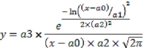
Автоматизация вольтамперометрических измерений для целей сертификации пищевой продукции
МИНИСТЕРСТВО ОБРАЗОВАНИЯ И НАУКИ
РОССИЙСКОЙ ФЕДЕРАЦИИ
Федеральное государственное бюджетное
образовательное учреждение
высшего профессионального образования
«КУБАНСКИЙ ГОСУДАРСТВЕННЫЙ
УНИВЕРСИТЕТ»
(ФГБОУ ВПО «КубГУ»)
Кафедра аналитической химии
ДОПУСТИТЬ К
ЗАЩИТЕ В ГАК
Заведующий
кафедрой
д-р хим.
наук, проф.
___________З.А.
Темердашев
июня 2013 г.
ВЫПУСКНАЯ КВАЛИФИКАЦИОННАЯ
(ДИПЛОМНАЯ)
РАБОТА
Автоматизация вольтамперометрических
измерений для целей сертификации пищевой продукции
Работу
выполнила _________________________________А.С. Мартемьянова
Факультет
химии и высоких технологий, ОФО
Специальность
«Стандартизация и сертификация» - 200503
Научный
руководитель ______________________________О.Б. Воронова
доц., канд.
хим. наук
Нормоконтролер
___________________________________О.Б. Воронова
доц., канд.
хим. наук
Краснодар 2013
РЕФЕРАТ
Дипломная работа изложена на 80 страницах, содержит 17 таблиц,
рисунок, 48 источников литературных данных.
Ключевые слова: вольтамперометрия, инверсионная, автоматизация, аппроксимация,
логнормальное распределение.
Цель: исследование необходимой модели для распознавания ВА информации на
анализаторе ВА-5 в реальном объекте с целью автоматизации процесса ВА
определения .
В настоящее время одной из важнейших задач является автоматическое
определение параметров аналитических сигналов и установление их связи со
свойствами анализируемого объекта или концентрацией аналита. Решение проблемы
ищут путём построения адекватных математических моделей аналитических сигналов
с использованием методов хемометрии. Этот подход позволяет решить ряд таких
задач, как выделение сигналов на фоне шума, отделение тока пика от тока фона,
снижение предела чувствительности, разделение перекрывающихся пиков.
В работе показана возможность аппроксимации пиков Cd и построены
градуировочные зависимости в диапазонах концентраций 0,01-0,14 мкг/дм3.
Показана возможность снижения предела обнаружения прибора за счет распознавания
сигнала методом МНО. Проанализирована проба минеральной воды «Горячий Ключ -
2000» , «Горячий Ключ 2006», а также минеральной воды «Смирновская». Содержание
Cd и Pb в ней не превышают ПДК.
Работа выполнена на оборудовании ЦКП «Эколого-аналитический центр».
СОДЕРЖАНИЕ
Введение
. Аналитический обзор
.1 Аналитические возможности метода
.2 Использование методов ВА в сертификации ПП и в контроле
объектов окружающей среды
.3 Обзор и классификация методов автоматизации регистрации и
распознавания вольтамперометрической информации.
.3.1 Методы обработки вольтамперометрической информации
.3.2 Этап предварительной обработки
.3.2.1 Сглаживание
.3.2.2 Дифференцирование
.3.3 Этап последующей обработки
.3.3.1 Вычитание базовой линии
.3.3.2 Моделирование АС в ВА
.3.3.3 Аппроксимация.
.3.3.4 Математическое разрешение сигналов
.3.3.5 Метод нелинейной оптимизации Левенберга-Марквардта
.4 Обзор методик пробоподготовки вод (минеральная, природная,
водопроводная, сточная, морская)
.5Выводы по аналитическому обзору и постановка задач
исследования
. Экспериментальная часть
.1 Средства измерения, вспомогательное оборудование, посуда,
реактивы, материалы.
.2 Подготовка к выполнению измерений
.2.1 Подготовка посуды к выполнению измерений
.2.2 Приготовление стандартного раствора кадмия
.2.3 Приготовление стандартного раствора свинца
.2.4 Приготовление фонового раствора (концентрированного)
.2.5 Описание установки
.3 Построение градуировочных зависимостей
.4 Выполнение измерений
.4.1 Регистрация вольтамперограмм раствора пробы
.4.2 Регистрация вольтамперограмм пробы с добавками
.4.3 Очистка электродов
. Результаты и их обсуждение
Заключение
Список использованных источников
ВВЕДЕНИЕ
Оценка уровней загрязнения окружающей среды, источников водоснабжения и
водопользования, атмосферного воздуха и воздуха рабочей зоны, почв, пищевых
продуктов и продовольственного сырья,биологических, медицинских объектов и т.д.
обусловливает необходимость определения содержания тяжелых металлов в различных
образцах. Для этого наиболее часто применяются методы атомной адсорбции и
альтернативные - инверсионные электрохимические методы, в частности,инверсионная
вольтамперометрия [1]. Метод инверсионной вольтамперометрии (ИВ) за последнее
время существенно укрепил свои позиции в повседневном рутинном анализе
экологических и пищевых объектов,об этом свидетельствуют многочисленные
публикации в зарубежной и отечественной литературе, разработки ГОСТов и других
нормативных документов. Известные достоинства инверсионной вольтамперометрии
(низкие пределы обнаружения, широкое использование автоматизации и
компьютеризации измерений, портативность и возможность полевого анализа,
невысокая стоимость современного оборудования по сравнению с другими
физическими и физико-химическими методами), а также возможность одновременного
определения нескольких компонентов разной природы и ионного состава позволяют
считать ее перспективным методом, особенно пригодным для анализа водных
экологических объектов [2].
Благодаря этим достоинствам метод оказался конкурентоспособным с
атомно-абсорбционной спектроскопией и востребованным в России для решения
проблемы, связанной с массовым контролем токсичных примесей в пищевых продуктах
[3].
Современная вольтамперометрическая система подразумевает набор аппаратных
и программных средств, обеспечивающих полную автоматизацию процесса анализа. В
настоящее время разработано и применяется большое количество
вольтамперометрических анализаторов, электрохимических модулей и программного
обеспечения для ПК.
В экологическом контроле вольтамперометрия прочно удерживает позиции
экономичного и высокоэффективного метода анализа тяжелых металлов, давая при
наименьших затратах наибольший объем информации по общему содержанию металлов
[1]. Цель работы автоматизация вольтамперометрических измерений для целей
сертификации пищевой продукции.
1. Аналитический обзор
.1 Аналитические возможности метода
Аналитические возможности метода вольтамперометрического анализа (ВА)
очень широки. Существует большое количество разновидностей
вольтамперометрических методов, в настоящее время насчитывается несколько
сотен. Развитие этих методов анализа вызвано требованием повышения
избирательности, снижения предела обнаружения, улучшение воспроизводимости [3].
ВА методы позволяют определять содержание микропримесей с пределом
обнаружения 10-2 - 10-6 моль/л. Для увеличения предела чувствительности
применяют ВА методы с линейной развёрткой потенциала и переменно-токовые
методы, которые позволяют снизить предел обнаружения до 10-8 моль/л.
На данный момент наиболее востребованным считают метод инверсионной
вольтамперометрии. которому свойственна стадия предварительного концентрирования,
предшествующая собственно вольтамперометрическим измерениям: коэффициенты
концентрирования возрастают до 100, а в благоприятных случаях превышают 1000. К
достоинствам инверсионной вольтамперометрии (ИВ) следует отнести возможность
чувствительного и селективного измерения ионного состава пробы, экспрессность и
высокую степень автоматизации, возможность последовательного определения
компонентов непосредственно в одной и той же пробе без удаления кислорода. В
отличие от полярографии и вольтамперометрии в методе ИВ отсутствует открытая
поверхность металлической ртути, используемой в качестве рабочего электрода
[2]. Высокую чувствительность имеет метод анодной вольтамперометрии, в котором
регистрируется анодная вольтамперометрическая кривая зависимости тока от
потенциала. Предел чувствительности анодной инверсионной вольтамперометрии до
10-10 моль/л.
Наиболее перспективным методом из всех вариантов вольтамперометрии сейчас
считается адсорбционная инверсионная вольтамперометрия, основанная на
предварительном адсорбционном концентрировании определяемого элемента на
поверхности индикаторного электрода. При использовании дифференциального
импульсного режима регистрации вольтамперограммы удается достичь пределов
обнаружения на уровне 10-10 - 10-11 моль/л. [2].
Аналитическое определение элементов в методе ИВ состоит из двух стадий:
предварительное электролитическое концентрирование в объеме или на
поверхности индикаторного электрода при заданном потенциале и перемешивании
раствора;
последующее растворение концентрата элемента при изменяющемся потенциале
с регистрацией тока растворения (вольтамперограммы). При этом аналитический
сигнал получают в виде пика тока анодного растворения.
Потенциал пика является при определенных условиях стандартной величиной и
идентифицирует элемент. Высота пика - максимальный ток растворения -
пропорциональна концентрации определяемого элемента, что позволяет использовать
ИВ как метод количественного анализа.
В методе ИВ применяют двух- и трехэлектродные ячейки. Двухэлектродная
ячейка содержит индикаторный электрод и электрод сравнения. В качестве
электрода сравнения используют хлорсеребряный или каломельный электрод.
Потенциал этих электродов остается постоянным при протекании тока
(неполяризующийся электрод). Из-за простоты конструкции наиболее распространены
хлорсеребряные электроды [8]. Применяют ртутные электроды типа «висящая
капля»,а также различные варианты ртутно-пленочных (РПЭ) и ртутно-графитовых
электродов (РГЭ), где подложками служат, например, благородные металлы (в случае
РПЭ) или графит, стеклоуглерод. Важнейшей проблемой ИВ является регенерация
поверхности индикаторного электрода. Однако если для РКЭ она обычно решается
путем смены капельных электродов и автоматизированного их воспроизведения с
помощью сложной аппаратуры, то в случае РГЭ наличие этой стадии эксперимента не
только ухудшает метрологические характеристики измерений и затрудняет
выполнение анализа, но часто препятствует самому его проведению [1].
1.2 Использование методов ВА в сертификации
ПП и в контроле объектов окружающей среды
В настоящее время вольтамперометрические методы находят широкое
применение при решении самых различных задач - контроль состояния объектов
окружающей среды, анализ различных вод на содержание неорганических и
органических веществ, контроль качества пищевых продуктов. Ценными свойствами
метода являются возможность одновременного определения нескольких элементов, а
также определение различных форм элементов. Благодаря этим достоинствам метод
оказался конкурентоспособным с атомно-абсорбционной спектроскопией и
востребованным в России для решения проблемы, связанной с массовым контролем
токсичных примесей (Pb, Cd, Cu, Zn и д.р.) в различных пищевых объектах: в
молоке, рыбе, мясе, кофе, крупе, какое, муке, хлебобулочных и кондитерских изделиях
и д.р.(таблица 1) [3].
аналитический сигнал хемометрия модель
Таблица
1 - Диапазоны определяемых массовых концентраций элементов для различных видов
проб пищевых продуктов и продовольственного сырья
|
Объект анализа
|
Элемент
|
Диапазон определения
массовых концентраций элемента, мг/кг или мг/дм3
|
|
|
способ пробоподготовки*
|
|
|
1
|
2
|
3
|
|
Плоды, овощ, и продукты их
переработки
|
Pb
|
0,04-10
|
0,02-5,0
|
0,02-50
|
|
Мясо, рыба, яйца и продукты
их переработки
|
Cd
|
0,05-50
|
0,01-5,0
|
0,002-5,0
|
|
Мука, крупа, зерно и
продукты их переработки
|
Cu
|
0,05-30
|
0,2-100
|
0,6-200
|
|
Хлеб, хлебобулочные и
кондитерские изделия
|
Zn
|
1,0-100
|
2,5-250
|
1,0-400
|
|
Молоко и молочные продукты
|
Pb
|
0,02-2,0
|
0,02-5,0
|
0,02-50
|
|
Cd
|
0,005-1,5
|
0,01-5,0
|
0,002-5,0
|
|
Cu
|
0,1-1,5
|
0,2-100
|
0,6-200
|
|
Алкогольные и безалкогольные
напитки
|
Pb
|
0,004-0,2
|
0,004-1,0
|
0,02-50
|
|
Cd
|
0,001-0,02
|
0,002-1,0
|
0,002-5,0
|
|
Cu
|
0,002-2,0
|
0,04-20
|
0,6-200
|
|
Zn
|
0,01-20
|
0,5-50
|
1,0-400
|
*Пробоподготовка: 1 - минерализация путём «мокрого» и «сухого» озоления;
2 - минерализация по ГОСТ 26929; 3 - сухая минерализация по ГОСТ 26929 .
Метод ИВ-измерений при анализе проб пищевых продуктов основан на
способности элементов электрохимически осаждаться на индикаторном электроде из
анализируемого раствора при заданном потенциале предельного диффузионного тока,
а затем растворяться в процессе анодной поляризации при определенном
потенциале, характерном для каждого элемента. Процесс электроосаждения
элементов на индикаторном электроде проходит при заданном потенциале
электролиза в течение заданного времени электролиза. Электрорастворение
элементов с поверхности электрода проводят в режиме меняющегося потенциала
(линейном или другом) при заданной чувствительности прибора. Регистрируемая
вольтамперограмма содержит аналитические сигналы (максимальные анодные токи)
определяемых элементов. Аналитический сигнал элемента прямо пропорционально
зависит от концентрации определяемого по методу добавок аттестованной смеси
определяемых элементов.
Общая схема анализа проб методом инверсионной вольтамперометрии
представлена на рисунке 1 [4].
Рисунок
1-Общая схема анализа проб методом инверсионной вольтамперометрии
Сертификация пищевой продукции методом инверсионной вольтамперометрии
проводится на соответствие ГОСТам:
ГОСТ Р 51301-99 "Продукты пищевые и продовольственное сырье.
Инверсионно вольтамперометрические методы определения содержания токсичных
элементов (кадмия, свинца, меди и цинка)"
ГОСТ Р 51180-2003 "Вода питьевая. Определение содержания элементов
методом инверсионной вольтамперометрии".
ГОСТ Р 51962-2002 "Продукты пищевые и продовольственное сырье.
Инверсионно-вольтамперометрический метод определения массовой концентрации
мышьяка".
ГОСТ Р 51823-2001 "Напитки алкогольные.
Инверсионно-вольтамперометрический методы определения массовых концентраций токсических
элементов (кадмия, свинца, меди, цинка, мышьяка, железа, ртути)".
ГОСТ_52180-2003 " Вода питьевая. Определение содержания элементов
методов инверсионной вольтамперометрии ".
ГОСТ Р 52315-2005 "Напитки безалкогольные. Вода минеральная.
Инверсионно-вольтамперометрический метод определения массовой концентрации
селена".
1.3 Обзор и классификация методов автоматизации
регистрации и распознавания ВА-информации.
.3.1 Методы обработки ВА информации
Современные пути развития метода инверсионной вольтамперометрии
направлены на автоматизацию процесса анализа, решение проблемы пробоподготовки
и создание экологически безопасных индикаторных электродов (сенсоров),
позволяющих заменить классический ртутный или ртутно-пленочный сенсор, не
ограничивая возможности метода [5].
Одной из актуальных проблем аналитической химии является правильная
интерпритация аналитического сигнала, так как она будет влиять на точность
всего анализа в целом. При этом необходимо как изучение характера изменения
аналитического сигнала в результате роста концентрации аналита, так и изучение
формы, что имеет большое значение при разрешении перекрывающихся сигналов. Если
аналитический сигнал имеет форму пика, изучучение её важно при разрешении
налагающихся пиков, при исследовании процесса, обуславливающего сигнал и т.п.
[6].
Во многих электрохимических методах исследования аналитический сигнал
получают в виде симметричных пиков или отдельных ветвей несимметричных пиков.
Многие из них представляют собой достаточно сложные выражения: ряды, полиномы,
специальные функции. Знание точной формы аналитического сигнала требуется,
например, при разрешении общего контура двух близко расположенных и
налагающихся пиков в различных электрохимических методах [7]. Для решения ряда
вопросов необходимо точное описание параметров пика (высота и ширина, площадь
под пиком, положение максимума и д.р.) с помощью математических моделей [8]. В
связи с появлением общедоступной компьютерной техники всё более широко
используются математические методы (рисунок 2) и приёмы при решении проблем
хемометрии: повышение разрешающей способности (разделение перекрывающихся
пиков), фильтрации сигналов на фоне шума, отделение тока пика от тока фона [9].
Для более широкого применения инверсионных методов в текущих (серийных) и
контрольных анализах необходима их автоматизация. Электрохимические
инверсионные методы в принципе невозможно использовать для непрерывных
определений из-за необходимости осуществления последовательных стадий
накопления и растворения, но они пригодны для выполнения автоматических
серийных анализов в течение определенных временных интервалов, если имеется
подходящая программирующая аппаратура. Хорошими примерами являются приборы с
программным управлением, в которых используется ртутный стационарный капельный
электрод и вращающийся ртутный пленочный электрод. [10] Поэтому главной
проблемой является решение задачи аппроксимации аналитического сигнала. Это
достигается применением методов математического моделирования процессов,
лежащих в основе аналитического сигнала, либо применением эмпирических или
полуэмпирических функций. Физико-химическое моделирование позволяет получить
аналитическое выражение для инструментального отклика, функционально зависящее
от ряда физико-химических параметров процесса. Общепринятым приемом
представления физико-химических моделей в вольтамперометрии является
использование безразмерного параметра (H), в который входит скорость развертки
потенциала, толщина электрода, коэффициент диффузии вещества, число
передаваемых электронов и температура. Однако для решения ряда практических
задач описание аналитического сигнала феноменологическими функциями значительно
проще и удобней. Для успешного использования в аналитической практике такие
модели должны быть, с одной стороны, адекватны описываемым аналитическим
сигналам, а, с другой стороны, должны обладать достаточной вычислительной
эффективностью, что является обязательным условием при решении обратных задач
(например, при численном разрешении перекрывающихся сигналов). C одной стороны,
найденные взаимосвязи позволят отказаться от трудоемких физико-химических
расчетов при определении на практике некоторых физико-химических величин на
основе количественных значений эмпирических коэффициентов. С другой стороны,
придание формальным коэффициентам физико-химического смысла должно привести к
повышению эффективности и точности работы процедур обработки данных при решении
практических задач аналитической химии [11].
Рисунок
2 - Классификация математических методов обработки данных
1.3.2 Этап предварительной обработки
.3.2.1 Сглаживание
Шумы различной природы на поляризационных кривых существенно ограничивают
аналитические возможности ВА метода анализа. Выбор метода шумоподавления
оказывает влияние на параметры вольтамперограмм. Возможны аппаратные и
программные подходы к фильтрации шума.
В случае программных методов можно, не внося изменений в аппаратную часть
прибора, проводить фильтрацию не только в режиме реального времени, но и после
съёмки вольтамперограммы и сохранения её в шифровом виде в памяти компьютера
[12].
Сглаживание - средство обработки данных, посредством которого малые
колебания отбрасываются, а большие -сохраняются. Если большие колебания, как
обычно считают, содержат полезную информацию, то малые колебания часто относят
к случайным погрешностям. Сглаженные данные не содержат какой-либо
дополнительной информации по сравнению с исходными, но в значительной мере
позволяют избежать влияния шума [13].
В практике вольтамперометрического анализа наиболее часто используют
методы подвижного среднего фильтры Баттерворта, Чебышева и др, В-сплайн,
вейвлет-преобразование и Фурье-преобразования. Наиболее часто в практике ВА
анализа применяют методы бегущего среднего и Фурье-преобразования [14].
Метод бегущего среднего является наиболее
распространенным методом сглаживания с помощью прямоугольных фильтров [13].
Суть метода подвижного среднего состоит в сглаживании неравномерностей сигнала,
масштаб которых по оси абсцисс меньше, чем размер заданного «окна фильтрации».
Размер окна фильтрации должен быть значительно меньшим, чем полуширина пика и
достаточно большим для эффективного удаления локальных возмущений сигнала.
Размер этого окна подбирается с помощью программы или вручную [15].
В прямоугольном фильтре сглаживание происходит при
усреднении значения функции по заданному окну (ширине фильтра) к

, (1)
где
ус - центральная (сглаживаемая) точка;
к
= (к’ - 1)/2,
к’
- ширина фильтра.
При сглаживании происходит не только подавление шума, но и изменение
высоты полезного сигнала (R% от высоты исходного сигнала) Значение R должно не
превышать 1% для прямоугольного фильтра [16]. Для получения гладкой кривой
метод подвижного среднего необходимо применить не менее 2-3 раз. При этом
наблюдается существенное снижение и увеличение полуширины сигнала, площадь пика
существенно не изменяется. Ширина окна фильтрации подбирается индивидуальна для
каждой системы [17].
В методе взвешенного среднего для сглаживания используется
треугольный фильтр.
Основное отличие треугольного фильтра состоит в том,
что влияние соседних точек на сглаживаемую ослабевает пропорционально их
удалённости [35].

(2)
При сглаживании происходит не только подавление шума, но и изменение
высоты полезного сигнала (R% от высоты исходного сигнала) Значение R должно не
превышать 0,5 % для треугольного фильтра [18].
Треугольный фильтр лучше подавляет шум и вносит меньшее искажение в
полезный сигнал.
Сглаживание по приведенным выше формулам практически не влияет на форму
пика. Сглаживание также не влияет на линейность градуировочных графиков,
несмотря на снижение высоты сигнала [13].
Метод Фурье-фильтрации состоит в разложении ВА сигнала в ряд Фурье и
преобразовании полученного таким образом частного спектра. Возможно умножение
спектра на эмпирически подобранную фильтрующую функцию, или применение
различных алгоритмов для сглаживания Фурье-спектра. После этого проводят
обратное преобразование Фурье и получают отфильтрованную вольтамперограмму. При
использовании метода Фурье необходимо применять дополнительные методы
шумоподавления, так как ВА грамма получается после этого преобразования не
гладкая.
Метод Фурье позволяет проводить фильтрацию периодических помех
определённой частоты, но апериодический шум при этом не удаляется [19].
Метод Вейвлет-преобразования состоит в разложении сигнала по базису
посредством масштабных изменений и переносов. Результатом
вейвлет-преобразования одномерного сигнала является вейвлет-спектр этого
сигнала. В отличие от ряда Фурье этот спектр трехмерный. В результате
появляется возможность анализировать свойства сигнала одновременно в физическом
(время, координата) и в частотном пространствах.
Наиболее распространенными являются вейвлет Хаара, Морле, FHAT - вэйвлет,
часто называемый "французской шляпой", а также вейвлет Добеши [16].
Обрабатывая вейвлет-спектр сигнала, можно отфильтровать как
периодические, так и апериодические помехи и локальные неравномерности сигнала.
На рисунке 3 представлена вольтамперограмма обработанная несколькими методами
шумоподавления.
- без шумоподавления; 2- однократная фильтрация подвижным средним; 3-
трёхкратная фильтрация подвижным средним; 4- фильтрация методом Фурье; 5 -
фильтрация методом вейвлет-преобразования.
Рисунок
3 - Вид обработанной вольтамперограммы
Таким образом, вейвлет-преобразование, более эффективно для удаления
шумов сложной структуры, чем Фурье-фильтрация и метод подвижного среднего [19].
1.3.2.1 Дифференцирование
Правильная интерпритация параметров аналитических сигналов является
важнейшим условием корректности обработки аналитических данных и получение
достоверной информации об анализируемом объекте. На современном этапе развития
аналитической химии актуально использование численных методов обработки
аналитической информации. Одним из методов повышения информационного содержания
аналитического сигнала является дифференцирование. Переход к производным
целесообразен при обработке сслабовыраженных сигналов в области малых
концентраций, что позволяет увеличить правильность определения и снизить предел
обнаружения. Дефференцирование исходных кривых применяют при анализе сложных
спектров для установления числа составляющих его пиков, атакже оценки некоторых
параметров этих пиков. В вольтамперометрии дифференцирование применяется, как
правило, для улучшения формы аналитического сигнала. В прямой вольтамперометрии
для этих целей используют дробное дифференцирование[20], [21], которое также
увеличивает разрешающую способность метода.
Для успешного применения дифференцирования особенно высоких порядков,
необходимо, чтобы значение отношения сигнал/шум было достаточно высоким, иначе
производные не дают удовлетворительных результатов (рисунок4)
а - несглаженный исходный сигнал; б - первая производная; в - вторая
производная; г - первая производная, сглаженная; д - вторая производная,
сглаженная
Рисунок
4 - Вольтамперограмма, ее производные, способы измерения высоты пика и размаха
экстремумов производных[13]
При исследовании зависимости производных от уровня
шума [22], последний значительно увеличивается с ростом порядка производной.
Поэтому совместно с дифференцированием необходимо использовать сглаживание
сигналов. На рис 4 впоказан вид второй производной несглаженного сигнала,
сигнал совершенно незаматен на фоне шума, но после сглаживания (рис. 4 д)
получена гладкая кривая второй производной исходного сигнала [13].
Дифференцирование осуществлялось методом центральных
разниц:

(3)
При
переходе к производным сигнал становится более выраженным, что позволяет
снизить предел обнаружения. Это связано с тем, что, даже в случае когда сигнал
практически незаметен на кривой остаточного тока; по крайней мере невозможно
его корректная интерпретация по площади и/или высоте), после дифференцирования
первого и, особенно, второго порядка сигнал становится хорошо заметным и легко
интерпретируемым. При дифференцировании исчезает линейная составляющая
остаточного тока и, как следствие, уменьшается систематическая погрешность в
нижней части интервала концентрации [13].
1.3.3 Этап последующей обработки
1.3.3.1 Вычитание базовой линии
Регистрограмма в инверсионной вольтамперометрии (ИВ) представляет собой
сложную вольтамперную кривую, состоящую из совокупности остаточного тока,
полезного сигнала в виде последовательности пиков и высокочастотного шума.
Высокочастотные помехи практически всегда удается подавить с помощью методов
сглаживания, но основные трудности при анализе вольтамперных кривых связаны с
наличием в сигнале остаточного тока, нередко соизмеримого по амплитуде с
полезной составляющей тока. Форма остаточного тока плохо воспроизводится и, так
же,как и полезный сигнал, зависит от экспериментальных параметров и состояния
электрода. Это осложняет задачу автоматического анализа вольтамперных кривых
традиционными методами и требует наличие человека эксперта, способного оценить
правильность автоматизированной обработки исходных данных или провести
выделение полезного сигнала вручную [23].
Основная погрешность при интерпритации вольтампрограмм вносится при учете
базовой линии. Данная погрешность может носить как систематический, так и
случайный характер,в зависисмости от способа проведения базовой линии [24].
Базовой линией в методе инверсионной вольтамперометрии (ИВ) является остаточный
ток, имеющий емкостную и фарадеевскую составляющие. Последняя обусловлена (в
зависимости от изучаемой области потенциалов) наличием в растворе кислорода или
других электроактивных веществ (а также ионов водорода или гидроксида в
зависимости от рН раствора). Остаточный ток в методе ИВ является не только
помехой, но и полезным источником информации о процессах протекающих на
электроде. Воспроизводимость остаточного тока обычно низкая, поэтому
правильность его учета в методе ИВ с линейной разверткой потенциала является
важной проблемой.
Одним из традиционных методов анализа и обработки сигналов является
преобразование Фурье. Оно позволяет рассматривать сигналы в частотном
представлении, но информация о временных особенностях сигнала (локализация тех
или иных частотных составляющих по времени) приобретает неявный вид,
«размазываясь» по всему спектру. С другой стороны, простое временное
представление сигнала не содержит в явном виде информации о его спектре. Но
сигналы, имеющие строгую локализацию во временной или частотной области, не
свойственны природе. Реальный сигнал имеет особенности, проявляющие себя
определенным образом и во временной, и в частотной областях одновременно, и для
их эффективного анализа необходимо комплексное рассмотрение частотных и
временных характеристик. Необходимыми свойствами обладает вейвлет
преобразование. В отличие от преобразования Фурье, где базисными функциями
являются синус и косинус, определенные на всей временной оси и имеющие строгую
локализацию в частотной области, вейвлет преобразование использует в качестве
базиса функции, имеющие определенную локализацию, как по частоте, так и повремени.
Эти базисные функции могут быть различными в пределах, налагаемых на них
ограничений и выбираются в зависимости от свойств полезной составляющей
анализируемого сигнала. Результатом вейвлет преобразования является
поверхность, характеризующая наличие в сигнале составляющих в зависимости от
времени и частоты.
Процесс фильтрации на основе вейвлет преобразования эффективно подавляет
высокочастотные шумы исходного сигнала и практически полностью- кривую
остаточного тока. Однако, для всесторонней оценки возможностей алгоритма
необходимо также оценить искажения, который он вносит в форму полезного
сигнала, и зависимость искажений от параметров полезного сигнала (рисунок 5).
Рисунок
5 - Фильтрация сигнала при помощи последовательных прямого и обратного
вейвлет-преобразования [23]
С целью получения компенсирующей функции в области пика остаточный ток
вне области пика разлагают в ряд Тейлора. Для вычитания остаточного тока также
применяют разностные методы. Обычно из вольтамперограммы определяемого
компонента вычитают вольтамперограмму фона, полученную предварительно или
одновременно. При автоматической обработке и при отсутствии априорной
информации о форме кривой и расположении фоновых участков базовая линия может
быть построена неверно , что повлечет значительную ошибку в результате
расчета[25].
В последнее время, в связи с бурным развитием компьютерной техники,
распространены различные варианты численного вычитания остаточного тока.
Наиболее часто остаточный ток в аналитической практике описывают с
помощью прямой линии.
Рисунок
6 - Различные способы учета базовой линии:1-прямая; 2-сплайн степени 2,5;
3-кубический сплайн
Однако из рисунка 6 видно, что при описании базовой линии прямой наблюдается
отрицательная систематическая погрешность при вогнутой форме остаточного тока
(положительная при выпуклой), особенно значимая при малых аналитических
сигналах и нелинейной форме остаточного тока. Особенно сильно погрешность
проявляется при большом наклоне базовой линии и сильной ее нелинейности.
Более точный (по сравнению с прямой) способ описания базовой линии
основан на использовании кубических сплайнов (рисунок 7). При этом на
экспериментальной кривой расставляют узлы в области вне интересующего нас пика
и интерполируют между этими узлами с помощью кубических сплайнов. При их
использовании замечено, что параметры сплайна сильно зависят от расстановки
узлов интерполяции. Поэтому чтобы избежать излишней чувствительности модели к
положению узлов интерполяции, степень сплайна понижается до 2,5 [26].
Рисунок
7 - Аппроксимация остаточного тока полиномом
Для определения уровня горизонтальной базовой линии существует следующий
алгоритм: ось ординат разбивается на отрезки, точки экспериментальной кривой
проецируются на ось ординат, и строится гистограмма распределения точек кривой
по оси ординат (вертикальная гистограмма). Затем ищется оптимальное объединение
соседних отрезков гистограммы[27]..
Для наклонной базовой линии точки экспериментальной кривой проецируются
на ось ординат не перпендикулярно, а под углом А. К полученной гистограмме
применяется описанный выше алгоритм. Для оптимального объединения отрезков
подсчитывается дисперсия входящих в него точек. Если выбранный угол А совпадает
с реальным наклоном базовой линии, дисперсия будет минимальна. Выбрав в
качестве целевой функции h(А) отношение числа точек в оптимальном объединении
отрезков к дисперсии этого объединения, можно свести задачу построения
наклонной базовой линии к нахождению максимума функции h(А) [28].
Иногда предлагается использовать нелинейную модель остаточного тока,
позволяющая качественно описать основные его свойства (детерминированные его
состовляющие в кислородной и водородной области и случайные помехи). Физические
предпосылки данной модели заключаются в том что остаточный ток является
существенно необратимым процессом (ΔE= ±1В, отн. В.Э., т.е. ΔG= ±100кДж), который приводит к
появлению на поверхности электорда неравномерного распределения потенциала.
Причем эта неравномерность сравнима с энергией физических процессов (адсорбция,
переклестализация, наклеп и т.д.)
Это соотношение характерно тем, что в зависимости от параметра, а
траектория итерации с разной «скоростью» забывает шествующее значение. что
приводит к разным траекториям подобным остаточному току в кислородной,
водородной областях или к появлению шума(случайная составляющая) [26].
1.3.3.1 Моделирование АС в
вольтамперометрии
Моделирование серий аналитических сигналов(АС) актуально при изучении
разрешающей способности аналитического метода, при изучении систематической
погрешности вносимой каким-либо способом математической обработки
аналитического сигнала(учет базовой линии, сглаживание или дифференцирование
АС), при оценке эффективности и правильности процедур численного разрешения
перекрывающихся АС. Корректная оцека систематической погрешности большинства
методов анализа осложняется наличием случайной, которая обусловлена
невоспроизводимостью некоторых экспериментальных фокторов.Основные трудности
состоят в обнаружении систематических погрешностей, поэтому приходится
использовать приблеженные методы. Метод устранения систематических погрешностей
заключаются в их полной или частичной компенсации путем введения поправок. При
этом случайная составляющая погрешности невелируется и появляется возможность
плавного изменения размера АС и его формы. Использование физико-химического
моделирование для этих целей оказывается затруднительным в связи с
невозможностью учесть все экспериментальные факторы и, как следствие,
неточностью описания всего аналитического эксперимента. Появление новых
эмпирических моделей аналитических пиков позволяет достаточно точно описать
практический любой аналитический пик, становится заманчивым использование
такких моделей для моделирования аналитического эксперимента.
Описание аддитивной аналитической серии не представляет существенных
затруднений, так как форма АС при этом остается неизменной для построения всей
серии достаточно подобрать подходящую эмпирическую модель и выразить
зависимость высоты АС от концентрации определяемоого компонента в растворе.
Существенные трудности возникают при моделировании неаддитивной серии. Для
этого, прежде всего,необходимо, чтобы выбранная модель была достаточно
универсальной для точного описания АС во всей серии и всем интересующем
диапазоне концентраций определяемого компонента .
Актуально решение задачи аппроксимации АС. Это достигается применением
методов математического моделирования процессов, лежащих в основе АС, либо
применением эмпирических или полуэмпирических функций [29].
Физико-химическое моделирование позволяет получить аналитическое
выражение для инструментального отклика, функционально зависящее от ряда
физико-химических параметров процесса. Общепринятым приёмом представления
физико-химических моделей в вольтамперометрии является использование
безразмерного параметра (Н), в который входит скорость развёртки потенциала,
толщина электрода, коэффициент диффузии вещества, число передаваемых электронов
и температура [30].
Математическое описание аналитического сигнала имеет большое значение как
в общей, так и в специальной теории аналитической химии [31]. Математические
модели аналитических пиков, основанные на физико-химических процессах, обычно
громоздки и приводят к неоправданному увеличению объёма вычислений [29].
На практике используют математическое описание аналитического сигнала с
помощью эмпирических функций - они значительно проще и удобней. Для успешного
использования в аналитической практике такие модели должны: с одной стороны
быть адекватны описываемым АС, а с другой должны обладать достаточной
вычислительной эффективностью. Наиболее простыми эмпирическими функциями
являются пик Гаусса, производной логисты и пик Коши [32].
Одной из важных задач является поиск и исследование новых путей
математического описания АС, в результате которых получаются более
универсальные, адекватные реальным пикам модели, при достаточной простоте и
ясной геометрической интерпретации [33].
При описании аналитического сигнала эмпирическими функциями получаемые
выражения значительно проще и удобней для использования. Эти эмпирические
функции должны обладать рядом свойств: должны быть просты, достаточно
универсальны для обеспечения возможности варьировать форму сигнала в широких
пределах, а также иметь удовлетворительную точность при описании реального
сигнала, достаточную для решения поставленных задач. При феноменологическом
моделировании АС в виде пика применяют модифицирование базового пика при помощи
переменной поправки. В качестве поправки используют переменный множитель (h)
и = hиб * qб ,
где qи - искомый пик;б - базовый пик;иб - модифицирующая поправка в виде
переменного множителя.
Математическая запись модели переменного множителя имеет вид простой
формулы с пятью независимыми коэффициентами

, (4)
где
2а2 - высота второй (малой) логисты;
σ1 - отрезок, который получается между абсциссой точки перегиба первой
(большой) логисты и точкой пересечения этой касательной с нижней абсциссой;-
абсцисса точки перегиба первой логисты;
σ2 и t2 - то же для второй логисты[29].
Простые
эмпирические модели аналитических сигналов широко используют при реализации
многих стратегий разрешения (подгонка кривых, разрешение с помощью Фурье-преобразования
и др.) [34].
1.3.3.3 Аппроксимация
Также немаловажно и описание аналитического сигнала при рассмотрении
вопросов специальной теории аналитической химии. Аппроксимацию
вольтамперометрического сигнала, имеющего форму симметричного пика, можно проводить
с помощью функций трех «элементарных» пиков: пика Гаусса, Коши и производной
логисты (рисунок 8).
функция Гаусса

(5)
производная логисты
(6)
функция Коши
(7)
Таким функциям достаточно иметь три параметра [27].
Рисунок
8 - Функции для описания симметричных пиков
Модификации этих функций иногда позволяют учесть неидеальность и
некоторые физико-химические эффекты реальных процессов. Применяют различные
подходы модификаций, например четыре общих независимых вида модификаций пиков
(МП) (две симметричные и две несимметричные модификации):
-Внутренняя степенная модификация (МП), заключающаяся
во введении дополнительного параметра в виде степени у аргумента исходной
функции.;
Внешняя степенная модификация (МП2), заключающаяся во
введении дополнительного параметра в виде степени исходной функции;
Преобразование в би-функцию (МП3), которое заключается
во введении различного масштаба абсциссы для каждой ветви пика, представленное
единым выражением;
Можно также вводить для каждой ветви независимые
модификации (например, под МПГ3) понимается случай, когда каждая ветвь пика
би-гаусса независимо модифицирована внутренней степенной модификацией);
Логарифмическая модификация абсциссы (МП4).
Эти модификации действуют по отношению к любому
симметричному нормированному пику, сохраняя при этом его нормировку. Это
означает, что симметричные модификации мы можем сочетать друг с другом, а
несимметричные можно применять только один раз, потому что хотя нормировка пика
сохраняется, пик становится несимметричным и его дальнейшее модифицирование
связано с определенными осложнениями (так как при этом не сохранится нормировка
пика по ширине) [16].
Так же существуют два общих принципа, которые
позволяют конструировать пики с необходимыми свойствами, исходя из более
простых (элементарных) функций.
Первый принцип конструирования заключается в том, что пик
образуется из произведения двух монотонных неотрицательных функций:
возрастающей и убывающей. При этом, в логарифмическом масштабе ординаты,
отточки с одинаковыми наклонами касательных в обоих направлениях (положительном
и отрицательном) каждая из функций убывает быстрей, чем другая возрастает.
Поэтому их сумма в этом масштабе (в нормальном масштабе будет произведение)
будет иметь вид купола, ветви которого уходят к -оо по оси ординат. При
переходе к нормальному масштабу ординат получится пик [16].
Другим общим принципом конструирования функции пика
является получение его из U-образной кривой. Для этого необходимо взять любую
U-образную кривую (U(x)), ветви которой направлены вверх и точка минимума
находится выше нуля, а затем перевернуть эту функцию. Таким образом функция
пика будет f(x) = 1/U(x) [35].
Чаще всего на практике применяют такие функции, как модифицированная
бигауссова функция (МБГП) и модифицированная производная логисты (МПЛ). В этих
функциях вводится дополнительный параметр с, который позволяет улучшить
точность описания реальных пиков.
Точное описание пика имеет значение при решении вопроса повышения
разрешающей способности, механизма электродного процесса и др [27].
Для оценки параметров модели при аппроксимации реального пика необходимо:
определить высоту пика и положение максимума - это будут параметры a и d
соответственно;
измерить полуширину полупика под одной из ветвей. Тогда величина
полуширины и будет значением параметра k;
измерить полуширину пика под этой ветвью на высотах 4/5 и 1/5 от высоты
пика. Параметр с находится из соотношений:
’ = 0,8823 ln k/ 4/5; c” = 1,187 ln 1,5/k,
где и - оптимальные значения с для области вершины и области «хвоста»
соответственно.
При небольшом расхождении можно их усреднить [36].
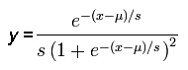
Широко известной функцией, описывающей АС в виде пика, является
производная логисты, которая обычно записывается как

, (8)
где,
а - параметр, характеризующий высоту пика;
к
- ширину.
С
целью получения несимметричного пика функцию изменят следующим образом:

(9)
Введя
к1 и к2 добиваются несимметричности пика, заменяя степень 2 на с можно в
некоторой степени менять эксцесс (характеризует степень островершинности и
величину хвостов, т.е. различие форм пиков при одинаковой полуширине).
Использовать
уравнение в таком виде не удобно, поэтому необходимо нормировать пик по высоте
с тем, чтобы выделить параметр, от которого однозначно зависит высота пика.
Уравнение
пика в размерных координатах - МПЛ:

(10)
где
а - высота пика;- нормировочный множитель;- параметр, характеризующий
несимметричность;
к2
- ширина;
с - эксцесс;- положение
максимума пика.
На рисунке 9 представлены
пики аппроксимированные МПЛ, полученные путем варьирования значения параметра
b, характеризующего несимметричность.
Кривая 1 - b = 1; 2 - b = 2;
3 - b = 10
Рисунок 9 - Пики получаемые
при различном параметре b
Частным случаем является симметричный пик. При этом к1 = к2 или b = 1.
тогда уравнение примет вид:

…………………………………………………(11)
При
с à ∞ пик по форме будет совпадать с пиком Гаусса.
1.3.3.4 Математическое разрешение сигналов
Существуют группы элементов имеющие схожие потенциалы
восстановления или окисления. Регистрируя ВА-грамму металлов с похожими
потенциалами восстановления, на снятой кривой наблюдается наложение или
перекрывание АС таких металлов друг на друга. C увеличением концентрации
определяемых элементов, увеличивается перекрывание пиков.
Для выделения перекрывающихся сигналов применяют
методы математического разрешения сигналов: метод деления сигналов и метод
подгонки кривых [37].
Основная идея метода деления сигналов заключается в пошаговом
математическом удалении сигнала одного индивидуального анализируемого вещества
из сложного сигнала, которое осуществляется с помощью разделяющего сигнала. При
этом становится доступным для анализа сигнал других компонентов, присутствующих
в смеси.
Метод деления сигналов обладает рядом преимуществ, в частности:
алгоритмическая простота реализации, универсальность (может применяться во
многих методах аналитической химии для разрешения сигналов), возможность определения
концентраций веществ многокомпонентной смеси, находящихся в большом недостатке
по сравнению с другими компонентами смеси.
В качестве модельной функции в методе деления сигналов нами
использовалась несимметричная модификация пика Гаусса [38]
Для математического разделения некоторых пар элементов на индивидуальные
профили используют метод подгонки кривых. Это наиболее распространенный метод
математического разрешения аналитических сигналов первого порядка [39].
В литературе описано много функций, используемых для математического
описания пиков. В зависимости от поставленных целей к ним предъявляют разные
требования. Эти функции могут быть как простыми, представляющими собой
идеализированные аналитические пики (например, Гаусса), так и более сложными,
позволяющими изменять в широких пределах форму пика (рисунок 10).
Рисунок 10 - Классификация аппроксимационных моделей аналитических пиков
1.3.3.5 Метод нелинейной оптимизации
Левенберга-Марквардта
Алгоритм Левенберга-Марквардта (Levenberg-Marquardt Algorithm, LMA)
является наиболее распространенным алгоритмом оптимизации. Он превосходит по
производительности метод наискорейшего спуска и другие методы сопряженных
градиентов в различных задачах. Изначально считалось, что LMA - это комбинация
простейшего градиентного метода и метода Гаусса-Ньютона, однако впоследствии
выяснилось, что данный алгоритм можно также рассматривать как метод
доверительных интервалов.как комбинация простейшего градиентного метода и
метода Гаусса-Ньютона
Простейший градиентный метод - это наиболее интуитивно понятный способ
нахождения минимума функции. Вычисление параметра на очередном шаге выполняется
путем вычитания градиента функции, умноженного на заданный положительный
коэффициент:
. (12)
Однако при таком подходе имеют место различные проблемы сходимости.
Логично предположить, что желательно было бы осуществлять большие шаги по
направлению градиента там, где градиент мал (т.е. наклон пологий), и, наоборот,
маленькие шаги там, где градиент большой, чтобы не пропустить минимум. Вместе с
тем, в формуле (12) выполняются прямо противоположные действия. Другая проблема
заключается в том, что кривизна поверхности невязки может быть не одинаковой по
всем направлениям. К примеру, если есть длинная и узкая впадина на поверхности
невязки, компонент градиента в направлении, указывающем вдоль основания
впадины, очень мал, а компонент градиента вдоль стенок впадины, наоборот,
велик. Это приводит к движению по направлению к стенкам впадины, тогда как
необходимо перемещаться на большие расстояния вдоль основания впадины и на
малые - вдоль ее стенок.
Ситуацию можно улучшить, если учитывать информацию о кривизне и
градиенте, то есть вторые производные. Один из способов сделать это -
использовать метод Ньютона для решения уравнения f(x)=0. Раскладывая градиент f
в ряд Тейлора вокруг текущего состояния , получим:
. (13)
Пренебрегая членами более высокого порядка (считая f квадратичной вокруг
x0 ) и решая задачу минимума, приравняв левую часть уравнения (13) к нулю,
получим правило вычисления параметра на очередном шаге по методу Ньютона:
(14)
Главное достоинство такого подхода - быстрая сходимость. Однако скорость
сходимости зависит от начального положения (если быть более точным, от
линейности вокруг начального положения).
Легко заметить, что простейший градиентный метод и метод Гаусса-Ньютона
дополняют друг друга с точки зрения предоставляемых преимуществ. Основываясь на
этом наблюдении, Левенберг предложил алгоритм, в котором правило вычисления
параметра есть комбинация правил (12) и (14):
, (15)
где H- матрица Гессе, вычисленная в точке xi.
Данное правило используется следующим образом: если на очередной итерации
невязка сокращается, это значит, что предположение о квадратичности f(x)
работает, и мы уменьшаем λ (обычно в 10 раз), чтобы понизить влияние градиентного
спуска. С другой стороны, если невязка увеличивается, необходимо следовать
направлению градиента, и мы увеличиваем λ (во столько же раз).
Таким образом, алгоритм Левенберга представляется в виде следующей
последовательности действий:
Вычислить параметр на очередной итерации по правилу (15).
Оценить невязку в новом векторе параметров.
Если в результате вычисления параметра невязка увеличилась, вернуть-ся на
шаг назад (т.е. восстановить прежние значения весов) и увеличить в 10 раз.
Затем повторить выполнение, начиная с шага 1. λ
4 Если в результате вычисления параметра невязка уменьшилась, принять
текущий шаг (т.е. оставить новые значения весов) и уменьшить λ
в 10 раз.
Стоит отметить, что хотя LMA является не оптимальным, а лишь
эвристическим методом, он очень хорошо работает на практике. Единственный его
недостаток заключается в необходимости обращения матрицы на каждом шаге. Даже
не смотря на то, что нахождение обратной матрицы обычно выполняется с
использованием быстрых методов псевдообращения (таких как разложение по
сингулярным числам матрицы), время одной итерации становится неприемлемым для
нескольких тысяч параметров. Для моделей же средних размеров (с несколькими
сотнями параметров) LMA работает даже быстрее, чем простейший градиентный
метод[41, 42].
1.4 Обзор методик пробоподготовки вод
(минеральная, природная, водопроводная, сточная, морская)
Современный уровень развития технологии, биологии, медицины, охраны
окружающей среды и других областей науки и техники выдвигает задачу определения
малых количеств веществ во все более сложных объектах; поэтому требования,
предъявляемые к методам анализа следовых количеств веществ, постоянно
повышаются. Наряду с другими методами при анализе следовых количеств широко
применяются электрохимические инверсионные методы, поскольку для очень многих
элементов при относительно простом аппаратурном оформлении они приводят к
хорошо воспроизводимым и правильным результатам.
В последние годы число публикаций, посвященных инверсионным методам,
неуклонно растет; это связано с появлением новых приборов, а также с переходом
к использованию ртутных пленочных и твердых электродов.
Сложность современных задач эколого-аналитического мониторинга
токсикантов и охраны здоровья населения заставляют исследователей привлекать
для их решения все современные высокочувствительные методы анализа. Контроль
состояния объектов окружающей среды, в том числе анализ различных вод на
содержание неорганических и органических веществ, проводится различными
физико-химическими методами, среди которых электрохимические методы занимают
одно из ведущих мест из-за простоты, дешевизны, автоматизации операций (таблица
2) [43].
Сравнительно низкой стоимостью оборудования наряду с высокой
чувствительностью, а также возможность одновременного определения различных
форм нескольких элементов обладает метод инверсионной вольтамперометрии. Его
часто примененяют для надежного определения содержание микроэлементов в
продуктах питания, которые обычно не превышает 0,00001 %. Благодаря этим
достоинствам метод оказался конкурентноспособным с атомно-абсорбционной
спектроскопией и востребованным в России для решения проблемы, связанной с
массовым контролем токсичных примесей в пищевых продуктах [44].
Таблица
2 - Применение вольтамперометрических методов при анализе природных,
поверхностных, минеральных, питьевых, морских, технологических и сточных вод на
содержание элементов [43]
|
Определяемый компонент
|
Метод
|
Индикаторный электрод
|
Фоновый электролит
|
Диапазон определения
(предел обнаружения)
|
|
Кадмий
|
Инверсионная;
дифференциальная
|
Стеклоуглеродный с
полимерным покрытием
|
Натрия нитрат; аммония
|
2Д..1000 мкг/л (2 мкг/л)
|
|
Мышьяк
|
Инверсионная,
дифференциально-импульсная; анодная вольтамперометрия
|
Золотой; золото-графитовый;
ртутно-капельный; углеродистый
|
Натрия сульфит, соляная
кислота; трилон Б
|
4,5...180 мкг/л (0,5 мкг/л)
|
|
Ртуть
|
Инверсионная анодная,
циклическая; квадратно-волновая вольтамперометрия
|
Углеродный,
модифицированный золотом; золотой, модифицированный;угольный микроэлектрод
|
Азотная кислота; соляная
кислота; калия нитрат
|
110-3...5 мкМ (10-10М)
|
|
Свинец
|
Катодная, анодная,
инверсионная, дифференциальная; дифференциально-импульсная;
квадратно-волновая вольтамперометрия
|
Стеклоуглеродный с
полимерным покрытием модифицированный пленкой ртути; ртутно-пленочный;
ртутная висячая капля; платиновый
|
Ацетатный буферный
раствор;натрия нитрат;муравьиная кислота;
|
4...200 мкг/л (0,07 мкг/г)
|
|
Медь
|
Катодная, анодная
инверсионная: инверсионная, дифференциальная, дифференциально-импульсная,
квадратно-волновая вольтамперометрия
|
Ртутно-пленочный; ртутная
висячая капля; платиновый
|
6...300 мкг/л (0,07 мкг/г)
|
|
Цинк
|
Катодная; анодная;
дифференциальная; дифференциально-импульсная; инверсионная вольтамперометрия
|
Ртутно-пленочный;;
стеклоуглеродный, допированный бором;стеклоуглеродный; висмутовый пленочный,
покрытый полимером
|
Аммония хлорид;
диметилглиоксим в смеси этанол -вода; калия хлорид и нитрат
|
5...100 мкг/л (2 мкг/л)
|
Перед аналитиками-исследователями ставятся задачи разработки новых
высокочувствительных методик, позволяющих определять с высокой точностью и
селективностью как вредные примеси, так и жизненно ценные вещества в интервалах
определяемых содержаний 10-10 ч10-8 моль/дм3 с небольшими временными и
материальными затратами. Поставленные задачи решаются на основании закона РФ №
29-ФЗ "О качестве и безопасности пищевых продуктов" от 2 января 2000
г. и раздела "Разработка быстрых и надежных методов контроля"
правительственной общероссийской программы "Концепция здорового питания
населения России до 2005 года", утвержденной постановлением Правительства
№ 247.
Среди многочисленных методов анализа для определения
As и Se широко распространено применение метода инверсионной вольтамперометрии
(ИВ), который имеет статус арбитражного. Для определения массовой концентрации
селена и мышьяка в различных типах вод и напитках приняты ГОСТ Р 52315 -2005 и
ГОСТ Р 52180 -2003. Для определения мышьяка в пищевых продуктах и
продовольственном сырье - ГОСТ Р 51962-2002 [33].
Широко испльзуется инверсионная вольтамперометрия для определения
содержания в водах иода, где в качестве индикаторных применяются
ртутно-пленочные электроды (РПЭ). Для дезактивации мешающего влияния
органических веществ и растворенного кислорода пробу подвергают
ультрафиолетовому облучению на фоне муравьиной кислоты. При этом происходит одновременное
восстановление иодат-ионов и органических форм иода до иодид-ионов. Данная
методика имеет много общих черт с методикой определения концентрации цинка,
кадмия, свинца и меди в воде методом анодной инверсионной вольтамперометрии на
РПЭ с фотохимической подготовкой проб. Это позволило совместить определение
тяжелых металлов и йода в водах. Для этого проводят накопление цинка, кадмия,
свинца, меди и регистрировали анодную вольтамперограмму, после чего делали
остановку потенциала для накопления иодид-ионов и регистрировали катодную
вольтамперограмму.
Содержание ионов Mn(II), Zn(II), Cd(II), Pb(II), Cu(II), проявляющие
физиологическую активность, в питьевых водах нормируется и подлежит
обязательному контролю. Однако применение метода инверсионной вольтамперометрии
в некоторых случаях ограничивается использованием ртутных электродов сложной
конструкции, необходимостью удаления кислорода из исследуемых растворов, малыми
скоростями развертки напряжения при регистрации аналитических сигналов ,
использованием фоновых электролитов, пригодных только для определенного ионного
состава пробы, и др. Использование твердых электродов из углеродных материалов
и благородных металлов, в том числе с модифицированной подложкой, затруднено
из-за взаимного влияния концентрируемых на электроде элементов. Кроме того, для
широко используемого в ИВ ртутно-графитового электрода (РГЭ) необходимо
принимать во внимание малую растворимость некоторых компонентов, например меди
и марганца, в тонких пленках ртути и сложность регенерации поверхности твердых
электродов в процессе измерений. Недостаточно воспроизводимые условия
формирования пленочных покрытий на неоднородной поверхности подложки на стадии
электроконцентрирования, взаимные влияния компонентов и изменение аналитических
характеристик в процессе измерений и регенерации электрода могут существенно
затруднить проведение и снизить эффективность вольтамперометрического анализа
даже в тех случаях, когда сравнительно велика разность потенциалов измеряемых
АС [45].
Метод ИВ становится одним из основных методов анализа, используемых в
испытательных лабораториях, и успешно применяется для определения следовых
количеств различных металлов в объектах окружающей среды (воздух, вода, почва,
растительность), пищевых продуктах, биологических тканях и жидкостях,
лекарственных препаратах и других жизненно важных объектах.
1.5 Выводы по аналитическому обзору и
постановка задач исследования
Анализ литературных данных показывает, что одной из актуальных проблем
аналитической химии является правильная интерпретация аналитического сигнала,
т.к. она будет влиять на точность всего анализа в целом. Вольтамперометрия один
из методов анализа, который динамично развивается в настоящее время. При
сравнительной простоте оборудования он сочетает в себе высокую абсолютную
чувствительность, многоэлементное определение в одной пробе и экспрессность.
Современная вольтамперометрическая система подразумевает набор аппаратных
и программных средств, обеспечивающих полную автоматизацию процесса анализа.
Для решения вопросов интерпретации АС необходимо точное описание
параметров пика (высота и ширина, площадь под пиком, положение максимума и
д.р.) с помощью математических моделей.
Используют математическое моделирование физико-химических процессов,
лежащих в его основе, либо применяя эмпирические или полуэмпирические функции,
подходящие для достаточно точного описания . На практике математическое
описание АС с помощью эмпирических функций намного проще и удобнее. Для
успешного использования на практике такие модели должны быть, с одной стороны,
достаточно адекватны описываемым аналитическим сигналом, а, с другой стороны,
не должны обладать излишней сложностью. При этом они должны быть просты,
универсальны и удовлетворительно точны при описании реального сигнала.
Актуальным остается вопрос полной автоматизации процесса обработки
данных, который позволил бы освободить оператора от необходимости визуальной
проверки и корректировки границ диапазонов определяемых пиков.
Целью работы является исследование необходимой модели для распознавания
ВА информации на анализаторе ВА-5 в реальном объекте с целью автоматизации
процесса ВА определения .
2.
Экспериментальная часть
.1 Средства измерения, вспомогательное
оборудование, посуда, реактивы, материалы
В работе использовались следующие средства измерений, вспомогательные
устройства и реактивы:
-Вольтамперометрический анализатор ВА-5 ТУ
421522-001-02067847-98 [46].
Хлоридсеребрянный электрод ЭВЛ-4М ТУ
(1Е2.840.517.)-78.
Колбы мерные 50, 100 см3.
Стакан типа В вместимостью 250 ил из стекла группы ТС
ГОСТ 25336-82.
Пипетки градуированные вместимостью 2,0; 5,0; 10,0 см3
исполнения 2-го класса точности, по ГОСТ 2029274.
-Плитка электрическая с закрытой спиралью по ГОСТ 14919.
Палочки из стекла по ГОСТ 21400.
Щипцы тигельные ЩТ по ТУ 64-1.973.
-Кислота азотная, ГОСТ 11225.
Государственные стандартные образцы состава растворов
ионов кадмия (ГСО 5222), свинца (ГСО 6077). С аттестованными значениями
массовой концентрации ионов 1,0 мг/см3 и относительной погрешностью + 1% при Р
= 0,95.
Ртуть азотнокислая, х.ч. ГОСТ 4520-78.
-Спирт этиловый ректификованный, технический, ГОСТ 18300.
-Вода бидистиллированная по ГОСТ 11125-84.
2.2 Подготовка к выполнению измерений
.2.1 Подготовка посуды к выполнению измерений
Новую и загрязненную стеклянную посуду для анализа промывают в растворе
"хромовой смеси", затем многократно споласкивают водопроводной водой,
тщательно промывают дистиллированной водой и трижды ополаскивают
бидистиллированной водой. Непосредственно перед использованием посуду промывают
1М раствором азотной кислоты и тщательно споласкивают бидистиллированной водой.
2.2.2 Приготовление
стандартного раствора кадмия
На аналитических весах взвешивают 1г кадмия с
погрешностью 0,00025г. В химический стакан вносят 50 см3 разбавленной (1:1)
азотной кислоты и растворяют в ней при нагревании навеску кадмия. Раствор
охлаждают, переносят в мерную колбу вместимостью 1000 см3, доводят
бидистиллированной водой до метки, тщательно перемешивают. Полученный раствор
имеет концентрацию 1,0000 г/дм3.
2.2.3 Приготовление
стандартного раствора свинца
На аналитических весах взвешивают 1 г свинца с
погрешностью 0,00025 г. В химический стакан вносят 50 см3 разбавленной (1:1)
азотной кислоты и растворяют в ней при нагревании навеску кадмия. Раствор
охлаждают, переносят в мерную колбу вместимостью 1000 см3, доводят
бидистиллированной водой до метки, тщательно перемешивают. Полученный раствор
имеет концентрацию 1,0000 г/дм3.
2.2.4 Приготовление фонового
раствора (концентрированного)
На аналитических весах взвешивают 0,04283г ртути
окисной азотнокислой с погрешностью 0,00005г, количественно переносят в мерную
колбу на 250 см3 и растворяют в небольшом количестве бидистиллированной воды
(около 10 см3). В эту же колбу вносят 61,5046г калия хлорида, взвешенного с
погрешностью 0,00015 г и 200 см3 бидистиллированной воды; добавляют 0.8 см3
концентрированной соляной кислоты (плотность 1,183 см3) и доводят до метки
бидистиллированной водой. Раствор тщательно перемешивают. Полученный фоновый
раствор содержит 3,3 моль/дм3 калия хлорида, 5*10-4 моль/дм3 ртути окисной
азотнокислой; 5*10-2 моль/дм3 соляной кислоты.
2.2.5 Описание
установки
Анализатор предназначен для работы в составе вольтамперометрического
комплекса, включающего в себя собственно анализатор вольтамперометрический
ВА-5, электрохимический модуль (например, типа ВЭД-3) и управляющую ПЭВМ
(например, типа IBM Pentium). Принцип действия анализатора основан на
регистрации вольтамперограмм, представляющих собой зависимость тока,
проходящего через рабочий электрод электролитической ячейки, от потенциала
этого электрода относительно раствора (электрода сравнения). Последующая
расшифровка и обработка вольтамперограмм осуществляется в управляющей ЭВМ [47].
Устанавливают прибор в соответствии с руководством по эксплуатации.
Параметры работы прибора устанавливают в соответствии с Руководством по
эксплуатации и согласно таблице 3.
Заполняют хлорсеребряный электрод сравнения насыщенным раствором
хлористого калия за 48 часов до начала работы. Устанавливают электрохимическую
ячейку в соответствии с руководством по эксплуатации анализатора.
Таблица
3 - Параметры регистрации вольтамперограмм
|
Вольтамперометрия
|
Постоянно-токовая (ПТ)
|
|
1. Накопление. Время, с:
|
110
|
|
Потенциал, В
|
- 1,4
|
|
2. Успокоение раствора.
Время, с:
|
20
|
|
3. Развертка. Скорость, мВ/с:
|
50
|
|
Е рег.н., В:
|
-1,300
|
|
Е рег.к., В:
|
0,000
|
|
Е кон., В:
|
0,400
|
|
Амплитуда, мВ:
|
20
|
|
4. Очистка электрода.
Способ очистки:
|
конечный
|
|
Время очистки, с:
|
40
|
|
Циклы очистки:
|
1
|
2.3 Построение градуировочных зависимостей
При построении градуировочных графиков используют
стандартные растворы смеси металлов с известными концентрациями:=
0,2·10-4мкг/дм3= 1·10-4мкг/дм3
Вольтамперометрический анализатор ВА-5 включают и
настраивают согласно инструкции по эксплуатации.
Пипеткой вместимостью 2см3 отбирают 2 см3 фонового
раствора, разбавляют в 10 раз дистиллированной водой, и помещают в
электрохимическую ячейку. Устанавливают постоянно-токовый режим и снимают
вольтамперограммы. Далее вносят добавки стандартных растворов: 0,2 см3; 0,2
см3; 0,4 см3; 0,8 см3; 1,6 см3. Для каждой из них снимают 6 вольтамперограмм.
Пробу подготовленного к испытанию образца воды объемом 20 см3 пипеткой
вместимостью 20 см3 помещали в стеклографитовую кювету, добавляли 2 см3
концентрированной азотной кислоты пипеткой вместимостью 5 см3 и проводили
полное упаривание. Если остаток темный, кислотную обработку повторяют до его
осветления. После охлаждения кюветы выпаренную пробу растворяли при температуре
(80±1)єС в 20 см3 разбавленного фонового электролита. Если зола плохо
растворяется, чашку подогревают на водяной бане. Регистрировалось 6 параллелей,
первая отбрасывалась.
После выполнения регистрации вольтамперограммы анализируемого раствора
пробы в стакан с анализируемым раствором вносили пипеткой добавку стандартного
раствора ионов тяжелых металлов. Объем добавки(0,5 см3 ), который не должен
превышать 2,0 см3, подбирали таким образом, чтобы после её внесения высота пика
на вольтамперограмме увеличивалась в 1,5 - 2,0 раза. Регистрацию
вольтамперограмм повторяли до тех пор, пока относительная разность высот пиков
в двух последних вольтамперограммах не превышала 5 - 8 %.
2.4 Выполнение измерений
Устанавливают потенциал очистки электрода 0,4В, включают ячейку,
выполняют электрохимическую очистку электрода в течение времени, равном времени
накопления и выключают ячейку. Цикл операций повторяют не менее трех
раз.Электрохимическая очистка электрода обязательна после записи каждой
вольтамперограммы. Результаты измерений записываются в программном интерфейсе
системы сбора и обработки данных (самописец).
2.4.1 Регистрация
вольтамперограмм раствора пробы
В стеклоуглеродный тигель помещают 20 см3 раствора пробы, подготовленной
к измерениям. Закрепляют тигель. Выполняют регистацию вольтамперограмм.
2.4.2 Регистрация
вольтамперограмм пробы с добавками
Добавку растворов АС определяемых ионов дозатором пипеточным вносят в
тигель с пробой после регистрации вольтамперограмм и очистки электрода. Объем и
концентрация добавляемых в ячейку растворов АС устанавливаются экспериментально
для пробы таким образом, чтобы высота аналитического пика измеряемого иона при
регистрации вольтамперограмм пробы с добавкой увеличилась в 1,5-3 раза при
значениях параметров, установленных при регистрации вольтамперограмм пробы.
Суммарный объем всех растворов АС, добавленных в ячейку, не должен
превышать 10% от объема пробы. Регистрацию вольтамперограмм в серии измерений:
проба и проба с добавками соответствующего иона выполняют при одинаковых
параметрах измерений для каждого иона.
Выполняют измерения массовой концентрации ионов свинца, кадмия и цинка.
Для этого в пробу вводят добавки растворов соответствующих ионов и выполняют
регистрацию вольтамперограмм.
2.4.3 Очистка
электродов
После проведения серии анализов или в конце работы ячейку и электроды
тщательно промывают бидистиллированной водой, рабочие электроды механически
очищают сухой фильтровальной бумагой, затем бумагой, смоченной этанолом,
вспомогательный (хлорсеребряный) электрод промывают бидистиллированной водой и
помещают в насыщенный раствор хлористого калия.
3. Результаты и их обсуждение
При испытании пищевых продуктов на содержание токсичных элементов находит
широкое применение метод инверсионной вольтамперометрии (рисунок11). Этот метод
по своей чувствительности для ряда элементов сравним с методом
атомно-абсорбционной спектроскопии.
Рисунок 11 - Применение вольтамперометрии при испытании пищевой продукции
Аналитические испытательные лаборатории, работающие в области анализа
пищевых продуктов, оснащены в основном анализаторами российского производства.
Характеристики и программное обеспечение сходны (таблица 4). Общие и проблемы
для этого оборудования: необходимо решение вопросов об автоматизации процесса
анализа и обработки его результатов. При этом наиболее остро стоят вопросы
автоматической разметки вольтамперограмм при определении границ пиков тока
(далее пики) и правильности аппроксимации базовой линии и определение
аналитического сигнала.
Таблица 4 - Вольтамперометрические анализаторы. Технические
характеристики
|
Вольтамперометрические
анализаторы
|
Производитель
|
Технические характеристики
прибора
|
|
Анализатор TA-Lab
|
ООО НПП Томьаналит
|
-Диапазон измерений
массовой концентрации ионов цинка, кадмия, свинца и меди, от 0,00010 до 1,0
мг/дм3; -Пределы допускаемой относительной погрешности измерений массовой
концентрации ионов цинка, кадмия, свинца и меди от 0,00010 до 0,0050 мг/дм3;
-Продолжительность одновременного анализа трех подготовленных проб 5-30 мин.
|
|
«Экотест-ВА»
|
МоскваООО
"Эконикс-Эксперт"
|
-Диапазон измерения
массовой концентрации 0,5 - 500 мкг/ дм3 ; -Пределы обнаружения некоторых
компонентов без концентрирования проб кадмий, свинец 0,05 мкг/дм3; - Пределы
допускаемой относительной погрешности измерения массовой концентрации ионов
Cd в диапазонах от 0,5до 10 мкг/дм3, Pb от 10до 500 мкг/дм3 -Время анализа
15-45 мин.
|
|
ИВА-
|
|
-Диапазон определяемых
концентраций 0.1-10000 мкг/л ; -Относительная погрешность анализатора 10% -
Время анализа 15-45 мин.
|
|
АКВ-07МК
|
|
-Предел обнаружения (по
Cd+2) 5·10−6мг/дм3 -Предел допускаемых значений СКО 4 %.
|
|
ПолярографАВС1.1
|
"Научно-техническая
фирма"Вольта" Санкт-Петербург
|
-Предел обнаружения
металлов без концентрирования пробы кадмий, свинец, ртуть 0.1 мкг/дм3 Пределы
СКО случайной составляющей погрешности в диапазоне от 1 до 10 мкг/дм3 ±20 %
|
Зарегистрированная вольтамперограмма может содержать шумы и случайные
погрешности регистрации, мешающие определению аналитического сигнала. Поэтому
одним из первых этапов предварительной обработки вольтамперограммы традиционно
является сглаживание, но оно само может изменить высоту аналитического сигнала
(рисунок 12). На параметры аналитического сигнала и следовательно и его
метрологические характеристики оказывает влияние и способ вычитания базовой
линии (рисунки 13,14).
Рисунок 12 - Вольтамперограмма до и после удаления шумов с использование
метода сглаживания
Рисунок 13 - Вычитание остаточного тока прямой
Рисунок 14 - Вычитание остаточного тока полиномом третьей степени
Перспективным способом обработки вольтамперометрических данных является
аппроксимация вольтамперных кривых и базовой линии аналитическими функциями.
Изученные литературные данные позволили нам выделить классификацию методов
обработки ВА информации (рисунок 15).
Рисунок 15 - Классификация методов обработки ВА информации
Ранее в курсовых и дипломных работах, выполненных на
кафедре, было установлено, что наиболее оптимальной функцией распределения для
аппроксимации аналитических пиков является логнормальная функция.
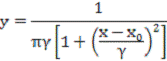
Уравнение пика для логнормальной функции имеет вид:
, (16)
где (x-a0) - характеристика положения центра пика;
а1 - параметр формы пика;
а2 - СКО;
а3 - амплитуда.
Целью данной работы является исследование необходимой модели для
распознавания вольтамперометрической информации на анализаторе ВА-5 в реальном
объекте с целью автоматизации процесса ВА определения .
В качестве объекта исследования была взята проба
минеральной воды. При анализе этого объекта влияние солевой матрицы минимально.
Содержание органических веществ невелико, однако требуется их удаление.
Пробоподготовку проводили методом кислотной минерализации по ГОСТ 52180-2003
«Вода питьевая. Определение содержания элементов методом ИВ». Работа выполнена
на вольтамперометрическом анализаторе ВА-5. При исследованиях регистрировали
дифференциальные вольтамперограммы в постоянно-токовом режиме.
Используемые в настоящее время анализатор ВА-5 и программное обеспечение
«Аналит» позволяют проводить определения кадмия и свинца на уровне в 100 раз
меньше ПДК этих элементов в пищевых продуктах.
Для начала исследования были зарегистрированы
градуировочные кривые по Cd и Pd для индивидуальных компонентов, а также при
совместном присутствии в диапазоне концентраций, соответствующих содержанию
металлов в пищевых продуктах. Пипеткой вместимостью 2см3 отбирают 2 см3
фонового раствора, разбавляют в 10 раз дистиллированной водой, и помещают в
электрохимическую ячейку. Устанавливают постоянно-токовый режим и снимают
вольтамперограммы фона (5 вольтамперограмм). Далее вносят добавки стандартных
растворов: 0,2 см3; 0,2 см3; 0,4 см3; 0,8 см3; 1,6 см3 и каждый раз повторяют
определение.
Общий вид полученных вольтамперных кривых для
совместного и индивидуального присутствия представлен на рисунках 16-18.
Результаты приведены в таблицах 5-6.
Рисунок 16 -Вольтамперограмма смеси металлов Cd и Pb
Рисунок 17 -Вольтамперограмма металла Cd при
индивидуальном присутствии
Рисунок 18 - Вольтамперограмма металла Pb при
индивидуальном присутствии
Таблица 5 - Результаты градуировки для Cd и Pb при
совместном присутствии
|
№ точки калибровки
|
СCd ,
|
АСCd, отн. ед.
|
СPb ,
|
АСPb, отн. ед.
|
|
мкг/дм3
|
|
мкг/дм3
|
|
|
1
|
0,2
|
36929
|
1,0
|
66024
|
|
2
|
0,4
|
65852
|
2,0
|
141944
|
|
3
|
0,8
|
140447
|
3,8
|
281412
|
|
4
|
1,5
|
286784
|
7,4
|
557140
|
|
5
|
2,8
|
573141
|
13,8
|
1145390
|
Таблица 6 - Результаты градуировки для Cd и Pb при
индивидуальном присутствии
|
№ точки калибровки
|
СCd ,
|
АСCd, отн. ед.
|
СPb ,
|
АСPb, отн. ед.
|
|
мкг/дм3
|
|
мкг/дм3
|
|
|
1
|
0,2
|
36185
|
1,0
|
66203
|
|
2
|
0,4
|
60181
|
2,0
|
134368
|
|
3
|
0,8
|
132156
|
3,8
|
286305
|
|
4
|
1,5
|
261576
|
7,4
|
532810
|
|
5
|
2,8
|
552104
|
13,8
|
1100350
|
Полученные результаты были обработаны методом наименьших квадратов (МНК).
Уравнения регрессии приведены в таблицах 7,8. Уравнение регрессии с доверительными
интервалами для калибровки Cd и Pb для индивидуального и совместного
присутствия представлены в таблице 9.
Таблица 7 - Уравнения регрессии и R2 для Cd и Pb при
индивидуальном присутствии
|
Элемент
|
АС=k*CMe+b, отн. ед.
|
R2
|
|
Cd
|
200176*ССd-19760
|
0,9975
|
|
Pb
|
80474*CPb-26647
|
0,9955
|
Таблица 8 - Уравнения регрессии и R2 для Cd и Pb при
совместном присутствии
|
Элемент
|
АС=k*CMe+b, отн. ед.
|
R2
|
|
Cd
|
208362*ССd- 16902
|
0,9981
|
|
Pb
|
84141*CPb - 32809
|
0,9955
|
Градуировочные зависимости для определения Cd и Pb представлены на
рисунках 19, 20.
Рисунок 19 - Градуировочные зависимости для Cd и Pb
при совместном присутствии
Рисунок 20 - Градуировочные зависимости для Cd и Pb
при индивидуальном присутствии
Таблица 9 - Уравнение регрессии с доверительными
интервалами для калибровки Cd и Pb для индивидуального и совместного
присутствия
|
Элемент
|
Уравнение регрессии при
индивидуальном определении элементов, 104
|
R2
|
Уравнение регрессии при
совместном определении элементов, 104
|
R2
|
|
Cd
|
У=(20,0±2,1)*СCd+(2,0±0,3)
|
0,9962
|
У=(20,8±0,1)*СCd+(1,6±0,2)
|
0,9981
|
|
Pb
|
У=(8,0±0,6)*СPb-(2,7±0,4)
|
0,9994
|
У=(8,4±о,6)*СPb-(3,3±0,4)
|
0,9978
|
Как видно, наклон градуировочных графиков изменяется
незначительно при индивидуальном и многокомпонентном определении Cd и Pb, что
соответствует минимальному влиянию компонентов при их концентрировании в режиме
in situ на стеклоуглеродном электроде.
Далее было проведено 6 серий определений на модельных растворах методом
«введено-найдено» (таблица 10), получены удовлетворительные результаты на
уровне низких концентраций. Однако в реальных объектах при этих же
концентрациях часто наблюдается искажение аналитического сигнала, возрастание
шумов. Это значительным образом затрудняет выделения АС и его обработку.
Таблица 10 - Проверка правильности определения Cd и Pb методом
«введено-найдено»
|
Элемент
|
Введено, мкг/дм3
|
Найдено, мкг/дм3
|
|
Cd
|
0,20
|
0,16 ± 0,04
|
|
Pb
|
1,00
|
0,92 ±0,08
|
Одним из путей решения вопроса является увеличение время накопления, однако
это приводит к потере экспрессности анализа. Принимая во внимание требования
ГОСТ Р 51301-99 «Продукты пищевые и продовольственное сырье.
Инверсионно-вольтамперометрические методы
определения содержания токсичных элементов (кадмия, свинца, меди и цинка)» (
таблица 11) [4], ГОСТ 52180-2003 «Вода питьевая. Определение содержания
элементов методом инверсионной вольтамперометрии» (таблица 12) по нижним
границам определяемых концентраций, перспективным является разработка подходов
к автоматизации распознавания и обсчета пиков[48].
Таблица 11- Диапазоны определяемых концентраций элементов и значение
характеристики относительной погрешности при доверительной вероятности P=0,95
|
Элемент
|
Диапазон определения
концентраций, мкг/дм3
|
Значение относительной
погрешности ±δ, %*
|
|
Сd
|
0,001-0,02 0.002-1,0
0,002-5,0
|
З2 42 47
|
|
Pb
|
0004-2,0 0,004-1,0
0,002-5,0
|
35 49 47
|
* ±δ - характеристики относительной погрешности, т.е. границы
интервала , в котором относительная погрешность находится с заданной
вероятностью.
Таблица 12 - Диапазоны определяемых концентраций элементов и значение
характеристики относительной погрешности при доверительной вероятности P=0,95
|
ЭлементДиапазон определения
концентраций, мкг/дм3Значение относительной погрешности ±δ, %*
|
|
|
|
Сd
|
0,0001-0,0005 включ.
|
40
|
|
Pb
|
0001-0,001 включ.
|
40
|
* ±δ - характеристики относительной погрешности, т.е. границы
интервала , в котором относительная погрешность находится с заданной
вероятностью.
Для этого проводили аппроксимацию пиков определяемых элементов с помощью
логнормальной функции в среде функционального программирования LabVIEW с
использованием метода нелинейной оптимизации Левенберга-Марквардта. При
автоматическом достижении наилучшей корреляции регистрировались параметры,
соответствующие высоте и потенциалу максимума модельного пика, т.е. параметры,
характеризующие исследуемое вещество в качественном и количественном
отношениях.
Была зарегистрирована градуировочная зависимость Cd в
диапазоне малых концентраций 0,01-0,14 мкг/дм3, которая представлена на рисунке
21.
Рисунок 21 - Калибровка Cd в диапазон концентраций
0,01-0,14 мкг/дм3
На рисунке 22 представлена модельная калибровка Cd
построенная в программной среде LabVIEW методом нелинейной оптимизации
Левенберга-Марквардта с предварительным вычетом базовой линии.
Рисунок 22 - Модельная калибровка Cd
Программа «Аналит» позволяет обрабатывать
аналитические сигналы соответствующие уровню концентраций от 0,1 мкг/дм3 и
выше. Поэтому начальные точки калибровки можно обработать только методом МНО.
На рисунке 23 представлен градуировочный график
калибровки Cd с концентрацией 0,01 - 0,14 мкг/дм3, в таблице 13 - полученное
уравнение регрессии.
Рисунок 23 - Градуировочный график калибровки Cd
Таблица 13 - Уравнение регрессии и R2
|
АС=k*CMe+b, отн. ед.
|
R2
|
|
150523*ССd - 701
|
0,9589
|
В таблице 14 приведена оценка показателей СКО для
калибровки Cd 0,01-0,14 мкг/дм3 обработанной двумя способами.
Таблица 14 - Показатели относительного СКО для калибровки Cd в диапазоне
концентраций 0,01-0,14 мкг/дм3
|
№ добавки
|
Сяч мкг/дм3
|
МНО
|
Аналит
|
|
|
АС, отн. ед
|
Sr, %
|
АС, отн. ед
|
Sr, %
|
|
1
|
0,0099
|
1655
|
5,20
|
-
|
-
|
|
2
|
0,0196
|
3203
|
2,99
|
-
|
-
|
|
3
|
0,0385
|
4493
|
4,88
|
-
|
-
|
|
4
|
0,0741
|
7877
|
5,50
|
-
|
-
|
|
5
|
0,1379
|
21409
|
5,86
|
22191
|
12,94
|
Исходя из показателей относительного СКО можно сделать
вывод, что МНО Левенберга-Марквардта позволяет обрабатывать аналитические
сигналы с концентрацией элемента меньшей 0,1 мкг/дм3, что является
преимуществом по отношению с программой «Аналит».
Для проверки метода на реальном объекте была взята проба минеральной воды
приобретенной в розничной сети. При анализе объекта влияние солевой матрицы
минимально. Содержание органических веществ невелико, однако требуется их
удаление. Пробоподготовку проводили методом кислотной минерализации в
соответствии с ГОСТ 52180-2003 «Вода питьевая. Определение содержания элементов
методом ИВ».
Используемые в настоящее время анализатор ВА-5 и программное обеспечение
«Аналит» позволяют проводить определения кадмия и свинца на уровне в 100 раз
меньше ПДК этих элементов в пищевых продуктах.
Отбирали пробу объемом 20 см3, помещали в стеклографитовую чашку ,
добавляли азотную кислоту и проводили полное упаривание. После охлаждения
выпаренную пробу растворяли в 20 см3 фонового электролита. регистрировали 6
параллельных кривых. Добавку объемом 0,5 см3 с концентрацией Cd 0,42·10-5 г/дм3
и Pb 2,94 ·10-4 г/дм3 определили по градуировочному графику. Методом добавок
определили содержание свинца и кадмия в пробе.
Полученная вольтамперограмма пробы минеральной воды «Смирновская»,
«Горячий Ключ 2000» представлена на рисунках 24, 25.
Рисунок 24 - Вольтамперограмма пробы минеральной воды «Смирновская»
Рисунок 25 - Вольтамперограмма пробы минеральной воды «Горячий Ключ 2000»
Аналитический сигнал кадмия в пробе минеральной воды « Горячий Ключ 2000»
с помощью програмы «Аналит» не регистрируется, а использование метода МНО
позволило оценить содержание кадмия в пробе на уровне 0,01 мкг/дм3, что в 100
раз меньше ПДК. На рисунках 26 и 27 показан зарегестрированный пик Cd .
Результаты определения Cd и Pb в пробе минеральной воды, полученные
программой «Аналит» и автоматической аппроксимацией МНО, представлены в
таблицах 15,16.
Полученные результаты обрабатывались «Аналит» и методом нелинейной
оптимизации Левенберга-Марквардта. Сравнение результатов проводилось по
значениям СКО АС в условиях повторяемости. Следует заметить, что данные СКО
полученные аппроксимацией логнормальной функцией с помощью МНО меньше, чем СКО
обработанных программой «Аналит».
Таблица 15 - Результаты определения Pb в пробе минеральной воды « Горячий
Ключ 2000», полученные программой «Аналит» и автоматической аппроксимации МНО
|
"Аналит"
|
МНО
|
|
|
|
|
|
Фон
|
3,27
|
3,55
|
3,55
|
3,27
|
0,9968
|
|
Проба
|
3,88
|
4,28
|
4,28
|
4,98
|
0,9981
|
|
Добавка 1
|
4,47
|
9,28
|
9,28
|
6,86
|
0,9981
|
|
Добавка 2
|
10,16
|
14,50
|
14,50
|
2,23
|
0,9975
|
Это говорит о том, что при автоматическом определении аналитических
сигналов аппроксимация логнормальной функцией с помощью МНО характеризуется
лучшими показателями прецизионности в условиях повторяемости. Это может быть
объяснено тем, что реальный аналитический сигнал содержит составляющую,
обусловленную шумами. МНО позволяет элиминировать шумы.
|
|
|
|
Рисунок 26 -
Зарегестрированный пик Cd программой «Аналит»
|
|
|
|
Рисунок 27 - Обработанный
пик Cd с помощью МНО
|
Таким образом, методом МНО были получены аналитические сигналы Cd и
значение СКО.
Таблица 16 - Результаты определения Cd в пробе минеральной воды « Горячий
Ключ 2000», полученные программой «Аналит» и аппроксимации автоматической
аппроксимации МНО
|
"Аналит"
|
МНО
|
|
 , 104σr, % , 104σr, %R^2
|
|
|
|
|
|
Фон
|
-
|
-
|
1,55
|
3,27
|
0,9958
|
|
Проба
|
-
|
-
|
1,77
|
1,2
|
0,8057
|
|
Добавка 1
|
-
|
-
|
5,16
|
4,91
|
0,9944
|
|
Добавка 2
|
-
|
-
|
8,10
|
2,23
|
0,9952
|
МНО позволяет элиминировать шумы за счет поиска минимума критерия суммы
квадратов разностей реальных данных и аппроксимирующей кривой по всем
аргументам, что дает существенное преимущество этого метода при работе с
концентрациями от 0,01 мкг/дм3 перед программой «Аналит».
Результаты испытания проб минеральных вод на содержание кадмия и свинца
представлены в таблице 17. Содержание тяжелых металлов ниже ПДК (ПДК для кадмия
0,01 мг/дм3 , свинца 0,1 мг/дм3 ).
Таблица 17 - Определения Cd и Pb в пробе минеральной воды программой
«Аналит» и методом МНО
|
Объект
|
Концентрация, мкг/дм3
|
|
Cd
|
Pb
|
|
«Аналит»
|
МНО
|
«Аналит»
|
МНО
|
|
Минеральная вода «Горячий
Ключ - 2000»
|
-
|
0,009±0,002
|
1,1±0,2
|
1,3±0,3
|
|
*Минеральная вода
«Смирновская»
|
0,12±0,03
|
0,14±0,02
|
2,7±0,5
|
2,5±0,5
|
|
Минеральная вода «Горячий
Ключ 2006»
|
-
|
0,012±0,002
|
1,4±0,3
|
1,6±0,3
|
ЗАКЛЮЧЕНИЕ
На основе анализа литературных данных проведена классификация методов
обработки вольтамперометрической информации.
Показана возможность аппроксимации пиков кадмия кривыми логнормального
распределения методом нелинейной оптимизации Левенберга-Марквардта с
коэффициентом аппроксимации больше 0,8. Построена градуировочная зависимость в
диапазоне концентраций кадмия 0,01-0,14 мкг/дм3 .
Показана возможность снижения нижней границы диапазона определяемых
концентраций для кадмия в 10 раз при использовании распознавания сигнала
методом нелинейной оптимизации, по сравнению с программой «Аналит».
Проанализированы пробы минеральной воды «Горячий Ключ - 2000», «Горячий
Ключ 2006», а также минеральной воды «Смирновская». С помощью применения метода
нелинейной оптимизации обнаружено содержание кадмия на уровне концентраций 0,01
мкг/дм3 ,а свинца на уровне 1,0 мкг/дм3. Содержание кадмия и свинца в образцах
не превышают ПДК.
СПИСОК
ИСПОЛЬЗОВАННЫХ ИСТОЧНИКОВ
1 Лебедев,
А.М. Инверсионно-вольтамперометрические измерения аналитических сигналов Cd(II)
и Pb(II) на ртутно-графитовых электродах/ Лебедев А.М., Каменев А.И.//Вестник
МИТХТ.- 2011. -Т.6. -№1-С.40.
Лебедев,
А.М. Многокомпонентное инверсионно-вольтамперометрическое определение Mn(II),
Zn(II), Cd(II), Pb(II), Cu(II) и анионных форм Аs(II),Se(II), в питьевых водах/
А.М.Лебедев //Вестник МИТХТ,-2011-Т.5. - №2. -С.24.
Носкова,
Г.Н. Определение микроэлементов в пищевых продуктах методом ИВ/ Г.Н. Носкова,
Заичко А.В. // Стендовые доклады. -2004. -С.1-3.
ГОСТ
Р 51301 - 99. Продукты пищевые и продовольственное сырьё. Инверсионно-вольтамперометрические
методы определения содержания токсичных элементов (кадмия, свинца, меди и
цинка). - Введ. -1999.01.01 - М.: Госстандарт России, 1999. - 43 с.
Брайнина,
Х.З Инверсионная вольтамперометрия в анализе объектов окружающей среды и
пищевых продуктов/ Х.З Брайнина, Л.Э Стенина, Н.А. Малахова.//Журнал Известия
Уральского государственного экономического университета. -2000, -С. 97-107.
Селиванова,
Е.В Моделирование ИВ-пиков шести металлов с использованием универсального
эмпирического переменного множителя, модифицирующего элементарные пики / Е.В
Селиванова, А.Г. Стромберг, С.В Романенко // Журн. аналит. химии. -2004. -Т.59.
-№3. - С.315-323.
Стромберг,
А.Г. Систематическое исследование элементарных моделей аналитических сигналов в
виде пиков и волн / А.Г Стромберг, С.В., Романенко, Э.С Романенко.// Журн.
аналит. химии. -2000. -Т. 55. - №7. -С.687-697.
Будников,
Г.К. Основы современного электрохимического анализа / Г.К. Будников, В.Н.
Майстренко, М.Р. Вяселев. - М.: Мир. Бином. - 2003. -592 с.
Стромберг,
А.Г. Аппроксимационные модели Аналитического сигнала. Универсальная
математическая модель 3-х элементарных пиков в аналитической химии / А.Г.
Стромберг, С.В. Романенко, Н.В. Стасюк // Изв. вузов. Хим. и хим. технологии. -
2002. - Т .45. - № 3. - C. 97-102.
Kopanica,
М. Determination of traces of arsenic(III) by anodic stripping voltammetry in
solutions, natural waters and biological material/ М. Kopanica, L. Novotny //
Anal, chim. acta. 1998. - V.368, - № 3. - P. 211- 218.
Ларионова,
Е.В. Моделирование аналитического сигнала в вольтамперометрии на пленочных
электродах для обратимых электродных процессов при разрешении перекрывающихся
сигналов/ автореферат диссертации на соискание ученой степени кандидата
химических наук. - М., 2004. -20 с.
Galus,
Z. Fundamentals of Electrochemical Analysis second edition / Z. Galus. - Polish
scientific publishers. - PWN: Warsaw. - 1994. - 606 p.
Романенко,
С. В. Применение дифференцирования и сглаживания в инверсионной
вольтамперометрии некоторых металлов при линейной ступенчатой развертке
потенциалов/ С.В Романенко, С.Л. Ларин., Н.В. Стасюк// Журн. аналит. химии. -
2002.- Т. 55 . - №11.- С. 1184 - 1189.
Романенко,
С.В. Аппроксимация аналитического сигнала в виде несимметричного пика с помощью
Модифицированной производной логисты / С.В. Романенко // Журн. аналит. химии. -
1997. - Т52. - № 9. - C.908-912.
Лэм,
Г. Аналоговые и цифровые фильтры. / Г. Лэм. - М.: Мир. - 1982. - 592 с.
Джонсон,
К.Дж. Численные методы в химии / К.Дж. Джонсон. - М.: Мир. - 1983. - 503 с.
A.
Economou, P.R. Fielden // Anal. Chim. Acta. - 1995. - Р. 256.
Lynn,
P.A. An introduction to the analysis and processing of signals. London:
MacMillian. - 1982. - Р. 459.
Каменев,
А.И. Сравнительный анализ математических методов фильтрации шума ТВ
инверсионной вольтамперометрии / А.И. Каменев, А.Б. Ляхов // Журн. аналит.
химии. - 2003. - Т58. - № 3. - C. 291-296.
M.
Rievai, E. Korgova, D. Bustin // J. Heerousky Centennial Congr. Polarogr. Organ
jointly 41st Meet int. Soc. Electrochem. - 1990. - Р. 185.
Palys,
M. Van der Linden W.E/ M. Palys, T. Korba, M. Bos, // Talanta. - 1991. -V38. -
№ 7. - р. 723.
22 Кан, А.Г. Фильтрация
вольтамперометрических сигналов при помощи вейвлет-преобразования/ А.Г. Кан,
С.В.Романенко// Журнал Известия Томского политехнического университета
<#"891695.files/image046.gif">
Всероссийская
конфиренция по электротехническим методам анализа с международным участием. -
2004. -№91.- С.150.
Назаров, Б.Ф.
Нелинейная модель остаточного тока в методе инверсионной вольтамперометрии/ Материалы
симпозиума. Теория электроаналитической химии и метод ИВ, Томск . -2000. -
С.290.
27 Селиванова,
Е.В. Проблемы хемометрики / Е.В. Селиванова, А.Г. Стромберг, С.В. Романенко //
Всеросс. Научн. конферн. «Химия и химическая технология на рубеже тысячелетий».
- 2002. - Т2. - С. 160.
Городилова,
В.М. Автоматическое построение базовой линии с помощью вертикальных гистограмм
/ В.М. Городилова // Краткое содержание конференции. - 2000. - C. 91.
Ларионова,
Е.В. Моделирование АС в ВА на пленочных электродах для обратимых электродных
процессов при разрешении перекрывающихся сигналов: дис. канд. хим. наук:
02.00.02: / Е.В. Ларионова - М.- 2004. -142 с.
Романенко,
С.В. Связь феноменологических и физико-химических моделей аналитических
сигналов в инверсионной вольтамперометрии. / С.В. Романенко, А.Г. Стромберг,
Е.В. Ларионова, Д.М. Карачанов // Технич. Науки. - 2005. - Т.12. - С. 113-117.
Романенко,
С.В. Классификация математических моделей аналитических сигналов в форме пиков
/ С.В Романенко, А.Г Стромберг.// Журн. аналит. химии . - 2000. - Т.55-№11. -
С.1144-1148.
Выдра,
Ф. Инверсионная вольтамперометрия / Ф. Выдра. - М.: Химия. - 1980. - 310 с.
Назаров,
Б.Ф. Решение уравнений вольтамперометрической кривой для обратимого электро
растворения металла при линейной ограниченно - полубесконечной диффузии и
линейном изменении потенциала в методе инверсионной вольамперометрии / Б.Ф.
Назаров, А.Г. Стромберг. // Электрохимия - 2005. - Т41. - №1. - С. 54-68.
Слепченко,
Г.Б. Электрохимический контроль качества вод (обзор)/ Слепченко Г.Б., Пикула,
Н.П., Дубова Н.М., Щукина Т.И.//Известия Томского политехнического
университета. -2009. -Т.314 . -№3. - С.61.
Романенко,
С.В. Развитие хемометрического подхода к моделированию аналитических пиков на
примере инверсионной вольтамперометрии:.дис. канд.хим.наук.-Томск.-1988.-166 с.
Стромберг,
А.Г. Аппроксимация вольтамперного сигнала, имеющего форму не симметричного
пика, модифицированной бигауссовой функцией / А.Г. Стромберг, С.В. Романенко //
Электрохимия. - 1995. - Т.31. - № 11. - С. 1261-1265.
Гробец,
А.М. Современные приборы в аналитической химии / А.М. Горобец, М.Ф.
Салихджанова // Матер. Семинара. - М.: Моск. дом науч. технич. прод. - 1991. -
С.94.
Глызина,
Т.С. Исследование процессов электроокисления осадков платина висмут с
поверхности графитовых электродов / Т.С. Глызина, Н.А. Колпакова, Н.С.
Шеховцова // Ползуновский вестник. - 2009.-№3. - C. 271 - 274.
Брайнина,
Х.З. Инверсионная вольтамперометрия. / Х.З. Брайнина - М .: Изд-во
«Мир».-1980.-278 с.
Лякишев,
Н.П. Диаграммы строения двойных металлических систем. Справочник ВЗТ / под общ.
ред. Н.П. Ляхишева. - М.: Мир. - 1966. - 992с.
Levenberg,
K. A method for the solution of certain problems in least squares, Quart. Appl.
Math.- 1944. -Vol. 2- Р. 164-168.
Marquardt,
D. An algorithm for least-squares estimation of nonlinear pa-rameters”, SIAM J.
Appl. Math. -1963. - Vol. 11. - Р. 431- 441.
Дерябина,
В.И. Разработка и оптимизация способов пробоподготовки растительного сырья и
пищевых продуктов при инверсионно-вольтамперометрическом определении мышьяка и
селена: дис. канд. хим. наук: 02.00.02 / В.И.Дерябина.-М. -2007. -С.3-8.
Носков,
Г.Н. Определение микроэлементов в пищевых продуктах методом ИВ/ Г.Н. Носков,
Заичко А.В. // Стендовые доклады.- 2004.- С.1-3.
Лебедев,
А.М. Многокомпонентное инверсионно-вольтамперометрическое определение Mn(II),
Zn(II), Cd(II), Pb(II), Cu(II) и анионных форм Аs(II),Se(II) в питьевых водах/
А.М. Лебедев: Московский государственный университет тонких химических
технологий имени М.И.Ломоносова. - М. - 2011. - С. 3- 7.
Анализатор
вольтамперометрический ВА-5. Руководство по эксплуатации. РЭ
421522-001-020678-98 - 01.01.98. - Краснодар. - 1998.
Вольтамперометрический
анализатор ТА-4 (версия 2006 года) // URL: http: //www.tan.tom.ru/html/product_ta_4.
ГОСТ
52180-2003. Вода питьевая. Определение содержания элементов методом
инверсионной вольтамперометрии - Введ. 2003 - 12 - 29. -М. Изд-во стандартов. -
2004. - 20 с.