Принцип Парето при осуществлении ABC-XYZ анализа
БЕЛОРУССКИЙ
НАЦИОНАЛЬНЫЙ ТЕХНИЧЕСКИЙ УНИВЕРСИТЕТ
Приборостроительный
факультет
Кафедра
«Экономика и управление научными исследованиями, проектированием и
производством»
Курсовая
работа
по
дисциплине «Логистика»
Тема:
Принцип Парето при осуществлении ABC-XYZ
анализа
Выполнила ст. гр.313710
Красько И.В.
Преподаватель
К.э.н., доцент Аносов В.М.
Минск 2014
Содержание
Введение
1. Сущность и этапы проведения АВС
анализа
2. Сущность и этапы проведения XYZ-анализа
. Интегрированный анализ АВС-XYZ
на основе принципа Парето
Заключение
Список используемой литературы
Приложение
Введение
Курсовая работа посвящена вопросам практической
реализации пошагового интегрированного ABC-XYZ-анализа ассортимента и
клиентской базы предприятия пищевой промышленности «Хлеб». Внедрение данного
анализа в практику работы предприятия позволит улучшить его систему продаж за
счет эффективного управления ассортиментом и установления приоритетов в работе
с клиентами.
На сегодняшний день на рынке присутствует
огромное количество компаний. Каждая из них занимается каким-либо видом
деятельности - производство, торговля, услуги и т.п. Потребитель предъявляет
всё новые, более изысканные требования к товарам. Покупатели хотят, чтобы
купленные ими товары были более практичными, красивыми, долговечными. А
производители вынуждены удовлетворять постоянно возрастающие запросы своих
клиентов. Вот почему коррекция ассортимента очень важна сегодня. Сущность
планирования, формирования и управления ассортиментом заключается в том, чтобы
производитель своевременно предлагал определенную совокупность товаров, которые
бы, соответствуя в целом профилю его производственной деятельности, наиболее
полно удовлетворяли требованиям определенных категорий покупателей . Итак,
товарный ассортимент - это вся совокупность изделий, выпускаемых предприятием.
Она включает различные виды товаров. Вид товара делится на ассортиментные
группы в соответствии с функциональными особенностями, качеством, ценой. Каждая
группа состоит из ассортиментных позиций (разновидностей или марок), которые
образуют низшую ступень классификации .
Успех компании напрямую зависит от ее
способности удовлетворять потребности клиентов. Структура ассортимента - это
структура предложения предприятия своим покупателям, которые оценивают его в
первую очередь через ассортимент.
1. Сущность и этапы проведения АВС анализа
Одним из самых эффективных методов, позволяющих
классифицировать бизнес-ресурсы компании по степени их важности, является
АВС-XYZ-анализ. Данный метод применим и к анализу отношений с клиентами.
Матричная проекция ABC- и XYZ-анализа
представляет собой не что иное, как аналоговую модель, позволяющую принимать
стратегические решения относительно рыночной политики предприятия от состояния
«как есть» до состояния «как быть» (рис. 1). При этом между указанными
параметрами существует циклическая взаимосвязь.
В основе АВС-анализа лежит принцип
Парето (Вильфредо Парето - известный итальянский экономист XIX в.). Именно он
обратил внимание на то, что большая часть богатства принадлежит меньшей части
населения и сформулировал «правило 20.80»: 20% всех клиентов дают 80% прибыли,
20% всех товаров дают 80% оборота и т. п. По отношению к АВС-анализу правило
Парето может звучать так: надежный контроль 20% позиций позволяет на 80%
контролировать систему, будь то запасы сырья и комплектующих, либо продуктовый
ряд предприятия, либо его клиентура и т. п.
Можно выделить несколько этапов в
проведении АВС-анализа имеющейся информации
. Выбор объекта управления и
формулирование цели анализа.
. Определение параметра анализа:
объем валовой выручки; объем продаж; маржинальная прибыль и т. д.
. Определение периода анализа
(месяц, квартал, год). Период выбирается индивидуально для каждого предприятия
в зависимости от интенсивности, объемов продаж и специфических особенностей
товара (услуги).
. Сбор данных для анализа
(построение ранжированного ряда):
.1. Оценка объектов управления по
выбранному параметру за фиксированный промежуток времени.
.2. Ранжирование покупателей,
продукции по убыванию значения параметра (валовой выручки, объема продаж,
маржинальной прибыли и т. п.).
.3. Построение гистограммы
распределения данного параметра.
. Построение диаграммы Парето по
точкам. По горизонтальной оси абсцисс откладывается процентная доля количества
позиций, то есть сумма позиций, деленная на общее количество позиций товара в
ассортименте (общее количество клиентов) в процентном выражении:
бизнес
анализ парето
где Xi - координата по оси абсцисс
диаграммы Парето;- i-я позиция отсортированного по выбранному параметру
ассортимента или клиента (xi = i);- общее количество позиций в ассортименте
(общее количество клиентов).
По вертикальной оси ординат
аналогичным способом откладывается суммарная доля выбранного параметра (объема
продаж, маржинальной прибыли и т. п.):
где Yi - координата по оси ординат
для диаграммы Парето;- величина выбранного параметра для i-й позиции
гистограммы;- величина выбранного параметра по всему ассортименту или по всем
клиентам;
сумма величин выбранного параметра
от 1-й до i-й позиции.
Построенная диаграмма Парето будет
иметь форму выпуклой вверх кривой. Вообще ассортимент или клиенты имеют
дискретную структуру, поэтому диаграммой Парето будет выпуклая вверх ломаная.
Выпуклость ломаной просто доказывается и следует из методики построения
диаграммы по отсортированным в порядке убывания данным.
. Распределение объектов управления
на классы (вычисление границ АВСгрупп и их выделение):
.1. Определение точки Парето (точки
асимметрии) - точка на диаграмме
Парето с координатами (xp; yp), для
которой выполняется равенство:
= 100%. На диаграмме Парето точка с
такими координатами существует единственная (доказательство этого факта следует
из выпуклости и неубываемости диаграммы Парето), и для ее нахождения необходимо
построить прямую, содержащую множество точек Парето. Очевидно, что уравнение
данной прямой будет:
Это уравнение есть не что иное, как
уравнение прямой, пересекающей оси ординат и абсцисс в точках с координатами
(100; 0) и (0; 100) соответственно.
.2. Деление покупателей на классы.
Можно рассмотреть два различных подхода к определению координат точек
разбиения.
-й подход. Для всего класса диаграмм
Парето, проходящих через точку с координатами (xp;yp), касательная с
минимальным углом наклона к горизонтальной оси абсцисс будет проходить через
точки с координатами (xp; yp) и (100; 100) - прямая AN, а касательная с
максимальным углом наклона к оси абсцисс будет проходить через точки с
координатами (xp;yp) и (0; 0) - прямая OC. Точки на диаграмме Парето, имеющие
наибольшую кривизну, являются точками перехода от хорошего ассортимента (хороших
клиентов) к плохому ассортименту (плохим клиентам) и наоборот.
Это связано с тем, что в этих точках
диаграмма резко меняет угол наклона. Весь класс выпуклых, проходящих через
точку (xp; yp), будет иметь критические точки с максимальной кривизной, A и С,
поэтому именно они будут служить основанием ранжирования ассортимента
(клиентской базы) на три класса (рис. 2).
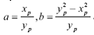
Общее уравнение прямой имеет вид:
где а - тангенс угла наклона
прямой;- сдвиг прямой по вертикальной оси ординат.
Подставив координаты точек В (xp;
yp) и N (100; 100) в это уравнение, получим два уравнения с двумя неизвестными
a и b для прямой AN: 100 = 100a + b
Отсюда, в результате математических
преобразований, можно получить
То есть уравнение прямой AN примет
следующий вид:
Аналогично, подставив в уравнение
(4) координаты точек В(xp; yp) и О(0; 0), получаем уравнение прямой ОС:
Подставляя абсциссу точки А и
ординату точки С в уравнения (5) и (6) соответственно, получаем координаты этих
точек:
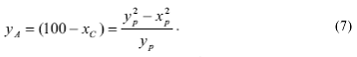
Тогда высокоприоритетная категория А
определяется как доля ассортимента, с суммарным выбранным параметром (например,
объемом продаж)
Категория с
низким приоритетом С определяется как доля ассортимента, составляющая (100 -
xC) всего ассортимента. В силу симметрии
Итак, получаем формулу для
определения категорий А, В и С:
Следует подчеркнуть, что по этой
формуле категория А выделяется по выбранному параметру (по вертикальной оси
ординат), а категория С - по доле ассортимента или доле клиента (по
горизонтальной оси абсцисс). Поэтому данный метод не дает наглядного разбиения
на категории, кроме того, он достаточно сложен.
В качестве альтернативы можно
предложить еще один метод, который является небольшой переделкой и доработкой
предыдущего.
Будем делить ассортимент (клиентов)
по доле позиций. Таким образом, необходимо найти две координаты оси абсцисс
(рис. 3).
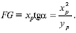
Координату
оставим без
изменений, определяемую по формуле (7). Построим точку разбиения с абсциссой
и найдем
численное значение этой абсциссы. Для этого следует провести отрезок AF,
параллельный прямой Парето PR (рис. 3).- точка пересечения отрезка с прямой OC.
Абсцисса точки F и будет искомой координатой
Треугольник ABF является
равнобедренным: AB = BF. Это легко доказать, используя параллельность отрезков
AF и PR. Из равнобедренности треугольника ABF следует равенство прямоугольных
треугольников
(по
гипотенузе и углам). Также можно заметить, что
. Тогда из того, что
получаем:
Отсюда
получаем искомую абсциссу:
Теперь можно разбить ассортимент
(клиентов) на три класса по доле позиций.
Было бы логичным выделить третью
прямую, проходящую через точку Парето В и образующую равные углы с прямыми NA и
ОС, то есть имеющую наклон 45° к оси абсцисс. Другими словами, эта прямая была
бы максимально близкой к категории В диаграммы Парето (рис. 4).
Вычисления координат точек этим
методом аналогичны вычислениям предыдущим, и аналоги формул (7) и (8) примут
вид (методы 3 и 4):
Следует отметить, что по сравнению с
первыми двумя методами в силу построения переходная категория В расширяется за
счет уменьшения категорий А и С. Поэтому последние два метода можно назвать
пессимистичными (формулы (9) и (10)), а первые два - оптимистичными (формулы
(7) и (8)).
Выбор метода остается за
пользователем. В оптимистичных методах есть риск попадания небольшого числа
хороших позиций в категорию С. В пессимистичны методах, наоборот, существует
вероятность захвата плохого ассортимента категорией В. Здесь можно
руководствоваться формой диаграммы Парето. При четкой симметрии относительно
линии Парето лучше пользоваться оптимистичными методами.
При смещенной симметрии лучше
использовать комбинацию из двух методов [1]: категорию Аили С, в сторону
которой смещена симметрия, необходимо вычислять по формулам (9) и (10), а
вторую (С или А) - по формулам (7) и (8).
Рассмотренные выше методы удручают
громоздким расчетным и геометрическим аппаратом.
Инструмент же качественного анализа
(а АВС-анализ выделяет именно качественные группы по их приоритетности) требует
простой и интуитивно понятной методики. Можно рассмотреть другой подход к
решению поставленной проблемы.
-й подход. Очевидно, что
соответствует
определению медианы:
) перпендикулярна отрезку ON;
) делит его в соотношении 50 : 50.
Итак, чтобы разделить ассортимент на
две группы, мы делим пополам отрезок ON. Можно использовать ту же методику и
для трех групп.
Назовем квантильной
линией
Парето прямую, обладающую следующими свойствами:
) эта прямая перпендикулярна отрезку
ON;
) она делит его в отношении
Искомая прямая имеет вид
Поскольку
она делит отрезок ON, соединяющий (0; 0) и (1; 1), в отношении
то проходит
через точку
Подставив
эти координаты в уравнение, получаем:
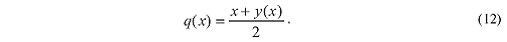
Таким образом, формула
линии Парето
[4, с. 127]:
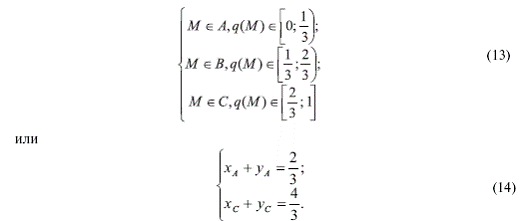
Для выделения АВС-групп будет
достаточно построить две квантильные линии: на 1/3 и 2/3 (рис. 5).
Запишем формулу (11) иначе:
Тогда принадлежность к конкретной
группе можно записать так:
Замечательно, что q(x) имеет простую
геометрическую интерпретацию: эта некая средняя линия между ранжированным рядом
и диагональю ON.
2. Сущность и этапы проведения XYZ-анализа
Для совершенствования системы
логистики предприятия применяется еще один инструмент, называемый XYZ-анализом.
Он представляет собой анализ стабильности продаж отдельных товаров в
ассортименте предприятия. Очень часто он используется вместе с АВС-анализом,
что позволяет выделить ключевые для предприятия товары. Если АВС-анализ
позволяет определить вклад конкретного товара в итоговый результат, то
XYZ-анализ изучает отклонения, скачки, нестабильность сбыта. В категорию X
включают товары со стабильной продажей, для группы Y допускаются более
значительные отклонения, в категории Z оказываются товары, продажи которых
точно прогнозировать невозможно, слишком велики колебания.
Используя XYZ-анализ, необходимо
учитывать ряд ограничений:
объем используемых данных должен
быть достаточно большим. Чем их больше, тем надежнее окажутся полученные
результаты;
число исследуемых периодов должно
быть не менее трех;
не следует применять данный метод в
динамично меняющейся ситуации, например при выводе на рынок нового товара, так
как он неизбежно попадет в «нестабильную» группу Z;
существенное влияние на результат
расчетов может оказать сезонность спроса.
Можно выделить следующие этапы в
проведении XYZ-анализа имеющейся информации:
. Выбор объекта управления и
формулирование цели анализа. Объектами анализа кроме продукции могут быть
покупатели, поставщики и т. п.
. Определение показателя, по
которому будет проводиться анализ выбранного объекта. Варианты: средний
товарный запас, объем продаж, доход, количество продаваемых величин, количество
поступающих заказов и т. п.
. Определение периода анализа
(квартал, полугодие, год). Период анализа должен быть не меньше, чем горизонт
планирования, принятый на данном предприятии. Анализ данных с периодом меньше
квартала не имеет смысла, так как все товары попадают в группу Z.
. Расчет коэффициента вариации для
каждого анализируемого объекта. Данный коэффициент показывает степень
отклонения данных от среднего значения (в процентах) и определяется по
следующей формуле:
. Сортировка объектов анализа по
возрастанию значения коэффициента вариации и определение категорий X, Y и Z.
Ассортиментные позиции со значением коэффициента вариации от 0 до 10% попадают
в группу X, от 10 до 25% - в группу Y, остальные - в группу Z. Это примерное
распределение, стандартные рекомендации здесь отсутствуют.
. Интегрированный анализ АВС-XYZ на
основе принципа Парето
В соответствии с рассмотренной
методикой проведем интегрированный АВСXYZ-анализ ассортимента и клиентской базы
предприятия пищевой промышленности «Хлеб», основной целью деятельности которого
является бесперебойное и своевременное снабжение населения высококачественными
хлебобулочными изделиями.
АВС-анализ ассортимента предприятия
. Целью анализа ассортимента
предприятия является выявление наиболее прибыльной продукции и выработка
рекомендаций для более эффективной работы с различными категориями продукции.
. Критерий ранжирования - объем
продаж.
. Период - месяц.
. Ранжирование продукции по убыванию
значения объема продаж (табл. 1).
Построим диаграмму Парето по точкам
(см. табл.
1). По горизонтальной оси абсцисс откладывается процентная доля позиций, а по
вертикальной оси ординат - суммарная доля объема продаж.
. Как видно из рис. 7, точка Парето
имеет координаты (20; 80). Поскольку не видно четкой симметрии относительно
линии Парето, при определении координат точек разбиения будем использовать
комбинацию из двух методов (1-й подход): категорию С, в сторону которой смещена
симметрия, вычисляем по формуле (9), а категорию А - по формуле 
Таким образом, при делении
ассортимента компании «Подмосковный хлеб» при использовании 1-го подхода
категория А определилась как 15% всех позиций ассортимента, категория В - 25%,
а категория С - 60% ассортимента. При этом категория А дает 60% объема продаж.
При делении ассортимента компании «Подмосковный хлеб» при использовании 2-го
подхода категория А определилась как 8% всех позиций ассортимента, категория В
- 30%, а категория С - 62% (100% - 38%) ассортимента. При этом категория А дает
55% объема продаж, категория В - 37%, а категория С - 8% (рис. 8).
Выделенные с помощью обоих подходов
категории обладают следующим свойством: каждая следующая группа больше
предыдущей, но менее эффективна, что соответствует теоретическим рекомендациям
при определении групп А, В, С (в теории рекомендуется выделять группы примерно
так: А = 15% < В = 20% < С = 65%).
Но, как видно из полученных
результатов, 2-й подход немного завышает долю группы В, возможно, из-за того,
что данный способ выделения групп более рационален при большом количестве
наименований ассортимента.
Таким образом, к группе А можно
отнести следующие виды продукции: батон «Нарезной», батон «Весенний», хлеб
«Донской» формовой и хлеб «Донской» подовой; в группу В входят: хлебец
«Отрубной», батон «Бутербродный», батон «Колосок», булочка «К чаю» с сахаром,
хлеб «Пшеничный» из муки первого сорта и батон «Горчичный»; остальная продукция
относится к группе С. Теперь проведем анализ стабильности продаж по
ассортименту.анализ ассортимента предприятия
. Цель XYZ-анализа ассортимента -
дифференциация товаров в ассортименте по группам в зависимости от равномерности
спроса и точности прогнозирования.
Таким образом, объектом анализа
является ассортимент.
. Показатель, по которому проводится
анализ, - объем продаж, руб.
. Период - полугодие с разбивкой по
месяцам.
. Исходные данные для анализа и
расчет коэффициентов вариации представлены в прил. 1 (табл. П1 и П2).
. Результаты представлены в табл. 2.
Как видно из данной таблицы:
) хлеб «Донской» подовой, хлеб
«Донской» формовой, батон «Бутербродный», батон «Колосок», батон «Нарезной»,
хлеб «Пшеничный» из муки первого сорта, булка «Молочная», булочка «Для
хот-дога», хлебец «Отрубной» - продукция, относящаяся к категории X (значение коэффициента
вариации от 0 до 10%): высокая степень надежности прогноза вследствие
стабильности потребления;
) хлеб «Дарницкий», батон
«Весенний», булочка «К обеду», булочка «К чаю» с маком, булочка «К чаю» с
начинкой, плетенка «С маком», сдоба «Десертная», слойка «С повидлом» -
продукты, относящиеся к категории Y (значение коэффициента вариации от 10 до
25%): средняя степень надежности прогноза вследствие нестабильности
потребления;
) хлеб «Донской» формовой подов.,
батон «Горчичный», батон «Подмосковный», булочка «К чаю» с сахаром, хлеб
«Старорусский», хлебушек «Постный», слойка «Лакомка» с начинкой, слойка
«Лакомка», слойка «Талдомская», все кексы и панировочные сухари - продукты,
относящиеся к категории Z (коэффициент вариации свыше 25%): низкая степень надежности
вследствие стохастического потребления.
При этом стоит отметить, что все
кексы попали в категорию Z вследствие сезонности спроса, поэтому их не стоит
брать во внимание.
Теперь построим матрицу
интегрированного АВС- и XYZ-анализа товарооборота предприятия (табл. 3).

Часть же товаров, относящихся к
группе CZ (хлебушек «Постный», хлеб «Старорусский», слойка «Лакомка», сухари
панировочные, батон «Подмосковный», слойка «Талдомская» и слойка «Лакомка» с
начинкой), можно безболезненно выводить из ассортимента, а другую часть нужно
регулярно контролировать, так как именно из товаров этой группы возникают
неликвидные или труднореализуемые товарные запасы, от которых компания несет
потери.
Аналогично можно провести
интегрированный ABC-XYZ-анализ клиентской базы (регионов) предприятия. Целью
анализа клиентской базы предприятия является выявление наиболее прибыльных
покупателей и выработка рекомендаций для более эффективной работы с различными
категориями клиентов. В результате получим следующую матрицу (табл. 4).
С клиентами (регионами), которые
относятся к категории АX (регион 1, регион 2, регион 3), предприятие должно
сотрудничать интенсивнее, так как это может оказать воздействие на 48% оборота
со всеми клиентами (хотя эта группа составляет только 19% всех позиций
клиентов). С такими клиентами следует работать на местах, в максимальной
степени выявляя и удовлетворяя их потребности. Можно использовать гибкую
систему скидок, позволяющую каждому клиенту получать оптимальный для него
уровень сервиса и качества.
Регионам, относящимся к категории СZ
(регион 10, регион 13, регион 17, регион 18), предприятие должно уделять меньше
внимания из-за низкого вклада в сбыт регионов категории С (14% объема продаж) и
низкой степени надежности прогноза вследствие стохастического потребления
(коэффициент вариации составляет свыше 25%).
Заключение
В заключение можно выделить
следующие преимущества использования совмещенного АВС- и XYZ-анализа: повышение
эффективности системы управления товарными ресурсами; повышение доли
высоко-прибыльных товаров без нарушения принципов ассортиментной политики;
выявление ключевых товаров (клиентов) и причин, влияющих на количество товаров,
хранящихся на складе; перераспределение усилий персонала в зависимости от
квалификации и имеющегося опыта.
И это далеко не полный перечень
преимуществ, которые реализуются благодаря использованию описанного
совмещенного метода.
Принцип Парето один из наиболее
распространенных способов оценки эффективности какой-либо деятельности. Его
суть заключается в том, что 20% усилий дают 80% результата, а остальные 80%
усилий реализуют лишь 20%. Таким образом, можно понять, что, выбрав те
оптимальные ресурсы, которые дают наибольший эффект, можно достичь высоких
результатов малыми издержками. В то же время последующие усилия будут ненужными
и неэффективными.
Список используемой литературы
. Афанасьев С.В. Метод треугольника
в АВС-анализе // Маркетинг в Беларуси и за рубежом. - 2010. - № 2.
. Головина Т.А. Менеджмент
интеграции зарубежных методик управленческого анализа для оценки эффективности
ассортиментной политики 2009. - № 1.
. Лукинский В.С. Модели и методы
теории логистики : учеб. пособие. - 2-е изд. - СПб. : Минск, 2012.
. Облаков П.О. К статье «Метод
треугольника в АВС-анализе» // Логистика в Беларуси и за рубежом. - 2012. - №
2.