Физическая модель слоистой среды на основе амплитудно-частотных характеристик сейсмических волн

  • Вид работы:
    Магистерская работа
  • Предмет:
    Геология
  • Язык:
    Русский
    ,
    Формат файла:
    MS Word
    1,76 Мб
  • Опубликовано:
    2015-06-24
Вы можете узнать стоимость помощи в написании студенческой работы.
Помощь в написании работы, которую точно примут!

Физическая модель слоистой среды на основе амплитудно-частотных характеристик сейсмических волн

РЕФЕРАТ

Выпускная квалификационная работа (магистерская диссертация) содержит 90 страницы текстового документа формата А4, включающего 23 рисунка, 31 использованных источника.

ЗЕМЛЯТРЯСЕНИЯ, СЕЙСМИКА, СЕЙСМОГРАФ, СЕЙСМИЧЕСКИЕ ВОЛНЫ, МИКРОСЕЙСМЫ, РАЗЛОМ, АНИЗОТРОПИЯ, ЛУЧЕВОЙ МЕТОД, ГОДОГРАФ ПРЯМОЙ ВОЛНЫ, ВОЛНОВОД, ТЕРМОДИНАМИКА

Целью данной дипломной работы является создание физической модели анизотропии геологической среды на основе анализа амплитудно-частотных характеристик сейсмических волн, распространяющихся в слоистой среде.

Объект исследования - напряженно деформированное состояние земной коры.

Предметом исследования является сейсмические (механические) волны, идущие от очагов землетрясений, зарегистрированных сейсмостанцией на оз. Удыль.

В процессе работы производились инструментальные высокоточные микросейсмические наблюдения одной станцией, после которых была проведена обработка материалов полевых наблюдений с доработкой алгоритма определения азимутов на эпицентр с использованием одной станции, с формированием банка данных и численным моделированием параметров землетрясений. Построена физическая модель анизотропной среды по параметрам затухания сейсмических волн и спектрам микросейсм в сопоставлении с электрической неоднородностью земной коры.

ВВЕДЕНИЕ

анизотропия сейсмическая волна

Сейчас перед геофизикой, одного из разделов физики, стоят большие задачи по изучению литосферы. Решение этой задачи невозможно без использования сейсмических методов и ЭВМ для обработки полученных результатов

Интерференционные поля, регистрируемые при исследованиях Земной коры, ставят перед геофизиками новые задачи: повышения однозначности интерпретации сейсмограмм; получения данных о структуре и физических характеристиках горных пород; прогнозирования состояния вещества в предполагаемых зонах очагов землетрясений.

Современные физические методы интерпретации волновых полей основаны на обработке сейсмограмм преломленно-отраженных волн, определении по ним геометрических и скоростных характеристик слоев и подробной структуры литосферы - локальных неоднородностей, глинистости, распределения тонкослоистых пачек, пористости и коэффициентов затухания.

Все эти определения зависят от качества записи получаемых сигналов, которая подвергается различного рода искажениям: шумы различной природы, случайные колебания и интерферирующие с ними различные волны. Так же сложной проблемой является отделение однократно-отраженных волн на подошве и кровле пластов от межволнового фона, возникающего из за интерференцией на переходных слоях.

Физико-сейсмические методы занимают не последнее место в проблеме прогнозирования землетрясений. Так же активно применяются при изучении глубинного строения и состояния среды и поиска полезных ископаемых. Использование для решения всех задач математических методов описания сейсмических полей и расширение класса используемых волн является важным средством для достижения цели.

В этой дипломной работе используются материалы полевых наблюдений. В течение полевого сезона в радиусе 400 км от оз. Удыль было зарегистрировано 22 сейсмических события в различных азимутах. Три события были идентифицированы также сейсмическими станциями ГС РАН. Это позволило провести калибровку азимутов всех зарегистрированных землетрясений.

В настоящей работе автором получены и проанализированы инструментальные наблюдения за микросейсмическим фоном. На основе анализа и интерпретации этих данных разработан методический подход по использованию микроземлетрясений для изучения характеристик анизотропии блочных массивов горных пород с выраженным направлением тектонических нарушений.

Целью данной дипломной работы является создание физической модели анизотропии геологической среды на основе анализа амплитудно-частотных характеристик сейсмических волн, распространяющихся в слоистой среде.

В соответствии с поставленной целью в дипломной работе были поставлены и решены следующие задачи:

) Инструментальные высокоточные микросейсмические наблюдения одной станцией.

) Обработка материалов полевых наблюдений с доработкой алгоритма определения азимутов на эпицентр с использованием одной станции, с формированием банка данных и численным моделированием параметров землетрясений.

) Построение физической модели анизотропной средыпо параметрам затухания сейсмических волн и спектрам микросейсм в сопоставлении с электрической неоднородностью земной коры.

1.ФИЗИЧЕСКИЕ МОДЕЛИ ДЕФОРМИРУЕМЫХ СРЕД НА ОСНОВЕ ОПРЕДЕЛЕНИЯ ВОЛНОВЫХ П0ЛЕЙ В СЛОИСТОМ И НЕОДНОРОДНОМ ПОЛУПРОСТРАНСТВЕ

.1 Подходы к построению физических моделей

Важные практические подходы в сейсморазведке и сейсмологии по исследованию распространения сейсмических волн могут быть отображены в рамках следующих основных методов и их модификаций: разностного, лучевого, дифракционного и матричного. Решения задач дифракционным методом получены для сред со сложной конфигурацией границ: клина, разлома, сброса и т.д. /1/; для сильно искривленных областей большой протяженности /2/, дифракции упругих волн на объектах канонической формы /3/. Однако при этом подходе получаются сложные интегральные выражения, поэтому решения здесь строятся либо для одномерных задач или исследуются частные конкретные примеры /4/. Более общие результаты получаются с помощью других упомянутых методов, они кратко рассмотрены в следующих трех подразделах. Наиболее удобным методом является матричный, подробно разобранный в работе Стародубова /5/.

.2 Матричным методом для расчета сейсмограмм

Матричный метод часто используется при решении прямой задачи сейсморазведки, предложенный Томсоном и Хаскеллом /6, 7/ развитый в работах МолотковаЛ.А. /8-10/, Ратниковой Л.И. /11-13/, Левшина А.Л /14/. Этот метод обеспечивает строгое математическое решение ряда контактных задач динамической теории распространения сейсмических волн с применением интегральных преобразований, позволяет эффективно использовать возможности современных ЭВМ для получения окончательных результатов. Матричный метод позволяет учитывать эффект действия источников колебаний, расположенных на свободной поверхности или внутри полупространства. Этот метод быть эффективно использован для расчета теоретических сейсмограмм на поверхности слоисто-однородного и неоднородного полупространств, причем неоднородности могут иметь как физический так и геометрический характер.

.2.1 Подхода Томсона-Хаскела и его численная реализация

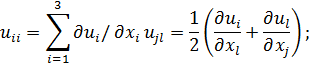
Рассмотрим твердое полупространство, состоящее из пачки изотропных, однородных, идеально-упругих горизонтальных слоев с прямолинейными границами раздела (рисунок 1.1), нижний из которых имеет бесконечную мощность. Слои характеризуются мощностью, плотностью, скоростью распространения продольных и поперечных волн ,

Рисунок 1.1 - Модель идеально-упругого слоисто-однородного полупространства, на свободной границе  которого размещены источник (И) и приемник (П)

Уравнение движения для перемещений , такой среды представлено в виде:


Вводятся скалярный и векторный потенциалы поля смещений , , с помощью которых вектор m-го слоя представлен таким образом.

 (1.1)

В плоском случае вектор  преобразуется в скаляргде j- орт декартовой системы координат в направлении осиY, и уравнения движения разбиваются на два независимых волновых уравнения для упругих потенциалов  описывающих распространение в данной среде продольной и поперечной упругих волн:

 (1.2)

 (1.3)

Где


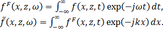
Данную задачу решают в фурье-пространстве, применяя с этой целью к уравнениям (1.2), (1.3) преобразование Фурье:

 (1.4)

Тогда решение системы волновых уравнений (1.2), (1.3) записывается в виде:

(1.5)

Где

 , если;

 , если;

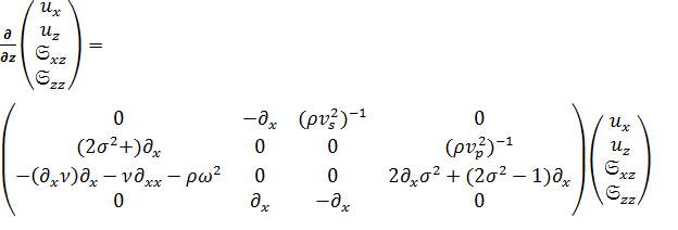
Введя векторы-столбцы, элементы которых зависят от параметров преобразования k, ω, получают

 (1.6)

Где - компоненты вектора смещения и напряжения в Фурье-пространстве.

Для всех точек m-го слоя имеет место соотношение

 (1.7)

 (1.8)

где

(1.9)

(1.10)

 , .

Значения упругих потенциалов на (m+1)-ой границе выражаются через их значения на m -ой границе следующей рекуррентной формулой:

, (1.11)

Где

 (1.12)

обозначение диагональной матрицы.

Граничные условия в фурье-пространстве записываются следующим образом:

, (1.13)

(1.14)

= (1.15)

Равенство (1.13) задаёт условия на поверхности слоистого полупространства, причём две из компонент вектора  (напряжения) предполагающегося заданными, а две (смещения) необходимо определить. Условие (1.14) выражает непрерывность напряжений и смещений на границах между слоями. Последнее равенство (1.15) выражает тот факт, что из нижнего полупространства волны не приходят, так как по условию задачи оно в направлении оси z не имеет границ. Согласно /13/ матрица-пропагатор однородного слоя определяется рекуррентным соотношением

. (1.16)

Из формул (1.7), (1.8), (1.11) следует, что

 (1.17)

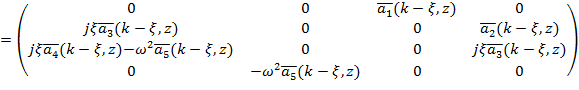
В принятых обозначениях элементы матрицы  имеют следующий вид /13/:

  ,   ,       .

          (1.18)


Таким образом, на границе  слоисто-однородного полупространства из формул (1.7), (1.14), (1.16) имеем

(1.19)

где  - квадратная матрица 4×4.

Матрица Rможет быть представлена через подматрицы второго порядка

. (1.20)

Если на свободной поверхности заданы фурье-трансформаторы напряжений , то фурье-трансформаторы смещений , с учетом формулы (1.15) определяются по формуле

. (1.21)

Для получения зависимости компонент смещения от времени на поверхности слоистого полупространства  производится двойное обратное преобразование Фурье в (1.21) от ω к t и от K к x.

Рассмотренная выше классическая формулировка матричного метода принадлежит Хаскеллу /7/. Численное исследование для случая, когда плоская волна падает под углом на пачку идеально-упругих горизонтально-параллельных слоев впервые проведеныРатниковойЛ.И. и Левшиным А.Л. в работе /11/. Далее эти исследования обобщены в монографиях /12, 13/.

Молотков Л.А. в работе /8/ показал, что вычислительная схема, основанная на подходе Томсона-Хаскелла /6,7/ дает ошибки на высоких частотах в области предельных углов распространения волн. Для обхода этой трудности он предложил матричный метод с использованием миноров второго порядка матриц Томсона-Хаскелла, организованных в матрицы порядка 5×5. В этой же работе Молотков Л.А. получил рекуррентные соотношения, с помощью которых матричные коэффициенты отражения и преломления пересчитываются с одной границы слоя на другую и выделяются заданные типы и кратности отражения-преломления из полного поля интерферирующих волн на сейсмограммах. В работах /10, 11/ исследованы выражения для коэффициентов отражения-преломления в области низких и высоких частот для вертикально-неоднородных слоев и упруго-жидких слоистых систем.

Исследование отражения и преломления в среде с локальными неоднородностями невозможно без решения задачи о распространении волн в горизонтально-неоднородной среде. Поэтому решение такой задачи рассмотрено в следующем разделе.

.2.2 Учет горизонтальной неоднородности среды

Распространение поверхностных волн в среде с вертикальной и горизонтальной неоднородностью физических параметров рассматривалось Бабичем В.М., Молотковым И.А., Мухиной И.В, /15,16/. При этом применялся обобщенный лучевой метод. Жарков В.Н. и ОсначА.И. /16/ изучили дисперсию поверхностных волн в среде со слабой вертикальной и горизонтальной неоднородностью методом малого параметра. В работе Кеннета Б.Л.Н. /13/ эта же теория применена для исследования распространения объемных волн в слоистой вертикально-неоднородной среде со слабой горизонтальной неоднородностью.

Рассматривается /13/ слоистая идеально-упругая среда (рисунок 1.2) между параллельными слоями которой выполнены условия жесткого контакта. Плоскость  совпадает с границей верхнего слоя, котораяявляется свободной. Нижний слой(N)однородный и бесконечный в направлении оси , характеризуется скоростями продольной и поперечной волн , , полностью . Каждый промежуточный слой(1, … N-1),  и полностью неоднородной среды.

Считается, что напряжение и смещение не зависят от y координаты и изменения физических характеристик , ,  в латеральном направлении (по координате х) являются небольшими, так что поле смещений, рассеянное на такой неоднородности, по порядку меньше поля, рассеянного на неоднородности физических характеристик в вертикальном направлении (по координате ). Ставится задача определения зависимости от времени поля смещений на границе  полупространства, когда источник колебаний  находится на  и это поле удовлетворяет условию равенства нулю на бесконечности.

Определение поля смещений  расчет теоретический сейсмограммыдля указанной модели - состоит в решении системы уравнении движения,когда выполняется законГука:

, (1.22)

где i

коэффициенты Ламе,

 - символ Кронекера.


Рисунок 1.2 - Модель идеально-упругого горизонтально-слоистого полупространства, в m-ом слое которого плотность и скорость распределения продольных и поперечных волн являются неоднородными по двум координатам . Источник (И) и приемник (П) размещены на свободной границе полупространства

-компоненты напряжений в декартовых координатах, значение индексов 1,2,3 эквиваленты обозначению .

Подразумевается, что после напряжений-смещений неявно зависит от времени . угловая частота, тогда равенства (1.22) можно записать в матричном виде /13/. Для волн P-SV:

, (1.23)

где  , ;

для волн SH:

(1.24)

Если представить неоднородность в виде


и ввести обозначения

,

;

тогда уравнения (1.23), (1.24) можно записать в общем виде

 (1.25)

где - операторная матрица из латерально-однородной среде;

- операторная матрица, зависит от «мер неоднородности» .

Для P-SV - волн


где  ,

Для случая SHволн

 ,


В результате применения к уравнению (1.25) преобразование Фурье (1.4) учета во втором члене леммы Бореля, заключающейся в том, что Фурье-преобразование произведения матриц равно свертке их фурье-трансформант, получают

, (1.26)

где для P-SV волн


Для SHволн

 ,


Если правый член в уравнении (1.26) нулевая матрица, то оно описывает латерально-однородную среду.

Из теории обыкновенных дифференциальных уравнений известно, что еслии матрицы комплексных функций, то при исходных условиях решение уравнения.

 (1.27)

имеет вид

 (1.28)

где  - матрица- пропагатор для вертикально-неоднородного слоя /77/

Еслиматрица порядка n×1, то при тех же исходных условиях решение уравнения

 (1.29)

можно представить в виде

 (1.30)

Уравнение (1.26) для совпадает с (1.29), когда

 (1.31)

Тогда решение уравнение (1.36) имеет вид

 (1.32)

Когда , определяемое формулой (1.31), нулевая матрица, уравнение (1.26) приобретает вид, аналогичный (1.27) и его решением является

(1.33)

По условию задачи

,

,

.

В работе /16/ для представления поля  делятся следующее допущение:

 (1.34)

 (1.35)

где - поле напряжения-смещения в латерально-однородной среде;

 - поле, рассеянное на горизонтальных неоднородностях;

В результате, применения к (1.34) преобразования (1.4) после подстановки в (1.32) получают окончательно

 (1.36)

Крайний правый член в уравнении (1.36) определяет мультипольное рассеяние в. При условии (1.35)


мультипольное рассеяние не учитывается.

Далее показано, что такое неравенство можно привести к виду

(1.37)

где - максимальное значение используемого;

,  - вертикальный и горизонтальный размер неоднородности,

где , , , , , ;

- усредненный коэффициент Ламе и плотность по толщине, содержащей неоднородность.

Если крайний правый член в (1.36) отбросить, как величину второго порядка малости, то решение уравнения (1.26) для рассеянного поля можно представить в виде


Таким образом вклад неоднородности представляется как некоторый источник, распределенный в объеме, размеры и физические характеристики которого определяются неравенством (1.37). Когда условие (1.37) не удовлетворяется, тогда имеют место мультипольные эффекты и в рассеянном поле надо учитывать члены второго и более высоких порядков малости.

Далее при рассмотрении распространения волн в горизонтально- неоднородной среде Кеннетом применен матричный метод для слоистой; среды, при этом каждый пропагатор уже описывал распространение волн в i-ом слое. В работе автора /16/ предложена методика расчета сейсмограмм на свободной границе полупространства, когда горизонтальная неоднородность находится в одном из слоев. Эта методика изложена во втором разделе.

Широкий класс задач сейсмологии допускает при теоретическом рассмотрении сейсмических волн применять закон Гука для идеально- упругого тела. Однако, актуальной является необходимость учета тех особенностей распространения и затухания упругих колебаний, которые нельзя объяснить в рамках теории для идеально-упругой модели среды.

Известен ряд подходов к учету диссипации энергии упругих волн в моделях сред. Способы учета диссипации энергии распространяющихся волн и расчета, получающейся при этом дисперсии фазовой скорости и добротности для моделей реальных сред, рассмотрены в следующем подразделе.

.3 Распространение сейсмических волн при влиянии неидеальной упругости среды

Отдельное место в матричном методе занимают задачи для сред, в которых происходит потеря энергии при распространении волн. Матричный метод разработан для диссипативной модели с последействием /12/, для вязкоупругих сред и для пористых сред с применением теории Френкеля-Био. В работе /12/изложена методика расчета теоретических сейсмограмм на поверхности слоистой неидеально-упругой среды (рисунок 1.1), когда каждый слой характеризуется дополнительно добротностями распространения продольных и поперечных волн. Источник колебаний находится на бесконечности в положительном направлении оси z.

1.3.1 Учет неидеальной упругости при помощи эмпирического подхода

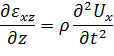
Пусть в некотором объеме V тела, ограниченного поверхностью S , распространяется сейсмическая волна. Согласно первому началу термодинамики для отрезка времени имеет место соотношение:

выполненная механическая работа + количество выделенного тепла == увеличению внутренней и кинетической энергии тела.

В этом соотношении второе слагаемое левой части равенства можно представить в виде где  - скорость распространения тепла через единичную площадку, перпендикулярную единичному вектору . Адиабатическая деформация - характерное явление в сейсмологии для длин волн больших нескольких миллиметров /17/, поэтому, = 0 и, следовательно, энергия механических колебаний должна переходить вовнутреннюю и кинетическую энергию частиц среды.

Обширные данные о затухании сейсмических волн приводятся в работах /17-19/. Для получения этих данных авторы используют результаты полевых и лабораторных исследований горных пород /16/. Большое количество данных о диссипации энергии сейсмических волн привело к необходимости построить теорию, которая давала бы возможность одновременно учитывать затухание распространяющихся Р и S волн, а также определять значения волновых диссипативных параметров в области сейсмических частот.

Классическими моделями, описывающими неупругое поведение сред являются: тела Кельвина-Фойгта, Максвелла и стандартное линейное тело /12/. Отметим отрицательные явления, характерные для классических моделей, а потом запишем уравнение с последействием, где они отсутствуют. В теле Кельвина-Фойгта при уменьшении релаксационных модулей до нуля, т.е. при переходе к гуковскому телу, имеем уменьшение продольного и сдвигового напряжений, что противоречит молекулярной сущности деформации. В теле Максвелла при фиксированном напряжении деформация неограниченно растет, поэтому уравнение имеет смысл только для сдвиговых напряжений, когда тело течет. В стандартном линейном теле отсутствуют отрицательные свойства отмеченные для тел Кельвина-Фойгта и Максвелла. Однако, горные породы ведут себя при распространении волн существенно иначе, чем это можно предвидеть при помощи классических моделей. Это объясняется одновременным существованием множества диссипативных механизмов. Кроме того, из уравнений движений, в которых используются все три типа тел, следует существенная зависимость декрементов затухания от частоты, что противоречит большинству опытных данных.

Еще в 1876 году Больцман /17/предложил следующий вид уравнения состояния:

 (1.39)

где) - функция крипа /17/, последействия, функция памяти,

- релаксационный неупрзпгий модуль,

- деформация и напряжение для одномерного случая.

Многие исследователи занимались подбором ) для получения согласия с экспериментом зависимостей фазовой скорости и добротности от частоты /18,19/.Основоположной здесь следует считать работу Николаева Б.Г. /18/, где показано как соответствующим выбором ядер последействия для уравнения (1.39) можно переходить к тем или иным моделям неидеально упругих сред (Больцмана, Дерягина) и определять диссипативные характеристики с использованием метода итераций.

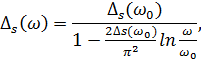
Рассмотрим кратко другой эмпирический подход, основанный на дисперсионных соотношениях зависимости между скоростью и коэффициентом затухания гармонических колебаний (соотношениях Крамерса-Кронига). Используя известную эмпирическую формулу коэффициента затухания /17/

 (1.40)

где - угловая частота;- скорость волны;- постоянная добротность;

импульс распространяющейся волны можно представить в виде

(1.41)

Форма этого импульса не совпадает с опытом в следующем /20/:

уравнение (1.41) описывает кривую симметричную относительно , реальный же импульс имеет время затухания намного больше, чем время возрастания;

экспериментальный импульс имеет наклон возрастания приблизительно в полтора раза меньше чем в (1.41). Для обхода указанной трудности Футтерманом /21/предложено ввести дисперсию скорости. Далее в работе /21/,исходя из того, что давление распространяющейся волны отсутствует там, куда не пришло возмущение от источника

 ,  ; (1.42).

где  - максимальная скорость распространения гармонической волны; Получены дисперсионные соотношения между скоростью и коэффициентом затухания гармонических колебаний.

Из экспериментальных данных известно, что Q чаще всего постоянно в области сейсмических частот /20/, поэтому в (1.40) подбирается такой закон,не обязательно линейный, для которого Q эффективно постоянно в области исследуемых частот.Далее по известной функцииα(ω), определяется дисперсия фазовой скорости  из соотношений Крамерса-Кронига.

Таким образом, получаются эмпирические выражения для α(ω), Q(ω) в неидеально-упругой среде. Интересно, однако, получить дисперсионные соотношения исходя из физических законов о деформируемости сред. Соответствующая теория изложена в следующем подразделе, она разработана Гуревичем Г.И. /22/.

.3.2 Теория деформации, основанная на физических закономерностях о сжимаемости и деформируемости сред

В качестве прообраза используемой общей модели неидеально упругой среды Гуревич Г.И. /22/ предложил поликристаллическое тело, состоящее из "частиц" и "прослоек", находящееся при таких температурах и условиях нагружения, когда его необратимая деформация происходит преимущественно за счет смещения кристаллических зерен относительно друг друга. Эти зерна являются частицами модели, а среда в области контакта представляет собой материал "прослоек". Необратимая деформация поликристалла может быть результатом деформирования плоскостей раздела внутри зерен и соответствующих скольжений одних частей кристаллической решетки относительно соседних в направлении выравнивания напряжений в каждой точке макроскопически сплошного тела. Роль прослоек играют дислокации, находящиеся внутри зерен в областях контакта плоскостей скольжения; микрочастицы - части решетки, смещающиеся по плоскостям относительно друг друга. Необратимая деформация поликристалла может быть одновременно результатом внутризерновых перегруппировок атомов, обуславливающих сдвижение частей зерен относительно друг друга и межзерновых перемещений, приводящих к сдвижениям зерен в целом. Для полноты обозрения рассматриваются различные состав и строение самих зерен материала, которые характеризуются различной энергией вырывания молекул и атомов.

Использование теории/22/долгое время оставалось затруднительным из-за большого числа трудно определимых физических констант, которые входили в уравнение движения, получаемые на основе физических предпосылок. В работе Левшина А.Л., Ратниковой Л.И. и Сакс М.В. /23/выведены простые расчетные формулы для тела Гуревича /22/, позволяющие прогнозировать скорости и поглощение как функции частоты.

Согласно работам/21, 23/, при малых касательных напряжениях полная сдвиговая деформация, например,есть сумма упругой и упруго релаксационной деформаций:  Причём обладает непрерывным спектром времен релаксации  с ядром 1/

 .

В реальных средах соотношение для верхней и нижней границ времени релаксации имеет вид а  подчиняется уравнению состояния типа Кельвина-Фойгта

, (1.43)

где - гуковский модуль сдвига;

 - упруго-релаксационный модуль.

Аналогичные формулы имеют место для полной дилатации
 В соотношение (1.43) для диллатации вместо  и  входят К и  - гуковский и релаксационный модули сжатия.Интегрирование формулы (1.43) для скорости полной деформациии аналогичного уравнения для скорости полной дилатации  приводит к следующему виду для выражений, связывающих деформации и напряжения.

 (1.44)



Где

,

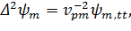
Рассмотрим как в работе /24/получены выражения для дисперсии декремента затухания и фазовой скорости на примере поперечных волн. Если продолжить спектр времен релаксации в формуле (1.44) до, учитывая при этом, что  и подставить уравнение движения


В формуле (1.44) , то получается одномерное волновое уравнение в перемещениях

 (1.45)

Решение ищется в вид

, (1.46)

тогда для уравнения (1.45) имеем

 (1.47)

Где

,


Поскольку фазовая скорость и декремент затухания  плоской гармонической волны связаны с комплексным волновым числом соотношением

 (1.48)

то используя формулу (1.47) можно получить зависимости  и . Аналогично можно получить выражения для  и Для упрощения получающихся сложных выражений приняты следующие допущения:

диапазон времен релаксации достаточно широк:

гуковский и упруго-релаксационный коэффициенты Пуассона положительны и удовлетворяют соотношениям

релаксационные соотношения при объемном сжатии выражены в горных породах слабее, чем при сдвиге:

используется упрощение:

;

частотный диапазон ограничен следующим образом: для пород с

для очень "мягких" пород  диапазон более узкий

Точность такого приближения - 97%.

Исходя из приведенных вышедопущений получены зависимости скоростей и декрементов поглощения,

      

(1.49)


если известны их значения на опорной частоте

До сих пор мы рассматривали волны, получающиеся в результате решение одномерного волнового уравнения. Рассмотрим обобщенные волны имеющие место, когда в среде присутствуют обменные волновые эффекты. Если сейсмическая волна распространяется в плоскости ХOZ декартовой системы координат под углом r к оси OZ, волновое число в случае решения двумерной задачи, представляется в виде , где  - направление максимального затухания,  - направление распространения волны. В этом случае решение представляется в виде

 , (1.50)

где - начальная и текущая амплитуды колебаний.

При подстановке условия (1.50) в двумерное волновое уравнение типа (1.47) для комплексного волнового числа  получаем

, . (1.51)

Таким образом в случае отдельного распространения продольных и поперечных колебаний имеем дисперсионные зависимости для скоростей и декрементов затухания в виде формулы (1.49). А в случае двумерной неидеально-упругой среды комплексные волновые числа представляются соотношениями (1.51).

2. ИНСТРУМЕНТАЛЬНЫЕ ВЫСОКОТОЧНЫЕ НАБЛЮДЕНИЯ ОДНОЙ СТАНЦИИ: МЕТОДИКА и ТЕХНОЛОГИЯ

.1 Аппаратура и ее описание

Сейсмическая станция «Reftek 130-01» производства «RefractionTechnology» (США) представляет собой современный прибор последнего поколения сейсмической аппаратуры, отвечающий всем необходимым требованиям. Станция имеет 6 каналов сбора данных, сгруппированных по три, систему синхронизации внутренних часов, через систему GPS, последовательный и Ethernet-порт для обмена данными, поддерживающие стек протоколов TCP/IP, и отдельный последовательный порт для настройки станции. Встроенное программное обеспечение станции позволяет работать в самых различных режимах сбора данных. Программное обеспечение регистратора позволяет использовать целый ряд протоколов TCP/IP, UDP/IP, FTP, RTP, PPP для настройки оборудования и передачи собранных данных по сети. Но следует заметить, что в станции используется «урезанная» версия FTP протокола, которая не поддерживает некоторые команды. Для станции создан собственный протокол RTP, который позволяет реализовать передачу данных и удаленное управление станцией. Как любой высокочувствительный прибор, станция требует особых мер при работе с ней. Станция должна быть установлена в сухом помещении с минимальными перепадами температуры. Кабельные линии, соединяющие регистратор с датчиком и другим оборудованием, должны быть проложены так, чтобы исключить их механическое или термическое повреждение. GPS антенна должна быть установлена на открытом месте, с хорошим приемом спутников, а также должны быть приняты меры для предотвращения попадания в нее молнии. Основные характеристики аппаратуры показаны в таблице 2.1.

Таблица 2.1 - Регистратор сейсмических сигналов «REFTEK-130-01»

Размер

134.62 мм х 85.42 мм х 342.9 мм

Вес

2 кг

Тип корпуса

Ударопрочный, влагозащищенный, пластик

Напряжение питания

10-16 В

Потребляемая мощность

1-1.4 Вт (при 3-х канальном режиме записи) 1.7-2.1 Вт (при 6-ти канальном режиме записи)

Количество каналов

6 (два трехкомпонентных разъема)

Разрядность

24 бита

Коэффициент усиления

1 или 32

Частоты дискретизации

1000, 500, 250, 200, 125, 100, 50, 40, 25, 20, 10, 5, 1, 0.1

Динамический диапазон

Более 135 Дб

Корректировка времени и позиционирование в пространстве

GPS

Типы каналов связи

Ethernet, RS232

Типы протоколов

TCP/IP, UDP/IP, FTP, RTP, PPP

Режимы записи

Непрерывный, по событию, по календарю, по внешнему сигналу

Объем оперативной памяти

5 Мб

Флеш-диск

до 8 Гб

Формат записи

PASSKAL


.2 Организация работ и размещение станции

Для сбора необходимых данных летом 2014 года была проведена научная экспедиция, в рамках которой были проведены следующие действия:

установка сейсмического датчика была осуществлена на стабильном фундаменте, состоящего из монолитной скалы, на которой была выбита ровная площадка для установки прибора. Помимо этого место было выбрано таким образом чтобы минимизировать влияние природных помех: ветер, перепады температур. Фотография станции на месте установки представлена на рисунке 2.1.

обеспечение стабильного и постоянного электропитания станции при помощи автомобильного аккумулятора;

обеспечение постоянного приема сигнала GPS, за счет размещение приемника на возвышение, на открытой местности;

была выставлена частота дискретизации регистрируемых данных - 100Гц, позволяющая получать данные высокого качества, расходуя минимум энергии;

станция стабильно работала на протяжении 10 дней, до разряда аккумулятора. В течении всего периода работы аппаратуры велся полевой журнал, в котором отмечались изменения погоды, которые могли бы повлиять на работу станции;

Рисунок 2.1 - Сейсмодатчик размещенный в укрытии, обеспечивающим незаметность для посторонних лиц.

.3 Обработка данных, полученных во время экспедиции наоз. Удыль

Для обработки данных полевой экспедиции были проведены следующие действия:

Все файлы со станции были перемещены на компьютер и конвертированы для работы в программе DIMAS 2011

При помощи программы DIMAS 2011 были отфильтрованы все записи в диапазоне от 2 до 12 Гц, в результате чего было обнаружено 22 землетрясения, которые произошли в период с 23 июля по 1 августа.

При помощи математической системы matlab была написана программа, (Приложение В) позволяющая строить спектрограммы по имеющимся данным, отдельно по каждому каналу на каждый час, что позволило проверить найденный землетрясения при помощи этого метода.

Так же при помощи математической системы matlab была написана программа, (Приложение Г) позволяющая определять азимуты землетрясений методом одной станции.

Вычисленные азимуты были подтверждены данными, которые были получены с других сейсмостанций, работающих в этом регионе: Тымовская, Оха, Ванино, Горный, Чегдомын.

После подтверждения все результатов землетрясения были привязаны к координатам и были на нанесены на карту, содержащею тектонические разломы при помощи среды ArcGIS

Была создана таблица, в которой была систематизирована вся информация по землетрясениям для их сопоставления друг с другом, которая представлена (Приложение А).

.4 Техника безопасности при работе с компьютером

При работе с компьютером нужно соблюдать следующие правила /25/:

. Системный блок устанавливается в месте, где он не будет подвергаться толчкам и вибрациям, а также интенсивному запылению.

. Монитор устанавливается на уровне глаз так, чтобы на экран не попадали прямые солнечные лучи и, если вы пользуетесь ЭЛТ-монитором, позади монитора не работали люди.

Уровень определяется так: сидя за компьютером и глядя горизонтально, вы должны видеть верхний край экрана. Расстояние от ваших глаз до экрана должно быть в пределах 50-70 см.

Что касается запрета работать позади ЭЛТ-монитора, то следует обратить внимание на то, что ЭЛТ-монитор основан на электронно-лучевой трубке, которая при своей работе создает электромагнитное поле (к жидкокристаллическим мониторам это не относится). Со стороны экрана существует хорошая защита, а с обратной стороны такая защита слабее. Нахождение человека в электромагнитном поле монитора может вредить его здоровью.

. Клавиатура устанавливается в месте, удобном для работы, так, чтобы она не загрязнялась. Мелкие частицы могут заклинивать клавиши, мешая им работать, жидкость, попав внутрь корпуса клавиатуры, вызывает выход из строя микросхем. Ремонт клавиатуры стоит дороже, чем приобретение новой. Существуют защищенные клавиатуры, но они довольно дорогие.

. Принтер должен иметь устойчивое основание и достаточный простор для печати документов. Нельзя устанавливать принтер на горизонтальный системный блок.

. Все работы, связанные с переключением кабелей, соединяющих устройства компьютера, следует выполнять при выключенном компьютере!

. Перед включением компьютера необходимо убедиться, что все токоведущие части надежно изолированы, а розетки заземлены.

. Не рекомендуется работать на компьютере более 4-х часов подряд. После каждого часа работы рекомендуется устраивать физкультурные паузы, снимающие нагрузку с глаз.

Общая продолжительность пребывания за монитором не должна превышать 6 часов.

.5 Техника безопасности при работе с сейсмостанцией и условия безотказной работы прибора

При работе со станцией нужно соблюдать следующие правила:

Переноска станции осуществляется только в специальных защитных контейнерах

Станцию необходимо устанавливать на устойчивой поверхности во избежание каких либо подвижек прибора.

Место установки станции должно быть защищено от внешних факторов: прямые солнечные лучи, порывы ветра, так же необходимо исключить вероятность затопления станции.

Необходимо обеспечить скрытность станции от посторонних лиц и диких животных.

Перед подключением станции к источнику питания необходимо удостовериться в целостности изоляции

Все работы по переключению кабелей необходимо делать при отключенной станции.

.6 Характеристики и свойства землетрясений

Землетрясения, в зависимости от их магнитуды происходят с разной периодичностью - чем землетрясение сильней, тем оно реже. В Таблице 2.2 систематизированы землетрясения по их частоте проявления.

Таблица 2.2 - Как часто происходят землетрясения

Землетрясения

Магнитуда

Среднее число событий в год

Мега-событие

0,04

Катастрофическое

8-8,9

1

Разрушительное

7-7,9

17

Сильное

6-6,9

134

Умеренное

5,-5,9

1319

Слабое

4-4,9

Незначительное

3-3,9

Около 130 тыс.

Очень слабое

2-2,9

Около 13000 тыс.

Микро-событие

0-1.9

Около 1 мил


Для удобной классификации землетрясений они были поделены по балам,  взависимости от их мощности и величины повреждений, которые они вызывают на поверхности земли /26/. В таблице 2.3 приведена классификация землетрясений по баллам.

Таблица 2.3 - Краткая расшифровка шкалы MSK-64.Более подробная характеристика включает в себя три отдельных критерия: ощущения людей, воздействие на сооружения, воздействие на рельеф

Баллы

Факторы проявления на поверхности Земли

1 балл

Не ощущается людьми, фиксируется приборами

2 балла (Очень слабое)

Фиксируется приборами, ощущается в отдельных случаях людьми, находящимися в спокойном состоянии, и на верхних этажах зданий

2 балла (Слабое)

Колебания отмечаются немногими людьми

4 балла (Умерено)

Колебания отмечаются многими людьми, возможно дребезжание стёкол

5 баллов (Сильно)

Колебания отмечаются даже на улице, многие спящие просыпаются, отдельные предметы раскачиваются

6 баллов (Умеренно-сильное)

В зданиях появляются трещины

7 баллов (Очень сильное)

Трещины в штукатурке и в стенах, люди в панике покидают дома. Возможно падение предметов

8 баллов (Разрушительное)

Большие трещины в стенах, падение карнизов и дымовых труб

9 баллов (Крайне разрушительное)

Обвалы в некоторых зданиях.

10 баллов (Опустошительное)

Трещины в грунте (шириной до 1 м.) Обвалы во многих зданиях, разрушение старых построек

11 баллов (Катастрофическое)

Многочисленные трещины на поверхности земли, обвалы в горах. Разрушение зданий

12 баллов (Мега-событие)

Полное разрушение всех сооружений, серьёзные изменения в рельефе


Магнитуда землетрясения характеризует общую энергию сейсмических колебаний земной поверхности. Магнитуда определяется как «логарифм отношения максимальных амплитуд волн данного землетрясения к амплитудам таких же волн некоторого стандартного землетрясения» (магнитуда «стандартного землетрясения» принимается за 0). Впервые шкала магнитуд была предложена в 1935 году Ч. Рихтером, поэтому до сих пор очень часто говорят о «магнитуде по шкале Рихтера», что неточно. Шкала Рихтера приближенно соответствует современным формулам для расчёта магнитуды, но в настоящее время не используется.

Изменение магнитуды на единицу означает рост амплитуды колебаний в 10 раз и рост количества выделившейся энергии в 32 раза.

В отличие от интенсивности, магнитуда не имеет единицы измерения - она обозначается целым числом или десятичной дробью, так что сказать «магнитуда 6,9 баллов» - неправильно. Интенсивность определяется по субъективным показателям: ощущениям людей, повреждениям сооружений, изменениям рельефа, в то время как определение магнитуды основано на строгих физико-математических расчётах. Можно провести такую аналогию: бальность землетрясения - это навскидку оцененная сила взрыва (определяемая по внешним проявлениям), а магнитуда - мощность взрывного устройства. Однако следует помнить, что магнитуда не является абсолютным значением энергии землетрясения, это всего лишь относительная характеристика.

.7 Физический принцип регистрации землетрясений. Сейсмограф Голицина

В 1906 Борис Борисович Голицин сконструировал первый в мире электромагнетический сейсмограф. Большинство сейсмографов, работающих сегодня работают по принципу разработанным Б.Б. Голициным, с тем лишь исключением, что сегодня используется цифровая форма записи.

Сейсмограф Голицына представляет собой: тяжёлый металлический груз, прикрепленный закрепленный на раме, которая в свою очередь висит на пружине. Колебания груза происходят вверх и вниз. На конце рамы закреплены проводящие катушки, помещенные между сильными магнитами. Вся система неподвижна при отсутствии землетрясения. Во время землетрясения начинает двигаться подставка к тяжелому грузу, который из-за большого веса отстает в движении от подставки. При этом дальний конец рамы с катушкой движется между магнитами, тем самым вызывая в катушках электрический ток. После этого ток поступает в зеркальный гальванометр с закрепленным на нем маленьким зеркальцем, которое отражает луч света на фотобумагу, оставляя после прохождения рисунок сейсмограммы.

3. ФИЗИЧЕСКАЯ МОДЕЛЬ АНИЗОТРОПНОЙ СРЕДЫ ПО ПАРАМЕТРАМ ЗАТУХАНИЯ СЕЙСМИЧЕСКИХ ВОЛН И СПЕКТРАМ МИКРОСЕЙСМ

.1 Результаты измерений

За время научной экспедиции на озере Удыль было зарегистрировано 22 сейсмических события. Магнитуда этих событий варьируется от 0.7 до 4. Все эти землетрясения нанесены на карту (рисунок 3.1).Более подробно данный мониторинг в нашей ранней работе /27/

Рисунок 3.1 - Положение эпицентров зарегистрированных землетрясений и основные тектонические нарушения района работ

.2 Исследование шумов

Для примера взяты два землетрясения № 7(27.07.2014 02:58).На рисунках 3.2 и 3.3 показаны записи шума до и после этих землетрясений (полоса частот 2-20 Гц)

 

Рисунок 3.2- Запись сейсмического шума до землетрясения

 

Рисунок 3.3- Запись сейсмического шума после землетрясения

На рисках 3.4 и 3.5 показаны спектры шума до и после землетрясения.

Цифрами 1, 2, 3, 4 на рисунке 3.5 обозначены разные окна после землетрясения, числа минус один и минус два на рисунке 3.4 - до землетрясения.

Рисунок 3.4- Спектры сейсмических шумов до землетрясения

Рисунок 3.5- Спектр шумов после землетрясения

Из сейсмограмм и спектров сейсмических шумов видно, что соотношение сигнал/шум для данного землетрясения составил 3.2. Шум после землетрясения не изменился.

.3 Регистрация микро землетрясений

Регистрация слабых землетрясений магнитудой 3-4

Землетрясения данной магнитуды являются достаточно мощными, чтобы быть зарегистрированными другими региональными сейсмостанциями, что позволяет провести локацию по двум или более станциям.Всего зарегистрировано 3 события: это 3, 4, 13 по представленной таблице (Приложение А). Пример записи землетрясений в данном диапазоне магнитуд представлен на рисунке 3.6.

 

Рисунок 3.6 - Сейсмограмма записи землетрясения

После расчета координат землетрясения по методам одной станции оно было отмечено на карте и соотнесено с данными полученными со станций в Горном и Ванино (рисунок 3.7). Погрешность метода одной станции относительно метода трех станций составила порядка 40 км, что является допустимым для данного метода.

Рисунок 3.7 - Определение эпицентра землетрясения по данным трех станций

Регистрация микро землетрясений магнитудой 1-3

Землетрясения данной магнитуды являются не достаточно мощными, чтобы быть зарегистрированными другими региональными сейсмостанциями, поэтому в большинстве случаев они регистрируются только отдельной станцией, что снижает эффективность локации. Всего зарегистрировано 17 событий в данном диапазоне магнитуд (Приложение А). Пример записи землетрясений в данном диапазоне магнитуд представлен на рисунок 3.8.


Рисунок 3.8 - Сейсмограмма записи землетрясения с магнитудой 1-3

После расчета координат землетрясения по методам одной станции оно было отмечено на карте и соотнесено с данными полученными со станции вГорном (рисунок 3.9). Погрешность метода одной станции относительно метода трех станций составила порядка 45 км, что является допустимым для данного метода.

Метод нескольких станций являет наиболее точным и удобным, но чтобы его успешно применять в нашем регионе необходимо наращивать сеть станций, на сегодняшний день при малой численности станций и высоком уровне промышленных помех на многих станциях, при малой мощности события почти невозможно качественно записать его несколькими станциями одновременно.

Рисунок 3.9 - Определение эпицентра землетрясения по двум станциям.

Регистрация землетрясений магнитудой меньше 1

Данные землетрясения уверенно фиксируются только на малых расстояниях меньше 100 км и проводить анализ по ним крайне затруднительно. Тем не менее, для расчета анизотропии к расчеты приняты все землетрясения (Приложение А). Пример записи землетрясений в данном диапазоне магнитуд представлен на рисунок 3.10.

Рисунок 3.10 - Сейсмограмма записи землетрясения с магнитудой меньше1

.4 Разработка алгоритма определения параметров землетрясений для решения прямой задачи сейсмического мониторинга вертикально-слоистых анизотропных сред

.4.1 Общие допущения и предположения

Интерпретация материалов сейсморазведки с применением стандартных автоматизированных систем обработки проводится обычно на основе пространственной слоисто-изотропной модели среды. Но сопоставление результатов интерпретации с данными поискового и разведочного бурения часто обнаруживает наличие систематических расхождений в результатах структурных построений, достигающих иногда нескольких десятков, а то и сотен метров. Это означает, очевидно, что слоисто-изотропная модель неадекватна реальной среде и, следовательно, требуется выбор или построение иной модели, учитывающей сейсмологические особенности изучаемого разреза и с помощью которой можно было бы объяснить упомянутые систематические расхождения.

Но более эффективный подход состоит в том, что уже на этапе проектирования полевых работ, а тем более в процессе интерпретации полевых данных, необходимо использовать более общие интерпретационные модели по сравнению с идеализированной слоисто-изотропной моделью. Именно такая тенденция превалирует в современной трехмерной сейсморазведке, с внедрением которой в практику геологоразведочных работ создались благоприятные условия для решения весьма широкого круга фундаментальных и прикладных задач. К числу таких задач относится построение, анализ и применение при интерпретации сейсмических данных особого класса пространственных скоростных и поглощающих моделей среды, которые в самом широком смысле принято называть анизотропными моделями.

Необходимо подчеркнуть, что указанной задаче в последнее время уделяется все большее внимание, что объясняется это двумя основными причинами. Первая из них связана с тем почти очевидным фактом, что информация об анизотропии скоростей позволяет увеличить точность структурных построений: от единиц до нескольких десятков процентов.

Вторая причина состоит в том, что обнаружение анизотропии скоростных и поглощающих свойств среды и корректная интерпретация этого явления позволяет в благоприятных обстоятельствах решать как генетические задачи, связанные с объяснением природы так называемых носителей анизотропии (трещин, разломов, тонкой слоистости и др. объектов), так и чисто прикладные задачи, такие как, например, структурно-формационные, либо литофациальные задачи.Как показывает анализ литературы /1-20/, при всем многообразии моделей, используемых при изучении сейсмической анизотропии, в сейсморазведке наибольший практический интерес вызывают модели сред, где анизотропия обусловлена либо субгоризонтальной слоистостью, либо субвертикальной трещиноватостью осадочных отложений, либо одновременным действием этих факторов. Именно такие модели являются основным объектом исследований, результаты которых излагаются в настоящей работе.

Круговые сейсмические наблюдения уже давно используются в практике сейсморазведочных работ для решения различных геологических задач. Одна из таких задач, которой в последнее время уделяется все большее внимание в виду ее практической значимости, состоит в изучении анизотропии осадочных пород, обусловленной вертикальной (субвертикальной) трещиноватостью среды. В работах как отечественных, так и зарубежных авторов при изучении этого типа анизотропии обычно предполагается, что размеры носителей анизотропии намного меньше по сравнению с длинами зондирующих сейсмических волн. Такое предположение часто оправдано и подтверждается как при физическом моделировании, так и при полевых наблюдениях. Вместе с тем вполне реальна и такая ситуация, когда поперечные размеры трещин или разломов в земной коре сопоставимы, а иногда намного больше длины используемых сейсмических волн. В этих условиях теория трансверсально-изотропных сред уже не подходит и требуется иной подход.

В данной работе рассматриваются простейшие математические модели распространения сейсмических волн в таких средах с целью изучения влияния различных параметров трещиноватости на сейсмическую анизотропию и их (моделей) последующего использования при количественной интерпретации результатов наблюдений прямых, отраженных и преломленных волн в различных модификациях с данными электроразведки. При этом предполагается, что азимутальная сейсмическая анизотропия среды обусловлена системой вертикальных или почти вертикальных и параллельных между собой пластов со средней мощностью dи с равномерным распределением в пространстве. Предполагается также, что их пространственная плотность ρ такова, что межпластовые расстояния не меньше мощности тонкого слоя. С другой стороны предполагается, что мощность отдельных пластов dбольше длины зондирующей сейсмической волны. Последнее допущение позволяет использовать при решении прямой задачи законы геометрической сейсмики и фактически является основным в последующих выкладках и рассуждениях. Иными словами, в данной главе нами рассматривается простейшая лучевая схема распространения волн в неоднородных средах, существенно упрощающая решение задачи.

Геологическим аналогом рассматриваемой модели могут служить системы субвертикальных разломов или зон субвертикальной трещиноватости горных пород, которые далее - достаточно условно - мы будем называть тонкими вертикальными пластами. Полагая, что такие пласты насыщены флюидами (например, водой), в дополнение к сделанным допущениям примем также, что скорость волн в основной породе V0больше скорости волн V1в тонких пластах, которые к тому же принимаются изотропным.

.4.2 Годограф прямой волны

Поместим общий источник возбуждения сейсмических волн в центр кругового профиля наблюдений радиуса R и выберем такую систему полярных координат (R,Θ), чтобы полярная ось проходила вдоль простирания вертикальной слоистости, а полюс совпадал с точкой возбуждения, предполагая при этом в целях симметрии результатов, что последняя находится в центре межпластового пространства. Очевидно, что при такой системе наблюдений искомая функция - азимутальное время наблюдений tR0-будет контролироваться числом пересечений пластов по выбранному азимуту,который в среднем равен 260. В рамках принятых выше допущений можно заменить эту совокупность пластов одним толстым пластом с эквивалентной мощностью He=R<ρdsinΘ и расположить его в центре линии, соединяющей точку возбуждения О и точку приема Р с полярными координатами R и Θ (рисунок 3.11).

Рисунок. 3.11 -Модель тонкого пласта для расчета времени первых вступлений

С учетом того, что скорости волн в основной породе и в тонких пластах равны Voи Vi соответственно, можно сразу же получить общее выражение для искомого азимутального времени прохождения прямой волны из точки О в точку P:

tR,Θ = top = toA + tAB + tBP= OA / Vo + AB / Vi + BP / Vo(3.1)

При этом очевидно, что

AB=He/cosα1,

А из центральной симметрии рисунка следует, что

OA=BPиOA + BP = 2S/sine = 2S/cosα,

где2S = PP'-He = RsinΘ-RρdsinΘ;

e- угол выхода прямой волны из точки возбуждения;

α- угол падения волны на эквивалентный пласт;

αα1-угол преломления на тонком пласте, определяемого из известного закона преломления.

3.5 Механическая модель волноводов по данным инструментальных наблюдений

.5.1 Пространственное распределение землетрясений относительно пункта наблюдений

В процессе моделирования на ЭВМ рассматривалась возможность использования полученных выше формул для изучения влияния на сейсмическую анизотропию различных физических и пространственных характеристик трещиноватых сред, таких как азимут простирания трещин, угол падения и мощность, пространственная плотность и относительная скорость волн. Отрабатывалась также оптимальная схема наблюдений, методика обработки полевых данных и представления результатов.

Выяснилось, что при изучении анизотропии проходящими, волнами вопрос, связанный с выбором землетрясений, играет заметную роль.

Очевидно, что это наиболее естественная система выбора связана с группированием сейсмических событий вдоль и поперек структур. В процессе обработки выяснилось, что отношения амплитуд продольных и поперечных волн от землетрясений, пришедших с разных азимутов, отличаются в 1,5-2 раза (рисунок 3.12).

Рисунок 3.12 - Отношение амплитуд продольных и поперечных волн в азимутах 0-3600

Из общих соображений ясно, что при изучении азимутальной сейсмической анизотропии информация о параметрах анизотропии содержится в разностном поле времен At = ta - tn, где ta- наблюдаемое поле времен при наличии анизотропии, tn- нормальное поле времен, в отсутствие анизотропии. Отличие отношений амплитуд в 1,5-2 раза не может быть случайным, а отражает общие свойства неоднородностей земной коры. Для первого квадранта в азимутах от 00 до 900 отношение амплитуд Pи S волн составляет порядка 6. Для второго квадранта это отношение равно в среднем 4. Для третьего это отношение равно в среднем 4. Для четвертого - 3.5

Это означает, что видимые времена пробега Sволн отличаются от фактических вдоль и поперек тектонических структур.

Это соответствует строению земной коры вблизи пункта наблюдений (рисунок 3.13), тектонические нарушения которой представлены меридиональными (Лимурчанскими) разломами, а также разломами северо-восточного простирания (Удыльский разлом).

Рисунок 3.13 - Схема тектонических нарушений вблизи пункта наблюдений /28/

.5.2 Механическая модель анизотропной среды

В соответствие с моделью (рисунок 3.11) уменьшение амплитуд сейсмических волн практически на одинаковом расстоянии эпицентров может быть связано только с пространственной неоднородностью земной коры. Поперечная волна S является волной сдвига и она распространяется вдоль разломов как в волноводе. Этим объясняется увеличение отношения амплитуд P и S волн вдоль основных тектонических структур в районе озера Удыль (рисунок 3.13).

По данным регионального каталога гипоцентры землетрясений концентрируются в интервалах 10-25 и 40-60км. По данным электроразведки горизонтальные неоднородности (рисунок 3.14) чередующихся зон повышенного и пониженного сопротивления также концентрируются в области 10-15 км и 50 км.

Такое пространственное соотношение электроразведочных и сейсморазведочных данных может быть в случае, если реальная геологическая среда обладает свойствами неоднородности, выдержанного простирания. Как правило, зоны пониженных скоростей и зоны пониженных сопротивлений находятся в хорошем согласии друг с другом в разломных зонах.

Рисунок 3.14 - Вертикальный разрез электросопротивлений горных пород. Геоэлектрическая модель по субмериодиальному профилю п. Многовершинный - р. Мухты /28/

По результатам моделирования геофизических полей геологическая среда представлена в виде блоков, размерами порядка 120-150 км с признаками самоподобия 1:2 /29/.

Учитывая результаты соотношений амплитуд продольных и поперечных волн (рисунок 3.12) данную геофизическую модель можно представить в виде систем связанных блоков, с различными коэффициентами связи между блоками вдоль и поперек структур (рисунок 3.15).

Рисунок 3.15 -Механическая модель связанных блоков. Обозначения. Квадраты - самоподобные блоки зсемной коры с коэффициентом подобия 1:2. Стрелки - направления сдвиговых деформаций. Длина стрелки определяет величину сдвига. Пружинки - упругие связи между блоками. Отсутствие стрелок означает меньшую по отношению к остальным блокам степень взаимодействия.

На представленной схеме механической модели земной коры направления больших стрелок совпадает с преобладающим азимутом разломов северо-восточного простирания. На рисунке показаны смещения для блоков второго порядка (все 4 блока находятся в одном блоке 1-го порядка). Аналогичная схема справедлива для блоков третьего порядка и т.д. То есть для данной самоподобной системы блоков динамические жесткости вдоль структур намного меньше им ортогональных. Этим определяется величина относительного горизонтального смещения блоков (длина стрелок вдоль и поперек структур). Данная механическая модель позволяет объяснить прохождение сейсмических волн вдоль тектонических структур в виде волноводов на большие расстояния, даже при незначительной магнитуде землетрясений.

3.6 Физическая модель микросейсмических проявлений до и после землетрясений

.6.1 Закономерности в спектрах микросейсм и их проявлении до и после землетрясений

На Рисунках 3.16 - 3.18 представлены типичные волновые формы спектрограммы землетрясений и микросейсм до и после землетрясений, которые были получены в результате разработанной программы (Приложение Б)

Рисунок 3.16 - Спектр Х - компоненты землетрясения магнитудой М=1.7 и микросейсм до и после землетрясения

Рисунок 3.17 - Спектр Y - компоненты землетрясения магнитудой М=2.1и микросейсм до и после землетрясения

Рисунок 3.18 - Спектр Y - компоненты землетрясения магнитудой М=1.4

Наиболее значимые проявления микросейсм для всех землетрясений проявляются за 30-60 сдо землетрясения практически во всем спектре мощности самого сейсмического события в интервале частот от 1 до 10-15 Гц. Непосредственно перед землетрясением наблюдается относительное затухание. После землетрясения в течение 30-50 с наблюдается повышенная интенсивность проявления микросейсм в том же интервале спектра. Однако в отличие и синхронного возбуждения геосреды во всем интервале частот до землетрясения, после землетрясения наиболее длительное проявление микросейсм выделяется в интервале частот 5-6 Гц.

Для все событий характерен микросейсмический шум в интервале частот от 0 до 1 Гц. Данные закономерности позволили применить для моделирования слабых землетрясений теорию термодинамики.

.6.2 Физическая модель на основе законов термодинамики

На рисунке 3.19 представлена спектрограмма с выделенными периодами проявления интенсивности микросейсм. На рисунке обозначены:

зона 1 - период сейсмического затишья до землетрясения;

зона 2 - период действия штормовых;

зона 3 - период микросейсмического затишья перед землетрясением;

зона 4 - спектрограмма периода проявления землетрясения;

зона 5 - область затухания штормовых микросейсм;

зоны 6, 8 -области с фрагментами спектров штормовых микросейсм;

зона 7 - период сейсмического затишья после землетрясения;

зона 9 - область квазипериодического микросейсмического шума.

Рисунок 3.19 - Спектр Y - компоненты землетрясения магнитудой М=1.8и микросейсм до и после землетрясения (пояснения в тексте).

Данные закономерности вписываются в термодинамическую модель землетрясения, разрабатываемую на основе фазовых переходов "жидкость-газ-жидкость" /30, 31/ при различной динамике изменения температуры, давления и объема замкнутого и открытого включения.

На рисунке 3.20 представлены различные типы термодинамической системы.

На рисунке 3.20 обозначены:

А - переход жидкости в газ водонасыщенного включения при увеличении объема вмещающих пород и уменьшении давления при постоянной температуре;

Б - переход жидкости в газ при уменьшении температуры вмещающих пород и уменьшении давления водонасыщенного включения при постоянном объеме;

В - переход жидкости в газ при увеличении температуры вмещающих пород и увеличении температуры водонасыщенного включения при постоянном давлении;

Г - переход жидкости в газ при уменьшении давления вмещающих пород и уменьшении давления вследствие диффузии из области водонасыщенного включения при постоянной температуре.

Рисунок 3.20 -Термическая модель слабых землетрясений (пояснения.в тексте)

Данная модель описывает все динамические условия вскипания жидкости. В отличие от динамики кипения жидкости при атмосферном давлении, при котором 1 литр волы испаряется в среднем за 40 мин, в нашем случае фазовый переход носит практически взрывной характер. Время фазового перехода не превосходит 50 с. При этом объем жидкой фракции флюида может меняться в широких пределах, что и определяет магнитуду землетрясения.Это теоретическая модель позволяет представить еще одну интерпретацию появления штормовых микросейсм. Экспериментальные данные при регистрации микроземлетрясений соответствуют данной термодинамической модели, что может послужить основанием для проведения дальнейших исследований и подтверждении модели.

ЗАКЛЮЧЕНИЕ

По результатам выполненных исследований можно сделать следующие выводы.

В результате детальных высокоточных сейсмологических исследований зарегистрировано 22 сейсмических события.

определены азимуты всех событий и произведена коррекция азимутов при использовании данных ближайших сейсмических станций.

произведен расчет коэффициентов затухания в различных азимутах;

выделено два направления эпицентров землетрясений с различными коэффициентами затухания;

с использованием модели геометрической оптики определены параметры затухания сейсмических волн вдоль основных тектонических структур вблизи озера Удыль.

проведено сопоставление результатов сейсмических наблюдений с данными неоднородности земной коры, выделенными по электроразведочным данным. Установлено качественное пространственное согласие двух методов.

построена механическая модель геосреды, которая позволяет интерпретировать выявленные закономерности зарегистрированных сейсмических событий, как распространение волны в волноводе. Эта модель на основе законов геометрической оптики, которая успешно применяется при поисках залежей нефти и газа. Применение данной модели для водонасыщенных сред (разломных зон) позволило существенно расширить ее возможности и применить ее для изучения анизотропии геологической среды.

рассмотрены основные закономерности в динамике микросейсмического шума, на основе которых построена физическая модель генерации микросейсм и их распространения на основе законов термодинамик

СПИСОК ИСПОЛЬЗОВАННЫХ ИСТОЧНИКОВ

Клем-Мусатов К.Д. Теория краевых волн и ее применение в сейсмике / К.Д.Клем-Мусатов // Новосибирск: Наука - 1980 - №2 -С.295-296.

Тимошин Ю.В. Импульсная сейсмическая голография / Ю.В.Тимошин // Недра - 1978 С. 280-288.

ГузьА.Н.Дифракция упругих волн /А.Н Грузь, В.Д. Кубенко, М.А.Черевко. -1-е изд. Киев: Наукова думка - 1978.- 308 с.

Гурвича И.И. Сейсморазведка: Справочник геофизика / И.И. Гурвич, В.П.Номоконов - М.: Недра, 1981. - 464 c.

Стародуб Ю.П. Исследование особенностей распространения сейсмических волн в соисто-неоднородном полупространстве. : дис. … кд-рафиз-мат. наук : 01.04.12 / Ю.П.Стародуб - 1984. - 156 с.

Thomson W.T. Computationofelasticwavesthroughstratifiedsolidmedium / W.T.Thomson //J. Apll. Phys -1950 -№2, P. 89-93.N. A. The dispersion of waves in multilayered media / N. A.Haskell // Bull. Seism. Soc. Amer -1953 - №1, P. 17-34.

МолотковJI.A. О распространении упругих волн в средах, содержащих тонкие плоскопараллельные слои / Л.А. Молотков // Вопросы динамической теории распространения сейсмических волн - 1961- №.5, С. 240-280.

Молотков JI.A. К вопросу о колебаниях пачки тонких слоев между двумя упругими полупространствами /Л.А. Молотков, Н.С.Смирнова // Вопросы динамической теории распространения сейсмических волн -1971 - №11, С. 4-26.

Молотков Л.А. Об интерференционных волнах в свободном неоднородном упругом слое / Л.А. Молотков // Записки научных семинаров ЛОМИ - 1973, С. 117-141.

Ратникова Л.И. Расчет спектральных характеристик тонкослоистых сред / Л.И. Ратникова, А.Л. Левшин // АН COOP. Физ. Земли - 1967 - № 2, С. 41-53.

Ратникова Л.И. Методы расчета сейсмических волн в тонкослоистых средах / Л.И.Ратникова // - М.: Наука - 1973. - 124 с.

KennetB.L.N. Theoreticalreflectionseismogramsforelasticmedia/ B.L.N.Kennet//Geophys. Prospect -1979 №. 2, P. 301-321.B.L.N. Seismic waves in a stratified half space/ B.L.NKennet, N.J.Kerry //- Geophys. J. B. Astr. Soc -1979 - №3,P.557- 583.

БабичB.M. РаспространениеволнЛявавупругомполупространстве, неоднородномвнаправлениидвухкоординат / В.М. Бабич, Л.ИМолотков // АН СССР. Физ. Земли - 1966 -№6, С. 34-38.

Мухина И.В.О распространении волн Рэлея в упругом полупространстве, неоднородном по двум координатам / И.В. Мухина, Молотков И.А // АН СССР. Физ. Земли - 1967, № 4, С. 3-8.

Гантмахер Ф.Р. Терия матриц / Ф.Р. Гантмахер // М.: Наука -1966.- 576 с.

Николаев Б.Г. О распространении нестационарных возмущений в неидеально-упругих средах / Б.Г. Николаев // Вопросы динамической теории распространения сейсмических волн - 1959 - №3, С. 293-319.

Рудшкий В.П. Про запасание в Земле продольных волн / Рудшкий В.П. // Доп. АН УРСР - 1980 -№ 7, С. 30-39.F.D.Anelastic damping of acoustical and seismic pulces/ F.D.Stacey // Geophys. Surveys - 1979 - №2, P. 155-151W.I. Dispersive body waves / W.I. Futterman // J. Geophys. Res -1962 -№13, P. 278-291.

ГуревичГ.И. Деформируемостьсреди распространение сейсмических волн / И.Г. Гурьевич // М.: Наука - 1974. 484 с.

Левшин А.Л.О дисперсии и поглощении упругих волн в горных породах / А.Л. Левшин, Л.И. Ратникова, М.В. Сакс // Вычислительная сейсмология -

Каплун В.Б Глубинное строение уникальной Нижнеамурской структуры / В.Б. Каплун, Ю.Ф Манилов // Проблемы сейсмичности и современной геодинамики Дальнего Востока и Восточной Сибири - Хабаровск :ИТиГ им. Ю.А. Косыгина ДВО РАН - 2010, 312 с.

Трофименко С.В.Тектоническая интерпретация статистической модели распределений азимутов аномалий гравимагнитных полей Алданского щита / С.В. Трофименко // Тихоокеанская геология - 2009 - № 3. С. 64-77.

Трофименко С.В. Термодинамическая модель Южно-Якутского очага землетрясения / С.В. Трофименко // Материалы всероссийской научно-практической конференции 24-27 октября 2005 г. «Сейсмичность Южно-Якутского региона и прилегающих территорий» - Нерюнгри: ЯГУ - 2005, С.163-165

Трофименко С.В. Термическая модель Южно-Якутского землетрясения / С.В. Трофименко //«Физика геосфер», материалы Шестого всероссийского симпозиума, Владивосток.- ТОИ ДВО РАН - 2009, С.250-255

ПРИЛОЖЕНИЕ А

(обязательное)

Таблица параметров зарегистрированных землетрясений

 № з/т

Год

№ дня

Месяц

День

Час

Мин

Сек

Мсек

ts-tp (сек)

Азимут

1

2

3

4

5

6

7

8

9

10

11

2

2014

205

7

24

14

48

9

155

26,93

97

4

2014

205

7

24

17

12

2

615

18,88

27

5

2014

205

7

24

18

40

42

515

18,04

107

6

2014

206

7

25

6

7

2

375

17,81

239

7

2014

206

7

25

12

43

6

100

7,98

229

8

2014

206

7

25

18

4

26

795

24,88

117

9

2014

206

7

25

21

24

7

545

28,49

249

10

2014

207

7

26

18

6

31

625

18,62

27

11

2014

208

7

27

6

32

57

635

38,92

237

12

2014

208

7

27

8

24

25

445

33,62

217

13

2014

208

7

27

13

12

8

675

42,66

329

14

2014

210

7

29

23

32

35

40

269

15

2014

210

7

29

23

35

25

915

34,405

247

16

2014

211

7

30

1

47

27

585

18,29

217

17

2014

211

7

30

8

20

48

240

19,43

99

18

2014

212

7

31

1

54

13

495

29,005

237

19

2014

212

7

31

3

43

4

685

28,13

217

20

2014

213

8

1

4

46

0

540

18,135

262

21

2014

213

8

1

4

49

29

55

17,925

266

22

2014

213

8

1

4

51

32

245

17,89

262



ПРИЛОЖЕНИЕ Б

(обязательное)

Программа по построению волновых форм спектрограмм землетрясений и микросейсм до и после землетрясений

p='f:\ATR\'; ='f:\';

%nomer='13';'01'='2014204214130320_POLE__1_2.atr'; ='2014204214130320_POLE__1_3.atr'; ='2014204224130320_POLE__1_2.atr'; ='2014204224130320_POLE__1_3.atr'; =datenum(2014,07,23,21,41,30.320); =datenum(2014,07,23,22,48,17); ='M=1.1,Az=000';=50; timePosle=100;=-125; z2=-90;'02'='2014205135635320_POLE__1_2.atr'; ='2014205135635320_POLE__1_3.atr'; ='2014205145635320_POLE__1_2.atr'; ='2014205145635320_POLE__1_3.atr'; =datenum(2014,07,24,13,56,35.320); =datenum(2014,07,24,14,48,9); %!!!!!='M=2.4,Az=097';=50; timePosle=100;=-120; z2=-80;'04'

Продолжение приложения Б='2014205165635320_POLE__1_2.atr';

filenameY1='2014205165635320_POLE__1_3.atr'; ='2014205175635320_POLE__1_2.atr'; ='2014205175635320_POLE__1_3.atr'; =datenum(2014,07,24,16,56,35.320); =datenum(2014,07,24,17,12,3); ='M=3.8,Az=027';=50; timePosle=250;=-120; z2=-50;'05'='2014205175635320_POLE__1_2.atr'; ='2014205175635320_POLE__1_3.atr'; ='2014205185635320_POLE__1_2.atr'; ='2014205185635320_POLE__1_3.atr'; =datenum(2014,07,24,17,56,35.320); =datenum(2014,07,24,18,40,42); ='M=1.8,Az=107';=50; timePosle=100;=-125; z2=-80;'06'='2014206055635320_POLE__1_2.atr'; ='2014206055635320_POLE__1_3.atr'; ='2014206065635320_POLE__1_2.atr'; ='2014206065635320_POLE__1_3.atr'; =datenum(2014,07,25,05,56,35.320); =datenum(2014,07,25,06,07,2); ='M=0.9,Az=239';=50; timePosle=70;=-115; z2=-95;'07'='2014206115635320_POLE__1_2.atr'; ='2014206115635320_POLE__1_3.atr'; ='2014206125635320_POLE__1_2.atr'; ='2014206125635320_POLE__1_3.atr'; =datenum(2014,07,25,11,56,35.320); =datenum(2014,07,25,12,43,6); ='M=0.7,Az=229';=50; timePosle=40;=-125; z2=-80;'08'='2014206175635320_POLE__1_2.atr'; ='2014206175635320_POLE__1_3.atr'; ='2014206185635320_POLE__1_2.atr'; ='2014206185635320_POLE__1_3.atr'; =datenum(2014,07,25,17,56,35.320); =datenum(2014,07,25,18,04,27); ='M=2.0,Az=117';=50; timePosle=150;=-125; z2=-85;'09'='2014206205635320_POLE__1_2.atr'; ='2014206205635320_POLE__1_3.atr'; ='2014206215635320_POLE__1_2.atr'; ='2014206215635320_POLE__1_3.atr'; =datenum(2014,07,25,20,56,35.320); =datenum(2014,07,25,21,24,7); ='M=1.6,Az=249';=50; timePosle=100;=-125; z2=-95;'10'='2014207175635320_POLE__1_2.atr'; ='2014207175635320_POLE__1_3.atr'; ='2014207185635320_POLE__1_2.atr'; ='2014207185635320_POLE__1_3.atr'; =datenum(2014,07,26,17,56,35.320); =datenum(2014,07,26,18,06,31); ='M=1.7,Az=027';=50; timePosle=100;=-125; z2=-85;'11'='2014208055635320_POLE__1_2.atr'; ='2014208055635320_POLE__1_3.atr'; ='2014208065635320_POLE__1_2.atr'; ='2014208065635320_POLE__1_3.atr'; =datenum(2014,07,27,05,56,35.320); =datenum(2014,07,27,06,32,58); ='M=2.1,Az=237';=50; timePosle=130;=-120; z2=-90;'12'='2014208075635320_POLE__1_2.atr'; ='2014208075635320_POLE__1_3.atr'; ='2014208085635320_POLE__1_2.atr'; ='2014208085635320_POLE__1_3.atr'; =datenum(2014,07,27,07,56,35.320); =datenum(2014,07,27,08,24,25); ='M=1.7,Az=217';=50; timePosle=115;=-125; z2=-95;'13'='2014208125635320_POLE__1_2.atr'; ='2014208125635320_POLE__1_3.atr'; ='2014208135635320_POLE__1_2.atr'; ='2014208135635320_POLE__1_3.atr'; =datenum(2014,07,27,12,56,35.320); =datenum(2014,07,27,13,12,9); ='M=4.0,Az=329';=50; timePosle=300;=-125; z2=-55;'14'='2014210225635320_POLE__1_2.atr'; ='2014210225635320_POLE__1_3.atr'; ='2014210235635320_POLE__1_2.atr'; ='2014210235635320_POLE__1_3.atr'; =datenum(2014,07,29,22,56,35.320); =datenum(2014,07,29,23,32,35); ='M=2.1,Az=269';=50; timePosle=150;=-125; z2=-90;'15'='2014210225635320_POLE__1_2.atr'; ='2014210225635320_POLE__1_3.atr'; ='2014210235635320_POLE__1_2.atr'; ='2014210235635320_POLE__1_3.atr'; =datenum(2014,07,29,22,56,35.320); =datenum(2014,07,29,23,35,26); ='M=1.9,Az=247';=50; timePosle=130;=-125; z2=-95;'16'='2014211005635320_POLE__1_2.atr'; ='2014211005635320_POLE__1_3.atr'; ='2014211015635320_POLE__1_2.atr'; ='2014211015635320_POLE__1_3.atr'; =datenum(2014,07,30,00,56,35.320); =datenum(2014,07,30,01,47,28); ='M=1.8,Az=217';=50; timePosle=120;=-125; z2=-85;'17'='2014211075635320_POLE__1_2.atr'; ='2014211075635320_POLE__1_3.atr'; ='2014211085635320_POLE__1_2.atr'; ='2014211085635320_POLE__1_3.atr'; =datenum(2014,07,30,07,56,35.320); =datenum(2014,07,30,08,20,48); ='M=1.8,Az=099';=50; timePosle=130;=-125; z2=-80;'18'='2014212005635320_POLE__1_2.atr'; ='2014212005635320_POLE__1_3.atr'; ='2014212015635320_POLE__1_2.atr'; ='2014212015635320_POLE__1_3.atr'; =datenum(2014,07,31,00,56,35.320); =datenum(2014,07,31,01,54,13); ='M=1.7,Az=237';=50; timePosle=110;=-125; z2=-90;'19'='2014212025635320_POLE__1_2.atr'; ='2014212025635320_POLE__1_3.atr'; ='2014212035635320_POLE__1_2.atr'; ='2014212035635320_POLE__1_3.atr'; =datenum(2014,07,31,02,56,35.320); =datenum(2014,07,31,03,43,5); ='M=2.7,Az=217';=50; timePosle=120;=-125; z2=-90;'20'='2014213035956320_POLE__1_2.atr'; ='2014213035956320_POLE__1_3.atr'; ='2014213045956320_POLE__1_2.atr'; ='2014213045956320_POLE__1_3.atr'; =datenum(2014,08,01,03,59,56.320); =datenum(2014,08,01,04,46,0); ='M=2.1,Az=262';=50; timePosle=150;=-125; z2=-75;'21'='2014213035956320_POLE__1_2.atr'; ='2014213035956320_POLE__1_3.atr'; ='2014213045956320_POLE__1_2.atr'; ='2014213045956320_POLE__1_3.atr'; =datenum(2014,08,01,03,59,56.320); =datenum(2014,08,01,04,49,29); ='M=1.4,Az=266';=30; timePosle=70;=-125; z2=-90;'22'='2014213035956320_POLE__1_2.atr'; ='2014213035956320_POLE__1_3.atr'; ='2014213045956320_POLE__1_2.atr'; ='2014213045956320_POLE__1_3.atr'; =datenum(2014,08,01,03,59,56.320); =datenum(2014,08,01,04,51,32); ='M=0.8,Az=262';=30; timePosle=70;=-125; z2=-100;=.3; dt=3;=' ';=9; L=86400; fs=200;=1.583e-6/2001.67*1000;

% load= importdata([p filenameX1], delimeter, nStrok);=data666.data;= importdata([p filenameX2], delimeter, nStrok);=[dataX; data666.data]*m;= importdata([p filenameY1], delimeter, nStrok);=data666.data;= importdata([p filenameY2], delimeter, nStrok);=[dataY; data666.data]*m;;

% filter

[b,a]=butter(3,fmin/fs*2,'high');=filter(b,a,dataX-mean(dataX));=filter(b,a,dataY-mean(dataY));

% cut=round((begtime-timeDo/L-filetime)*L*fs);=round((begtime+timePosle/L-filetime)*L*fs);=dataXf(t1:t2); Y=dataYf(t1:t2);

% spectrogram(X,fs,1000,900,0,z1,z2), ylim([1,30]);(gcf,'-dpng',[p2 nomer '_' ZTname '_X.png'],'-r300')(gcf);(Y,fs,1000,900,0,z1,z2), ylim([1,30]);(gcf,'-dpng',[p2 nomer '_' ZTname '_Y.png'],'-r300')(gcf);sp01(fname,fs,wl,overlap, meaning,zmin,zmax)

%load file(fname)=' ';=9;= importdata(fname, delimeter, nStrok);=data666.data;data666;=fname;

% computingmeaning>1 =AntiTrendFast(data1,meaning);

[~,F,T,P]=spectrogram(data1,hann(wl),overlap,wl,fs);(1:3,:)=[];(1:3,:)=[];

%plot 1st;('position',[0.04 0.75 0.94 0.22]);(gca,'fontSize',9)((1:length(data1))./fs,data1); axis tight; grid on;=get(gca,'ylim');(1)=aaa(1)-0.02*(aaa(2)-aaa(1));(2)=aaa(2)+0.02*(aaa(2)-aaa(1));(aaa);

%plot 2nd('position',[0.04 0.05 0.94 0.62]);(gca,'fontSize',9)(T,F,10*log10(P),'edgecolor','none');=0; aa2=length(data1)/fs; aa3=F(1,1); aa22=F(size(F)); aa4=aa22(1);([aa1 aa2 aa3 aa4]);(gca,'yscale','log');('east');(jet(4096));(gca,'clim',[zminzmax]);;=[.0001 .0001 .0002 .0002 .0003 .0003 .0004 .0004 .0005 .0005 .0006 .0006 .0007 .0007 .0008 .0008 .0009 .0009 ...

.001 .001 .002 .002 .003 .003 .004 .004 .005 .005 .006 .006 .007 .007 .008 .008 .009 .009 ...

.01 .01 .02 .02 .03 .03 .04 .04 .05 .05 .06 .06 .07 .07 .08 .08 .09 .09 ...%9*2*6=108

.1 .1 .2 .2 .3 .3 .4 .4 .5 .5 .6 .6 .7 .7 .8 .8 .9 .9 ...

1 2 2 3 3 4 4 5 5 6 6 7 7 8 8 9 9 ...

10 20 20 30 30 40 40 50 50 60 60 70 70 80 80 90 90];=[aa1-1 aa2+1 aa2+1 aa1-1 aa1-1 aa2+1 aa2+1 aa1-1 aa1-1 aa2+1 aa2+1 aa1-1 aa1-1 aa2+1 aa2+1 aa1-1 aa1-1 aa2+1 ...+1 aa1-1 aa1-1 aa2+1 aa2+1 aa1-1 aa1-1 aa2+1 aa2+1 aa1-1 aa1-1 aa2+1 aa2+1 aa1-1 aa1-1 aa2+1 aa2+1 aa1-1 ...-1 aa2+1 aa2+1 aa1-1 aa1-1 aa2+1 aa2+1 aa1-1 aa1-1 aa2+1 aa2+1 aa1-1 aa1-1 aa2+1 aa2+1 aa1-1 aa1-1 aa2+1 ...+1 aa1-1 aa1-1 aa2+1 aa2+1 aa1-1 aa1-1 aa2+1 aa2+1 aa1-1 aa1-1 aa2+1 aa2+1 aa1-1 aa1-1 aa2+1 aa2+1 aa1-1 ...-1 aa2+1 aa2+1 aa1-1 aa1-1 aa2+1 aa2+1 aa1-1 aa1-1 aa2+1 aa2+1 aa1-1 aa1-1 aa2+1 aa2+1 aa1-1 aa1-1 aa2+1 ...+1 aa1-1 aa1-1 aa2+1 aa2+1 aa1-1 aa1-1 aa2+1 aa2+1 aa1-1 aa1-1 aa2+1 aa2+1 aa1-1 aa1-1 aa2+1 aa2+1 aa1-1];

c=3000*ones(1,108);

ПРИЛОЖЕНИЕ В

(обязательное)

Программа в система matlab для построения спектрограмм по трем каналам

%% параметры

% пути к файлам

%p='D:\_____\';% для ноута 11''

p='s:\ATR\';%дляПК='2014206055635320_POLE__1_2.atr';='2014206055635320_POLE__1_2.atr';

% время=datenum(2014,07,25,05,56,35.320);=datenum(2014,07,25,06,07,02.125);=4;        

% фильтр=3;=20;

% прочее=' ';=9;=86400;=200;

%% загружаем

% 1-й= importdata([p filenameX], delimeter, nStrok);=data666.data;

% 2-й

ПродолжениеприложенияВ= importdata([p filenameY], delimeter, nStrok);=data666.data;data666;

%% фильтруем

[b,a]=butter(3,[fminfmax]/fs*2);=filter(b,a,dataX-mean(dataX));=filter(b,a,dataY-mean(dataY));

%% вырезаем

% EQtime - времяземлетрясения

% filetime - времяначалафайла

% они даны в сутках, например 735812.1666240741

% L - кол-во секунд в сутках, =86400

% fs - частота дискретизации, Гц , =200

% dt - длина интересующей нас записи, с

dataXfC=dataXf(((EQtime-filetime)*L*fs-dt*fs/2):((EQtime-filetime)*L*fs+dt*fs/2));=dataYf(((EQtime-filetime)*L*fs-dt*fs/2):((EQtime-filetime)*L*fs+dt*fs/2));

%% ищем разброс=max((dataXfC.^2+dataYfC.^2).^.5);

%% вращаем, рисуем=99999999999999999999999;=0;(1);=1:18=(i-1)*10;

[ X1,Y1 ] = Func_rotate(dataXfC,dataYfC,alf );('position',[.05 .05*(i+.5) .2 .049]);(1:length(X1),X1)on, axis tight, ylim([-r r]);(num2str(alf));>1, set(gca,'xticklabel',''), end('position',[.3 .05*(i+.5) .2 .049]);(1:length(Y1),Y1)on, axis tight, ylim([-r r]);(num2str(alf));>1, set(gca,'xticklabel',''), end('position',[.55 .05*(i+.5) .2 .049]);(1:length(X1),X1.^3)on, axis tight, ylim([-r.^3 r.^3]);(num2str(alf));>1, set(gca,'xticklabel',''), end('position',[.8 .05*(i+.5) .2 .049]);(1:length(Y1),Y1.^3)on, axis tight, ylim([-r.^3 r.^3]);(num2str(alf));>1, set(gca,'xticklabel',''), end(Y1)<am=std(Y1);=alf;(Y1)>amax=std(Y1);=alf;(gcf,'units','normalized','position',[0.15 0.15 .8 .75]);(gcf,'-dpng',[p filenameX '.png'],'-r300')

%close(gcf)

% prompt = {'alfa'};

% dlg_title = 'Чемуравноalfa?';

% num_lines = 1;

% def = {num2str(iii)};

% answer = inputdlg(prompt,dlg_title,num_lines,def);

%% вращаем, рисуем ещё раз=99999999999999999999999;

amax=0;(2);=1:18=iii-18+(i-1)*2;

[ X1,Y1 ] = Func_rotate(dataXfC,dataYfC,alf );('position',[.05 .05*(i+.5) .2 .049]);(1:length(X1),X1)on, axis tight, ylim([-r r]);(num2str(alf));>1, set(gca,'xticklabel',''), end('position',[.3 .05*(i+.5) .2 .049]);(1:length(Y1),Y1), axistight, ylim([-rr]);(num2str(alf));>1, set(gca,'xticklabel',''), end('position',[.55 .05*(i+.5) .2 .049]);(1:length(X1),X1.^3)on, axis tight, ylim([-r.^3 r.^3]);(num2str(alf));>1, set(gca,'xticklabel',''), end('position',[.8 .05*(i+.5) .2 .049]);(1:length(Y1),Y1.^3)on, axis tight, ylim([-r.^3 r.^3]);(num2str(alf));>1, set(gca,'xticklabel',''), end(Y1)<am=std(Y1);=alf;(Y1)>amax=std(Y1);=alf;(gcf,'units','normalized','position',[0.15 0.15 .8 .75]);(num2str(iii))(gcf,'-dpng',[p filenameX '__.png'],'-r300')

%close(gcf)[ X1,Y1 ] = Func_rotate( X,Y,alfa )=alfa*pi/180;=X*cos(a)-Y*sin(a);=X*sin(a)+Y*cos(a);

end

ПРИЛОЖЕНИЕ Г

(обязательное)

Программа для расчета азимута землетрясений, разработанная в системе matlab

function sp01(fname,fs,wl,overlap, meaning,zmin,zmax)

%load file=' ';=9;= importdata(fname, delimeter, nStrok);=data666.data;data666;

% computingmeaning>1 =AntiTrendFast(data1,meaning);

[~,F,T,P]=spectrogram(data1,wl,overlap,wl,fs);(1:3,:)=[];(1:3,:)=[];

%plot 1st;('position',[0.04 0.75 0.94 0.22]);(gca,'fontSize',9)((1:length(data1))./fs,data1); axis tight; grid on;=get(gca,'ylim');(1)=aaa(1)-0.02*(aaa(2)-aaa(1));(2)=aaa(2)+0.02*(aaa(2)-aaa(1));(aaa);

%plot 2nd('position',[0.04 0.05 0.94 0.62]);(gca,'fontSize',9)(T,F,10*log10(P),'edgecolor','none');=0; aa2=length(data1)/fs; aa3=F(1,1); aa22=F(size(F)); aa4=aa22(1);([aa1 aa2 aa3 aa4]);(gca,'yscale','log');('east');(jet(4096));(gca,'clim',[zminzmax]);;=[.0001 .0001 .0002 .0002 .0003 .0003 .0004 .0004 .0005 .0005 .0006 .0006 .0007 .0007 .0008 .0008 .0009 .0009 ...

.001 .001 .002 .002 .003 .003 .004 .004 .005 .005 .006 .006 .007 .007 .008 .008 .009 .009 ...

.01 .01 .02 .02 .03 .03 .04 .04 .05 .05 .06 .06 .07 .07 .08 .08 .09 .09 ...%9*2*6=108

.1 .1 .2 .2 .3 .3 .4 .4 .5 .5 .6 .6 .7 .7 .8 .8 .9 .9 ...

1 2 2 3 3 4 4 5 5 6 6 7 7 8 8 9 9 ...

10 20 20 30 30 40 40 50 50 60 60 70 70 80 80 90 90];=[aa1-1 aa2+1 aa2+1 aa1-1 aa1-1 aa2+1 aa2+1 aa1-1 aa1-1 aa2+1 aa2+1 aa1-1 aa1-1 aa2+1 aa2+1 aa1-1 aa1-1 aa2+1 ...+1 aa1-1 aa1-1 aa2+1 aa2+1 aa1-1 aa1-1 aa2+1 aa2+1 aa1-1 aa1-1 aa2+1 aa2+1 aa1-1 aa1-1 aa2+1 aa2+1 aa1-1 ...-1 aa2+1 aa2+1 aa1-1 aa1-1 aa2+1 aa2+1 aa1-1 aa1-1 aa2+1 aa2+1 aa1-1 aa1-1 aa2+1 aa2+1 aa1-1 aa1-1 aa2+1 ...+1 aa1-1 aa1-1 aa2+1 aa2+1 aa1-1 aa1-1 aa2+1 aa2+1 aa1-1 aa1-1 aa2+1 aa2+1 aa1-1 aa1-1 aa2+1 aa2+1 aa1-1 ...-1 aa2+1 aa2+1 aa1-1 aa1-1 aa2+1 aa2+1 aa1-1 aa1-1 aa2+1 aa2+1 aa1-1 aa1-1 aa2+1 aa2+1 aa1-1 aa1-1 aa2+1 ...+1 aa1-1 aa1-1 aa2+1 aa2+1 aa1-1 aa1-1 aa2+1 aa2+1 aa1-1 aa1-1 aa2+1 aa2+1 aa1-1 aa1-1 aa2+1 aa2+1 aa1-1];=3000*ones(1,108);(b,a,c,':b'); hold off;

Похожие работы на - Физическая модель слоистой среды на основе амплитудно-частотных характеристик сейсмических волн

 

Не нашли материал для своей работы?
Поможем написать уникальную работу
Без плагиата!
Без нейросетей!