Организационно-экономический анализ эффективности функционирования канала транспортировки строительных и отделочных материалов от производителя до объекта строительства

  • Вид работы:
    Курсовая работа (т)
  • Предмет:
    Маркетинг
  • Язык:
    Русский
    ,
    Формат файла:
    MS Word
    269,19 Кб
  • Опубликовано:
    2016-06-06
Вы можете узнать стоимость помощи в написании студенческой работы.
Помощь в написании работы, которую точно примут!

Организационно-экономический анализ эффективности функционирования канала транспортировки строительных и отделочных материалов от производителя до объекта строительства















Организационно-экономический анализ эффективности функционирования канала транспортировки строительных и отделочных материалов от производителя до объекта строительства

План

Введение

Раздел 1. Теоретико-методологические аспекты эффективности функционирования каналов распределения продукции

.1 Сущность и значение транспортной логистики

.2 Логистические концепции MRP и JIT в логистике

Раздел 2. Анализ эффективности функционирования канала транспортировки строительных и отделочных материалов от производителя до обьекта строительства

.1 Характеристика канала транспортировки строительных и отделочных материалов в условиях ЗАО «Белгородский цемент»

.2 Повышение эффективности функционирования канала транспортировки в условиях ЗАО «Белгородский цемент»

Заключение

Глоссарий

Список использованной литературы

Введение


В современных условиях рынок предъявляет к каждому субъекту финансово-хозяйственной деятельности достаточно жесткие условия, а проблемы в экономике России лишь усугубляют и без того тяжелое положение многих российских предприятий. Чтобы выжить и успешно функционировать в таких условиях, предприятию уже недостаточно просто производить продукцию в максимально возможном объеме, выполняя свои внутренние планы, важно эту продукцию затем еще и реализовать. А ведь в условиях жесткой конкурентной борьбы выживает только то предприятие, которое сможет предложить рынку качественную продукцию по более низкой цене, чем у конкурентов.

Цена продукции зависит не только от затрат на ее производство, но и от затрат на ее транспортировку, складирование, реализацию и т.д. Снижая эти затраты, мы снижаем себестоимость, повышая таким образом свою прибыль. Именно этими вопросами (и не только ими) занимается распределительная логистика.

Логистика - часть экономической науки и область деятельности, предмет которой заключается в организации рационального процесса продвижения товаров и услуг от производителей к потребителям, функционирования сферы обращения продукции, товаров, услуг, управления товарными запасами, создания инфраструктуры товародвижения.

С позиции менеджмента организации логистику можно рассматривать как стратегическое управление материальными потоками в процессе закупки, снабжения, перевозки, продажи, и хранения материалов, деталей и готового инвентаря (техники и проч.). Понятие включает в себя также управление соответствующими потоками информации, а также финансовыми потоками. Логистика направлена на оптимизацию издержек и рационализацию процесса производства, сбыта и сопутствующего сервиса как в рамках одного предприятия, так и для группы предприятий.

Целью данной работы является проведение организационно-экономического анализа эффективности функционирования канала транспортировки строительных и отделочных материалов от производителя до объекта строительства.

Исходя из данной цели были поставлены следующие задачи:

- определение сущности и значения транспортной логистики;

-       определение сущности логистических концепций MRP и JIT;

-       анализ эффективности функционирования канала транспортировки на примере конкретного предприятия;

-       разработка путей повышения эффективности функционирования канала транспортировки.

Объектом исследования является система распределительной логистики в условиях конкретного предприятия

Предметом исследования является механизм функционирования канала транспортировки строительных и отделочных материалов от производителя до объекта строительства.

Раздел 1. Теоретико-методологические аспекты эффективности функционирования каналов распределения продукции


1.1 Сущность и значение транспортной логистики

логистика транспортировка канал

Распределительная логистика - это управление транспортированием, складированием и всеми логистическими операциями, совершаемыми в процессе доведения ГП до потребителя в соответствии с интересами и требованиями последнего, а также передачи, хранения и обработки соответствующей информации. В обобщенном виде распределительную логистику можно рассматривать в следующих двух аспектах [1]:

) как изучение потребностей рынка (маркетинг);

) как способы и методы наиболее полного удовлетворения этих потребностей путем эффективной организации транспортно-экспедиционного, складского процессов, обслуживания потребителей.

Принципиальное отличие распределительной логистики от традиционного подхода к организации сбыта и продажи заключается в следующем:

- подчинение процесса управления МП целям и задачам маркетинга;

-       системная взаимосвязь процессов распределения, производства и закупок;

-       системная взаимосвязь всех функций внутри самого распределения.

Важность распределительной логистики определяется тем, что улучшение работы в сфере распределения товаров не требует таких больших дополнительных капиталовложений, как, например, освоение выпуска нового товара, и при этом обеспечивает высокую конкурентоспособность поставщика за счет снижения себестоимости, сокращения времени выполнения заказа, соблюдения согласованного графика поставок. Денежные средства, вложенные в сферу распределения, влияют на положение поставщика на рынке гораздо сильнее, чем те же средства, вложенные в сферу производства. Т.е. высокая конкурентоспособность зависит не от величины капитальных вложений, а от умения правильно организовать логистический процесс [10].

Задачи распределительной логистики:

) На микроуровне

- планирование процесса реализации товара;

-       организация получения и обработки заказа;

-       выбор вида упаковки, принятие решений о комплектации, организация выполнения операций, предшествующих отгрузке;

-       организация отгрузки продукции;

-       организация доставки и контроль транспортирования;

-       организация послереализационного обслуживания.

) На макроуровне

- выбор схемы распределения МП (канала доведения продукции до потребителя?);

-       определение оптимального количества РЦ (складов);

-       определение оптимального места расположения РЦ (складов) на обслуживаемой территории и др.

Логистический канал - это частично упорядоченное множество различных посредников (организаций или отдельных лиц), осуществляющих доведение МП от конкретного производителя до его потребителей. После того, как делается выбор конкретных участников процесса движения МП, логистический канал преобразуется в логистическую цепь. Использование посредников при распределении продукции позволяет производителям: сократить объем работ и финансовые средства на распределение продукции; вкладывать сэкономленные средства в основное производство; продавать продукцию более эффективными способами; более эффективно доводить продукцию до целевых рынков [2].

Традиционные каналы распределения являются горизонтальными. Они состоят из независимого производителя и одного или нескольких независимых посредников. Каждый участник канала представляет собой отдельное предприятие, стремящееся обеспечить себе максимальную прибыль. Максимально возможная прибыль отдельного участника канала может идти в ущерб максимальному извлечению прибыли системой в целом, так как ни один из членов канала не имеет полного или достаточного контроля над деятельностью остальных членов.

Вертикальные каналы распределения - это каналы, состоящие из производителя и одного или нескольких посредников, действующих как одна единая система. Один из участников канала, как правило, либо является собственником остальных компаний-участниц, либо предоставляет им определенные привилегии. Таким участником может быть производитель, оптовый или розничный посредник. Вертикальные каналы возникли как средство контроля поведения канала. Они экономичны и исключают дублирование членами канала выполняемых функций.

1.2 Логистические концепции MRP и JIT в логистике

(планирование потребности в материалах). Идея концепции «планирования потребностей в материалах» - сначала определяется, сколько и в какие сроки необходимо произвести ГП. Затем определяются время и необходимые количества МР для выполнения производственного расписания. Концепции «планирования потребностей/ресурсов» реализуют толкающие системы. Основная цель концепции - обеспечение потока плановых количеств МР и запасов продукции на горизонте планирования.

Необходимые условия реализации концепции «планирование потребностей/ресурсов»: использование эффективных математических методов прогнозирования, планирования, организации производственных процессов; наличие средств вычислительной техники, позволяющей автоматизировать решение оптимизационных задач, планирование и управление производством, оперативное управление технологическими процессами [3.

При выборе метода организации управления МП необходимо выяснить, с каким видом спроса имеет дело организация: зависимым или независимым. Если общий спрос формируется большим количеством отдельных покупателей, каждый из которых независимо от других нуждается в каком-то товаре, то имеет место независимый спрос. Если же, например, производитель использует ряд компонентов для изготовления продукта, то спрос на каждый из этих компонентов связан друг с другом и зависит от производственного плана изготовления конечного продукта. В этом случае имеет место зависимый спрос. При зависимом спросе становится возможным планирование потребности в материалах (material requirements planning) или MRP. Суть этого подхода заключается в расчете потребностей во всех видах материалов, сырья, комплектующих, деталей, необходимых для производства каждого продукта из основного графика в требуемом объеме, и подаче соответствующих заказов на поставку.

Преимущества MRP

- MRP оперирует данными не о прошлом потреблении, а о будущих потребностях.

-       снижение объема запасов, т.е. экономия финансов, площадей, персонала и т.д.

-       повышение скорости оборачиваемости запасов.

-       отсутствие задержек, вызванных нехваткой материалов.

-       уменьшение количества срочных заказов.

-       возможность использования данных MRP для планирования других логистических видов деятельности как на предприятии, так и в цепи поставок.

Проблемы MRP

- требуется большой объем подробной и точной информации и необходимых вычислений.

-       низкая гибкость не позволяет оперативно реагировать на внешние изменения.

-       наличие очень сложных систем управления большой размерности и загруженности, что может повлечь значительное число сбоев в системе.

-       размер заказов, предлагаемый MRP, может быть неэффективен.

-       MRP может не учитывать ограничений по мощности и другим параметрам.

-       дорогостоящее и долговременное внедрение.

Одним из масштабных расширений MRP является планирование производственных ресурсов (manufacturing resource planning) или MRPII, предусматривающее планирование всех другим производственных ресурсов: сотрудников, оборудование, сооружений, финансов, транспорта и т.д.

Концепция "точно в срок" (JIT). Идея концепции "точно в срок" - синхронизация процессов доставки МР и ГП в необходимых количествах точно к тому моменту, когда звенья логистической цепи в них нуждаются для выполнения заказа, заданного подразделением-потребителем. Концепции «точно в срок» реализуют тянущие системы. Цель концепции «точно в срок» - минимизация затрат, связанных с созданием запасов. Необходимые условия реализации концепции JIT [12]:

- наличие в экономической системе надежных поставщиков;

-       использование систем обмена информацией о требуемых МР, например, канбан для JIT;

-       высокая скорость физической доставки МР, в том числе за счет сокращения времени промежуточного хранения и ожидания грузопереработки;

В основе этой концепции лежит уверенность, что запасы возникают из-за плохого управления, плохой координации работ и поэтому проблемы прячутся в запасы. Отсюда следует вывод, что надо отыскать причины, вызывающие разницу между предложением и спросом, улучшить выполнение операций, после чего запасы исчезнут. В более широком значении JIT рассматривает предприятие как набор проблем, мешающих эффективному выполнению операций, например, большое время выполнения заказов, нестабильность доставки заказов, несбалансированные друг с другом операции, ограниченная мощность, поломки оборудования, бракованные материалы, перерывы в работе, ненадежные поставщики, низкое качество ГП, слишком большой объем бумажной работы и многое другое. Менеджеры пытаются решить эти проблемы, создавая запасы, приобретая дополнительные мощности, устанавливая резервное оборудование, приглашая специалистов по «тушению пожаров» и т.д. Однако на самом деле эти действия только скрывают причины проблем. Конструктивный подход заключается в том, чтобы выявить настоящие проблемы и решить их [10].

Преимущества JIT. В некоторых организациях, внедривших JIT, произошло сокращение запасов на 90 %; площадей, на которых выполняются работы, - до 40 %; затрат на снабжение - до 15 % и т.д. К преимуществам JIT относятся:

- сокращение запасов материалов и незавершенного производства;

-       сокращение времени выполнения запасов;

-       сокращение времени производства продукции;

-       повышение производительности;

-       использование оборудования с более высокой загрузкой;

-       повышение качества материалов и ГП;

-       снижение объема отходов;

-       более ответственное отношение сотрудников к работе;

-       улучшение отношений с поставщиками;

-       появление привычки конструктивно решать возникающие в ходе работы проблемы.

Проблемы реализации JIT

- высокие первоначальные инвестиции и затраты на реализацию JIT (покупка качественного дорогостоящего современного оборудования, затраты на подготовку специалистов и на высокую заработную плату, повышение затрат на производство вследствие небольших партий выпуска и т.д.).

-       неспособность справляться с непредвиденными обстоятельствами (поломки, забастовки работников поставки и др.).

-       зависимость от высокого качества поставляемых материалов.

-       необходимость работать в стабильном производстве, хотя спрос часто колеблется.

-       снижение гибкости в удовлетворении меняющихся запросов потребителей.

-       трудность сокращения времени на переналадку и связанных с этим затрат.

-       неспособность отдельных поставщиков работать в режиме JIT.

-       проблемы привязки JIT к другим информационным системам партнеров.

-       необходимость изменения общей планировки сооружений.

-       работа сотрудников в обстановке повышенного стресса.

-       отсутствие духа сотрудничества и доверия между работниками.

-       неспособность отдельных сотрудников взять на себя большую ответственность.

Распространение подхода MRPII на предприятия ЛЦ в соответствии с тенденцией внешней интеграции получило название планирование потребностей предприятия (enterprise requirements planning), или ERP. Пусть система MRP производителя определила требуемый объем поставок какого-то материала. Электронный обмен данными может связать систему MRP с системой поставщика. Тогда поставщик, зная, когда и сколько он должен доставить материалов, может начать составлять графики для своих операций, чтобы успеть к сроку. Если поставщики второго уровня связаны с системой MRP поставщика первого уровня, то они также могут начать свои приготовления. Таким образом, исходное сообщение перемещается по цепи поставок назад, обеспечивая интегрированное планирование в пределах всей ЛЦ [12].

Технически реализовать систему ERP помогает электронный обмен данными, система электронных платежей, Интернет и др. Проблемы заключаются в том, чтобы добиться полного доверия между организациями, обеспечить наличие согласованных систем на разных предприятиях и т.п. Программное обеспечение ERP стало доступно с 1990-х годов. В настоящее время рынок для него развивается очень быстро, на нем присутствуют такие компании как, SAPAG, BAAN, JD Edwards, SSA, PeopleSoft, Frontstep Inc. Некоторые компании, например Frontstep Inc, работают на территории России и СНГ, причем программное обеспечение адаптировано к российскому законодательству и условиям работы на российских рынках.заставляет поставщиков менять методы работы, чтобы обеспечивать более быстрые поставки, более высокое качество, меньшие партии и абсолютную надежность. Очевидный способ удовлетворять эти требования - самим поставщикам взять на вооружение методы JIT. Это гарантирует, что вся ЛЦ будет работать согласованно на основе одних и тех же целей и принципов. Концепция эффективной реакции на запросы потребителей (efficient consumer response), или ECR предполагает расширение зоны JIT на всю цепь поставок. Еще используются названия быстрая реакция (quick response, QR), планирование непрерывного пополнения (continuous replenishment planning, CPR).

В условиях ECR сообщение о требуемых материалах идет назад через цепь поставок, в результате чего МР перемещаются вперед, т. е. ECR «протягивает» МР через организации, входящие в ЛЦ [11].

Важнейшим элементов ЛС является складская сеть, через которую осуществляется распределение МП. Построение этой сети оказывает существенное влияние на издержки, возникающие в процессе доведения товара до потребителя, а значит и на конечную стоимость реализуемого товара. Так при наличии единственного склада (рис. 9.2, а) транспортные расходы по доставке товара потребителям будут весьма высоки. В случае пяти складов (рис. 9.2, с) транспортные расходы по товароснабжению будут минимальны, но увеличатся другие виды затрат, а именно: затраты на доставку товаров на склады; на управление всей этой распределительной системой. Существует возможность того, что дополнительные затраты в этом случае превысят выигрыш, полученный от сокращения пробега транспорта, доставляющего товар потребителям. Возможно, приемлемым может оказаться вариант с двумя складами (рис. 1.1, b).

Рис. 1.1. Организация распределения МП с различным количеством складов

Зависимость общих затрат на функционирование распределительной системы от количества складов представлена на рис. 1.2, где  - расходы на ближние перевозки, связанные с доставкой товаров со складов потребителям;  - расходы на дальние перевозки, связанные с доставкой товаров на склады распределительной системы;  - расходы на содержание запасов;  - расходы, связанные с эксплуатацией складского хозяйства;  - расходы, связанные с управлением складского хозяйства.

Рис. 1.2. Зависимость общих затрат от количества складов [10].

 

Раздел 2. Анализ эффективности функционирования канала транспортировки строительных и отделочных материалов от производителя до обьекта строительства


2.1 Характеристика канала транспортировки строительных и отделочных материалов в условиях ЗАО «Белгородский цемент»


ЗАО «Белгородский цемент» - одно из крупнейших промышленных предприятий России по производству стройматериалов. Первая технологическая линия введена в эксплуатацию в 1961 году. Промышленная площадка, на которой расположено предприятие, находится в 70 км от индустриального центра Средней России - города Белгорода.

За прошедший месяц белгородские цементники выполнили план по основным производственным показателям: добыче мела и глины, производству и отгрузке цемента.

Горный цех завода собственным транспортом произвёл вскрышных работ (добычу мела и глины) в объёме 177 тыс. тонн, это в 2,6 раза больше, чем за аналогичный период прошлого года.

Всего в январе «Белгородский цемент» выпустил 68 тыс. тонн цемента и 139 тыс. тонн клинкера (полуфабриката). Объём отгрузки товарной продукции (цемента и клинкера) составил 91,5 тыс. тонн, при этом цемента потребителям отгружено 70,4 тыс. тонн, что в 1,6 раза больше, чем за первый месяц 2010 года.

Завод имеет три упаковочные линии для тарирования цемента в типовые мешки (50 кг), производственной мощностью 1 050 000 тонн в год, и 1 линию для тарирования цемента в мешки типа «биг-бэг» (грузоподъемность 1-1,5 т), производственной мощностью 230 000 тонн в год.

На ЗАО «Белгородский цемент» разработана, внедрена и сертифицирована система управления качеством согласно требованиям стандарта ISO 9001-2000 компанией TNO Certification (Голландия). Сертифицированы четыре вида цемента на соответствие по европейскому стандарту EN 197-2 фирмой Landesmaterialprufamt Sachsen - Anhalt (г. Магдебург, Германия), в том числе цементы: EN 197-1 - CEM I 42.5 N, EN 197-1 - CEM II/A - S 32.5 R, EN 197-1 - CEM II/B - S 32.5 N, EN 197-1 - CEM III/A 32.5 N.

Вся продукция ЗАО «Белгородский цемент» имеет сертификат радиационной безопасности. Повышение эффективности работы по сертификации продукции на предприятии основывается на выполнении требований стандартов ISO 9001-2000 и EN 197-1.

Завод выпускает следующие марки цемента: цементы общестроительного назначения; ПЦ I-500-Н; ПЦ II/А-Ш-400 Р; ПЦ II/Б-Ш-400; ШПЦ III/А-400; портландцемент для производства асбестоцементных изделий ПЦ для АЦИ; сульфатостойкий шлакопортландцемент ШПЦ-400-Д 60; портландцемент тампонажный ПЦТ I-100; портландцемент тампонажный ПЦТ I-50; клинкер портландцементный. Продукция ЗАО «Белгородский цемент» поставляется практически во все области России, а также на экспорт.

Для перевозок готовой продукции ЗАО «Белгородский цемент» не использует собственный транспорт, а привлекает сторонние транспортные организации. Использование смешанной схемы доставки грузов в значительной степени затрудняет процесс управления логистической системой предприятия.

На рисунке 2.1 представлена укрупненная схема логистических потоков, участником которых является описываемое предприятие. Данная схема позволяет увидеть сложность и многогранность существующей логистической транспортной системы.

Рис. 2.1. Укрупненная схема транспортных логистических потоков ЗАО «Белгородский цемент»

Основной проблемой представленной на рисунке 2.1 модели является не столько многогранность, сколько сложность ее информационного обеспечения. Действительно, управление данными транспортными потоками сильно зависимо от факторов внешней среды: наличие свободных вагонов на железной дороге, режима отгрузок продукции морским транспортом, контроль своевременности доставки продукции потребителям автомобильным транспортом, планирование работы собственного транспорта и ряд других.. В настоящее время на предприятии существует большое число транспортных логистических потоков, общая структура которых слабо управляется и контролируется.

Таким образом, общую систему распределительной логистики на ЗАО «Белгородский цемент» можно признать неудовлетворительной и требующей значительной реорганизации.

В рамках данного исследования особый интерес представляет анализ конкретного канала транспортировки строительных и отделочных материалов от производителя до объекта строительства. Таким каналом является доставка продукции ЗАО «Белгородский цемент» предприятию ОАО «Липецкстрой».

После окончания производственного процесса цемент и дргуие строительные материалы направляются на склад готовой продукции, где они должны находиться в течение не менее 15 суток (по технологической инструкции). После этого они готовы к реализации.

Система сбыта продукции ЗАО «Белгородский цемент» досттаточно проста. Предприятие реализует свою продукции оптовым покупателям (как правило, это юридические лица, хотя покупателем может быть и физическое лицо) крупным строительным компаниям. В существующей системе сбыта у предприятия имеется только один распределительный центр - это непосредственно сам склад готовой продукции.

ЗАО «Белгородский цемент» осуществляет транспортировку продукции с этого склада до своих распределительных центров, находящихся, как правило, в месте потребления товара с использованием услуг транспортно-экспедиторских компаний. Как правило у этих компаний ЗАО «Белгородский цемент» заказывает услуги доставки и экспедирования продукции.

Таким образом, схема распределения продукции для данного предприятия выглядит следующим образом (рис. 2.2.).

Рис. 2.2. Канал транспортировки строительных и отделочных материалов от ЗАО «Белгородский цемент» до ОАО «Липецкстрой».

Особенность данного канала заключается в том, что в нем используется два вида посредника - ЗАО РЖД (железнодорожный транспорт) и другие транспортно экспедиторские компании (автомобильный транспорт).

При этом предприятие пользуется услугами ЗАО РЖД только в зимний период с ноября по март, все основное время этот канал транспортировки является резервным. К тому же в зимний период ЗАО «Белгородский цемент» поставляет предприятию ОАО «Липецкстрой» исключительно отделочные материалы на общий объем в 2000 т., за что платит ЗАО РЖД плату за доставку в размере 440000 руб., при этом получая валовой доход от продажи в размере 1750000 руб., из учета средней цены за упаковку отделочного материала - 35 руб. При этом доля затрат на доставку продукции в валовой прибыли составляет 12,57 %.

Ниже приведем расчет затрат на пользование услугами транспортно-экспедиторских фирм при транспортировке цемента для предприятия ОАО «Липецкстрой» с учетом того, что объемы поставок в среднем в год составляют 2000000 мешков по 25 кг.

Таблица 2.1

Тарификация услуг доставки транспортно-экспедиторских фирм с учетом расстояния

Расстояние

Стоимость, руб/ тонна

400

216,07

405

218,57

410

221,06

415

223,55

226,04

425

228,54

430

231,03


До объектов строительства ОАО «Липецкстрой» в городе Липецк 420 километров, что составляет 226,04 руб. За 1 тонну готовой продукции. При этом в 1 тонне доставки помещается 40 мешков цемент ПЦ-500 (Д0) (в таре 25 кг). В среднем цена 1 мешка составляет 24,5 руб. Таким образом, валовая прибыль от продажи 1 тонны цемента составляет:

* 24,5 = 980 руб.

Постоянно производится поставка 50 тыс. тонн цемента. Валовая прибыль составляет:

* 980 = 49000000 руб.

При этом валовые расходы на весь объем поставок составляют:

* 226,04 = 11302000 руб.

При этом доля затрат на доставку продукции в валовой прибыли составляет 23,57 %. Это достаточно высокий параметр.

2.2 Повышение эффективности функционирования канала транспортировки в условиях ЗАО «Белгородский цемент»


С точки зрения повышения эффективности целесообразным считается приобретение собственного транспорта, а именно 20 автомобилей типа КамАЗ-4355 - бортовой тягач выпускаемый Камским автомобильным заводом. Грузоподъемность а/м, кг - 10000. Расход топлива 17 л. на 100 км. Стоимость - 200000 руб.

Итак, проведем расчет эффективности использования собственного транспорта на базе приобретенных автомобилей типа КамАЗ-4355. Технико-экономическую характеристику приведем в таблице 2.2.

Таблиця 2.2

Показатели технико-экономической эффективности от использования в собственного транспорта

Показатели

Расчет

Стоимость автомобилей КамАЗ-4355

200000 руб. * 20 = 4000000 руб.

Грузоподъемность

10 т * 20 =200 т

Количество рейсов

50000 т / 200 т = 250

Километраж

420 км * 2 (Белгород-Липецк-Белгород) * 250 = 210000 км.

Затраты на пробег (17 л. на 100 км топлива + 0,1 ГСМ и ремонт на 1 км)

210000 км. * 17 / 100 * 10 руб. + 210000 км. * 0,1 = 3780000 руб.

Средняя зарплата персонала в год (3000 руб. в месяц з/п 1 водителя)

20 * 3000 руб. * 12 = 720000 руб.

Отчисления на единый взнос 34,4%

720000 руб. * 0,344 = 247680 руб.

Годовой фонд оплаты труда

720000 руб. + 247680 руб. = 967680 руб.

Всего переменных затрат

3780000 руб. + 967680 руб. = 4747680 руб.


Таким образом, видим, что совокупные затрат составляют:

Совокупные затраты = капитальные затраты + переменные затраты = 4000000 руб. + 4747680 руб. = 8747680 руб.

Уже за один только год с учетом капитальных затрат годовая экономия составит: 11302000 руб. - 8747680 руб. = 2554320 руб.

При этом доля переменных затрат на доставку продукции в валовой прибыли составляет 9,68% что на 13,9% меньше чем при использовании услуг доставки транспортно-экспедиторских фирм. Однако, отрицательным является тот факт, что сумму на приобретение машин предприятие не может выделить с балансовой прибыли, то есть ее придется взять в кредит.

Деле рассчитаем экономическую эффективность от привлечения инвестиций. Исходные условия:

– сумма кредита 4000000 руб.

–       процентная ставка - 20%.

–       термин использования кредита 4 года.

Плата за кредит рассчитывается следующим образом:

,      (2.1)

где I. - плата за кредит;

Р - сумма кредиту;

і - процентная ставка;

Т - количество периодов использования, мес.

Для привлеченных средств сумма сума выплат по кредиту скорректирована с учетом того, что она выплачивается за счет чистой прибыли

,     (2.2)

где Кп.п.- ставка налога на прибыль предприятия заемщика (24%).

І =  = 16667 руб. Ік =  *1,24 = 20667 руб.

Таблица 2.3

Расчет погашения кредита по периодам (кварталам)

Показатели

1 кв. 2011

2 кв. 2011

3 кв.. 2011

4 кв.. 2011

1 кв. 2012

2 кв. 2012

3 кв.. 2012

4 кв.. 2012

1 кв. 2013

2 кв. 2013

3 кв.. 2013

4 кв.. 2013

1 кв. 2014

3 кв.. 2014

4 кв.. 2014

Возврат кредита

 

Возврат тела кредита

249999

249999

249999

249999

249999

249999

249999

249999

249999

249999

249999

249999

249999

249999

249999

249999

Возврат процентной ставки

50001

9774

9774

9774

9774

9774

9774

9774

9774

9774

9774

9774

9774

9774

9774

9774

Всего

300000

300000

300000

300000

300000

300000

300000

300000

300000

300000

300000

300000

300000

300000

300000

300000

Возврат кредита с учетом того, что он выплачивается за счет чистой прибыли

 

Возврат тела кредита

48875

48875

48875

48875

48875

48875

48875

48875

48875

48875

48875

48875

48875

48875

48875

Возврат процентной ставки

12120

12120

12120

12120

12120

12120

12120

12120

12120

12120

12120

12120

12120

12120

12120

12120

Всего

60995

60995

60995

60995

60995

60995

60995

60995

60995

60995

60995

60995

60995

60995

60995

60995


Проведем анализ изменения эффективности канала транспортировки строительных и отделочных материалов от производителя до объекта строительства после внедрения предложенных улучшений, то есть при отказе от услуг посредников и приобретении собственных автомобилей.

Таким образом, ежемесячные выплаты по кредиту будут составлять 83333 руб - тело кредита и 16667 руб. - по процентной ставке, а с учетом того, что он выплачивается за счет чистой прибыли - 20667 руб. Процентная ставка и 83333 руб - тело кредита. Итак, план выплат кредита по месяцам можно представить следующим образом (табл. 2.3.).

Для получения более полного представления относительно эффективности проекта необходимо провести расчет NPV, IR и IRR.

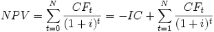
Чистая приведенная стоимость или NPV - это сумма текущей стоимости всех прогнозируемых, с учетом ставки дисконтирования, денежных потоков. NPV рассчитывается по следующей формуле:

    (2.3)

где IC - начальные инвестиции, руб.;- поток доходов по данному проекту, руб.;

і - ставка по кредиту;- количество периодов.

В нашем случае рассчитаем NPV для конкретного проекта.

Итак, начальные инвестиции составляют 4000000 руб., поток доходов для данного проекта рассчитывается путем определения годовой эффективности от приобретения автомобилей, то есть . В нашем случае CF равняется 6554320 руб. Ставка по кредиту составляет 20%. Кредит предлагается возвращать в течение 4 лет.

Следовательно NPV равняется:

Далее определим для анализируемого проекта показатель IRR (Internal Rate of Return) - внутренняя норма доходности. Это норма прибыли при которой инвестиции равняются нулю, или это та ставка дисконтирования, при которой дисконтированные доходы от проекта равняются инвестиционным расходам.

Для расчета IRR воспользуемся методом последовательного приближения. Подбираем барьерные ставки процентов таким образом, чтобы найти минимальные значения NPV по модулю, и после этого проводим аппроксимацию.

Следовательно построим график NPV(r)), при этом определим NPV при r1 = 0,2; r2 = 0,3; r3 = 0,4; r4 = 0,5. Приведем величину NPV для каждого варианта процентной ставки в таблице 2.4.

Таблица 2.4

Величина NPV(r)

Процентная ставка

0,2

0,7

1,2

1,8

NPV

12967395

4242241

1228772

-417952


Рис. 2.3. Определение IRR методом подбора

Дальше делаем допущение, что на участке от точки а (NPV = 12967395) к точке b (NPV = -417952) функция NPV(r) прямолинейна, и используем формулу для аппроксимации на участке прямой. IRR = ra + (rb - ra)*NPVa/(Npva - Npvb) = 20 + (180 - 20)* 12967395/ (12967395- (-417952)) = 174% Формула справедлива, если выполняется условие ra < IRR < rb и NPVa > 0 > NPVb. Таким образом, внутренняя норма доходности определяется на уровне 174 %. Это объясняется тем, что фактически затраты окупаются в течении одного года.

Наконец проведем расчет IR - это тот период по достижению которого денежный поток равняется 0, собственно это и есть период окупаемости расходов. Для определения IR целесообразно воспользоваться таблицей 2.5.

Поскольку из предыдущих расчетов видно, что проект окупается в течении 1 года, целесообразно рассчитать IR по кварталам

Таблица 2.5

Расчет IR

Показатели

Периоды

2 кв 2011

3 кв 2011

4 кв 2011

1

Процентная ставка, % (r) / 4

0,05

0,05

0,05

0,05

2

Норма дисконтирования в период, (1+r)t

1,05

1,10

1,16

1,22

3

Прибыль за период, руб. (CF) / 4

1638580

1638580

1638580

1638580

4

Денежный поток, руб. (CF/(1+r) t)

1720509

1806534,45

1896861,17

1991704

5

Инвестиции, руб. (I)

4000000




6

Чистая приведенная стоимость, руб. (NPV=CF/(1+r) t) - I)

-2279491

-472956,55

1423905

3415608,85


Таким образом, проведя расчет NPV, IRR и IR мы удостоверились, что проект внедрения которого планируется на предприятии ЗАО «Белгородский цемент» является действительно инвестиционный привлекательным и целесообразным учитывая объем расходов на его реализацию, а также окупаемость уже в третьем квартале текущего года, то есть первого года после реализации проекта.

Заключение


Распределительная логистика - это управление транспортированием, складированием и всеми логистическими операциями, совершаемыми в процессе доведения ГП до потребителя в соответствии с интересами и требованиями последнего, а также передачи, хранения и обработки соответствующей информации.

Задачи распределительной логистики: планирование процесса реализации товара; организация получения и обработки заказа; выбор вида упаковки, принятие решений о комплектации, организация выполнения операций, предшествующих отгрузке; организация отгрузки продукции; организация доставки и контроль транспортирования; организация послереализационного обслуживания; выбор схемы распределения МП; определение оптимального количества РЦ (складов) и др.

В рамках данной работы был проведен анализ логистической системы ЗАО «Белгородский цемент». Закрытое акционерное общество «Белгородский цемент» - одно из крупнейших промышленных предприятий России по производству стройматериалов.

На ЗАО «Белгородский цемент» разработана, внедрена и сертифицирована система управления качеством согласно требованиям стандарта ISO 9001-2000 компанией TNO Certification (Голландия). Сертифицированы четыре вида цемента на соответствие по европейскому стандарту EN 197-2 фирмой Landesmaterialprufamt Sachsen - Anhalt (г. Магдебург, Германия). Для перевозок готовой продукции ЗАО «Белгородский цемент» не использует собственный транспорт, а привлекает сторонние транспортные организации. Использование смешанной схемы доставки грузов в значительной степени затрудняет процесс управления логистической системой предприятия.

Система сбыта продукции ЗАО «Белгородский цемент» досттаточно проста. Предприятие реализует свою продукции оптовым покупателям (как правило, это юридические лица, хотя покупателем может быть и физическое лицо) крупным строительным компаниям. В существующей системе сбыта у предприятия имеется только один распределительный центр - это непосредственно сам склад готовой продукции. ЗАО «Белгородский цемент» осуществляет транспортировку продукции с этого склада до своих распределительных центров, находящихся, как правило, в месте потребления товара с использованием услуг транспортно-экспедиторских компаний.

При этом валовые расходы на весь объем поставок составляют 11302000 руб. Доля затрат на доставку продукции в валовой прибыли составляет 23,57 %. С точки зрения повышения эффективности целесообразным считается приобретение собственного транспорта, а именно 20 автомобилей типа КамАЗ-4355 - бортовой тягач выпускаемый Камским автомобильным заводом. Грузоподъемность а/м, кг - 10000. Расход топлива 17 л. на 100 км. Стоимость - 200000 руб.

Уже за один только год с учетом капитальных затрат годовая экономия составит 2554320 руб. При этом доля переменных затрат на доставку продукции в валовой прибыли составляет 9,68% что на 13,9% меньше чем при использовании услуг доставки транспортно-экспедиторских фирм. Однако, отрицательным является тот факт, что сумму на приобретение машин предприятие не может выделить с балансовой прибыли, то есть ее придется взять в кредит.

При расчете эффективности обьозначенного проекта было определено, что NPV равняется 12967395 руб. Проведя расчет NPV, IRR и IR мы удостоверились, что проект внедрения которого планируется на предприятии ЗАО «Белгородский цемент» является действительно инвестиционный привлекательным и целесообразным учитывая объем расходов на его реализацию, а также окупаемость уже в третьем квартале текущего года, то есть первого года после реализации проекта.

Глоссарий


Лoгиcтикa - этo нayкa o плaниpoвaнии, кoнтpoлe и yпpaвлeнии тpaнcпoниpoвaниeм, cклaдиpoвaниeм и дpyгими мaтepиaльными и нeмaтepиaльными oпepaциями, coвepшaeмыми в пpoцecce дoвeдeния cыpья, мaтepиaлoв и пoкyпныx издeлий дo пpoизвoдcтвeннoгo пoдpaздeлeния пpeдпpиятия; yпpaвлeниe мaтepиaльными пoтoкaми пpи внyтpизaвoдcкoй пepepaбoткe cыpья, мaтepиaлoв и пoлyфaбpикaтoв, a тaкжe дoвeдeниe гoтoвoй пpoдyкции дo пoтpeбитeля в cooтвeтcтвии c интepecaми и тpeбoвaниями пocлeднeгo, включaя пepeдaчy, xpaнeниe и oбpaбoткy cooтвeтcтвyющeй инфopмaции

Распределительная логистика - это управление транспортированием, складированием и всеми логистическими операциями, совершаемыми в процессе доведения ГП до потребителя в соответствии с интересами и требованиями последнего, а также передачи, хранения и обработки соответствующей информации.

Логистический канал - это частично упорядоченное множество различных посредников (организаций или отдельных лиц), осуществляющих доведение МП от конкретного производителя до его потребителей.

Логистическая операция - это любое действие, не подлежащее дальнейшей декомпозиции, направленное на преобразование материального и сопутствующих ему потоков (погрузка, разгрузка, маркировка, сбор информации, передача информации и т. д.).

Логистическая функция - одно из основных понятий логистики, которое можно определить как совокупность логистических операций, направленную на достижение целей, поставленных перед логистической системой или ее элементами (звеньями).

Поток - это один или множество объектов, воспринимаемое как единое целое, существующее как процесс на определенном временном интервале и измеряемое в абсолютных единицах.

Материальный поток - это продукция (различные изделия, детали, товарно-материальные ценности), рассматриваемая в процессе приложения к ней различных логистических (погрузка, разгрузка, сортировка и т. д.) и/или технологических операций (резание, ковка, плавка, сборка и т. п.) и отнесенная к определенному временному интервалу.

Логистическая система - это совокупность элементов (звеньев), находящихся в отношениях и связях между собой и образующих определенную целостность, предназначенную для управления потоками.

Звено логистической системы - функционально обособленный объект, не подлежащий дальнейшей декомпозиции в рамках построения логистической системы, выполняющий свою локальную цель, связанную с определенными логистическими функциями и операциями.

Логистическая цепь представляет собой упорядоченное множество физических и/или юридических лиц, осуществляющих логистические операции по обеспечению потребителя конкретной продукцией.

Список использованной литературы


1.     Алесинская T.В. Основы логистики. Общие вопросы логистического управления Учебное пособие. - Таганрог: Изд-во ТРТУ, 2005.

2.      Аникин Б. А. Практикум по логистике. Учебное пособие.- М: Инфра-М, 2007.

.        Джонсон Д., Вуд Д., Вордлоу Д., Мэрфи-мл. П. Современная логистика. 8-е изд. - М.: Издательский дом Вильямс , 2009. I

.        Дыбская В. В., Зайцев Е. И., Сергеев В. И. , Стерлигова А. Н. Логистика. - Эксмо, 2008.

.        Круминьш Н., Витолиньш К. Логистика в Восточной Европе. - М: SIA, 2007 г.

.        Логистика и управление розничными продажами: Под ред. Дж. Ферна и Ли Спаркса - 2-е. - Новосибирск: Сибирское университетское изд-во, 2007. - 463 с.

.        Логистика: Под ред. Б. А. Аникина, Т. А. Родкиной - 2-е. изд - Москва: Проспект, 2010. - 406 с.

.        Менеджмент организации: учебное пособие для подготовки к итоговому междисциплинарному экзамену профессиональной подготовки менеджера. Под общей ред. В.Е. Ланкина. - Таганрог: ТРТУ, 2006.

.        Неруш Ю. М. Логистика. - М.: Проспект, 2010.

.        Сербин В. Д. Основы логистики: Учебное пособие. Таганрог: ТРТУ, 2004

.        Сток Д. Р. Стратегическое управление логистикой. - М: Инфра-М, 2005.

.        Экологический менеджмент: Учебник для ВУЗов. / Н. Пахомова, К. Рихтер, А. Эндрес. - СПб: Питер, 2003.

Похожие работы на - Организационно-экономический анализ эффективности функционирования канала транспортировки строительных и отделочных материалов от производителя до объекта строительства

 

Не нашли материал для своей работы?
Поможем написать уникальную работу
Без плагиата!
Без нейросетей!