Основные тенденции развития гольф-индустрии в России

  • Вид работы:
    Дипломная (ВКР)
  • Предмет:
    Туризм
  • Язык:
    Русский
    ,
    Формат файла:
    MS Word
    2,41 Мб
  • Опубликовано:
    2015-12-15
Вы можете узнать стоимость помощи в написании студенческой работы.
Помощь в написании работы, которую точно примут!

Основные тенденции развития гольф-индустрии в России

Введение

Про гольф-индустрию можно сказать, что она находится на пересечении нескольких индустрий - спорта, развлечения и недвижимости. Именно этот факт делает ее столь сложной, многогранной и одной из самых развитых индустрий в, так называемой, сфере услуг.

В мире насчитывается более 40’000 полей для гольфа, а количество людей, более или менее регулярно играющих в гольф, в зависимости от критериев подсчета, варьирует от 60 до 100 миллионов человек .

Подавляющая часть спроса, по-прежнему, приходится на зрелые, давно сформировавшиеся рынки. Тем не менее, в большинстве стран с наиболее развитой индустрией гольфа, наблюдается тенденция к снижению общего числа играющих в гольф людей, а в отдельных регионах число закрывшихся гольф-полей за прошедший год превысило число открывшихся.

При этом, за последнее десятилетие, вектор развития гольф-индустрии постепенно смещается в сторону стран с развивающимися рынками, в первую очередь, странами БРИК (Бразилия, Россия, Индия, Китай) и Дальнего Востока.

Из всех стран, на которые аналитиками возлагались надежды, как на новые рынки потребления гольф-услуг, развитие этой индустрии в России идёт самым медленным темпом.

Поэтому, целью работы стало выявить факторы, влияющие на темпы развития и на спрос в гольф-индустрии России, и определить дальнейшие ее перспективы.

Актуальность работы: в данной работе проводится уникальное для России исследование спроса в индустрии гольфа, которое поможет разобраться в факторах, сдерживающих темпы ее развития.

Задачи:

)        Коротко ознакомить читателя с историей развития индустрии гольфа, а также с текущими мировыми тенденциями ее развития.

)        Определить какие факторы влияют на спрос в мире.

)        Провести эконометрическое исследование и выявить наиболее значимые факторы, влияющие на спрос в России.

)        Определить факторы, влияющие на появление новых гольф клубов в России.

)        Предложить возможные решения для развития гольф-индустрии в России.

Методы исследования: анализ исследований мировой индустрии гольфа; проведение и анализ опросов среди гольфистов и людей, не играющих в гольф; построение эконометрических моделей, используя метод наименьших квадратов и модели бинарного выбора.

Структура работы: работа состоит из введения, обзора литературы, 4 глав, возможного продолжения исследований, заключения, списка использованной литературы и приложений.

В первой главе коротко рассматривается история гольф-индустрии России. Во второй главе описываются текущие мировые тенденции в развитии гольфа, а также строятся три эконометрические модели спроса и анализируются результаты проведенных опросов. В третьей главе определяются факторы, влияющие на появление новых гольф клубов. В четвертой главе описываются инструменты, позволяющие ускорить темпы развития гольф-индустрии в России.

Обзор литературы

Работ по состояния российской гольф-индустрии практически нет. Основной источник информации по этой теме - это отчёт консалтинговой компании KPMG Advisory Ltd., «Развитие индустрии гольфа в России и СНГ: тенденции и прогноз».

В данной работе рассматриваются проблемы, стоящие перед индустрией гольфа России и СНГ и освящаются возможности, которыми представители этой индустрии могут воспользоваться. Согласно этому отчёту, «учитывая планы развития местных федераций, начиная с текущего года и по 2020 включительно ежегодно будет открываться по пять - семь полей для гольфа, однако это потребует серьёзных усилий и реализации крупномасштабных инициатив по популяризации игры.. В случае успеха, Россия сможет стать одним из наиболее быстро растущих рынков гольфа». Автор, при этом указывает, что «невнимательное отношение к основным факторам, определяющим спрос и предложение на местах, или строительство объектов без учета потребностей и требований рынка могут обернуться для заказчиков и девелоперов огромными расходами». Однако, в работе не проведён анализ спроса на гольф, приведён лишь «Golf Participation Rate» (показатель участия), который равен 0,0002%- безусловно, один из самых низких показателей в мире.

Вторым источником информации о состоянии гольф индустрии в России может служить отчет, опубликованный в 2011 году компанией Ernst & Young «Основные тенденции развития гольф-индустрии в России». Эта работа посвящена обзору существующего предложения на рынке гольф услуг, динамике развития и статистическим данным развития гольфа по федеральным округам России. В данной работе сделан вывод, что «развитию гольф-индустрии способствует стабильная доходность гольф клубов за счет роста популярности гольфа как вида спорта».

Однако ни в одном из вышеперечисленных источников нет анализа спроса и его соответствия существующему предложению в России, поэтому в своей работе при выявлении факторов, влияющих на спрос, мы будем обращаться к опыту зарубежных стран. В связи с обширностью поставленной задачи, в работе будет рассмотрено несколько разных моделей. Поэтому, обзор соответствующей западной литературы будет происходить непосредственно в главах, посвященных тому или иному вопросу.

1. История развития гольф-индустрии в России

спрос гольф доход клуб

Гольф, в его сегодняшнем виде, зародился в Шотландии в 1457 году и сегодня, спустя почти пять с половиной веков, он считается одним из самых популярных видов спорта в мире, а индустрия гольфа вносит весомый вклад в экономику многих стран.

Игра быстрыми темпами начала распространяться не только в Великобритании, но и за её пределами и к началу 19 века охватила большинство стран с растущей экономикой и высоким уровнем личного благосостояния населения. Наиболее стремительно гольф-индустрия развивалась в Северной Америке. И на сегодняшний день на её долю приходится около 25 миллионов гольфистов, а также, более 16 тысяч полей, что составляет половину всех гольф-полей, построенных на Земле.

Российская история гольфа значительно скромнее. Датой зарождения гольфа в России принято считать 15 сентября 1987 года, со дня основания первого гольф-поля в центре Москвы. Однако, ещё в 1890 году великий князь Михаил Михайлович Романов построил первое российский гольф-клуб «Cannes-Mandelieu», расположенный, к сожалению, не на территории России, а в Каннах, на Лазурном берегу Франции. Русская знать во время отдыха с удовольствием приобщалась к этой игре и возможно, у этого спорта в России могло бы сложиться совсем другое будущее, но после октябрьской революции 1917 года и возникновения СССР, гольф был отнесён к капиталистическому виду спорта, неприемлемому для атлетов социалистической страны. Тем более, что с 1904 года он был исключён из Олимпийских видов спорта и советское руководство окончательно поставило крест на развитии гольф-индустрии.

В 1959 году, после посещения США и под настойчивым убеждением американского посла Ллевеллина Томпсона, утверждавшего, что отсутствие гольф полей подрывает авторитет страны, лидер СССР Никита Хрущёв распорядился построить гольф клуб на берегу озера Байкал у истоков реки Ангары для ответного приёма президента США Дуайта Эйзенхауэра, ярого поклонника гольфа. Встреча на высшем уровне была намечена на 16 мая 1960 года. Однако, из-за американского самолёта-разведчика, пойманного в воздушном пространстве СССР, визит Эйзенхауэра был отменён, а вместе с ним и строительство первого «коммунистического гольф клуба»

И только в 1987 году, шведский хоккеист Свен Тумба-Йоханссон <#"889556.files/image001.gif">

Рисунок 1. Количество гольфистов в США и Великобритании в 2005-2013 гг.

В связи со снижением текущего количества гольфистов, ассоциации гольфа разных стран озадачены проблемой увеличения популярности гольфа. По их словам, это необходимо для «выживания» гольф-клубов, и, как следствия, всей индустрии.

Однако, снижение спроса на гольф отмечается не во всех странах. Невероятными темпами гольф развивается в Азии, особенно в Китае, где, несмотря на запреты со стороны государства на строительство полей, сегодня насчитывается более 500 полей и около 1 миллиона гольфистовприводит результаты опроса, проведенного Mindshare Global Sport Index, в наиболее значимых для гольф-индустрии странах. Этот опрос проводился с целью оценить потенциальный интерес к игре и выявить взаимосвязь между позитивным восприятием населением страны игры в гольф, и состоянием гольф-индустрии на данный момент. Результаты опроса показали, что в странах с традиционно развитой индустрией, позитивное отношение к гольфу (21% у США и Великобритании) достаточно высоко, однако, именно в странах с растущим гольф-рынком этот процент значительно выше (31% у Китая, 28% у Индии), и превышает процент негативного или нейтрального отношения (см. приложение 1). Это исследование ещё раз подтвердило смещение акцента рынка с Запада на Восток.

Рисунок 2. Количество гольфистов в Китае в 1990-2013 гг.

Аналитики прогнозируют увеличение спроса на гольф во всём азиатском регионе, а также, возлагают большие надежды на Россию и страны СНГ. Согласно опросу, проведённому компанией KPMG среди архитекторов и строителей гольф-полей о перспективах рынка, Россия идёт на третьем месте, пропустив вперёд лишь Китай и Индию.

Рисунок 3. Наиболее перспективные страны для развития гольфа

Однако, сделав первый рывок, российская гольф-индустрия значительно замедлила темпы своего развития, не оправдав тем самым возлагаемые на неё надежды аналитиков. Так, например, Ассоциация Гольфа России в 2008 году заявила амбициозные планы увеличения к 2014 году числа гольфистов до 100 000 человек, а количества гольф-полей до 100. Нельзя сказать, что планы эти были нереалистичны. Обращаясь к опыту Китая, мы видим, что такой темп развития данной индустрии более чем возможен. Однако, в случае с Россией, план не выполнен даже на 30 %. Одной из причин такого несоответствия прогнозам, возможно, является неправильная оценка спроса на гольф в России.

.2 Макроэкономические факторы, влияющие на спрос

Существует множество факторов, влияющих на изменение спроса на гольф. Среди прочих, выделяют такие экономические факторы, как безработица и цены на недвижимость, которые влияют на доход и состояние людей. Изучению этих факторов посвящены ряд исследований.

Так, например, Luсas Isakowitz в своей работе «Golf Courses & Country Clubs in the US» провел анализ индустрии гольфа в США. В этом исследовании он выделил макроэкономические факторы, влияющие на спрос в гольф-индустрии страны:

Таблица 1. Факторы, объясняющие спрос на гольф в США.

Фактор

Пояснение

Количество людей, зарабатывающих более 100’000 долларов в год (HE)

Членство в гольф клубе очень дорогое, и только обеспечение люди могут его себе позволить

Индекс Потребительской Уверенности (CCI)

Индекс отражает настроение людей касательно текущей экономической ситуации и будущей финансовой определенности. Люди принимают решения о таких покупках, как членство в гольф клубе, исходя из изменений в доходе

Доход на человека (DI)

Увеличение дохода приводит к увеличению трат на спорт и отдых

Время, потраченное на спорт и отдых (TIME)

Чем больше у людей свободного времени, тем больше времени они могут провести на гольфе. Когда безработица уменьшается, у людей становится меньше времени на спорт.

Средний возраст населения (MEDAGE)

чем больше средний возраст, тем больше людей на пенсии со свободным временем


Автор, однако, не провел никаких эконометрических исследований, поэтому не ясно, насколько точно выбранные им факторы объясняют спрос на гольф.

Чтобы выяснить это, и посмотреть, возможно ли проследить зависимость между макроэкономическими факторами и спросом на гольф, мы построим регрессию из предложенных Luсas Isakowitz переменных.

Из-за того, что переменные являются нестационарными временными рядами, мы проведем несколько процедур, прежде чем построим нашу модель.

.2.1 Процедура Энгеля-Гранжера и процедура исправления ошибок

Построение регрессии из нестационарных временных рядов может привести к неверным и бессмысленным результатам. Согласно Энгелю-Гранжеру, коинтеграция между переменными будет присутствовать в случае, если их линейная комбинация стационарна. Важным условием является то, что переменные должны иметь одинаковый порядок интеграции.

= c + β×xt + ut                                                                                (1)- c - β×xt = ut                                                                             (2)

Формула 1 показывает обычную линейную регрессии. Если немного переставить переменные, то получается формула 2, из которой мы видим, что для проверки стационарности линейной комбинации переменных, достаточно проверить остатки на стационарность.

Первый шаг процедуры Энгеля-Гранжера: строится обычная регрессия методом наименьших квадратов (Ordinary Lease Squares, OLS) и извлекаются оцененные остатки.

Второй шаг: полученные остатки проверяются на стационарность. Для этого можно использовать расширенный тест Дикки-Фуллера (Augmented Dickey Fuller, ADF).

Если остатки стационарны, то между переменными есть связь. Это будет означать, что результаты регрессии значимы.

Поскольку переменные коинтегрированы, мы можем провести процедуру исправления ошибок (Error Correction Model, ECM).

Если переменные имеют интеграцию первого порядка, то исправленная модель должна содержать первые разницы переменных, а также лагированные остатки.

(yt) = c + β1×d(xt) + β2ut-1 + et                                                    (3)

Формула 3 показывает, как будет выглядеть модель после процедуры исправления ошибок. Чтобы между зависимой и объясняющими переменными была связь, коэффициент перед лагированными остатками(β2) должен быть отрицательным и значимым.

.2.2 Построение модели спроса

Сначала мы построим модель из факторов, перечисленных в разделе 2.2. После проверки всех переменных на стационарность после первой разницы, можно приступать к процедуре Энгеля-Гранжера.

Шаг Первый: Строим регрессию методом OLS.

Таблица 2.Линейная модель количества гольфистов в США


Шаг второй: проверяем остатки на стационарность при помощи теста ADF:

Таблица 3.Проверка остатков регрессии на стационарность с помощью теста ADF


Вероятность равная 0,48% меньше 5%, поэтому мы отвергаем нулевую гипотезу и принимаем альтернативную, которая говорит, что переменная стационарна.

Далее мы проводим процедуру исправления ошибок и получаем следующую регрессию:

(GOLF) = 930’236.3*D(HE) - 4’755.5*D(CCI) - 43*D(DI) - 418’035.8*D(TIME) - -5’103’378.8*D(MEDAGE) - 0.5*E(-1) + 870’270.9                                   (4)

(…) означает первую разницу, а e(-1) является логированной переменной остатков. Как видно из результатов регрессии, коэффициент перед e(-1) меньшие единицы, отрицательный и значим на 5% уровне, как того и требует процедура исправления ошибок.

Таблица 4.Линейная модель количества гольфистов США после ECM


Полученная модель объясняет 70,7% вариации количества гольфистов. Несмотря на значимость лишь трех коэффициентов, вероятность F-статистики равна 0,37%, что позволяет нам отвергнуть нулевую гипотезу о том, что все коэффициенты равны нулю, на 5% уровне. Это означает, что несмотря на то, что некоторые переменные по-отдельности не могут объяснить изменения в спросе на гольф, все переменные вместе делают это весьма хорошо. Также стоит отметить, что остатки модели распределены нормально, гетроскедастичность и серийная корреляция отсутствуют.

Результаты соответствующих тестов можно посмотреть в приложении 2. Там же находится таблица корреляций переменных, из которой можно сделать вывод, что проблема мультиколлинеарности отсутствует, поскольку корреляция между переменными невысокая:

Из полученных результатов мы можем сделать вывод, что модель весьма неплохо показывает изменения в количестве гольфистов, несмотря на то, что некоторые коэффициенты показали обратную зависимость, нежели предполагал Lucas Isakowitz.

Попытка построить схожую модель для России не удалась по ряду причин. В том числе, из-за отсутствия данных, таких как «время потраченное на спорт» и «количество людей, зарабатывающих более 100’000 долларов в год».

При попытке построения модели с другими переменными, уже на этапе выбора этих переменных возникло несколько проблем:

)        Многие показатели для России рассчитаны лишь за небольшое количество лет, что препятствует построению качественной модели из-за маленького числа наблюдений.

)        Почти все найденные данные имели разный порядок интеграции, что ограничивало выбор переменных для построения модели.

)        Переменные, имеющие одинаковый порядок интеграции, не были коинтегрированы по результатам теста Энгеля-Гранжера.

)        Модели, которые успешно проходили тест Энгеля-Гранжера, имели очень низкий R-квадрат и незначимые коэффициенты из-за проблемы мультиколлинеарности (результаты полученной модели можно увидеть в приложении 3).

Тот факт, что модель спроса не удалось построить для России, можно связать также с низким процентом населения, вовлеченным в гольф индустрию. В России он составляет всего 0,002% и вовлекает, в основном, людей высокого личного благосостояния, потребление которых не сильно зависит от изменений в экономике.

Однако, на примере США, где доходы гольф-индустрии соизмеримы с доходами кино-индустрии, а гольфисты составляют порядка 7,9% от населения, мы увидели, что макроэкономические факторы могут повлиять на количество гольфистов в странах, где гольф является более массовым видом спорта, и занимает весомую часть в экономике.

Чтобы всё-таки выяснить факторы, влияющие на спрос в гольф-индустрии России, мы провели два отдельных опроса - для людей, играющих в гольф, и для никогда не игравших.

.3 Другие факторы, влияющие на спрос

Опросы среди гольфистов помогают понять, что влияет на количество сыгранных раундов. Такие исследования проводятся во многих странах, и среди инструментов для исследования гольф индустрии они являются наиболее популярными.

Рисунок 4. Факторы, позволившие гольфистам в США и Великобритании играть чаще

Рисунок 5. Факторы, не позволяющие гольфистам играть чаще

Как можно увидеть из рисунков 4 и 5, в разных странах люди по-разному относятся к обстоятельствам, влияющим на частоту игры. По результатам опросов можно сделать вывод, что наиболее важными факторами являются:

Таблица 5

Наиболее важные факторы, влияющие на частоту игры в мире

Фактор:

1

Время

2

Семейные обязательства

3

Обязательства на работе

4

Стоимость


Подобные исследования в России прежде не проводились, поэтому проведенный для данной работы опрос является особенно актуальным, поскольку поможет выявить факторы, оказывающие наибольшее влияние на возможность и желание людей играть в гольф.

.3.1 Опрос гольфистов России.

Вопросы были составленные из расчета, что респондент имеет опыт игры на гольф полях. Некоторые вопросы были взяты из подобных опросов, проведенных в других странах. Остальные были составлены, основываясь на специфике российской гольф-индустрии. Как выглядел опрос можно увидеть в приложении 4.

Опрос распространялся через социальные сети, а также, через всероссийский гольф-портал «Гольф.Ру».

В опросе приняли участие 107 гольфистов. 78% из опрошенных проживают в Москве. Средний возраст респондентов составил 35 лет. Ниже приведена таблица распределения гольфистов по возрастам.

Рисунок 6. Распределение гольфистов по возрастам

В четвертом вопросе респондентам предлагалось выразить степень своего согласия с тем, какие факторы влияют на частоту их игры. В приведенной ниже таблице, обе степени согласия или несогласия считались равнозначными. В результате можно увидеть, какие факторы, по мнению российских гольфистов, оказывают наибольшее влияние на количество играемых раундов в месяц.

Таблица 6. Факторы, влияющие на частоту занятий гольфом в у российских гольфистов

Фактор

Влияет

Не влияет

Затруднились ответить

Обозначение

Высокая стоимость раунда

51,4%

38,3%

10,3%

Price

Удаленность от дома

51,4%

43,9%

4,7%

Distance

Возможность играть со знакомыми или семьей

50,5%

37,4%

12,1%

Friends

Высокая стоимость занятий с тренером

43,0%

49,5%

7,5%

Coach_Price

Возможность провести деловую встречу на гольфе

42,0%

43,0%

15,0%

Business

Не хватает времени на спорт и отдых

40,2%

56,1%

3,7%

Time

Плохая погода

34,6%

50,4%

15,0%

Weather

Низкое качество поля

25,2%

68,2%

6,6%

Quality

Раунд занимает слишком много времени

23,4%

71,0%

5,6%

Long_Round

Неудовлетворенность своими результатами в гольфе

15,9%

76,6%

7,5%

Results

Не позволяет здоровье

15,0%

80,4%

4,6%

Health

Высокая сложность поля

9,4%

86,9%

3,7%

Difficulty


Сравнив результаты с таблицей 5 можно заметить, что факторы для российских гольфистов несколько отличаются по своей значимости от результатов в зарубежных странах.

Первое место поделили стоимость и удаленность гольф клуба от дома. Это весьма ожидаемый результат, учитывая расположение гольф клубов, пробки и цены на игру. Неожиданным оказалось то, что наличие свободного времени, несмотря на большой процент ответов, оказалось лишь на 6 месте, в то время как в зарубежных странах этот фактор является самым популярным. Также весьма интересным оказалось и тот факт, что на третьем месте для отечественных гольфистов оказалась «возможность играть со знакомыми и семьей», что действительно становится непросто, когда клуб работает в закрытом формате.

Таблица 6 помогает выделить наиболее актуальные факторы, влияющие на спрос. Однако из нее нельзя понять, в какой степени изменится количество сыгранных раундов, если произойдет изменение в том или ином факторе. Чтобы выяснить это, мы рассмотрим следующую регрессию, построенную с помощью метода наименьших квадратов:

Таблица 7.Линейная модели количества раундов в месяц


При подготовке данных, ответам респондентов присваивались значения от 1 до 5, где 5 означает полное согласие. Полученная модель объясняет 24,1% вариации количества сыгранных раундов. Такой результат не считается очень хорошим. К тому же, лишь 3 из 13 коэффициентов значимы на 10% уровне. Это нельзя оправдать проблемой мультиколлинеарности, поскольку она отсутствует, но это вполне объяснимо тем, что ни один из фактор в одиночку не может объяснить причину того или иного количества сыгранных раундов. Подтверждение этому можно увидеть в таблице 6 , где некоторые факторы не имеет явного преимущества перед остальными в важности. Однако все факторы вместе способны объяснить вариацию в зависимой переменной. Такой вывод мы можем сделать из вероятности F-статистки, которая меньше 5% и позволяет нам отвергнуть нулевую гипотезу, в которой все коэффициенты равны нулю. Модель также удовлетворяет требованиям метода OLS: гетроскедастичность отсутствует, а остатки распределены нормально. (см. приложение 5).

Полученную модель можно записать в следующем виде:

ROUNDS = -0.41*PRICE - 0.21*DISTANCE + 0.82*FRIENDS - 0.87*COACH_PRICE + 0.17*BUSINESS + 1.11*TIME + 0.28*WEATHER + 0.14*QUALITY + 0.07*LONG_ROUND + 0.25*RESULTS + 0.16*HEALTH + 1.39*DIFFICULTY + 19.9 (5)

Все коэффициенты кажутся весьма логичными. Например, при увеличении цены за раунд, количество раундов на одного посетителя снизится на 0,49. Если придавать переменным значения от 1 до 5, где 5 это самые сильные изменения, то можно сделать вывод, что при уменьшении цены со значением 4, человек станет играть почти в 2 раза чаще.

Заметим, что абсолютные значения некоторых коэффициентов, в сравнении с друг другом, кажутся не очень адекватными. К примеру, по результату опроса стоимость за раунд и удаленность от дома заняли первые два места по приоритету для гольфистов.

Складывается вывод, что они и должны иметь наибольшее влияние на количество раундов. Однако в модели все получается иначе, эти переменные имеют довольные низкие значения коэффициентов, по сравнению с, например, сложностью поля, которая заняли в таблице 6 последнее место, а в модели имеет самый большой по значению и значимый коэффициент. Вероятно, когда мы рассматриваем все факторы в совокупности, их значимость меняется, и это может быть причиной несколько иных результатов, чем при первичном осмотре ответов на опрос.

Стоит так же отметить, что наиболее значимым фактором по результатам модели стало наличие свободного времени. Этот результат совпадает с мировым опытом, результаты которого мы видели в таблице 5. Быть может это говорит о том, что российские гольфисты не сильно отличаются от зарубежных и, в таком случае, для развития спорта в России будут вполне уместны техники и методики, используемые зарубежными странами для популяризации гольфа.

.4 Что препятствует популяризации гольфа в России

В предыдущем разделе мы рассмотрели факторы, влияющие на частоту игры гольфистов. Это исследование поможет понять, что нужно сделать, чтобы не только не терять текущий спрос, но и немного его увеличить.

Однако для успешного развития индустрии, необходимо привлекать новых клиентов. Для этого важно понимать, что препятствует людям начать заниматься гольфом и хотят ли они, вообще, попробовать свои силы в этом виде спорта и отдыха.

Подобное исследование проводилось в Великобритании, и было уникально в своем роде. По его результатам были выявлены следующие причины, препятствующие увеличение количества гольфистов в стране:

Таблица 8.Что не позволяет начать играть в гольф людям в Великобритании

58%

Высокая стоимость игры

35%

Не знают как и где начать играть

33%

Гольф занимает слишком много времени

20%

Семейные обязательства


Чтобы составить картину потенциальных гольфистов в России и понять, что им мешают начать заниматься гольфом, специально для этой работы был проведен подобный опрос среди людей, никогда не игравших в гольф. Как выглядел опрос можно увидеть в приложении 6. Опрос распространялся через социальные сети и всероссийский гольф портал «Гольф.Ру».

В опросе приняло участие 239 человек. 85% были из Москвы, что делает выборку смещенной. Средний возраст респондентов составил 29 лет.

Всего 214 человек изъявили желание попробовать свои силы в гольфе.

Таблица 9.Результаты опроса: желание попробовать гольф и знания о гольфе


Хотят попробовать

Не хотят пробовать

Всего:

Знают, что такое гольф

138

14

152

Думают, что знают про гольф

67

11

78

Не знают, что такое гольф

9

1

10

Всего:

214

26

240


Из таблицы 9 мы видим, что 25 человек, которые знают что-то о гольфе, не хотят заниматься этим видом спорта. Получается, что 10,42% потенциальных клиентов не имеют никакого интереса к гольфу.

Что касается тех, кто заинтересован в том, чтобы попробовать свои силы в данном виде спорта, то 41,12% потенциальных гольфистов не знают, как и где начать играть.

Таблица 10. Желание попробовать гольф и знание о том, как начать


Хотят попробовать

Не хотят пробовать

Всего:

Знают, где и как начать играть

126

17

143

Не знают, где и как начать играть

88

9

97

Всего:

214

26

240


Из результатов опроса можно сделать вывод, что из всех желающих начать играть в гольф, лишь у 3,74% нет возможности тратить по несколько часов на одну тренировку, а 38,32% готовы заниматься лишь в выходные дни.

Таблица 11. Желание попробовать гольф и наличие времени для занятий


Хотят попробовать

Не хотят пробовать

Всего:

Есть время

124

12

136

Время только в выходные дни

82

5

87

Нет времени

8

9

17

Всего:

214

26

240


Наиболее важным фактором, не позволяющим потенциальным гольфистом стать настоящими гольфистами, является стоимость гольфа. Такой вывод можно сделать из таблиц 12 и 13.

Таблица 12.Наличие времени и готовность оплачивать тренировки у желающих попробовать


Хотят и есть время

Хотят, но время только в выходные

Всего:

Готовы оплатить тренировку

85

48

133

Не готовы оплачивать тренировку

39

34

73

Всего:

124

82

206



Таблица 13. Наличие времени и готовность оплачивать игру на поле у желающих попробовать


Хотят и есть время

Хотят, но время только в выходные

Всего:

Поле стоит дорого

28

23

51

Могут оплатить, но хотели бы меньше

70

53

123

Готовы оплатить поле

26

6

32

Всего:

124

26

206


Таблица 14. Готовность оплачивать поле и тренировки у желающих попробовать


Хотят и есть время

Хотят, но время только в выходные

Всего:

Готовы оплатить тренировку и поле

24

5

29


В то время, как 64,56% потенциальных гольфистов готовы тратить более 1’000 рублей в час на тренировку, лишь 14,07% готовы также играть за 7’500 рублей на поле и имеют наибольшую вероятность начать играть в гольф. Остальные либо вовсе не могут потратить подобную сумму, либо хотели бы платить меньше. Что удивительно, средний рост количества гольфистов в России за период с 1992 года по 2011 год составил 16,06% в год, что лишь на 1,99% отличается от полученного результата путем опроса.

Получается, что из-за высокой стоимости за игру на поле, гольф-индустрия России теряет 50,49% потенциальных клиентов, которые имеют возможность и желание начать играть, готовы оплачивать тренировки, но их отпугивают цены за игру на гольф-полях. Если бы стоимость была ниже, то дополнительно 40,29% респондентов согласились бы оплачивать игру на полях и начали бы заниматься гольфом. И тогда рост количества гольфистов составил бы 54,36%.

Из таблицы 15 видно, что на более дешевых полях, хоть и более низкого качества, стоимость за игру на которых не будет превышать 2’500 рублей, готовы играть в общей сложности 64,07% потенциальных гольфистов, а еще 26,7% не смогли дать точного ответа.

Таблица 15.Отношение к более дешевым полям, у желающих попробовать


Хотят и есть время

Хотят, но время только в выходные

Всего:

За дешевое поле

82

50

132

Не знают

31

24

55

Против дешевого поля

11

8

19

Всего:

124

26

206


Мы составили картину потенциального гольфиста и знаем, как владение информацией о гольфе, а также наличие времени и стоимость игры в гольф могут повлиять на желание человека приобщиться к этому виду спорта. Для дальнейшего анализа мы построим модель логита, чтобы можно было выявить вероятность того, что человек захочет начать играть в гольф. Была также построена модель пробита (см. приложение 7)

Все результаты, а также расшифровку используемых переменных можно увидеть в приложении 7.

Полученная модель имеет следующий вид:

Y=WANT_TO_TRY= - 0.017*AGE +0.54*AVAILABLE_TIME+ 1*PAY_FOR_RANGE - 0.023*PAY_FOR_COURSE+ 1.01*PAY_FOR_CHEAP_COURSE - 0.77                                                                                                                (6)

Наиболее значимыми оказались коэффициенты «возможности платить за тренировку» и «желания играть на более дешевых полях». Похожий результат мы получили, при исследовании результатов опроса.

Таблица 16.Бинарная логит модель расчета вероятности «желания попробовать гольф»


Несмотря на невысокий псевдо-R-квадрат, модель правильно предсказывает 91.14% исходов, при отсечке 0.5. Полученные коэффициенты показывают в каком направлении изменится вероятность. Саму вероятность можно рассчитать при помощи функции кумулятивного нормального распределения:


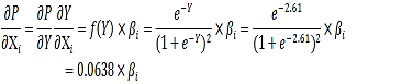
Чтобы рассмотреть эффект каждой переменной, необходимо рассчитать предельный эффект для средних значений выборки. При средних значениях объясняющих переменных, зависимая переменная равняется 2.61.

                                 (8)

Зная формулу 6, мы можем сказать, что при появлении, к примеру, возможности платить за тренировку, вероятность, что человек захочет стать гольфистом растет на 0.0638*1=6.38%, а при увеличении свободного времени для спорта, вероятность растет на 0.0638*0.54=3.44%.

Объяснить отрицательное значение и незначимость коэффициента «возможности платить за поле» можно объяснить тем фактом, что для начинающих гольфистов достаточно более дешевого и просто поля. Именно поэтому коэффициента «желания играть на дешевом поле» значим даже на 1% уровне.

В целом из модели мы видим, что наиболее значимыми являются две из трех переменных, связанных со стоимостью гольфа. Это лишь подтверждает тот факт, что основным препятствием для потенциальных гольфистов являются высокие затраты. Наличие свободного времени можно поставить на второе место по значимости для людей, не играющих в гольф.

Такие результаты нам говорят о том, что и потенциальные российские гольфисты не сильно отличаются от зарубежных. У тех и у других основными факторами, мешающими начать играть в гольф, являются стоимость и время. Это означает, что и в вопросе привлечения новых клиентов российская гольф-индустрия может использовать методы зарубежных стран.

3. Влияние спроса на доходы гольф-клуба

.1 Анализ форматов гольф клубов, как основной составляющей индустрии гольфа

Структура гольф-индустрии многокомпонентна. Вокруг самой игры в гольф образуется целый кластер отраслей. Это и производство гольф-экипировки, проведение гольф-турниров, функционирование гольф-ассоциаций, гольф-туризм, недвижимость и многое другое. Однако, основной составляющей индустрии гольфа любой страны всё же являются гольф-поля и гольф-клубы

В данном разделе мы рассмотрим, какие бывают гольф-клубы и какие мировые тенденции сегодня существуют в предпочтениях форматов клуба.

Гольф-клубы по своей структуре бывают открытыми, частными и смешанными. Открытые клубы позволяют любому желающему за разовый взнос посетить клуб, сыграть раунд на поле или потренироваться на специальных площадках.

Услугами закрытого клуба могут пользоваться лишь обладатели членства, стоимость которого, как правило, очень высока. Чтобы стать членом клуба, необходимо внести первоначальный взнос и в дальнейшем, оплачивать ежегодные взносы. Члены клуба получают неограниченный доступ к услугам гольф клуба, соревнованиям и закрытым мероприятиям. Помимо высокой стоимости членства, для вступления в большинство клубов необходимо получить одобрение и рекомендации уже существующих членов клуба.

В смешанных гольф клубах есть члены, но также допускаются и люди, не имеющие членства, но желающие оплатить разовый взнос и сыграть раунд. Члены клуба имеют ряд преимуществ, помимо свободного доступа к полю и всем тренировочным площадкам. Например, у них есть приоритет при бронировании игры на гольф поле, также им выделяются отдельные зоны отдыха, раздевалки, места на парковке и скидки или бесплатное участие в гольф турнирах, проводимых в данном клубе.

Так, по данным Национального Гольф Фонда (NGF), в США за сентябрь 2011 года 25 клубов перешли из открытого в закрытый формат, в то время как 83 клуба стали работать в более открытом формате (либо стали работать в полностью открытом формате, либо перешли к смешанному формату). Это лишь подтверждает тот факт, что в современной индустрии гольфа, смешанные клубы являются оптимальным решением, поскольку удовлетворяют потребности как клубов, обеспечивая их гарантированным доходом от продажи членств, так и большинства гольфистов, позволяя купить членство и пользоваться привилегиями члена куба, либо же оплачивать разовый взнос.

Однако, несмотря на мировую тенденцию перехода гольф-клубов к смешанному формату, в России большинство клубов остаются закрытыми. Недовольство российских гольфистов закрытым форматом клубов стало очевидным из седьмого вопроса Опроса для гольфистов, по результатам которого 78,8% ответили, что хотели бы, чтобы клубы работали в более открытом формате. Отметим, что из них 41,5% являются в то же время членами одного из гольф-клубов.

Изначально предполагалось, что данное исследование будет включать в себя сравнительный анализ прибыльности гольф-клубов различного формата. Такой анализ должен был основываться на финансовых отчетах гольф-клубов, расположенных в разных странах и в результате выявить наиболее оптимальный формат клуба. Однако в ходе сбора данных выяснилось, что, такой сравнительный анализ провести невозможно из-за недоступности финансовых отчётностей большинства закрытых гольф-клубов. Поэтому, из собранной информации было целесообразно провести анализ структуры дохода гольф клуба, не учитывая его формат, а только финансовую отчетность. Проведя такой анализ, мы сможем рассмотреть от чего и в какой степени зависят доходы гольф-клуба.

.2 Анализ структуры доходов гольф клуба

В функционировании гольф клуба предоставление поля для игры в гольф является не единственной услугой. Часть доходов составляет продажа гольф экипировки, услуги тренеров, прокат инвентаря, а также услуги баров, ресторанов и СПА.

В данной главе мы построим модель доходов клуба с целью выявить какие сегменты являются наиболее важными в структуре доходов гольф-клуба.

Чтобы посмотреть, как именно изменение в спросе со стороны гольфистов влияет на доходы гольф клубов, было собрано 55 финансовых отчетов гольф-клубов из разных стран мира. Построенная на основе этих данных регрессия, показывает зависимость дохода клуба от количества разовых посетителей и членов клуба. Стоит отметить, что все клубы были смешанного типа, то есть, они предлагали своим посетителям, как разовые абонементы, так и годовые членства.

Таблица 17. Линейная модель доходов гольф клуба


Entity_Income=1’096’882+1007,2*Number_Of_Members+’529,5*Rounds_Per_Month                                                                                                                       (9)

В данной регрессии константа отражает доходы от еды и напитков, продажи и аренды оборудования, а также от других сервисов и услуг. Поскольку гольф - не единственный источник дохода для гольф клуба, это может объяснить, почему константа значима на 5% уровне. Однако, важно понимать, что если гольф-клуб перестанут посещать гольфисты, то «прочие доходы» снизятся, из-за более низкого спроса на услуги всего клуба в целом. Возможно, это и является причиной низкого значения R-квадрата регрессии - всего 0,22 - что говорит о том, что выбранные переменные объясняют лишь 22% от доходов гольф клуба. Результаты тестов на нормальное распределение и гомоскедастичности остатков дали положительные результаты. Подробней с ними можно ознакомиться в приложении 8.

Также из модели мы видим, что количество сыгранных раундов за разовый взнос значимо на 5% уровне, в то время как количество членов клуба не значимо на том же уровне.

Исходя из этих данных, мы можем сделать вывод, что для доходов клуба от гольфа, большее значение имеют разовые взносы, чем количества членов клуба. Поэтому, гольф-клубам стоит задуматься о переходе на работу в более открытом формате, поскольку это не только позволит удовлетворить потребности гольфистов, но и обеспечит клуб наиболее важным источником дохода, исходя из результатов полученной модели.

Правильность нашего анализа подтверждает и мировая практика. Так, по данным Национального Гольф Фонда (NGF), в США за сентябрь 2011 года 25 клубов перешли из открытого в закрытый формат, в то время как 83 клуба стали работать в более открытом формате (либо стали работать в полностью открытом формате, либо перешли к смешанному формату).

Таким образом, мы убедились, что в современной индустрии гольфа, смешанные клубы являются оптимальным решением, поскольку удовлетворяют потребности как клубов, обеспечивая их гарантированным доходом от продажи членств, так и большинства гольфистов, позволяя купить членство и пользоваться привилегиями члена куба, либо же оплачивать разовый взнос.

Однако, несмотря на мировую тенденцию перехода гольф-клубов к смешанному формату, в России большинство клубов остаются закрытыми. Недовольство российских гольфистов закрытым форматом клубов стало очевидным из седьмого вопроса Опроса для гольфистов, по результатам которого 78,8% ответили, что хотели бы, чтобы клубы работали в более открытом формате. Отметим, что из них 41,5% являются в то же время членами одного из гольф-клубов.

.3 Важность удовлетворения спроса на гольф для стабильного развития индустрии

Пока большинство гольф-клубов в России появляются не ради удовлетворения спроса со стороны гольфистов, а по иным мотивам. Причиной открытия части гольф-клубов становится желание владельца соответствовать определённому статусу. Примером таких «аксессуаров для миллиардеров» являются «Гольф и поло клуб Целеево», построенный Олегом Дерипаской, «Гольф клуб Сколково» Романа Абрамовича и построенный Владимиром Потаниным «Гольф клуб Завидово». Это закрытые гольф-клубы с очень высокой стоимостью членства и строгими критериями отбора. Они положительно сказываются на имидже страны, позволяя проводить крупные международные соревнования, например, этап Европейского Тура, но не способствуют напрямую развитию гольф-индустрии страны.

Другой причиной для строительства гольф-поля является его влияние на стоимость окружающей недвижимости. Компания Ernst & Young в своём обзоре гольф-индустрии России так же утверждает, что «наличие гольф клуба в составе жилого комплекса повышает его стоимость на 15-20 %» .Такая практика встречается не только в России, но и во всём мире. Согласно исследованиям компании KPMG факторов, мотивирующих строительство гольф клубов в Европе, Азии и Африке, в 39% случаев, главной целью открытия гольф поля было увеличение стоимость окружающей недвижимости, которая, как правило, также принадлежит девелоперам. По результатам этого исследования, было выявлено, что практически в половине случаев, цена недвижимости, находящейся около гольф поля, вырастала более чем на 20%.

Схожие результаты видны и в других исследованиях. Например, Sarah Nocholls и John L.Crompton в своей работе “The Impact of a Golf Course on Residential Property Values” (2007) выявили, что гольф-клубы добавляют в среднем 26% к изначальной стоимости недвижимости. Rinehart и Pompe (1999) говорили об увеличении стоимости земли в 39%. Такой эффект увеличения стоимости от гольф поля распространяется в среднем в пределе радиуса в 1 километр от поля. (A.Quand Do & Gary Grudnitski “Golf Courses and Residential House Prices: An Empirical Examination” 1995).

Причиной влияния гольф-поля на стоимость окружающей недвижимости и земли может быть тот факт, что объекты, расположенные в непосредственной близости от гольф поля, позиционируются как эксклюзивные и ассоциируются с высоким уровнем жизни.

Однако у клубов, функционирующих ради недвижимости или статуса, есть серьезные проблемы. Их владельцы не очень озабочены самим гольфом, поэтому клубы чаще всего работают в закрытом формате, что вместе с высокой ценовой политикой не позволяет привлечь достаточное количество гольфистов и не приносит доходов от гольфа. В результате, владельцы вынуждены покрывать операционные расходы клуба собственными средствами. По словам Андреа Сартори, руководителя подразделением по анализу гольф-индустрий компании KPMG «подобная стратегия в долгосрочной перспективе не имеет будущего». «Гольф клубы должны сами себя окупать, в противном случае перспективы развития индустрии встанут под угрозу».

Для развития индустрии необходимо удовлетворять существующий спрос на гольф и способствовать его возрастанию. Как мы видим из полученной в разделе 3.2 формулы 9, доходы клуба могут увеличиваться благодаря повышению посещаемости и большему количеству проданных членств. В то же время, рассмотренные во второй главе факторы, влияющие на посещаемость

4. Возможные инструменты для развития гольф-индустрии в России

Рассматривая факторы, влияющие на спрос в гольф-индустрии России, мы учли результаты Опроса для гольфистов, в котором респонденты обозначили факторы, которые позволили бы им играть чаще. Распределение ответов на этот вопрос можно увидеть на рисунке 7.

Рисунок 7. Что позволит российским гольфистам играть чаще

Кроме того, во второй главе рассмотрев факторы способствующие повышению количества гольфистов и посещаемости гольф-клубов, мы выяснили, что , они не сильно отличаются от зарубежный, а значит российской индустрии гольфа вполне подойдут зарубежные методики, направленные на повышение спроса.

Принимая во внимание данные ответы, результаты исследование во второй главе, а также затронутые в работе «Golf’s 2020 Vision: The HSBC Report» перспективы развития мирового гольфа, мы можем предложить следующие инструменты для повышения спроса в индустрии гольфа России:

) Строительство коротких и дешевых полей.

Укороченные поля для гольфа не требуют большой территории, что позволяет располагать их вблизи города. Затраты на строительство таких полей заметно меньше, чем на полноценные полня, что позволит устанавливать низкие цены и сделать гольф более доступным. Игра на таком поле также сократит потраченное время. Подобные проекты уже создаются во Франции.

) Урбанизация гольфа.

Развитие современных технологий делает симуляторы тренировочных полей все более и более качественными и похожими на настоящий гольф, позволяя спортсменам отрабатывать технику удара, а также пройти игру на виртуально поле для гольфа. Такие симулятор не требуют, постоянного ухода, крупных затрат и много места (всего 20 квадратных метров), по сравнению с полноценными и тренировочными полями, что делает их особенно удобными для расположения в пределах города.

В Москве с 2013 года на территории «Красного Октября» работает всесезонный центр гольфа «Сити Гольф». В нем расположено 10 гольф-симуляторов, работающих с утра и до полуночи. Благодаря расположению в центре города и возможности играть зимой и в позднее время, занятость в центре, в среднем, составляет 70%.

Подобные проекты необходимо и в других городах России для увеличения популярности гольфа.

) Более открытый формат гольф клубов.

Клубы должны стать более открытыми и ориентированными для семей. Вместо баров могут появляться комнаты отдыха, где можно проводить время с детьми. Необходимы также развлечения для детей на время игры родителей. Это отмечали респонденты в опросе для гольфистов.

) Создание спортивной звезды.

В странах, где гольф сегодня активно развивается, интерес людей в этому спорту значительно усилился с достижениями соотечественников на мировых турнирах (см. приложение 10).

По результатам опросов среди гольфистов и людей, не играющих в гольф, 47,5% респондентов обоих опросов ответили, что успех российских гольфистов на международных турнирах усилил бы их интерес к гольфу. Поэтому Ассоциация Гольфа должна приложить усилия для выведения российских гольфистов на мировой уровень.

) Информационная поддержка гольфа

По результатам опроса среди людей, не играющих в гольф, 41% из тех, кто хотел бы начать играть не знали, как и где это можно сделать, что говорит о плохом распространении информации о гольфе.

К США, Великобритании и Китае, многие родители считают, что гольф позволяет научиться принимать решения, а также развивается самоуверенность в детях. Подобная пропаганда, с примером зарубежных стран, должна распространяться и в нашей стране, а более доступные цены позволят родителям привести их детей в спорт.

) Государственная поддержка.

Учитывая включение гольфа в программу летних Олимпийских Игр, государство заинтересовано в увеличении массовости и доступности этого вида спорта. Это должно стимулировать его на строительство муниципальных полей, а также на предоставление льгот девелоперам на использование ресурсов при строительстве гольф клубов.

Возможное продолжение исследования

Данная работа является практически первой в своем роде, анализирующей спрос на гольф в России. Однако остается еще много перспектив для улучшения исследования.

Во-первых, стоит продолжить проводить опросы, в первую очередь, концентрируясь на регионах России. Это позволит выявить потенциально успешные города для популяризации гольфа.

Во-вторых, опросы должны проводиться регулярно, для выявления изменений в настроениях населения, а также для оценки прогресса в контроле факторов, влияющих на спрос.

В-третьих, полезной может оказаться модель, позволяющая выявить вероятность открытия нового гольф клуба в том или ином регионе. Это также позволит более эффективно заниматься популяризацией гольфа, не затрачивая лишнего времени и сил на те регионы, где у гольфа пока что нет шансов на развитие.

Может быть построена бинарная модель, включающая факторы из главы 3.3, а также факторы, связанные с ожидаемым спросом - доходы клуба и государственная поддержка, в случае, если планируется строительство муниципального поля. Если понять, насколько актуален каждый из факторов, то можно определить вероятность появления нового гольф клуба. Для переменных можно использовать различные «прокси», но тогда результаты могут оказаться неточными.

Заключение

Рассмотрев тенденции развития мировой индустрии гольфа, мы отметили, что основные обороты она набирает в восточных странах, и Россия, в перспективе развития, находится в числе фаворитов. Однако, на сегодняшний день темпы роста российской гольф-индустрии отстают от запланированных и мы постарались выявить факторы, тормозящие её темпы развития.

Сначала мы разобрались с тем, какие макроэкономические показатели влияют на количество гольфистов в стране. Нам удалось построить хорошую эконометрическую модель для США, что показало возможность существования подобных моделей. Но, к сожалению, из-за очень низкого процентного показателя играющих в гольф людей и того факта, что гольф в нашей стране пока доступен только населению с очень высоким уровнем личных доходов, мы не смогли построить подобную качественную модель для России. Это также могло стать результатом проблемы выбора переменных, в том числе из-за их нестационарности и небольшого количества наблюдений.

После неудачи в выявлении макроэкономических факторов, влияющих на спрос в гольф-индустрии в России, мы перешли к менее масштабному анализу. Для этого были проведены два опроса и рассмотрены их результаты. Опросы проводились отдельно для гольфистов, и для людей, никогда не игравших в гольф. Мы провели анализ первого опроса и построили эконометрическую модель, показывающую зависимость количества сыгранных гольфистом раундов в месяц от различных факторов. Наиболее важными факторами оказались стоимость занятия гольфом, удаленность от дома, наличие свободного времени и возможность играть со знакомыми и семьей. Анализ результатов опроса для людей, не играющих в гольф, показал, что наибольшую преграду для потенциальных гольфистов составляет высокая стоимость игры на поле, а также отсутствие свободного времени. Мы также построили бинарную модель, определяющую вероятность того, что человек станет гольфистом.

То, что факторы в России, влияющие на спрос в гольф-индустрии, схожи с факторами в зарубежных странах позволило нам убедиться в том, что российский гольф может смело использовать методики и наработки других стран для популяризации гольфа.

Следующим шагом мы выявили наиболее оптимальный формат гольф-клуба, функционирование которого будет приносить прибыль его владельцу. Для этого, на основе финансовых отчетов зарубежных стран мы построили регрессию и увидели, что количество разовых посещений является наиболее значимым для доходов гольф клуба. Однако, на российском рынке преобладают гольф-клубы закрытого формата. На основании нашего анализа, очевидно, что они не соответствуют спросу, поскольку крайне ограничивают возможность разовых посещений. Соответственно, прибыльность таких гольф-клубов достаточно низкая, и владельцам приходится покрывать текущие расходы из собственных средств. Такая ситуация не стимулирует потенциальных владельцев к строительству новых гольф-клубов, и соответственно к развитию индустрии.

Таким образом, по нашему мнению, переход к более открытому формату увеличит количество сыгранных раундов, и повысит доходность клуба, необходимую для покрытия операционных расходов.

То, что факторы в России, влияющие на спрос в гольф-индустрии, схожи с факторами в зарубежных странах, позволило нам убедиться в том, что можно смело использовать методики и наработки других стран для популяризации гольфа. В то же время, для увеличения доходов и развития гольф-индустрии в России необходимо более внимательное отношение к факторам, определяющим спрос.

Подчеркнув необходимость увеличения спроса, а также, определив факторы, на него влияющие, мы предложили возможные инструменты для популяризации и развития гольфа в России.

Исходя из результатов проведённого нами опроса, который показал, что применяя эти инструменты, вместо существующего на сегодняшний момент увеличения числа гольфистов на 14% в год, в потенциале рост может происходить на 54% в год. Таким образом, к 2020 году количество гольфистов должно составить порядка 40 тысяч человек, что неизбежно приведёт к резкому росту российской гольф-индустрии.

Список использованной литературы

Научные статьи:

. A. Quang Do and Gary Grundnitski. Golf Courses and Residential House Prices: an empirical examination, 1995.

. Christine Fraser. Design Solutions That Encourage Golf Participation, 2014.

. Darrell E. Napton, Christopher R. Laingen. Expansion of golf courses in the United States, 2008.

. David Sowell. Eisenhower and golf: a president at play, 2007.

. J. Andrew Hansz and Darren K. Hayunga. Club Good Influence on Residential Transaction Prices, 2012.

. Kwame Owusu-Edusei, Moly Espey. Does Proximity to a golf course matter? 2003.

. Rosalind H. Bark, Daniel E. Osgood, Bonnie G. Colby and Eve B. Halper. How do homebuyers value different types of green space? 2011.

. Sarah Nicholls, John L. Crompton. The impact of a golf course on residential property value, 2007.

Исследования:

. Ernst & Young: «Обзор гольф-индустрии в России», 2011.

. HSBC, «Golf’s 202 Vision: The HSBC Report».

. KPMG “Golf and Economic Downturn”, 2010.

. KPMG “Golf Participation in Europe”, 2015.

. KPMG, «From North Cape to Cape Town. Golf Course Development Cost Survey in Europe, Middle East and Africa», 2014.

. R&A «Pace of Play Global Survey».

. Sports Illustrated Golf Group and Sports&Leisure Research Group: «Golf Consumer attitude & travel insights 2013».

. Syngenta, «Growing golf in the UK».

Приложение

Приложение 1

. Отношение к гольфу в разных странах

Источник: HSBC, «Golf’s 202 Vision: The HSBC Report»

Приложение 2

. Тест на нормальность распределения остатков в макроэкономической модели США


. Тест на гестроскедастичность в макроэкономической модели США


3. Тест на серийную корреляцию в макроэкономической модели США


. Корреляция переменных в макроэкономической модели США


D(HE)

D(CCI)

D(DI)

D(TIME)

D(MEDAGE)

E(-1)

D(HE)

1






D(CCI)

0.62

1





D(DI)

0.2

0.05

1




D(TIME)

0.0016

-0.2

-0.01

1



D(MEDAGE)

0.34

0.11

-0.02

0.09

1


E(-1)

-0.14

-0.25

-0.11

-0.15

0.31

1



Приложение 3

Таблица 1. Макроэкономическая модель для России после процедуры Энгеля-Гранжера и процедура исправления ошибок


Несмотря на достаточно высокий R-квадрат, лишь один коэффициент значим, а также вероятность F-статистики больше 5%, в связи с чем мы не можем отвергнуть нулевую гипотезу о том, что все коэффициенты равны нулю.

В модели также присутствует проблема серийной корреляции остатков (см.пункт 4)

Незначимость коэффициентов может возникать из-за проблемы мультиколлинеарности. Однако, при исключении переменных из модели, не удавалось пройти процедуру Энгеля-Гранжера.

Также строились модель модели ARDL(1,1,1), что их результаты также были неудовлетворительными

Таблица 2. Корреляция переменных в макроэкономической модели для России


D(gdp)

D(gdp_per_capita_ppp)

D(house_price_index)

D(imports)

D(unemployment)

e(-1)

D(gdp)

1






D(gdp_per_capita_ppp)

0.8

1





D(house_price_ index)

0.27

0.17

1




D(imports)

0.99

0.81

0.29

1



D(unemployment)

0.54

-0.62

-0.07

0.56

1


e(-1)

0.17

0.24

-0.26

0.11

-0.35

1


. Тест на гетроскедастичность в макроэкономической модели для России



4. Тест на серийную корреляцию остатков в макроэкономической модели для России.

. Тест на Жака-Бера на нормальность распределения остатков



Приложение 4

. Опрос для гольфистов






Приложение 5

. Тест на нормальность распределения остатков в линейной модели расчета количества раундов в месяц


. Тест гетроскедастичность в линейной модели расчета количества раундов в месяц



Приложение 6

1. Опрос для людей, неиграющих в гольф


Приложение 7

Таблица 1. Переменные, использованные в бинарных моделях

Переменная

Объяснение

Значения

Want_To_Try

Хочет ли человек попробовать научиться играть в гольф

0- не хочет 1- хочет

Age

Возраст респондента

Возраст в годах

Available_Time

Наличие свободного времени у респондента для занятия спортом

1- времени нет 2- время есть только в выходные дни 3- время есть

Pay_For_Range

Готовность респондента платить около 1’000 рублей в час за одну тренировку

1- не готов 2- готов

Pay_For_Course

Может ли респондендт позволить себе платить более 150 долларов за одну игру на поле

1- нет, не может 2- в принципе может, но хотелось бы платить меньше 3- да, может

Pay_For_Cheap_Course

Стал бы респондент играть на упрощенном поле, но менее чем за 50 долларов за игру

1. нет, не стал бы 2- не знает 3- да, стал бы



Таблица 2. Расчет модели пробита по результатам опроса для людей, не играющих в гольф

Таблица 3. Средние значения переменных для бинарной модели



4. Тест Жака-Бера на нормальность распределения остатков логит модели



Приложение 8

. Тест на гетроскедастичность в линейной модели доходов гольф клуба.


. Тест на нормальность распределения остатков в линейной модели доходов гольф клуба



Приложение 9

. Факторы, влияющие на решение о строительстве гольф клуба в разных регионах

Источник: KPMG, «From North Cape to Cape Town. Golf Course Development Cost Survey in Europe, Middle East and Africa»

. Эффект повышения стоимость недвижимость благодаря гольф полю

Источник: KPMG, «From North Cape to Cape Town. Golf Course Development Cost Survey in Europe, Middle East and Africa»

Приложение 10

. Влияние спортивных звезд на принятие решений

Источник: HSBC, «Golf’s 202 Vision: The HSBC Report»

Похожие работы на - Основные тенденции развития гольф-индустрии в России

 

Не нашли материал для своей работы?
Поможем написать уникальную работу
Без плагиата!
Без нейросетей!