Исследование механических воздействий на оптические кабели связи при строительстве ВОЛП

  • Вид работы:
    Курсовая работа (т)
  • Предмет:
    Информатика, ВТ, телекоммуникации
  • Язык:
    Русский
    ,
    Формат файла:
    MS Word
    370,4 Кб
  • Опубликовано:
    2015-11-18
Вы можете узнать стоимость помощи в написании студенческой работы.
Помощь в написании работы, которую точно примут!

Исследование механических воздействий на оптические кабели связи при строительстве ВОЛП

Федеральное агентство связи

Федеральное государственное образовательное бюджетное

Учреждение высшего профессионального образования

«Сибирский государственный университет телекоммуникаций и информатики» (ФГОБУ ВПО «СибГУТИ»)

Кафедра ЛС





Курсовая работа по курсу прикладной механики

«Исследование механических воздействий на оптические кабели связи при строительстве ВОЛП»


Выполнила:

Студентка 2 курса, ф-та МРМ, гр. РБ-39

Яковлева О.Е.

Проверил: профессор, Бутенков В.В.




Новосибирск - 2015 г.

 

Оглавление

Введение

. Конструкции и механические характеристики оптических кабелей связи

.1 ОКС для прокладки в грунт и в кабельные канализации

.2 ОКС для подвески

. Механические воздействия на оптические кабели связи при укладке в грунт

.1 Технологии прокладки ОКС в грунт

.2 Расчет тягового усилия и количества тракторов сцепа

.3 Расчет растягивающего усилия ОКС при прокладке кабелеукладчиком

.4 Расчет раздавливающих усилий при прокладке ОКС в грунт

. Механические воздействия на ОКС при прокладке в кабельной канализации

.1 Кабельная канализация и технология прокладки ОКС

.2 Расчет растягивающего усилия ОКС при прокладке в канализации

. Механические воздействия на ОКС при подвеске

.1 Технология подвески ОКС

.2 Расчет растягивающих усилий ОКС при подвеске

Заключение

Источники

 

Введение


Тема об оптоволоконной линии связи, является актуальной на данный момент времени, так как число людей на планете растет, и потребности в улучшение жизни то же увеличиваются. Ещё с древних времён человек совершенствуется: улучшает свои знания, стремится улучшить жизнь, создавая и моделируя предметы быта. И сейчас многие фирмы создают телевизоры, телефоны, магнитофоны, компьютера и многое другое, то есть - бытовую технику, которая упрощают жизнь человека. Но для внедрения этих новых технологий нужно изменять или улучшать старое. В пример этому можно привести наши линии связи на коаксиальном (медном) кабеле, про которые уже было упомянуто выше. Их скорость мала, даже для передачи видеоинформации. А волоконная оптика как раз то, что нам нужно - её скоростью передачи информации очень велика. Плюс, низкие потери при передаче сигнала позволяет прокладывать значительные по дальности участки кабеля без установки дополнительного оборудования. Оптоволокно имеет хорошую помехозащищенность, легкость прокладки и долгие сроки работы кабеля практически в любых условиях. И, кроме того, оптоволокно не имеет смысла воровать с целью сдачи на металлолом. В настоящее время оптоволокно находит свое применение преимущественно в теле - и интернет - коммуникациях. Но считается, что сегодняшнее использование оптоволокна лишь вершина айсберга его применения.

Целью данной курсовой работы является исследование механических воздействий на оптические кабели связи при строительстве ВОЛП.

Задачи:

)        На сайте завода-изготовителя найти оптические кабеля связи, привести описание и конструкции выбранных кабелей;

)        Ознакомиться с механическим воздействием на ОКС при прокладке в грунт, кабельную канализацию и при подвеске, а также провести необходимые расчёты;

)        Провести анализ рассчитанных величин, а также предложить необходимые мероприятия по снижению растягивающих и раздавливающих усилий.

 

1. Конструкции и механические характеристики оптических кабелей связи

.1 ОКС для прокладки в грунт и в кабельные канализации

Оптические кабели марки ОКБ-М12П-80 предназначены для прокладки в грунтах всех категорий, кроме подверженных мерзлотным деформациям, в кабельной канализации, по мостам и эстакадам. Кабель с двухслойным повивом бронепроволок - в грунтах всех категорий, при пересечении судоходных рек и водных преград. При необходимости допускается прокладывать кабель в туннелях, коллекторах, зданиях.

Рис. 1 Кабель марки ОКБ-М12П-80 производства "Электропровод" для прокладки в грунт и кабельную канализацию

Таблица 1. Основные технические характеристики кабеля марки ОКБ-М12П-80

Параметр

Значение параметра

Номинальный наружный диаметр кабеля, мм

20,8 мм

Масса кабеля, кг/км

900 кг/км

Длительно допустимая растягивающая нагрузка, кН

80 кН

Допустимая раздавливающая нагрузка, не менее, кН/см

1,0 кН

Строительная длина кабеля, км

4 км


1.2 ОКС для подвески


Оптические кабели марки ОКА-М12П-20 предназначены для подвески на опорах линий связи, контактной сети железных дорог, опорах линий электропередач в точках с максимальной величиной потенциала электрического поля до 12кВ, между зданиями и сооружениями.

Рис. 2. Оптический кабель для подвески марки ОКА-М12П-20 производства "Электропровод"

Таблица 2. Основные технические характеристики оптического кабеля марки ОКА-М12П-20

Параметр

Значение параметра

Номинальный наружный диаметр кабеля, мм

20 мм

Масса кабеля, кг/км

365

Длительно допустимая растягивающая нагрузка, кН

20 кН

Допустимая раздавливающая нагрузка, не менее, кН/см

0,4 кН/см

Строительная длина, км

4 км


 

2. Механические воздействия на оптические кабели связи при укладке в грунт

.1 Технологии прокладки ОКС в грунт

При любом варианте прокладки кабеля в грунт проводятся земляные работы, к которым относятся:

рыхление грунта, рытье и засыпка траншей и котлованов;

устройство бестраншейным способом горизонтальных скважин через автомобильные, железные дороги и другие коммуникации для прокладки ОК;

планировка трассы перед рытьем траншей механизмами и прокладкой ОК или ЗПТ кабелеукладчиками;

рекультивация нарушенного слоя грунта.

Методы прокладки ОК в грунт:

Рассмотрим два основных способа.

. Прокладка кабеля в отрытую траншею

Перед прокладкой ОК в отрытую траншею дно ее должно быть выровнено и очищено от камней, строительного мусора и других предметов, которые могут повредить ОК после засыпки траншеи. В скалистых грунтах перед прокладкой ОК дно траншей должно быть очищено от острых выступов и крупного щебня, под кабелем и над ним должен быть уложен защитный слой мягкого грунта или песка толщиной не менее 10 см.

Размотку кабеля и прокладку в отрытую траншею, как правило, производят с помощью специальных механизмов.

Прокладку кабеля в подготовленную траншею выполняют одним из следующих способов, применение которых зависит от условий трассы:

укладка кабеля в траншею или на ее бровку с барабана, установленного в кузове автомобиля или на кабельном транспортере, который передвигается вдоль траншеи;

вынос всей строительной длины ОК вдоль траншеи на руках.

Рис. 3 Прокладка кабеля в отрытую траншею

. Прокладка кабеля бестраншейным способом

Бестраншейный способ прокладки кабеля с помощью кабелеукладчика, благодаря высокой производительности и эффективности, является основным.

Рис 4. Кабелеукладчик КВГ-1

Прокладку ВОК бестраншейным способом производят с помощью специальных кабелеукладчиков, рабочие органы которых прорезают в грунте узкую щель, укладывают кабель на заданную глубину, обеспечивая требуемый радиус изгиба кабеля при выходе из кассеты и исключая его повреждения в процессе прокладки.

В грунтах значительной плотности, где могут иметь место выглубление ножа, а так же при наличии на трассе каменистых включений и других препятствий, должна производиться предварительная пропорка грунта, осуществляемая пропорщиками.

2.2 Расчет тягового усилия и количества тракторов сцепа

Тяговое сопротивление кабелеукладчика рассчитывается по формуле:


где

 - Сила тяги при сдвиге грунта

 - Сила трения ножа о грунт

- Сила тяги при подъеме грунта

- Сопротивление перекатыванию колесного кабелеукладчика

Сила тяги при сдвиге грунта:

 

где:

a, см - длина пластины ножа (35 см);

b, см - ширина пластины ножа (10 см);

h, см - глубина прокладки - 120(см);

q,  - удельное сопротивление грунта сдвигу (1.25 );

 - угол сдвига(угол разрезания) (35);

=0.81915

 =0.5735

Сила трения ножа о грунт:


где:

, см - средняя длина ножа и кассеты (123 см);

,  - удельный объемный вес грунта (1,8*10-3 );

Кm - коэффициент трения скольжения ножа о грунт (0,65);

Кр -коэффициент рыхления грунта (1,23).

Сила тяги при подъеме грунта:


Сопротивление перекатыванию колёсного кабелеукладчика:

где

K - коэффициент трения-качения

, (кг) - вес кабелеукладчика (3500 кг)

 - вес барабана с кабелем

R, (см) - радиус колеса кабелеукладчика (50 см)

Вес барабана с кабелем:

=+;

где

 - вес барабана(535 кг)

Вес кабеля:

=p*;

где

p, (кг/км) - погонный вес кабеля(900 кг/км, см. Таблицу 1)

, (км) - строительная длина кабеля (4 км., см. Таблицу 1)

+ 25334кг = 253340 Н



В качестве тягачей используются гусеничные тракторы Т-130.

Количество тракторов сцепа можно определить из выражения:

где Х- коэффициент сцепления трактора с грунтом (Х = 0,88)

25334 кг

Следовательно, трех тягачей будет достаточно для прокладки данного кабеля.

2.3 Расчет растягивающего усилия ОКС при прокладке кабелеукладчиком

Растягивающее усилие ОКС подразделяются на :

°        статическое (когда скорость прокладки постоянна );

°        динамическое (рывок кабеля в начале движения, либо при преодолении препятствий );

) статическое усилие рассчитывается по формуле :

где

- сила трения кабеля о землю;

- сила трения кабеля о стенки кассеты ;

Сила трения кабеля о землю:

где

 

Сила трения кабеля о стенки кассеты :

где



Сравним с допустимым растягивающим усилием :

Допустимое растягивающее усилие  (см. Таблица 1.)

Условие выполняется деформация упругая, остаточных деформаций не будет, прокладка разрешена.

) Динамическое усилие :


где:

, см - радиус шейки (56 см);

, см - радиус щеки (90 см);

, кг - вес одного трактора(14000 кг);

 - количество тракторов в цепе.

Сравним с допустимым растягивающим усилием:

Допустимое растягивающее усилие  (см. Таблица 1.)

Условие выполняется деформация упругая, остаточных деформаций не будет, прокладка разрешена.

2.4 Расчет раздавливающих усилий при прокладке ОКС в грунт

оптический кабель грунт подвеска

Кабель, проложенный в землю, подвержен вертикальному давлению земляной засыпки, а также дополнительному давлению от подвижного транспорта.


где:

 - вертикальное давление земляной засыпки;

 - давление от подвижного транспорта.

Определим составляющие :

Вертикальное давление земляной засыпки:


где:

, см - глубина прокладки кабеля (120 см);

,  - удельный объёмный вес грунта (1,8*10-3 );

 - коэффициент нагрузки (1,5);

, см - ширина траншеи или ширина пластины ножа (15 см);

, см - диаметр кабеля (20,8 мм = 2,08 см).

Давление от подвижного транспорта рассчитывается по формуле:


где:

, кг - максимальное давление от колеса автомобиля (117000 кг);

, см - длина следа колеса автомобиля (100 см);

, см - ширина следа колеса автомобиля (140 см);

 - угол распространения давления (30).

Расчет давления от колеса автомобиля марки «БелАЗ»:

Будем считать, что давление на 1 колесо:


Давление от подвижного транспорта:

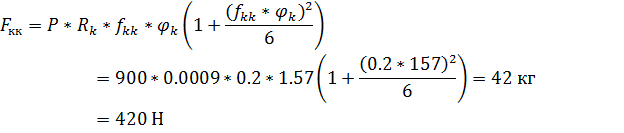
Теперь можно рассчитать раздавливающее усилие :



Сравним полученное значение с допустимым раздавливающим усилием :

Допустимое раздавливающее усилие для данного кабеля  (см. Таблицу 1)

,

Вывод: условие не выполняется, могут появиться остаточные деформации, необходимо провести мероприятия по снижения раздавливающего усилия, а именно обустройство песчаной постели или прокладка кабеля в трубе.

Кроме того, кабели, проложенные вдоль автомобильных дорог и ж/д подвергаются вибрационным воздействиям.

Механические воздействия от вибрации измеряются и оцениваются по величине создаваемого ускорения в единицах ускорения силы тяжести :


где:

 - частота вибрации (22 Гц);

 - амплитуда вибрации (0,003 м).

Вывод: создаваемое ускорение больше допускаемого, следовательно, могут появиться остаточные деформации и необходимы мероприятия по снижению раздавливающих усилий, в частности обустройств песчаной постели или прокладка кабеля в трубе.

 

3. Механические воздействия на ОКС при прокладке в кабельной канализации

.1 Кабельная канализация и технология прокладки ОКС

Кабельной канализацией называется комплекс состоящих из трубопроводов (каналов) и смотровых устройств (колодцев). Предназначены для прокладки, монтажа и ремонта кабелей без вскрытия уличных покровов.

Существует 3 вида канализации:

)        Трубчатая (трубы бывают: бетонные, асбоцементные, полиэтиленовые, стальные);

)        Лотковая (служит для прокладки кабелей на мостах);

)        Коллекторы (строятся в очень больших городах для совместной прокладки различных коммуникаций).

В данной курсовой работе рассматривается трубчатая канализация, т.к. она самая распространённая и строится во всех городах.

Перед прокладкой кабеля делают заготовку канала (т.е. в канал затягивают УЗК). Барабан с кабелем устанавливают рядом с колодцем так, чтобы был «С-образный» изгиб. Кабель соединяется с УЗК при помощи компенсатора кручения и кабельного чулка. Кабель затягивают при помощи лебёдки, для этого УЗК крепится к лебёдке. Вытягивая УЗК затягивают кабель. Лебёдка даёт выигрыш в силе и обеспечивает равномерность тяжения.

3.2 Расчет растягивающего усилия ОКС при прокладке в канализации

Прокладка может вестись в свободный и занятый канал.

Растягивающие усилие при прокладке в свободном канале можно рассчитывать по формуле:


где:

- коэффициент трения-скольжения кабеля об асбоцементную трубу (0,32)

p,  - погонный вес кабеля (900 кг/км, см. Таблицу 1);

Допустимое растягивающее усилие  (см. Таблица 1.)


Условие выполняется, следовательно, деформация упругая, остаточных деформаций не будет, прокладка разрешена.

Чаще всего прокладка ведётся в занятый канал совместно с другими оптическими кабелями:


где:

Треугольник:

Расположение кабеля «Треугольник» - кабель прокладывается над существующим кабелем: =  = Люлька:

Расположение кабеля «Люлька» - прокладываемый кабель оказывается под уже лежащим кабелем:

= 1+ ()*2 = 1+ ()*2 = 1,09

где:

fЗ - коэффициент заклинивания (трение кабеля о другие кабели)

, мм - диаметр кабеля (20,8 мм = 2,08 см)

 - диаметр трубы (100 мм = 10 см)

Допустимое растягивающее усилие  (см. Таблица 1.)

Вывод: растягивающее усилие для расположения кабеля «Люлька» не превышает допустимого, также при условии расположения кабеля «Треугольник» :

Прокладка разрешена обоими способами.

На трассе прокладки могут быть подъёмы и спуски:


Допустимое растягивающее усилие  (см. Таблица 1.)

 

 

Вывод: Условие выполняется, следовательно, деформация упругая, остаточных деформаций не будет, прокладка разрешена.

 

4. Механические воздействия на ОКС при подвеске

.1 Технология подвески ОКС

Оптические кабели связи могут подвешиваться: на опорах ЛЭП, контактной сети ж/д, связи, освещения и контактной сети горэлектротранспорта, а также по крышам зданий.

Подвеска самонесущего ОК на опорах контактной сети и высоковольтных линий автоблокировки должна выполняться в полном соответствии с утвержденными правилами. Монтаж ОК необходимо производить в соответствии с рабочим проектом на строительство ВОЛП с применением кронштейнов, зажимов, деталей крепления и других изделий, соответствующих чертежам и техническим условиям, утвержденным в установленном порядке. Работы по подвеске и монтажу ОК должны быть максимально механизированы. Для его подвески следует использовать специализированные технологические комплексы, обеспечивающие контроль натяжения ОК. При замене опор контактной сети или установке дополнительных опор следует использовать буровые установки, машины погружения фундаментов, крановые установки на автомотрисах или железнодорожные краны. Для установки опор автоблокировки необходимо применять бурильно-крановые установки. Подвеска нескольких самонесущих ОК на одних и тех же опорах должна осуществляться на общем кронштейне. Не разрешается размещение на кронштейнах ОК других проводов, изоляторов и других устройств.

По заранее подвешенным на кронштейны роликам протягивается трос-лидер. Для этого после занятия комплексом перегона и снятия напряжения один грузовой прицеп с катушками трос-лидера устанавливается в начале анкерного участка за 25-30м от анкерной опоры, а второй прицеп в сцепе с автомотрисой начинает медленно двигаться к первой анкерной опоре. Напротив первой анкерной опоры автомотриса останавливается, монтажная люлька с двумя монтерами поднимается к кронштейну с роликом. Трос-лидер открепляется от люльки, пропускается через ролик и снова прикрепляется к люльке. В таком положении автомотриса медленно передвигается к следующей опоре. На следующей опоре трос-лидер снова пропускается через ролик и движение автомотрисы возобновляется. Таким образом трос-лидер протягивается по всему участку. После пропуска трос-лидера через ролик крайней анкерной опоры, автомотриса, с находящимся впереди нее прицепом с кабельными барабанами, передвигается на расстояние 25-30м за последнюю опору и останавливается. Во время протяжки трос-лидера монтеры, управляющие тягово-тормозным устройством с катушками, подтормаживают катушки, обеспечивая раскатку трос-лидера под натяжением.

При работе «с поля» с использованием комплекса механизмов с боковой стороны пути за габаритом опор контактной сети в начале и конце анкерного участка на расстоянии 25-30м от крайних анкерных опор выбираются горизонтальные площадки. На одной из них размещается устройство для установки и торможения катушек с трос-лидером. На противоположном конце анкерного участка на выбранной площадке устанавливается тяговая лебедка для протяжки ОК.

После установки устройства для катушек и опробования тормозов от первой установленной катушки отматывается отрезок трос-лидера длиной около 50м и свободный его конец пропускается через монтажный укладочный ролик анкерной опоры. Затем трос-лидер вручную протягивается до следующей опоры и, после прохождения этой опоры на 15-20м, катушка затормаживается, а конец трос-лидера пропускается через раскаточный ролик этой опоры. Подъем на опору при этом осуществляется по лестнице или с монтажной площадки при снятии напряжения. Далее катушка с трос-лидером растормаживается и проводится протяжка трос-лидера до следующей опоры. На следующих опорах операции по пропуску трос-лидера через раскаточные ролики повторяются пока трос-лидер не будет протянут по всему анкерному участку.

При наступлении перерыва в работе после протяжки по всему анкерному участку трос-лидера концы его необходимо закрепить на крайних опорах. Места крепления должны быть недоступны для посторонних лиц, а способ закрепления должен исключать самопроизвольные ослабления и провисание трос-лидера.

Для протяжки ОК на площадке, где находилось устройство для катушек с трос-лидером, устанавливается подъемно-тормозное устройство с кабельным барабаном. Подъемно-тормозное устройство во избежании самопроизвольного перемещения закрепляется на площадке с помощью анкеров, забиваемых в грунт. Опробуются тормоза этого устройства и трос-лидер с помощью кабельного зажима «чулок» через устройство, предотвращающее закручивание ОК, соединяется с ОК. На противоположном конце анкерного участка трос-лидер закрепляется в катушке, установленной на тяговой лебедке. Затем включается лебедка и производится протяжка ОК по анкерному участку. Для исключения касания ОК земли, посторонних предметов во время протяжки производится подтормаживание барабана.

Протягивание ОК по роликам независимо от типа примененных машин и механизмов необходимо вести плавно с минимальным тяговым усилием.

При подвеске ОК на опорах линий электропередачи применяют также оптический кабель, встроенный в грозозащитный трос. Такой кабель подвешивается взамен демонтируемого грозозащитного троса, с применением типовой арматуры его крепления и заземления.

Сила натяжения кабеля регулируется по стреле провеса. Стрела провеса измеряется при помощи специальной рейки.

Рис.5 Стрела провеса

После регулировки стрелы провесы ролики снимаются, а кабели крепятся к опорам специальной арматуры.

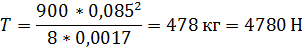
4.2 Расчет растягивающих усилий ОКС при подвеске

1.1    Расчёт растягивающих усилий ОКС при подвеске

Сила натяжения подвесного ОКС рассчитывается по формуле:

 

:

- погонный вес кабеля (900 *)

 - длина пролёта подвесного ОКС (85 м = 0,085 км)

 - стрела провеса (2%) (0,0017 км)

Допустимое растягивающее усилие кабеля при подвеске  (см. Таблица 2.)

Вывод: условие выполняется, следовательно, деформация упругая, остаточных деформаций не будет, подвеска разрешена.

При проектировки необходимо учитывать неблагоприятные условия погоды (гололёд и ветер).

Определим погонный вес гололёда на кабеле:


t,мм - толщина стенки гололёда (14 мм =1,4 см =0,014 м)

 - удельный вес льда (0.09 кг/м3)

, мм - диаметр кабеля (20 мм = 2см = 0,02 м)

Вес кабеля с гололёдом определяется:


Рис. 6. Схематическое представление кабеля с гололедом в разрезе

Сила натяжения кабеля с гололёдом определяется по формуле:


Допустимое растягивающее усилие кабеля при подвеске  (см. Таблица 2.)

Сравним рассчитанную величину с допустимой :


условие выполняется, следовательно, деформация упругая, остаточных деформаций не будет, подвеска разрешена.

Учтём давление ветра на кабель с гололёдом.

Рис. 7 Давление ветра на плоское тело

Давление ветра на плоское тело определяется по формуле:


где:

 - коэффициент ветра на плоское тело (0,6*)

 - скорость ветра (7 )


Рис. 8 Погонный вес кабеля с гололёдом и ветром

Погонный вес кабеля с гололёдом и ветром определяется по формуле:


Сила натяжения кабеля с учётом гололёда и ветра:


Допустимое растягивающее усилие кабеля при подвеске  (см. Таблица 2.)

Сравним рассчитанную величину с допустимой :


Вывод: условие выполняется, следовательно, деформация упругая, остаточных деформаций не будет, подвеска разрешена.

Заключение


В данной работе исследовано механическое воздействие на оптические кабели связи при строительстве волоконно-оптических линий связи. Для исследования выбрано три вида кабеля:  для прокладки в грунт, в канализацию и для подвеса.

Рассмотрены технологии прокладки кабеля в грунт и в кабельную канализацию, также рассмотрен метод подвески кабеля.

Рассчитанные растягивающие и раздавливающие усилия для всех способов прокладки и растягивающие усилия для подвески, с учетом гололеда и давления ветра. Рассчитанные величины проанализированы и в случае необходимости предложены мероприятия по снижению растягивающих усилий.

Что касается раздавливающих усилий, то при прокладке раздавливающие усилия больше допустимых, поэтому необходимо обустройство песчаной постели или прокладка кабеля в трубе.

При прокладке кабеля в кабельную канализацию растягивающее усилие так же не превышает допустимое, следовательно, деформация упругая, остаточных деформаций не будет, прокладка разрешена.

При подвеске оптического кабеля для подвески марки ОКА-М12П-20 производства "Электропровод", с учетом гололеда и давления ветра на кабель растягивающие усилия не превышают допустимого, следовательно, деформация упругая, остаточных деформаций нет, подвеска разрешена.

 

Источники


1.      Методы подвеса кабеля,URL - http://www.ruscable.ru/doc/analytic/statya-091.html

.        Сайт завода изготовителя "Электропровод ",URL http://www.elprovod.ru/

.        Методы прокладки кабеля в грунт и кабельную канализацию,URL - http://siblec.ru/

.        Кабелеукладчик КВГ-1,URL http://chelex.ru/catalog/kabel/

Похожие работы на - Исследование механических воздействий на оптические кабели связи при строительстве ВОЛП

 

Не нашли материал для своей работы?
Поможем написать уникальную работу
Без плагиата!
Без нейросетей!