Определение уровня конкурентоспособности шоколада 'Milka' на региональном рынке
МИНИСТЕРСТВО
ОБРАЗОВАНИЯ И НАУКИ УКРАИНЫ
ДОНЕЦКИЙ
НАЦИОНАЛЬНЫЙ ТЕХНИЧЕСКИЙ УНИВЕРСИТЕТ
ФАКУЛЬТЕТ
ЭКОНОМИКИ И МЕНЕДЖМЕНТА
КАФЕДРА
«МЕНЕДЖМЕНТА И МАРКЕТИНГА»
Курсовая
работа
По
дисциплине Маркетинговая товарная политика
На
тему: «Определение уровня конкурентоспособности шоколада «Milka» на
региональном рынке»
Работу выполнила:
Ст.гр.МПР-12
Ларина Юлия
Проверила: к.е.н.,
доцент
Мизина Е.В.
рынок конкурентоспособность шоколад
Красноармейск,
2016
РЕФЕРАТ
Курсовая работа по маркетингу товарной политики:
25с., 1 приложение , 6 источников.
Объект исследования: шоколад ТМ Milka.
Цель исследования: определение
конкурентоспособности шоколада ТМ Milka. А так же закрепление теоретических
знаний, выработка умений и практических навыков при определении конкурентоспособности
товара.
Методы исследования: статистический (обработка
информации о деятельности шоколадных фабрик), методы сравнения, аналитические
методы, метод анкетирования и опроса. При написании курсовой работы были
использованы интернет-источники, а так же методические рекомендации.
КОНКУРЕНТОСПОСОБНОСТЬ, АНКЕТИРОВАНИЕ,
РЕСПОНДЕНТЫ, ИНТЕГРАЛЬНЫЙ ПОКАЗАТЕЛЬ, ЦЕНА
СОДЕРЖАНИЕ
ВВЕДЕНИЕ
.ВЫБОР
И ХАРАКТЕРИСТИКА ИССЛЕДУЕМОГО ТОВАРА.СОЗДАНИЕ АНКЕТЫ
.1
Характеристика товара и компании
.2
Характеристика товаров-конкурентов
.3
Определение целей и задач маркетингового исследования. Разработка анкеты
.
ПРЕДВАРИТЕЛЬНЫЙ АНАЛИЗ АНКЕТИРОВАНИЯ
.ОПРЕДЕЛЕНИЕ
УРОВНЯ КОНКУРЕНТОСПОСОБНОСТИ ШОКОЛАДА
.1
Определение оценки важности каждой характеристики товара
.2
Оценка относительного значения каждой характеристики каждого товара к
характеристикам базового товара
.3
Определение коэффициента конкурентоспособности по неэкономическим признакам
.4
Определение коэффициента конкурентоспособности по экономическим признакам
.5
Расчет интегрального коэффициента конкурентоспособности
ВЫВОДЫ
ВВЕДЕНИЕ
Шоколад любят все, как взрослые так и дети, еще
с давних времен, он был одним из самых любимых десертов правителей, царей, и
просто обычных крестьян. Но и спустя такой громадный промежуток времени он не
теряет своей популярности. Поэтому, данное исследование очень актуально.
Цель исследования: определить
конкурентоспособность шоколада ТМ Milka на региональном рынке.
Задачи исследования:
характеристика респондентской группы;
доля продаж торговых марок на региональном
рынке;
лояльность покупателей к торговым маркам;
коэффициенты конкурентоспособности
сопоставляемых товаров;
определение частоты приобретения шоколадных
изделий;
место покупки;
средняя стоимость;
определение сегмента потребителей товара.
1.ВЫБОР И ХАРАКТЕРИСТИКА ИССЛЕДУЕМОГО ТОВАРА.
СОЗДАНИЕ АНКЕТЫ
1.1Характеристика товара и компании
«Монделис Украина» является украинским
предприятием, входит в группу компаний Mondelēz
International - крупнейшего в мире производителя шоколадной
продукции, печенья и конфет, а также второго крупнейшего в мире производителя
жевательной резинки.
«Монделис Украина» - это качественные бренды,
дарят вкусные мгновения радости: "Корона", MILKA; «МИШКА« Барни »,
TUC,« Belvita! Доброе Утро! »; «ЛЮКС»; DIROL, HALLS, PICNIC.
В составе «Монделис Украина» работают:
Тростянецкая фабрика ЗАО «Монделис Украины» и дочернее предприятие ООО «Чипсы
Люкс».
Команда «Монделис Украина» насчитывает более
1800 сотрудников. Компания является одним из лучших работодателей страны, по
ежегодным результатам опроса Ernst & Young.
Компания работает в Украине с 1994 года и до
2014-го называлась «Крафт Фудз Украина».
С 2003-го «Монделис Украины» руководит развитием
бизнеса на рынке Молдовы, с 2005 года - на рынках Беларуси, Грузии, Армении и
Азербайджана, а с 2008 года - также на рынках Казахстана, Узбекистана,
Кыргызстана, Таджикистана, Туркменистана и Монголии.
За 20 лет работы в Украине бизнес компании вырос
более чем в 100 раз и сегодня составляет более $ 400 млн.
Более $ 200 млн. Инвестировала «Монделис
Украина» в развитие бизнеса и экономики Украины. Более 1600000000 грн. налогов
заплатила в государственный бюджет компания «Монделис Украины» за время работы
в Украине.
В течение 2011-2013 годов «Монделис Украины»
выделила 4200000. Грн. на проекты социальной ответственности, а также отдала на
благотворительность 200 тонн продукции стоимостью более 8 млн. грн.- торговая
марка с более чем 100-летней историей и популярный шоколад в странах Европы. В
мире ежегодно производят более миллиарда плиток MILKA. В 2001 году Украина
стала третьей страной после Германии и Австрии, где начали выпускать этот
шоколад. Для изготовления MILKA используют настоящее альпийское молоко, что
подтверждено соответствующими сертификатами.
Шоколадка MILKA отличается значительным
содержанием сахара, а вот какао добавляется немного. Поэтому он идеально
подходит тем, кто предпочитает сладкий и нежный молочный шоколад.
Изображение коровы на обертке шоколада MILKA
остается неизменным уже 110 лет - с начала создания этого шоколада.[1]
.2Характеристика товаров-конкурентов
Основными конкурентами
шоколадки
MILKA являются:
ТМ
ROSHEN, ТМ
СВІТОЧ,
ТМ
DOLCI, ТМ
MILLENIUM. На сегодняшний день, представленные торговые
марки являются лидерами на рынке шоколада в Украине, а также занимают
значительную долю на мировом рынке.
ТМ ROSHEN Кондитерская корпорация «Рошен» - один
из крупнейших производителей кондитерских изделий в Украине и Восточной Европе.
Рошен производит около 200 видов кондитерских изделий. Общий объем производства
продукции составляет более 450 000 тонн в год. В состав корпорации входят
четыре украинские фабрики (Киевская, две производственные площадки в Виннице,
Мариупольская, Кременчугская), две производственные площадки Липецкой
кондитерской фабрики (Россия), Клайпедская кондитерская фабрика (Литва),
Bonbonetti Choco Kft (Будапешт, Венгрия), а также молочно комбинат в Виннице и
масло-молочный комбинат «Бершадьмолоко», который обеспечивает фабрики
корпорации натуральным высококачественным молочным сырьем.
Продукция представлена более чем в
28 странах мира, включая Украину, Россию, Казахстан, Беларусь, страны Кавказа,
Средней Азии, ЕС, США, Молдову, Израиль, Литву.[2]
ТМ СВІТОЧ (май - август 1962: Красная роза) -
кондитерская фабрика во Львове (ЗАО «Львовская кондитерская фабрика"
Свиточ ""), контрольным пакетом акций которой владеет швейцарская
корпорация «Nestlé». Это
одно из старейших предприятий в кондитерской отрасли Украины, ведущий
отечественный производитель. В 1998 году Nestlé S.A. приобрела
пакет акций ЗАО "Львовская кондитерская фабрика« Свиточ », предприятие
вошло в группу компаний мирового лидера по производству продуктов питания.[3]
ТМ DOLCI - это шоколадный бренд Группы «КОНТИ»,
который появился на рынке в 2007 году. Объединяет шоколадные кондитерские
изделия премиального сегмента: шоколад в ригелях «DOLCI» с разными
наполнителями и видами шоколада. Шоколадный бренд DOLCI справедливо гордится
своим высоким качеством и отличными вкусовыми свойствами, подтвержденными 9-ю
наградами на различных престижных международных конкурсах и фестивалях. В 2010
году DOLCI вошел в рейтинг самых популярных брендов Украины. Компания «КОНТИ»
основана в 1997 году как закрытое акционерное общество с наименованием
«Производственное объединение« Киев-Конти ». В состав предприятия на тот момент
входила одна кондитерская фабрика - Константиновская, с традиционным
ассортиментом конфет, печенья, карамели и драже. За предшествующие 15 лет КОНТИ
расширила свои производственные мощности не только по территории Донецкой
области, но и и по территории России, запустив в 2011 году производственный цех
в Курске. Так же, производственный комплекс КОНТИ стал одним из крупнейшим и
передовых по уровню технического оснащения в Восточной Европе.[4]MILLENIUM -
шоколадная фабрика основана в 1999 году. Сегодня один из крупнейших
производителей шоколада и конфет в Украине. Выпускает конфеты и шоколад под
торговыми марками «Millennium», «Любимов», «Oskar le Grand», «Любимов Kids» и
«Золотой Запас». «Millennium» - единственная фабрика в Украине получила
лицензию и право официально представлять и выпускать сладости для детей под ТМ
«Disney» . Компания вкладывает в шоколад столько души, что это чувствуется даже
на уровне вкуса, не говоря уже о качестве. Каждый год они подтверждают свою
конкурентоспособность на крупнейшей европейской выставке кондитерских изделий
ISM (г. Кёльн, Германия). Продукция фабрики пользуется спросом не только в
Украине и России. Среди поклонников данного шоколада - Австралия и Филиппины,
США и ОАЭ, страны Евросоюза.[5]
.3 Определение целей и задач маркетингового
исследования. Разработка опросного листа
Цель данной курсовой работы является определение
конкурентоспособности шоколадки ТМ Milka на региональном рынке.
Задачи исследования:
характеристика респондентской группы;
доля продаж торговых марок на региональном
рынке;
лояльность покупателей к торговым маркам;
коэффициенты конкурентоспособности
сопоставляемых товаров;
определение частоты приобретения шоколадных
изделий;
место покупки;
средняя стоимость;
определение сегмента потребителей товара.
Для своего исследования я выбрала описательный
метод, потому что он является самым приемлемым для данной работы. То есть,
чтобы объяснить и выложить нужный материал, его нужно детально описать и
доступно изложить.
Для опроса, я выбрала метод интервью, с каждым
респондентом я общалась лично и поэтому имею представление об их предпочтениях
в шоколадных изделиях. Но, перед опросом, я подготовила необходимые вопросы и
ответы на них. Метод анкетирования является удобным, потому что все вопросы
подготовлены и имеют четкую задачу, поэтому интервью проходит быстро и понятно.
При опросе использовалась структурированная
анкета для количественного выражения поведения и реакции респондентов на
маркетинговые исследования.
Первый вопрос анкеты - определяющий фактор,
является ли опрашиваемый респондент потребителем данного товара. Так как
шоколад - это продукт кратковременного использования, то следующие два вопроса
определяют какие торговые марки респондент приобретал последний раз и какие
торговые марки он приобретает чаще всего.
В анкете присутствуют вопросы, ответы на которые
преследуются важной задачей работы: лояльность покупателей к торговым маркам, а
так же определение важности характеристик шоколада при его выборе. Для этого
вопроса были выбраны следующие характеристики товара:
натуральность вкуса шоколада;
удобная и красивая упаковка;
слишком высокая цена;
оригинальная реклама;
надежный производитель.
В качестве ответа на вопрос в анкете была
приведена маркетинговая шкала, которая предусматривает не прямой ответ, а
уровень его согласия или не согласия.
Последующие два вопроса классифицируют
респондентов по возрастной и гендэрной категории.
Последние два вопроса определяют количество
денег, которое потребители готовы потратить на товар в месяц, а так же
предпочтение места покупки.
Целевой группой моего исследования являются
студенты, прохожие в городе Красноармейск.
2.ПРЕДВАРИТЕЛЬНЫЙ АНАЛИЗ АНКЕТИРОВАНИЯ
Таблица 2.1 - Расчет респондентов, принявших
участие в опросе
|
Частота
|
Доля
|
|
Отказались
от интервью
|
9
|
11,8%
|
|
Не
подлежат опросу в связи ответом на первый вопрос
|
7
|
9,2%
|
|
Взято
интервью
|
60
|
79%
|
|
Всего
|
76
|
100%
|
Таблица 2.2 - Расчет доли респондентов,
употребляющих шоколад от общего числа опрошенных
|
Частота
|
Доля
|
|
Ответили
«да» на первый вопрос
|
7
|
10,45%
|
|
Ответили
«нет» на первый вопрос
|
60
|
89,55%
|
|
Всего
|
67
|
100%
|
Таблица 2.3 - Простая табуляция ответов по полу
респондентов
|
Пол
|
Частота
|
Доля
|
|
Мужской
|
36
|
60%
|
|
Женский
|
24
|
40%
|
|
Всего
|
60
|
100%
|
Таблица 2.4 - Простая табуляция результатов
опроса по торговым маркам шоколада, приобретенных в последний раз
|
Торговая
марка
|
Частота
|
Доля
|
|
ТМ
Roshen
|
15
|
25%
|
|
TM
Milka
|
11
|
18,3%
|
|
ТМ
Світоч
|
4
|
6,8%
|
|
TM
Dolci
|
8
|
13,3%
|
|
ТМ
Корона
|
14
|
23,3%
|
|
TM
Millenium
|
6
|
10%
|
|
Другие
ТМ
|
2
|
3,3%
|
|
Всего
|
60
|
100%
|
Исходя из полученных результатов, можно сделать
вывод, что респонденты предпочли ТМ ROSHEN - 25%, также можно считать и ТМ
Корона - 23,3%.
Таблица 2.5 - Простая табуляция результатов
опроса по торговым маркам шоколада,которые респонденты приобретают чаще всего
|
Торговая
марка
|
Частота
|
Доля
|
|
ТМ
Roshen
|
14
|
21,5%
|
|
TM
Milka
|
8
|
14,3%
|
|
ТМ
Світоч
|
4
|
7,1%
|
|
TM
Dolci
|
4
|
7,1%
|
|
ТМ
Корона
|
18
|
28,6%
|
|
TM
Millenium
|
8
|
14,3%
|
|
Другие
ТМ
|
4
|
7,1%
|
|
Всего
|
60
|
100%
|
Итак, чаще всего 28,6 % опрошенных приобретают
ТМ Корона, и 21,5% - ТМ ROSHEN.
Таблица 2.6 - Простая табуляция результатов
опроса по возрастной категории опрашиваемых
|
Возраст
|
Частота
|
Доля
|
|
18-20
лет
|
36
|
60%
|
|
21-25
лет
|
6
|
10%
|
|
26-35
лет
|
6
|
10%
|
|
36-45
лет
|
6
|
10%
|
|
Больше
45 лет
|
6
|
10%
|
|
Всего
|
60
|
100%
|
Большая часть опрошенных респондентов оказалась
группа студентов, с возрастной категорией от 18 до 20 лет.
Таблица 2.7 - Простая табуляция результатов
опроса по количеству денег, которые готовы потратить опрашиваемые потребители в
месяц на шоколад
|
Количество
денег
|
Частота
|
Доля
|
|
До
100 грн
|
15
|
25%
|
|
100
- 120 грн
|
15
|
25%
|
|
120
- 140 грн
|
19
|
33,3%
|
|
Более
140 грн
|
11
|
16,7%
|
|
Всего
|
60
|
100%
|
Итак, 33,3 % опрошенных готовы потратить на
шоколад - 120-140 грн в месяц, а так же равное количество - по 25 %
респондентов - до 100 грн и от 100 - до 120 грн.
Таблица 2.8 - Простая табуляция результатов
опроса по месту покупки шоколада
|
Место
покупки
|
Частота
|
Доля
|
|
Супермаркет
|
34
|
56,67%
|
|
Фирменный
магазин
|
19
|
31,67%
|
|
Рынок
|
-
|
-
|
|
Продуктовый
магазин
|
7
|
11,66%
|
|
Другое
|
-
|
-
|
|
Всего
|
60
|
100%
|
56,67 % респондентов предпочитают покупать
шоколад исключительно в супермаркетах. Так же, не малая доля - 31,67% выпадает
на фирменные магазины.
Таблица 2.9 - Данные для расчета лояльности
покупателей к торговой марке
|
Торговая
марка, приобретенная в последний раз
|
Торговая
марка, приобретаемая чаще всего
|
|
ТМ
Roshen
|
TM
Milka
|
ТМ
Світоч
|
TM
Dolci
|
ТМ
Корона
|
TM
Millenium
|
Другие
ТМ
|
Всего
|
|
ТМ
Roshen
|
11
|
|
1
|
|
|
|
|
12
|
|
TM
Milka
|
|
5
|
|
|
7
|
|
|
12
|
|
ТМ
Світоч
|
|
|
|
|
|
|
|
-
|
|
TM
Dolci
|
3
|
|
|
|
3
|
|
|
6
|
|
ТМ
Корона
|
|
3
|
3
|
4
|
6
|
2
|
|
18
|
|
TM
Millenium
|
|
|
|
|
|
6
|
|
6
|
|
Другие
ТМ
|
|
|
|
|
2
|
|
4
|
6
|
|
Всего
|
14
|
8
|
4
|
4
|
18
|
8
|
4
|
60
|
Таблица 2.10 - Расчет лояльности покупателей к
торговой марке
|
Торговая
марка, приобретенная в последний раз
|
Торговая
марка, приобретаемая чаще всего
|
|
ТМ
Roshen
|
TM
Milka
|
ТМ
Світоч
|
TM
Dolci
|
ТМ
Корона
|
TM
Millenium
|
Другие
ТМ
|
|
ТМ
Roshen
|
78,57
|
|
25
|
|
|
|
|
|
TM
Milka
|
|
62,5
|
|
|
38,89
|
|
|
|
ТМ
Світоч
|
|
|
|
|
|
|
|
|
TM
Dolci
|
21,43
|
|
|
|
16,67
|
|
|
|
ТМ
Корона
|
|
37,5
|
75
|
100
|
33,33
|
25
|
|
|
TM
Millenium
|
|
|
|
|
|
75
|
|
|
Другие
ТМ
|
|
|
|
|
11,11
|
|
100
|
|
Всего
|
100,0
|
100,0
|
100,0
|
100,0
|
100,0
|
100,0
|
100,0
|
Исходя из данных расчета, можно определить, что
78,57% респондентов - лояльно относятся к ТМ ROSHEN, и покупают ее чаще всего.
Таблица 2.11 - Определение средней цены
сопоставляемых товаров
|
Торговая
марка
|
Супермаркет
«АТБ»
|
Супермаркет
«Экомаркет»
|
Торговая
сеть «Услада»
|
Средняя
цена
|
|
ТМ
Roshen
|
21,59
|
21,30
|
20,78
|
|
TM
Milka
|
24,30
|
26,95
|
25,40
|
25,55
|
|
ТМ
Світоч
|
21,60
|
23,70
|
23,50
|
22,93
|
|
TM
Dolci
|
20,75
|
22,40
|
22,20
|
21,78
|
|
ТМ
Корона
|
19,50
|
22,30
|
20,45
|
20,75
|
|
TM
Millenium
|
23,40
|
25,90
|
24,80
|
24,7
|
Из таблицы видно, что самыми дорогими
шоколадками являются - ТМ Milka и ТМ Millenium. Самой доступной шоколадкой - ТМ
Корона.
3.ОПРЕДЕЛЕНИЕ УРОВНЯ КОНКУРЕНТОСПОСОБНОСТИ
ШОКОЛАДА
3.1 Определение оценки важности
Таблица 3.1.1 - Определение оценки важности
каждой характеристики товара
|
Анкета
|
1
|
2
|
3
|
4
|
5
|
6
|
7
|
…
|
|
|
|
Вкус
|
4
|
4
|
4
|
4
|
4
|
3
|
3
|
…
|
228
|
0,57
|
|
Упаковка
|
1
|
1
|
1
|
0
|
1
|
2
|
3
|
…
|
66
|
0,16
|
|
Бренд
|
2
|
2
|
2
|
3
|
2
|
3
|
0
|
…
|
54
|
0,14
|
|
Цена
|
3
|
3
|
3
|
2
|
3
|
2
|
3
|
…
|
30
|
0,07
|
|
Реклама
|
0
|
0
|
0
|
1
|
0
|
0
|
1
|
…
|
24
|
0,06
|
|
10
|
10
|
10
|
10
|
10
|
10
|
10
|
…
|
402
|
|
По результатам анкетирования, респонденты
определили, что наиболее важной для них характеристикой при выборе шоколадки
является - вкус.
.2 Оценка относительного значения каждой
характеристики каждого товара к характеристикам базового товара
Таблица 3.2.1 - Оценка относительного значения
каждой характеристики каждого товара к характеристикам базового товара
|
Оценка
|
1
|
2
|
3
|
4
|
5
|
6
|
7
|
…
|
|
|
Вкус
|
|
|
|
|
|
|
|
|
|
|
Roshen
|
4
|
4
|
4
|
4
|
3
|
4
|
5
|
…
|
234
|
|
Milka
|
4
|
5
|
5
|
5
|
4
|
4
|
4
|
…
|
270
|
|
Світоч
|
2
|
4
|
4
|
2
|
3
|
2
|
5
|
…
|
198
|
|
Dolci
|
5
|
3
|
3
|
3
|
5
|
4
|
4
|
…
|
222
|
|
Millenium
|
4
|
3
|
4
|
1
|
5
|
5
|
4
|
…
|
204
|
|
Упаковка
|
|
|
|
|
|
|
|
|
|
|
Roshen
|
2
|
4
|
4
|
2
|
3
|
2
|
2
|
…
|
174
|
|
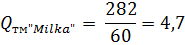
Milka
|
5
|
5
|
5
|
5
|
5
|
5
|
4
|
…
|
282
|
|
Світоч
|
3
|
4
|
5
|
4
|
3
|
3
|
2
|
…
|
204
|
|
Dolci
|
4
|
4
|
4
|
3
|
5
|
5
|
5
|
…
|
246
|
|
Millenium
|
2
|
4
|
4
|
1
|
4
|
4
|
5
|
...
|
198
|
|
Цена
|
|
|
|
|
|
|
|
|
|
|
Roshen
|
4
|
5
|
3
|
4
|
2
|
5
|
4
|
…
|
216
|
|
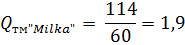
Milka
|
1
|
1
|
3
|
1
|
1
|
1
|
1
|
…
|
114
|
|
Світоч
|
3
|
5
|
3
|
5
|
2
|
5
|
5
|
…
|
246
|
|
Dolci
|
4
|
3
|
3
|
2
|
2
|
4
|
4
|
…
|
198
|
|
Millenium
|
3
|
1
|
3
|
3
|
2
|
4
|
1
|
…
|
162
|
|
Реклама
|
|
|
|
|
|
|
|
|
|
|
Roshen
|
3
|
3
|
4
|
2
|
3
|
3
|
3
|
…
|
234
|
|
Milka
|
5
|
5
|
5
|
5
|
5
|
5
|
5
|
…
|
282
|
|
Світоч
|
3
|
4
|
5
|
4
|
3
|
4
|
3
|
…
|
222
|
|
Dolci
|
4
|
4
|
3
|
3
|
5
|
4
|
5
|
…
|
216
|
|
Millenium
|
3
|
4
|
4
|
1
|
3
|
3
|
4
|
…
|
174
|
|
Производитель
|
|
|
|
|
|
|
|
|
|
|
Roshen
|
5
|
5
|
4
|
5
|
2
|
4
|
4
|
…
|
246
|
|
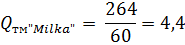
Milka
|
3
|
3
|
5
|
4
|
3
|
3
|
5
|
…
|
264
|
|
Світоч
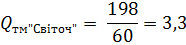
|
3
|
3
|
5
|
3
|
3
|
2
|
3
|
198
|
|
Dolci
|
4
|
3
|
3
|
1
|
5
|
5
|
5
|
…
|
192
|
|
Millenium
|
4
|
3
|
4
|
2
|
3
|
5
|
3
|
…
|
186
|
Итак, наиболее натуральный вкус респонденты
отметили у ТМ Milka, удобная и красивая упаковка - TM Milka, завышеная цена
тоже у ТМ Milka, а хорошая цена у ТМ Світоч, наиболее интересная реклама у ТМ
Мilka, надежный производитель - ТМ Milka.
Для вкуса:
Для упаковки:
Для цены:
Для рекламы:
Для производителя:
Относительное значение каждой характеристики
товарных марок шоколада к характеристикам базового товара приведены ниже. Для
упрощения введем сокращения:
- 
TM Roshen характеристике TM Milka;

- относительное значение характеристики
ТМ Світоч к характеристике TM Milka;

- относительное значение
характеристики TM Dolci к характеристике TM Milka;

- относительное значение
характеристики TM Millenium к характеристике TM Milka.
Для вкуса:
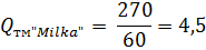
Для упаковки:
Для рекламы:
Для производителя:
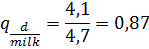
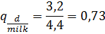
.3 Определение коэффициента
конкурентоспособности по неэкономическим характеристикам
Таблица 3.3.1 - Расчет коэффициента
конкурентоспособности по неэкономическим характеристикам
|
Характеристики
|
|
Значение
       
|
|
|
|
|
|
|
|
|
|
Roshen
|
Milka
|
Світоч
|
Dolci
|
Millenium
|
|
|
|
|
|
|
|
|
Вкус
|
0,57
|
3,9
|
4,5
|
3,3
|
3,7
|
3,4
|
0,87
|
0,73
|
0,82
|
0,76
|
0,495
|
0,416
|
0,467
|
|
Упаковка
|
0,16
|
2,9
|
4,7
|
3,4
|
4,1
|
3,3
|
0,62
|
0,72
|
0,87
|
0,70
|
0,099
|
0,115
|
0,139
|
|
Реклама
|
0,06
|
3,9
|
4,7
|
3,7
|
3,6
|
2,9
|
0,83
|
0,79
|
0,76
|
0,62
|
0,049
|
0,047
|
0,046
|
|
Производитель
|
0,14
|
4,1
|
4,4
|
3,3
|
3,2
|
3,1
|
0,93
|
0,75
|
0,73
|
0,70
|
0,13
|
0,105
|
0,102
|
|
|
0,773
|
0,683
|
0,754
|
Исходя из таблицы можно сделать взвод, что ТМ
Milka имеет самые высокие оценки по всем неэкономичесиким характеристикам.
Можно абсолютно уверено утверждать, что ТМ Milka не просто конкурентоспособный товар,
а является лидером среди потребителей данного продукта.
.4 Определение коэффициента
конкурентоспособности по экономическим показателям
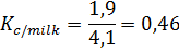
Что касается конкурентоспособности по
экономическим показателям, то здесь иная ситуация. ТМ Milka утсупает в
доступности цены практически всем своим конкурентам, особенно ТМ Світоч.
.5 Расчет интегрального коэффициента конкурентоспособности
Так как интегральный показатель
конкурентоспособности 
, то уровень качества товара выше
уровня затрат и ТМ Milka является конкурентоспособным товаром среди остальных,
что касается TM Millenium, то этот продукт более конкурентоспособен среди всех
представленных товаров.
Таблица 3.5.1 - Соотношение
расчитаных коэффициентов конкурентоспособности и полученных долей рынка товара
|
TM
Roshen
|
TM
Milka
|
TM
Dolci
|
TM
Millenium
|
ТМ
Світоч
|
|
J
|
1,01
|
1
|
0,94
|
0,78
|
0,93
|
|
D
|
25%
|
18,3%
|
13,3%
|
10%
|
6,8%
|
=0,4
ВЫВОДЫ
Так как, целью данного исследование является
определение конкурентоспособности шоколадки ТМ Milka, но перед нами стояли еще
и задачи, то можно сделать следующие выводы:
. Большая часть опрошенных респондентов
оказалась группа студентов, с возрастной категорией от 18 до 20 лет.
. 33,3 % опрошенных готовы потратить на шоколад
- 120-140 грн в месяц, а так же равное количество - по 25 % респондентов - до
100 грн и от 100 - до 120 грн.
. 56,67 % респондентов предпочитают покупать
шоколад исключительно в супермаркетах. Так же, не малая доля - 31,67% выпадает
на фирменные магазины.
. 78,57% респондентов - лояльно относятся к ТМ
ROSHEN, и покупают ее чаще всего.
. Самыми дорогими шоколадками являются - ТМ
Milka и ТМ Millenium. Самой доступной шоколадкой - ТМ Корона.
. Наиболее натуральный вкус респонденты отметили
у ТМ Milka, удобная и красивая упаковка - TM Milka, завышеная цена тоже у ТМ
Milka, а хорошая цена у ТМ Світоч, наиболее интересная реклама у ТМ Мilka,
надежный производитель - ТМ Milka.
По результатам исследования и рассчитанным
коэффициентам конкурентоспособности можно сказать, что ТМ Milka имеет самые
высокие оценки по всем неэкономическим характеристикам. Можно абсолютно уверено
утверждать, что ТМ Milka не просто конкурентоспособный товар, а является
лидером среди потребителей данного продукта. Что касается конкурентоспособности
по экономическим показателям, то здесь иная ситуация. ТМ Milka утсупает в
доступности цены практически всем своим конкурентам, особенно ТМ Світоч.
Интегральный показатель конкурентоспособности показал, что уровень качества
товара выше уровня затрат и ТМ Milka является конкурентоспособным товаром среди
остальных, что касается TM Millenium, то этот продукт более конкурентоспособен
среди всех представленных товаров.
ТМ Milka оказалась абсолютным лидером среди
потребителей данного продукта, шоколад этой торговой марки не только самый
вкусный, обернут в удобную и привлекательную упаковку, снимает интересную и
привлекающую внимание рекламу, но и внушает доверие. Единственное, что нужно
изменить, то это цена, практически все опрошенные респонденты отметили
завышенную цену.