Условия устойчивости равновесия вертикально стоящего человека
Реферат
Биомеханика
Тема:
Условия устойчивости равновесия вертикально стоящего человека
Положение равновесие тел и его сохранение
(устойчивость) имеют определяющее значение во всех отраслях жизнедеятельности
человека в том числе и в спортивной сфере.
Рассмотрим условия устойчивости равновесия на
примере однородного тела цилиндрической формы (рис. 1); Центр тяжести (o)
такого тела совпадает с его геометрическим центром и степень его устойчивости
равновесия имеет максимальное значение, когда он находится в строго
вертикальной позиции (рис. 1а).
Рис. 1. Процесс постепенного отклонения тела
цилиндрической формы при фиксированном основании.
В такой позиции вертикальная
проекция центра тяжести цилиндрического тела на площадь основания совпадает с
геометрическим центром основания 
и момент силы тяжести цилиндра 
по отношению центра вращения 
имеет максимальное значение и он
выполняет сдерживающую функцию (т.е. является сдерживающим моментом), что и
обусловливает максимальную степень устойчивости равновесия (
- величина силы тяжести, 
- диаметр основания, 
- плечо силы тяжести).
При постепенном отклонении цилиндра
(с условием фиксированного основания) уменьшается плечо силы тяжести,
уменьшается величина удерживающего момента, что является причиной уменьшения
степени устойчивости равновесия цилиндра.
В позиции изображенном на рис. 1б,
вертикальная проекция центра тяжести цилиндра на площадь основания совпадает с
центром вращения и удерживающий момент а, следовательно, степень устойчивости
равновесия становится равным нулю (критический угол отклонения - 
), при дальнейшем отклонении
цилиндра момент силы тяжести меняет знак и приобретает функцию крутящего
момента и тело начинает опрокидываться (рис. 1в).
Из вышесказанного заключаем: степень
устойчивости равновесия тела является максимальной, когда вертикальная проекция
его центра тяжести на площадь основания совпадает с геометрическим центром
этого основания; т.е. пока вертикальная проекция центра тяжести тела находится
в границах площади основания - тело сохраняет положение равновесия, а когда
данная проекция выходит за пределы этой площади, то тело теряет равновесия и
начинает опрокидываться.
На рис. 2 приведена зависимость
величины критических углов (
) от геометрии цилиндрического тела
(H/d), где Н -
высота цилиндра, а d - диаметр основания.
На основе анализа полученного
графика (рис. 2) можно заключить, что по мере роста величины отношения
(H/d)
уменьшается степень устойчивости равновесия, т.е. при данном диаметре основания

с увеличением высоты цилиндра
(H)
уменьшается его устойчивости.
Основной раздел: Если расположить
вертикально стоящего человека в мнимый (виртуальный) цилиндр (рис. 3а), то
массы внутри цилиндра будут распределены неравномерно и общий центр тяжести (ОЦТ)
человека не будет совпадать с геометрическим центром цилиндра, что хорошо видно
на рис. 4а; ОЦТ 
человека и геометрический центр
цилиндра (O)
значительно смещены относительно друг-друга, что обусловлено спецификой
анатомии человека.
Рис. 2. Зависимость величины
критического угла тела цилиндрической формы от его геометрии 
Рис. 3. а - Вертикально стоящий
человек помещенный в мнимый (виртуальный) цилиндр; б - Расположение ступней на
площади опоры.
Рис. 4. а - Расположение общего
центра тяжести человека 
при его вертикальном стояний; б -
Оптимальное положение человека, когда степень устойчивости равновесия является
максимальной и, чему соответствует оптимальный угол 
отклонения вперед; в - Критическая
ситуация возникшая при отклонении человека вперед, когда степень устойчивости
равновесия становится равным нулю и тело начинает опрокидываться; критический
угол отклонения вперед 
; г - Критическая ситуация возникшая
при отклонении назад; критический угол 
. Тело начинает опрокидываться
назад.

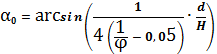
(1)
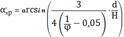
Аналогично можно определить
критические углы отклонения вперёд 
и назад 
следующими формулами (рис. 4в и
4г):

(2)

(3)
Известно [1, 2], что: 
, 
, 
, и 
учитывая это, формулы (1), (2) и
(3) примут следующий вид:

(1′)

(2′)

(3′)
где 
диаметр площади опоры (длина стопы
человека), 
- высота расположения ОЦТ от той же
площади.
Для определения высоты положения ОЦТ
вертикально стоящего человека 
посредством высоты человека (Н),
воспользуемся числом Фидия (то же, что - «число Фибопачи», то же, что -
«золотое сечение»). Одним из определении числа Фидия 
является то, что он определяет
отношение высоты человека Н к высоте расположения его пупка 
:

(4)
Известно [3], так же, что ОЦТ
вертикально стоящего человека расположен на 0,05 ниже от пупка - для мужчин, а
для женщин, поскольку их пупок расположен на
0,05Н ниже, чем у мужчин - на
0,1Н;
учитывая это обстоятельство и формулу (4) получаем - для мужчин:

(5)
и для женщин:

(5′)
Если учесть формулу (5), то формулы
(1′), (2′) и (3′) примут следующий вид:

(6)

(7)
Приняв во внимание, что 
- получим:

(6′)

(7′)

(8′)
В случае женщин с учетом (5′)
формулы (6′), (7′) и (8′) приобретут следующий вид:

(6′′)

(7′′)

(8′′)
Общеизвестно, что число Фидия
является самым гармоничным соотношением в природе; им пользовались скульпторы,
живописцы и зодчие древнего Египта, античной эпохи и эпохи возрождения; в том
числе и Леонардо да Винчи в своей знаменитой работе «пропорции человеческой
фигуры» (рис. 5) воспользовался этим числом.
Рис. 5 Леонардо да Винчи. «Пропорция
человеческой фигуры»
Для мужчины пропорции да Винчи (рис.
5) оптимальный угол 
и критические 
углы имеют следующие значения:

, 
, 
.
Рис. 6 Зависимость величины
оптимального угла 
от пропорции человека
(H/d). А - для
мужчин; б - для женщин.
(Среднее значение
(H/d) для
пропорционального человека колеблется в пределах 6ч7).
Сравнение приведенных графиков (рис.
6) дает возможность заключить, что степень устойчивости равновесия у женщин
больше, чем у мужчин той же пропорции, что обусловлено низкой позицией
расположения их (женщин) ОЦТ.
Аналогичным методом можно установить
формулу определяющую оптимальный угол отклонения вперед для лыжника:
где
d - длина стопы,
l - длина
лыжи, Н - высота лыжника, а n - коэффициент определяющий - какую
часть от длины лыжи (l) составляет расстояние от кончика
стопы до геометрического центра площади опорной части лыжи.
Литература
1. К. Моисцрапишвили, А. Егоян.
Биомеханические принципы равновесия прямостоящего человека, Наука и технологии
№1 (714), Техн. Ун. Тбилиси, 2013.
2. Зационрский В.М. Основы
спортивной метрологии. Физкультура и спорт. М., 1979.
. Донской Д.Д. Зациорский
В.М. Биомеханика. Физкультура и спорт, М. 1979.
. Ивалицкий М.С. Анатомия
человека. Физкультура и спорт, М., 1985.