исследование поведения бегущих электромагнитных волн в волноводном тракте
Содержание
Введение
.
Общие сведения о волнах
.1
Волновой процесс
.2
Поляризация и наложение волн
.3
Поглощения волн
.4
Резонансные системы с отрезками линий, содержащими неоднородности
.5
Типы волноводных систем
.6
Поведение электромагнитных волн в кольцевых системах
.
Ослабления и их измерение
.1
Виды ослаблений и основные соотношения
.2
Измерение вносимого ослабления
.3
Измерение собственного ослабления
.
Способ измерения коэффициента передачи и устройство для его реализации
.1
Описание установки и метода измерения больших коэффициентов передачи
.2
Вывод рабочей формулы
.3
Апробирование установки
Заключение
Список
использованных источников
Введение
Поведение электромагнитных полей в
пространственно ограниченных системах зачастую представляет собой весьма
сложный физический процесс, который не всегда даётся достаточно корректно
описать при помощи математических выражений. Интерес к описанию этого процесса
подтверждается тем, что в настоящее время в научной периодике имеется большое
количество публикаций, посвященных описанию механизма самовозбуждения
электромагнитной волны в замкнутых системах.
Отдельный интерес представляет поведение
электромагнитных волн в кольцевых системах. Особенностью кольцевой системы
является прохождение друг за другом огромного количества волн, что в свою
очередь даёт возможности для измерения некоторых величин.
В настоящей работе проведено экспериментальное
исследование поведения бегущих электромагнитных волн в волноводном тракте.
Целью настоящей работы является оптимизация устройства для определения
коэффициент передачи и ослабления образцов с малым поглощением.
Задачи данной работы:
) Разработка устройства для изменения
электрической длины кольцевой резонаторной системы;
2) Разработка принципиальной схемы
измерительного устройства;
) Макетирование и апробирование
устройства.
1. Общие сведения о волнах
.1 Волновой процесс
Слова «волна», «волновой процесс», употребляемые
в физике и технике, получили широкое распространение. Под распространением
волны понимается постепенное вовлечение среды в некоторый физический процесс,
приводящее к передаче энергии в пространстве. Представление о волновом процессе
чуждо «принципу дальнодействия», допускающему мгновенные физические
взаимодействия на расстоянии без участия среды.
Пусть в какой-то области пространства
наблюдается физический процесс, который в точке
можно
охарактеризовать функцией
В другой точке
измерения
величины
в
это же время, быть может, покажут отсутствие процесса
.
Но через какое-то время он будет передан средой, и можно будет отметить, что
В простейшем случае будет обнаружено лишь
запаздывание процесса во времени, т.е.
,
где
-
время, требуемое для прохождения пути
со
скоростью
.
Пусть в пространстве существует зависимость
только от одной координаты
. Характеризующая
процесс функция
(1)
построена при
и
при
.
Очевидно,
.
Говорят, что функция (1) описывает волну. Иногда
волны этого рода называют «недеформируемыми»; имеется в виду, что временной
закон во всех точках пространства - с точностью до сдвига
-
одинаков. Волна называется плоской и однородной. Дело в том, что, положив
,
задаётся плоскость, на которой согласно (1) мгновенное значение функции
постоянно.
Любую такую плоскость называют фронтом волны. В некоторый момент
фронт,
для которого
движется вдоль оси
со
скоростью
,
.
Плоскую однородную волну, распространяющуюся в противоположном направлении,
следует описывать при помощи выражения (1) с изменением знака
. (1a)
Однородное волновое уравнение
.
(2)
Если пользоваться декартовой системой координат
и
рассматривать только процессы, не зависящие от
и
,
то волновое уравнение примет вид
.(3)
Путем непосредственной подстановки нетрудно
убедиться, что функции, выражаемые формулами (1) и (1 а), являются решениями
одномерного волнового уравнения (3).
Общее решение уравнения (3) выражает формула
, (4)
где
и
-
произвольные дважды дифференцируемые функции.
Это наложение двух плоских однородных
недеформируемых: волн, распространяющихся в противоположных направлениях.
1.2 Поляризация и наложение волн
Для описания ориентации волны,
распространяющейся в заданном направлении, существует понятие поляризации.
Плоскостью поляризации называют плоскость, проходящую через направление
распространения и параллельную вектору
.
Таким образом, всякое наложение двух волн с произвольными амплитудами и фазами
есть также некоторая электромагнитная волна. Любая из плоскостей, проходящих
через ось
, может в равной
мере быть плоскостью поляризации.
Существенно, что при распространении волны
плоскость ее поляризации может и не оставаться неподвижной, т. е. волна может
изменять свою ориентацию относительно направления распространения.
Действительно, рассматривая электрические поля двух ортогонально поляризованных
волн одного направления можно составить уравнение для их наложения:
. (5)
Если фазы волн совпадают (
и
),
то, как легко убедиться, наложение волн есть волна, поляризованная в
неподвижной плоскости, составляющей угол
с
плоскостью поляризации первой волны. Это плоская, или линейная, поляризация.
Картина оказывается иной, если фазы налагающихся
волн различны. Пусть, например, при одинаковых амплитудах (
)
фазовое различие составляет
. Полагая в (5)
и
,
определяется вектор
как
. (6)
Определяя угол
,
указывающий положение плоскости поляризации волны, можно получить
, (7)
т.е. угол наклона вектора
к
оси
не
остается постоянным в пространстве и времени, а равен
.
Как видно, в каждой фиксированной плоскости
вектор
вращается
с угловой скоростью
, а в фиксированный
момент времени
распределение поля
вдоль оси таково, что конец вектора
«скользит
по винтовой линии». Это волна круговой поляризации, точнее, левой круговой
поляризации. Правая круговая поляризация соответствует случаю
и
(вращение
в противоположном направлении).
Если налагаемые волны имеют произвольные
амплитуды и фазы, то результирующий волновой процесс есть волна эллиптической
поляризации. Вращаясь,
при этом изменяется
по величине и описывает эллипс. Ориентация и эксцентриситет эллипса
определяются соотношением комплексных чисел
и
.
Наложение противоположно направленных волн
одинаковых амплитуд вызывает процесс, называемый стоячей волной. Особенностью
электромагнитной стоячей волны является характерное пространственное и фазовое
смещение распределений
и
.
Рассматривая, например, стоячую волну,
поляризованную в плоскости
и положив
и
получается
.(8)
или, переходя от комплексных амплитуд к векторам
поля в случае идеального диэлектрика (
,
):
.
(9)
Узлы (или пучности) стоячих волн векторов
и
сдвинуты
на четверть волны. Во времени же эти поля смещены на
по
фазе. Такая стоячая волна в среднем не переносит энергии, как легко убедиться,
вычисляя среднюю величину вектора Пойнтинга.
1.3 Поглощения волн
Поглощение волн - уменьшение интенсивности
электромагнитного излучения, проходящего через материальную среду, за счёт
процессов его взаимодействия со средой. Энергия волны при поглощении волн
переходит в различные формы внутренней энергии среды; она может быть полностью
или частично переизлучена средой на частотах, отличных от частоты поглощённого
излучения.
Основной закон, описывающий поглощения волн -
закон Бугера
, который связывает
интенсивности
волны, прошедшей
слой среды толщиной
, и исходной волны
.
Не зависящий от
,
и
коэффициент
называется
показателем поглощения; как правило, он различен для разных длин волн
.
Этот закон установил на опыте в 1729 П. Бугер. В 1760 И. Ламберт вывел его
теоретически из очень простых предположений, сводящихся к тому, что при
прохождении слоя вещества интенсивность электромагнитной волны уменьшается на
долю, которая зависит только от показателя поглощения и толщины слоя, т. е
(дифференциальная, равносильная первой, запись закона Бугера). Физический смысл
закона состоит в том, что показатель поглощения не зависит от
и
(это
было проверено С. И. Вавиловым экспериментально с изменением
~
в 1020 раз).
Зависимость
от
называется
спектром поглощения вещества. Для изолированных атомов (например, в разреженных
газах) он имеет вид набора узких линий, т. е.
отличен от 0 лишь в определённых узких диапазонах длин волн (шириной в десятые
- сотые доли
). Эти диапазоны
соответствуют частотам собственных колебаний электронов внутри атомов,
«резонирующих» с проходящим излучением и поэтому поглощающих из него энергию.
Спектры поглощения волн отдельных молекул также соответствуют собственным
частотам, но гораздо более медленных колебаний внутри молекул самих атомов,
которые значительно тяжелее электронов. Молекулярные спектры поглощения волн занимают
существенно более широкие области длин волн, так называемые полосы поглощения,
шириной от единиц до тысяч
. Наконец,
поглощение волн жидкостями и твёрдыми телами обычно характеризуется очень
широкими областями (тысячи и десятки тысяч
)
с большими значениями
и плавным ходом
его изменения.
Качественно это можно объяснить тем, что в
конденсированных средах сильное взаимодействие между частицами приводит к
быстрой передаче всему коллективу частиц энергии, отданной волной одной из них.
Другими словами, с волной «резонируют» не только отдельные частицы, но и
многочисленные связи между ними. Об этом свидетельствует, например, изменение
поглощения волн молекулярными газами с ростом давления - чем выше давление (чем
сильнее взаимодействие частиц), тем «расплывчатее» полосы поглощения, которые
при высоких давлениях становятся сходными со спектрами поглощения волн
жидкостями.
Ещё Бугер высказал убеждение, что для поглощения
волн важны «не толщины, а массы вещества, содержащиеся в этих толщинах».
Позднее немецкий учёный А. Бер (1852) экспериментально подтвердил это, показав,
что при поглощении волн молекулами газа или вещества, растворённого в
практически непоглощающем растворителе, показатель поглощения пропорционален
числу поглощающих молекул на единицу объёма (и, следовательно, на единицу длины
пути электромагнитной волны), то есть концентрации
(правило
Бера). Так закон поглощения волн приобрёл вид закона Бугера-Ламберта-Бера; где
не
зависит от концентрации и характеризует молекулу поглощающего вещества.
Физический смысл правила Бера состоит в утверждении независимости поглощения
волн молекулами от их взаимодействия с окружением, и в реальных газах (даже при
невысоких давлениях) и растворах наблюдаются многочисленные отступления от
него.
Сказанное выше относится к средам сравнительно
малой оптической толщины, равной
.
При возрастании
поглощения волн
средой усиливается на всех частотах - линии и полосы поглощения расширяются.
При достаточно больших
среда поглощает
всё проникающее в неё излучение как абсолютно чёрное тело.
В проводящих средах (металлах, плазме и т.д.)
волновая энергия передаётся не только связанным электронам, но и (часто
преимущественно) свободным электронам,
в
таких средах сильно зависит от их электропроводности
.
Значительное поглощения волны в проводящих средах очень сильно влияет на все
процессы распространения волны в них; это формально учитывается тем, что член,
содержащий
входит в выражение
для комплексного преломления показателя среды. В несколько идеализированном
случае поглощения волны только свободными электронами (электронами
проводимости)
(
- действительная часть показателя преломления,
-
скорость света). Измерения поглощения волн металлами позволяют определить
многие характерные их свойства; опытные данные при этом хорошо описываются
современной квантовой теорией металлооптики. В теоретических расчётах часто
пользуются величиной
, связанной с
соотношением
,
где l
- длина волны вакууме (а не в среде). Если
равно
1, то в слое среды толщиной
интенсивность электромагнитного
излучения уменьшается в
, то есть ~ в 100
000 раз.
В терминах квантовой теории при поглощении волны
электроны в поглощающих атомах, ионах, молекулах или твёрдых телах переходят с
более низких уровней энергии на более высокие. Обратный переход в основное
состояние или в «нижнее» возбуждённое состояние может совершаться с излучением
фотона или безизлучательно. В последнем случае энергия возбуждённой частицы
может, например, в столкновении с другой частицей перейти в кинетическую
энергию сталкивающихся частиц. Тип «обратного» перехода определяет, в какую
форму энергии среды превращается энергия поглощённой волны.
В электромагнитных волнах чрезвычайно большой
интенсивности поглощение волн многими средами перестаёт подчиняться закону
Бугера -
начинает
зависеть от
. Связь между
и
становится
нелинейной (нелинейное поглощение волны). Этот эффект, в частности, может быть
обусловлен тем, что очень большая доля поглощающих частиц, перейдя в
возбуждённое состояние и оставаясь в нём сравнительно долго, меняет (или совсем
теряет) способность поглощать волну, что, разумеется, заметно изменяет характер
поглощения волны средой.
Особый интерес представляет ситуация, когда в
поглощающей среде искусственно создана инверсия населённостей энергетических
уровней, при которой число возбуждённых состояний на верхнем уровне больше, чем
на нижнем. В этом случае каждый фотон из падающего потока вызывает испускание
ещё одного точно такого же фотона с большей вероятностью, чем поглощается сам.
В результате интенсивность выходящего потока
превосходит
интенсивность падающего
, т. е. имеет место
усиление волны. Формально это явление соответствует отрицательности
в
законе Бугера и поэтому носит название отрицательного поглощения волны. На
отрицательном поглощении волны основано действие оптических квантовых
усилителей и оптических квантовых генераторов (лазеров).
Поглощение волны широчайшим образом используется
в различных областях науки и техники. Так, на нём основаны многие особо
высокочувствительные методы количественного и качественного химического
анализа, в частности абсорбционный спектральный анализ, спектрофотометрия,
колориметрия и пр. Вид спектра поглощения волны удаётся связать с химической
структурой вещества, установить в молекулах наличие определённых связей
(например, водородной связи), исследовать характер движения электронов в
металлах, выяснить зонную структуру полупроводников и многих др.
1.4 Резонансные системы с отрезками
линий, содержащими неоднородности
В ряде случаев по конструктивным соображениям, а
также, например, для улучшения фильтрующих свойств, расширения диапазона
перестройки PC в качестве
составной части PC
используют ступенчато-неоднородные отрезки линий. Коаксиальная линия может
состоять из нескольких отрезков, имеющих разные диаметры внутренних и внешних
проводников, т.е. обладающих разными значениями волновых сопротивлений; могут
быть изменены размеры двухпроводной или полосковой линии и т.д. Эти
неоднородности приводят к возбуждению высших типов волн, локализованных вблизи
неоднородности. Поля таких волн имеют в основном реактивный характер, поэтому
поглощением мощности, связанным с их возбуждением, в первом приближении можно
пренебречь. Неоднородность может быть учтена включением в эквивалентную схему
линии некоторой реактивной проводимости. Скачкообразные изменения размеров
проводников линии учитывают включением сосредоточенной емкости.
Резонансное условие для сложной PC,
состоящей из параллельно включенных участков линий, записывается для выбранного
сечения в виде равенства нулю суммы реактивных проводимостей, определяемых
пересчетом к этому сечению проводимостей отдельных участков:
Yвх1
+ Yн
+ Yвх2
= 0,
где Yн
= jCн
/(5,31λ) - проводимость емкости, отражающей в
эквивалентной схеме неоднородность линии;
Yвх2 =
-j/[Z02tg(2πl2λ)]
- входая
проводимость короткозамкнутого отрезка линии длиной l1;
Yвх1
= -j/Xвх1;
Xвх1
- входное реактивное сопротивление участка линии длиной l1,
нагруженного на конце сосредоточенной емкостью С0.
PC можно
перестраивать, не изменяя общей длины системы l
= l1
+ l2
изменением либо емкости С0, либо места включения неоднородности (l2,
а стало быть, и l1
= l- l2).
Возможна также перестройка системы одновременным изменением С0 и l2.
Коэффициент перекрытия диапазона γп
= λmax/λmin
будет зависеть в там числе и от фактора неоднородности
Полосы пропускания PC
располагаются в окрестности каждого значения резонансной частоты. Ширина полос
пропускания определяется нагруженной добротностью эквивалентного контура на
соответствующем виде колебаний.
Для выполнения требований по фильтрации высших
гармоник, всегда присутствующих в спектре СВЧ - тока генератора, необходимо,
чтобы резонансные частоты ω0,
ω1, ω2,
... не были бы кратными.
Если аналогичным образом найти резонансные
частоты PC с
короткозамкнутым отрезком однородной линии, то окажется, что PC,
образованные из отрезков однородной линии, обладают низкими фильтрующими
свойствами для нечетных гармоник.
Когда трудно получить одновременно большое
значение R0э.хх
при перестройке PC
в широком диапазоне частот, линейный закон перестройки, хорошие фильтрующие
свойства и т.д., в PC
включают отрезки плавно-неоднородных линий. В них волновое сопротивление вдоль
линий изменяется по определенному закону, для чего в двухпроводных линиях
обычно изменяют расстояние между проводниками линии; в коаксиальных - диаметры
проводников (чаще всего наружного); в полосковых - ширину полоскового
проводника.
К плавно-неоднородным линиям относят и
радиальную линию, у которой с увеличением радиуса растет погонная емкость, а
погонная индуктивность и волновое сопротивление уменьшаются. Для таких линий
Z0
(r) = 60h/r
= Z0r0/r,
(10)
где Z0
- волновое сопротивление в начале линии, на начальном радиусе r0;
Z0
(r) - волновое
сопротивление на некотором текущем радиусе r.
Радиальные линии обычно возбуждают электрическим полем в емкостном зазоре d,
диаметр которого 2r0.
Условие резонанса (для начала радиальной линии, r
= r0)
jC0Z0/(5,31l)
+ Y(r0,R).
(11)
Первый член выражения (14) является
нормированной по Z0
проводимостью емкостного зазора, второй член - нормированной входной
проводимостью радиальной линии, короткозамкнутой на радиусе r
= R. Расчет такой PC
производится по уравнению (14), при этом обычно задают значения С0,
λ, r0,
h. Графически или
численными методами находят значение R.
Если емкость С0 не задана, ее определяют как емкость
соответствующего конденсатора: С0 = ε0εrπr02/d,
где ε0
- электрическая постоянная вакуума, εr-
относительная диэлектрическая проницаемость материала, заполняющего зазор. Если
заполнение зазора - воздух или вакуум (εr
= 1),
C0
= 0,28r02/d.
(12)
При этом если r0
и d выражены в см, то
С0 получаем в пФ. Иногда соотношение (15) уточняют, добавляя к чисто
«торцевой» емкости емкость боковой поверхности центральной части PC,
ограничивающей радиальную линию в ее начале, на длину верхней крышки PC.
В этом случае
C0 =
0,28r0(r0/d
+ 1,25 ln
h/d).
(13)
1.5 Типы волноводных систем
Линии передачи миллиметрового (ММ) и
субмиллиметрового (СБМ) волн являются и объектом и средством измерений. В
первом случае необходимо знать электродинамические характеристики линий,
передающих сигнал на ММ и СБМ волнах. Во втором случае линии передачи
используются для измерения характеристик вносимых в них объектов (например,
диэлектрических образцов).
Многообразие применения линий передачи,
технологические и принципиальные трудности создания в ММ и особенно в СБМ
диапазонах традиционных волноводных систем (подобных системам СВЧ диапазона)
обусловливают большое разнообразие линий передачи этого диапазона. Далее будут
рассмотрены и сопоставлены основные типы волноводных систем ММ и СБМ
диапазонов, их особенности, характеристики и области применения.
В ММ и СБМ диапазонах волн применяются следующие
типы волноводных систем: полые металлические волноводы; металлодиэлектрические
волноводы; диэлектрические, в том числе диэлектрические полосковые волноводы;
квазиоптические лучеводы; микрополосковые линии. Основным отличием полых
металлических волноводов ММ и СБМ волн от волноводов, применяемых в СВЧ
диапазоне, является то, что они, как правило, являются многомодовыми. Это
обстоятельство значительно затрудняет как разработку и создание самих линий
передач, так и измерение основных их характеристик. Такими характеристиками
являются: постоянные распространения γj
= βj-ιαj
(βj
и αj
- фазовая постоянная и постоянная затухания волны j-го
типа соответственно); относительный уровень мощности j-й
волны; частотная и фазовая характеристики линии; Kст;
предельная мощность и др.
Точность измерения этих характеристик
определяется в первую очередь требованиями, предъявляемыми к конкретному
тракту: в одном случае главным является обеспечение минимальных потерь, в
других- заданной структуры поля, максимума передаваемой мощности:,
равномерности фазовой характеристики и т.д.
Рассмотрим основные свойства многомодовых волноводов.
Распределение электрического и магнитного полей волны в любом поперечном
сечении волновода при z
= const неизменно, а
происходит лишь изменение амплитуды и фазы волны по закону
Ej(x,y,z)
= AjEj(x,y)e-iγjz,
где Aj-
амплитуда волны j-го типа.
Расчет значения αj
практически всегда приводит к несоответствию с измеряемой величиной затухания
[1]. Поэтому даже в регулярном волноводе ММ и СБМ диапазона практически всегда
необходимы измерения потерь αj,
а иногда величин βj,
Ej или Нj.
[1]
Реальные тракты всегда имеют ряд специально
вводимых или случайных нерегулярностей. Первые связаны с использованием
измерительных элементов, таких как аттенюаторы, фазовращатели, модуляторы,
переходы с одного сечения волновода на другое, делители мощности, детекторные секции
и т.д.
Случайные нерегулярности возникают из-за
неидеальности геометрии волноводов, а также их соединения и крепления. Следует
отметить, что с укорочением длины волны случайные нерегулярности вносят все
больший вклад как в значение вносимых потерь, так и в эффективность
преобразования основной моды в высшие [1].
Известно [2], что в одномодовом волноводе любые
нерегулярности вызывают только отражение рабочей волны. В многомодовом
волноводе любая нерегулярность вызывает также искажение амплитудного распределения
поля волны [3, 4], что обусловлено преобразованием основной моды в высшие моды.
Преобразование мод имеет важную особенность -
преимущественное возбуждение на нерегулярностях мод того же направления
распространения, что и возбуждающая мода [отношение амплитуд прямой и обратной
мод индекса i равно (βj+βi)/(βj-βi)].
Кроме того, наибольшие амплитуды имеют моды с близкими к рабочей моде фазовыми
постоянными. В случае распределенных нерегулярностей наиболее эффективное
возбуждение моды индекса i
имеет место, когда Сji
пропорционально cos
βjiz,
т.е. когда нерегулярности имеют косинусоидальную зависимость от z
с периодом, равным длине волны биений (λij
= 2π/βji)
между j-й и i-й
модами [4].
В ММ диапазоне волн широкое распространение
получили одномодовые и многомодовые (прямоугольные и круглые) волноводы, а в
СБМ диапазоне - только многомодовые волноводы.
Прямоугольные волноводы. Для одномодового режима
работы необходимо выполнение условий: 2a>λ0>a,
2b<λ0
(а и b - размеры широкой
и узкой стенок волновода). Для основной волны H10
фазовая постоянная β10 и постоянная затухания α10
определяются выражениями:
β10
= [k20-(π/a)2]1/2
, (14)
α10
= (πcε0/λ0σ)1/2*[(1+2(b/a)(λ0/2a)2)/(b[1-(λ0/2a)2]1/2)],
где к0 = 2π/λ0;
с - скорость света в вакууме;
σ - проводимость, См/м;
ε0 =
8,86- 10-12 Ф/м - диэлектрическая проницаемость вакуума.
В одномодовых волноводах обычно а = 2b.
При этом условии и при σ = 5,4* 107
См/м (медь) по указанной формуле можно определить потери на проводимость в
стенках волновода.
Измеренные значения потерь обычно в 1,5-2 раза
превышают расчетные, причем с укорочением длины волны наблюдается все большее
несоответствие расчетных и измеренных потерь [4]. Этот факт обусловлен
шероховатостью стенок волновода и наличием на них пленки окислов.
С укорочением длины волны резко возрастают и
требования к допускам на размеры волноводов и точности их стыковки.
Коэффициенты отражения от различных дефектов, возникающих при стыковке
волноводов, могут быть оценены по приближенным формулам, приведенным в [3].
Так, при допусках на размеры а и b,
равных δ,
коэффициент
отражения от стыка двух волноводов при a
= 2b, |Г|∆
= 4δ/a.
При смещении волноводов в контактной поверхности
стыка на ∆а или ∆b
|Г|∆a≈0,9∆a/a,
|Г|∆b≈0,3∆b/b.
(15)
Коэффициент отражения на изломе оси на угол θ
в
стыке
|Г|θ
= 3*10-3θ.
Многомодовые волноводы. В многомодовом режиме
потери при работе на волне Н10 малы. При условии а>>λ0,
b>> λ0
и b<<2а3/
λ02
из (17) следует, что α~1/b.
Это означает, что наименьшие потери можно получить в многомодовом волноводе, у которого
размер b>а, когда вектор
напряженности электрического поля распространяющейся волны перпендикулярен
стенке с размером а. Однако при b>а
увеличивается возможность возникновения высших мод. Это может привести не
только к увеличению суммарных потерь, но и к значительной осцилляцией ной
зависимости этих потерь от частоты. Кроме того, при наличии в измерительном
тракте на многомодовых волноводах переходов с одного сечения волновода на
другой возможно возникновение резонансов, обусловленных переотражением
паразитных мод от критических сечений [2, 3].
При резонансе коэффициент пропускания умножается
на фактор Dj
= = Lj/(
Lj+ηj),
Dj>1, Lj - потери на преобразование
основной волны в j-ю волну
высшего типа; ηj
- затухание j-й волны. При Lj>
ηj
Dj<<1.
Коэффициенты преобразования волны Н10
в волны Нm0
имеют вид:
Вm0
=
2π2m∆а/β20(β20-
β10)a3.
Наибольшее значение имеет коэффициент
преобразования волны Н10 в волны Н11, Е11. При
этом происходит распространение смешанной волны, представляющей линейную
комбинацию волн Н11 и Е11.
Коэффициент преобразования волны Н10
в Hmn- или Emn-
волны при изломе оси на угол ∆θ
определяется
из выражения [2]: Bij
= Fji∆θ,
где коэффициенты Fji
даны в [2].
При повороте сечений волновода друг относительно
друга на угол ∆θ для случая
симметричной скрутки (не происходит смещения осей волноводов) коэффициент
преобразования волны Н10 в волну с ортогональной поляризацией
определяется из выражения [2] B01
=
4∆θ(β10+β01)/π2β01.
Распределение поля, возникающее в идеальном
диэлектрике при нормальном падении волны на идеально проводящую плоскость,
стоячая волна обладает тем свойством, что в любой плоскости, расположенной на
расстоянии
от
границы раздела сред, выполняется условие
.
Следовательно, любую из таких плоскостей можно
заменить границей с идеальным проводником, так что в «отсеченном»
диэлектрическом слое сможет существовать прежнее поле.
Следует рассмотреть плоский диэлектрический слой
между двумя идеально проводящими плоскостями, расположенными на некотором
фиксированном расстоянии
. Из предыдущего
следует, что необходимым условием существования поля в данной системе является
кратность величины
половине длины
волны в диэлектрике. Запишем это в двух формах:
,
.
(16)
Как видно равенство (16) порождает бесконечную
последовательность «разрешенных» длин волн
и
соответствующих волновых чисел
, при которых в
слое могут существовать свободные поля вполне определенной структуры. Нетрудно
найти круговые частоты
соответствующие
волновым числам
:

. (17)
Говорят, что электродинамической системе
свойственны собственные колебания, а величины
называются
ее собственными круговыми частотами.
Возможны собственные колебания, если диэлектрик
является несовершенным. Полагая
и
в
(17) комплексными и используя представления
,
можно
убедиться, что собственные частоты существуют и оказываются комплексными:
.
(18)
Рассмотренная система есть не что иное, как
простейший электромагнитный резонатор. При внешнем возбуждении с частотой
в
экранированном слое будут происходить так называемые вынужденные колебания
поля, амплитуда которых каждый раз резко возрастает при
.
Это и есть резонансы поля в слое.
В коротковолновой части метрового диапазона
волн, а также в длинноволновой части дециметрового диапазона (примерно до
частоты 1000 МГц) для создания PC
ламповых генераторов применяют индуктивные короткозамкнутые отрезки
двухпроводных симметричных линий. Проводники линий возбуждаются в противофазе,
структура электромагнитного поля в линии соответствует Т-волне. Так как такие PC
симметричны электрически, их удобно использовать в двухтактных генераторах.
Концы проводников, образующих двухпроводную линию, соединяют между собой
неподвижной жесткой перемычкой, через которую к анодам ламп подключают источник
анодного напряжения.
В однотактных генераторах можно использовать
однопроводные линии - проводник над заземленной плоскостью а также симметричные
или несимметричные полосковые линии.
В генераторах на лампах с кольцевыми или
дисковыми выводами электродов наиболее целесообразно использовать отрезки
коаксиальных линий. Для уменьшения их длины в ряде случаев применяют
центральный проводник линии в виде спирали.
Теперь следует рассмотреть порядок расчета PC,
выполненных на основе отрезков короткозамкнутых однородных линий. Исходными
данными являются: длина волны λ, или
диапазон длин волн λmax
и λmin;
значение сосредоточенной емкости С0, включенной в начале линии;
конструкция, габариты генераторного прибора; форма и размеры выводов его
электродов (эти данные вместе с длиной волны определяют выбор типа линии) [5].
Диаметр проводников двухпроводной линии выбирают
равным или близким к диаметру соответствующего вывода электрода. Диаметры
проводников коаксиальной линии определяются диаметрами кольцевых выводов
металлокерамических ламп.
Выбирают волновое сопротивление линии и
рассчитывают ее геометрические размеры в поперечном сечении по соотношениям
[5]. Выбор волнового сопротивления в известной степени определяет добротность PC
и ее электрическую прочность.
Максимальная собственная добротность
коаксиальной линии имеет место при отношении диаметров проводников D/d
= 3,6, что соответствует волновому сопротивлению Z0
= 77 Ом, причем при изменении D/d
от 2,5 до 5 собственная добротность линии меняется мало.
При постоянном погонном сопротивлении линии R1
потери в проводнике падают при уменьшении амплитуды СВЧ- тока, протекающего
через него. С этой точки зрения следует увеличивать волновое сопротивление
линии. Но так как по конструктивным соображениям диаметр наружного проводника
коаксиальной линии или расстояние между проводниками двухпроводной линии не
должны быть чрезмерно большими, то волновое сопротивление увеличивают за счет
уменьшения диаметра внутреннего проводника коаксиальной линии или диаметров
проводников двухпроводной. Однако при этом растет R1
и увеличиваются потери в линии. Рекомендуется поэтому выбирать волновое
сопротивление коаксиальных линий в пределах 30-70 Ом, а двухпроводных 200-400
Ом.
В коаксиальной линии размер D
ограничен также условием невозбуждения продольных типов волн:
D<Dmax
=
(2lmin
/p).
(19)
По заданным значениям емкости С0 и
диапазона длин волн λmin
- λmax
при условии, что перестройка PC
выполняется перемещением короткозамыкателя, определяют минимальную и
максимальную длину линии с использованием найденного значения Z0.
Как правило, предусматривают работу системы на основном виде колебаний, т. е. с
n = 0.
По формулам [5] рассчитывают погонные параметры R1,
C1,
L1,
которые определяют значения элементов схемы замещения линии, приведенной на
рис.1. Погонная проводимость линии G1
при ее заполнении воздухом пренебрежимо мала. Длина каждой ячейки l1
равна принятой единице длины, например 1 см.
Рис. 1. Схема замещения линии
Определяют эквивалентное резонансное
сопротивление ненагруженной PC
(на холостом ходу). При этом R0э,
Rxx рассматривают
как образованное параллельным соединением двух эквивалентных сопротивлений:
собственно линии Rэл
и генератора Rэг.
Таким образом
R0э,Rхх
= Rэг
Rэл/
(Rэг+
Rэл).
Эквивалентное сопротивление генератора
определяется потерями внутри генераторного прибора: в диэлектриках, электродах
(за счет их поверхностного сопротивления) и т.д. Полный учет этих потерь
чрезвычайно сложен, однако в первом приближении можно считать, что Rэг
≈(1,0÷1,5)Rэл.
Потери в генераторном приборе с ростом частоты возрастают, наименьшее значение Rэг
соответствует коротковолновой части дециметрового диапазона волн, наибольшее -
длинноволновой.
Эквивалентное сопротивление линии Rэл,
в свою очередь рассматривают [5] как параллельное соединение двух сопротивлений
R’эл и R”эл,
соответствующих потерям в проводниках линии и в переходном сопротивлении между
проводниками и короткозамыкающим элементом.
. Характеристическое сопротивление
эквивалентного контура ρэ
= 1/(ω0Сэ)
определяется емкостью эквивалентного контура
Сэ = С0 + Сэл,
где Сэл - эквивалентная емкость
отрезка линии - может быть найдена из условия равенства электрической энергии,
запасаемой в этой емкости за период СВЧ- колебаний, и энергии, запасаемой в
распределенной емкости отрезка линии длиной l:
На основном виде колебаний Сэ может
быть рассчитана по соотношению
Сэ = Со
. (20)
В ряде случаев по конструктивным
соображениям, а также, например, для улучшения фильтрующих свойств, расширения
диапазона перестройки PC в качестве составной части PC используют
ступенчато-неоднородные отрезки линий. Коаксиальная линия может состоять из
нескольких отрезков, имеющих разные диаметры внутренних и внешних проводников,
т. е. обладающих разными значениями волновых сопротивлений; могут быть изменены
размеры двухпроводной или полосковой линии и т. д. Эти неоднородности приводят
к возбуждению высших типов волн, локализованных вблизи неоднородности. Поля
таких волн имеют в основном реактивный характер, поэтому поглощением мощности,
связанным с их возбуждением, в первом приближении можно пренебречь.
Неоднородность может быть учтена включением в эквивалентную схему линии
некоторой реактивной проводимости. Скачкообразные изменения размеров
проводников линии учитывают включением сосредоточенной емкости.
Резонансное условие для сложной PC, состоящей
из параллельно включенных участков линий, записывается для выбранного сечения в
виде равенства нулю суммы реактивных проводимостей, определяемых пересчетом к
этому сечению проводимостей отдельных участков:
Yвх1 + Yн + Yвх2 = 0,
где Yн = jCн /(5,31λ) -проводимость
емкости, отражающей в эквивалентной схеме неоднородность линии;
Yвх2 = -j/[Z02tg(2πl2λ)] - входая
проводимость короткозамкнутого отрезка линии длиной l1;
Yвх1 = -j/Xвх1; Xвх1 - входное
реактивное сопротивление участка линии длиной l1,
нагруженного на конце сосредоточенной емкостью С0.
PC можно
перестраивать, не изменяя общей длины системы l = l1 + l2 изменением
либо емкости С0, либо места включения неоднородности (l2, а стало
быть, и l1 = l- l2). Возможна
также перестройка системы одновременным изменением С0 и l2.
Коэффициент перекрытия диапазона γп = λmax/λmin будет
зависеть в там числе и от фактора неоднородности
Полосы пропускания PC
располагаются в окрестности каждого значения резонансной частоты. Ширина полос
пропускания определяется нагруженной добротностью эквивалентного контура на
соответствующем виде колебаний.
Для выполнения требований по
фильтрации высших гармоник, всегда присутствующих в спектре СВЧ - тока
генератора, необходимо, чтобы резонансные частоты ω0, ω1, ω2, ... не
были бы кратными.
Если аналогичным образом найти
резонансные частоты PC с короткозамкнутым отрезком
однородной линии, то окажется, что PC,
образованные из отрезков однородной линии, обладают низкими фильтрующими
свойствами для нечетных гармоник.
Когда трудно получить одновременно
большое значение R0э.хх при
перестройке PC в широком
диапазоне частот, линейный закон перестройки, хорошие фильтрующие свойства и
т.д., в PC включают
отрезки плавно-неоднородных линий.
В них волновое сопротивление вдоль
линий изменяется по определенному закону, для чего в двухпроводных линиях
обычно изменяют расстояние между проводниками линии; в коаксиальных - диаметры
проводников (чаще всего наружного); в полосковых - ширину полоскового
проводника.
К плавно-неоднородным линиям относят
и радиальную линию, у которой с увеличением радиуса растет погонная емкость, а
погонная индуктивность и волновое сопротивление уменьшаются. Для таких линий
Z0 (r) = 60h/r = Z0r0/r, (21)
где Z0 - волновое
сопротивление в начале линии, на начальном радиусе r0; Z0 (r) - волновое
сопротивление на некотором текущем радиусе r. Радиальные
линии обычно возбуждают электрическим полем в емкостном зазоре d, диаметр
которого 2r0.
Условие резонанса (для начала
радиальной линии, r = r0)
jC0Z0/(5,31l) + Y(r0,R). (22)
Первый член выражения (22) является
нормированной по Z0
проводимостью емкостного зазора, второй член - нормированной входной
проводимостью радиальной линии, короткозамкнутой на радиусе r = R. Расчет
такой PC
производится по уравнению (22), при этом обычно задают значения С0, λ, r0, h. Графически
или численными методами находят значение R. Если
емкость С0 не задана, ее определяют как емкость соответствующего
конденсатора: С0 = ε0εrπr02/d, где ε0 -
электрическая постоянная вакуума, εr- относительная
диэлектрическая проницаемость материала, заполняющего зазор.
Если заполнение зазора - воздух или
вакуум (εr = 1),
C0 = 0,28r02/d . (23)
При этом если r0 и d в (26)
выражены в см, то С0 получаем в пФ. Иногда соотношение (26)
уточняют, добавляя к чисто «торцевой» емкости емкость боковой поверхности
центральной части PC, ограничивающей радиальную линию в
ее начале, на длину верхней крышки PC. В этом
случае
C0 = 0,28r0(r0/d+ 1,25 ln h/d). (24)
Наиболее просты по устройству и
часто применяются коаксиальные четвертьволновые и полуволновые резонаторы.
Четвертьволновый резонатор представляет собой
отрезок коаксиальной линии, один конец которого замкнут накоротко, а второй
разомкнут. В общем случае длина резонатора кратна нечетному числу четвертей волн.
Так как разомкнутый конец резонатора всегда имеет некоторую емкость рассеяния,
которую можно рассматривать как сосредоточенную, то длина резонатора несколько
меньше четверти длины волны.
Если к открытому концу коаксиального резонатора
подключить емкость, то длина резонатора будет меньше четверти длины волны.
Емкость можно расположить и внутри резонатора.
Полуволновой резонатор представляет собой
отрезок коаксиальной линии, замкнутый накоротко с обоих концов. Длина такого
резонатора может быть выбрана равной полуволне или кратной целому числу
полуволн. Полуволновой резонатор можно рассматривать как четвертьволновый,
соединенный со своим зеркальным изображением. Полуволновой отрезок коаксиальной
линии с разомкнутыми концами также обладает резонансными свойствами.
Перестройка четвертьволновых резонаторов
производится либо путем изменения длины центрального проводника, либо путем
изменения величины сосредоточенной концевой емкостей.
Полуволновые короткозамкнутые резонаторы
перестраиваются изменением их длины с помощью поршней, а разомкнутые - либо
изменением величины сосредоточенной емкости, либо изменением длины центрального
проводника.
Связь резонатора с подводящими линиями может
быть нескольких видов: индуктивная, емкостная, комбинированная (индуктивно-емкостная)
и кондуктивная.
Прямоугольные объёмные резонатор образуют,
закорачивая с двух сторон отрезок прямоугольного волновода с внутренними
размерами поперечного сечения а×b см2.
Настройке в резонанс соответствует случай, когда вдоль длины резонатора l укладывается
целое число полуволн. Он может возбуждаться в зависимости от характера и места
включения элемента связи либо на волне типа Нmnp,
либо на волне типа Еmnp.
Индексы m, n,
p = 0,1,2,…
соответствуют числу полуволн одной из компонент СВЧ электромагнитного поля,
укладывающихся в резонаторе вдоль широкой стенки волновода a,
узкой b и длины резонатора
l соответственно.
Резонансная длина волны (в собственном
пространстве)
λ = 2/
(25)
При работе на волнах Е-типа возможно
возбуждение колебаний с р = 0. Основным видом колебаний в прямоугольном
объемном резонаторе является колебание типа Н101. При этом
собственная добротность резонатора
Q0
= λRσb(a2+b2)3/2
/ [2l(a+2b)+2a3(l+2b)] (26)
Круглые цилиндрические объёмные
резонаторы получают, закорачивая с двух сторон отрезок круглого цилиндрического
волновода. Для настройки в резонанс требуется, чтобы вдоль длины резонатора l
укладывалось целое число полуволн р. При возбуждении колебаний Е - типа
возможна работа со структурой поля, которой соответствует р = 0. Резонансная
настройка наблюдается при длине волны (в свободном пространстве)
λ = λкр/
, (27)
где λкр -
критическая длина волны данного типа.
В круглых резонаторах могут
возбуждаться колебания типов Нmnp или Еmnp, при этом m равно числу
полуволн, укладывающихся по азимутальному углу вдоль полной длины окружности, n- числу
полуволн, укладывающихся на внутреннем диаметре резонатора D.
Наиболее высокую добротность
получают при возбуждении резонатора на колебаниях типа Н0np,
максимальное ее значение соответствует равенству длины резонатора l его
диаметру D:
Q0 max = 0,66λRsσ.
Длинными линиями, или фидерами, в
радиотехнике называют такие двухпроводные линии, длина которых l больше или
соизмерима с длиной волны λ, а расстояние между проводами d
меньше длины волны λ,
т.
е. l>>λ,
d<<λ.
Они служат в основном для передачи
энергии от передатчика к антенне и от антенны приемнику. Их применяют так же
как измерительные линии и линии задержки, а на сверхвысоких частотах их отрезки
могут заменять колебательные контуры.
Физический смысл приведенных
неравенств состоит в том, что при распространении высокочастотной
электромагнитной волны вдоль линии условия квазистационарности не выполняются,
так как l>>λ.
С другой стороны, если и расстояние
между проводами d больше длины волны d>>λ, то волна от
источника электромагнитных колебаний будет распространяться не по проводам, а
во всех направлениях, т. е. будет происходить излучение.
Например, если между проводами двухпроводной
линии поместить источник света, то ясно, что свет будет распространяться не по
проводам, а излучаться во всех направлениях. Условие l>>λ означает,
что вдоль линии укладывается большое число длин волн, и она не является
системой с сосредоточенными параметрами, поэтому двухпроводная линия
представляет собой систему с распределенными параметрами. Для ее описания
вводят распределенную емкость, индуктивность и сопротивление на единицу длины,
размерность которых Ф/м, Гн/м, Ом/м. Основное требование, предъявляемое к
длинным линиям,- передача энергии электромагнитной волны с минимальным
затуханием. Поэтому в первую очередь необходимо добиваться минимальных потерь,
которые зависят от длины линии и частоты колебаний волноводного процесса. При
длинах волн короче 10 см потери в двухпроводной линии резко возрастают, и они
становятся неэффективными для передачи энергии. Поэтому их заменяют волноводами
- полыми металлическими трубами, которые имеют меньшие потери, чем
двухпроводная линия.
Процессы, происходящие в длинных
линиях, принципиально отчаются от процессов в цепях с сосредоточенными
параметрами. Эта объясняется тем, что индуктивности, емкости и активные
сопротивления длинных линий распределены по всей длине линии, т. е. длинные
линии являются цепями с распределенными параметрами. Процесс распространения
электромагнитной энергии вдоль длинной линии является волновым процессом. Этот
вывод следует из применения уравнений Максвелла к длинным линиям. Другой метод
изучения процессов в длинных линиях основан на эквивалентной электрической
схеме двухпроводной длинной линии, согласно которой линия разбивается на
бесконечно большое число элементарных участков с бесконечно малыми
сосредоточенными параметрами.
Обычно рассматривают бесконечно
малый отрезок такой линии dX. Если в начале элементарного участка приложено
напряжение U, то при протекании тока в указанном направлении приращение
напряжения на участке равно
,
(28)
так как приращение возможно только за счет ЭДС
самоиндукции. Аналогично, если ток в начале участка равен I, то в конце его он
получит приращение
, (29)
так как часть тока ответвляется через емкость dC
= Cdx. В уравнениях (28), (29) L и С - индуктивность и емкость на единицу
длины. Разделив на dx, получается
. (30)
Это телеграфные уравнения идеальной линии.
Продифференцировав первое из уравнений по х, а второе по t, получается
(31)
волновые уравнения для напряжения получим после
подстановки (31) в (30):
(32)
Уравнения можно записать так:
(33)
где
-
скорость распространения волны
. (34)
Решением волнового уравнения является функция
вида
Полное решение волновых уравнений имеет вид
, (35)
. (36)
Таким образом, ток и напряжение в линии можно
представить в виде суммы прямой и обратной волн, распространяющихся вдоль линии
со скоростью
.
Если к началу бесконечной линии приложить
напряжение U(t), то, применив к (35) и (36) граничные условия х = 0 и U2
= 0, получается U(t) = U1(t), а решение будет иметь вид:
, (37)
. (38)
Преобразовав, можно получить
, (39)
откуда
.
(40)
Далее
.
(41)
Функции U и I связаны следующими соотношениями:
, (42)
где Z0 волновое сопротивление линии.
Из этих же уравнений следует, что
т. е.
Это определение волнового сопротивления Zo
для отраженной волны, и поэтому из (42) получается
(43)
Рассматривается линия, нагруженную на активное
сопротивление Rн. Так как напряжение на нагрузке равно сумме
напряжений прямой и обратной волн, то граничные условия на ее конце будут
следующими:
(44)
.
Введя понятие коэффициента отражения, как
отношения амплитуды обратной волны к амплитуде падающей:
. (45)
Если
,то
Если линия разомкнута на конце (
),
то коэффициент отражения
, (46)
т.е. волна напряжения отражается полностью с тем
же знаком. Если линия замкнута на конце (Zн = 0), коэффициент
отражения Котр = -1.
От закороченного конца линии волна напряжения
полностью отражается с противоположным знаком. В результате напряжение на конце
линии равно нулю, а ток удваивается.
Обычно измеряют максимум и минимум напряжения и
определяют коэффициент бегущей волны:
(47)
Полагая Zн = R = ρ
(согласованная
нагрузка) можно получить
U(x) = Uн
|cosαx+
i sinαx)
= Uнexp(iαx),
(48)(х)
= Iн
[cos αx
+ i sin αx]
= Iн
exp(iαx),
Z(х) = Zн = ρ.
При работе на согласованную нагрузку в линии
существуют только падающие (бегущие) волны тока и напряжения. Так как
затуханием ρ пренебрегают, то
модули амплитуд U(х) и I (х) вдоль линии не изменяются и равны соответственно
модулям Uн и Iн.
Переходя к мгновенным значениям, получается
u(t, x) = Uн
cos(ωt+αx),
(49)(t, х)
= Iн
cos(ωt+αх)
В начале линии при х = 1 будем иметь
u(t,l) = Uн
cos(ωt+αl),(t,l)
= Iн
cos(ωt+αl),
а в конце линииu
(t, 0) = Uн
cosωt,
i(t,0)
= Iн
cosωt.
Таким образом, фаза бегущей волны в конце линии отстает на угол φн
= αl
= 2πl/λ
= ωi/c
от
фазы волны в начале линии (для воздушной линии, когда v = c), где t1-время
пробега волной отрезка l.
Полагая Zн = ixн (чисто
активная нагрузка), следует
U(х) = Uн
[ cos αх+ρ/xн
sinαх], (50)(х) = Iн
[ cos αх- xн /ρ
sinαх].
Переходя к модулям амплитуд получается
.(51)
Из этих выражений видно, что при чисто
реактивной нагрузкев линии устанавливаются так называемые стоячие волны
напряжения и тока. В точках, отстоящих от конца на расстояниях которых αx-φ1
= 0,π,2π, |соs(αх-φ1)|
обращается
в единицу, |sin(αx -φ1)| - в
нуль, амплитуда напряжения, достигает своего максимума, а амплитуда тока равна
нулю. Эти точки соответствуют пучностям напряжения и узлам тока. В точках где αx-φ1
= π/2,3π/2,5π/2...
и
так далее, наоборот, устанавливаются узлы напряжения и пучности тока.
Следует помнить, что входное сопротивление линии
при стоячих волнах имеет характер чисто реактивного сопротивления:
.(52)
Из этого следует, что в любом сечении линии
напряжение и ток сдвинуты по фазе (во времени) на угол 90 градусов. Из (54)
видно, что в пучностях соответственно напряжения и тока амплитуды равны
, (53)
. (54)
Если умножить обе части последнего выражения на ρ,
то
можно получить
. (55)
Приравнивая левые части формул (53) и (54),
приходим к следующему важному выводу: при чисто стоячих волнах максимальные
амплитуды напряжения и тока связаны простым соотношением
макс
= Iмаксρ. (56)
Интересно также установить связь между
амплитудой в пучности и амплитудой падающей волны. Можно написать следующее
выражение для напряжения на конце линии:
н
= Uпад + Uотр = Uпад(1 + Г). (57)
С учетом Г находим окончательно Uмакс
= 2Uпад.
Аналогично можно показать, что Ιмакс
= = 2Ιпад
. Итак, при чисто реактивной нагрузке амплитуды в пучностях равны удвоенному
значению амплитуды падающей волны. Физический смысл этого результата становится
очевидным, если учесть, что образование стоячей волны является результатом
интерференции падающей и отраженной волн.
Так как модуль коэффициента отражения при чисто
реактивной нагрузке равен единице, то амплитуды отраженной и падающей волн
одинаковы. При распространении вдоль линии во взаимно противоположных
направлениях эти волны удваиваются по амплитуде в точках, где их фазы совпадают
(пучности), и взаимно уничтожаются в точках, где сдвиг фазы равен 180° (узлы).
Из предыдущего ясно, что режим чисто стоячей волны возможен лишь в линии без
потерь.
Следует рассмотреть еще вопрос о распределении
энергии электромагнитного поля вдоль линии со стоячей волной. Для этого
выделяется с помощью двух параллельных плоскостей, перпендикулярных к оси
линии, пространство, связанное с элементом линии длиной Δx,
и
составляется выражение для энергии магнитного и электрического поля в указанном
пространстве. Если амплитуда тока в рассматриваемом элементе линии I(х),а
напряжение U(x), то, очевидно, мгновенное значение энергии магнитного поля
будет:

,(58)
а мгновенное значение энергии электрического
поля:
.(59)
При составлении этих выражений учтено, что при
стоячей волне напряжение и ток сдвинуты по фазе (во времени) на 90°. Начальная
фаза θ
может
иметь произвольную величину и для рассматриваемого здесь вопроса значения не
имеет.
Суммируя полученные энергии получается следующее
выражение:
. (60)
Таким образом, можно придти к выводу, что при
чисто стоячей волне средняя энергия электромагнитного поля (на единицу длины)
не изменяется вдоль линии. Имеет место лишь перераспределение энергии между
магнитным и электрическим полем. В пучностях напряжения вся энергия запасена в
электрическом поле (магнитное поле отсутствует), а в пучностях тока - в
магнитном поле (электрическое поле отсутствует).
1.6 Поведение электромагнитных волн
Согласно теории де Бройля движущемуся электрону
можно поставить в соответствие волновой процесс с длиной волны λ.
Тогда для отбора стационарных круговых орбит в простейшей модели атома Бора
необходимо выполнение следующего условия: длина окружности стационарной орбиты
должна быть равна целому числу волн де Бройля. Иначе говоря, для устойчивых
орбит должен иметь место резонанс бегущей волны, распространяющейся по
замкнутому контуру.
Этот вывод можно моделировать при помощи 3-см
электромагнитных волн. Тот факт, что для бегущей волны, распространяющейся по
замкнутому контуру, при соответствующем выборе длины контура действительно
наблюдается явление резонанса, показано в работе [6] следующим образом (рис.
2).
Из отрезков 3-см волновода, разной формы
собирается волноводное кольцо, в которое включены направленный ответвитель НО,
3-см измерительная линия ИЛ и диэлектрический фазовращатель φ.
3-см
электромагнитные волны, модулированные по амплитуде низкой частотой (400 гц),
поступают в кольцо от генератора Г, волноводный выход которого стыкован со
входом направленного ответвителя. Диэлектрический фазовращатель позволяет
менять электрическую длину контура. Детектор в зонде измерительной линии
регистрирует амплитуду волны в данной точке контура. От зонда
продетектированный сигнал через усилитель низкой частоты поступает на вход
осциллографа ЭО-7.
Рис. 2. Волноводное кольцо
Вначале фазовращатель стоит в нулевом положении.
На экране осциллографа наблюдается сигнал небольшой амплитуды, так как при
произвольной длине контура в нем не укладывается целое число волн и волны гасят
друг друга. Вращая ручку фазовращателя, находят такое положение, что амплитуда
сигнала проходит через максимальное значение. Это соответствует случаю, когда в
кольце уложилось целое число волн. Можно убедиться, что в обоих случаях в
контуре существует бегущая волна: при перемещении зонда вдоль линии изменения
амплитуды сигнала незначительны. Они обусловлены неидеальной стыковкой деталей
контура. Опыт показал, что при определенных условиях при бегущей волне имеет
место резонанс.
Волноводное кольцо размыкается, удалив участок А
В С, а открытые выходы волноводов замыкаются металлическими пластинками КК. В
линии устанавливается стоячая волна. При перемещении зонда вдоль линии сигнал
на экране осциллографа периодически меняется от нуля (узлы стоячей волны
электрического поля) до максимума (пучности стоячей волны). Конечно, при показе
этого опыта тщательно оговаривается различие природы волн де Бройля и
электромагнитных и разъясняется, что задача опыта - лишь моделировать идеи де
Бройля. [6].
Однако эта оговорка ни в коей мере не отрицает
полной аналогии между электрическими процессами, происходящими в электронной
оболочке атома в стационарном либо квазистационарном состоянии, и поведением
электромагнитной волны в замкнутой кольцевой системе при выполнении условия
резонанса, так как 1-й постулат Бора по форме полностью совпадает с условием
резонанса электромагнитных волн в замкнутых системах. В настоящее время,
несмотря на огромное количество работ, как теоретических, так и
экспериментальных, в данном направлении, поведение волн во многом далеко от
полноты своего описания. Это особенно ярко проявляется в случаях, когда длина
волны является величиной, сравнимой с характерными размерами элементов систем.
Таким процессом может быть рассеяние на спиральных элементах либо W
- структурах, резонансные явления в волноводных и коаксиальных трактах.
Существует большое количество работ, посвященных
описанию механизма самовозбуждения электромагнитной волны. Так, в работе [7]
рассматривались вопросы о механизме появления комплексных волн в спектре
экранированного волновода. С помощью теории преобразования типов волн
объясняется механизм появления комплексных волн в спектре экранированного
диэлектрического волновода. Для волновода круглой формы приведены результаты
численных расчётов, подтверждающие правильность разработанной модели.
В работе [8] был предложен метод определения
величины комплексной постоянной распространения поверхностной электромагнитной
волны, не требующее знания электрофизических параметров исследуемого материала.
С точностью до членов размножения высшего
порядка малости по степеням λ/L
и Ω/ω, в работе [9]
получены уравнения переноса энергии, импульса и момента импульса пакета
электромагнитной волны, распространяющейся в слабопоглащающей однородной
стационарной анизотропной и гиротропной среде с временной и пространственной
дисперсией. Показано, что закон сохранения собственного момента импульса
(спина) волны имеет место только для поперечных волн с круговой поляризацией.
Определены выражения для плотности спина, его потока.
Сообщается [10] о новом подходе, позволяющем
существенно эффективней и быстрее, а также с большей точностью решать задачи
вычисления полей широкого класса диэлектрических волноводов. Этот подход при
численной реализации обеспечивает хорошую устойчивость.
Метод интегрированного уравнения, полученный на
основе применения тождества Грина, используется [11] для определения
резонансных частот дисковых и кольцевых резонаторов, расположенные на
однослойной диэлектрической подложке и заключенных в низкий цилиндрический
резонатор- экран. Вследствие использования в качестве базисных функций
собственных колебаний структуры существенно сокращено время расчетов. Приведены
результаты определения резонансных частот дисковых резонаторов для колебаний
типа Е010, ЕН110. В кольцевом резонаторе определены
собственные частоты колебаний типа ЕН110, ЕН210, ЕН310.
Обсуждается вопрос о замене реальных граничных
условий при решении задач отражения и прохождения электромагнитной волны через
приближенные импедансы. [12]
Общая теория реактивной связи двух резонансных
типов колебаний сформулирована [13] в терминах нормализованных эквивалентных
сосредоточенных элементов. Выявлено влияние связи на добротность и уход резонансных
частот.
Приведены результаты теоретических и
экспериментальных исследований полосковых кольцевых резонаторов [14],
перестраиваемые с помощью варакторных диодов. Кольца образованы щелевой линией
передачи или компланарным волноводом. Получена [13] электронная перестройка
резонансной частоты щелевого резонатора в полосе частот 3,03- 3,83 ГГц (23%)
при вносимых потерях 4,5 ± 1,5 дБ, резонатор на компланарном волноводе
перестраивается в полосе 2,83- 3,59 ГГц.
Рассматриваются [15] особенности прохождения плоской
электромагнитной волны через бесконечную диэлектрическую среду, состоящую из
плоскопараллельных пластин . Предполагается , что среда является периодической.
Её периодические элементы состоят из конечного числа пластин с произвольными
значениями диэлектрической проницаемости, волна падает под произвольным углом
на пластины и имеет либо ТМ-, либо ТЕ- поляризацию. С использованием теоремы
Флоке задача сводится к рассмотрению полей только в отдельном элементе
периодичности среды. Метод демонстрируется на примере, когда элемент
периодичности среды состоит только из двух пластин.
Предложена [16] схема возбуждения колебания
кольцевого резонатора, использующая идею автоколебания и сохраняющая
интегрирующий эффект. Автоколебания обеспечиваются внешней нелинейной
запаздывающей обратной связью, связывающей колебания резонатора в некоторых
точках с величиной напряжения на электродах в системе возбуждения колебаний. На
основе известной нелинейной модели резонатора выявлены условия существования
автоколебаний, исследована их устойчивость и получены асимптотические формулы.
Показано отсутствие зависимости калибровочного коэффициента резонатора от
коэффициента усиления в цепи внешней запаздывающей обратной связи.
Предложена [17] точная формула для расчёта числа
типов волн, возбуждаемых в прямоугольном волноводе для произвольной полосы
частот. Показано, что в пределе высоких частот полученная формула переходит в
известное асимптотическое приближение. Проведено сравнение результатов расчёта
числа типов волн по точной и асимптотической формулам.
Рассмотрено [18] применение конечно- разностных
методов для расчёта диэлектрических волноведущих систем. Исследованы основные
причины, препятствующие широкому использованию метода конечных разностей для
расчёта открытых диэлектрических структур и волноводов с диэлектрическим
наполнением. Указаны перспективные направления развития рассматриваемых
методов.
В работе [19] излагается обзор современного
состояния волноводной техники. Представлены частотные характеристики
коэффициентов затухания в волноводах различных типов (круглых, прямоугольных,
коаксиальных Н- образных). Дан также обзор конструкций устройств на волноводах
с увеличенными размерами поперечного сечения: волноводных переходов, устройств
для подавления волн высших типов.
В [20] даны результаты расчетов характеристик
коэффициента затухания ряда типов волн в прямоугольных и круглых волноводах.
Расчеты выполнены в приближении малых потерь. Результаты расчетов представлены
в виде графиков зависимости нормированных коэффициентов затухания для 14 первых
типов ТЕ и ТМ в прямоугольном волноводе и 15 в круглом от длины волны,
нормированной к ширине прямоугольного волновода.
Изучены [21] общие закономерности формирования
амплитудно- частотной характеристики симметричных волноводных или периодических
резонаторов на основе выяснения их взаимосвязи с собственными частотами
колебаний открытых структур. Исследовано влияние количества и местоположения
собственных частот колебания одного или различных типов симметрии на частотные
характеристики. Даны простые оценки зон наличия или отсутствия резонансов
полного отражения и прохождения, добротности и величин смещения резонансов
относительно реальных частей собственных частот .
При размерах систем сопоставимых с длиной волны
излучения, распространяющихся в данной системе, проявляются квантовые эффекты,
характерные для электромагнитных процессов, происходящих в атомных и
молекулярных системах для электромагнитных волн видимого диапазона, т.е. в
оптике. В частности, поведение электрона в атоме водорода описывается на основе
постулатов, т.е. утверждений, которые не могут быть доказаны, а воспринимаются
как факт на основе экспериментальных результатов. Основным постулатом является
утверждение о существовании стационарных орбит, на которых электрон не излучает,
причем длина орбиты при этом равна длине волны электрона. Экспериментальную
проверку данного постулата в оптике затруднительна, поскольку длина волны при
этом весьма мала. Для радиотехнических систем, где длины волн имеют
макроскопические размеры, постановка такого эксперимента вполне осуществима
[21]. Эксперимент по поведению бегущих электромагнитных волн в замкнутой
системе, длина которой кратна длине волны, описан в литературе как
демонстрационный, хотя изучение поведения бегущих волн в замкнутых системах
представляет и чисто практический интерес.
фазовращатель кольцевой резонаторный
2. Ослабления и их измерение
.1 Виды ослаблений и основные
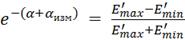
отношения
Ослаблением называется уменьшение электрической
мощности между двумя сечениями линии передачи, вызываемое ее поглощением
(рассеиванием) и отражением. Ослабление возникает при наличии между генератором
и нагрузкой любых пассивных четырехполюсников - аттенюаторов, ферритовых
вентилей, вращающихся сочленений, соединительных разъемов и фланцев, различных
переходных и согласующих устройств. В работе [22] приведены основные методы
измерения и вычисления ослабления. Значение ослабления можно рассчитать только
в ограниченном числе случаев (например, ослабление предельного или
поляризационного аттенюатора), поэтому его определяют экспериментально, т.е.
измеряют.
В общем случае:
, (61)
где A
- ослабление, дБ;
и
-
мощности, отдаваемая генератором и поступающая в нагрузку соответственно.
На рис. 3 генератор с полным сопротивлением
,
соединен линией без потерь с нагрузкой
.
Ослабление равно нулю, если
;
это возможно при комплексном согласовании цепи, т.е. когда
и
,
а волновое сопротивление линии активно (
).
В этом случае в нагрузку поступает максимальная мощность
, (62)
так называемая располагаемая мощность
генератора.
Рис. 3 Схема определения
I
Рис. 4 Схема определения ослабления вносимого ослабления
Если сопротивления генератора и нагрузки равны
друг другу (
), но не являются
комплексно-сопряженными, то они тоже согласованны, т. е. отражения от нагрузки
не возникает. Однако в этом случае ослабление не равно нулю, так как
(63),
следовательно,
В радиотехнической практике преимущественно
измеряют два вида ослабления, вносимое, при отсутствии согласования в тракте
передачи, и собственное, при наличии согласования.
(64)
где
-
полная мощность, поглощаемая нагрузкой при включении её на выход
четырёхполюсника, а Р1 - полная мощность, поглощаемая той же
нагрузкой при включении ее непосредственно к выходу генератора.
Значение вносимого ослабления зависит от
параметров четырёхполюсника и полных сопротивлений генератора и нагрузки. Если
четырёхполюсник без потерь, т. е. состоит только из реактивных элементов,
вносимое ослабление возникает за счет несогласованности цепи и является
ослаблением отражения; если четырёхполюсник содержит и резистивные поглощающие
элементы, то вносимое ослабление состоит из двух составляющих - ослабления
поглощения
и ослабления
отражения
:
(65)
При полном согласовании цепи вносимое ослабление
является только ослаблением поглощения, так как
.
Собственное ослабление определяется той
же формулой, но
и
представляют
собой полные мощности на входе и выходе четырёхполюсника, нагруженного с обеих
сторон согласованными сопротивлениями.
Измерение ослабления выполняется при поверке и
калибровке аттенюаторов, делителей напряжения и мощностей; при определении
характеристик фильтров, направленных ответвителей, ферритовых элементов,
различных неоднородностей в трактах передачи и т.д.
Измерения ослабления выполняются методами
отношения мощностей, отношения напряжений, замещения и отражения. Выбор метода
определяется в каждом конкретном случае диапазоном частот, допустимой
погрешностью измерения и характеристиками измеряемого четырёхполюсника. При
измерении ослабления отрезков кабелей можно применять резонансный метод.
.2 Измерение вносимого ослабления
Метод отношения мощностей (напряжений).
Измерение выполняют в следующем порядке. Собирают схему (рис. 5); на выходе
генератора устанавливают напряжение (мощность) нужной частоты, включают
нагрузку
и,
регулируя выходное напряжение (мощность) генератора, устанавливают удобное для
отсчета значение мощности
Затем включают
между генератором и нагрузкой четырёхполюсник и при неизменном значении
выходного напряжения генератора определяют новое значение мощности
.
Г
Рис. 5. Схема измерения ослабления методом
отношения мощностей (напряжений)
Вносимое ослабление определяют по формуле (61).
Если нужно знать значение вносимого ослабления в диапазоне частот, указанное
измерение повторяют на нескольких частотах при постоянном выходном напряжении
генератора. Погрешность измерения зависит только от погрешности измерения
мощности.
Измерение ослабления методом отношения
напряжений выполняется в том же порядке. Значение ослабления вычисляют но
формуле:
(66)
Предел измерения вносимого ослабления
определяется возможностью отсчета достоверных показаний напряжений по одной
шкале электронного вольтметра. Погрешность зависит от класса точности
вольтметра.
Метод замещения. Вносимое ослабление измеряете
помощью схемы, представленной на рис. 6. Подключают к зажимам 1, 2 измеряемый
четырёхполюсник и устанавливают на нагрузке некоторое удобное для отсчета
напряжение. Затем заменяют четырёхполюсник образцовым градуированным
аттенюатором и регулировкой его ослабления восстанавливают прежнее показание
напряжения на нагрузке; выходное напряжение генератора должно быть неизменным.
Значение ослабления, вносимого образцовым аттенюатором, фиксируемое по его
шкале, равно ослаблению, вносимому измеряемым четырёхполюсником.
1 2
Рис. 6. Схема измерения вносимого ослабления
методом замещения
При методе замещения следует иметь в виду, что
входные и выходные сопротивления измеряемого и образцового четырехполюсников
должны быть одинаковыми. Погрешность измерения зависит только от погрешности
градуировки образцового аттенюатора.
Метод отражения. Этот метод применяется на
сверхвысоких частотах для измерения малых ослаблений. Типичными случаями
являются измерение ослабления, вносимого неоднородностями, например
вращающимися сочленениями волноводной линии круглого сечения, диафрагмой,
настроечными винтами и т.д.
При использовании этого метода вносимое
ослабление представляют в виде суммы в соответствии с формулой (65) и измеряют
отдельно ослабления отражения и поглощения.
а) ρ
1 2
б) ρ
1 2
Рис. 7. Схема измерения вносимого ослабления
методом отражения
Для этого собирают измерительную установку (рис.
7а) и при помощи измерительной линии определяют коэффициент стоячей волны
напряжения
в тракте. Значение
вносимого ослабления отражения вычисляют по формуле:
(67)
Для определения ослабления поглощения
четырёхполюсник поворачивают на 180° и к его входным (теперь
выходным) зажимам (рис. 7б) присоединяют отрезок линии с короткозамыкающим
поршнем. Устанавливают пять-шесть положений поршня на длине, не меньшей
половины длины волны, и измеряют в каждом положении коэффициент стоячей волны
напряжения и расстояние от выходных (теперь входных) зажимов четырёхполюсника
до первого минимума.
Для каждого положения вычисляют модуль коэффициента
отражения
(68)
и его фазовый угол
где
-
коэффициент фазы.
Полученные значения коэффициента отражения
наносят на диаграмму в полярных координатах и соединяют точки между собой.
Геометрическое место точек представляет собой окружность радиуса r.
Ослабление поглощения вычисляется по формуле:
(69)
В соответствии с формулами (65), (67) и (69)
полное вносимое четырёхполюсником ослабление:
(70)
В практике измерений на СВЧ встречаются цепи с
согласованными сопротивлениями, т.е. линии, в которых волновое сопротивление,
сопротивление нагрузки и входное и выходное сопротивления четырёхполюсника
одинаковы. В этом случае ослабление отражения равно нулю. Ослабление поглощения
определяют следующим образом. Выходные зажимы четырёхполюсника (рис. 7а)
закорачивают и находят коэффициент стоячей волны напряжения
;
значение вносимого ослабления
(71)
Погрешность измерения вносимого ослабления по
методу отражения определяется качеством измерительной линии. Существенную роль
играют также потери в короткозамыкающем поршне, который должен представлять
собой чисто реактивное сопротивление, т. е. обеспечивать полное отражение
энергии. Если есть подозрение, что в короткозамыкателе имеются потери, его
ослабление необходимо определить в соответствии с формулой (71) и вычесть из
полученного ранее.
.3 Измерение собственного ослабления
При измерении собственного ослабления
четырёхполюсника его входное и выходное сопротивления должны быть согласованы с
сопротивлениями генератора и нагрузки, т е. его выходные зажимы должны быть
соединены с нагрузкой (
), а выходное
сопротивление генератора должно быть равно входному сопротивлению
четырёхполюсника:
. Если первое
требование почти всегда выполняется, то для удовлетворения второго часто
приходится включать между генератором и входом измеряемого четырёхполюсника
согласующие элементы (устройства).
Метод отношения напряжений. Измерение
собственного ослабления четырёхполюсников с сосредоточенными параметрами
выполняют по схеме, приведенной на рис. 8а. Напряжение
и
измеряют
электронными вольтметрами с высокими входными сопротивлениями. Значение
собственного ослабления вычисляют по формуле:
(72)
При равенстве входного и выходного сопротивлений
формула (72) упрощается:
(73)
Измерение собственного ослабления линии передачи
с распределенными параметрами можно свести к измерению её затухания. Это удобно
при измерениях в кабелях или двухпроводных линиях передачи с малыми потерями.
а)
б)
Рис. 8. Схемы измерения собственного ослабления методом
отношения напряжений
Напряжения на входе и выходе линии (рис. 8б)
измеряют в режиме холостого хода, когда соотношение между ними определяется
формулой
где
-
коэффициент распространения данной линии.
Отношение действующих значений напряжений:
(74)
Это отношение является функцией частоты, так как
,
где
-
фазовая скорость распространения;
.
Изменяя частоту, можно определить минимальные и
максимальные значения отношения (74), которые получаются при
или
соответственно.
Подставляя в (74)
получаем
(75)
Откуда
(76)
или, при
(77)
Откуда
(78)
Процесс измерения заключается в плавном
изменения частоты генератора при постоянном напряжении
до
получения максимального значения
,
тогда
(79)
Погрешность измерения определяется погрешностью
применяемых вольтметров и неточностью фиксирования максимального значения
выходного напряжения.
Метод замещения. Для измерения собственного
ослабления четырёхполюсника с распределёнными параметрами сравнивают значение
ослаблений образцового аттенюатора и исследуемого четырёхполюсника, включённых
последовательно друг с другом в согласованном тракте.
а)
б)
Рис. 9. Схемы измерения собственного ослабления
методом замещения
Метод замещения может быть реализован либо на
СВЧ, либо на промежуточной частоте. Первый способ применяют тогда, когда оба
четырёхполюсника - исследуемый и образцовый - пригодны для работы на одной и
той же частоте.
Метод замещения на рабочей частоте выполняется в
следующем порядке. Собирают измерительную установку (рис. 9а), состоящую из
генератора Г, работающего в нужном диапазоне СВЧ; двух каналов - верхнего -
измерительного и нижнего вспомогательного; индикаторного устройства.
Измерительный канал, куда входят образцовый аттенюатор
и
исследуемый четырёхполюсник (штриховой прямоугольник) предварительно согласуют
с помощью измерительной линии и согласующих устройств СУ. Затем без измеряемого
четырёхполюсника при закороченных разъёмах 1, 2 полностью вводят ослабление
образцового аттенюатора и, регулируя ослабление вспомогательного аттенюатора
и
фазовый сдвиг фазовращателя φ, добиваются
нулевого показания на выходе индикаторного устройства, куда входят направленный
ответвитель НО, детектор Д и нулевой индикатор И. Не изменяя мощности
генератора, присоединяют исследуемый четырёхполюсник и, уменьшая ослабление
образцового аттенюатора, восстанавливают нуль на школе индикатора.
Собственное ослабление исследуемого
четырехполюсника
, где
и
-
отсчёты ослаблений по шкале образцового аттенюатора, сделанные без
четырёхполюсника и с ним. Недостатком метода замещения при измерении на рабочей
частоте является необходимость иметь набор образцовых аттенюаторов на различные
частоты.
Метод замещения на промежуточной частоте
позволяет измерять ослабление четырёхполюсников на разных частотах, используя
один образцовый аттенюатор промежуточной частоты (рис. 9б). Измерение
выполняется в два этапа. Сначала схема уравновешивается без четырёхполюсника
регулировкой частоты гетеродина Гет и фазового сдвига фазовращателями
и
при
минимальном ослаблении образцового аттенюатора; затем уравновешивание
выполняется при включенном четырёхполюснике, для чего нужно ввести
дополнительное ослабление образцового аттенюатора. Разность отсчётов по его шкале
равно собственному ослаблению измеряемого четырёхполюсника. Применение
фазовращателей позволяет получить на входах направленного ответвителя
когерентные
колебания промежуточной частоты, что значительно повышает чувствительность
метода и точность измерения. Погрешность метода замещения определяется линейной
зависимостью между уровнем мощности СВЧ и амплитудой напряжения промежуточной
частоты. Эта линейность обеспечивается характеристикой смесителей СМ, если
сигнал гетеродина превышает сигнал СВЧ, по крайней мере, в десять раз.
Практически это требование всегда выполняется.
3. Способ измерения коэффициента
передачи и устройство для его реализации
.1 Описание установки и метода
измерения больших коэффициентов передачи
Известен способ определения коэффициента
затухания нагрузок с переменной фазой [23], основанный на выделении части
сигналов падающей и отраженной волн, нахождении отношения их мощностей,
построения зависимости этого отношения от положения исследуемой нагрузки с
переменной фазой, определения радиуса и центра окружности, которую описывает
вектор отношения мощностей, и последующего вычисления коэффициента затухания
исследуемой нагрузки.
Недостатком данного способа является сложность
расчета коэффициента затухания, а также его низкая точность.
Известен также способ определения коэффициента
затухания методом сдвига минимума [24], который по совокупности существенных
признаков наиболее близок к заявляемому техническому решению и принят за
прототип. Данный способ заключается в выделении измерительного сигнала,
пропорционального сумме части падающей и отраженной волн, изменении фазы
коэффициента отражения исследуемой нагрузки, определении изменения фазы
измерительного сигнала с последующим вычислением по формуле коэффициента
затухания исследуемой нагрузки. Устройство, реализующее данный способ, содержит
СВЧ-генератор, измерительную линию, измеритель мощности, исследуемую нагрузку с
переменной фазой.
Недостатком данных способа и устройства является
невысокая точность измерений.
Известно также устройство [25], которое содержит
СВЧ-генератор, подключенный к направленному ответвителю падающей волны, выход
которого связан через вентиль с входом направленного ответвителя отраженной
волны, выход которого через второе согласующее устройство связан с исследуемой
нагрузкой с переменной фазой, причем вторичный выход направленного ответвителя
падающей волны соединен с первым измерителем мощности, а выход вторичного
канала направленного ответвителя отраженной волны через первое согласующее
устройство подключен к второму измерителю мощности.
Недостатком данного устройства является низкая
точность измерений.
Известно устройство, выбранное как прототип
[26], которое служит для определения коэффициента затухания нагрузки с
переменной фазой, содержащее генератор СВЧ, последовательно соединенные первый
направленный ответвитель (НО) падающей волны, первый вентиль и НО отраженной
волны и измеритель мощности, отличающееся тем, что, с целью повышения точности,
выход генератора СВЧ соединен с входом первого НО падающей волны через
введенные второй вентиль, второй НО падающей волны и третий вентиль, к выходу
вторичного канала первого НО падающей волны подключены введенные
последовательно соединенные первый переменный аттенюатор, переменный фазовращатель,
сумматор, третий НО падающей волны, двухканальный преобразователь частоты и
измеритель разности фаз, при этом выход вторичного канала второго НО падающей
волны соединен с вторым входом двухканального преобразователя частоты, выход
вторичного канала третьего НО падающей волны соединен с измерителем мощности, а
выход вторичного канала НО отраженной волны соединен с вторым входом сумматора
через введенный второй переменный аттенюатор.
Недостатком данного устройства является
неточность измерения большого коэффициента передачи ввиду использования стоячей
волны.
Существует также и способ, взятый за прототип
[26]. Способ определения коэффициента затухания нагрузки с переменной фазой,
основанный на изменении фазы коэффициента отражения исследуемой нагрузки от 0
до 360o, выделении измерительного сигнала, пропорционального сумме
падающей и отраженной волн, и вычислении, отличающийся тем, что, с целью
повышения точности, регистрируют положение X1 исследуемой нагрузки,
соответствующее минимуму фазы измерительного сигнала, измеряют минимальное
значение фазы
1,
изменяют фазу коэффициента отражения исследуемой нагрузки от 360 до 540o,
регистрируют положение X2 и X3 исследуемой нагрузки,
соответствующие максимуму
2
и минимуму
3
фазы измерительного сигнала, измеряют значения
2
и
3,
а искомый коэффициент затухания
вычисляют по
формуле
=
ctg
(80)
причем измерительный сигнал формируют таким
образом, чтобы отраженная от исследуемой нагрузки волна составляла 0,8-0,9
падающей.
Недостатком данного способа является сложность
его использования.
Последнее время на кафедре радиофизики и
электроники физического факультета УО «ГГУ им. Ф. Скорины» ведутся работы в
области радиоизмерений.
Целью работы [27] было измерение малых
затуханий. Основной идеей данной работы являлось то, что при широкодиапазонном
возбуждении резонатора генератором качающейся частоты наблюдается чередование
максимумов и минимумов амплитуды СВЧ-поля, как функция частоты возбуждения.
Схожая идея была и в работе [28], которая было посвящена измерению больших
коэффициентов передачи.
Общим для работ [27], [28] также было и
использование кольцевой системы. В работе [29] описана главная существенная
возможность кольцевой системы: возможность измерения больших коэффициентов
поглощения, сверхмалых коэффициентов пропускания и возможность совершения
других операций, требующих настройки на определённую частоту.
В работах [27], [28], [30] измерялись максимумы
амплитуды, а минимум брался как среднее значение между двумя соседними
минимумами.
Целью данных устройства и способа является
измерение больших коэффициентов передачи. Для этого предложено использование
кольцевой системы, где ослабление накапливалось бы в исследуемом образце с
каждым пробегом волны.
Рис. 10. Схема установки: 1 - кольцевая система;
2 - вентиль; 3 - короткозамкнутый поршень; 4 - направленный ответвитель; 5 -
устройство вывода; 6 - индикатор; 7 - генератор; 8 - устройство крепления
образца
Генератор качающейся частоты предназначен для
использования в качестве источника СВЧ сигнала в составе панорамного измерителя
коэффициента стоячей волны по напряжению (КСВН) типа Р2-53.
Принцип действия ГКЧ 53 включает в себя блок
управления и блок СВЧ №4 7,8-10,3Ггц.
Сменный блок СВЧ вставляется в блок управления и
соединяется с последним электрически через разъем.
Основным блоком СВЧ является генератор СВЧ,
включающий в себя генераторную головку, стабилизатор напряжения и вентиль.
Генераторная головка выполнена на диоде Гана,
генерирующем в диапазоне частот от 5,6 до 12,05 Ггц.
В качестве перестраиваемого высокодобротного
контура генератора используется сфера из монокристалла феррита с двумя витками
связи, помещенными в поле тороидального электромагнита.
Перестройка частоты генератора в широком
диапазоне осуществляется изменением величины магнитного поля, создаваемого
электромагнитом при изменении величины тока, протекающего в его катушке.
Зависимость между величиной магнитного поля, а
следовательно и между величиной тока, протекающего по катушке электромагнита с
частотой генерации прямопропорциональная.
Стабилизатор напряжения предназначен для подачи
на диод Ганна напряжения смещения, преобразованного из напряжения постоянного
тока (12,6 В) и управляющего напряжения (0-10 В).С целью улучшения
амплитудно-частотной характеристики требуется устанавливать оптимальное
значение напряжения смещения, линейно падающее от -15 до -6 В, что и
обеспечивается управляемым стабилизатором напряжения. Для исключения влияния
внешней цепи СВЧ тракта на режим генерации на выходе генераторных головок
установлен развязывающий вентиль. На выходе генератора СВЧ установлены фильтры
нижних частот, ограничивающие прохождение гармоник.
Излучение генератора (7) через направленный
ответвитель (4)вводится в кольцевую систему (1), в которой возбуждаются бегущие
волны. С помощью направленного ответвителя огромное число волн, стремящееся к
бесконечности, распространяется по контору в направлении, указанном на рис.10.
Волноводное кольцо выполнено из отрезков
прямоугольного волновода. В состав кольца включены два направленных ответвителя
для ввода излучения в кольцо и ответвления части мощности в детектор.
Поворотные элементы выполнены в виде плавных переходов. Использование таких переходов
обусловлено необходимостью осуществления режима бегущих волн в широком
диапазоне и для избежания отражения. Для возможности использования высокой
рабочей частоты в широком диапазоне использовался волновод с малым сечением.
Ширина волновода составила 2,3 мм, а высота - 10 мм. Поверхностный слой
внутренних стенок волновода напылён алюминием.
Направленный ответвитель имеет высокую степень
направленности и практически исключает распространение волны в обратном
направлении, но некоторая их часть движется в обратном направлении. Путём
использования вентиля (2) происходит подавление волны движущейся в обратном
направлении, которая в силу своего малого количества и короткого пути до
вентиля не оказывает никакого влияния. Индикатором (6) измеряются значения max
и min амплитуды бегущей
волны.
Направленный ответвитель - устройство, служащее
для ответвления из основного высокочастотного тракта части мощности одной из
двух бегущих волн, распространяющихся по линии в противоположных направлениях:
падающей или отраженной волны.
Главное назначение ответвителей - направленно
ответвлять некоторую часть высокочастотной мощности из основного тракта во
вспомогательный. Особенности этого прибора заключаются в том, что он реагирует
на волну только одного направления, то есть только на падающую или отраженную в
основном тракте. Его работа основана на возбуждении во вторичном тракте двух
волн, смещённых по фазе так, что амплитуды волн, распространяющихся в желаемом
направлении, интерферируя, суммируются, а в нежелаемом - взаимно
компенсируются.
Несмотря на то, что направленные ответвители, по
сути дела всегда решают одну и ту же задачу - ответвляют некоторую часть
энергии основной линии передачи во вспомогательную линию, - их применение в
технике СВЧ весьма многообразно. Направленные ответвители используются для
получения развязки между генераторами при включении в основную линию передачи
дополнительного источника высокочастотных колебаний; при включении гетеродина в
супергетеродинном приёмнике; для получения необходимых амплитудных и фазовых
соотношений между сигналом в основной линии и в вспомогательной линии
(например, в трёхдецибельных щелевых мостах и для определения величины
проходящей мощности и коэффициента стоячей волны; для переменной связи с
основной линией передач и т.д.
Параметры направленных ответвителей
Направленные ответвители любого типа принято
характеризовать следующими параметрами: переходным ослаблением,
направленностью, развязкой, балансом выходных плеч, согласованием плеч
ответвителя с подводящими фидерными линиями, рабочим ослаблением в первичной
линии, фазовыми соотношениями для напряжений в выходных плечах, диапазоном
частот. Если на вход 1 элементарного восьмиполюсника поступает СВЧ мощность P1,
то на выход 3 основного волновода поступит мощность P3,
а на выходы 2 и 4 вспомогательного волновода - соответственно P2
и P4.
Переходное ослабление определяется, как
отношение входной мощности основной линии к выходной мощности рабочего плеча
вспомогательной линии. Выражается обычно в децибелах. Например, для ответвителя,
изображенного на рисунке 2, переходное ослабление вычисляется по формуле:
(81)
Переходное ослабление зависит от
размеров, числа, положения и типов элементов связи, также от частоты.
Принципиально можно обеспечить любую величину переходного ослабления от очень
малых значений вплоть до бесконечно больших. В зависимости от переходного
ослабления C НО делятся
на устройства с сильной (С = 0 - 10дБ) и слабой (С > 10дБ) связью. Направленные
ответвители, имеющие равные мощности в выходных плечах (С = 3,01дБ), выделены в
особый класс соединений, называемый трехдецибельные (3 - дБ) направленные
ответвители или мосты.
Направленностью называется отношение
мощностей на выходе рабочего и нерабочего плеч вспомогательной линии.
Направленность идеального
направленного ответвителя равна бесконечности. Чем больше направленность
ответвителя, тем выше его качество. Существенно также, чтобы ответвитель
обладал широкополосными свойствами, т.е. чтобы направленность возможно меньше
зависела от рабочей частоты. Направленность элементарного восьмиполюсника может
быть положительной, отрицательной или нулевой, когда во вспомогательной линии в
разные стороны от волновода связи распространяются волны равной амплитуды.
Развязка определяется как отношение
входной мощности основной линии к выходной мощности нерабочего плеча
вспомогательной линии.
Для определения диапазонных свойств
направленного ответвителя основные характеристики определяются в функции
частоты (длины волны).
Согласование плеча НО с входной
подводящей линией характеризуется КСВН, измеряемым со стороны входного плеча
направленного ответвителя, когда к остальным плечам подключены согласованные
нагрузки. Величина КСВН направленного ответвителя характеризует искажение поля
в основном тракте из-за наличия элементов связи. Аналогичным образом определяют
и КСВН плеча вспомогательного тракта НО. Полному отражению от нагрузки
соответствует бесконечно большой КСВН. Режим идеального согласования с
нагрузкой характеризуется величиной КСВН равном единице.
Физические основы работы
направленного ответвителя электромагнитной волны.
НО представляет собой
восьмиполюсник, образованный двумя линиями передачи (ЛП), связанными между
собой N ≥ l элементами
связи. Размеры элементов связи могут быть соизмеримы с длиной волны L в ЛП (распределенная связь),
так и много меньше L
(сосредоточенная или дискретная связь). В волноводных НО элементами связи в
большинстве случаев являются отверстия в общей стенке двух волноводов. Эти
отверстия можно представить как отрезок волновода. Поперечное сечение этого
волновода может быть круглым, прямоугольным, крестообразным, Н - образным, и
т.д. В НО с малым значением ответвленной мощности (НО со слабой связью)
отверстия связи (ОС) - запредельные волноводы. Если в ОС может распространяться
волна, а его длина соизмерима с L,
то такое ОС называется шлейфом. ОС может иметь собственную направленность, т.е.
возбуждать во вторичном волноводе волны различной амплитуды в положительном и
отрицательном направлениях. В этом случае НО может иметь только одно ОС. В
противном случае их число не менее двух. Устройство состоящее из отрезка
основной передающей линии и отрезка вспомогательной линии, связанной с основной
линией при помощи двух параллельно включенных зондов, расположенных на определенном
расстоянии друг от друга, обеспечивает эффект направленного ответвителя.
Следует заметить, что простой
одиночный зонд, например штырь, не может быть использован в качестве
направленного ответвителя. Мощность, ответвляемая одиночным зондом, пропорциональна
квадрату амплитуды высокочастотного напряжения в данной точке, являющегося
векторной суммой напряжений падающей и отраженной волн. Роль реактивных
элементов связи играет ёмкость штыря или индуктивность петли (отверстия) связи.
Оба зонда связаны с основной линией, т.е. по отношению к вспомогательной линии
они играют роль генераторов напряжения. Принципиально в плоскостях A и B могут быть
включены два согласованных индикатора, например амплитудных детектора. Однако,
ввиду трудности хорошего согласования детектора, один из них обычно заменяют
согласованной нагрузкой. Если необходимо одновременно регистрировать как
прямую, так и отражённую волну, то пользуются двумя НО описанного типа. Каждый
НО имеет во вспомогательной линии согласованную нагрузку и индикатор; НО
включают в противоположных направлениях. Идеальный НО не ответвляет в индикатор
сигнала при распространении волны по основной линии в обратном направлении.
Однако, ввиду неточности изготовления НО, отклонение длины волны от расчётной и
наличия небольшого рассогласования нагрузки во вспомогательной линии
наблюдается некоторое прохождение сигнала в ненормальном направлении.
Волноводные направленные ответвители со слабой связью.
Основным элементом, определяющим
многообразие НО, является область связи, т.е. совокупность элементов связи,
расположенных на общей для основного и вспомогательного волноводов стенке. В
качестве элементов связи НО, как правило, применяют отверстия в стенках
волновода. Простейшей областью связи является одно отверстие, которое обладает
собственной направленностью. При конструировании НО наиболее часто применяются
элементы связи в форме круглых отверстий, щелей (продольных и поперечных),
крестиков и отверстий эллиптического типа. В зависимости от расположения
отверстия при волне типа H10 в
прямоугольном волноводе связь может быть либо чисто магнитной, либо смешанной -
электрической и магнитной. Переходное ослабление элемента связи зависит от
того, на какой стенке волноводного тракта расположен элемент связи. Ориентация
вспомогательного волновода относительно основного производится в соответствии с
принципами возбуждения волн в волноводах. Отверстия связи можно рассматривать
как возбуждающие зонды. Если связь осуществляется сразу по электрическому и по
магнитному полю, одно отверстие эквивалентно двум зондам: штырю и петле.
Различают направленные ответвители со связью по узкой или по широкой стенке
волновода.
Связь между волноводами через
небольшое круглое отверстие осуществляется:
а) по тангенциальной составляющей
магнитного поля;
б) по нормальной составляющей
электрического поля;
Переходное ослабление определенного
типа элемента связи двух волноводов зависит от длины волны в волноводе,
геометрических размеров и положения этого элемента связи. Причем необходимо,
чтобы переходное ослабление НО оставалось постоянным или как можно меньше
отклонялось от некоторого постоянного уровня в заданном диапазоне длин волн,
что в свою очередь требует постоянства переходного ослабления отдельного
элемента связи в том же диапазоне. С этой точки зрения под оптимальной
характеристикой переходного ослабления элемента связи понимают такую
характеристику, которая удовлетворяет условию:
|С-C12| ≤ DC, (82)
где С - заданный уровень переходного
ослабления,
C12 - значения
переходного ослабления элемента связи на краях заданного диапазона,
DC - допустимая величина отклонения
переходного ослабления от заданного уровня.
Как правило, величина DC находится в
пределах 0,1-1дБ. Принято считать, что C - значение
переходного ослабления элемента связи в середине диапазона.
Выбирая соответствующим образом
положение круглого отверстия связи по широкой стенке волновода, можно получить
характеристику переходного ослабления с минимальным отклонением от
определенного уровня в заданном диапазоне длин волн. Для отверстия связи, расположенного
по узкой стенке волновода, оптимальность характеристики переходного ослабления,
т.е. ее отклонение от заданного уровня, однозначно определяется изменением
длины волны. Cвязь двух
волноводных трактов прямоугольного сечения по узкой стенке носит название
“Ответвитель Бёте”. Электрическая связь возбуждает во вспомогательном волноводе
синфазное поле, магнитная связь - противофазное. Поэтому мощность суммарного
поля во вспомогательном волноводе распространяется в обратном направлении, т.е.
в направлении противоположном распространению энергии в основном волноводе.
Направленные ответвители с
ненаправленными элементами связи.
НО можно получить и при
использовании ненаправленных элементов связи. Ненаправленным элементом связи
называется такой элемент, который возбуждает во вспомогательном волноводе
электромагнитные волны с равными амплитудами, т.е. в отношении A = B. Примером
элемента связи, который не обладает направленностью, является отверстие в узкой
стенке прямоугольного волновода. Волноводы в этом случае связаны тангенциальной
составляющей магнитного поля Hz. Два таких отверстия,
расположенных на расстоянии λ/4 друг от друга, образуют направленный
ответвитель, где λ
- длина
волны в волноводе.
Направленные ответвители с
одинаковыми элементами связи.
НО с двумя ненаправленными
элементами связи узкополосен, так как волны во вспомогательном канале
складываются при определенной частоте, для которой l = L /4. Для расширения полосы в
которой НО обеспечивает требуемые характеристики, используется связь через n> 2
отверстий, расположенных на расстоянии l = L /4, где L берется в середине
диапазона.
Пусть НО представляет собой систему
элементов связи с равными геометрическими размерами, разнесённых на некоторое
расстояние друг от друга. При рассмотрении параметров НО используются следующие
предположения: фазовые скорости распространения волны в основном и
вспомогательном волноводах равны между собой, размеры отверстий малы по
сравнению с длиной волны. Во вспомогательном волноводе справедливы соотношения
для суммарных волн, распространяющихся в прямом и обратном направлении,
соответственно:
(83)
где A - амплитуда
волны, возбуждаемой одиночным отверстием связи.
Условие идеальной направленности BS = 0
выполняется при l = L/6. Выражения (83) для
ответвителя с n отверстиями
связи имеют вид:
,
(84)
На основании (84) направленность
ответвителя равна
(85)
и переходное ослабление C при
единичной амплитуде волны в основном волноводе (A0 = 1) равно
C = 20 lg nA (86)
Очевидно, направленность ответвителя
будет идеальной только тогда, когда
(87)
В данном случае, при m = l, расстояние
между соседними элементами связи l = L/2p.
Если в выражении для направленности
ответвителя перейти к пределу при n®¥ и l®¥, то можно
получить выражение направленности ответвителя, имеющего в качестве элемента
связи длинную щель:
, (88)
где L - длина
щели.
Щелевые направленные ответвители.
Щелевой НО можно представить в виде
симметричного относительно горизонтальной плоскости dd¢
восьмиполюсника.
Таким образом, в рамках этого
представления можно считать, что в области связи согласованного щелевого НО
рассматриваются две волны: синфазная и противофазная (при этом полагают, что
мощность колебаний распределяется между ними поровну). В результате
интерференции этих волн происходит перераспределение СВЧ энергии между каналами
3 и 4. В таком согласованном щелевом НО сигнал в плече 2 будет отсутствовать, а
напряжения в плечах 3 и 4 сдвинуться по фазе на p/2. Его анализ проводят, используя суперпозицию
параметров четырехполюсников двух типов, один из которых соответствует режиму
синфазного возбуждения восьмиполюсника (в плоскости симметрии токи равны нулю,
четырехполюсник образуется рассечением восьмиполюсника плоскостью из идеального
магнетика), другой - режиму противофазного возбуждения (в плоскости симметрии
напряжения равны нулю, четырехполюсник образуется аналогичным рассечением
восьмиполюсника плоскостью из идеального проводника).
В рабочем диапазоне стандартного
прямоугольного волновода
a< l < 2a в области
связи могут распространяться три волны - H10
(критическая длина волны lc = 4a), H20 (lc = 2a), H30 (lc = 4/3a). Работа
щелевого моста обусловлена интерференцией только двух низших волн области
связи. Поэтому его рабочий диапазон 4/3a< l< 2a уже
рабочего диапазона волновода. Для увеличения широкополосности область связи
сужают. В этом случае частотная зависимость переходного ослабления
согласованного НО определяется выражением
, (89)
где
, - волновое число свободного
пространства,
k1, k2 -
собственные числа соответственно синфазной и противофазной волн в области связи
щелевого НО,
L - длина
области связи.
Из формулы (89) следует, что
переходное ослабление в диапазоне длин волн при фиксированной длине щели будет
плавно изменяться.
Условие деление мощности пополам
между каналами 3 и 4 имеет вид:
QL = (2n-1)p/2 , n = 1,2,3….
(90)
Нижняя граница НО определяется
нижней частотой работы волновода. Так как появление в области связи третьей
волны H30 приводит к
появлению интерференции трех волн, это приводит к существенному ухудшению
характеристик. Поэтому верхняя граница рабочей полосы определяется критической
частотой волны H30 в области
связи.
Направленный ответвитель на
П-волноводе.
В последнее время значительно
расширилась область применения волноводов со сложной формой поперечного
сечения. Это вызвано тем, что использование волноводов сложной формы при
конструировании СВЧ устройств позволяет удовлетворить возросшие требования,
предъявляемые к современной СВЧ аппаратуре: увеличение широкополосности,
уменьшение массы и габаритов, передача больших мощностей. В связи с этим
возникает необходимость в изучении элементов и узлов, построенных на этих
волноводах: коаксиально-волноводных переходов, фильтров, направленных
ответвителей, фазовращателей и т.п. В частности необходимо изучить такой класс
устройств, часто применяемый в широкополосной СВЧ аппаратуре, как щелевые
направленные ответвители (НО) на П-волноводах. Щелевые НО на П-волноводах со
связью по широкой стенке характеризуются сложностью структуры в области связи.
Использующийся в данной работе
щелевой НО состоит из двух П-волноводов, наложенных друг на друга по широкой
стенке, в которой прорезаны две щели связи шириной a и длиной L.
Вентиль - четырехполюсник,
пропускающий волну в одном направлении почти без отражения и без ослабления, но
поглощающий волну, распространяющуюся в противоположном направлении. Вентили
применяются для защиты генераторов СВЧ от изменений сопротивления нагрузки, для
построения развязывающих цепей, в качестве элементов измерительных установок.
Вентили применяют для поглощения
отраженных волн в линии передачи, улучшая тем самым согласование различных
элементов цепи. Их эффективность определяется вентильным отношением В, то есть
отношением ослаблений обратной и прямой волн, выраженным в децибелах:
(91)
где α -
коэффициенты затухания обратной и прямой волны.
Принцип действия вентилей основан на
том, что намагниченная ферритовая пластина является невзаимной средой. То есть
при прямом прохождении волны вектор ее поляризации поворачивается из положения
А в положение А΄, а при
обратном прохождении, он не возвращается в исходное положение А.
Наиболее широко применяются вентили
трех типов: резонансные, со смещением поля и фарадеевские.
Вентили со смещением поля
Вентили со смещением поля используют
то, что распределения переменного электрического поля в волноводе с
намагниченной ферритовой пластиной различаются для разных направлений
распространения. И может быть найдено положение пластины, для которого
электрическое поле на ее поверхности равно нулю для одного из направлений
распространения. На эту поверхность помещается поглотитель, например тонкая
пленка металла.
Фарадеевские вентили
Фарадеевский вентиль состоит из
отрезка круглого волновода с ферритовым стержнем, расположенным по оси, и
внешнего соленоида, создающего продольное поле подмагничиваиия. С обеих сторон
круглый волновод оканчивается плавными переходами к прямоугольным волноводам.
Внутри переходов параллельно широким стенкам входного и выходного прямоугольных
волноводов установлены поглощающие пластины. Выходной прямоугольный волновод
повернут по отношению к входному на угол 45°. Волна, поданная на вход 1, не
испытывая ослабления в поглощающей пластине, преобразуется в волну H11
круглого волновода с вертикальной поляризацией. Диаметр и длина ферритового
стержня и напряженность подмагничивающего поля выбраны так, что плоскость поляризации
волны при распространении по отрезку круглого волновода с ферритом
поворачивается по часовой стрелке на угол 45°, и волна без потерь проходит
через переход с поглощающей пластиной в выходной прямоугольный волновод, узкие
стенки которого оказываются параллельными вектору
. Для
уменьшения отражений концы ферритового стержня и поглощающих пластин имеют
скосы. Волна, поступающая на вход 2, без ослабления преобразуется в волну H11
круглого волновода. При распространении на участке с ферритовым стержнем
плоскость поляризации волны поворачивается по часовой стрелке на 45°
(направление поворота плоскости поляризации при эффекте Фарадея не зависит от
направления распространения волны и определяется только направлением поля подмагничиваиия).
На выходе участка с ферритом вектор
оказывается параллельным широким
стенкам прямоугольного волновода входа 1 и поглощающей пластине. На вход 1
волна не проходит, и вся переносимая ею мощность рассеивается в поглощающей
пластине. Такой вентиль может рассматриваться как частный случай фарадеевского
циркулятора.
Волноводный резонансный вентиль
В основе работы любого резонансного
вентиля лежит явление поглощения СВЧ энергии в гиромагнитной среде при
ферромагнитном резонансе. В прямоугольном волноводе с волной типа H10 имеются
две плоскости, параллельные узким стенкам волновода, в которых СВЧ магнитное
поле распространяющейся волны имеет круговую поляризацию. Вентиль с резонансным
поглощением на прямоугольном волноводе с волной типа H10 основан на
использовании поперечно намагниченной ферритовой вставки 1, расположенной в
области волновода с вращающимся полем
. Поперечное поле подмагничивания
создают постоянным магнитом 2, причём величину поля подбирают равной полю
гиромагнитного резонанса для право поляризованной волны. Падающая волна, при
прохождении которой на феррит действует вектор H с левым вращением относительно
поля подмагничивания, распространяется через вентиль с небольшим затуханием.
Отражённая волна, при прохождении которой на феррит действует правовращающийся
вектор
, интенсивно
затухает из-за больших потерь в феррите при гиромагнитном резонансе. Поле
подмагничивания необходимое для существования гиромагнитного резонанса, и
требуемое положение ферритовой пластины в волноводе зависят от частоты, что
ограничивает диапазонные свойства резонансного вентиля. Расширить рабочую
полосу частот резонансного вентиля удаётся с помощью диэлектрической пластины
3, скрепленной с ферритовой пластиной. Диэлектрическая пластина способствует
сохранению в полосе частот условий вращения вектора
в зоне
расположения феррита.
Коаксиальный резонансный вентиль
Принцип действия резонансного
вентиля - взаимодействие циркулярно-поляризованной волны с намагниченным
ферритом. Поскольку в обычной коаксиальной линии не существует
циркулярно-поляризованного вектора магнитного поля СВЧ, его создают
искусственно, заполняя частично коаксиал диэлектриком с большой диэлектрической
проницаемостью. Область с эллиптической поляризацией СВЧ магнитного поля
наиболее близкой к круговой, находится у поверхности диэлектрика. Диэлектрик
заполняет половину сечения линии, что позволяет при одном направлении
подмагничивающего поля располагать два ферритовых образца по обе стороны от
центрального проводника коаксиального волновода. Толщина ферритовых образцов
1-2 мм, ширина 2-5 мм. При распространении волны в одном направлении вектор
окажется
поляризован по правому кругу (большие потери); при распространении волны в
противоположном направлении волна окажется левополяризованной (малые потери).
Для расширения полосы частот по обратным потерям применён метод неоднородного
магнитного поля. Необходимая неоднородность поля достигается шунтированием
зазора равномерно намагниченного магнита стальными шунтами. Широкополосное
согласование прибора с трактом достигнуто применением диэлектрических
ступенчатых (чебышевских) переходов.
Параметры и характеристики вентилей
Параметры и характеристики
ферритовых вентилей позволяют оценить возможности их применения в конкретной
схеме при определённых режимах эксплуатации и определяют качество вентилей.
) Средняя частота диапазона (в мегагерцах)
и ширина полосы (в процентах или мегагерцах) определяют диапазон рабочих частот
вентиля, т.е. диапазон частот, в котором основные параметры находятся в
пределах, заданных техническими требованиями к вентилю. Обеспечение
симметричности частотной характеристики, т.е. получение примерно одинаковых
величин параметров на крайних частотах при некотором запасе по их величине на
средней частоте, определяет устойчивость параметров заданных пределов при
воздействии климатических факторов. Частотная характеристика вентилей с полосой
пропускания свыше 7-10% чаще всего имеет осциллирующий характер.
) Ослабление сигнала при его
прохождении через ферритовый вентиль в прямом направлении называется вносимыми
потерями в прямом направлении Lпр. Прямые
потери показывают степень ослабления мощности на выходе вентиля по сравнению с
мощностью на входе для прямого направления передачи сигнала. Потери
определяются в децибелах и вычисляются по формуле:
Lпр =
, [дБ ],
(92)
где Рвх - мощность на
входе,
Рвых.пр. - мощность на
выходе.
Вносимые потери в прямом направлении
в большей своей части (за исключением потерь на отражение, которые для
настроенного ферритового устройства пренебрежимо малы) являются диссипативными
потерями элетромагнитной волны. Причиной затухания является поглощение мощности
в ферритовом образце, диэлетрических деталях и потери в линии передачи. Для
волновода, например, эти потери связанны с затуханием поля в его стенках. При
правильном выборе размеров сечения волновода в следствие малости потерь в
стенках ( порядка 0,05-0,1дБ/м ), а также ввиду выполнения вентилей в виде
коротких отрезков волновода (от единиц сантиметров до нескольких дециметров)
потери в волноводе, вносимые в общие потери вентилей на 1-2 порядка меньше потерь
ферритовых и диэлектрических материалов. Тем не менее, при проектировании,
изготовлении, эксплуатации ферритовых устройств СВЧ обращают внимание на
качество выбора, исполнения и состояния токопроводящих поверхностей волновода и
их покрытий. Для СВЧ диэлектриков тангенс угла диэлектрических потерь tgδ не превышает
10-3, а для СВЧ ферритов не превышает 10-2. Поэтому
величина диэлектрических потерь в ферритовых вентилях колеблется в пределах
0,05-0,2дБ. Основную долю прямых потерь составляют магнитные потери в феррите,
появляющиеся вследствие ферромагнитного резонансного поглощения. При
конструировании резонансных вентилей выбирается область работы вблизи
резонанса. Потери на «хвосте» резонансной кривой составляют заметную величину и
в основном определяют потери в ферритовом устройстве.
3) Ослабление сигнала при его прохождении через
ферритовый вентиль в обратном направлении называется затуханием в обратном
направлении Lобр.
Обратное затухание вентиля показывает степень ослабления мощности на выходе
вентиля по сравнению с мощностью на входе для обратного направления передачи
сигнала. Обратное затухание определяется по формуле:
Lобр =
, [дБ]. (93)
Величина обратного затухания Lобр для разных
типов вентилей различна и зависит от принципа действия и конструктивного их
выполнения. Как правило, его величина составляет около 20дБ, но может
колебаться в пределах 15-40 дБ и более.
) Важным параметром является
коэффициент стоячей волны напряжения ρ (КСВН), характеризующий
величину мощности, отражённой от ферритового вентиля. Отражение
электромагнитной волны от нагрузки имеет место при неравенстве сопротивления
нагрузке Zн и волнового
сопротивления линии передачи Zс.
Коэффициент подсчитывается по формуле:
. (94)
Наличие в волноводе или другой линии
передачи ферритовых и диэлектрических деталей приводит к возникновению
отражений в силу различия сопротивлений на границе перехода от пустого
волновода к частично заполненному ферритом и диэлектриком. По величине Г можно
найти КСВН:
ρ =
. (95)
Для обеспечения заданной величины
КСВН используют методы широкополосного согласования - ферритовые и
диэлектрические детали выполняют со скосом, обеспечивающим плавный переход от пустого
волновода к частично заполненному. Однако даже у хорошо согласованных
ферритовых вентилей наблюдаются иногда значительные отражения из-за наличия
паянных или сварных соединений, которые являются некоторыми неоднородностями в
линии передачи. Дополнительное рассогласование может давать величину КСВН
порядка 1,1 (особенно в коаксиальных линиях). Это довольно значительная
величина, поэтому при измерениях параметров и монтаже ферритовых вентилей
следует обращать серьёзное внимание на тщательную стыковку их с волноводным или
коаксиальным трактом.
В данной установке использовался
волноводный резонансный вентиль.
Также в данной установке был
использован фазовращатель, на волноводном Y-циркуляторе.
Циркулятор - согласованный недиссипативный невзаимный многополюсник, в котором
передача мощности происходит в одном направлении с входа I на вход II, с входа II на вход III и т. д. В
данной установке был использован шестиполюсный Y-циркулятор.
Волноводные Y-циркуляторы
выполняют на основе H-плоскостного Y-тройника, в
центре которого помещают поперечно намагниченный ферритовый цилиндр, окруженный
диэлектрической втулкой. Диэлектрические штыри обеспечивают широкополосное
согласование входов. Поле подмагничивания создаётся внешними дисковыми
магнитами.
Принцип действия Y-циркулятора
состоит в следующем. Волна, поступающая на вход I
циркулятора, разветвляется на две волны, огибающие феррит с разных сторон.
Области существования вращающегося вектора
для этих волн попадают в ферритовый
образец, причём направления вращения вектора
относительно направления поля
подмагничивания оказываются противоположными. Из-за различия магнитных
проницаемостей феррита
и
волны,
огибающей ферритовый образец, имеют различные фазовые скорости
и
справа и
слева от центра феррита. Это определяется встречными вращениями магнитного
вектора волны HI0 справа и
слева от оси передачи. Различные участки фронта волны начинают двигаться с
разными фазовыми скоростями
>
. За счёт этого фронт волны при
соответствующем выборе параметров устройства поворачивается на 600.
Размеры и параметры ферритовой вставки выбирают таким образом, чтобы эти волны
проходили на вход II с одинаковыми фазами, а ко входу III - в
противофазе. Таким образом, передача колебаний с входа I происходит
только на вход II. Так как Y-циркулятор
обладает поворотной симметрией, можно утверждать, что передача со входа II будет
происходить на вход III и со входа III - на вход I. Введение в
конструкцию Y-циркулятора
диэлектрической втулки, окружающей ферритовый образец, способствует повышению
температурной стабильности и устойчивости характеристик Y-циркулятора
к изменению величины подмагничивающего поля.
Фазовращатель СВЧ - устройство,
предназначенное для изменения фазы электромагнитных колебаний на выходе линии
передачи СВЧ (полого пли диэлектрического радиоволновода, коаксиальной длинной
линии, полосковой линии) относительно фазы колебаний на её входе,
осуществляемого посредством изменения электрической длины этой линии.
(Электрическая длина линии равна 2pl/lb, где l - её геометрическая длина, lb -
длина волны в линии.). В данной установке фазовращатель представляет собой Y-циркулятор
с короткозамкнутым поршнем (3) на одном из входов. С помощью короткозамкнутого
поршня изменяется электрическая длина волновода, что позволяет измерять max и min амплитуды
на одной и той же частоте. Использование короткозамкнутого поршня позволяет
избежать ослабление волны, т.к. металлическая пластина поршня практически не
оказывает влияния на волну.
В качестве регистрирующего элемента
использовался Индикатор КСВН и ослабления Р2-67.
Индикатор КСВН и ослабления Я2Р-67 предназначен
для использования в составе панорамных измерителей КСВН и ослабления.
Рабочая частота измеряемого сигнала 100±1 кГц.
Уход уровня калибровки при изменении частоты в пределах 100 ± 1 кГц не более ±
0,05 дБ.
Пределы измерения ослабления от 0 до минус 35
дБ, пределы измерения КСВН -от 1,035 до 5.
Пределы индикации ослабления - от 0 до минус 40
дБ.
Пределы индикации КСВН - от 1,02 до.
Погрешность измерения ослабления в линейном
масштабе в децибелах не более величин, определяемых по формулам (2)
А = ± (0,01 | Ах + 0,2), до 20 дБ,
6А = ± (0,015 Ах + 0,2) свыше 20 дБ,
где. А - измеряемое ослабление, дБ.
Несоответствие шкал КСВН линейной шкале dB не
более ±0,05 дБ в пределах, соответствующих рабочему участку шкалы dB от минус 5
дБ до плюс 2 дБ.
Погрешность измерения ослабления в
логарифмическом масштабе в пределах шкалы от 0 до -30 дБ в децибелах не
превышает величины, определяемой по формуле
А = ±(0,1 | А),
Диапазон входных напряжений канала падающей
волны 0,03-10 мВ. При этом уровень напряжения в канале отраженной волны должен
быть не менее 1 мкВ.
Уход показаний индикатора при изменении уровня
входного сигнала во всем диапазоне входных напряжений канала падающей волны не
более ±0,2 дБ, а в положении переключателя ПРЕДЕЛЫ 30 не более ±0,3 дБ.
Входное сопротивление усилителей каналов
падающей и отраженной волн на частоте 100 кГц составляет 2,7±0,75 кОм.
Сопротивление входа горизонтальной развертки постоянному току 4,7±1,2 кОм.
Погрешность измерения напряжения канала падающей
волны в пределах от 0,4 до 10,0 мВ не более 15%.
Усиление напряжения падающей волны для системы
АРМ не менее 15 раз.
Пределы измерения ослабления от 0 до -35 дБ,
пределы измерения КСВН - от 1,035 до 5. Пределы индикации ослабления - от 0 до
-40 дБ. Пределы индикации КСВН - от 1,02 до ¥.
В основу построения структурной схемы панорамного
измерителя КСВН и ослабления положен принцип раздельного выделения и
непосредственного детектирования сигналов падающей и отраженной волн. Способ
раздельного выделения падающей и отраженной волн заключается в следующем.
Сигнал, пропорциональный мощности, падающей на
нагрузку, выделяется направленным ответвителем (или мостовым рефлектометром)
падающей волны. Сигнал, отраженный от исследуемой нагрузки, выделяется
направленным ответвителем (или мостовым рефлектометром) отраженной волны.
СВЧ сигнал, поступающий на исследуемую нагрузку,
промодулирован частотой 100 кГц. Ввиду этого, на выходах детекторов,
детектирующих сигналы, пропорциональные мощности отраженной и падающей волн,
имеется напряжение частотой 100 кГц. Эти напряжения используются в индикаторе
для определения измеряемой величины.
Из принципа работы всего комплекса следует, что
в индикаторе должно осуществляться усиление напряжений падающей и отраженной
волн - (на частоте модуляции СВЧ сигнала), деление их, детектирование,
визуальная индикация на экране ЭЛТ и непосредственный отсчет по шкальному
устройству. Кроме того, в индикаторе имеются схемы, обеспечивающие
логарифмический режим работы, компенсацию неидентичности частотных
характеристик СВЧ трактов, индикацию частотой метки, а также выдачи управляющих
сигналов при работе с цифровым блоком.
На вход индикатора подавался сигнал, снимаемый
либо с направленного ответвителя, либо с детекторной головки измерительной
линии в зависимости от задачи исследования. Поскольку в индикаторе производится
автоматическая нормировка сигнала, для получения опорного сигнала применялась
детекторная секция на входе в направленный ответвитель.
Мощность вводилась в систему через направленный
ответвитель, который являлся составляющим элементом кольцевой системы.
По формуле
определяется
собственный коэффициент передачи системы. Затем через устройство крепления в
линию вводится испытуемый образец (8) и измеряется коэффициент передачи линии с
образцом, т.к. через него проходят волны, поступающие потом на индикатор через
второй направленный ответвитель.
Способ заключается в том, что в кольцевой
системе бегущей волны на заданной частоте путём изменения электрической длины
определяют максимальное и минимальное значение амплитуды при постоянной
мощности возбуждения и на основании полученных значений судят о величине
передачи системы.
.2 Вывод рабочей формулы
Волна через первый направленный ответвитель
попадает в волновод и движется в кольцевой системе, на каждом периоде частично
ответвляясь во второй направленный ответвитель. Таким образом за счёт
интерференции в ней образуется сумма волн.
(96)
(97)
, отн. ед.
2590 3380 3660 3970 f,
МГц
Рис. 11. Частотное распределение поля в системе
- режим бегущей волны, 2 - режим стоячей волны
(короткое замыкание)
Для тех волн, для которых E
достигает максимум:
(98)
Подставив (98) в (97) получаем:
(99)
Аналогично и для волн, для которых Е достигает
минимум:
, (100)
следовательно, подставив (100) в (97) получим:
(101)
Отсюда можно получить:
(102)
(103)
где α-
распределенные потери - ослабление на единицу длины.
При наличии в волноводе образца имеем:
, (104)
, (105)
(106)
, (107)
(108)
3.3 Апробирование установки
С помощью описанной выше установки было
произведено определение собственного ослабление системы, а также вносимое
ослабление полипропиленового образца в виде пластинки толщиной 0.4мм и
полиэтиленового образца в виде пластинки толщиной 1.2 мм. Данные занесены в таблицу
1. Используя экспериментальные данные и формулу (103) был построен график для
собственного ослабления системы (рис. 12).
Аналогично с помощью значений с таблицы 1 и
формулы (108) были получены графики вносимого ослабления полипропиленового и
полиэтиленового образцов (рис. 13).
Рис. 12. Собственное ослабление системы
Рис. 13. Вносимое ослабление
образцов
Таблица
1
Экспериментальные данные
|
Частота,
f (ГГц)
|
Собственное
ослабление
|
Полипропиленовый
образец
|
Полиэтиленовый
образец
|
|
Emax
|
Emin
|
Emax
|
Emin
|
Emax
|
Emin
|
|
7813
|
5
|
1,25
|
5
|
1,264
|
5
|
1,36
|
|
7902
|
|
1,244
|
|
1,265
|
|
1,358
|
|
7970
|
|
1,24
|
|
1,261
|
|
1,351
|
|
8056
|
|
1,231
|
|
1,258
|
|
1,32
|
|
8145
|
|
1,216
|
|
1,24
|
|
1,33
|
|
8237
|
|
1,21
|
|
1,246
|
|
1,332
|
|
8338
|
|
1,196
|
|
1,22
|
|
1,312
|
|
8447
|
|
1,187
|
|
1,208
|
|
1,288
|
|
8551
|
|
1,182
|
|
1,195
|
|
1,259
|
|
8648
|
|
1,179
|
|
1,189
|
|
1,208
|
|
8756
|
|
1,183
|
|
1,184
|
|
1,218
|
|
8855
|
|
1,178
|
|
1,186
|
|
1,248
|
|
8953
|
|
1,18
|
|
1,194
|
|
1,26
|
|
9052
|
|
1,191
|
|
1,226
|
|
1,332
|
|
9151
|
|
1,326
|
|
1,39
|
|
9250
|
|
1,255
|
|
1,332
|
|
1,398
|
|
9353
|
|
1,27
|
|
1,312
|
|
1,412
|
|
9457
|
|
1,3
|
|
1,332
|
|
1,422
|
|
9565
|
|
1,321
|
|
1,384
|
|
1,396
|
|
9675
|
|
1,339
|
|
1,389
|
|
1,412
|
|
9783
|
|
1,312
|
|
1,326
|
|
1,332
|
|
9898
|
|
1,208
|
|
1,28
|
|
1,289
|
|
10005
|
|
1,157
|
|
1,215
|
|
1,246
|
Заключение
Смакетированная установка обладает существенными
преимуществами по сравнению с существующими аналогичными. Многократное
прохождение волны через образец применялось и раньше во внутрирезонаторных
методах, где образец помещался в резонатор, а критерием измерения ослабления
являлось уменьшение добротности. Однако, данная система весьма чувствительная к
положениям образца в резонаторе и, кроме того, значение получаемого сигнала во
многом определялось коэффициентом отражения.
В настоящей работе смакетировано и апробировано
устройство на основе использования режима бегущих волн, что позволяет избегнуть
погрешности позиционирования.
Основным затруднением панорамного измерения в
этом режиме являлась необходимость измерения max
и min на различных
частотах, что даже для кольцевых систем с большой электрической длиной не позволило
обеспечить необходимую точность ввиду малости определяемых параметров
тонкослойных структур. Исследования указали на необходимость измерения max
и min на одной и той же
частоте, что подразумевало изменение электрической длины системы. Использование
диэлектрического фазовращателя оказалось не целесообразным ввиду существенной
зависимости ослабления в диэлектрике от фазового сдвига. Поэтому в настоящей
работе было предложено использовать для настройки фазовращателя на Y-
циркуляторе и короткозамкнутого поршня. Разработанное устройство в отличие от
описанного ранее аналогичного устройства [30] обладает возможностью измерения
ослабления на любых частотах из диапазона перестройки и большими возможностями
в отношении применения для тонкослойных структур.
По материалам данной работы опубликованы тезисы
доклада, статья и подана заявка на предполагаемое изобретение способа измерения
ослаблений и устройства для его реализации.
Список использованных источников
1. Левин
Л.М., Современная теория волноводов, пер. с англ., М., 1954.
. Лошаков
Л.Н. // К теории электронного прибора СВЧ с взаимодействием в поперечном
направлении. Радиотехника и электроника, 1960, т. 5, №9.- с. 1448.
3. Лошаков
Л.Н. // О применении леммы Лоренца для приближенного расчета постоянных распространения
в электронном приборе типа лампы с поперечным взаимодействием. Радиотехника и
электроника, 1961, т.6, №12.-с.2012.
4. Лопухин
В.М. // Возбуждение э/м колебаний и волн электронными потоками. Гостехиздат,
1953.
5. Введенский
Б.А., Аренберг А.Г., Радиоволноводы, ч. 1, М. - Л., 1946.
. Гуреев
А.В. // Радиотехника и электроника (Москва).- 1994 -39 №6.- С.929-936.
7. Ковалёв
С.В., Нестеров С.М., Скородумов И.А. // Радиотехника и электроника (Москва) -
1993.- 38 №12.- С. 2138- 2140.
8. Кирочкин
Ю.А., Степанов К.Н. // Журнал экспериментальной и технической физики- 1993.-
104, №6.- С. 3955-3970.
9. Кубышкин
Е.И. // Изв. РАН. Мех. тверд. тела.- 1992, №6.- С.- 42- 47.
10. Семин
И.А. // Радиотехника и электроника.- 1993.- 38, №3.- С. 436- 439.
11. Свешников
А.Г., Боголюбов А.Н., Минаев Д.В., Сычкова А.В. // Радиотехника и электроника -
1993.- 38 №5.- С. 804- 810.
12. Кириленко
А.А., Сенкевич С.Л., Тысик Б.Г. // Радиотехника и электроника (Москва).- 1990.-
35, №4.- С. 687- 694.
13. Козлова
А.Н., Эткин В.С. // Журнал “Успехи физических наук”
14. Под
редакцией Валитова Р.А. и Макаренко Б.И.// Измерения на миллиметровых и
субмиллиметровых волнах (Москва).- 1984.-с. 91- 98.
15. Каценеленбаум
Б.З. // Нерегулярные волноводы с медленно меняющимися параметрами.- М.: Изд- во
АН СССР, 1961.- с.196.
16. Ваганов
Р.Б., Матвеев Р.Ф., Мериакри В.В. // Многоволновые волноводы со случайными
нерегулярностями.- М.: Сов. радио, 1972.- с.232.
17. Под
редакцией Гроднева В.А. Многоволноводные круглые волноводы.- М.: Связь, 1972.-
с. 198.
18. Валитова
Р.А. // Методы и техника. М.: Радио и техника, 1984.- с.296.
19. Вамберский
М.В., Казанцев В.И., Шелухин С.А. // Передающие устройства СВЧ.- Москва «высшая
школа»,1984.- с.57-74.
20. Под
ред. Мириманова // Миллиметровые и субмиллиметровые волны. Изд- во иностранной
литературы.
21. Куликов
М.Н., Стальмахов В.С. // К расчету электронно-волнового усилителя типа М с
тонким лучом. Радиотехника и электроника, 1964, т. 11, №2.- с. 252.
22. Кушнир
Ф.В. // Электрорадиоизмерения.- Л., 1983.- С. 292-299.
23. Almassy
G.A first-order correction to sliding short behavior with application to the
problem of measuring small losses // IEEE Trans. on Instrum. ans Meas. V.
IM-20, №3, August, 1971, P. 162-169.
24. В.И.
Винокуров, С.И. Каплин и И.Г. Петелин // Электрорадиоизмерения. М.: Высшая
школа, 1986, с. 308-309.
25. Weidman
A.P., Engen G.F. Application of a non-ideal sliding short to two-port loss
measurement // NBS Tech. Note 644, October, 1973.
26. Способ
определения коэффициента затухания нагрузки с переменной фазой и устройство для
его осуществления: пат. 2006870 Российская Федерация, МПК G 01 R 27/06 /
Ачкасов Е.Г., Лапунов С.Ю.; заявитель Военно-медицинская академия им. С.М.
Кирова; заявл. 26.11.1990; опубл. 30.01.1994.
. Бобков
В.В., Кошкар Р.В., Измерение малых затуханий кольцевых резонаторов бегущих волн
// Сборник научных работ студентов и аспирантов УО «ГГУ им. Ф. Скорины».-
Гомель, 2008.- С.108-109.
. Кошкар
Р.В., Измерение больших коэффициентов отражения // Сборник научных работ
студентов и аспирантов УО «ГГУ им. Ф. Скорины».- Гомель, 2008.- С.136-137.
. Семковский
С.К., Кошкар Р.В., Перестройка частоты в кольцевом резонаторе // Сборник
научных работ студентов и аспирантов УО «ГГУ им. Ф. Скорины».- Гомель, 2008.-
С.108-109.
. Горбачёв
К.Ю., Измерение малых ослаблений в кольцевых системах бегущей волны //
Материалы XXXVIII
студенческой научно-практической конференции УО «ГГУ им. Ф. Скорины».- Гомель,
2009. - С. 60-62.