Расчет и конструирование системы отопления и системы вентиляции для трехэтажного жилого здания

  • Вид работы:
    Курсовая работа (т)
  • Предмет:
    Строительство
  • Язык:
    Русский
    ,
    Формат файла:
    MS Word
    217,75 Кб
  • Опубликовано:
    2015-06-20
Вы можете узнать стоимость помощи в написании студенческой работы.
Помощь в написании работы, которую точно примут!

Расчет и конструирование системы отопления и системы вентиляции для трехэтажного жилого здания

Введение

воздух перекрытие стена вентиляционный

Целью данного проекта является расчет и конструирование системы отопления и системы вентиляции для трехэтажного жилого здания.

Исходные данные для проектирования систем приведены в задании на проектирование. Район постройки г. Гомель. Ориентация главного фасада здания - на Север. Чердак - холодный. Нагревательные приборы - радиаторы типа MС - 90-108. Параметры теплоносителя - 80/60°С. Кухонная плита - газовая, количество конфорок 2. Система отопления - центральная водяная однотрубная с нижней разводкой. Система вентиляции - естественная канальная.

В соответствии с приведенными исходными данными производится выбор расчетных параметров воздуха, определяется величина сопротивления теплопередаче всех наружных ограждающих конструкций, рассчитывается тепловая мощность системы отопления, составляется тепловой баланс помещений и всего здания. По результатам полученных данных производится конструирование и расчет системы отопления и системы вентиляции.

1. Выбор расчетных параметров внутреннего и наружного воздуха

Расчетные параметры наружного воздуха выбираются согласно табл. 4.3, 4.4, 4.5 [1] и сводятся в таблицу 1.1 в соответствие с местом расположения жилого дома - г. Гомель.

Таблица 1.1 - Расчетные параметры наружного воздуха

Наименование параметра

Единица измерения

Значение

Температура наиболее холодных суток обеспеченностью 0,98 tн0,98

ºС

-32

Температура наиболее холодных суток обеспеченностью 0,92 tн0,92

ºС

-28

Температура наиболее холодной пятидневки обеспеченностью 0,92 tн0,92

ºС

-24

Максимальная из средних скоростей ветра по румбам в январе vср

м/с

4,1

Средняя температура за отопительный период tн.от.

ºС

-1,6

Средняя относительная влажность за отопительный период φн.от.

%

83


Расчетные параметры внутреннего воздуха для расчета наружных ограждающих конструкций принимаются согласно табл. 4.1 [1] в зависимости от назначения здания и сводятся в таблицу 1.2, где также приводится расчетный перепад между температурой внутреннего и температурой внутренней поверхности рассчитываемых ограждающих конструкций согласно табл. 5.5 [1].

Таблица 1.2 - Расчетные параметры внутреннего воздуха

Наименование параметра

Единица измерения

Значение

Расчетная температура внутреннего воздуха помещений здания tв

ºС

18

Расчетная относительная влажность внутреннего воздуха помещений φв

%

55

Расчетный перепад между температурой внутреннего воздуха и температурой поверхности стены Δtвс

ºС

6


Согласно [4] принимаем следующие расчетные параметры внутреннего воздуха:

-       жилая комната tв=18ºC;

-       кухня tв=18ºC;

-       ванная tв=25ºC;

-       туалет tв=18ºC;

-       совмещенный санузел tв=25ºC.

В угловых помещениях температура внутреннего воздуха принимается выше на 2ºС (t = tв+2).

Согласно табл. 4.2 [1] при данных расчетных условиях в помещениях жилого здания влажностный режим помещений - нормальный, а условия эксплуатации наружных ограждающих конструкций Б.

. Определение сопротивления теплопередаче наружной стены, чердачного перекрытия и перекрытия над неотапливаемым подвалом

К ограждающим конструкциям относят те, через которые происходят потери тепла:

. Наружные стены НС;

. Чердачные перекрытия (потолок) Пт;

. Перекрытия над неотапливаемым подвалом (пол) Пл;

. Окна (тройное остекление) То.

В данной курсовой работе рассматривается двухслойная наружная ограждающая конструкция из известняка и газо- и пенозолобетона со следующими характеристиками:

Таблица 2.1 Характеристики материалов стены

N слоя

Наименование материала

Плотность ρ, кг/м3

Толщина слоя, , мм

Расчетные коэффициенты





теплопроводности λ, Вт/(м·°С)

теплоусвоения s, Вт/ (м2·°С)

паропроницаемости μ, мг/(м·ч·Па)

1

Газо-и пенозолобетон

1000

х

0,5

8,01

0,098

2

Известняк

1400

50

0,58

7,72

0,11



Рис. 2.1 ‒ Конструкция наружной стены

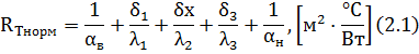
В соответствии с [1] сопротивление теплопередаче ограждающих конструкций или сооружений RT принимаем равное не менее значения, указанного в таблице 5.1:

RT≥RTнорм

Для наружной стены принимаем значение RTнорм= 3,2 м2ºС /Вт.

Определим толщину стены, исходя из формулы сопротивления теплопередачи:


Где

αв - коэффициент теплоотдачи внутренней поверхности ограждающей поверхности ограждающей конструкции, Вт/(м2ºС);

αн - коэффициент теплоотдачи наружной поверхности ограждающей конструкции для зимних условий, Вт/(м2ºС);

d - толщина стены, м;

λ - коэффициент теплопроводности материала, Вт/моС.

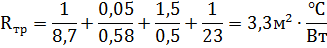
В данной курсовой работе  αв = 8,7 Вт/мС, αн=23 Вт/мС, толщина слоя известняка .

Подставив все известные величины определим нужную толщину газо- и пенозолобетона:


Теперь, зная все величины, вычислим Rтр по формуле (2.1), т.к. после округления толщины значение изменится:


Нормативное сопротивление теплопередаче остальных ограждающих конструкций принимается в соответствии с [1]:

-       для перекрытий над подвалом 2,5 м2ºС /Вт;

-       для чердачных перекрытий 6,0 м2ºС /Вт;

-       для световых проемов, окон 1 м2ºС /Вт.

3. Расчет тепловлажностного режима наружной стены

Для обеспечения расчетных значений сопротивления теплопередаче при эксплуатации ограждающих конструкций, последние должны находиться в соответствующих тепловлажностных условиях, что определяется параметрами воздушной среды внутри и снаружи помещения и сопротивлением паропроницанию ограждающей конструкции.

Цель данного расчета - исключить выпадение конденсата при прохождении водяных паров через стену в холодный период. Определять температуру в плоскости возможной конденсации при расчетных температурах внутреннего и наружного воздуха будем по формуле:

, (3.1)

где   расчетная температура внутреннего воздуха, принимаемая по [1, прил. Ж],

  расчетная температура наружного воздуха для определения сопротивления паропроницанию, в качестве которой принимается средняя температура наружного воздуха за отопительный период, по [1,табл. 4.4],

 коэффициент теплоотдачи внутренней поверхности ограждающей конструкции, принимаемый по [1,табл. 5.4], 2

  сопротивление теплоотдаче ограждающей конструкции, ;

  термические сопротивления слоев многослойной конструкции или части однослойной конструкции, :


Определим температуру в плоскости возможной конденсации:


Аналогичным путем найдем :

;

Далее по [1, прил. Е ] определяем максимальные парциальные давления Е, причем

= 1982,7 Па;

Е2 = 1911,8 Па;

Е3 = 581,2 Па;

Определять парциальное давление водяного пара будем по формуле:


где  - парциальное давление водяного пара внутреннего воздуха при расчетных температуре и относительной влажности этого воздуха, Па, определяемое по формуле:


где  расчетная относительная влажность внутреннего воздуха, принимаемая по [1, табл. 4.4],

  максимальное парциальное давление внутреннего воздуха, Па.

Найдем :


 парциальное давление водяного пара наружного воздуха при средней температуре наружного воздуха за отопительный период, Па, определяемое по формуле:


где  средняя относительная влажность наружного воздуха за отопительный период, принимаемая по [1,табл. 4.4],

 максимальное парциальное давление водяного пара наружного воздуха, Па.

Найдем


 общее сопротивление паропроницаемости конструкции, , определяется по формуле:


где   коэффициент паропроницаемости, определяется по [1, прил. А, для условий эксплуатации "Б"],.

 для газо- и пенозолобетона;

  для известняка.

Определим сопротивление паропроницаемости конструкции:


Определим значение парциального давления водяного пара:


Таблица 3.1. Значения максимальных парциальных давлений в плоскостях наружной стены

Температура t, ºС

Максимальное парциальное давление водяного пара Е, Па

Парциальное давление водяного пара е, Па

18

2064

-

17,32

1982,7

1135,2

16,79

1911,8

1116,8

-0,38

581,2

492,6

-1,6

591,0

-


По полученным значениям строим график распределения температур, парциальных и максимальных парциальных давлений водяного пара в стене (рис. 3.1).

Рис 3.1 ‒ График тепловлажностного режима наружной стены

Рассчитаем требуемое сопротивление паропроницанию. Сопротивление паропроницанию наружной стены в пределах от плоскости возможной конденсации до наружной поверхности стены:


Для плоскости возможной конденсации Ек = 581,2 Па. Тогда


Сопротивление паропроницанию наружной стены в пределах от внутренней поверхности до плоскости возможной конденсации:


Так как Rп.в. > R п.тр., то устройство пароизоляции не требуется.

. Выбор конструкции заполнения световых проемов

Для заполнения световых проемов окна Rт = 1,0 м2ºС /Вт.

В качестве заполнения световых проемов принимаем тройное остекление в деревянных раздельно спаянных переплетах с селективным покрытием стенки и заполнением камер стеклопакета инертным газом.

Тип местности: городская застройка.

Для обеспечения нормативной воздухопроницаемости окон необходимо, чтобы сопротивление составляло требуемое значение:


где Dр - расчетная разность давления воздуха на наружной и внутренней поверхностях ограждающих конструкций, Па;

Gнopм - нормативная воздухопроницаемость ограждающих конструкций, кг/(м2×ч), Gнopм = 10,0 кг/(м2·ч).

Расчетную разность давления воздуха на наружной и внутренней поверхностях ограждающей конструкции Dp, Па, следует определять по формуле:


где H - расстояние между серединой окна и устьем вентиляционной шахты, м; Н=8,1 м;- отметка середины окна; h=1,45 м;- ускорение свободного падения; 9,81 м/с2;

 - удельный вес, соответственно, наружного и внутреннего воздуха, Н/м3; определяются по формулам:


 - плотность наружного воздуха, кг/м3;

ср - средняя скорость воздуха за январь; Uср = 4,1 м/с;

 - динамика давления потока воздуха;

Сн, Сп  аэродинамические коэффициенты, соответственно, наветренной и подветренной поверхностей ограждающих конструкций здания, принимаемые по прил.4 [7];

Сн = 0,8;

Сп= -0,6. коэффициент учета изменения скоростного давления ветра в зависимости от высоты здания, принимаемый по табл.6 [7]; Ki = 0,4.

Рассчитаем  для всех этажей:


2 = 14,54 Па;

3 = 9,01 Па.

Рассчитаем требуемое сопротивление воздухопроницаемости для первого этажа:


 = 0,13 (м2×ч×Па)/кг

 = 0,09 (м2×ч×Па)/кг

Зная конструкцию окна и сопротивление воздухопроницаемости, из прил. Д [1] выбирается число уплотненных притворов и вид уплотнителя для каждого из этажей соответственно:

Таблица 4.1 ‒ Заполнение световых проемов

№ этажа

Разность отметок верха карниза и середины окна, м

Коэффициент учета изменения скоростного давления ветра в зависимости от высоты здания, ki

Расчетная разность давления воздуха Δр, Па

Сопротивление воздухопроницания окон Rв.тр, (м2чПа)/кг

Вид уплотнителя

Количество уплотненных притворов заполнения

1

6,65

0,4

19,94

0,16

Губчатая резина

1

2

3,95

0,4

14,54

0,13

Губчатая резина

1

3

1,25

0,4

9,01

0,09

Губчатая резина

1


5. Расчет теплового баланса одного рядового и одного углового помещения на всех этажах

Тепловой баланс составляется для определения количества теплоты, которое необходимо подавать в помещение для поддержания расчетной температуры.

Тепловой баланс (тепловая нагрузка) обозначается Q4, Вт, и определяется по формуле:

, (5.1)

где  основные и добавочные теплопотери через ограждающую конструкцию помещения, Вт;- расход теплоты на нагревание инфильтрующегося наружного воздуха через ограждающие конструкции помещения, Вт;- суммарный тепловой поток, регулярно поступающий в помещения здания от электрических приборов, освещения и других источников, Вт;

 коэффициент, принимаемый в зависимости от способа регулирования системы отопления по табл. А1 [4].

Расчетные основные и добавочные потери теплоты определяются суммой потерь теплоты через отдельные ограждающие конструкции Q, Вт, для помещений по формуле:

) · n · (1+, (5.2)

где k=1/Rт - коэффициент теплопередачи ограждающей конструкции, Вт/(м20С);т - сопротивление теплопередаче, (м2 0С)/Вт:т=6,0  чердачные перекрытия;т=2,5  перекрытие над подвалом;- коэффициент, принимаемый по табл. 5.3 [1] в зависимости от положения наружной поверхности ограждающих конструкций по отношению к наружному воздуху:=0,9 - для чердачных перекрытий;=0,75 - для подвальных перекрытий;

А - площадь ограждения, м2;

Σβ - добавочные потери теплоты в долях от основных потерь, определяемые в соответствии с прил. Ж [4]:

Σβ = 0,1(С,СВ,СЗ,В); Σβ =0 (Ю,ЮЗ); Σβ =0,05(З,ЮВ)

В угловых помещениях  дополнительно по 0,05 на каждую стену, дверь и окно.

tв расчетная температура воздуха в помещении, 18°С - для рядового помещения, 20°С - для углового помещения;н - расчетная температура наружного воздуха для холодного периода года при расчете потерь теплоты через наружные ограждающие конструкции, равная температуре наиболее холодной пятидневки обеспеченностью 0,92, принимаемая по т. 4.3 [1], -24 ºС.

Таблица 5.1.

Наименование ограждения

Размеры, м

Площадь А, м²

Ориентация

Коэффициент теплопередачи k Вт/м2·С°

Температура помещения, С°

Разность температур, С°

Коэффициент n

1+β

Потери Q, Вт



а

h(b)









1

2

3

4

5

6

7

8

9

10

11

12

1 этаж

Угловая

НС1

3,2

2,7

8,64-1,68=6,96

С

0,30

20

44

1

1,1

101,06

105

НС2

5,6

2,7

15,12

З

0,30

20

44

1

1,05

209,56

 

ТО

1,4

1,2

1,68

С

1,0

20

44

1

1,1

81,31

 

Пл

5,2

2,8

14,56

-

0,4

20

44

0,75

-

192,19












∑584,12

Рядовая

НС1

6,0

2,7

16,2-3,57=12,63

С

0,30

18

42

1

1,1

175,05

104

ТО

1,4

1,2

1,68

С

1,0

18

42

1

1,1

77,62

0,9

2,1

1,89

С

1,0

18

42

1

1,1

87,32

 

Пл

5,2

6,0

31,2

-

0,4

18

42

0,75

-

393,12












∑733,11

2 этаж

Угловая

НС1

3,0

2,7

8,64-1,68=6,96

С

0,30

20

44

1

1,1

101,06

205

НС2

5,6

2,7

15,12

З

0,30

20

44

1

1,05

209,56

 

ТО

1,4

1,2

1,68

С

1,0

20

44

1

1,1

81,31












∑391,93

Рядовая

НС1

6,0

2,7

16,2-3,57=12,63

С

0,30

18

42

1

1,1

175,05

204

ТО

1,4

1,2

1,68

С

1,0

18

42

1

1,1

77,62

 

БД

0,9

2,1

1,89

С

1,0

18

42

1

1,1

87,32












∑339,99

3 этаж

Угловая

НС1

3,2

2,7

8,64-1,68=6,96

С

0,30

20

44

1

1,1

101,06

305

НС2

5,6

2,7

15,12

З

0,30

20

44

1

1,05

209,56

 

ТО

1,4

1,2

1,68

С

1,0

20

44

1

1,1

81,31

 

Пт

5,2

2,8

31,2

-

0,17

20

44

0,9

-

210,04












∑601,97

Рядовая

НС1

6,0

2,7

16,2-3,57=12,63

С

0,30

18

42

1

1,1

175,05

304

ТО

1,4

1,2

1,68

С

1,0

18

42

1

1,1

77,62


БД

0,9

2,1

1,89

С

1,0

18

42

1

1,1

87,32

 

Пт

5,2

6,0

31,2

-

0,17

18

42

0,9

-

200,49












∑540,48



Расход теплоты на нагревание инфильтрующегося наружного воздуха Qi, Вт, будем вычислять по формуле:

 (5.3)

где F - жилая площадь, м2.

Бытовые тепловыделения Qh, Вт, вычисляются по формуле

. (5.4)

Определяем основные и добавочные потери теплоты помещения, полученные значения заносим в таблицу 5.2.

Таблица 5.2 ‒ Определение теплового баланса

Номер помещения

tB-tH, ºC

Площадь помещения F, м2

Q, Вт

Qi, Вт

Qh, Вт

Qh·(1-1), Вт

Q4, Вт

104

44

14,56

584,12

640,64

305,8

61,16

1163,6

105

42

31,2

733,11

1310,4

655,2

131,04

1912,47

204

44

14,56

391,93

640,64

305,8

61,16

971,41

205

42

31,2

339,99

1310,4

655,2

131,04

1519,35

304

44

14,56

601,97

640,64

305,8

61,16

1181,45

305

42

31,2

540,48

1310,4

655,2

131,04

1719,84


. Описание принципа работы проектируемой системы отопления

Проектируемая система отопления является водяной однотрубной системой с нижней разводкой подающей и обратной магистралей. Нижняя разводка - это такая организация системы отопления, при которой трубы, подводящие подогретый теплоноситель к радиаторам и отводящие его в остывшем виде, находятся на уровне пола или скрыты в напольном покрытии.

В однотрубных системах с нижней разводкой теплоноситель из генератора теплоты поступает в подающие магистрали, расположенные внизу системы, откуда по восходящей части стояка поднимается вверх к отопительным приборам. В верхней части системы восходящая часть стояка переходит в нисходящую часть, которая присоединяется к обратной магистрали. Вода из нисходящей части стояка по обратной магистрали возвращается в генератор теплоты для повторного нагрева.

Отопительные приборы присоединяют к восходящей и нисходящей частям стояка. При непарных отопительных приборах свободной от отопительных приборов делают восходящую часть стояка.

Для большинства вертикальных однотрубных стояков характерно одностороннее присоединение отопительных приборов к стояку. Это, хотя и увеличивает число стояков, однако позволяет унифицировать приборные узлы как по диаметру, так и по длине труб. Одностороннее присоединение отопительных приборов к стояку позволяет размещать трубопровод стояка на любом расстоянии.

В таких системах вода циркулирует в нагревательных приборах и стояках, которые их питают, вследствие разности температур воды в тех и других.

Рис. 6.1 ‒ Однотрубная система водяного отопления с непосредственным присоединения к тепловой сети централизованного теплоснабжения

Таким образом, стояки разделяются на подъемные и опускные, но в верхней части, обычно над полом верхнего этажа, они соединяются горизонтальным участком.

Устройство системы следующее:

-       приоконные стояки располагаются на расстоянии 150 мм от края оконного проема;

-       стояки и подводки к приборам имеют один и тот же диаметр (15 или 20 мм), независимо от этажности здания;

-       подводки к приборам постоянной длины (до 500 мм); приборы смещены от оси окна в сторону стояка.

Для регулирования теплопередачи нагревательных приборов устанавливают трехходовые краны, а при смещенных замыкающих участках  краны двойной регулировки.

. Определение числа секций отопительных приборов в рассчитанных помещениях на всех этажах

Для однотрубной вертикальной системы отопления с нижней разводкой (подающая магистраль расположена в подвале) следует определить требуемое минимальное число секций радиаторов типа МС-90-108.

Номинальный тепловой поток одной секции радиатора МС-90-108 равен , согласно прил. 10 [6].

Расчётные параметры системы отопления , , , .

Рассчитываем стояки комнат:

. Определяем количество теплоты, отдаваемое всеми отопительным приборами, присоединенными к данному стояку по формуле

Qст/у =ΣQпр = 3316,46 Вт;ст/р =ΣQпр= 5151,66 Вт.

. Определяем количество теплоносителя, проходящего через стояки по формуле


. Коэффициент затекания принимается α = 1, отсюда определяем количество воды, проходящей через каждый нагревательный прибор по формуле


Суммарное понижение температуры воды подающей магистрали принимаем равным  .

Температура подающей воды на входе в рассматриваемые стояки определяется по формуле



Расчетные температуры на стояке между узлами отопительных приборов вычисляются по формуле


Значение тепловой нагрузки отопительного прибора соответствует расчетной тепловой нагрузке данного помещения .

Результаты расчета сведены в таблицу 7.1.

Таблица 7.1 ‒ Температура между узлами отопительных приборов

Узлы

Угловое помещение

Рядовое помещение


ti

Qпр

Qст

ti

Qпр

Qст

на входе (t1)

78,9



78,9



между 1-2 (t2)

72,29

1163,6

3316,46

71,91

1912,47

5151,66

между 2-3 (t3)

66,81

971,41

3316,46

66,43

1519,35

5151,66

на выходе (t0)

60,0

1181,45

3316,46

60,0

1719,84

5151,66


Последнее вычисление выполняется в качестве проверки достоверности ранее выполненных расчетов.

Среднюю температуру отопительных приборов вычисляем, принимая  (по прил. М [4])  коэффициент учета дополнительного теплового потока за счет округления сверх расчетной величины,  (по прил. М [4]) - коэффициент учета дополнительных потерь через наружные ограждения, по формуле:


где   коэффициент учета дополнительного теплового потока за счет округления сверх расчетной величины;

 - коэффициент учета дополнительных потерь через наружные ограждения;

 - температура на входе в прибор, 0С;

 - коэффициент затекания воды в отопительный прибор, ;

 - расчетный расход воды в стояке, кг/ч.

Данные расчетов сведены в таблицу 7.2.

Таблица 7.2.

Прибор на этаже

Средняя температура отопительных приборов


tср угловое помещение

tср рядовое помещение

прибор 1-го этажа

75,21

75,00

прибор 2-го этажа

72,14

71,90

прибор 3-го этажа

68,39


Среднюю расчетную разность температур трубопровода и воздуха определяем по формуле:


Данные расчетов сведены в таблицу 7.3.

Таблица 7.3 ‒ Расчетная разность температур

Участок

Δtср угловое помещение

Δtср рядовое помещение


55,21

57,00


55,14

53,90


48,40

50,39


Вычисляем тепловой поток Q3 от трубопроводов, открыто проходящих в рассматриваемом помещении:


где  - соответственно теплоотдача 1 м.п. горизонтального и вертикального неизолированного теплопровода, Вт/м (по [6] прил. II, табл. II.22 для ), определяется по разности температур (табл. 7.3).

Данные расчетов сведены в таблицу 7.4.

Таблица 7.4 ‒ Определение теплового потока Q3

Этаж

Угловое помещение

Рядовое помещение


Δtср

qв, Вт/м

qг, Вт/м

Q3/угл, Вт

Δtср

qв, Вт/м

qг, Вт/м

Q3/ряд, Вт

1

55,21

53

68

183,9

57,00

56

71

193,8

2

55,14

53

68

183,9

53,90

52

66

180,0

3

48,40

46

60

160,2

50,39

47

60

162,9


Расчетный требуемый тепловой поток отопительного прибора рассчитываем по формуле:


Данные расчетов сведены в таблицу 7.5.

Таблица 7.5 ‒ Определение теплового потока Q1

№ этажа

Q1/угл, Вт

Q1/ряд, Вт

1

998,09

1738,05

2

805,9

1357,35

3

1037,27

1573,23


Номинальный требуемый тепловой поток Qн.т., Вт, отопительного прибора вычисляется по формуле:


где  - коэффициент учета способа установки прибора (по табл. 10.2 [9]), радиатор устанавливается под подоконной доской В=40 мм;


где  - расчетный расход воды через отопительный прибор, кг/ч;

 = 360 кг/ч;

 0С - для приборов отечественного производства;= 0,25 и p = 0,04 - эмпирические показатели, принимаемые по таблицам 10.3 и 10.4 соответственно [9].

Результаты вычислений сведены в таблицу 7.6.

Таблица 7.6 ‒ Значения номинального требуемого теплового потока отопительного прибора

№ этажа

φугл

Qн.т./угл, Вт

φряд

Qн.т./ряд, Вт

1

0,71

1476,05

0,75

2433,27

2

0,72

1175,27

0,71

2007,35

3

0,61

1785,46

0,71

2326,61


Требуемое минимальное число секций отопительных приборов определяется по формуле:


где  - коэффициент учета числа секций в приборе (по табл. 10.5 [9]);

 - если число секций до 15;

 - если число секций от 16 до 20;

 - номинальный тепловой поток одной секции = 150 Вт (прил. 10 [6)].

Данные сведены в таблицу 7.7.

Таблица 7.7 ‒ Требуемое количество секций отопительных приборов

№ этажа

Qн.т./угл, Вт

Nмин/угл

Nприн/угл

Qн.т./ряд, Вт

Nмин/ряд

Nприн/ряд

1

1476,05

9,84

10

2433,27

16,22

16

2

1175,27

7,83

8

2007,35

13,38

13

3

1785,46

11,90

12

2326,61

15,51

16


. Описание принципа работы системы вентиляции с естественным побуждением движения воздуха

Канальными системами естественной вентиляции называются системы, в которых подача наружного воздуха или удаление загрязненного осуществляется по специальным каналам, предусмотренным в конструкциях здания, или приставным воздуховодам. Воздух в этих системах перемещается вследствие разности давлений наружного и внутреннего воздуха.

В системах естественной вентиляции величина располагаемого давления, которое расходуется на преодоление сопротивления движению воздуха по каналам и другим элементам системы, незначительна и непостоянна.

Вытяжная естественная канальная вентиляция осуществляется преимущественно в жилых и общественных зданиях для помещений, не требующих воздухообмена больше однократного.

Вытяжная естественная канальная вентиляция (рис. 4) состоит из вертикальных внутристенных или приставных каналов с отверстиями, закрытыми жалюзийными решетками, сборных горизонтальных воздуховодов и вытяжной шахты. Для усиления вытяжки воздуха из помещений на шахте часто устанавливают специальную насадку  дефлектор. Загрязненный воздух из помещений поступает через жалюзийную решетку в канал, поднимается вверх, достигая сборных воздуховодов, и оттуда выходит через шахту в атмосферу.

Вытяжка из помещений регулируется жалюзийными решетками в вытяжных отверстиях, а также дроссель-клапанами или задвижками, устанавливаемыми в сборном воздуховоде и в шахте.

Рис. 4. Схема естественной канальной вентиляции

. Расчет воздухообмена помещений рассматриваемой квартиры

Воздухообмен в помещениях жилых домов определяют с учетом требований норм. Воздух, удаляемый из жилых комнат, является приточным для кухни, санузла и ванной. Такая схема воздухообмена предотвращает нежелательное обратное движение воздуха из вспомогательных помещений в жилье. Следовательно, каналы кухни, санузла и ванной удаляют воздух, который поглотил вредности жилых комнат и вспомогательных помещений. Суммарное его количество должно быть равным или больше требуемого воздухообмена жилых комнат квартиры.

Приток воздуха осуществляется путём инфильтрации через световые проёмы или, для более интенсивного проветривания, через открытые форточки, окна.

Для расчёта необходимо определить объём воздуха, поступившего в квартиру и удаляемого из неё в единицу времени. Приведены значения удаляемого воздуха:кух=90 м3/ч (четырёх конфорочная плита)кух=75 м3/ч (трех конфорочная плита)кух=60 м3/ч (двух конфорочная)в.к = 25 м3/ч (для ванной комнаты и туалета)

Совмещенный санитарный узел - 50 м3/ч.

Вытяжка осуществляется индивидуально из кухни, совместно из ванной комнаты и уборной. Объединение в один сборный вертикальный канал вентиляционных каналов из кухонь и санитарных узлов, располагаемых на разных этажах, допускают не ближе чем через этаж. При этом каналы, подключаемые к сборным, должны быть оборудованы решетками, позволяющими монтажную регулировку.

Объём приточного воздуха в единицу времени составляет:пр = 3 м3/ч - на 1 м2 жилой площади квартиры.

п.норм = 3∑Fжил, м3

∑Fжил - площадь жилых комнат

в.норм = Lкух + Lван + Lтуалп.норм = Lв.нормп. расч = 3·(18,6+14,7) = 100 м3/чв. расч = 60 + 25 + 25 = 110 м3

Т.к. Lв. расч > Lв.норм, то обеспечивается устойчивая работа вентиляции.

10. Аэродинамический расчет вентсистемы для удаления воздуха из квартиры верхнего этажа

Цель аэродинамического расчета - подобрать размеры воздуховодов, каналов, вентиляционных решеток.

Выполнять расчет будем для канала удаляющего воздух из кухни.

Площадь поперечного сечения каналов, воздуховодов, м2, вычисляется по формуле:


где  расход нормативного удаляемого воздуха из кухни, в данной курсовой работе  м3/час;

 рекомендуемая скорость движения воздуха в канале, воздуховоде, принимаемая по [5, табл. 2.16 и рис. 2.3], м/с.

Примем  м/с, тогда


Выбираем размеры для канала и решетки по формуле:


Таблица 9.1.

Решетка

Окно в воздуховоде, мм

Площадь живого сечения , м2

Р150

150

0,0144

Р200

200

0,0256



Так как , к установке принимаются 2 щелевые решетки типа Р150  (2 Р150).

Определяем действительную расчетную скорость движения воздуха в решетке, м/с, по формуле:


Размеры канала принимаем 160х160 мм. Действительная расчетная скорость движения воздуха в канале, м/с, составит:


Определим общую потерю давления в сети, Па:


где  потеря давления на отдельных участках, Па;


где R - удельные потери давления на трение, принимаем R = 0,0484, Па/м по [5, табл. 2.22];

 длина участка воздуховода, м:

м

- поправочный коэффициент, зависит от абсолютной эквивалентной шероховатости воздуховодов, принимаем n=1,16 по [5, табл. 2.23];

 динамическое давление, вычисляем по формуле, Па:


где  плотность внутреннего воздуха, принимаем  кг/м3

Вычисляем динамическое давление воздуха в решетке:


Вычисляем динамическое давление воздуха в канале:


 - сумма коэффициентов местных сопротивлений на расчетном участке воздуховода;

-       для канала: ;

-       для решетки: .

Определим потерю давлений  в воздуховоде по формуле:

 Па

Определим потерю давлений на входе в воздуховод через решетку:

 Па

Определим общую потерю давления в сети по формуле (9.2):


При расчете должно выполняться условие:


где  гравитационное давление, действующее в вытяжных каналах соответствующих этажей, вычисляем по формуле:


где   коэффициент запаса, принимаем =0,9;

  разность отметок середины решетки и устья вытяжной шахты:

 м

  плотность наружного и внутреннего воздуха, соответственно;

Определим значение гравитационного давления:

 Па

Проверим условие правильности выбора размеров вентиляционного канала:


Поскольку 0,0050,16, то размеры вентиляционного канала выбраны верно и соответствуют эксплуатационным требованиям.

Заключение

В соответствии с заданием и исходными данными произведены расчеты и конструирование системы отопления и системы вентиляции для трехэтажного жилого здания г. Гомеля. Проектируемая система централизованного отопления водяная, однотрубная с нижней разводкой. Система вентиляции естественная канальная.

Настоящим проектом произведен выбор расчетных параметров воздуха, определена величина сопротивления теплопередаче всех наружных стен, составлен тепловой баланс помещений. Исходя из этих величин, произведен расчет необходимого количества радиаторов в помещении.

Все расчеты произведены в соответствии с нормативными требованиями, предъявляемыми к проектированию.

Результаты расчетов и конструирования систем отопления и вентиляции отображены на разрезе и планах подвала, чердака и типового этажей здания. Задание на проектирование систем отопления и вентиляции многоэтажного жилого дома выполнено.

Список использованных источников

1. Строительная теплотехника. Строительные нормы проектирования: ТКП 45-2.04-43-2006 (02250), с изменениями № 1 и №3. Мн., 2007. 35.с

. СНБ 2.04.02-2000. Строительная климатология (с Изменением №1), Мн., 2001.

. СНБ 3.02.04-03. Жилые здания, Мн., 2003.

. СНБ 4.02.01-03. Отопление, вентиляция и кондиционирование воздуха, Мн., 2004.

. Теплоснабжение и вентиляция. Курсовое и дипломное проектирование / под. ред. проф. Хрусталева Б.М. М.: Издательство АСВ, 2008.

. Справочник проектировщика. Часть 1. Отопление / под. ред. Староверова И.Г. и Шиллера Ю.И. М.: Стройиздат, 1991.

. СНиП 2-01-07-85. Нагрузки и воздействия, М., 1986.

. Тихомиров К.В. Теплотехника, теплогазоснабжение и вентиляция. М.: Стройиздат, 1991.

. Покотилов В.В. Системы водяного отопления. Вена, 2008.

Похожие работы на - Расчет и конструирование системы отопления и системы вентиляции для трехэтажного жилого здания

 

Не нашли материал для своей работы?
Поможем написать уникальную работу
Без плагиата!
Без нейросетей!