Анализ сигнала HFDL
Минобрнауки
россии
федеральное
государственное бюджетное образовательное учреждение
высшего
профессионального образования
«Череповецкий
государственный университет»
СМК Ф
7.5.0-01-33
Институт
(факультет) Информационных технологий
Кафедра
Информационной безопасности
КУРСОВАЯ РАБОТА
по дисциплине: Схемотехника
телекоммуникационных устройств
на тему: Анализ сигнала HFDL
Выполнил студент группы
ИТСб-00-31ОП
Москвина Анастасия Владимировна
Руководитель
Сивоконь Игорь Анатольевич
Череповец, 2016
Введение
Связь HFDL доступна для авиакомпаний уже более десяти лет, и за это время
уровень ее использования возрос в среднем на 20 процентов в год.
Более 76 авиакомпаний и 2000 с лишним самолетов, оборудованные системой
связи HFDL, отправляют 4 700 000 сообщений в месяц. Растет число новых
самолетов, которые строятся с HFDL, доступным в качестве дополнительного
средства связи, и все больше авиакомпаний указывают этот протокол.
Корпорация "Авиационное радио" подтверждает, что
высокочастотные линии передачи данных (HFDL) для воздушного транспорта активно
внедряются и считаются настоящей, реальной альтернативой спутниковой связи на
многих маршрутах большой дальности.
Интерес, в частности, обусловлен способностью сигнала поддерживать ВЧ
связь на самолетах местных авиалиний в районах, где трудно сделать
экономическое обоснование необходимости открытия альтернативных наземных
станций, как это часто бывает в развивающихся странах и удаленных районах
больших стран, таких как Россия и Африка, например. В этой курсовой работе
описывается оборудование, используемое для передачи сигнала , режимы работы, в
которых функционирует сигнал, и его характеристики.
Глава 1. Теоретические сведения
Основная информация.
Высокочастотная система передачи данных широко используется в авиации для
передачи текущих координат и прочей полезной информации, существует целая сеть
наземных станций работающих с бортами самолетов.
Технология выбора канала связи в сети HFDL основана на частотном и
пространственном разнесении, а также на использовании динамического управления
частотами наземных станций на основе глобальной системы зондирования.
Наряду с ВЧ и спутниковой связью HFDL является частью портфеля услуг
GLOBALink, предоставляемых Корпорацией "Авиационная связь" (ARINC)
для поддержки доступа к стандартным двусторонним системам передачи данных
воздух-земля ACARS. ARINC была первой компанией, предложившей обслуживание
HFDL, и до сих пор остается единственным поставщиком с глобальным покрытием - и
это одна из самых сильных сторон этой технологии.
ВЧ каналы связи очень эффективны в диапазонах по линии прямой видимости в
континентальном воздушном пространстве. Однако разместить ретрансляционные
станции в океанах или в ненаселенных регионах - полюсах, Сибири физически
невозможно.
Геостационарные спутниковые системы обеспечивают кругосветный охват, но
не достигают полюсов. На низкой околоземной орбите спутники пролетают над
полюсами, но система до сих пор не широкого распространения в авиатранспортной
отрасли. Только HFDL может предложить сочетание глобального покрытия и
значительного парка установленного оборудования.
частота
наземный станция связь
1.1 Технические характеристики HFDL
Обслуживание HFDL Корпорацией "Авиационная связь" обеспечивает
широкую зону доступа за счет сети из 15 наземных станций, охватывающей большую
часть поверхности Земли, - около 168 миллионов квадратных миль, включая оба
полюса - и с перекрытием зон покрытия, что обеспечивает высокий уровень
непрерывности обслуживания в случае остановки работы станции.
Как правило, система имеет 100-процентную доступность - это результат
постоянного инвестирования ARINC в инфраструктуру и взятого на себя
долгосрочного обязательства сделать сервис доступным.
В прошлом старое КВ радио пользовалось репутацией ненадежного, при всех
его возможностях загоризонтного охвата, зависящих от преломления заведомо
переменной ионосферы. При несоответствующих условиях бортрадист мог снова и
снова повторять попытки связи, которые все равно не увенчивались успехом.
Современная цифровая обработка сигнала в корне изменила эту ситуацию.
Последние новшества программного обеспечения в HFDL радио, предлагаемые
лидерами рынка Авионики, свидетельствуют о том, что уровень успешной передачи
сообщений сопоставим с услугами ВЧ и спутниковых каналов связи. И когда дело доходит
до рабочей нагрузки на экипаж, радиостанции справляются с различными условиями
распространения путем автоматического сканирования и выбора наилучшей частоты
для использования в любой момент времени.
Эти гибкие, интеллектуальные бортовые системы обслуживаются наземной
сетью с большой емкостью, позволяющей вместить будущий прирост трафика и
обладающей устойчивостью, которая позволяет справиться с опасными природными
явлениями, могущими повлиять на распространение КВ.
Структура сети предусматривает наличие до четырех каналов на одну
наземную станцию. В настоящее время на 13 из 15 установок используется только
по два канала, а на двух станциях работают по три канала. Идет постоянный
мониторинг нагрузки трафика. По мере необходимости пропускная способность может
быть увеличена.
По сравнению с КВ-речевой связью технология HFDL является принципиально
менее уязвимой к негативному воздействию солнечных бурь. Поскольку для HDFL
требуется вдвое меньше пропускной способности, HDFL будет оставаться в строю и
тогда, когда голосовая КВ связь не будет работать,
1.2 Описание системы HFDL
Система HFDL включает в себя одну или несколько подсистем наземных и
бортовых станций, которые реализуют протокол HFDL. Система HFDL также включает
наземную подсистему административного управления.
Подсистема бортовых станций HFDL и подсистема наземных станций HFDL
выполняют следующие функции:
а) ВЧ-передачу и прием,
б) модуляцию и демодуляцию данных и
в) реализацию протокола и выбор частоты HFDL.
Требования к обязательному наличию на борту оборудования HFDL
определяются на основе региональных аэронавигационных соглашений, в которых
устанавливается воздушное пространство, его применение и сроки внедрения.
Подсистемы наземных станций HFDL должны взаимодействовать через общую
подсистему административного управления.
Примечание. Тем самым обеспечивается распределенная подсеть с пунктом
подключения к подсети в зависимости от метода реализации, которая позволяет
поддерживать соединение виртуальных каналов по мере перехода бортовых станций
из одной назначенной эксплуатационной зоны действия в другую. Распределение
может осуществляться на межрегиональной или глобальной основе.
Синхронизация подсистем наземных станций HFDL осуществляется в течение
±25 мс UTC. В отношении любой станции, не работающей в течение ±25 мс UTC,
дается соответствующее уведомление всем подсистемам бортовых и наземных станций
для обеспечения непрерывной работы системы.
Коэффициент необнаруженных ошибок в пакете пользователя сети, который
занимает 1-128 октетов данных пользователя, составляет 1 × 10−6 или менее.
1.3 РЧ-характеристики физического уровня
Бортовые и наземные станции имеют доступ к физической среде в симплексном
режиме.
ПОЛОСЫ ЧАСТОТ:
Оборудование HFDL может работать на любой несущей (опорной) частоте одной
боковой полосы (ОБП),выделенной авиационной подвижной (R) службе в полосе
2,8-22 мГц, и в соответствии с надлежащими положениями Регламента радиосвязи.
КАНАЛЫ:
Каналы используются в соответствии с таблицей несущих (опорных) частот
приложения 27 к Регламенту радиосвязи.
БОКОВАЯ ПОЛОСА:
Для передачи используется боковая полоса, расположенная выше ее несущей
(опорной) частоты.
МОДУЛЯЦИЯ:использует М-фазовую манипуляцию для модулирования
высокочастотной несущей на присвоенной частоте . Скорость передачи символов составляет
1800 символов в секунду ±10 частей на миллион (т. е. 0,018 символов в секунду).
НЕСУЩАЯ М-фазной манипуляции:
Несущая математически выражается следующим образом:
(t) = АΣ(p(t-kT) cos [2πf0t + φ(k)]), k = 0,1....,N-1,
где N - количество символов в переданном блоке данных протокола
физического уровня ;(t) - аналоговая форма волны или сигнал в момент t;
А - максимальная амплитуда;- несущая (опорная) частота + 1440 Гц;
Т - период обработки символа (1/1800 с);
φ(k) - фаза k-символа;(t-kT) - форма
импульса k-символа в момент t.
Примечание. Количество переданных символов N, определяет длину
(продолжительность = NT с)
ФОРМА ИМПУЛЬСА:
Форма импульса, p(t), определяет спектральное распределение передаваемого
сигнала. Применяется следующее преобразование Фурье формы импульса, P(f):
(f) = 1, если 0 < | f | < (1 - b)/2T;(f) = cos {π(2| f |T - 1 + b)/4b}, если (1 -
b)/2T < | f | < (1 + b)/2T;(f) = 0, если | f | > (1 + b)/2T,
где параметр спектрального спада, b = 0,31, выбирается таким образом,
чтобы точки в -20 dB сигнала приходились на несущую (опорную) частоту + 290 Гц
и несущую (опорную) частоту + 2590 Гц, а отношение максимальной мощности к
средней мощности формы волны составляла менее 5 dB.
СТАБИЛЬНОСТЬ ПЕРЕДАТЧИКА:
а) ± 20 Гц для подсистем бортовых станций HFDL и
б) ± 10 Гц для подсистем наземных станций HFDL.
СТАБИЛЬНОСТЬ ПРИЕМНИКА:
Стабильность основной частоты при обеспечении функции приема является
такой, что при осуществлении функции передачи, общая разница частот между
наземной и бортовой функциями, достигаемая в условиях эксплуатации, не
превышает 70 Гц.
ЗАЩИТА:
Отношение полезный сигнал/нежелательный сигнал 15 дБ применяется для
защиты присвоений одних и тех же каналов для HFDL для следующих видов связи:
а) передача данных - передача данных,
б) передача данных - речевая связь ;
в) речевая связь - передача данных.
ПРИСВОЕННАЯ ЧАСТОТА:
Присвоенная HFDL частота на 1400 Гц выше несущей (опорной) частоты.
Примечание. Обычно присвоенная HFDL частота смещается относительно
несущей (опорной) частоты на 1400 Гц. Несущая HFDL при цифровой модуляции
смещается относительно несущей (опорной) частоты на 1440 Гц. Цифровая модуляция
полностью обеспечивается в пределах той же общей ширины полосы канала, что и
для речевого сигнала.
ПРЕДЕЛЫ ИЗЛУЧЕНИЯ:
Для передатчиков бортовых и наземных станций HFDL максимальная мощность
огибающей (Рр) любого излучения на любой дискретной частоте составляет меньше
максимальной мощности огибающей (Рр) передатчика согласно следующему :
а) на любой частоте между 1,5 и 4,5 кГц ниже присвоенной HFDL частоты и
на любой частоте между 1,5 и 4,5 кГц выше присвоенной HFDL частоты: по крайней
мере 30 дБ;
б) на любой частоте между 4,5 и 7,5 кГц ниже присвоенной HFDL частоты и
на любой частоте между 4,5 и 7,5 кГц выше присвоенной HFDL частоты: по крайней
мере 38 дБ;
в) на любой частоте менее 7,5 кГц ниже присвоенной HFDL частоты и на
любой частоте более 7,5 кГц выше присвоенной HFDL частоты:
) передатчики бортовых станций HFDL: 43 дБ;
) передатчики наземных станций HFDL мощностью до 50 Вт включительно: [43
+ 10 log10Pp(W)] дБ;
) передатчики наземных станций HFDL мощностью более 50 Вт: 60 дБ.
МОЩНОСТЬ:
Оборудование наземной станции. В соответствии с приложением 27 к
Регламенту радиосвязи максимальная мощность огибающей (Рр), подводимая к линии
питания антенны, не превышает максимального значения 6 кВт.
Оборудование бортовой станции. Максимальная мощность огибающей,
подводимая к линии питания антенны, не превышает 400 Вт, за исключением
случаев, когда действует требование приложения 27/62 к Регламенту радиосвязи.
ПОДАВЛЕНИЕ НЕЖЕЛАТЕЛЬНЫХ СИГНАЛОВ:
Для приемников бортовых и наземных станций HFDL нежелательные входные
сигналы ослабляются согласно следующим положениям:
а) на любой частоте между fc и (fc - 300 Гц) или между (fc + 2900 Гц) и
(fc + 3300 Гц): по крайней мере на 35 дБ ниже максимума полезного сигнала;
б) на любой частоте менее (fc - 300 Гц) или более (fc + 3300 Гц): по
крайней мере на 60 дБ ниже максимума полезного сигнала, где fc - несущая
(опорная) частота.
На физическом уровне выполняются следующие функции:
а) управление передатчиком и приемником,
б) передача данных ;
в) прием данных.
Физический уровень HFDL осуществляет переключение и настройку на частоту
передатчика/приемника по команде, поступающей с канального уровня. Физический
уровень выполняет манипуляцию передатчиком по запросу канального уровня на
передачу пакета.
ВРЕМЯ ПЕРЕХОДА ПЕРЕДАТЧИК - ПРИЕМНИК:
Уровень передаваемой мощности ослабляется по крайней мере на 10 дБ в
течение 100 мс после завершения передачи. Подсистема станций HFDL способна
принимать и демодулировать с номинальными характеристиками поступающий сигнал в
течение 200 мс с момента начала последующего интервала приема.
ВРЕМЯ ПЕРЕХОДА ПРИЕМНИК - ПЕРЕДАТЧИК:
Подсистема станций HFDL обеспечивает номинальную выходную мощность в
пределах ± 1 дБ, подводимую к линии питания антенны в течение 200 мс с момента
начала интервала передачи.
ПЕРЕДАЧА ДАННЫХ:
Передача данных осуществляется с использованием метода много станционного
доступа с временным разделением каналов. Подсистемы наземных станций HFDL
обеспечивают синхронизацию кадров и окон для системы HFDL. Для обеспечения
синхронизации окон каждый модулятор ВЧ-линии передачи данных начинает выдавать
предсимвольный сегмент в начале временного окна ± 10 мс.
РАДИОВЕЩАТЕЛЬНЫЕ ПЕРЕДАЧИ:
Подсистема наземных станций HFDL осуществляет радиовещательную передачу
блока данных протокола самогенерируемого сигнала каждые 32 с на каждой рабочей
частоте.
ПОИСК ЧАСТОТЫ:
Каждая бортовая станция HFDL автоматически осуществляет поиск присвоенных
частот до тех пор, пока она не обнаружит рабочую частоту.
ПРИЕМ НА ФИЗИЧЕСКОМ УРОВНЕ:
Приемник ВЧ-линии передачи данных обеспечивает обнаружение,
синхронизацию, демодуляцию и декодирование, модулированных в соответствии с
формой волны, при условии следующих искажений:
а) сдвиг звуковой несущей частоты 1440 Гц в диапазоне ±70 Гц;
б) искажение, обусловленное дискретным и/или диффундированным
многолучевым распространением при многолучевом распространении до 5 мс;
в) амплитудное затухание, обусловленное многолучевым распространением,
при двустороннем разбросе относительно доплеровской частоты до 2 Гц и с учетом
статистики Рэлея;
г) аддитивный гауссов и широко-спектральный импульсивный шум с различной
амплитудой и произвольным временем поступления.
ДЕКОДИРОВАНИЕ НА ФИЗИЧЕСКОМ УРОВНЕ:
После получения сегмента преамбулы приемник:
а) обнаруживает начало пакета данных;
б) измеряет и корректирует сдвиг частоты между передатчиком и приемником
вследствие доплеровского сдвига и сдвига частоты приемопередатчика;
в) определяет скорость передачи данных и значения перемежителя для
использования в процессе демодуляции данных;
г) обеспечивает синхронизацию символов PSK;
д) тренирует эквалайзер.
СИНХРОНИЗАЦИЯ:
Каждая подсистема бортовых станций HFDL синхронизует свой интервал окна с
интервалом окна соответствующей наземной станции относительно времени приема
последнего полученного протокольного поля данных.
Ниже изображен рисунок, показывающий требуемые пределы спектра для
передачи бортовых и наземных станций.
Рис. 1
Система HFDL позволяет обмениваться информацией между землей и воздухом
находящихся на большом расстоянии друг от друга. Четыре отдельные подсистемы
включают систему HFDL:) Станционная подсистема самолета HFDL;
б) Подсистема наземной станции HFDL;
в) HFDL основывает коммуникационную подсистему;
г) HFDL основывает управленческую подсистему.
Станционная подсистема самолета (рисунок 2) включает самолет,
оборудование HFDL и бортовые элементы из протокола HFDL. Она обеспечивает
доступ к авиационной линии передачи данных воздушных судов. Следующие основные
компоненты являются частью воздушного судна станции подсистемы:
а) передача HFDL и блок данных КВ ;
б) модуляции данных и демодуляции;
в) протокол HFDL и выбор частоты;
г) Интерфейс к процессору связи бортовых данных.

система способна на борту воздушного судна обслуживаться одним из
нескольких способов, в зависимости от оборудования, которое в настоящее время
установлено на борту воздушного судна.
1.4 Возможности HFDL
а) установка блока ВЧ данных , который обеспечивает интерфейс между
блоком управления и обычным голосовым радио;
б) установка обновления сервисного бюллетеня в существующий радиотелефон,
который добавляет КВ радио-данные в одну линию сменного блока и предоставляет
интерфейсы ;
в) установка высокочастотных пеленгаций.
1.5 Радиооборудование ВЧ
Блок схема передатчика простого ВЧ /приемника показана на рисунке 3.
Следует отметить, что, в то время как это оборудование использует один
промежуточный продукт частоты (ПЧ), на практике большинство современных
самолетов КВ радиостанции являются гораздо более сложными и используют два или
три промежуточных частоты.
В режиме передачи ,подавленная несущая производится с помощью
сбалансированного этап модулятора. Сбалансированный модулятор отклоняет
носитель и его выход включает в себя только верхнюю и нижнюю боковые полосы.
Сигнал затем пропускается через многоступенчатый кристалл или механический
фильтр. Этот фильтр имеет очень узкую полосу пропускания (как правило, 3,4 кГц)
на промежуточной частоте ,это и отвергает нежелательные боковые полосы.
Результирующий сигнал ОБП затем смешивают с сигналом от цифрового синтезатора
частоты для получения сигнала на требуемый канал. Выход из смесителя далее
дополнительно усиливается перед поступлением в выходной каскад. Следует
отметить, что, чтобы избежать искажений, все этапы должны работать в линейном
режиме.
Рис. 3
При использовании устройства в режиме приема сигнала, частота смешивается
с выходом цифрового синтезатора частот, для получения промежуточной частоты
сигнала. Ненужные соседние сигналы канала удаляются с помощью другого
многоступенчатого кристалла или механического фильтра, который имеет полосу
пропускания, аналогичную используемою в передатчике. Сигнал ПЧ усиливается,
прежде чем перейдет в демодулятор.
Сигнал несущей частоты происходит от точного кристалла, под контролем
несущей генератор работает на частоте ПЧ. Восстановленный звуковой сигнал от
демодулятора затем передается в звуковой усилитель, где он усиливается до
соответствующего уровня для перехода к громкоговорителю.
Типичная спецификация для летательного аппарата ВЧ радио показана в таблице
1. Один или два радио этот тип, как правило, установлен в крупном коммерческом
самолете (обращаю ваше внимание на то, что по меньшей мере одно КВ радио
является требованием для любого воздушного судна для заокеанских маршрутов).
Таблица 1
|
Параметр
|
Спецификация
|
|
Диапазон воспроизводимых частот
|
2,0000 МГц до 29,9999 МГц
|
|
Настройка шага
|
100 Гц
|
|
Режим работы
|
SSB SC аналоговый голос (ARINC 719) и аналоговые данные
(ARINC 753 и ARINC 635) со скоростью до 1800 бит; DSB AM (полная несущая)
|
|
Чувствительность
|
1 мкВ на 10 дБ (S + N) / N SSB; 4 мкВ на 10 дБ (S + N) / N
AM
|
|
Избирательность
|
6 дБ макс. ослабление на +2,5 кГц 60 дБ мин. ослабление на
+3,4 кГц
|
|
Аудио выход
|
50 мВт на 600 л SELCAL выход 50 мВт на 600 л
|
|
Выходная мощность
|
200 Вт PEP мин. SSB; 50 Вт мин. DSB AM
|
|
Стабильность частоты
|
± 20 Гц
|
|
Аудио отклик
|
350 Гц до 2500 Гц при -6 дБ
|
|
Среднее время между отказом
|
Больше чем 50.000 часов
|
1.6 Технология HFDL
Технология HFDL наилучшая в смысле надежности связи, спектральной и
экономической эффективности системы пакетной связи "Воздух-Земля", в
которой большое количество самолетов (до 2500) обслуживается малым количеством
частотных каналов (до 48-60) и наземных станций (до 16) в режиме множественного
доступа с временным и частотным разделением. HFDL определяет как процедуры
составления канала с автовыбором рабочей частоты, так и все остальные процедуры
автоматического ведения связи на всех уровнях (физическом, канальном и подсети)
с многопараметрической адаптацией радиолинии по частоте, скорости передачи, видам
модуляции и кодирования, а также по пространственному разнесению наземных
станций, гарантирующие достоверность. В системе HFDL используется один и тот же
набор частот для составления канала и ведения связи. Высокая спектральная
эффективность системы достигается благодаря использованию комбинированного
протокола множественного доступа к каналу с частотным и временным разделением.
Протокол частотного разделения обеспечивается тем, что разные частотные каналы
(от двух до шести) назначаются разным ВЧ наземным станциям (ВЧ НС). Временной
протокол обеспечивается тем, что время использования каждого частотного канала
разбивается на 32-х секундные кадры, а каждый кадр разбивается на 13 временных
слотов доступа длительностью 2,461538 с, равной времени передачи одного пакета
данных 2,343888 с плюс 117,65 мс на неопределенность времени задержки
распространения и рассинхронизм в радиолинии. На всех частотах ВЧ наземные
станции периодически излучают сигналы маркеров, качество которых оценивают
самолеты при выборе частоты связи. Самолет выбирает для связи любой канал,
качество сигнала маркера которого является приемлемым или наилучшим,
регистрируется на этом канале на наземной станции и ведет на нем связь до тех
пор, пока качество канала отвечает требуемому уровню. Один канал связи могут
выбрать несколько самолетов и зарегистрироваться на нем. Каждый ВЧ канал HFDL
системы используется всеми зарегистрированными на нем самолетами в режиме
множественного доступа с временным разделением. Управление временным протоколом
обеспечивает ВЧ наземная станция, передавая в сигналах маркеров назначения
слотов, резервируемых по запросам от бортов, слотов случайного доступа и слотов
для передач с "земли". ВЧ наземная станция прогнозирует системные
характеристики (задержку передачи пакета) на каждом своем частотном канале и
выставляет флаг занятости канала в маркере, когда критическое число самолетов
зарегистрировалось на канале, чтобы прекратить доступ к нему новых
корреспондентов и гарантировать заданные системные характеристики (задержку передачи
пакета не более допустимой). Простота прогнозирования системных характеристик в
системе HFDL во многом определяется тем, что все сообщения в системе (вызывные
и связные) имеют одинаковую стандартную длительность, равную слоту и передаются
по единому временному протоколу на общем наборе частот. В зависимости от
качества канала и объема передаваемых данных в сообщении выбирается оптимальный
вид многопозиционной фазовой манипуляции и кодирования. При этом меняется
скорость передачи данных пользователя, но длительность сообщения и символьная
скорость 1800 Бод не меняются.
Глава 2. Практические выводы и ответы на вопросы
.1 Основная сеть станции и распространения ВЧ
Опыт работы с высокочастотным сигналом, а так же испытания и исследования
показали, что оптимальная конструкция для всемирной системы требует, чтобы
наземные станции были расположены, так чтобы воспользоваться характером ВЧ
среды , а не жесткими структурами на основе геополитических границ, таких,
которые используются в традиционных РПИ. Эта методология зависит от отхода от
традиционных подходов к предоставлению услуг на основе ВЧ-АТС.
Факторы для определения HFDL наземных станций :
а) охват связи авиационных маршрутов, требующих поддержки HFDL;
б) способность сайта, чтобы обеспечить авиационные частоты;
в) наличие приемлемых средств передачи и приема КВ;
г) наличие и стоимость телекоммуникационных соединений;
д) интерес и сотрудничество между операторами наземных станций.
С применением концепций повторного использования частот в сети, приблизительно
шестнадцать станций должны быть в состоянии обеспечить покрытие на всемирной
основе с более чем 99,4 % системы доступность и способность к более чем 2 000
самолетов.
2.2 Охват HFDL
Покрытие ВЧ резко меняется для любой наземной станции. На любой
распространяющейся частоте, можно разработать контуры силы сигнала, в
зависимости от расстояния от указанного передатчика.
Совокупный охват нескольких частот должен быть использован для получения
нужного охвата радио. Средний диапазон охвата изменяется в зависимости от
времени суток, времени года, и среднего числа солнечных пятен. Фактическое
покрытие варьируется из-за краткосрочных ионосферных эффектов которые не
являются предсказуемыми. Покрытие на фиксированной частоте растянуто в
направлении противоположных градиентов плотности электронов, так что это
означает, что к экватору охват, как правило, меньше, чем полюсу покрытия, и
ночной образ жизни охват больше, чем охват в полдень. Покрытие зависит от
высоты ионосферного слоя, который контролирует процесс преломления. Важно
осознать, что хотя высокий слой контролирует максимальный охват для HFDL,
электронная плотность в "точке преломления" внутри слоя контролирует
наибольшую частоту для которой означает, что покрытие может быть достигнуто.
Дневные концентрации электронов выше, чем ночные значения, и это означает, что
дневные критические частоты также выше, вместе с соответствующими суммами МПЧ.
Поскольку высота слоя и критической частоты изменения подтверждаются в реальных
операциях, и не являются в полной мере учитывающимися в срединных моделях, то
видно, что покрытие на определенном наборе частоты изменяются в порядке, и не
подлежат точному прогнозированию.
Важно признать, что одна частота не является достаточным условием для
линии связи в течение длительного периода времени. Есть два компонента
изменчивости: ионосферная изменчивость и, связанной с изменениями по местному
времени в ионосфере точке преломления и изменчивости, связанной с изменениями в
пути. Оба фактора находятся в эксплуатации для обслуживания сигнала. Для
фиксированных линий, нам нужно быть обеспокоенными только с суточными
колебаниями, которые являются довольно медленными для неподвижных платформ, за
исключением того, во время восхода и захода солнца есть периоды.
2.3 Достоинства
Когда для отправки используется голосовое сообщение, несущее информацию о
местоположении путевой точки, существует вероятность ошибок оператора ,в
процессе оператор расшифровывает отчет. Ошибки данных в HFDL практически
исключены за счет использования циклического избыточного кода , контрольная
сумма добавляется к каждому пакету. Контрольная сумма кода позволяет системе
автоматически обнаруживать все комбинации битовых ошибок в пакете меньше, чем
17 бит в ширину, с вероятностью менее 1 в 10 миллионов не обнаруживать всплески
ошибок шире, чем 17 бит. Пакеты, полученные с ошибками отбрасываются и не
признаются. Неподтвержденные пакеты автоматически передаются
повторно.использует те же 16-битные контрольные суммы, как те, что используются
другими авиационными системами данных, таких как SATCOM и УКВ-связь данных.
Следовательно, достигаемый уровень целостности данных является тем же самым.
Проанализировав теоретические сведения можно сказать что, технология HFDL
обеспечивает максимальную эффективность использования ограниченного
разрешенного для связи набора частот, поскольку обеспечивает обслуживание
большого количества самолетов на одном частотном канале (в среднем до 26
корреспондентов) и использует один набор частот, как для связи, так и для
вызова. Эта технология автоматического ведения адаптивной ВЧ радиосвязи
обеспечивает комплексное использование всех перспективных технологий ВЧ связи,
что делает ВЧ радиоканал привлекательным и эффективным средством дальней связи
по надежности, простоте, удобству использования, пропускной способности
сравнимым со спутниковым каналом, но на один-два порядка более дешевым .
2.4 Схема обмена пакетными данными HFDL
С учетом преимуществ HFDL системы передачи пакетных данных HFDL для
организации связи "Воздух-Земля" в сравнении со всеми известными на
данный момент системами связи она принята за прототип предлагаемой авиационной
ВЧ системы обмена пакетными данными.
Структурная схема ВЧ системы обмена пакетными данными HFDL приведена на
рисунке 4, где обозначено:
- ВЧ бортовая станция (ВЧ БС);
- ВЧ наземная станция (ВЧ НС);
- центр управления (ЦУ) ВЧ системой обмена данными;
- диспетчерский пункт управления воздушным движением и авиалинией (УВД и
УАЛ);
- подсистема наземной связи, используемая ВЧ системой HFDL;
- интерфейс ВЧ НС с подсистемой наземной связи;
- интерфейс центра управления с подсистемой наземной связи;
- интерфейс пунктов УВД и УАЛ с подсистемой наземной связи;
- ВЧ радиоканал "Воздух-Земля" между ВЧ НС (2) и ВЧ БС (1)
Рис. 4: ВЧ бортовые станции (1) связаны через ВЧ радиоканалы (9) с ВЧ
наземными станциями (2), соединенными через интерфейсы (6) с подсистемой
наземной связи (5), которая в свою очередь соединена через интерфейсы (7) с
центром управления (3), а через интерфейсы (8) с диспетчерскими пунктами УВД и
УАЛ (4)
Пользователями системы HFDL являются диспетчерские пункты УВД и УАЛ (4)
на земле и бортовое радиоэлектронное оборудование на самолете, связанное с ВЧ
бортовой станцией через бортовой маршрутизатор.
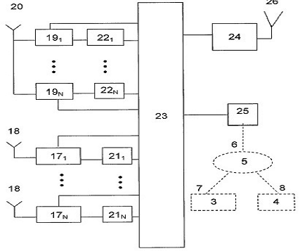
Структурная схема ВЧ бортовой станции (1) представлена на рисунке 5, где
обозначено:
- бортовой ВЧ приемопередатчик HFDL;
- бортовое антенно-согласующее устройство (АСУ);
- бортовая ВЧ антенна;
- пульт управления приемопередатчиком (ПУ);
- бортовой маршрутизатор (БМ);
- устройство управления ВЧ обменом данными;
- ВЧ приемопередатчика ARINC 719.
Рис. 5
Причем бортовой ВЧ приемопередатчик HFDL (10) состоит из ВЧ
приемопередатчика ARINC 719 (16) и устройства управления ВЧ обменом данными
(15), содержащего в себе модем и контроллер протоколов обмена данными HFDL.
При этом ВЧ приемопередатчик (16) подключен с одной стороны к АСУ (11), а
с другой стороны к устройству управления ВЧ обменом данными (15). Устройство
управления ВЧ обменом данными (15) подключено с одной стороны к ВЧ
приемопередатчику (16), а с другой стороны к пульту управления (ПУ) (13)
радиостанцией и к бортовому маршрутизатору (БМ) (14). АСУ (11) подключено с
одной стороны к бортовому ВЧ приемопередатчику (16), с другой стороны к ВЧ
бортовой антенне (12).
Конструктивно устройство управления ВЧ обменом данными (15) может быть
выполнено как в виде самостоятельного блока, подключаемого внешне к ВЧ
приемопередатчику (16), так и в виде субблока или плат, встраиваемых внутрь
приемопередатчика (16).
ВЧ бортовая станция (1) связана с бортовым маршрутизатором (БМ) (14) .
который доводит (получает) пакетные сообщения до бортовых
источников/получателей информации (бортового радиоэлектронного оборудования)
типа многофункционального пульта управления, дисплея, принтера, компьютера,
системы технического обслуживания, системы самолетовождения, системы
электронной индикации и сигнализации, навигационной системы и т.п. Бортовой
маршрутизатор (14) связан не только с ВЧ бортовой станцией (1), но и с
бортовыми станциями других диапазонов частот.
На каждой ВЧ бортовой станции (1) по результатам оценки качества приема
сигналов маркеров выбирают лучшую частоту связи (ВЧ радиоканал
"Воздух-Земля" ).
Каждую ВЧ бортовую станцию (1) регистрируют на выбранном ею ВЧ канале на
соответствующей этому каналу ВЧ наземной станции , производят обмен пакетными
данными в режиме временного разделения через ВЧ радиоканал
"Воздух-Земля" между ВЧ наземной станцией и ВЧ бортовой станцией (1),
которая на ней зарегистрирована, до тех пор, пока качество ВЧ радиоканала
"В-3" соответствует допустимому уровню.
При ухудшении качества ВЧ радиоканала ниже допустимого уровня выбирают
новый ВЧ радиоканал для бортовой станции (1) и регистрируют ее на новом
выбранном ВЧ радиоканале, выбирают лучшую частоту приема сообщений от каждой
другой ВЧ наземной станции по результатам оценки качества приема сигналов
маркеров с помощью дополнительных ВЧ приемников "Земля-Земля" и
демодуляторов "Земля-Земля" однотонового многопозиционного
фазоманипулированного сигнала, формируют таблицу слышимости по результатам
выбора лучших частот приема, в которой указывают признак своей доступности
(недоступности) для подсистемы наземной связи, идентификаторы наземных станций
и соответствующие им номера лучших частот приема с кодами рекомендуемых
максимально допустимых скоростей передачи данных.
2.6 Схема ВЧ наземной станции
Структурная схема ВЧ наземной станции (2) ВЧ системы обмена пакетными
данными HFDL представлена на рисунке 6 где обозначено:
- ВЧ радиопередатчик;
- ВЧ передающая антенна;
- ВЧ радиоприемник "Воздух-Земля";
- ВЧ приемная антенна;
- ВЧ модулятор однотонового сигнала многопозиционной фазовой манипуляции;
- ВЧ демодулятор "Воздух-Земля" однотонового сигнала
многопозиционной фазовой манипуляции;
- контроллер ВЧ наземной станции (2);
- приемник сигналов единого времени;
- устройство интерфейса с наземной сетью связи;
- приемная антенна сигналов единого времени.
Рис. 6
ВЧ наземная станция (2) ВЧ системы обмена пакетными данными HFDL содержит
в своем составе:
Если ВЧ наземная станция , на которой зарегистрирована ВЧ бортовая
станция , недоступна для подсистемы наземной связи , то сообщение транслируют
подсистемой наземной связи на другую ВЧ наземную станцию , доступную для
подсистемы наземной связи , где его упаковывают в пакет, предназначенный для
передачи по ВЧ радиоканалу , и передают по ВЧ радиоканалу к недоступной ВЧ НС ,
на которой зарегистрирована ВЧ бортовая станция (1), где его упаковывают в
пакет, предназначенный для передачи по ВЧ радиоканалу , и передают по ВЧ
радиоканалу к ВЧ бортовой станции - адресату.
В таблице 2 представлен пример структуры таблицы слышимости. В данном
примере сеть состоит из шести ВЧ НС (N=6) и таблица слышимости сформирована ВЧ
наземной станцией с номером 4, которая недоступна (имеет неисправный интерфейс с
подсистемой наземной связи). В первой строке указаны номера ВЧ НС, а во второй
строке указаны номера лучших частот приема, выбранных ВЧ НС номер 4. Нумерация
частот соответствует системной таблице, которую разрабатывает центр управления
и доводит до всех ВЧНС. В скобках рядом с номерами частот указаны номера
рекомендуемых максимальных скоростей передачи данных (1 - 300 б/с, 2 - 600
бит/с, 3 - 1200 бит/с, 4 - 1800 бит/с). В данном примере ВЧ НС №4 не приняла ни
одного сигнала от ВЧ НС №6, поэтому она охарактеризовала слышимость от ВЧ НС
№6, как 0(0). Длина таблицы связности равна 8(N) бит.
Таблица 2
|
ВЧ НС №4 признак доступности
|
ВЧ НС №1
|
ВЧ НС №2
|
ВЧ НС №3
|
ВЧ НС №5
|
ВЧ НС №6
|
|
|
0
|
4(1)
|
2(4)
|
5(3)
|
3(4)
|
0(0)
|
2.7 Оборудование
Ниже приведен пример оборудования ,которое нужно установить на самолет
для подключения HFDL.
Блок управления связью, блок управления или орган обслуживания воздушного
движения
1 или 2 коротковолновой радиостанции
КВ аналоговый или цифровой ответвитель
КВ антенна
Панель настройки радио
Бортовая ЭВМ системы управления полетом или система управления полетом
Заключение
Проанализировав весь материал можно сделать вывод, что технология HFDL
является эффективным средством дальней связи по надежности, простоте, удобству
использования. Так же она обеспечивает обслуживание большого количества
самолетов на одном частотном канале и использует один набор частот, как для
связи, так и для вызова. И к тому же скорость передачи достаточно высока.
Литература
. Кулаков
Д.С.; Современные технологии автоматического составления канала авиационной
ДКМВ радиосвязи; 2011 г
. Приложение
10 к соглашениям ИКАО (Том 3, часть 1, глава 11). Женева. ИКАО. 2000.
.
Спецификация Arinc 635-3. HF Data Link Protocols. 2000.
. Руководство
по ВЧ линии передачи данных. ИКАО, Женева, 2000.
. Палочкин
Юрий Петрович, Горячева Тамара Ивановна, Фролов Владимир Алексеевич и др.;
патент «ВЧ система и способ обмена пакетными данными»; 2006 г.