Исследование современных методов измерения длины световода
МИНИСТЕРСТВО ОБРАЗОВАНИЯ И НАУКИ
РОССИЙСКОЙ ФЕДЕРАЦИИ
Федеральное государственное бюджетное
образовательное учреждение
высшего профессионального образования
"КУБАНСКИЙ ГОСУДАРСТВЕННЫЙ
УНИВЕРСИТЕТ"
(ФГБОУ ВПО "КубГУ")
Физико-технический факультет
Кафедра оптоэлектроники
ДИПЛОМНАЯ РАБОТА
Исследование современных методов
измерения длины световода
Работу выполнил Малахов Андрей Викторович
Специальность 210401 - Физика и техника оптической связи
Научный руководитель
канд. хим. наук, доцент С.А. Литвинов
Нормоконтролер инженер И.А. Прохорова
Краснодар 2015
Реферат
Дипломная работа ___ с., 25 рис., 5 таб., 9 источников, 1
приложение
МЕТОДЫ ИЗМЕРЕНИЙ, ИЗМЕРЕНИЕ ДЛИНЫ ВОЛОКНА, РЕФЛЕКТОМЕТРИЯ,
АЛЬТЕРНАТИВНЫЕ И ПЕРСПЕКТИВНЫЕ МЕТОДЫ ИЗМЕРЕНИЯ ДЛИНЫ СВЕТОВОДА, ЭТАЛОН, OCDR,
OFDR, OTDR.
Объектом исследования данной дипломной работы являются методы
измерения длины оптического волокна.
Целью работы является исследование современных альтернативных
и перспективных методов измерения длины световода.
В результате выполнения дипломной работы изучены нормативные
документы, регламентирующий требования к измерению длины оптического волокна,
классифицированы методы и эталоны и на основе проделанной работы была
разработана лабораторная работа "Методы измерения длины световода",
по дисциплине "Метрология пассивных компонентов ВОСПИ".
Содержание
Введение
1. Стандартные методы измерения длины световода для
волоконно-оптических систем связи и передачи информации
1.1 Рефлектометрия во временной области - традиционный подход
2. Современные альтернативные и перспективные методы измерения
длины световода
2.1 Оптической когерентный рефлектометр
2.2 Частотно-сдвинутый асимметричный интерферометр Саньяка
2.3 Рефлектометр оптической частоты
2.4 Корреляционная рефлектометрия с применением псевдослучайного
сигнала
2.5 Рефлектометрия на основе счета фотонов
2.6 Рефлектометрия с частотным сканированием
2.7 Рефлектометрия с синтезом функции когерентности
2.8 Бриллюэновская оптическая рефлектометрия
3. Требования к измерениям длины световода для волоконно-оптических
систем связи и передачи информации
3.1 Методы измерений в волоконной оптике
4 Сравнительный анализ метрологических характеристик методов и
средств измерения длины световода
5. Экспериментальное исследование и подтверждение метрологических
характеристик предложенного метода измерения длины световода
Заключение
Список использованных источников
Приложение А. Лабораторная работа "Методы измерения длины
световода"
Рефлектометрия во временной области - традиционный подход
Когерентная временная рефлектометрия
Корреляционная рефлектометрия с применением псевдослучайного
сигнала
Рефлектометрия на основе счета фотонов
Рефлектометрия с частотным сканированием
Бриллюэновская оптическая рефлектометрия
Рефлектометрия с синтезом функции когерентности
Практическое задание
Введение
Одной из важных задач, возникающих в процессе монтажа и
испытаний волоконно-оптических линий связи, является измерение длины
оптического волокна. Длина оптического волокна, являясь одним из основных
параметров, должна быть известна для определения передаточных характеристик,
таких как потери и ширина полосы частот.
При прокладке ВОЛС учет укладываемых в линию связи отрезков
кабеля (строительных длин) ведется по мерной ленте или мерным меткам на
наружной оболочке кабеля. Но длина волокна, уложенного в кабель, обычно
превышает длину кабеля. Общим для всех конструкций оптического кабеля является
то, что деформации кабеля, неизбежно возникающие под действием окружающей
среды, не должны приводить к возникновению напряжения в волокне - только в этом
случае удается избежать появления в волокне дополнительных потерь за счет микро
- и макронапряжений, и обеспечить большой срок службы кабеля. Наиболее простым
конструктивным решением, обеспечивающим механическую развязку волокна от несущих
элементов кабеля, является свободная укладка волокна в кабель в виде спирали.
При этом избыток волокна должен быть достаточно большим для того, чтобы
деформации, которым подвергается кабель, приводили только к изменению шага
спирали, и не создавали в волокне натяжения. Величина избытка волокна зависит
от конструкции кабеля: например, волокно может быть уложено в виде спирали в
трубчатом модуле (пластмассовом или металлическом), при этом избыток волокна
составляет 0.4.0.8%. Эти модули обычно свиваются слоями (повивами) вокруг
центрального элемента кабеля, и возникающий при этом избыток волокна может
достигать уже нескольких процентов. При определении длины кабеля по реальной
трассе линии связи возникают дополнительные трудности из-за горизонтальных и вертикальных
изгибов подземного кабеля в траншее, провисании подвесного ОК и т.п. Усложняет
точное определение расстояния также наличие технологического запаса ОК в каждой
муфте. По изложенным причинам длина оптического волокна превышает длину
оптического кабеля, а длина последнего - длину трассы.
длина световод измерение рефлектометрия
1.
Стандартные методы измерения длины световода для волоконно-оптических систем
связи и передачи информации
Метод A. Измерение задержки
Данный метод применяется для измерений длины волокна путем
измерения времени прохождения оптического импульса или последовательности
импульсов на основе известного значения группового показателя преломления
волокна.
С другой стороны, этот метод можно применять для измерения
группового показателя преломления волокна известной длины. Таким образом, на
практике этот метод измерения длины волокна применяют при известной длине
волокна такого же типа.
Метод B. Обратное рассеяние
Данный метод, являющийся односторонним измерением, использует
оптический рефлектометр во временной области (ОРВО) и измеряет обратное
рассеяние мощности оптического излучения от разных точек в волокне к началу
волокна.
Метод C. Удлинение волокна
Данный метод предусматривает процедуру определения удлинения
волокна. При этом не измеряется абсолютное растяжение, но вместо этого
измеряются изменения в растяжении от одного условия нагрузки к другому.
Метод D. Механическое измерение длины
Данный метод предусматривает процедуру определения длины
волокна при его прохождении вокруг вращающегося калиброванного колеса с
фиксированным диаметром.
Длину определяют по числу оборотов колеса.
Метод E. Фазовый сдвиг
Данный метод описывает процедуру определения длины волокна.
Длину определяют по фазовому сдвигу, который возникает, когда устанавливают
предопределенную частоту модуляции fmax.
Эталонный метод испытаний
Эталонный метод испытаний (ЭМИ), который должен
использоваться при разрешении спорных вопросов, изменяется в зависимости от
того, находится ли волокно в составе кабеля:
волокно вне кабеля: метод D;
длина волокна внутри кабеля: метод B;
удлинение волокна вне кабеля: метод C.
Измерение задержки
Этот метод используют для измерения длины самого оптического
волокна или волокна, установленного в кабеле. Если образец является волокном в
кабеле, определяют значение группового показателя преломления в условиях, в
которых должен находиться образец при измерении (например, степень напряжения,
температура). Это делается преобразованием уравнения () и измерениями на
образце с известной длиной. [3]
Принцип расчета
Время задержки прохождения оптического импульса Dt по оптическому волокну
длиной L, имеющему средний групповой показатель преломления N, вычисляют по
формуле 1:

, (1)
где Dt - время задержки;- средний групповой показатель
преломления;
с - скорость света в вакууме.
Существуют два способа измерения времени распространения
оптического импульса:
измерение времени задержки прохождения импульса Dt;
измерение времени задержки отраженного импульса 2Dt.
Рисунок 1 - Измерение времени задержки прохождения
оптического импульса
Рисунок 2 - Измерение времени задержки отраженного импульса
Измерение длины волокна
Измерение длины заключается в определении временного
интервала, значение которого отражается на экране осциллографа или представлено
в виде показаний электронного счетчика.
Рисунок 3 - Принцип измерения длины волокна
Рисунок 4 - Принцип измерения длины волокна
Метод обратного рассеяния.
В данном методе используется оптический рефлектометр во
временной области (ОРВО) для измерения длины самого оптического волокна и
волокна в составе кабеля.
Длительность и частота импульсов
ОРВО может предоставлять выбор импульсов нескольких
длительностей и частот повторения (иногда связанных с дистанционным
управлением) для оптимизации согласования между разрешением и диапазоном. С
отражением высокой амплитуды может возникнуть необходимость установить частоту
или диапазон для значения расстояния, в два раза, превышающего расстояние
отражения для предотвращения появления ложных, "призрачных"
отражений. Могут также применяться методы кодирования импульсов. [4]
Примечание - Следует внимательно выбирать длительность и
частоту повторения импульса, и мощность источника излучения. Для измерений на
коротких расстояниях необходимы малые длительности для обеспечения
соответствующего разрешения. Это в свою очередь ограничивает динамический
диапазон и максимально измеряемую длину.
Для измерений на больших длинах динамический диапазон может
быть увеличен путем повышения пиковой оптической мощности до уровня, ниже
которого нелинейные эффекты незначительны. С другой стороны, может быть
увеличена ширина импульса, что приведет к уменьшению разрешающей способности
измерений.
Используют три метода проведения измерений:
метод двух точек, который используют, когда отрезок волокна
или кабеля неизвестной длины предшествует испытуемому волокну или кабелю;
метод одной точки, который используют без предшествующего
отрезка
волокна или кабеля;
метод одной точки, который используют с предшествующим
отрезком волокна неизвестной длины и групповым показателем, таким же, как
волокно, которое необходимо измерить.
Примечание - При измерении кабеля важно иметь в виду, что
из-за конструкции большинства кабелей существует избыточная длина волокна в
кабеле. Поэтому групповой показатель преломления кабеля превышает групповой
показатель преломления волокна для того же типа волокна. Это ведет к
расхождению между длиной волокна в кабеле и длиной самого кабеля.
Общий порядок действий для всех трех методов
Образец соединяют либо с измерительным прибором, либо с одним
концом компенсирующей катушки с волокном (если используется). Другой конец
компенсирующей катушки с волокном (если используется) соединяют с измерительным
прибором.
Так как должны быть зафиксированы точные расстояния,
требуется знать значение эффективного показателя групповой задержки образца.
Параметры ОРВО, такие как длина волны источника, длительность
импульса, диапазон длины и среднее значение сигнала, вводят в измерительный
прибор вместе с групповым показателем преломления образца. Значения некоторых
из этих параметров могут быть предустановлены в измерительном приборе.
Измерительный прибор настраивают, чтобы отобразить сигнал
обратного рассеяния от образца. Может быть полезно начать с грубого
пропорционального масштабирования размеров по вертикали и горизонтали для
отображения максимально возможной длины отрезка волокна.
Если есть необходимость в увеличенном разрешении, следует, по
возможности, отрегулировать графический дисплей на отображение рассматриваемой
области в более крупном масштабе (добившись того, чтобы соответствующие
показания истинного сигнала можно было отличить от шума).
Метод двух точек
Устанавливают курсор в начало линии ОРВО образца до любого
участка понижения мощности, что может быть сложно сделать, или в точку (которая
может быть определена производителем) на переднем фронте отраженного импульса.
Если начало не очевидно из-за минимальной разрывности, круто изгибают кривую
около этого места и изменяют радиус для упрощения размещения курсора.
Определяют координату расстояния с помощью
алфавитно-цифрового дисплея.
Рисунок 5 - Схематическая линия ОРВО образца с секцией кабеля
Метод одной точки
Данный метод используют, когда отрезок волокна или секция
кабеля (или волокно с компенсирующей катушки) не предшествует образцу.
Рисунок 6 - Схематичная линия ОРВО образца без секции кабеля,
предшествующей ему
Устанавливают курсор в конец линии ОРВО образца до любого
участка понижения мощности, что может быть сложно сделать, или в точку (которая
может быть определена производителем) на переднем фронте отраженного импульса.
Если конец не очевиден из-за минимальной разрывности, круто изгибают кривую
около этого места и изменяют радиус для упрощения размещения курсора. Если
конец линии ОРВО ниже минимального уровня шума, измерение длины может иметь
максимальную погрешность, равную длине импульса.
В качестве альтернативы, по возможности, дальний конец
волокна разрезают пополам для получения там отражения. Определяют координату
расстояния z2.
.1
Рефлектометрия во временной области - традиционный подход
Принцип действия OTDR (Optical Time Domain Reflectometer) во
многом такой же, как и у импульсных рефлектометров, применяемых для тестирования
электрических кабелей. Оба типа рефлектометров посылают в линию мощный
зондирующий импульс (оптический или электрический) и измеряют мощность и время
запаздывания импульсов, вернувшихся обратно в рефлектометр. Отличие заключается
в том, что в электрической линии наблюдаются только отраженные импульсы. Они
образуются в местах, где в линии имеются скачки волнового сопротивления. В
оптических же волокнах обратная волна образуется не только за счет отражения от
больших (по сравнению с длиной волны) дефектов, но и за счет релеевского
рассеяния. Рассеяние света происходит на флуктуациях показателя преломления
кварцевого стекла, застывших при вытяжке волокна. Размер этих неоднородностей
(релеевских центров) мал по сравнению с длиной волны и свет на них рассеивается
во все стороны, в том числе и назад в моду волокна.
Релеевские центры распределены однородно вдоль волокна, и в
рассеянной на них волне содержится информация обо всех параметрах линии,
влияющих на поглощение света. Именно за счет детектирования рассеянного
излучения удается обнаруживать неотражающие (поглощающие) неоднородности в
волокне. Например, по сигналу обратного релеевского рассеяния света можно
измерить распределение потерь в строительных длинах оптических кабелей и потери
в сростках волокон. Такие измерения нельзя выполнить, регистрируя только
отраженное (а не рассеянное) излучение. Доля мощности света, рассеиваемая назад
в моду волокна крайне мала. Например, при ширине импульса 1м (длительность
импульса 10 нс) коэффициент обратного релеевского рассеяния составляет величину
около - 70 дБ. Поэтому, в OTDR в волокно посылаются импульсы большой мощности и
большой длительности, а для детектирования рассеянных назад импульсов света
применяются высокочувствительные фотоприемники. [1]
В большинстве моделей OTDR используется модульная конструкция
(рисунок 7). Она содержит базовый модуль и несколько сменных оптических
модулей. Базовый модуль представляет собой персональный компьютер,
приспособленный для обработки сигнала и вывода его на дисплей. Оптический
модуль включает в себя лазерный диод, фотоприемник, оптический ответвитель и
оптический разъем. Стоимость оптического модуля зависит от величины его
динамического диапазона и может в несколько раз превышать стоимость базового
модуля. Модульная конструкция OTDR позволяет потребителю не только выбрать
необходимую ему на данный момент конфигурацию прибора, но и в дальнейшем
модернизировать прибор, например, установив, многомодовый модуль или
одномодовый модуль с большим динамическим диапазоном.
Рисунок 7 - Блок схема OTDR
Принцип действия рефлектометра основан на том, что в волокно
посылается последовательность коротких импульсов света, и измеряется
зависимость мощности рассеянных назад импульсов от времени их запаздывания. В
результате получается рефлектограмма - график распределения потерь и
коэффициентов отражения вдоль линии. Для подключения OTDR достаточно доступа
только к одному концу линии, что позволяет тестировать оптические кабели
непосредственно в процессе монтажа линии. Анализируя рефлектограмму, можно
определить место повреждения линии и рассчитать все основные параметры, по
которым контролируется качество линии. Основными характеристиками рефлектометра
является чувствительность и пространственное разрешение. Чувствительность
рефлектометра принято характеризовать величиной его динамического диапазона, а
пространственной разрешение длительностью импульса и шириной мертвой зоны.
Выбор длительности импульсов и времени усреднения всегда представляет собой
определенный компромисс. Так при уменьшении длительности импульсов
пространственное разрешение рефлектометра улучшается, а его чувствительность
ухудшается. Время усреднения сигнала влияет только на чувствительность
рефлектометра. Однако с увеличением времени усреднения возрастает время
измерений, которое, учитывая большое количество волокон в линии передачи, не
может быть слишком большим.
Измерение расстояний до неоднородностей
Одной из важнейших задач, решаемых с помощью OTDR, является
измерение расстояний до неоднородностей. Это расстояние определяется по времени
запаздывания импульсов, отразившихся от неоднородности и вернувшихся обратно в
рефлектометр. Пересчет времени в расстояние осуществляется автоматически с
помощью формулы 2:

, (2)
где с/nг - групповая скорость распространения
света в волокне, с - скорость света в вакууме, nг -
групповой показатель преломления волокна. Множитель 1/2 учитывает то,
что импульс света проходит участок длиной L дважды - в прямом и обратном
направлении. При оценках обычно используют приближенные значения с =
3105 км/с и nг= 1.5 Тогда коэффициент пересчета времени в
расстояние получается равным 0.1 км/мкс = 0.1 м/нс.
В результате такого пересчета рефлектограмма представляется на
дисплее OTDR как функция длины волокна. При этом точность измерения расстояния
с помощью рефлектометра ограничивается теми же факторами, что и при
классических способах измерения расстояния (например, с помощью линейки). А
именно, точностью определения положения начала и конца отсчета и точностью
калибровки шкалы прибора. Для OTDR характерно то, что точность измерения
расстояния практически не зависит от длительности (τ) зондирующих импульсов, которая может
меняться в широких пределах (от 2 нс до 20 мкс). Обусловлено это тем, что
положение неоднородности на рефлектограмме определяется по переднему фронту
импульса.
Рисунок 8 - Измерение длины волокна по сигналу отражения от конца
волокна
На рисунке 8 представлены рефлектограммы отрезка волокна
длиной около 5 км с погонными потерями порядка 0.2 дБ/км на λ = 1550 нм. Рефлектограммы измерены при двух значениях
длительности импульса 100 нс (сплошная линия) и 1 мкс (пунктирная линия).
Рефлектограммы представляют собой прямые линии (с углом наклона ~ 0.2 дБ/км) и
с всплесками сигнала в начале и в конце линии. Эти всплески сигнала вызваны
отражением импульсов света от оптического разъема рефлектометра и от торца
волокна и представляют собой по существу осциллограммы отраженных импульсов.
Причем передний фронт отраженных импульсов отображается ближе к началу
рефлектограммы, так как он приходит на фотоприемник раньше, чем его задний
фронт. Длина волокна находится по расстоянию между передними фронтами
импульсов, отраженных от оптического разъема рефлектометра и от заднего торца
волокна. Это расстояние, как видно из рисунка 8, не зависит от ширины импульса.
Точность, с которой определяется положение начала и конца волокна тем выше, чем
больше крутизна переднего фронта импульса. Длительность импульсов определяет
величину сигнала обратного релеевского рассеяния света в волокне и ширину
мертвой зоны в начале рефлектограммы. При большой длительности импульса (1 мкс)
сигнал обратного релеевского рассеяния заметно превосходит уровень шумов в
конце рефлектограммы, но при этом мертвая зона делает недоступным для измерения
большой участок в начале волокна (~ 0.5 км). При уменьшении длительности
импульса до 100 нс ширина мертвой зоны уменьшается примерно в 10 раз. При этом
уровень сигнала обратного релеевского рассеяния уменьшается на 5 дБ, и вклад шумов
может уже стать заметным.
2.
Современные альтернативные и перспективные методы измерения длины световода
2.1
Оптической когерентный рефлектометр
Высокоскоростной оптической когерентный рефлектометр. OCDR
появился в качестве привлекательного метода для получения высокого
пространственного разрешения (<10 мкм) измерения коэффициента отражения
волоконной оптики, интегрально-оптических и биологических структур. Большинство
предыдущих систем OCDR добились высокой чувствительности и динамического диапазона
с помощью узкополосного гетеродинного обнаружения пьезоэлектрической модуляции
и техники фиксации усилителя. Для многих приложений существующие методы
неприемлемо медленные. Высокая скорость имеет важное значение для применения в
биологической и медицинской диагностиках, где измерения должны выполняться
быстро. Скорость также важна для процесса или сборочной линии диагностики, а
также в любом приложении в котором требуется высокая скорость сбора данных.
Измерения OCDR могут быть выполнены на высоких скоростях со значительными
упрощениями в конструкции системы. Скорости приближается к 40 мм / с, а
динамический диапазон > 90 дБ и разрешением - 17 мкм. Основная схема
установки OCDR приведена на рисунке 9.
Рисунок 9 - Схема высокоскоростной системы OCDR.
Широкополосный источник света, такой как суперлюминесцентный
диод (SLD) соединен с волоконно-оптическим интерферометр Майкельсона. Одно
плечо интерферометра приводит к выборке значений, а другое ведет к опорному
зеркалу. Волоконно-оптические и оптические интегральные образцы могут быть
непосредственно присоединены к типовому волокну. Для объемных оптических или
биологических образцов, модуль датчика используется, чтобы направить луч на
образец и собрать отраженный сигнал. Чтобы помочь в выравнивании образца,
используется лазерный луч. Отраженные лучи света будут обнаружены на
фотодетекторе. Они смешиваются только тогда, когда образец и длина эталонного
тракта равны пределам длины когерентности источника.
Гетеродинное детектирование осуществляется при помощи прямого
сдвига частоты Доплера, в результате равномерного скоростного сканирования
эталонной длины пути. Регистрируется величина сигнала помех в зависимости от
положения опорного зеркала и профиля отражательной способности образца. [2]
Пространственное разрешение, скорость сканирования, и
динамический диапазон системы OCDR может быть разработан и оптимизирован в
соответствии с желаемым применением. Доплеровский сдвиг частоты, как результат
от равномерной скорости развертки и полосы пропускания на FWHM мощности сигнала
приведены на формулах
(3)
Оптимальная полоса пропускания для полосового фильтра
примерно 2Δf. Более широкие полосы снизят
чувствительность, в то время как более узкие полосы уменьшат разрешение.
Рисунок 10 показывает измеренную спектральную плотность мощности источника
света и его значение FWHM 17,4 нм. На рисунке 11 показано измерение
интерференционного сигнала на фотоприемнике и демодуляция огибающей, полученной
путем сканирования опорного зеркала на 37.5 мм/сек. Эта скорость была
использована во всех измерениях.
Рисунок 10 - Спектральная плотность мощности источника света
Рисунок 11 - Интерференционный сигнал на фотоприемнике
Доплеровский сдвиг частоты измеряли при - 93 кГц,
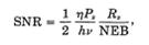
соответствии с формулой (3). Примерное соотношение сигнал-шум (SNR) в полосовом
фильтре, определяется выражением где ƞ это детектор квантового
выхода, P сила сигнала выборки, h постоянная Планка, v оптическая частота, R
образец отражения и NEB эквивалентная шуму ширина полосы пропускания фильтра.
(4)
Как указано выше, NEB= 2Δf. Используя формулу (3) и
полагая, что SNR = 2 - предел чувствительности, мы можем вычислить минимальную
разрешающую отражательную способность.
Рисунок 12 показывает измеренную чувствительность системы.
Нейтральная плотность фильтра 2,2, с последующим зеркалом была использована для
создания образца с коэффициентом отражения - 44 дБ. Более 90 дБ динамического
диапазона получается при мощности 29,4 мВ. Появляются отголоски эха из-за
несовершенства антибликового покрытия в SLD.обеспечивает бесконтактный,
высокочувствительный метод высокого разрешения для оптической локации. Высокие
скорости сканирования особенно актуальны для медицинских и биологических
диагностических приложений.
Рисунок 12 - Чувствительность системы
Принцип действия OСDR схож с принципом
действия обычного рефлектометра: в тестируемую линию вводится мощный короткий
зондирующий импульс, а временные зависимости мощности рассеянного назад
излучения измеряются и анализируются с использованием различных алгоритмов
обработки рефлектограмм. Поскольку размер рассеивающих центров менее 10 нм -
мал по сравнению с длиной волны, то свет на них рассеивается во все стороны, в
том числе и назад в моду волокна. В когерентном рефлектометре рассеянное назад
на отдельных релеевских центрах световое излучение складывается когерентно,
т.е. складываются комплексные амплитуды рассеянных на отдельных центрах волн. В
силу случайного распределения релеевских центров фазы рассеянных назад волн
тоже случайны и, следовательно, мощность рассеянного назад излучения
(рефлектограмма) также описывается случайной функцией, аргумент которой -
временная задержка относительно зондирующего импульса. Малые изменения в
относительном расположении релеевских центров приводят к изменению разности фаз
складывающихся волн и, следовательно, к изменению вида рефлектограммы (в
исследованном варианте когерентного рефлектометра надежно регистрируются
относительные смещения релеевских центров рассеяния на уровне 100 нм).
Высокая чувствительность COTDR к внешним
механическим и температурным воздействиям определяет перспективность их
применения в большом числе приложений. Среди важнейших приложений следующие:
мониторинг внешних воздействий на кабельную инфраструктуру волоконно-оптические
линии связи, на нефте - и газопроводы; измерение вибраций сооружений повышенной
ответственности; распределенные измерения механических воздействий в системах
защиты от несанкционированного доступа; распределенные измерения вариаций
температуры в системах пожаробезопасности и др.
.2
Частотно-сдвинутый асимметричный интерферометр Саньяка
Охватывая ведущую частоту AOM, который асимметрично помещен в
петлю Саньяка, оптическую длину волокна можно определить, измерив
соответствующее изменение в задержке фазы между двумя противоположно
распространяющихся световых пучков.
Объединенный с алгоритмом обработки данных с высоким
разрешением, эта система приводит к динамическому диапазону от нескольких
сантиметров до 60 км (ограниченный нашей доступностью длинных волокон) с
разрешением приблизительно 1 мкм на миллион для длинных волокон.
Точное измерение длины волокна очень важно в оптической
связи. Наиболее распространенные оптические техники измерений длины - (OTDR),
(OCDR) и (OFDR). Эти методы сложные, и они страдают или от маленького
динамического диапазона, или из-за низкого разрешения. Предлагается простой
подход, достигающий высокого разрешения по большому динамическому диапазону.
Используется элемент изменения частоты в асимметричном интерферометре Саньяка.
Основная идея проста: световые сигналы различных частот испытывают различные
задержки фазы, поскольку они проходят то же самое волокно. Эта разность фаз,
которая несет информацию оптической длины волокна, может быть легко измерена,
используя помехи. [10]
На рисунке 13 показана экспериментальная установка. В
установке поляризации нечувствительный AOM с "pigtail" использовался,
чтобы достигнуть изменения частоты. Акустические волны генерируются
дифракционной решеткой, размещенной внутри кристалла. Следовательно,
дифрагированный доплеровский свет 1-ого порядка, смещен на величину, равную
частоте акустического сигнала f.1550 нм, 2 мВт CW лазер, используется в
качестве источника света.
Рисунок 13 - Экспериментальная установка
После прохождения 2x2 симметричный волоконный ответвитель,
лазерный луч разделяется на две части поровну: S1, идет по часовой стрелке
через петлю волокна, в то время как S2, проходит ту же самую петлю волокна
против часовой стрелки. Частоты и S1 и S2 смещаются на ту же величину, когда
они возвращаются к волоконному ответвителю, наблюдается стабильный интерференционный
сигнал. Компьютер с данными используется, для управления функционального
генератора (для привода АОМ) и питания фотодетектора. Катушка волокна с длиной
L (~100m) была помещена в систему преднамеренно. Кроме того, диспетчер
поляризации был установлен, чтобы улучшить видимость.
Так как S1 и S2 проходят ту же самую петлю, идеально, любое
колебание дрейфа или поляризации фазы будет уравновешено. На практике, из-за
двулучепреломления в петле, S1 и S2 могут испытать различные задержки фазы, и
их виды поляризации могут также отличаться после того, как они проходят петлю.
Сигнал вмешательства может быть описан
, (5)
где f=f2-f1 относительная фаза между S1 и S2, и параметр mÎ [0,1] описывает
видимость интерференционной полосы.
Предположим длина волны (частота) света прежде и после
прохождения AOM является l (n) и l' (n) ' соответственно.
Задержки фазы, испытанные S1 и S2, могут быть выражены как
, (6)
где n - показатель преломления волокна, L - длина
испытательного волокна, L1 - общая длина соединительного волокна из
соединителя к порту А плюс один из порта B в АОМ, и L2 - длина волокна от AOM
до муфты. Постоянные f0Î [0, 2p), введен, чтобы принять
во внимание разность фаз, вызванную двулучепреломлением в петле волокна.
Используя формулы получаем:
, (7)
где L0=L1-L2 приблизительно
равен LB (100 м). Интерференционная картина V периодически
варьируется с акустической частотой f. Просматривая f, делая запись V, длина
волокна L может быть определена с "периода" V с высоким разрешением.
Волокно погашения LB необходимо для короткого измерения волокна: без
него необходимый диапазон сканирования частоты, был бы слишком большим чтобы
закончить один "период” для AOM.
Мы вычисляем, "период” V от различия в частоте между
двумя минимумами указывает fk и fk+N на интерференционной
картине. Поскольку нет никаких отражений от нежелательных поверхностей, ни
долгосрочный дрейф оптических компонентов не могут изменить этот "период”,
система довольно прочна против шума окружающей среды.
Длина волокна L может быть вычислена от
(8)
Целое число N в может быть определен, считая число минимумов
между fk и fk+N. Неизвестная постоянная f0 был отменена. Кроме
того, параметр m не обнаруживается. Это означает, что наша система
нечувствительна к двулучепреломлению в петле волокна, хотя использование
поляризационного контроллера может улучшить видимость.
Из уравнения 8, ошибка измерения длины ΔL, главным образом, вызвана Δf, которая является ошибкой
в определении частот fk и fk+N. Здесь Δf может быть разделена на две части
(9)
Df0, разрешение частоты генератора
функции, в то время как Dff является ошибкой частоты
алгоритма обработки данных для установки минимальному пункту от данных о
выборке. Мы предполагаем, что фазовая ошибка df в поиске точки минимума
не зависит от длины волокна.
С довольно простой и прочной установкой мы достигли
разрешения порядка 10-6 для длинных волокон. Показан динамический
диапазон 60 км.
2.3
Рефлектометр оптической частоты
Описана методика поляризационно-чувствительной оптической
рефлектометрии частотной области (OFDR), которая достигает 22 мкм, двухточечное
пространственное разрешение свыше 35 метров, оптическая длина - 97 дБ,
чувствительность в режиме разового измерения, принимается всего за несколько
секунд. OFDR работает в обеих, временной и частотной областях.
Различные методы имеют компромиссы в диапазоне, разрешении,
быстродействии, чувствительности и точности. Как правило, низкокогерентный
метод используется для субмиллиметрового разрешения измерения с очень высокой
чувствительностью, но только в течение ограниченного диапазона (< 5 м). OTDR
используется для увеличения дальности (несколько километров), низкого
разрешения системного уровня приложений.уступает OTDR в том, что его
возможности дальности от десятков до сотен метров с разрешением миллиметрового
диапазона. OFDR основан на длинах волн гомодинной интерферометрии. Свет от
перестраиваемого лазерного источника (TLS) делится и направляется через
интерферометр и рекомбинирует на оптический детектор. Интерференционные полосы
генерируются частотой лазера. Эти полосы будут обнаружены и связанной с
оптической амплитудой и фазой реакции системы, или тестируемого устройства
(ИТУ). Интерференционные полосы, возникающие в спектральной области
исследуемого устройства, могут быть обработаны в данные. OFDR может быть
использован как для спектральной, так и для временной рефлектометрии. [11]имеет
преимущества перед OTDR для некоторых приложений. В частности, когерентный
метод хорошо подходит для приложений, требующих сочетания высокой скорости,
чувствительности и разрешения по промежуточным диапазонам длины. Приложения,
которые попадают в эту категорию включают волоконно-оптические компоненты,
распределенное оптическое зондирование, и биомедицинские изображения.
Как правило, системы OFDR, предназначенны для работы через
промежуточные диапазоны длины (от десятков до сотен метров). В частности,
описывается инструмент для высокой скорости (<3 секунд) поляризационного
разрешения волоконно-оптических сборок, с пространственным разрешением 22 мкм
(в стекле), более 35 метров оптической длины с - 97 дБ чувствительности.
Показаны отражения в ВБР в диапазоне длин волн 1550 нм, в обоих частотных и
временных доменах.
Подробную схему оптической сети для OFDR показана на рисунке
14. Оптическая система состоит из перестраиваемого лазерного источника (TLS),
два интерферометра и чувствительный поляризационный приемник. Приемник включает
в себя сплиттер поляризации луча (PBS), три широкополосных фотодиода,
высокоскоростной аналого-цифровой преобразователь и компьютер. Входные векторы
используются для обозначения электрического поля в разных местах в сети и ИУ
характеризуется сложной спектральной отражательной, r (ω).
Рисунок 14 - Схема оптической сети
, имеет эффект разделения поля в двух ортогональных
состояниях. Этот метод поляризации используется в OFDR для смягчения замирания
сигнала из-за рассогласования интерферирующих полей измерения и местных
осцилляторов. Добавление поляризационного элемента имеет дополнительное
преимущество в OFDR и позволяет отслеживать изменения состояния поляризации
поля.
При настройке частоты лазера, интерференционных полос,
которые могут быть связаны с комплексной отражательной способности испытуемого
прибора наблюдаются на детекторах с меткой ‘s’ и ‘р’. Крайний из триггеров
интерферометра используются для запуска сбора данных на s - и р-детекторов. Это
помогает смягчить ошибки в настройке лазера.
Лазерный источник модели Радиан Пико. Типичный диапазон
перестройки от 2,5 нм до 40 нм с центром на длине волны 1550 нм с частотой
настройки 20-80 нм / с, в зависимости от конкретного тестируемого устройства.
Настройка лазера управляется с помощью аналогового напряжения рампы,
генерируемой с использованием DAQ карты. Ширина линии лазера, используемого в
экспериментах задается на частоте 200 кГц и выходной мощности оперативно
использовали 1 мВт.
Амплитуда измеренных интерференционных полос пропорциональна
произведению интерферирующих полей измерения и гетеродина. Мы можем написать
поля на входной стороне PBS во время 't' в процессе лазерного сканирования в
виде суммы полей от локального генератора, |Elo|, и
сдвига фазы, r (w) |Em| exp [jw (t) Dt], интерферометра:
(10)
где r (ω) является комплексной
спектральной отражательной ИУ, ω (t) мгновенная частота
лазера и Δτ разница задержки между
двумя интерферометрами.
Информация о комплексной отражательной способности
тестируемого устройства могут быть извлечены из помех. Амплитуда и фаза
коэффициента отражения можно получить непосредственно в спектральной области,
или они могут быть рассчитаны во временной области с использованием дискретного
преобразования Фурье. В спектральной области, или частотной области, амплитуда
представляет спектральные обратные потери и фазу, а его производные содержат
информацию о длине и дисперсности ИУ. Во временной области, амплитуда может
быть использована, чтобы найти различные отражательные события в ИУ и фазы,
вернее производная фазы, которая может быть связана с локальной длиной волны
отражательной структуры.
Поляризационные различия приемника должны быть сбалансированы
для того, чтобы данные были правильно откалиброваны. В идеале, поле гетеродина
должно быть разделено поровну между s - и р-состояниями в PBS. Это достигается
путем блокирования света на пути измерения и регулировки контроллера
поляризации при мониторинге уровней мощности постоянного тока на s - и
р-детекторов. Контроллер регулируется таким образом, что есть равное количество
энергии, падающей на каждый детектор. Измерения отражательной способности могут
быть откалиброваны путем измерения величины отражательной способности эталонным
отражателем. Используют спектрально плоские, позолоченные полированные волокна,
с номинальной отражательной способностью больше, чем 98%.
Рисунок 15 показывает отражательную способность и групповую
задержку (GD) из ВБР в отражении. Частота дискретизации определяется скоростью
лазерной развертки, γ, и дифференциальной
задержки во вспомогательном интерферометре, τg, в соответствии с fs=
γτg. Скорость развертки лазер 4,35 ТГц / с (35 нм /
с) и вспомогательного интерферометра задержки 800 нс были использованы для
получения этих данных. Это соответствует частоте дискретизации fs =
3,48 МГц.
Рисунок 15 - Отражательная способность и групповая задержка
(GD) из ВБР в отражении
Шумовые эффекты в OFDR, в основном существуют четыре шума.
Это лазерный шум (интенсивность и фаза), дробовой шум, тепловой шум и шум
усилителя. Методом исключения, определенно, что электрический шум в усилителях
является доминирующим - 97 дБ.
Максимальная длина тестируемого устройства 35 м определяется
дифференциальной задержки в триггере интерферометра с использованием критериев
Найквиста от
(11)
где с - скорость света в вакууме, tg - это индекс группы ИУ и
4 в связи с теоремой Котельникова и двухпроходной природы измерительного
интерферометра. Для 800 нс дифференциальной задержки, максимальная длина ИУ L
макс = 40 м.
Рисунок 16 показывает отражательную способность двух немного
несовпадающих PC окончаний волокна и демонстрирует разрешение измерения OFDR.
Пики в данных имеют пространственное разделение 100 мкм и четко решены.
Измеряется разрешение системы, основанной на полной ширине, полувысоте
отдельных пиков отражательной способности и составляет около 22 мкм. Важно
отметить, что это разрешение сохраняется в течение всех 35 м от оптической
длины.
Перестраиваемый лазер на основе OFDR имеет определенные
преимущества по сравнению с другими. Наличие высокой верности перестраиваемых
лазерных источников и современных вычислительных устройств можно расширить
благодаря высокой разрешающей способности метода, чтобы покрывать расстояния в
десятки метров.
Рисунок 16 - Отражательная способность двух немного
несовпадающих PC окончаний волокна
2.4
Корреляционная рефлектометрия с применением псевдослучайного сигнала
Основная идея метода заключается в соответствующем применении
автокорреляционной функции псевдослучайного сигнала (PRS - Pseudorandom
Signal). При выборе соответствующих параметров псевдослучайного сигнала, его
автокорреляционная функция может быть аппроксимирована с хорошей точностью
дельта-функцией δ (t).
Псевдослучайный сигнал представляет собой биполярный
периодический сигнал. Каждый период состоит из серии N случайно распределенных
положительных и отрицательных импульсов прямоугольной формы. Продолжительность
каждого импульса определяется сигналом синхронизации. Псевдослучайный сигнал
является детерминированным и может быть точно воспроизведен, но его
корреляционные свойства имеют сходство с подлинным непериодическим сигналом,
типа гауссова шума. Применение псевдослучайного сигнала для тестирования ВС
позволяет завести в него гораздо больше энергии, чем в традиционной
рефлектометрии. Это имеет большое значение для увеличения динамического
диапазона, и в то же время этот подход делает возможным сохранение
пространственной разрешающей способности на том же уровне, как и в традиционной
рефлектометрии. Основные принципы метода можно объяснить, используя упрощенную
блок-схему корреляционного рефлектометра, которая приведена на рисунке 17.
Рисунок 17 - Упрощенная блок-схема корреляционного
рефлектометра
Конечное выражение для отношения сигнал/шум записывается в
виде
(12)
где KL - полное число "мнимых” секций ВС, и
k - число, показывающее порядок секции, от которой поступает сигнал,
. Выражение (12) показывает, что отношение
сигнал/шум прямо пропорционально числу импульсов в одном периоде
псевдослучайного сигнала, и зависит достаточно сложным образом от положения x
в оптоволокне (через k), коэффициента затухания α, групповой скорости vg и
длительности синхроимпульсов Tt (через q).
Основной проблемой данного метода является достаточно большое
время измерения.
2.5
Рефлектометрия на основе счета фотонов
Основная идея данного метода заключается в использовании
квантовой природы света и статистики Пуассона, которая приобретает большое
значение при сверхнизких уровнях оптической энергии. [6] Вероятность
регистрации k-го фотоэлектрона в момент времени t задана сложной
вероятностью, которая является произведением вероятности появления
фотоэлектрона в единичном интервале времени, начиная с момента времени t,
и вероятности того, что (k-1) фотоэлектронов будут зарегистрированы в
интервале времени (0,t).
Таким образом, вероятность регистрации k-го
фотоэлектрона в момент времени t будет задан формулой
(13)
Для k=1 соотношение () описывает частный случай -
вероятность регистрации первого фотоэлектрона в момент времени t:
(14)
Если среднее число излученных фотонов в течение одного импульса
очень мало
n0<<1, (15)
то R1 может быть аппроксимировано с допустимой
ошибкой следующей формулой
(16)
Таким образом, полагая, что n0<<1,
вероятность регистрации первого фотоэлектрона "точно" соответствует
функции освещенности. Если временная задержка между началом генерации
оптического излучения и регистрацией первого фотоэлектрона измеряется много
раз, то относительное число появления отдельных временных задержек будет точно
соответствовать временной зависимости исследуемой оптической мощности.
Соотношение (16) является основной формулой метода распределения временной
задержки единичного фотона.
Для случая N-кратного измерения отношение сигнал/шум будет
определяться соотношением
(17)
Минимально детектируемая мощность может быть получена при условии SNRN=1:
(18)
Серьезным недостатком коррелированного во времени метода счета
единичных фотонов, следующим из выражения (18), является относительно большое
время измерения, которое достигает значений от единиц до десятков или сотен
минут, что в большинстве практических случаев не допустимо. Тем не менее, это
можно избежать, пренебрегая условием и вводя соответствующую коррекцию
результатов измерения.
Рисунок 18 - Блок-схема экспериментальной установки
Она состоит из двух основных групп блоков. Первая группа
(генератор импульсов, лазер, ответвитель оптического излучения), которая
присутствует в любом классическом рефлектометре, позволяет получить обратно
рассеянный свет из ВС как отклик на возбуждающий импульс оптического излучения.
Роль второй группы (SPAD детектор, счетчик, компьютер) заключается в обработке
сигнала из оптоволокна.
Обратно рассеянный свет направляется в специальный детектор,
основной частью которого является SPAD диод. Корректная работа детектора
обеспечивается генератором импульсов, что позволяет избежать проблему
френелевского отражения. Счетчик измеряет временную задержку между началом
измеряемой обратно рассеянной световой волны и моментом детектирования первого
фотоэлектрона. Данные из счетчика поступают в компьютер.(Single-Photon
Avalanche Diode - лавинный диод, регистрирующий единичный фотон) является
лавинным диодом со специальной топологией, делающей возможным детектирование
единичных фотонов. Свойство детектирования единичных фотонов достигается
подачей на диод напряжения, превышающего напряжение пробоя. Для ограниченного
периода времени возможно ввести диод в такое состояние, когда в
фоточувствительном слое не будет свободных носителей заряда. В этом случае
первый принятый фотон запускает процесс лавинного увеличения числа носителей
заряда, который формируют импульс тока. Если напряжение смещения диода внезапно
уменьшить до значения ниже величины пробоя, что позволит всем свободным
носителям заряда релаксировать (срыв лавинного процесса), то после нового
установления напряжения смещения выше величины пробоя диод снова становится
способным регистрировать следующий фотон.
2.6
Рефлектометрия с частотным сканированием
Одним из подходов для улучшения пространственной разрешающей
способности является оптическая рефлектометрия с частотным сканированием, так
же называемая рефлектометрией с непрерывным частотно-модулированным сигналом, в
которой зондирующий сигнал является непрерывной оптической волной,
модулированной по частоте. По сравнению с временной рефлектометрией, системы
частотной рефлектометрии, которые для зондирования используют непрерывный
сигнал более высокой мощности, характеризуются динамическим диапазоном, не
зависящим от пространственной разрешающей способности. Это свойство позволяет
рефлектометрии с частотным сканированием достигать высокую пространственную
разрешающую способность без потери динамического диапазона. Комбинирование этой
техники со схемой когерентного детектирования дает дополнительное преимущество
- высокую чувствительность.
Основная идея рефлектометрии с частотным сканированием
представлена на упрощенной блок-схеме частотно сканирующего рефлектометра на
рис.
Рисунок 19 - Упрощенная блок-схема частотно сканирующего
рефлектометра, FC - направленный ответвитель, FD - фотодетектор
Несущая частота оптического излучения, генерируемого высоко
когерентным лазерным диодом, медленно и линейно качается около центральной
частоты ω0 и подается в волоконно-оптический интерферометр Майкельсона.
Опорная ветвь оканчивается зеркалом, а сигнальная ветвь соединяется с
исследуемым ВС. Временная задержка между сигналом от отражателя в опорной ветви
и обратно рассеянным сигналом от произвольного элемента dx на расстоянии
x в сигнальной ветви составляет
,
где vg - групповая скорость в сердцевине ВС. Для
когерентного детектирования оба сигнала смешиваются в детекторе. В течение
временной задержки τ
линейно перестраиваемая частота оптического излучения изменяется на
. Это изменение частоты можно наблюдать в
детекторе, используя анализатор спектра. Частота Ω определяет положение x в ВС,
амплитуда сигнала пропорциональна локальному коэффициенту обратного рассеяния и
оптической мощности, которая пропорциональна exp (-2αx) и описывает затухание сигнала в прямом и обратном направлениях
на расстоянии x. Произведя преобразование Фурье для сигнала детектора в
низкочастотном анализаторе спектра, можно одновременно наблюдать обратно
рассеянные сигналы от всех точек вдоль исследуемого оптического волокна. Они
прямым образом соответствуют оси частот Ω анализатора спектра.
Влияние шумов неблагоприятно сказывается на измерениях в
рефлектометрии с частотным сканированием. Они уменьшают пространственную разрешающую
способность и ограничивает длину ВС, в котором могут быть проведены достоверные
измерения. Более того, они так же уменьшаю длину секции ВС, в которой могут
одновременно измеряться сигнал обратного рассеяния и сильные френелевские
отражения. [7]
2.7
Рефлектометрия с синтезом функции когерентности
Основную идею рефлектометрии с синтезированной функцией
когерентности можно объяснить с применением упрощенной блок-схемы оптического
рефлектометра, основанного на этом методе, который приведен на рис.
Рефлектометр представляет собой интерферометр Майкельсона,
управляемый высококогерентным лазером, который перестраивается в относительно
широком диапазоне частот. Акустооптический дефлектор смещает частоту колебания ω0 отклоняемого луча на ω. Фазовый модулятор
позволяет непрерывно изменять фазу оптической волны в опорной ветви в диапазоне
±π. Сигналы, поступающие из опорной и сигнальной ветвей,
складываются в оптическом ответвителе. Два сигнала, покидающие оптический
ответвитель, те же самые, но взаимно сдвинутые по фазе на π, что позволяет исключить влияние шумов.
Наиболее существенное достоинство рефлектометра с
синтезированной функцией когерентности заключается в непосредственном получении
данных измерений без каких-либо сложных вычислений, необходимых для других
методов. Вторым существенным фактором является то, что экспериментальная
аппаратура не содержит подвижных частей, например, сканирующих зеркал и т.п.
Рисунок 20 - Упрощенная блок-схема рефлектометра с
синтезированной функцией когерентности.
Чувствительность, а, следовательно, и динамический диапазон
данного метода преимущественно определяется схемой гетеродинного приема.
Достигаемая чувствительность может быть менее - 130 дБ/мВт. Более того, данный
метод не обладает мертвой зоной, обусловленной френелевскими отражениями.
Они устраняются узкой функцией когерентности. Динамический
диапазон измерения преимущественно ограничивается существованием функции
когерентности подпиков.
Пространственная разрешающая способность определяется полной
шириной на половинном уровне основного пика функции когерентности
(19)
vg
- групповая скорость, N - число ступенек в модулирующем сигнале, fs
- частота разнесения
Период следования пиков определяется диапазоном измерения
(20)
Пространственная разрешающая способность возрастает с увеличением
числа ступенек в одном периоде сигнала частотной модуляции и частоты разнесения
в первой ступеньке модулирующего сигнала. Наоборот, диапазон измерения
определяется только частотой разнесения в первой ступеньке модулирующего
сигнала.
С экспериментальной точки зрения, наиболее существенная проблема
связана нелинейностью зависимости между амплитудой тока инжекции и частотой
оптического излучения лазерного диода, а также изменением частоты, вызванным
сигналом модуляции (переходные процессы). Оба фактора могут быть компенсированы
предыскажением модулирующего сигнала и применением специальных оптических
фильтров и дифракционных решеток.
2.8
Бриллюэновская оптическая рефлектометрия
Надежность волоконно-оптических линий связи невозможно
оценить, не имея достоверной информации о натяжении волокна в кабеле.
Актуальность такой задачи стимулировала исследования тонких оптических эффектов
в волокне, в результате чего возникла бриллюэновская рефлектометрия. В
настоящий момент известно несколько типов бриллюэновских рефлектометров.
Большинство из них определяют зависимость распределения механических нагрузок
вдоль ВС по задержке между зарегистрированным бриллюэновским сдвигом и
модулированным импульсом излучения накачки, при известной скорости
распространения света в ВС. Данный метод известен под названием бриллюэновская
оптическая рефлектометрия во временной области (Brillouin Optical Time Domain
Reflectometry - BOTDR). Некоторые типы BOTDR основаны на регистрации
спонтанного бриллюэновского сигнала: короткие импульсы накачки монохроматичного
излучения вводятся в один конец исследуемого ВС, в то время как
обратнорассеянный с этого же конца свет автогетеродинируется с источником
импульсов накачки, что приводит к изменению спектра сигнала. Другие методы
основаны на вынужденном рассеянии Бриллюэна, для чего требуется одновременное
распространение в противоположных направлениях по исследуемому ВС зондирующих
им: пульсов и импульсов накачки. Импульсы накачки имеют ту же часто: ту, что и
сигнал бриллюэновского рассеяния, амплитуду которого необходимо измерить. В
этом случае степень натяжения ВС оценивается по коэффициенту бриллюэновского
усиления, а не по абсолютной мощности бриллюэновского сигнала. Значительное
улучшение пространственной разрешающей способности и скорости измерения можно
получить при использовании корреляционного анализа бриллюэновского сигнала
(Brillouin Optical Correlation Domain Analysis - BOCDA). В настоящий момент
существуют только экспериментальные образцы, реализующие данный принцип. К
недостаткам корреляционного анализа и технологиям на основе вынужденного
бриллюэновского сигнала относится необходимость доступа к обоим концам ВС и
полная неработоспособность в случае его повреждения. Метод симметричной
двухчастотной бриллюэновской рефлектометрии имеет следующие преимущества: не
требуется использование серии измерений с перестройкой частоты, и определение
интенсивности бриллюэновского сигнала осуществляется на независимой от
частотного канала частоте. Рост практического применения бриллюэновских
рефлектометров в последнее время сдерживается сложностью оборудования для
обработки обратнорассеянного сигнала и его высокой стоимостью. Известные на
данный момент рефлектометры имеют ряд недостатков: большая длительность одного
цикла измерений, наличие сложных дорогостоящих узлов: сдвигатель частоты,
стабильный одночастотный лазер, субнаносекундные импульсные усилители,
преобразователи и др. Отсюда следует необходимость в разработке эффективного
способа обработки сигнала бриллюэновского рассеяния.
Рисунок 21 - Бриллюэновский рефлектометр
3. Требования
к измерениям длины световода для волоконно-оптических систем связи и передачи
информации
Требования распространяются на государственную поверочную
схему для средств измерений длины и времени распространения сигнала в
световоде, средней мощности, ослабления и длины волны оптического излучения для
волоконно-оптических систем связи и передачи информации и устанавливает
назначение государственного специального эталона единиц длины L - метр
(м) и времени t - секунда (с) распространения сигнала в световоде,
средней мощности Pср - ватт (Вт), ослабления А - децибел
(дБ) и длины волны l - метр (м) для ВОСП, комплекс основных СИ, входящих в его
состав, основные метрологические характеристики ГСЭ и порядок передачи размеров
единиц от ГСЭ при помощи рабочих эталонов рабочим СИ с указанием погрешностей и
основных методов передачи размеров единиц.
ГСЭ применяют для воспроизведения и хранения единиц длины и
времени распространения сигнала в световоде, средней мощности, ослабления и
длины волны для ВОСП и передачи размеров единиц при помощи рабочих эталонов
рабочим СИ.
Диапазон значений, воспроизводимых ГСЭ, составляет:
от 10 до 5 · 105 м - для длины распространения
сигнала L на фиксированных длинах волн в диапазоне от 0,85 до 1,70 мкм.
от 1 · 10-7 до 5 · 10-3 с - для времени
распространения сигнала t на фиксированных длинах волн в диапазоне от
0,85 до 1,70 мкм;
от 1 · 10-4 до 1 · 10-3 Вт - для
средней мощности Pср на фиксированных длинах волн в диапазоне
длины волны л от 0,6 до 1,7 мкм;
от 0,05 до 60,00 дБ - для ослабления А на
фиксированных длинах волн в диапазоне от 0,85 до 1,70 мкм;
от 1,1 до 1,7 мкм - для длины волны л.
ГСЭ обеспечивает воспроизведение единицы:
длины распространения сигнала в световоде со средним
квадратическим отклонением результата измерений SL, не
превышающим 1,5·10-2 м при десяти независимых наблюдениях.
Неисключенная систематическая погрешность ИL
в пределах от 6,50 · 10-2 до 0,45 м;
времени распространения сигнала в световоде с СКО результата
измерений St, не превышающим 1,5 · 10-10 с при десяти
независимых наблюдениях. НСП Иt - в пределах от 0,65 · 10-9
до 4,50 · 10-9 с;
средней мощности излучения ВОСП с СКО результата измерений S0P,
не превышающим 0,06 · 10-2 при десяти независимых наблюдениях. НСП И0P
- не более 0,085 · 10-2;
ослабления в ВОСП с СКО результата измерений SA
в пределах от 3 · 10-3 до 5 · 10-2 дБ при десяти
независимых наблюдениях. НСП ИA - в пределах от 8,0 · 10-3
до 1,6 · 10-1 дБ;
длины волны в ВОСП с СКО результата измерений Sl, не превышающим 9,1 · 10-8
мкм при десяти независимых наблюдениях. НСП Иl - не более 9 · 10-7
мкм.
Для обеспечения воспроизведения единиц длины и времени
распространения сигнала в световоде, средней мощности, ослабления и длины волны
в ВОСП с указанной точностью следует соблюдать правила хранения и применения
ГСЭ, утвержденные в установленном порядке.
ГСЭ применяют для передачи размеров единиц длины и времени
распространения сигнала в световоде, средней мощности, ослабления и длины волны
для ВОСП рабочим эталонам и высокоточным рабочим СИ методом прямых измерений
или сличением при помощи компаратора (калориметрического приемника и источников
излучения).
В качестве рабочих эталонов единиц длины распространения
сигнала и ослабления оптического излучения в световодах применяют оптические
генераторы временных интервалов и длины распространения сигнала и нормируемых
значений ослабления в диапазонах L - от 6·10-2 до 6·102
км и А - от 0,5 до 25,0 дБ.
Доверительные границы абсолютных погрешностей дL
и дA рабочих эталонов при доверительной вероятности 0,95
составляют, соответственно, (0,2 + 1,0 · 10-5 L) м и 0,02 А
дБ.
Рабочие эталоны применяют для поверки рабочих СИ методом
прямых измерений или сличением при помощи компаратора (набора световодов и
оптического рефлектометра).
В качестве рабочих СИ применяют:
а) оптические рефлектометры на фиксированных длинах волн в
диапазоне длины волны л от 0,85 до 1,70 мкм с диапазоном измерений длины
распространения сигнала L от 0,1 до 500,0 км и пределом допускаемой
абсолютной погрешности ДL, равным (1 + 2 · 10-5L)
м, а также с диапазоном измерений ослабления А от 0,5 до 25,0 дБ и
пределом допускаемой абсолютной погрешности ослабления ДA 0,05
А дБ;
б) СИ расстояния до неоднородности в световодах на
фиксированных длинах волн в диапазоне длины волны л от 0,85 до 1,70 мкм с
диапазоном измерений длины распространения сигнала L от 0,1 до 300,0 км
и пределами допускаемой абсолютной погрешности ДL от 1 до 30 м;
в) оптические высокоточные рефлектометры в диапазоне длин
волн от 0,85 до 1,70 мкм с диапазоном измерений длины распространения сигнала L
от 0,1 до 500,0 км и пределом допускаемой абсолютной погрешности ДL,
равным (0,1 + 2,0 · 10-5 L) м, а также с диапазоном измерений
ослабления А от 0,5 до 25,0 дБ и пределом допускаемой абсолютной
погрешности ослабления ДA, равным 0,025 А дБ;
г) СИ удлинения световодов на длинах волн л в диапазоне от
0,85 до 1,70 мкм с диапазоном измерений удлинения L от 5 · 10-3
до 5 м и пределом допускаемой абсолютной погрешности ДL от 1
до 10 мм;
Рисунок 22 - Государственная поверочная схема для средств
измерений длины и времени распространения сигнала в световоде
3.1 Методы
измерений в волоконной оптике
Стремление повысить плотность передаваемой через оптоволокно
информации и энергии приводит к микро - и даже наноструктурированию его
сердцевины, диаметр которой составляет 10 микрон для стандартных одномодовых
волокон и 50…100 микрон для многомодовых. Работы по усложнению структуры
световедущей области волокна 6 предъявляют новые требования (стандарты) к
применяемым средствам измерений и их метрологическому обеспечению. Эти средства
измерений должны обладать новыми функциональными возможностями, расширенными
диапазонами и повышенной точностью, что ужесточает требования к уровню
обеспечения единства измерений. В первую очередь это относится к точности
исходных эталонов, их совершенствованию и созданию новых эталонов. В этой
развивающейся области знаний необходимо опережающее развитие метрологии,
поскольку именно уровень точности и достоверности измерений способен либо
стимулировать развитие соответствующих отраслей, либо служить сдерживающим
фактором. Развитие сверхточных измерений ставит особые задачи перед
стандартизацией и метрологией. Законы квантовой физики отличны от законов
макромира. Это неизбежно сказывается на применяемых здесь методах и средствах
исследований и измерений. Требуются совершенно новые приборы, а порой и сами
принципы измерений. Необходима унификация и четкая классификация
метрологического оборудования, в частности сканирующих микроскопов. Не
исключено также появление новых единиц физических величин для целей измерений в
нано - (10-9), пико - (10-12), фемто - (10-15)
диапазонах. Вместе с тем актуальными остаются стандартные методы тестирования
затухания излучения оптоволоконных линий для минимизации полных потерь,
прогнозирования надежности, срока службы. Потери могут превысить заданное
значение на каком-нибудь участке линии, чаще всего из-за избыточного натяжения
волокон в кабеле, наличия дефекта в сварном соединении волокон или сильного
изгиба волокон в муфте.
Метрология в широком понимании представляет собой науку об
измерениях, обеспечении их единства, способах достижения требуемой точности, а
также методах и средствах достижения указанных целей. Метрология служит
теоретической основой измерительной техники. Создана система, направленная на
всеобщее обеспечение единства мер и единства измерений. Эта система
обеспечивается единой государственной службой, которая раньше при ограниченной
измерительной технике именовалась службой мер и весов. В настоящее время, когда
диапазон деятельности этой службы возрос во много раз, она называется
метрологической службой страны. Проблема обеспечения высокого качества продукции
находится в прямой зависимости от степени метрологического обслуживания
производства. Это прежде всего умение правильно измерять параметры качества
материалов и комплектующих изделий, поддерживать заданные технологические
режимы, т.е. измерять множество параметров технологических процессов,
результаты измерений преобразуются в управляющие команды. Метрология
органически связана со стандартизацией, и эта связь выражается прежде всего в
стандартизации единиц измерений, системы государственных эталонов, средств
измерений и методов поверок, в создании стандартных образцов свойств и составов
веществ. В свою очередь, стандартизация опирается на метрологию, обеспечивающую
правильность и сопоставимость результатов испытаний материалов и изделий, а
также заимствует из метрологии методы определения и контроля качества.
Единство измерений - это состояние измерений,
характеризующееся тем, что их результаты выражаются в узаконенных единицах,
размеры которых в установленных пределах равны размерам единиц, воспроизводимых
первичными эталонами, а погрешности результатов измерений известны и с заданной
вероятностью не выходят за установленные пределы. Иными словами, единство
измерений основано на четырех основных принципах: результаты выражены в
узаконенных единицах; размер единиц, хранимых средствами измерений, равен
размерам единиц, воспроизводимых первичными эталонами; погрешности результатов
измерений известны; погрешности измерений не выходят за установленные пределы.
Рисунок 23 - Прослеживаемость измерений
Прослеживаемость - свойство эталона единицы величины или
средства измерений, заключающееся в документально подтвержденном установлении
их связи с государственным первичным эталоном соответствующей единицы величины
посредством сличения эталонов единиц величин, поверки, калибровки средств
измерений. Государственная система измерений (ГСИ) должна трактоваться как
система управления деятельностью по обеспечению единства измерений. [8]
Рисунок 24 - Классификация эталонов
Эталон единицы физической величины - средство измерений (или
комплекс средств измерений), предназначенное для воспроизведения и (или)
хранения единицы и передачи ее размера нижестоящим поверочной схеме средствам
измерений и утвержденное в качестве эталона в установленном порядке.
Государственный эталон единицы величины - эталон единицы
величины, находящийся в федеральной собственности. Статус государственным
эталонам присваивается Федеральным агентством по техническому регулированию и
метрологии.
Первичный эталон - эталон, обеспечивающий воспроизведение единицы
с наивысшей в стране (по сравнению с другими эталонами той же единицы)
точностью. Государственный первичный эталон - первичный эталон, признанный
решением уполномоченного на то государственного органа в качестве исходного на
территории государства.
Вторичный эталон - эталон, получающий размер единицы
непосредственно от первичного эталона данной единицы. Эталон сравнения -
эталон, применяемый для сличений эталонов, которые по тем или иным причинам не
могут быть непосредственно сличены друг с другом.
Рабочий эталон - эталон, предназначенный для передачи размера
единицы рабочим средствам измерений.
4
Сравнительный анализ метрологических характеристик методов и средств измерения
длины световода
Таблица 2 - Сравнительная характеристика методов измерения.
|
Метод
|
Разрешение
|
Длина
|
|
OCDR
|
10мкм
|
До 100 м
|
|
OFDR
|
До 80 км
|
|
OTDR
|
40 м
|
100 - 200 км
|
|
ЧСА Интерферометр Саньяка
|
15 м
|
До 60 км
|
|
Корреляционная рефлектометрия
|
50 см
|
160 км
|
Таблица 4 - Сравнительная характеристика оборудования
|
OTDR VISA
|
1,5; 3; 5; 10; 20; 40; 80; 160 км
|
OTDR
|
|
OVA 5000
|
до 75 м + - 1мм
|
OFDR
|
|
Дунай
|
40 км (±10м)
|
OCDR
|
|
JDSU MTS-2000
|
200км (±1м)
|
OTDR
|
|
OFLM 200
|
500м
|
OFDR
|
Согласно рекомендациям МСЭ-T G 651-655 и ГОСТу 8.585 наш
выбор остановился на рефлектометре JDSU MTS-2000 так как он удовлетворяет
нашим условиям. Отсюда можно сделать вывод, что для очень длинных линий
желательно использовать OСDR методику, а для более точного определения события
на небольших расстояниях можно воспользоваться OCDR методикой.
Рисунок 25 - Классификация современных методов
5.
Экспериментальное исследование и подтверждение метрологических характеристик
предложенного метода измерения длины световода
С помощью выбранного рефлектометра разработано методическое
пособие для метрологической лаборатории.
Исследуемое оптоволокно (или линию связи) соединяют с
рефлектометром. При использовании компенсирующей катушки с оптоволокном линию
подключают к одному концу компенсирующей катушки, другой конец катушки
соединяют с рефлектометром.
Параметры измерений: длину волны источника излучения ОРВО,
длительность импульса, диапазон длины, измеряемой ВОЛС и время измерений
(усреднения) вводят в рефлектометр вместе c групповым показателем преломления
ОВ. Значения некоторых из этик параметров могут быть предустановленны в памяти
ОРВО. Кроме того, оптимальное значение таких параметров как длительность
импульса, диапазон длины, измеряемой ВОЛС, время измерений (усреднения) могут
определяться рефлектометром в ходе измерений автоматически.
Собрать экспериментальную установку:
- оптический рефлектометр, 2 - коннекторы, 3 - нормализующая
катушка Ln, 4 - патч-корд, 5 - одномодовое оптическое волокно длиной Lf
Рисунок 25 - Экспериментальная установка
Для начала мы установили длины волн рефлектометра 1310 и 1550
нм, групповой показатель преломления 1,4670 для дины волны 1310 и 1,4676 для
длины волны 1550 нм. Установили диапазон длин L равный 1 км. Оптимальные
условия (длительность зондирующего импульса 5 нс, время усреднения 2 мин,
количество точек регистрации 256000) для записи рефлектограмм с целью
определения длины нормализующей катушки Ln. Зарегистрировав рефлектограмму,
определили методом двух точек длину нормализующей катушки. Погрешность смещения
нуля и вклад погрешности измерения временных интервалов в погрешность измерения
длины оптоволокна определили по техническому описанию рефлектометра JDSU MTS
2000. Разрешение по расстоянию L0 =4 см определено по параметрам
регистрации рефлектограмм в соответствии с формулой L0 = L/N с учетом
примечания, границы ± ΔLин - в соответствии с
формулой ΔLин = ΔLt + L0.
После этого скорректировали значения показателя преломления.
Для этого воспользовались формулой:
Dt=
(21)
Так как расстояние до некоторой точки рефлектограммы
пропорционально времени, получим
1ng1=L2
ng2, (22)
где L и ng - длина и установленный групповой показатель
преломления в экспериментах.
Заключение
В дипломной работе были рассмотрены
современные методы измерения длины волны световода. Была разработана методика
измерения длины световода. Для нашей методики был выбран рефлектометр JDSU
MTS-2000, который удовлетворяет всем условиям и соответствует ГОСТ.
Изучены нормативные документы,
регламентирующие требования к измерению длины световода для
волоконно-оптических систем связи и передачи информации.
Проведено сравнительное исследование
современных методов измерения длины световода.
Разработана лабораторная работа
"Методы измерения длины световода" по дисциплине "Метрология
пассивных компонентов ВОСПИ"
Список
использованных источников
1.
Листвин А.В. Рефлектометрия оптических волокон. / А.В. Листвин В.Н. Листвин -
М.: "ЛЕСАРарт", 2005. - 150 с.
2. Бакланов И.Г., Методы измерений в системах связи / И.Г.
Бакланов - М.: Эко-Трендз, 1999. - 195 с.
3.
ГОСТ Р 8.585 - 2005. Государственная поверочная схема для средств измерений
длины и времени распространения сигнала в световоде, средней мощности,
ослабления и длины волны для волоконно-оптических систем связи и передачи
информации - М.: Изд-во стандартов, 2005. - 11 с.
.
ГОСТ Р МЭК 60793-1-22-2012 Волокна оптические. Часть 1-22. Методы измерений и
проведение испытаний. Измерение длины - М.: Изд-во стандартов, 2013. - 27 с.
.
Мишина В.М. Основы стандартизации, метрологии и сертификации / В.М. Мишина. -
М.: Юнити-Дана, 2012. - 447 с.
.
Николаев М.И. Метрология, стандартизация, сертификация и управление качеством /
М.И. Николаев. - М.: Юнити-Дана, 2013. - 324 с.
.
Крылова. Г.Д. Основы стандартизации, сертификации, метрологии / Г.Д. Крылова. -
М.: Юнити-Дана, 2012. - 671 с.
.
Дианов Е.М. Волоконная оптика: 40 лет спустя // Квантовая электроника. - 2011.
- Т.40. - №1. - С.7-12.
.
Айбатов Д.Л. Основы рефлектометрии: Учебное пособие / Д.Л. Айбатов, О.Г.
Морозов, Ю.Е. Польский - Казань: ЗАО "Новое знание", 2008. - 116 с.
10. Bing Qi.
High-resolution, large dynamic range fiber length measurement based on
frequency-shifted asymmetrical Sagnac interferometer. March 26, 2005 // (Engl).
- URL: www.arxiv.org/ftp/physics/papers/0607/0607195. pdf [27 <#"892026.files/image024.gif"> (1)
Упрощенная блок-схема временного рефлектометра приведена ниже на
рисунке 1.
Рисунок 1 - Упрощенная блок-схема традиционного рефлектометра
Когерентная
временная рефлектометрия
Одним из способов улучшения рабочих характеристик оптического
рефлектометра является применение схемы когерентного приема. Это позволяет
получить максимальную чувствительность оптического приемника. Применение
когерентного приема в рефлектометрии (CO-OTDR) имеет такое достоинство, как
использование оптическим передатчиком и приемником одного и того же источника опорного
сигнала (гетеродина), что позволяет избежать трудности при стабилизации частоты
оптического излучения. Основной принцип когерентной рефлектометрии может быть
рассмотрены по блок-схеме, приведенной на рисунке 2.
Рисунок 2 - Упрощенная блок-схема когерентного рефлектометра
Корреляционная
рефлектометрия с применением псевдослучайного сигнала
Основная идея метода заключается в соответствующем применении
автокорреляционной функции псевдослучайного сигнала (PRS - Pseudorandom
Signal). При выборе соответствующих параметров псевдослучайного сигнала, его
автокорреляционная функция может быть аппроксимирована с хорошей точностью
дельта-функцией δ (t).
Рисунок 3 - Упрощенная блок-схема корреляционного
рефлектометра
Рефлектометрия
на основе счета фотонов
Основная идея данного метода заключается в использовании
квантовой природы света и статистики Пуассона, которая приобретает большое
значение при сверхнизких уровнях оптической энергии.
Рисунок 4 - Блок-схема экспериментальной установки
Упрощенная блок-схема экспериментальной установки для
регистрации обратно рассеянного света методом распределенной временной задержки
единичных фотонов приведена на рисунке 4.
Рефлектометрия
с частотным сканированием
Одним из подходов для улучшения пространственной разрешающей
способности является оптическая рефлектометрия с частотным сканированием, так
же называемая рефлектометрией с непрерывным частотно-модулированным сигналом, в
которой зондирующий сигнал является непрерывной оптической волной,
модулированной по частоте.
По сравнению с временной рефлектометрией, системы частотной
рефлектометрии, которые для зондирования используют непрерывный сигнал более
высокой мощности, характеризуются динамическим диапазоном, не зависящим от
пространственной разрешающей способности.
Это свойство позволяет рефлектометрии с частотным
сканированием достигать высокую пространственную разрешающую способность без
потери динамического диапазона.
Комбинирование этой техники со схемой когерентного
детектирования дает дополнительное преимущество - высокую чувствительность.
Рисунок 5 - Упрощенная блок-схема частотно сканирующего
рефлектометра, FC - направленный ответвитель, FD - фотодетектор,
Частотно-сдвинутый асимметричный интерферометр Саньяка
Охватывая ведущую частоту AOM, который асимметрично помещен в
петлю Саньяка, оптическую длину волокна можно определить, измерив
соответствующее изменение в задержке фазы между двумя противоположно
распространяющихся световых пучков.
Основная идея проста: световые сигналы различных частот
испытывают различные задержки фазы, поскольку они проходят то же самое волокно.
Эта разность фаз, которая несет информацию оптической длины волокна, может быть
легко измерена, используя помехи.
Бриллюэновская
оптическая рефлектометрия
Актуальность такой задачи стимулировала исследования тонких
оптических эффектов в волокне, в результате чего возникла бриллюэновская
рефлектометрия. Rороткие импульсы накачки монохроматичного излучения вводятся в
один конец исследуемого ВС, в то время как обратнорассеянный с этого же конца
свет автогетеродинируется с источником импульсов накачки, что приводит к
изменению спектра сигнала.
Рисунок 7 - Бриллюэновский рефлектометр
Рефлектометрия
с синтезом функции когерентности
Основную идею рефлектометрии с синтезированной функцией
когерентности можно объяснить с применением упрощенной блок-схемы оптического
рефлектометра, основанного на этом методе, который приведен на рисунке 8.
Рисунок 8 - Упрощенная блок-схема рефлектометра с
синтезированной функцией когерентности
Рефлектометр представляет собой интерферометр Майкельсона,
управляемый высококогерентным лазером, который перестраивается в относительно
широком диапазоне частот. Акустооптический дефлектор смещает частоту колебания ω0 отклоняемого луча на ω. Фазовый модулятор
позволяет непрерывно изменять фазу оптической волны в опорной ветви в диапазоне
±π. Сигналы, поступающие из опорной и сигнальной ветвей,
складываются в оптическом ответвителе. Два сигнала, покидающие оптический
ответвитель, те же самые, но взаимно сдвинутые по фазе на π, что позволяет исключить влияние шумов.
Практическое
задание
Исследуемое оптоволокно (или линию связи) соединяют с
рефлектометром. При использовании компенсирующей катушки с оптоволокном линию
подключают к одному концу компенсирующей катушки, другой конец катушки
соединяют с рефлектометром.
Параметры измерений: длину волны источника излучения ОРВО,
длительность импульса, диапазон длины, измеряемой ВОЛС и время измерений
(усреднения) вводят в рефлектометр вместе c групповым показателем преломления
ОВ. Значения некоторых из этик параметров могут быть предустановленны в памяти
ОРВО. Кроме того, оптимальное значение таких параметров как длительность
импульса, диапазон длины, измеряемой ВОЛС, время измерений (усреднения) могут
определяться рефлектометром в ходе измерений автоматически.
Собрать экспериментальную установку:
- оптический рефлектометр, 2 - коннекторы, 3 - нормализующая
катушка Ln, 4 - патч-корд, 5 - одномодовое оптическое волокно длиной Lf
Рисунок 25 - Экспериментальная установка
Установить длины волн рефлектометра 1310 и 1550 нм, групповой
показатель преломления 1,4670 для дины волны 1310 и 1,4676 для длины волны 1550
нм. Установить диапазон длин L равный 1 км. Подобрать оптимальные условия
(длительность зондирующего импульса, время усреднения, количество точек
регистрации) для записи рефлектограмм с целью определения длины нормализующей
катушки Ln. Зарегистрировать рефлектограмму, определить методом двух точек
длину нормализующей катушки. Погрешность смещения нуля и вклад погрешности
измерения временных интервалов в погрешность измерения длины оптоволокна
определили по техническому описанию рефлектометра JDSU MTS 2000. Определить
разрешение по расстоянию по параметрам регистрации рефлектограмм в соответствии
с формулой L0 = L/N с учетом примечания, границы ± ΔLин - в соответствии с формулой ΔLин = ΔLt + L0.
После этого скорректировали значения показателя преломления.
Для этого воспользовались формулой:
Dt= 
(2)
Так как расстояние до некоторой точки рефлектограммы
пропорционально времени, получим
1 ng1=L2
ng2, (3)
где L и ng - длина и установленный групповой показатель
преломления в экспериментах. Занести все данные в таблицу.