Опыт российской компании 'Техпрод' в проведении стратегических изменений

  • Вид работы:
    Реферат
  • Предмет:
    Маркетинг
  • Язык:
    Русский
    ,
    Формат файла:
    MS Word
    89,27 Кб
  • Опубликовано:
    2015-10-10
Вы можете узнать стоимость помощи в написании студенческой работы.
Помощь в написании работы, которую точно примут!

Опыт российской компании 'Техпрод' в проведении стратегических изменений

Содержание

Введение

. Планирование процесса реализации проекта совершенствования системы продаж

. Оценка относительной значимости движущих и сдерживающих сил

. Разработка стратегических мероприятий

Заключение

Список использованной литературы

Введение

Осуществление организационных изменений - «высший пилотаж» в работе руководителей компаний, предполагающий знание философии и технологии процесса, а также изучение успехов и неудач. Осуществление организационных изменений можно сравнить с восхождением на неизвестную вершину. Всегда существует вероятность неудачи, но тщательная подготовка и знание ошибок, сделанных другими, как и знание успешного опыта, повышают вероятность успеха.

В данной работе представлен опыт российской компании «Техпрод» в проведении стратегических изменений. Ее генеральный директор, который руководит организационными изменениями, начатыми в конце 2014 г. и продолжающимися по сей день. Изменения направлены на фундаментальную перестройку культуры, проведения менеджмента и всех сотрудников компании.

Цель изменений компании «Техпрод» - разработка плана мероприятий по проведению стратегических изменений в системе продаж. Целью является создание рабочей системы, в которой сотрудники становятся эмоционально привязаны к задачам развития компании. Фокусируясь на эффективности и производительности, с которой люди работают на каждом уровне, лидеры таких организационных изменений верят, что фирма улучшит свое финансовое положение.

Процесс проводимых стратегических изменении в компании характеризует высокий уровень вовлечения работников и сотрудничества. Сотрудники вовлечены в идентификацию проблем и их решение. В компании «Техпрод» разработкой миссии и стратегических целей занималась команда менеджеров, а не один лишь генеральный директор с консультантами.

Глава 1. Планирование процесса реализации проекта совершенствования системы продаж

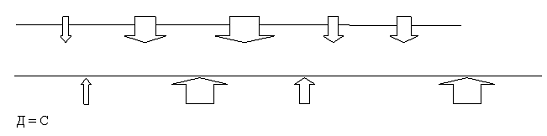
Анализ поля сил Курт Левин Он предложил рассматривать любую организацию или ситуацию как находящуюся при определенном балансе или равновесии между движущими и сдерживающими силами изменения. По его мнению, если ничего не происходит, то это потому, что противоположные силы равны.

Рисунок 1 - Модель Курта Левина

Способы развития диаграмм

1.Определяются сдерживающие и движущие силы, оценивается их относительная мощность, которая выделяется толщиной стрелок.

2.Определяется «потенциал» для изменений - те силы, которые в настоящий момент не используются, но могут быть призваны на подмогу (персонал, чужой опыт, эксперт). Сила - влияние, направленное со стороны кого-либо. Она должна быть персонифицирована. Движущие силы

 1. Диверсификация рисков компании за счет внедрения инноваций и как следствие расширения деятельности.

 2. Повышение конкурентоспособности.

 3. Повышение прибыли компании.

 4.Увеличение доли клиентов компании.

 5. Увеличение занимаемой на рынке доли.

Сдерживающие силы

1. Увеличение затрат на содержание персонала.

2. Маркетинговые затраты на изучение целевой аудитории.

3. Финансовые вложения, связанные с разработкой проекта, оборудованием дополнительного производственного цеха, покупкой нового оборудования.

4. Риск неокупаемости данного проекта.

Внедрение проекта по производству пластиковых окон с дополнительными характеристиками, не меняющими основного назначения товара.

Рисунок 2 - Причина изменения в «Техпрод»

Сокращение или уменьшение мощности сил, которые препятствуют изменению, часто является самым легким решением для осуществления изменения. Анализ сдерживающих сил включает в себя рассмотрение вопроса, почему они вообще существуют и правомочны ли они, а также тот факт, что они могут быть более мощные, чем движимые силы. Сдерживающие силы в данной ситуации не могут быть сокращены или уменьшены, как в случае если бы сдерживающие силы были вызваны нехваткой информации как для инициатора изменения, так и для тех, кого оно затронет, боязнью изменения, вызванного неудачным опытом проведения изменений, или сопротивлением коллектива. Сдерживающие силы в конкретном случае вызваны финансовыми затратами на разработку проекта, его внедрение и последующее поддержание, а также риском того, что данный проект не сможет окупить все вложенные в него затраты. 

Внедрение проекта по производству пластиковых окон с дополнительными характеристиками, не меняющими основного назначения товара.

Рисунок 3 - Внедренное изменение в «Техпрод»

Движимые силы преобладают над сдерживающими, следовательно, проект нужно внедрять, несмотря на все опасения, касаемо финансовых затрат и его неокупаемости. При эффективном маркетинговом исследовании риск можно свести к минимуму и повысить рентабельность нововведения.

2. Оценка относительной значимости движущих и сдерживающих сил

Таблица 1

№ п/п

Перечень движущих сил

Оценка значимости (1 - 5)

№ п/п

Перечень сдерживающих сил

Оценка значимости (1 -5)

1

Диверсификация рисков компании за счет внедрения инноваций и как следствие расширения деятельности.

4

1

Увеличение затрат на содержание персонала.

4




2

Маркетинговые затраты на изучение целевой аудитории.

4

2

Повышение конкурентоспособности.

3

3

Финансовые вложения, связанные с разработкой проекта, оборудованием дополнительного производственного цеха, покупкой нового оборудования.

5

3

Повышение прибыли компании

5




4

Увеличение доли клиентов компании.

5




5

Увеличение занимаемой на рынке доли.

3

4

5

Итого

20


Итого

18

 


Оценка результирующей силы = 20 - 18= 2

Оценка результирующей силы = суммарная оценка значимости движущих сил минус суммарная оценка значимости сдерживающих сил

. Разработка стратегических мероприятий

Стратегические мероприятия - это мероприятия, проекты, программы, инициативы, которые реализуются для достижения стратегических целей. Это наш ответ на вопрос -как мы будем реализовывать стратегию? Опыт показывает, что идеи, перерастающие в стратегические мероприятия, возникают еще на этапе разработки стратегии. Поэтому обычно к этому моменту у команды уже сформирован достаточно большой набор конкретных предложений. Теперь их надо проанализировать и дополнить.

Разработка стратегических мероприятий состоит из четырех последовательных шагов:

·   Формулировка идей и предложений по составу стратегических мероприятий

·        Структуризация разработанных предложений

·        Оценка затрат и определение приоритетов

·        Детализация стратегических мероприятий

Первым шагом станет анализ проектов, выполняющихся в компании в текущий момент. Основная задача - проверить соответствуют ли они целям ССП. Те, что с целями согласуются, добавляются к списку для дальнейшей работы. Целесообразность проектов, не согласующихся со стратегией, должна быть пересмотрена.

Таким образом, необходимо сформировать два списка:

.        идеи, возникшие на предыдущих этапах работы (например, цели, которые были признаны мероприятиями и не включены в карту стратегии);

.        текущие проекты, реализуемые компанией и согласующие с ее стратегией.

Теперь к ним следует добавить третий список, в который мы внесем новые предложения. Пополнение состава стратегических инициатив проводится с помощью уже знакомой нам техники мозгового штурма. Предложения, внесенные участниками в ходе совместной работы, на следующем этапе тщательно анализируются, уточняются и дорабатываются, прежде чем они будут включены в общий список стратегических мероприятий.

После составления полного списка стратегических инициатив мы переходим к этапу формирования на его основе портфеля стратегических проектов. Прежде всего, объединим стратегические мероприятия в кластеры, сформировав из близких по направленности инициатив стратегические программы.

Затем соотнесем мероприятия с целями. Для этого удобно использовать матрицу «Цели-Мероприятия», по столбцам которой мы запишем цели, а по строкам - мероприятия. В ячейках получившейся таблицы мы отметим, достижению каких целей способствует каждое мероприятие.

Теперь необходимо оценить наши проекты и определить их приоритеты. В этом нам поможет еще одна таблица, в которой отражены оценки затрат, сроков и значимости проектов. Поскольку на данном этапе затруднительно дать точные оценки ресурсов, применяются приближенные экспертные оценки, позволяющие получить общую картину. Для этих целей используются трехуровневые шкалы, как показано на примере компании Монолит.

В качестве экспертов, оценивающих проект, выступают члены стратегической команды разработчики ССП. Средние оценки, полученные после опроса группы, служат основой для ранжирования проектов. Рейтинг проектов может определяться как сумма оценок по трем критериям. Поскольку ресурсы предприятия ограничены, то неизбежно приходится решать задачу отбора проектов. Кандидатами на «отчисление» или перенос на более поздние сроки являются проекты, оказавшиеся в нижней части рейтинга.

Вместе с тем, при принятии решений об отказе от тех или иных проектов, необходимо учитывать, что (1) проекты могут быть связаны между собой, (2) отказ от проекта или перенос его сроков на более поздний период может оказаться равнозначным отказу от каких-то стратегических целей.

После того как состав проектов окончательно утвержден, наступает черед их организационного оформления. На этом этапе необходимо:

·  Назначить руководителей проектов,

·        Сформировать команды проектов,

·        Разработать план и определить основные «вехи» по каждому проекту,

·        Разработать и согласовать бюджеты проектов.

Таким образом, мы получим пакет стратегических проектов, направленных на достижение стратегических целей компании.

Заключение

В ходе проведенного анализа было выяснено, что причина неэффективной работы системы продаж является плохо проведенный маркетинговый анализ, который не смог выделить продукт с низким уровнем рентабельности. Следовательно, изменение направлено на подсистему «ТОВАР». Товар «входные группы» требовал определенных финансовых вложений и внимания со стороны управляющего и продавцов. Однако данный продукт не оправдывал вложенные в него средства. Это товар, на котором компания не специализируется и который не позволяет системе продаж быть эффективной. В результате анализа было принято решение об избавлении от данного вида товара. К тому же был рассмотрен жизненный цикл товара компании.

Основной продукт, на котором «Техпрод» специализируется - пластиковое окно. Данный товар находится на стадии зрелости. А это означает, что рынок достаточно насыщен представленной продукцией. Конкуренция очень остро ощущается на этом рынке. Однако компания сумела приобрести долю постоянных и заинтересованных покупателей и для их удержания, а также для привлечения новых, постоянно делает упор на повышение качества продукции за счет внедрения нового оборудования, и проведения активной рекламной компании. В настоящее время спада объема продаж у компании не наблюдается.

Однако для их стимулирования будет выбрана стратегия модификации продукта, которая будет состоять в улучшении свойств товара, а именно в создании дополнительных атрибутов товара, делающих его более универсальным (нестандартный размер, разнообразные цвета, встроенный термометр, защита от солнечного света и осадков и т.д.). Был проведен STEEP- анализ, показывающий то, что среда, в которой работает фирма, является позитивной, а значит, внешнее окружение способствует эффективной работе компании. SWOT- анализ выявил слабые стороны предприятия (низкие маркетинговые навыки у персонала, недостатки в рекламной политике, наличие товаров, неокупающих вложения, отсутствие четкого сегментирования рынка), устранив которые, компания существенно повысит свои конкурентные преимущества.

Проведен «маркетинговый-микс», который выявил то, что набор поддающихся контролю переменных факторов маркетинга, совокупность которых фирма использует в стремлении вызвать желаемую ответную реакцию со стороны целевого рынка, является вполне эффективным и работающим на компанию. Было проведено сегментирование и выделена стратегия недифференцированного маркетинга, направленная на однородную целевую аудиторию. Была выявлена целевая аудитория компании - мужчины и женщины с доходом до 21 тыс. руб. Проведено позиционирование товара, в ходе которого было установлено то, что «Техпрод» занимает лидирующие позиции среди компаний-конкурентов в глазах потребителей.

С помощью модели Курта-Левина было установлено, что движимые силы преобладают над сдерживающими, следовательно, проект по модификации продукта нужно внедрять, несмотря на все опасения, касаемо финансовых затрат и его неокупаемости. При эффективном маркетинговом исследовании риск можно свести к минимуму и повысить рентабельность нововведения. Данный проект планируется реализоваться в течение 3 месяцев.

продажа планирование стратегический

Список литературы

1. Котлер Ф. "Основы маркетинга", Москва, 2008 г. C.485.

. Хоскинг А. Курс предпринимательства.

. Баркан Д.И. Маркетинг для всех.

4. Алабугин А.А., Алабугина Р.А, пособие по менеджменту продаж.

5. Феоктистова Е.М., Красюк И.Н. Маркетинг: теория и практика.

. Лебедева О.Т., Филиппова Т.Ю. Основы маркетинга.

. Хруцкий В.Е., Корнеева И.В. Современный маркетинг , 2009 г. C.325.

. Аллен П., Вуттен Дж. Продажи. 5-е изд. - СПб.: Питер, 2009

. Ветроградов В. Управление продажами. 2-е изд.- СПб.: Питер, 2007

Похожие работы на - Опыт российской компании 'Техпрод' в проведении стратегических изменений

 

Не нашли материал для своей работы?
Поможем написать уникальную работу
Без плагиата!
Без нейросетей!