Термические методы и средства обезвреживания, переработки и утилизации нефтесодержащих отходов по технологии EX SITU

  • Вид работы:
    Контрольная работа
  • Предмет:
    Геология
  • Язык:
    Русский
    ,
    Формат файла:
    MS Word
    243,16 Кб
  • Опубликовано:
    2015-06-03
Вы можете узнать стоимость помощи в написании студенческой работы.
Помощь в написании работы, которую точно примут!

Термические методы и средства обезвреживания, переработки и утилизации нефтесодержащих отходов по технологии EX SITU

МИНИСТЕРСТВО ОБРАЗОВАНИЯ И НАУКИ РОССИЙСКОЙ ФЕДЕРАЦИИ

Федеральное государственное автономное образовательное учреждение

высшего образования

«Национальный исследовательский Томский политехнический университет»

Институт природных ресурсов

Специальность эксплуатация и обслуживание объектов транспорта и хранения нефти, газа и продуктов переработки

Кафедра Транспорта и хранения нефти и газа

Контрольная работа

«Термические методы и средства обезвреживания, переработки и утилизации нефтесодержащих отходов по технологии EX SITU»

(Индивидуальное задание по дисциплине «Сооружение и эксплуатация газонефтепроводов и газонефтехранилищ»)








Томск - 2015

Данные для технологического расчета магистрального нефтепровода

№ варианта

tПН, С°

ρСТ20, кг/м3

μСТ20, мПа·с

Gг, млн т/год

L, км

n'Э

ΔZ, м

Число НПС

24

6,5

835

165

32

1600

4

1600

>nНС


Данные для построения профиля трассы нефтепровода

Расстояние l, км

0

50

100

150

200

250

300

350

400

450

500

550

600

Отметка zi, м

50,0

125,0

187,5

250,0

287,5

275,0

250,0

300,0

375,0

500,0

550,0

600,0

650,0


Расстояние l, км650700750800850900950100010501100115012001250














Отметка zi, м

700

750

800

850

900

950

1000

1050

1100

1200

1250

1300


Расстояние l, км

1300

1350

1400

1450

1500

1550

1600

Отметка zi, м

1350

1400

1450

1500

1550

1600

1650



1. Расчет основного магистрального насоса

В соответствии с заданной пропускной способностью МНП Gг по табл. 4.1[1] выберем его ориентировочные параметры.

Таблица 1

Пропускная способность (грузопоток) Gг, млн т/год

Диаметр наружный DН, мм

Допускаемое давление Рдоп, МПа

23,0-50,0

1020

5,9


Определим расчетную толщину стенки трубопровода δ (с округлением до номинальной толщины стенки в большую сторону):

Принимаем для расчета Kу.р = 0,9 для III категории трубопровода; К н.м1= 1,4; КН = 1. Нормативное (предельное) сопротивление металла трубы и сварных соединений на разрыв (временное сопротивление на разрыв)  принимается по табл.П1.2 [1].

Расчетное (допустимое) сопротивление стали на разрыв, МПа:


(1)



(2)


Принимаем

Определим внутренний диаметр трубопровода


Определим плотность перекачиваемой нефти

Таблица 2. Температурная поправка на плотность нефти

Плотность ρСТ, кг/м3

Температурная поправка γ, кг/(м3·°С)

830,0 - 839,9

0,725


=835-0,725*(6,5-20)=844,8г/м3(3)

Определим расчетный часовой Qч и секундный Qс расходы нефти:



                  (4)


Принимаем Кп = 1,07 - для однотрубных (однониточных) нефтепроводов.

Таблица 3. Нормативная годовая продолжительность (в сутках) работы МНП

Протяженность L, км

Диаметр нефтепровода DH, мм

 

до 820 (включительно)

свыше 820

L>700

352 (350)

349 (345)


Qс = Qч/3600 = 4825,1/3600 = 1,34м3/с. (5)

Скорость перекачки V

(6)

В соответствии с расчетной часовой пропускной способностью Qч выберем марку основного магистрального насоса (НМ).

Таблица 4. Технические характеристики насосов серии НМ

Типо-размер насоса

Номинальный режим на воде

Число ступеней (рабочих колес), nк


Подача Qo.h, м3

Частота вращения, n, об/мин

Допуст. кавитац. запас Аh доп. Н, м

КПД ηон,%

Мощость привода (эл/двиг.) NО.Н, кВт


Насосы секционные многоступенчатые, с рабочими колесами одностороннего входа nВС=1

НМ 7000-210 с ротором 0,7

4900

208

3000

42

87

5000

1


Рассчитаем подачу насоса в оптимальном режиме:

(7)

При которой максимальный к.п.д. на воде равен:

(8)

Определим границы рабочей области

Q л = 0,8·Q м в опт = 0,8·5096 = 4077;(9)

Q п=1,2·Q м в опт = 1,2·5096= 6115 м3/ч.(10)

Определим аналитическую зависимость напора, развиваемого насосом от его подачи по двум точкам (Q1, H1) и (Q2, H2):

м в=hм в-bм в Q2=254,2-(13,96·10-5·70002) = 220,69 м,(11)

где hм в = [231·6115 -202·4077]/[6115- 4077]=254,2 м;(12)

bм в = [231-202]/[6115-4077] = 13,96·10-5 ч25.(13)

Напор, развиваемый насосом на воде в оптимальном режиме:

м в опт=hм в-bм в Q2м в опт= 220,69-(13,96·10-5·5096 ) = 217,95 м,(14)

Оценим правильность вычисления коэффициентов

(15)

. Расчет подпорного магистрального насоса

Выбираем подпорный насос НПВ 2500-80.

Определим подачу подпорного насоса в оптимальном режиме

= -c 1 в /(2c)= [6,93·10-4]/[2(-14,4·10-8)] =2406,3м3/ч.(16)

Определим максимальный к.п.д. на воде

(17)

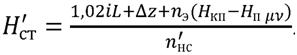
Напорная характеристика подпорных насосов в оптимальном режиме

(18)

Определим аналитическую зависимость напора, развиваемого насосом от его подачи

(19)

. Пересчет характеристик основного и подпорного насосов с воды на вязкую жидкость

Основной магистральный насос

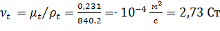
Определим кинематическую вязкость нефти

(20)


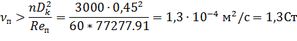
Рассчитаем критическое значение вязкости перекачиваемой среды vп.

(21)

(22)

(23)

 следовательно, характеристики центробежного нагнетателя, построенные на воде, отличаются от характеристик нагнетателя, работающего на более вязкой жидкости, т.е. коэффициенты в уравнении: Hм в опт=hм в-bм в Q2м в опт пересчитываются.

Критическое значение вязкости нефти νп, выше которой необходимо пересчитать напорные характеристики рассчитываются по формуле:


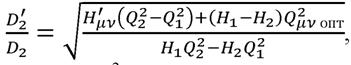
Определим коэффициенты пересчета напора КН, подачи KQ и к.п.д. , насоса с воды на вязкую нефть:

(24)

(25)

(26)

(27)

(28)

Определим аппроксимационные коэффициенты при работе насоса на высоковязкой нефти:

(29)

(30)

(31)

(32)

(33)

(34)

(35)

Определим подачу основного насоса в оптимальном режиме при работе на высоковязкой нефти:

Q м v опт = ~c1ν/(2c2ν)= [2,84·10-4]/[2*(- 2.96·10-8)] = 4787,5м3/ч.

Определим максимальный к.п.д. основного насоса при работе на высоковязкой нефти:

(36)

Напорная характеристика в оптимальном режиме:

(37)

Определим кинематическую вязкость нефти

(38)

Рассчитаем критическое значение вязкости перекачиваемой среды νп.

(39)

(40)

(41)

 следовательно, характеристики центробежного нагнетателя, построенные на воде, отличаются от характеристик нагнетателя, работающего на более вязкой жидкости, т.е. коэффициенты в уравнении: Hм в опт=hм в-bм в Q2м в опт пересчитываются. Критическое значение вязкости нефти νп, выше которой необходимо пересчитать напорные характеристики рассчитываются по формуле:


Определим коэффициенты пересчета напора КН, подачи KQ и к.п.д. , насоса с воды на вязкую нефть:

(42)

(43)

(44)

(45)

(46)

Определим аппроксимационные коэффициенты при работе насоса на высоковязкой нефти:

(47)

(48)

(49)

(50)

(51)

(52)

(53)

Определим подачу основного насоса в оптимальном режиме при работе на высоковязкой нефти:

Q п v опт = ~c/(2c)= [6.1·10-4]/[2*(- 1,41·10-7)] =2168,9 м3/ч.

Определим максимальный к.п.д. основного насоса при работе на высоковязкой нефти:

(54)

Напорная характеристика в оптимальном режиме:

(55)

Таблица 5

Режим

Подача, м 3

Напор, м

к.п.д.

Магистральный насос

номинальный

4900

208,6

0,88

Оптимальный на воде

5096

211

0,84

оптимальный на нефти

4788

209

0,71

Подпорный насос

номинальный

2500

80

0,82

оптимальный на воде

2406

82

0,83

оптимальный на нефти

2269

46

0,66

. Определение числа насосных станций

магистральный насос нефтепровод гидравлический

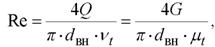
Число Рейнольдса Re, характеризующее режим течения жидкости по трубопроводу:

(54)

Граничные значения Re: ReI, ReII.

(55)

Примем для расчетов сварные стальные трубы после нескольких лет эксплуатации (Kэ = 0,2)


(56)

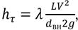
Потери напора на трение в нефтепроводе:

                (57)


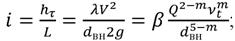
Гидравлический уклон i:


                                (58)

Полные потери напора в трубопроводе, м:

Примем для расчетов НКП = 30 м.

                                (59)

Напор одной насосной станции:

                        (60)

Число насосных станций:


                                      (61)

. Расстановка насосных станций по трассе нефтепровода

Округление числа станций в сторону увеличения ()

Действительный напор одной станции:


                                      (62)

Действительный напор одного насоса:


                       (63)

Проведем обрезку рабочего колеса насоса:

Q1 = 4077,17 м3/ч = 1,13 м3/с; Н1= 231м.

Q2= 6115,76 м3/ч 1,69 м3/с; Н2 =202 м.

=1,42 м3

(64)

Обрезаем рабочее колесо на 1,3%

Построим график совместной работы нефтепровода и всех НПС. Определим графически рабочую точку системы.

Таблица 6. Данные для построения графика совместной работы НПС и МНП

Q, м3

  Характеристика трубопровода

Характеристика нефтеперекачивающих станций  при количестве основных насосов на всех станциях



44

45

46

47

48

4000

7985

10312

10544

10776

11008

11239

9

8543

10176

10406

10635

10865

11094

4400

9122

10034

10261

10488

10715

10942

9721

9884

10109

10334

10558

10783

4800

10340

9729

9951

10173

10395

10617

5000

10978

9566

89786

10005

10224

10444


Рис. 1. Совмещенная характеристика нефтепровода и насосных станций

При этом проектная производительность нефтепровода обеспечивается при работе на станциях 40 насосов. Выберем следующую схему включения насосов на насосных станциях: 3-3-3-3-3-3-3-3-3-3-3-3-3-3-3-1.

Выполним расстановку насосных станций по трассе нефтепровода, с округлением числа станций в большую сторону.

Таблица 7. Расчетные значения высотных отметок НПС и длин линейных участков нефтепровода

Нефтеперекачивающая станция

Высотная отметка zi, м

Расстояние от начала нефтепровода, км

Длина линейного участка li, км

ГНПС-1

50

0

95,83

НПС-2

166,7

95,83

102,34

НПС-3

270,8

198,17

127,1

НПС-4

269,8

325,27

92,51

НПС-5

420,1

411,78

94,29

НПС-6

557,4

512,07

101,15

НПС-7

665,5

613,22

101,59

НПС-8

771,1

714,81

104,26

НПС-9

869,7

819,07

103,16

НПС-10

964,7

922,23

150,76

НПС-11

1072,99

45,26

НПС-12

1205,1

1118,25

106,08

НПС-13

1267

1224,33

100,82

НПС-14

1369,2

1325,15

102,05

НПС-15

1470,9

1427,2

101,43

НПС-16

1582

1528,63

69,53

КС

1650

1600



Похожие работы на - Термические методы и средства обезвреживания, переработки и утилизации нефтесодержащих отходов по технологии EX SITU

 

Не нашли материал для своей работы?
Поможем написать уникальную работу
Без плагиата!
Без нейросетей!