute;

// disable graphs(Self.Name, False);

// add initial task.AddTask (PrepareData, nil, Name);;

TSignal.PrepareData (const aOwnerThread : IPooledThread; : Pointer);: pOptimumParams;: TIntValue;: pCrossSectionPoints;:= 0;:= LoadStringRes (ModulesMatrix.UILocaleInstance, );.Synchronize(DoProgress);

//---------------------------------------

// Start of procedure body

//---------------------------------------

// assign loaded parameters to local module variables;

SignalKind of::= CarrierFrequency;::= CarrierFrequency + FrequencyDeviation/2;:(BandWidthParams, SizeOf (TOptimumParams));(BandWidthParams, SizeOf (TOptimumParams));

// assign parameters^.CarrierFrequency := CarrierFrequency;^.CarrierHeight := OptimumCarrierHeight;^.SpectrumCentralWaveLenght := ;

// get cross points:= nil;:= GetCrossSectionPoints (0,

*(CarrierFrequency

c/(2*OptimumSurfaceWaveLenght)

)

0.25e6, // see "Ширина спектра оптимального сигнала 22_11_02.mcd"

// maximum pulse duration should be less then 8 microsecond

.25e6,,,(BandWidthParams),);

PointsNumber > 0 then:= CarrierFrequency + Points^[0].X/2;

(Points, PointsNumber * SizeOf (TFloatPoint));;

(BandWidthParams, SizeOf (TOptimumParams));;;; // end of case('{4BF27520-03B8-40DE-8533-94DA46F64897}', );; // raise nested exeption;

// set MaxBandFrequency parameter(Parameters, 'Signal', 'MaxBandFrequency', );

//dT = 1/(Fmax*n):= 1/(MaxBandFrequency * SamplesPerPeriod);

//N = T/dT:= Round(ObservationPeriod*(MaxBandFrequency * )) + 1;

NCount := 1 shl (Ceil(Log2(SamplesCount)));

not Assigned (SignalSamples) then:= TFloat2DData.Create (2, Samples2NCount);.Comment := 'Signal samples';.Add (SignalSamples);.AllocateMemory (2, Samples2NCount);

// clear previous data.Clear;

not Assigned (EnvelopeSamples) then:= TFloat2DData.Create (2, Samples2NCount);.Comment := 'Envelope samples';.Add (EnvelopeSamples);.AllocateMemory (2, Samples2NCount);

// clear previous data.Clear;

not Assigned (AmplitudeSamples) then:= TFloat2DData.Create (2, Samples2NCount);.Comment := 'Amplitude samples';.Add (AmplitudeSamples);.AllocateMemory (2, Samples2NCount);

// clear previous data.Clear;

not Assigned (PhaseSamples) then:= TFloat2DData.Create (2, Samples2NCount);.Comment := 'Signal phase samples';.Add (PhaseSamples);.AllocateMemory (2, Samples2NCount);

// clear previous data.Clear;

not Assigned (FilterPhaseSamples) then:= TFloat2DData.Create (2, Samples2NCount);.Comment := 'Signal phase samples';.Add (FilterPhaseSamples);.AllocateMemory (2, Samples2NCount);

// clear previous data.Clear;

//---------------------------------------

// End of procedure body

//---------------------------------------

// execute next task.AddTask (ComputeSamples, nil, Name);;

TSignal.ComputeSamples (const aOwnerThread : IPooledThread; : Pointer);: TIntValue;: TFloatValue;: TFloatValue;: pOptimumParams;

SignalKind of: //Simple Pulse Signali := 0 to Samples2NCount - 1 do(i >= 0) and (i*TimeDiscrete <= PulseDuration) then.Value^[1,i] := Amplitude;.Value^[1,i] := Amplitude * cos (2*pi*

**i

+);.Value^[1,i] := 0;.Value^[1,i] := 0;;

AbsoluteTimeDelay then.Value^[0,i] := TimeDiscrete*i + 2*Height/c;.Value^[0,i] := EnvelopeSamples.Value^[0,i];.Value^[0,i] := TimeDiscrete*i;.Value^[0,i] := EnvelopeSamples.Value^[0,i];;('{BDEE41D8-D42F-4A5E-A12C-999510134D59}',(,

[,

'simple impulse'

]

)

);; // raise nested exeption; // end of for

.Module[ModuleID].NextGroupID := 1;;: //LFM Signali := 0 to Samples2NCount - 1 do(i >= 0) and (i*TimeDiscrete <= PulseDuration) then.Value^[1,i] := Amplitude;.Value^[1,i] := Amplitude

* cos (

*pi*

(

(CarrierFrequency - FrequencyDeviation/2)

* TimeDiscrete*i

+ (/PulseDuration

* Sqr(i*TimeDiscrete)

)/2

)

);.Value^[1,i] := 0;.Value^[1,i] := 0;;

AbsoluteTimeDelay then.Value^[0,i] := TimeDiscrete*i + 2*Height/c;.Value^[0,i] := EnvelopeSamples.Value^[0,i];.Value^[0,i] := TimeDiscrete*i;.Value^[0,i] := EnvelopeSamples.Value^[0,i];;('{BDEE41D8-D42F-4A5E-A12C-999510134D59}',(,

[,

'LFM signal'

]

)

);; // raise nested exeption; // end of for.Module[ModuleID].NextGroupID := 1;;: // Optimum Signal(BandWidthParams, SizeOf (TOptimumParams));(BandWidthParams, SizeOf (TOptimumParams));^.CarrierFrequency := CarrierFrequency;^.CarrierHeight := OptimumCarrierHeight;^.SpectrumCentralWaveLenght := ;

AdjustTimeDelay then Tadjust := PulseDuration*1.5Tadjust := 0;

:= FrequencyToTimeDelay (CarrierFrequency, (BandWidthParams));

i := 0 to Samples2NCount - 1 do(i/(TimeDiscrete * Samples2NCount) >=-(MaxBandFrequency - CarrierFrequency)) and

(i/(TimeDiscrete * Samples2NCount) <= MaxBandFrequency) then

.Value^[1,i] := 2*pi*i

/

(c*TimeDiscrete * Samples2NCount)

*(

-Sqr(*2*pi/OptimumSurfaceWaveLenght

)

/

(

* Sqr (

*pi*i

/

(

* Samples2NCount

)

)

),

/4

);

.Value^[1,i] := -2*pi*i

/

(TimeDiscrete*Samples2NCount)

*

(T0 + Tadjust)

+/c

* Sqrt (

* Sqr (

*pi*i

/ (

*NCount

)

)

Sqr(*2*pi/OptimumSurfaceWaveLenght

)

);.Value^[1,i] := -(-2*pi*i

/

(TimeDiscrete*Samples2NCount)

*

(T0)

+/c

* Sqrt (

* Sqr (

*pi*i

/ (

*NCount

)

)

Sqr(*2*pi/OptimumSurfaceWaveLenght

)

));

(i/(TimeDiscrete * Samples2NCount) >= 1/TimeDiscrete -

(CarrierFrequency +(MaxBandFrequency - CarrierFrequency))) and

(i/(TimeDiscrete * Samples2NCount) <= 1/TimeDiscrete -

(CarrierFrequency -(MaxBandFrequency - CarrierFrequency))) then.Value^[1,i] := (

*pi/TimeDiscrete

/

(TimeDiscrete * Samples2NCount)

)/c

*(

-Sqr(*2*pi

/

)

/

(

* Sqr (

*pi/TimeDiscrete

*pi*i

/

(

*NCount

)

)

),

/4

);

.Value^[1,i] := -(

(

*pi/TimeDiscrete

*pi*i/(TimeDiscrete*Samples2NCount)

)

*

(T0 + Tadjust)

+ OptimumCarrierHeight/c

* Sqrt (

* Sqr (

*pi/TimeDiscrete

*pi*i

/

(

*NCount

)

)

Sqr(*2*pi

/

)

)

);.Value^[1,i] := (

(

*pi/TimeDiscrete

*pi*i/(TimeDiscrete*Samples2NCount)

)

*

(T0)

+ OptimumCarrierHeight/c

* Sqrt (

* Sqr (

*pi/TimeDiscrete

*pi*i

/

(

*NCount

)

)

Sqr(*2*pi

/

)

)

);

.Value^[1,i] := 0;.Value^[1,i] := 0;;

.Value^[0,i] := i/(TimeDiscrete * Samples2NCount); // .Value^[0,i] := AmplitudeSamples.Value^[0,i];('{BDEE41D8-D42F-4A5E-A12C-999510134D59}',(,

[,

'Optimum signal'

]

)

);; // raise nested exeption; // end of for

(BandWidthParams, SizeOf (TOptimumParams));;

ModulesMatrix.Module[ModuleID].NextGroupID := 2;;

; // end of case

// execution of module is finished.Synchronize(DoAccomplish);;

TSignal.GetSamples : TFloat2DData;:= SignalSamples;;

TSignal.GetAmplitudeSamples : TFloat2DData;:= AmplitudeSamples;;

TSignal.GetPhaseSamples : TFloat2DData;:= PhaseSamples;;

TSignal.GetFilterPhaseSamples : TFloat2DData;:= FilterPhaseSamples;;

TSignal.GetMaxBandFrequency : TFloatValue;:= MaxBandFrequency;;

TSignal.DoAccomplish;

// enable graphs(Self.Name, True);

inherited;;

.

1.3 Проверка знаний

 

1. Какая модель энергетического спектра используется в работе:

1) Лапласа

2)      `Гаусса.

)        Фурье

4)      `Пирсона-Мошковица

2. Чем определяется объем разрешения моноимпульсной радиолокационной системы:

1)   `Шириной диаграммы направленности по азимуту.

2)      `Длительностью зондирующего импульса.

)        Частотой Доплера.

)        `Шириной диаграммы направленности по углу места.

3. Дайте определение импульсной характеристики:

1)   есть реакция линейной стационарной системы на входное воздействие вида функции Хевисайда.

2)      `есть реакция линейной стационарной системы на входное воздействие вида дельта-функция.

)        есть обратное преобразование Фурье от частотного коэффициента передачи по мощности.

)        есть прямое преобразование Фурье от комплексного частотного коэффициента передачи.

4. Как определить отклик линейной стационарной системы во временной области на входное воздействие зная ее импульсную характеристику:

1)   `воспользоваться интегралом Дюамеля.

2)      воспользоваться теоремой Винера-Хинчина.

)        `провести прямое преобразование Фурье импульсной характеристики и входного воздействия, полученные результаты перемножить и провести обратное преобразование Фурье.

)        провести обратное преобразование Фурье импульсной характеристики и входного воздействия, полученные результаты разделить и провести прямое преобразование Фурье.

рассеяние поверхность электромагнитный импульсный

2. Результаты моделирования рассеяния радиолокационных сигналов


Отраженный от поверхности сигнал имеет множество информативных параметров. К ним относятся начальная фаза высокочастотного заполнения, временная задержка отраженного сигнала, форма его огибающей и т.д. Наибольший интерес представляет исследование изменения формы огибающей отраженного сигнала по сравнению с излученной. Моделирование не накладывает каких либо ограничений на зондирующий сигнал. Это означает, что для исследования мы можем пользоваться любыми классами радиотехнических сигналов. В качестве зондирующего сигнала будем использовать простой импульсный радиосигнал и оптимально согласованный с поверхностью радиосигнал. Для выяснения основных устойчивых зависимостей между параметрами морской поверхности и параметрами огибающей рассеянного на этой поверхности сигнала, энергетический спектр поверхности будет состоять из единственной гармоники.

2.1 Зондирующий сигнал - простой импульсный радиосигнал


На рис. 2.1 - рис. 2.19 представлено семейство мощностных огибающих отраженного сигнала иллюстрирующих зависимость амплитуды некогерентной составляющей от высоты полета носителя. Первые 4 семейства представлены в абсолютных значениях и нормированных, последующие только в нормированных.

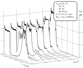
На рис. 2.20 - рис. 2.34 представлено семейство мощностных огибающих отраженного сигнала иллюстрирующих зависимость амплитуды некогерентной составляющей от длины поверхностной волны. Семейства представлены в абсолютных значениях.

На рис. 2.35 - рис. 2.47 представлено семейство мощностных огибающих отраженного сигнала иллюстрирующих зависимость амплитуды некогерентной составляющей от высоты поверхностной волны. Семейства представлены в абсолютных значениях.

Из рисунков видно, что с возрастанием высоты волнения, растет и величина некогерентной составляющей в отраженном сигнале. Удобным оценочным параметром в данном случае является отношение некогерентной составляющей к когерентной. Такая оценка исключает влияние различных факторов (затухание в атмосфере, изменение коэффициента усиления приемного тракта, мощности передатчика и т.д.) на точность измерения, так как она является относительной.

Увеличение высоты полета уменьшает амплитуды обеих составляющих. Это связано с уменьшением энергии принимаемого сигнала. Однако следует отметить, что отношение между составляющими остается неизменным. Так как излучаемая волна является сферической, поэтому амплитуды отраженного сигнала пропорциональны 1/z0 . Как видно из графика, с уменьшением высоты полета носителя, уменьшается разрешающая способность составляющих по времени задержки.

Изменение длины поверхностной волны, рабочей длины волны, высоты полета, приводит к изменению временного положения некогерентного импульса относительно когерентного. Задержка между ними определяется следующим аналитическим выражением


2.2 Зондирующий сигнал - оптимально согласованный с поверхностью радиосигнал


На рис. 2.48-рис. 2.71 представлено семейство мощностных огибающих отраженного сигнала иллюстрирующих зависимость амплитуды некогерентной составляющей от высоты полета носителя. Семейства представлены в нормированных величинах.

На рис. 2.72, рис. 2.20 - рис. 2.86 представлено семейство мощностных огибающих отраженного сигнала иллюстрирующих зависимость амплитуды некогерентной составляющей от длины поверхностной волны. Семейства представлены в абсолютных значениях.

На рис. 2.87 - рис. 2.100 представлено семейство мощностных огибающих отраженного сигнала иллюстрирующих зависимость амплитуды некогерентной составляющей от высоты поверхностной волны. Семейства представлены в абсолютных значениях.

Из графиков видно, что соотношения, отмеченные для зондирующего сигнала представленного простым радиосигналом, сохраняются и для оптимально согласованного зондирующего сигнала. Нужно отметить более высокую разрешающую способность составляющих по времени задержки, что в свою очередь позволяет решать задачу восстановления спектральных характеристик волнения неконтактным методом.

Список использованных источников

1. М.С. Лонге-Хиггинс. Статистический анализ случайно движущейся поверхности. // Ветровые волны. Под ред. Ю.М. Крылова. М.: Иностранная литература, 1962 г. 218 с.

2. М.Е. Варганов, Ю.С. Зиновьев, Л.Ю. Астанин и др.; под ред. Л.Т. Тучкова, Радиолокационные характеристики летательных аппаратов, М., Радио и связь, 2005 г., 236 с.

3. Е.А. Штагер, Рассеяние радиоволн на телах сложной формы, М., Радио и связь, 2006 г., 184 с.

4. В.Т. Лобач, М.В. Потипак, Модельные исследования радиолокационного отражения сложных сигналов взволнованной морской поверхностью, Материалы 13 Международной Крымской конференции "СВЧ Техника и телекоммуникационные технологии" КрыМиКо'2013 стр. 760-762.

5. В.Т. Лобач, М.В. Потипак, Получение импульсной характеристики отражения морской поверхности средствами математического моделирования, Материалы XXIII Всероссийского симпозиума «Радиолокационное исследование природных сред» 2005 стр. 103-110.

Приложение

Рис. 1.1

Рис. 1.2

Рис. 1.3

Рис. 1.4

Рис. 1.5

Рис. .1

Рис. .2

Рис. .3

Рис. .4

Рис. 5

Рис. .6

Рис. .7

Рис. .8

Рис. .9

Рис. .10

Рис. .11

Рис. .12

Рис. .13

Рис. .14

Рис. .15

Рис. .16

Рис. .17

Рис. .18

Рис. .19

Рис. .20

Рис. .21

Рис. .22

Рис. .23

Рис. .24

Рис. .25

Рис. .26

Рис. .27

Рис. .28

Рис. .29

Рис. .30

Рис. .31

Рис. .32

Рис. .33

Рис. .34

Рис. .35

Рис. .36

Рис. .37

Рис. .38

Рис. .39

Рис. .40

Рис. .41

Рис. .42

Рис. .43

Рис. .44

Рис. .45

Рис. .46

Рис. .47

Рис. .48

Рис. .49

Рис. .50

Рис. .51

Рис. .52

Рис. .53

Рис. .54

Рис. .55

Рис. .56

Рис. .57

Рис. .58

Рис. .59

Рис. .60

Рис. .61

Рис. .62

Рис. .63

Рис. .64

Рис. .65

Рис. .66

Рис. .67

Рис. .68

Рис. .69

Рис. .70

Рис. .71

Рис. .72

Рис. .73

Рис. .74

Рис. .75

Рис. .76

Рис. .77

Рис. .78

Рис. .79

Рис. .80

Рис. .81

Рис. .82

Рис. .83

Рис. .84

Рис. .85

Рис. .86

Рис. .87

Рис. .88

Рис. .89

Рис. .90

Рис. .91

Рис. .92

Рис. .93

Рис. .94

Рис. .95

Рис. .96

Рис. .97

Рис. .98

Рис. .99

Рис. .100

Рис. .101

Рис. .102

Похожие работы на - Машинная модель взволнованной водной поверхности и её обратного отражения, разработанного ЭВМ

 

Не нашли материал для своей работы?
Поможем написать уникальную работу
Без плагиата!
Без нейросетей!