Проект модели дистанционного туристского образования и технологии её практического использования

  • Вид работы:
    Дипломная (ВКР)
  • Предмет:
    Педагогика
  • Язык:
    Русский
    ,
    Формат файла:
    MS Word
    1,61 Мб
  • Опубликовано:
    2015-09-18
Вы можете узнать стоимость помощи в написании студенческой работы.
Помощь в написании работы, которую точно примут!

Проект модели дистанционного туристского образования и технологии её практического использования















Проект модели дистанционного туристского образования и технологии её практического использования

ОГЛАВЛЕНИЕ

 

ВВЕДЕНИЕ

Глава 1. ТЕОРЕТИЧЕСКИЕ АСПЕКТЫ ПОСТРОЕНИЯ МОДЕЛИ ДИСТАНЦИОННОГО ТУРИСТСКОГО ОБРАЗОВАНИЯ

.1 Дистанционный образовательный процесс и система управления знаниями

.2 Теоретико-педагогические аспекты моделирования процесса дистанционного обучения

.3 Формы организации учебного процесса при дистанционном обучении

.4 Построение модели организации дистанционного образования в туристском ВУЗе

Глава 2. СПЕЦИФИКА ФУНКЦИОНИРОВАНИЯ МОДЕЛЕЙ ДИСТАНЦИОННОГО ТУРИСТСКОГО ОБРАЗОВАНИЯ

.1 Характеристика моделей дистанционного туристского образования в туристском ВУЗе

.2 Модель управления знаниями обучаемого в дистанционном онлайновом курсе «Business English» в туристском ВУЗе

.3 Результаты оценки качества применения технологии дистанционного обучения в образовательном процессе туристского ВУЗа

Глава 3. ПРОЕКТ МОДЕЛИ ДИСТАНЦИОННОГО ТУРИСТСКОГО ОБРАЗОВАНИЯ ПО ДИСЦИПЛИНЕ ТУРОПЕРЕЙТИНГ

.1 Обоснование внедрения дистанционного курса «Туроперейтинг»

.2 Модель дистанционного курса туроперейтинг

.3 Оптимизация дистанционного туристского образования с использованием инновационного подхода

ВЫВОДЫ

СПИСОК ИСПОЛЬЗОВАННОЙ ЛИТЕРАТУРЫ

 

ВВЕДЕНИЕ


Актуальность темы работы. В условиях глобализации мировых экономических процессов одной из приоритетных отраслей сферы услуг является туристская индустрия. Сегодня путешествие является необходимой составляющей образа жизни современного человека. Весь мир стремится к достижению более высокого уровня жизни и общения между людьми, человек получает больше личной свободы и возможностей для самореализации. Для многих путешествие стало стилем жизни. Увеличение массива свободного времени, рост уровня дохода и благосостояния населения, усложнение структуры потребностей и т.д. привели к расширению туристской отрасли: появлению новых направлений путешествия, увеличению количества туристских предприятий. В связи с этим возрос спрос на профессиональное туристское образование среди абитуриентов и встал ребром вопрос трудоустройства выпускников вузов.

Более того, необходимость специального туристского образования закрепляется «Положением о лицензировании туроператорской и турагент-ской деятельности». Согласно ему для руководителей и для ряда сотрудников фирмы необходимо специальное туристское образование, а также повышение квалификации не реже, чем раз в три года.

В тоже время в современном мире все большее значение приобретают знания и информация. Наблюдается устойчивый рост интереса коммерческих организаций к проблемам эффективного обучения и повышения квалификации своих сотрудников. В последнее время широкое распространение получает дистанционная форма обучения, во многом заменяющая заочную. Учитывая территориальные особенности России и возрастающие потребности качественного образования в регионах, дистанционное обучение быстро развивается и занимает важное место в сфере образовательной деятельности.

Динамичное развитие информационных технологий и сети Интернет открывает широкие возможности для образования. С помощью современных компьютеров можно визуально продемонстрировать природные явления, моделировать сложное техническое оборудование. Интернет позволяет вести обучение удаленных пользователей в режиме непрерывного взаимодействия. Автоматизация процессов обучения и проверки знаний позволяет избавиться от большого количества бумажных документов, повышает прозрачность учебного центра, облегчает координацию действий, выполняемых преподавателями, учащимися, административными сотрудниками.

Направление автоматизации образования быстро развивается. Разрабатываются новые программные комплексы различных масштабов, реализующие многочисленные функциональные требования и использующие новые научные и технологические достижения. Несмотря на большое количество доступных программных средств, существует ряд проблем, возникающих при выборе и внедрении системы управления обучением. Такими проблемами являются: разрозненность и несовместимость существующих систем и учебных материалов; жесткие требования многих систем к технологическим и аппаратным платформам, создающие проблемы переносимости и масштабируемости; сложность поддержки, изменений и расширения систем; проблемы интеграции в общее информационное пространство и технологическую инфраструктуру организации.

В работе анализируются перечисленные проблемы и предлагаются методы и технологии их решения.

Целью работы является построение модели дистанционного туристского образования и разработка технологии ее практического испытания.

Исходя из цели и темы работы, были поставлены следующие задачи:

-       рассмотреть дистанционный образовательный процесс и систему управления знаниями;

-       изучить теоретико-педагогические аспекты моделирования процесса дистанционного обучения;

-       рассмотреть формы организации учебного процесса при дистанционном обучении;

-       определить построение модели организации дистанционного образования в туристском ВУЗе;

-       дать характеристику моделей дистанционного туристского образования;

-       рассмотреть модель управления знаниями обучаемого в дистанционном онлайновом курсе;

-       определить результаты оценки качества применения технологии дистанционного обучения в образовательном процессе туристского ВУЗа;

-       обоснование внедрения разработанной модели дистанционного обучения;

-       разработать модель дистанционного обучения;

-       разработать меры по оптимизации дистанционного туристского образования с использованием инновационного подхода.

Предметом работы выступает дистанционное обучение. Объектом работы выступает туристское образование.

Глава 1. ТЕОРЕТИЧЕСКИЕ АСПЕКТЫ ПОСТРОЕНИЯ МОДЕЛИ ДИСТАНЦИОННОГО ТУРИСТСКОГО ОБРАЗОВАНИЯ


1.1 Дистанционный образовательный процесс и система управления знаниями


Система образования, основанная на усвоении знаний, передаваемых от преподавателей к студентам, перестала отвечать требованиям подготовки высококвалифицированных специалистов. Современная дидактика базируется на развитии у студентов способностей к поиску, анализу и систематизации информации. В этой связи становится актуальной проблема обучения студентов работе с информацией, так как увеличивается потребность в поиске действительно необходимых знаний во всевозрастающем потоке данных.

В последние годы всё большее развитие получает дистанционная модель образования с системой управления знаниями, включающая в себя совершенно разные составляющие: обмен знаниями; управление внешними потоками информации; обучение; структуризацию знаний в учебном заведении; совместную работу в группах; управление взаимоотношениями с представителями других образовательных систем и т. д.

В условиях широкого применения информационных технологий и всеувеличивающегося объема информации для любого учебного заведения важно предоставить обучающимся поток систематизированной информации; обеспечить сохранение и систематизацию процесса получения знания (опора на принцип наглядности в работе с информацией), надежность хранения данных, доступность для использования (простота управления), доступ к информации из любого места.

Обучение в профессиональной школе должно соответствовать форме существования некой корпорации, каждый член которой не только усваивает данные, но и вносит свой компонент в информационное поле конкретного учебного заведения. Знания содержатся не в огромных объемах бесполезной информации, а в данных, проверенных на опыте конкретных людей. В этой системе отсутствует жесткая иерархия «ученик - учитель», а есть партнерские отношения взаимной поддержки.

Главным недостатком действующей модели образования является то, что весь учебный процесс сводится к заучиванию информации, но не к развитию умения поиска знаний. Знание - это информация, которую человек пропустил через сознание, усвоил и вывел свое заключение или синтезировал новое знание. Очень часто профессиональное учебное заведение становится своего рода конвейером распространения информации, а те, кто уже получил ее, просто уходят, ничего после себя не оставляя. При такой ситуации теряется огромный запас знаний, опыта, который за время обучения приобрел учащийся, а это, в свою очередь, препятствует возможности дальнейшего обучения и развития личности, расширению горизонтов познания (рис. 1.1).

Рис. 1.1 Модель системы управления знаниями в профессиональном учебном заведении

На первый взгляд представленная система довольно проста, однако учебное заведение неизбежно столкнется с такими сложностями, как:

-       переподготовка преподавателей в рамках новой системы;

-       развитие способности студентов думать, анализировать, а не заучивать информацию;

-       формирование потребности у преподавателей и студентов обмениваться знаниями, тем самым способствуя обогащению общего информационного поля учебного заведения;

-       выработка у преподавателей и учеников творческого начала в контексте рождения нового знания на основе собранной информации и практического опыта.

Сущность использования системы управления знаниями заключается в обогащении знания не только благодаря анализу и структуризации теоретического материала, но и за счет обмена опытом в области его практического применения. Каждый день учащегося -это лабораторный опыт на проверку «теоретического знания». Эти знания не должны быть знаниями ради знаний, а должны быть использованы в целях обучения менее опытных студентов и обмена опытом с преподавателями.

Информация, являясь подвижной субстанцией, обладает способностью видоизменяться, перестраиваться в зависимости от доказательной базы. Если на практическом опыте доказана несостоятельность какой-то теории, то она уже нежизнеспособна. Однако при появлении нового практического опыта обучающийся переводит его в информационное поле и при поддержке партнеров (других студентов или преподавателей) отправляет в область теоретически доказанного практического знания. На основе практического знания можно вывести теоретическое, что дает возможность учебному заведению сохранять и расширять запас своего информационного пространства (рис. 1.2).

Рис. 1.2 Обмен знаниями

Система управления знаниями сложна и многогранна. В процессе ее реализации могут возникнуть трудности, связанные с обменом опытом и нежеланием им делиться. Однако представленная рабочая версия этой системы позволяет оживить обучение, повысить стойкость и мобильность знания. При этом устраняется проблема неактуального знания, которое становится балластом всей высшей школы РФ. Дистанционная модель системы управления знаниями -возможность производить взаимное непрерывное обогащение субъектов учебного процесса.

Многоуровневая система накопления/обмена знаниями состоит из следующих блоков (рис. 1.3):

-       аудитории - информация из аудиторий может поступать в общее информационное пространство как в режиме on-line, так и в режиме offline. Студент в режиме реального времени может находиться в аудитории вместе с остальной группой учащихся или просматривать видео-, аудио- и текстовой вариант лекций;

-       лаборатории, семинары, процесс обмена опытом - более сложный элемент накопления знания, связанный с обменом информацией. Причем этот обмен может происходить как внутри Сети (конференция через skype, чаты, форумы), так и на конференциях в самом учебном заведении, транслируемых в Интернете, в процессе проведения которых можно задавать вопросы докладчику;

-       офис, информация с практики - наиболее важный способ получения практических знаний и проверки теоретических утверждений. Здесь студент является исследователем и может делиться своими впечатлениями, взглядами, наблюдениями с другими учащимися или преподавателями, отправляя свои мысли в общее информационное пространство учебного заведения;

-       рабочий стол (оснащенный выходом в информационное пространство: дома, в офисе, в институте) - личное пространство студента для отбора нужной информации и перевода ее в разряд знания, а также для обмена опытом и общения с тьютером;

-       сетевые форумы, чаты - важнейшие дистанционные инструменты обмена знаниями и опытом (коммуникации в системе);

-       интернет-библиотека - часть информационного пространства, которое сначала наполняет тьютер и другие преподаватели, отбирая наиболее интересные экземпляры книг (публикаций, статей) для студентов. Вторичный этап накопления информации в библиотеке связан с созданием ссылок внутри конкретной цифровой книги и внесением новой литературы в информационное пространство самими студентами; I информационное пространство - связующий элемент всей системы. Оно является носителем как общей информации, так и прикладного знания. Помимо этого оно позволяет проследить процесс перерождения информации в ценный практический опыт и обратно.

Рис. 1.3 Многоуровневая система обмена знаниями

Внедрение подобной системы не отвергает традиционной модели очного обучения, а, наоборот, дополняет ее ценным опытом. Информационное пространство является общим ресурсом для всех ветвей системы, каждая из которых обогащает информационное поле своим ресурсом, благодаря чему информация становится общей. Таким образом, предоставляется возможность управлять знаниями на расстоянии. При этом любой опыт не будет потерян, а станет достоянием всех, опытом всей системы.

Данный способ обучения очень мобилен и видоизменяется при появлении новых условий как внутри учебного заведения, так и при возникновении новых факторов вне системы, находящихся в поле восприятия студентов и преподавателей. Малейший элемент будет цепной реакцией распространяться на всю систему, изменяя и корректируя ее.

Взаимозависимость - передовое понятие в новой среде дистанционного образования. Если студент интеллектуально взаимозависим, он понимает, что ему нужно соединять свои идеи с лучшими идеями других. Как взаимозависимая личность, он имеет возможность многим делиться и обладает доступом к обширным ресурсам и потенциалу других людей (рис. 1.4).

Рис. 1.4 Этапы эволюции зависимости личности

Некоторые исследователи (В.М. Лачинов, А. О. Поляков, И. Нонака и др.) подчеркивают, что взаимозависимость - это выбор, доступный только независимым людям. Зависимые люди не могут принять решение стать взаимозависимыми, они недостаточно владеют собой для этого. Ведь зачастую личные победы предшествуют общественным. Невозможно обратить это процесс вспять, как и невозможно снять урожай до того, как посеять зерна. Это - процесс «изнутри - наружу». Лишь став по-настоящему независимым, член группы обретает основу для достижения эффективной взаимозависимости.

1.2 Теоретико-педагогические аспекты моделирования процесса дистанционного обучения


Новые технологии передачи информации существенно повлияли на расширение спектра специальностей и уровней профессионального образования. Средства оперативного доступа к информации по компьютерным сетям придали качественно новые возможности дистанционному обучению, и теперь для офицеров дальних гарнизонов стало доступным гражданское образование.

Применение дистанционных технологий обучения должно обеспечиваться глубоким анализом целей обучения, дидактических возможностей и принципов новых технологий обучения, критериев эффективности дистанционного обучения и его психологических основ. Теоретико-педагогическими аспектами моделирования процесса дистанционного обучения (на примере освоения специальности среднего профессионального образования) являются:

-       подготовка высокообразованных и высококвалифицированных офицеров, способных к профессиональному росту н профессиональной мобильности в условиях информатизации общества и развития новых наукоемких технологий, обладающих общей гуманитарной и информационной культурой;

-       разностороннее развитие молодежи, формирование у нее целостного миропонимания, современного научного мировоззрения, фундаментальной практической подготовки;

-       реализация права и возможностей молодежи на получение наряду с основным профессиональным образованием другого, в том числе гуманитарного, экономического и т.д.;

-       создание необходимых организационно-педагогических, социально-экономических и морально-психологических условий для получения образования;

-       разработка и реализация учебных планов и программ, предусматривающих преемственность в содержании и технологиях профессионального образования.

Система дистанционного обучения вузов рассматривается как педагогическая система, расширяющая возможность социальной адаптации и обеспечивающая интеграцию профессионального образования.

К компонентам данной педагогической системы относятся: цели обучения (общие и частные); обучающиеся; содержание гражданского образования; дидактические процессы; педагоги, технические средства обучения и программное обеспечение; организационные формы. Все компоненты системы взаимосвязаны между собой. Изменение одного элемента системы влечет за собой изменение других, поэтому при оценке степени влияния компонентов педагогической системы на проектирование, создание и внедрение модели дистанционного обучения курсантов должны учитываться особенности каждой составляющей.

При классификации целей дистанционного обучения учитывались общие цели профессионального обучения с позиций их объективной необходимости и субъективной значимости по отношению к обучающемуся. К объективным целям отнесены овладение профессиональными знаниями, умениями и навыками по экономической специальности; подготовка к разнопрофильной практической деятельности; формирование необходимых научных и гражданских принципов для осуществления цели и т.д.

К субъективным целям отнесены развитие экономического мышления обучаемых; развитие профессионально необходимых способностей, потребностей, интересов н мотивов; развитие навыков проектирования саморазвития, самооценки и совершенствования профессионального мастерства и др. Поскольку дистанционные технологии включены в качестве технологической составляющей в педагогическую систему, то. в конечном итоге, основным принципом создания таких систем и технологий должна быть их направленность на формирование личности обучающегося.

С учетом специфики дистанционного обучения критериями отбора содержания образования являются его научность, целостность, интегратнвность. объем, глубина, доступность и формализованность знаний, их дидактические фикции, целесообразность отбора учебного материала для изучения с помощью компьютерной техники, особенности конкретного учебного предмета, соответствие реальным возможностям обучающихся.

Используемые технологии дистанционного обучения можно разделить на три большие категории:

-       неинтерактнвные (печатные материалы, аудио-, видеоносители);

-       средства компьютерного обучения (электронные учебники, компьютерное тестирование и контроль знаний, новейшие средства мультимедиа);

-       видеоконференции - развитые средства телекоммуникации по аудиоканалам. видеоканалам и компьютерным сетям; видеоматериалы -уникальное средство для дистанционного обучения практически по любой дисциплине: не требуя больших расходов на тиражирование, видеокассеты используются как наборы учебных материалов, частично заменяя традиционные лекции.

Поиск новых возможностей профессиональной социализации специалистов по туризму является важной педагогической и социальной задачей. Исходным условием ее решения является готовность получению образования. Обогащение содержания подготовки специалиста требует углубления его профессиональных функций, расширения спектра получаемой квалификации, развития способности к проектированию собственной профессиональной деятельности так. чтобы эта проекция имела непрерывный характер. Использование дистанционных технологий способствует более полному удовлетворению запросов личности в выборе образовательных материалов, обеспечивает преемственность и интеграцию гуманитарно-технических образовательных программ, более успешную адаптацию специалиста к изменяющимся социально-экономическим условиям общества.

Реализация дистанционного обучения в процессе получения разнонаправленных специальностей высшего и среднего профессионального образования является одним из вариантов модульного подхода и требует большой совместной подготовительной работы коллективов преподавателей как учебного заведения, так и среднего специального учебного заведения по отработке нормативных документов, созданию учебных планов, учебных программ и методик обучения с учетом требований государственных образовательных стандартов, а также по переподготовке преподавателей, созданию модели совместной деятельности.

1.3 Формы организации учебного процесса при дистанционном обучении


Методы и средства обучения относятся к сущностным характеристикам дидактического процесса. Они могут обеспечить достижение требуемых целей обучения, если будет в наличии необходимая для этого материально-техническая база, а преподавателю предоставят право выбора организационной стороны обучения, т.е. формы (или вида) занятий. Образовательный же процесс при дистанционном обучении состоит, как правило, из последовательно чередующихся периодов контактного и неконтактного времени. Длительность их различна. В некоторых случаях контактный период в процессе обучения может вообще отсутствовать.

В педагогической практике выработались такие хорошо известные формы обучения, как лекции, семинары, лабораторные занятия, контрольные работы, курсовые работы, зачеты, экзамены, консультации, самостоятельная работа и др.. Все они имеют место с определенной спецификой и в системе дистанционного обучения, как в контактный, так и в неконтактный периоды обучения.

Дадим некоторые характеристики перечисленных канонических форм обучения при их использовании в системе дистанционного обучения, подразумевая их, поэтому, и как формы дистанционного обучения.

Лекции. Они являются одними из важнейших форм учебных занятий и составляют основу теоретической подготовки обучаемых. Цель - дать систематизированные основы научных знаний по дисциплине, раскрыть проблематику, состояние и перспектива прогресса в конкретной области науки и технике, сконцентрировать внимание на наиболее сложных и узловых вопросах. Лекции должны стимулировать активную познавательную деятельность обучаемых, способствовать формированию творческого мышления.

В методическом отношении лекция представляет собой систематическое проблемное изложение учебного материала, какого-либо вопроса, темы, раздела, предмета. Систематический курс лекций, в котором последовательно излагается материал по учебной программе, включает, традиционно, вводные, установочные, ординарные, обзорные и заключительные лекции. В дистанционном обучении особое значение имеют установочные лекции.

Общие требования к лекции в системе дистанционного обучения сохраняются. Это научность, доступность, единство формы и содержания, органическую связь с другими видами учебных занятий. Вполне удовлетворяется и требование эмоциональности изложения, оно достигается в аудио- и видеовариантах, и даже в «электронных лекциях», представленных в виде текстовых файлов, с помощью специальных знаков.

Лекции в дистанционном обучении могут проводиться в реальном и нереальном времени, фронтально и индивидуально. Для фронтального проведения лекции применяется телевидение. Компьютерные видеоконференции могут использоваться для индивидуального варианта проведения занятий, а при наличии проекционной техники - для проектирования изображения с монитора компьютера на экран - и для фронтального варианта.

Подходы к проведению лекций в системе дистанционного обучения разнообразны. Более целесообразно, на наш взгляд, применение текстовых вариантов лекций («электронных лекций»).

Терминологически понятие «электронная лекция» трактуется в научно-педагогической литературе по- разному. Например, И.В.Бочарников считает, что это - программная поддержка традиционной лекции, позволяющая слушателям не конспектировать ее в процессе проведения в компьютерном классе, т.к. на экранах дисплеев высвечиваются тезисы. Кроме того, программное обеспечение позволяет проводить в конце лекции контроль усвоения, понимания учебного материала, отношение к нему и другие функции.

Другие специалисты включают в это понятие иной смысл. Это - набор учебных материалов в электронном виде. Содержание его включает в себя, кроме собственно текста лекций, еще дополнительные материалы - выдержки из научных статей, других учебных пособий и т.д., оформленные в виде текстовых файлов.

Для того, чтобы оценить значимость таких подходов, целесообразно привести некоторые недостатки т.н. классического проведения лекции. Уяснение содержания учебного материала в процессе лекции происходит путем слушания сообщений преподавателя, сопровождаемой демонстрациями плакатов, схем, натурных образцов или моделей, записями на доске. Устное сообщение разворачивается во времени, когда студент либо занят фиксацией его без предварительной обработки и понимания, либо пытается сначала понять и обработать, а затем кратко зафиксировать. В первом случае много времени уходит на малополезную запись текста под диктовку, вслед за речью преподавателя, звучащей в нормальном темпе и понятном изложении. Часто бывает и наоборот: и темп ускоренный, и речь не вразумительна. Во втором случае, осуществляется активная работа внемлющего по пониманию, но порой невозможна качественная или детальная фиксация содержания лекции. Ни темп, ни ритм речи не поддается, как правило, коррекции со стороны обучаемого. Понимание и уяснение содержания учебного материала из устных сообщений лектора является всегда сложным делом.

Текстовая же лекция имеет следующие преимущества. У слушателя есть возможность многократного обращения к непонятным при чтении местам, чередования чтения с обдумыванием, анализом. Кроме того, в тексте легче увидеть общую структуру содержания. Вопросы, остающиеся у слушателя после уяснения содержания текстового материала, как правило, более глубоки по постановке, принципиальны по сути, содержательны по форме, поскольку возникают в результате серьезной проработки материала и его осмыслении. Единственно, что мы теряем при этом, так это положительные психологические моменты общения с лектором (если он действительно хороший, и они - моменты - имеются).

Первая встреча с материалом в письменной форме, а не непосредственно из сообщения преподавателя, все же предпочтительней (хотя это не совпадает со стихийно сложившейся традицией обучения взрослых). При этом наибольший дидактический эффект дает вариант, когда после этого следует консультация, проводимая, например, по электронной почте. Сторонниками этого варианта являются также Д.В.Чернилевский и О.К.Филатов.

Семинары. Они являются активной формой учебных занятий и широко используются при преподавании всех учебных дисциплин. Семинары строятся, как правило на основе живого творческого обсуждения, товарищеской дискуссии по рассматриваемой тематике. В действительности, как указывают многие педагоги, основной недостаток семинарских занятий в настоящее время заключается в пассивности слушателей, в создании видимости активности путем предварительного распределения вопросов и выступлений, в отсутствии подлинно творческой дискуссии.

Семинары могут проводиться в дистанционном обучении с помощью компьютерных видео- и телеконференций. В педагогическом аспекте видеовариант ничем не отличается от традиционных, так как участники процесса видят друг друга на экранах мониторов компьютера. К видеоконференциям, как показывает опыт при проведении семинаров с использованием видеоконференцсвязи, например, в российско-финской академии «ТЕЛЕВАЙЗ», надо привыкать. Наблюдается некоторая задержка изображения на экране при движении участников, сказывается некоторая необычность интерьера, начиненного аппаратурой, отвлечение внимания и др.

Семинары, проводимые с помощью телеконференций (т.е. при письменном, невербальном общении) могут называться виртуальными семинарами, так как его участники не видят друг друга, а обмениваются только текстовыми сообщениями. Семинар проходит в нереальном масштабе времени и при этом преподаватель может оценить активность каждого слушателя. Если конференция не модерируема (управляема), то каждый участник видит на экране все неотселектированные тексты вопросов и ответов всех других участников семинара.

Консультации. Это - одна из форм руководства работой слушателей и оказания ему помощи в самостоятельном изучении учебного материала. Консультации могут быть индивидуальные и групповые. В ходе консультации проявляются индивидуальные свойства слушателя как личности (его интеллектуальные, моральные качества, а особенно характеристики психики и сознания обучаемого: внимание, память, воображение и мышление).

В системе дистаницонного обучения используются в основном консультации с применением средств НИТ: телефона, электронной почты, видео- и телеконференций. Выбор средств НИТ определятся имеющимся составом аппаратно-программного оборудования на рабочих местах студента и преподавателя. Наиболее часто используется телефон и электронная почта.

Лабораторные работы. Этот вид занятий имеет значение в большей мере для технических специальностей. Осуществлять их можно, когда требуется удаленный доступ по компьютерным сетям к лабораторным установкам или центральному компьютеру, моделирующему эксперимент или когда необходимо произвести доставку портативного лабораторного практикума «на дом».

Исследования этих направлений показали, что предпочтительным по дидактическим и экономическим соображениям является первое направление (в рамках концепции дистанционного лабораторного практикума), которое позволяет решить значительную часть проблем при проведении лабораторных работ в дистанционном обеспечении.

Контрольные мероприятия. Контроль в образовательном процессе заключается в проверке хода и результатов теоретического и практического усвоения слушателями учебного материала. Оценка знаний, умений и навыков, полученных в процессе дистанционного обучения, приобретает особое значение в виду отсутствия непосредственного контакта обучающегося и педагога. Повышается роль и значение объективных и многокритериальных форм контроля качества знаний. Особенностью контроля в системе дистанционного обучения является необходимость дополнительной реализации функций идентификации личности обучающегося для исключения возможности фальсификации обучения.

Качество усвоения студентами учебного материала в системе дистанционного обучения, так же как и в традиционном процессе, можно характеризовать по уровням усвоения:

. Уровень представления,

. Уровень воспроизведения,

. Уровень умений и навыков,

. Уровень творчества.

В системе дистанционного обучения используются следующие виды контроля: экзамены, контрольные работы, зачеты, курсовые и дипломные работы. В дистанционном обучении широкое распространение получил тестовый контроль как для самопроверки, так и для проведения итогового контроля (в Центре или вне его под наблюдением тьютора).

Организацию контроля при реализации технологий дистанционного обучения можно представить в следующем виде (рис. 1.5):

Рис. 1.5 Варианты организации контроля в системе дистанционного обучения

Целесообразны два типа контроля: регламентный контроль и самоконтроль. При регламентных формах контроля целесообразно организовывать непрерывную связь в виде входного, текущего и выходного контроля. Результаты входного контроля, дают возможность осуществлять управление процессом обучения, так как по ним определяются подходы к организации индивидуального процесса обучения. Они учитываются как при планировании процесса обучения, так и в ходе его, как инструмент текущего и выходного (рубежного) самоконтроля.

Самоконтроль осуществляется обучающимся как с помощью компьютерных обучающих систем, так и элементарными приемами, путем ответов на контрольные вопросы или тесты по разделам учебной программы.

В дистанционном обучении находят распространение т.н. проектно-коммуникационные методы оценки знаний и умений обучающихся, которые дают возмжноть преподавателям лучше узнать учащихся, детально проверить уровень их подготовки. Эти методы во многом субъективны, основаны на прямом личном контакте всех участников дистанционного обучения. Среди многообразия методов оценки подготовки студентов можно выделить:

-       написание реферата по заданной теме (индивидуально, в паре с другим студентом или в составе группы, работающей по одному проекту;

-       референтную оценку работы другого слушателя, изучающего ту же тему;

-       личное интервью с преподавателем (в синхронном или асинхронном режиме);

-       оценку работы слушателя «равным по положению», т.е. другим студентом, работающим в одной учебной группе;

-       самооценку работы студента.

Все перечисленные методы организации контроля учебной деятельности хорошо реализуются в условиях телекоммуникационной сети. Причем не только с помощью наиболее современных синхронных видеоконференций, проходящих в реальном времени и требующих немалых материальных затрат на свою организацию, но и с помощью простых и дешевых телеконференций.

Для проведения оперативного промежуточного контроля при дистанционном обучении целесообразно использовать анкеты, рассылаемые по электронной почте в определенные сроки.

Самостоятельная работа. Это - общеизвестная регламентная форма при традиционном варианте. Но она является основной при дистанционном обучении. При этом используются все описанные выше средства обучения.

Самостоятельная работа обучающихся может быть индивидуальной, парной и групповой. С положительной стороны показала себя организация групп взаимопомощи. Для эффективной учебы обучаемый должен владеть методами планирования и организации самостоятельной работы с учебным материалом, навыками самообразования.

Рабочие места обучающихся, где происходит процесс ДО, в зависимости от финансовых и материальных возможностей, можно разбить на три класса:

- на рабочем месте отсутствуют средства новых информационных технологий;- имеется в наличии магнитофон и (или) видеомагнитофон;- имеется компьютер с возможностью выхода в компьютерные сети.

Многие проблемы аппаратно-технической поддержки образовательного процесса в дистанционном обучении, в случае отсутствия СНИТ у обучаемого при его самостоятельной работе, должны решаться в учебно-консультационных пунктах (филиалы, партнеры) или в пунктах удаленного доступа, территориальных пунктах доступа к системем дистанционного обучения, в виртуальных (терминальных) представительствах, в ИНТЕРНЕТ-кафе различных региональных провайдеров (при сетевом обучении).

При проведении дистанционного обучения используются так называемые "методы активного обучения". (Отметим, что это очень неудачное - с позиции классической педагогики - использование понятия «метод»). К ним относятся различные способы активизации учебно-познавательной деятельности обучаемых, а также и некоторые педагогические приемы и специальные формы проведения занятий.

Эти методы способствуют формированию положительных качеств обучающихся:

-       способность быстро адаптироваться в группе, занятой решением общей для всех задачи;

-       умение устанавливать личные контакты, обмениваться информацией и формировать необходимые мнения ,точки зрения, правильно распределять и организовывать работу;

-       умение преодолевать сопротивление окружающих, предупреждать столкновения и разногласия;

-       умение анализировать и оценивать свои действия и прочее.

Известными в традиционном обучении методами, которые могут успешно использоваться и в дистанционном обучении, являются: занятие "Анализ конкретной ситуации", тематические занятия ("Деловая поездка", "Выездной семинар"), занятие "Круглый стол", тьюториалы.

Методы активного обучения могут использоваться в контактный и в неконтактный периоды обучения. В последнем случае, они реализуются при применении компьютерных сетей, аудио- видео и компьютерных средств. Особенно эффективным оказывается применение сети ИНТЕРНЕТ.

Средства НИТ представляют столь необычные возможности для повышения эффективности учебного процесса при работе в заочном (неконтактном) периоде, что можно говорить о появлении новых нерегламентированных, нетрадиционных форм учебных занятий, например, кооперативного обучения (метода проектов, метода учебных или треннинговых фирм). Так, под методом «проектов» понимается совместная учебно-познавательная, творческая или игровая деятельность обучающихся, организованная на основе компьютерной телекоммуникации, имеющая общую цель, согласованные методы, способы, направленные на достижение общего результата. При проведении занятий по методу проектов обучающиеся приобретают знания и умения в процессе планирования и выполнения практических заданий. Метод основывается на теоретической концепции прагматичной педагогики, провозгласившей "обучение посредством делания". Возникнув в США во второй половине XIX века, метод широко использовался в России в 20-30-х годах. В настоящее время дидактические возможности компьютерных сетей позволили возродить это направление. Оно же позволяет реализовать и такой метод обучения, как исследовательский.

При использовании сетевого обучения находят применение такие формы, как:

-       тематические образовательные проекты;

-       сетевые олимпиады и конкурсы;

-       сетевые консультации и видеолектории;

-       сетевые тематические конференции.

Основным вопросом при оценке эффективности применения тех или иных форм дистанционного обучения становится молоисследованные психолого-педагогические проблемы общения преподавателей и студентов, а также воспитательные аспекты, которые являются важным элементом образования, наряду с обучением.

дистанционный обучение туристский инновационный

1.4 Построение модели организации дистанционного образования в туристском ВУЗе


Кардинальное реформирование российского общества, сопровождаемое радикальными изменениями во всех сферах жизни, специфика информационного общества и переход к нему, констатированный в Концепции российского образования, требуют обновления всех социальных институтов и систем, в том числе и образования.

Процесс интеграции педагогической науки и практики с современными информационными технологиями является одной из характерных черт современной ситуации в системе образования. Их взаимодействие и взаимопроникновение повлекло за собой качественные изменения образовательного пространства. Развитие информатизации приводит к тому, что система высшего образования претерпевает существенные изменения.

В процессе движения к информационному обществу в образовании стали применять такие понятия, как открытое образование, электронное обучение (E-education), виртуальное образование; а также, благодаря новым технологиям, получила путевку в жизнь идея непрерывного образования, образования через всю жизнь. Все эти идеи и образовательные инновации, перенесенные в плоскость практической реализации, стали все чаще объединяться одним термином - дистанционное образование, которое подчеркивало одну их общую особенность: возможность обучаться без непосредственного контакта с преподавателем.

Существенным достижением дистанционного образования является предельная индивидуализация учебного процесса, реализация индивидуальных особенностей обучаемых, а дистанционные технологии, способствующие индивидуализации обучения, «в большей степени поддерживают мотивацию у студентов к учебному процессу, поскольку пассивное потребление знаний превращается в активное самостоятельное обучение, которое направлено на формирование индивидуального стиля каждого студента».

Научные основы дистанционного обучения разрабатываются представителями разных наук, что привело к созданию определенного теоретического базиса для разработки технологических, психолого-педагогических, методических оснований для внедрения данного вида обучения в широкую практику работы вузов. В тоже время, проблема разработки педагогической модели дистанционного обучения в туристском вузе, целесообразно объединяющей положительный опыт обучения в высшей школе и современные достижения в области информатизации образования, не получила теоретической и практической завершенности.

В данной публикации мы остановимся на некоторых концептуальных положениях, сформулированных и разработанных автором настоящей статьи при изучении проблемы моделирования дистанционного образовательного процесса в Нижегородском государственном лингвистическом университете и имеющих теоретическое и практическое значение для моделирования дистанционного образовательного процесса в условиях туристского вуза.

Построение модели дистанционного образовательного процесса базируется на общетеоретических основах моделирования, в соответствии с которыми были определены следующие характеристики модели как педагогического объекта:

-       модель должна включать такие компоненты, которые непосредственно и однозначно (положительно) влияют на качество учебного процесса;

-       модель должна иметь такую структуру, которая достаточно легко диагностируется и контролируется на всех стадиях ее реализации;

-       модель должна обеспечивать не только контроль осуществления образовательного процесса, но и возможность активного вмешательства с целью внесения корректив в данный процесс.

Модель, в соответствии с научно-педагогической традицией, представляется сложной системой, описанной посредством раскрытия ее структурных элементов, включающих: целевую, содержательную, функциональную, организационную, оценочную подсистемы.

Целевая подсистема - отражает цель образовательного процесса в рамках модели дистанционного образовательного процесса. Такой интегральной целью выступает личность каждого субъекта образовательного процесса туристского вуза. Определяя данную цель, мы учитываем тот факт, что всякая педагогическая модель не является самодостаточным объектом, а нуждается в некоем внешнем по отношению к ней обосновании. В связи с этим целевой компонент модели определяется следующими факторами:

-       социальным «заказом» на высокое качество образования и личность, обладающую востребованными в современных условиях интеллектуальными и иными качествами, позволяющими ей осуществлять социальное взаимодействие (а именно - образовательную коммуникацию);

-       субъектно-личностными информационно-коммуникативными потребностями участников образовательного процесса (в первую очередь - студентов).

В рамках данной цели решаются взаимосвязанные задачи формирования и развития:

а) формирования социально и культурно обусловленных коммуникативных качеств личности, что, в свою очередь, должно способствовать развитию коммуникативного потенциала личности;

б) развитие туристского вуза как целостной образовательной системы, способной обеспечить социальный заказ и индивидуальные потребности обучающихся, предоставляя вариативные условия образования.

Содержательная подсистема - реализует названную цель и включает такие компоненты, как мотивационно-ценностный, когнитивный, креативный, рефлексивно-деятельностный. Поскольку дистанционное образование предполагает образовательное взаимодействие, базирующееся «... на основе программирования, алгоритмизации, стандартизации способов и приемов обучения или воспитания, с использованием компьютеризации и технических средств», требуется целенаправленное структурирование содержания образования. Центральным элементом содержания дистанционного образования остается Государственный образовательный стандарт соответствующей специальности. Однако, чтобы он был полноценно усвоен студентами, они должны освоить необходимые способы работы в дистанционном режиме, причем не только технологической стороной деятельности, но и смысловой, и социально-культурной, и образовательной. Таким образом, в структуру содержания мы предлагаем включить четыре дополнительных аспекта: информационный, социальный, культурологический, общеобразовательный. Соответственно, все учебно-методические материалы и пособия, предоставляемые студентам, должны содержать, наряду с программными материалами дисциплин стандарта, соответствующие указания и обучающие материалы для овладения названными аспектами учебной деятельности.

Функциональная подсистема - отражает функции модели (ценностно-смысловую, когнитивную, стимулирующую, ориентаци-онную, идентификации и персонификации, адаптационную), реализующие ее содержание. Раскрывая названные функции, поясним, что они соотносятся с коммуникативными качествами личности и направлены, в значительной мере, на их развитие:

а) ценностно-смысловая функция ориентирует педагогическую работу со студентами на создание положительной мотивации к образовательной коммуникации; обеспечение условий для осуществления потребностей в признании и самоуважении; формирование ценностного базиса отношений и взаимодействия с миром в целом, освоение ценностных ориентиров деятельности;

б)      когнитивная функция направлена на решение задачи формирования прочных знаний на основе развития когнитивных процессов (памяти, мышления, внимания и т. д.); обеспечение информационной базы развития образовательного процесса и в нем - каждой личности;

в)      стимулирующая функция обеспечивает решение задачи поощрения личностной активности студентов в образовательном процессе; создание равных для всех обучаемых условий коммуникативной деятельности и самореализации;

г)       функция идентификации и персонификации направлена на создание условий для эффективной социализации и осуществляется в виде социального обучения студентов, способствующего усвоению социальных норм и правил культуры общения в дистанционном режиме; персонификация обеспечивается условиями для индивидуальной (персональной) деятельности в соответствии с собственными (отдельными) особенностями (мышления, восприятия, отражения мира и т. д.);

д)      ориентационная функция направлена на обеспечение непрерывности развития: как образовательного процесса, так и каждого участника данного процесса посредством выдвижения новых ориентиров развития, коррекции поставленных целей, выстраивания перспектив развития (что позволяет преодолеть ограничения однозначной оценки за выполненное задание);

е)       адаптационная функция направлена на активизацию механизмов физической, психической, социальной адаптации студентов к условиям дистанционного обучения; способности не только приспосабливаться, но и преобразовывать интеллектуально-образовательную среду посредством собственной активной информационно-коммуникативной деятельности.

Организационно-методическая подсистема структурирована совокупностью форм и методов педагогической коммуникации в дистанционном образовании, обеспечивающими условия для развития образовательного процесса. Они представлены: проектными, информационными, социально-деятельностными формами, а также методами: информационно-репродуктивными, информационно-коммуникативными, проблемными, эвристическими, проективными, исследовательскими.

Оценочная подсистема включает критерии оценки эффективности реализации модели дистанционного образовательного процесса в туристском вузе. Она носит многокритериальный характер и ориентирована, во-первых, на оценку позиции и достижений личности студента как субъекта образовательной коммуникации и, во-вторых, на оценку состояния самой системы дистанционного образовательного процесса. Безусловно, важное значение при этом имеют формы и содержание входного, текущего и итогового контроля, позволяющие управлять образовательным процессом, учитывать индивидуально результаты каждого студента при планировании и последующей организации его обучения. Существенное внимание при этом должно уделяться самоконтролю студентов посредством самотестирования по разделам изучаемых дисциплин, в том числе с использованием компьютерных программ.

Результат внедрения модели видится, в целом, в системном развитии туристского вуза, а в частности, в реализации и развитии интеллектуального и коммуникативного потенциалов личности студента, а также - в формировании ее социально-культурных качеств.

Характер представленных структурных компонентов модели дистанционного образования в туристском вузе позволяет определить ее как коммуникативную модель; тем более, что обмен образовательной информацией (или образовательная коммуникация) составляет ее сущность.

Соответственно, базовые принципы построения и реализации коммуникативной модели образовательного процесса в дистанционном режиме основываются на педагогических закономерностях коммуникации и коммуникативной деятельности личности, ее развития в образовательном процессе, а также - на изучении традиционных и современных основ образовательной деятельности туристского вуза и учете социализирующей роли высшего образования в социуме. Предлагаются следующие принципы разработки и реализации коммуникативной модели дистанционного образовательного процесса в туристском вузе:

а) социально-педагогической обусловленности образовательного процесса;

б) личностноразвивающей направленности образовательной информации и коммуникации;

в) открытости образовательной системы туристского вуза.

Раскрывая указанные принципы, отметим следующее:

-       принцип социально-педагогической обусловленности образовательного процесса требует от туристского вуза обеспечить всю полноту социализирующих личность информационных контактов студента (включающих не только преподавателей, но и других субъектов дистанционного образования - ученых, товарищей, единомышленников, представителей общественных организаций и партий и проч.); активное информационное взаимодействие с помощью всех доступных дистанционных средств; при этом результаты взаимодействия должны быть полноценно представлены в конкретных, разнообразных формах (не только в виде традиционных текстов, но и в художественных текстах, визуализированных и прочих эмоционально насыщенных формах);

-       принцип личностно-развивающей направленности требует создать условия для приращения коммуникативного потенциала личности и развития имеющихся коммуникативных качеств, обеспечивая при этом осуществление личностного потенциала в целом, в том числе - способностей, потребностей, возможностей студентов в разнообразной деятельности (исследовательской, экспериментальной, информационно-репродуктивной и т. д.);

-       принцип открытости образовательной системы туристского вуза требует реализовать связи с окружающей средой посредством создания условий для осуществления многообразного социального общения студентов, направленного на высокое качество образования, а также - построить систему педагогически целесообразных форм и методов работы со студентами по реализации содержания образования, адекватного современному уровню развития культуры и информационных технологий.

Вузовская молодежь не довольствуется только формальными каналами получения знаний и умений. «Студенты высоко ценят неформальное сотрудничество с преподавателем, которое способствует более полному раскрытию потенциальных возможностей молодых людей, активному освоению социального опыта, полноценному профессиональному становлению. Именно посредством такого сотрудничества осуществляется взаимосвязь профессионализации, самореализации и социализации молодого человека». Коммуникативная модель дистанционного образования в туристском вузе является сегодня наиболее эффективной в силу того, что она позволяет студентам не только усвоить определенный круг знаний, но и способствует полноценному социальному становлению молодых людей, невзирая на отсутствие очных контактов с преподавателем. Она позволяет значительно сократить риск отрицательных последствий, неизбежных при дистанционном образовании, формализации и обезличивания учебного процесса.

Глава 2. СПЕЦИФИКА ФУНКЦИОНИРОВАНИЯ МОДЕЛЕЙ ДИСТАНЦИОННОГО ТУРИСТСКОГО ОБРАЗОВАНИЯ


2.1 Характеристика моделей дистанционного туристского образования в туристском ВУЗе


Московский филиал Российской Международной Академии Туризма РМАТ (Измайлово) - это высокий уровень преподавания профессиональных дисциплин, фундаментальная подготовка по иностранным языкам, которые изучаются в неразрывном единстве с историей и культурой народов, говорящих на этих языках. Здесь возможно выучить сразу несколько иностранных языков, увидеть мир своими глазами во время стажировок за рубежом.

После окончания Академии открывается великолепная возможность работать в крупнейших туристских фирмах, представительствах зарубежных компаний, известных российских и зарубежных гостиницах и ресторанах.

Выпускники РМАТ работают в крупнейших туристских фирмах, гостиницах и ресторанах Москвы, России, Турции, Греции, Кипра, Франции и других стран.

В 2004 году РМАТ заключила соглашение о совместной подготовке специалистов с крупнейшим университетом гостеприимства VATEL (Франция).

В 2006 году внедрен совместный проект РМАТ - Школа гостиничного и ресторанного обслуживания "IAL" в г.Серрамадзони (Италия).

В 2007 году начала работу Версальская высшая национальная школа ландшафтного проектирования и дизайна (Франция) - РМАТ.

Дистанционное обучение в РМАТ проводится по следующим направлениям:

         иностранные языки;

         туристическое страноведение;

         история;

         менеджмент туристических направлений.

В данный момент в РМАТ разработан еще один курс дистанционного обучения - это долгоживущий интерактивный мультимедиальный WWW-based курс «Business English)) (далее КУРС). Термин «долгоживущий» означает, что курс предназначен для эксплуатации в течение длительного времени, и его организация предусматривает пополняемость и модификацию учебного материала и обновление технических решений. Данный КУРС - пример учебной продукции нового поколения для обучения деловому английскому украинских индивидуалов, которые сами направляют и систематизируют свое обучение в течение своей жизни.

Деятельность создателей и провайдеров КУРСа концентрируется на достижении двоякой общей долговременной цели:

а)      обеспечить доступ к высококачественному образованию и обучению в области eBusiness English», «скроенному индивидуально» (т.е. в соответствии с индивидуальными потребностями, возможностями и др. характеристиками индивидуала - обучаемого), в любое время и в любом месте;

б)      совершенствование своей общей результативности и возможностей в процессе достижения цели а).

Рассмотрим более подробно элементы, используемые в а) - б).

Общими критериями оценки уровня зрелости создания, использования и совершенствования КУРСа служат результативность, эффективность и целостность исполнения этой деятельности (см. также о применении детализированных критериев и индикаторов качества в (ISO9004), (BNQP, 2000).

Критерии оценки уровней зрелости системы управления качеством индивидуала (обучаемого, преподавателя, разработчика КУРСа и др.) должны фокусироваться на :

-       результатах деятельности;

-       диагностике причин достижения таких результатов;

-       том, что нужно сделать, чтобы ускорить совершенствование или оптимизацию.

Ценность «скроенного индивидуально» образования и обучения, как показывают современные исследования, нельзя недооценивать.

Например, если рассматривать способности обучаемого, в частности, скорость с которой индивидуалы могут прогрессировать в период обучения, то она варьируется в зависимости от различных факторов в пределах от 3 до 7 условных единиц - даже если отбор студентов в класс осуществлялся очень тщательно. Если рассматривать потребности обучаемого, в частности, потребность в вопросах-ответах, то в среднем при обучении в классе студент задает 0.1 вопросов в час, а при индивидуальном преподавании он может ответить или затребовать ответы на 120 вопросов в час.

Ценность обучения индивидуалов по новым учебным технологиям также нельзя игнорировать - наблюдается уменьшение цены достижения учебных целей на 30-60 %, уменьшение времени достижения учебных целей (до 30%), увеличение объема знаний и умений (до 30%) при равном времени обучения.

Учебные технологии разделяются на две категории: синхронные и асинхронные.

Синхронные учебные технологии используются для обеспечения дистанционного образования, при котором студенты физически отделены от преподавателей. Синхронные технологии применяются для создания и поддержки виртуальных классов и в подавляющем большинстве базируются на телетреннинге или телеконференциях. Эти технологии, как правило, требуют, чтобы студенты собрались вместе в одно время, причем студенты и преподаватель физически расположены в разных местах.

Асинхронные учебные технологии применяются для обеспечения обучения и преподавания без требования к студентам собираться вместе в определенном месте и в определенный временной период - обучение и преподавание доступны в любое время и в любом месте. Эти технологии зависят от компьютерных и коммуникационных технологий доставки и представления учебных материалов.

Понятие дистанционного обучения включает в себя гибкую комбинацию синхронных и асинхронных учебных технологий. В настоящее время наиболее распространенными технологиями дистанционного обучения являются:

-       Интерактивное мультимедиальное обучение (Interactive Multimedia Instruction);

-       Интеллектуальные обучающие системы (Intelligent Tutoring Systems);

-       Обучение на основе Веб-технологий (Web-based Training).

Учебные технологии нового поколения - технологии, в которых комбинированно применяются указанные асинхронные учебные технологии.

На рис. 2.1 показана стартовая страница КУРСа.

Рис. 2.1 Стартовая страница.

Для достижения сформулированной общей долговременной цели создания, использования и непрерывного совершенствования КУРСа используются учебные технологии нового поколения.

2.2 Модель управления знаниями обучаемого в дистанционном онлайновом курсе «Business English» в туристском ВУЗе


Как обеспечить логичность и интуитивную понимаемость основополагающих элементов КУРСа и их взаимосвязей, а также описать их в виде простой логической модели.

Основополагающими понятиями для построения общей модели КУРСа являются следующие сущности (entities):

-       универсально именованные (by URI, URN, DOI, URL и др.) ресурсы,

-       их свойства (Properties - специальный тип ресурса), и

-       классы ресурсов и свойств .

Отметим, что согласно Stephan Korner - "люди организуют свое понимание мира в трех направлениях:

-       объекты и их атрибуты,

-       объекты и их части, и

-       взаимоотношения между различимыми классами объектов". Идентифицированы следующие типы сущностей ресурсов КУРСа :

-       Агенты (Agents - A); Персоны (Persons/Humans - H). Примеры ролей (Roles - AR) персон: обучаемый, преподаватель, менеджер, библиотекарь и др.; Организации (Organizations - O. Примеры ролей: создатель Произведений КУРСа, провайдер учебных услуг, Интернет-провайдер и др.); Инструменты (Instruments - L Например, техническое и программное обеспечение, машина и др.);

-       Свойства ресурсов (Properties - P): атрибуты ресурсов (Attributes - PA -простые свойства, имеющие значения число или строка знаков); и отношения между ресурсами: PE - отношения, порождаемые Событиями в какой-то момент времени и в каком-то месте; PS -структурные отношения (не являются результатом какого-либо События). Отметим, что Свойства ресурсов - подмножество множества ресурсов.

-       Произведения (Creations - C) - подкласс ресурсов со свойствами такими как Название, Тема, Описание, Язык. Подклассами класса Произведений согласно модели IFLA (FRBR, 1998) являются: Work -W (концептуальный замысел), Expressions - EXPM (одно или несколько Проявлений, которое существует во времени и пространстве, но не в осязаемой форме) и Manifestations - MW (Проявления в осязаемой форме). (Например, блок КУРСа - Произведение - имеет: Concepts -собственные педагогические, технические и др. спецификации и руководящие материалы, каждая из которых может иметь одну или несколько имплементаций во времени и пространстве и, наконец, каждая имплементация может иметь одну или несколько своих манифестаций в КУРСе.)

-       События (Event - E) - события, которые происходят на имеющихся ресурсах или при производстве других ресурсов. Типичными свойствами Событий являются: время (Times = TACEP), место (Places =PlACEP), Агенты, которые вносят или могут внести какой-либо вклад в Событие. В целом, События изменяют ресурсы и свойства ресурсов и обычно рассматриваются как агрегации действий (Actions).

Управление знаниями обучаемого в КУРСе охватывает следующие ресурсы знаний:

-       концептуализация (в т. ч. личная онтология) работы обучаемого со знаниями и информационными ресурсами КУРСа;

-       описание ценностей, понятий, директив поведения и других императивов обучаемого;

-       стратегии (в т.ч. индивидуальные) работы со знаниями в области eBusiness English», которые результативны в использовании и согласованы с потребностями и ожиданиями обучаемого, и соответствуют требованиям рынка труда и обучения;

-       ключевые метрики для относительно объективных измерений достижений и успеха обучаемого в изучении eBusiness English»;

-       релевантные агенты обучаемого;

-       релевантные инструменты обучаемого;

-       релевантные события (включая Дневник обучаемого);

-       информационные ресурсы обучаемого, включая описания успехов, проблем и неудач;

-       данные и информация для наблюдения, оценивания и оптимизации;

-       результаты исполнения обучения ("Портфель eBusiness English» индивидуала" и др.).

Управление знаниями обучаемого в КУРСе - установленный в КУРСе порядок (формальный, формализованный или неформальный) работы обучаемого с указанными ресурсами для систематического совершенствования процесса усвоения обучаемым учебного предмета eBusiness English».

Отметим, что согласно (BNQP, 2000), (ISO9004) подход - метод/процесс -называется систематическим если он может быть воспроизведен и использует для этого информацию (измерения, индикаторы) и, следовательно, возможно непрерывное совершенствование этого подхода.

Порядок работы обучаемого со знаниями в КУРСе устанавливается (правилами) для следующих Событий (включающих деятельность, процессы, действия и др.) КУРСа:

-       Создание знаний: потребление (усвоение) или создание новых знаний или реконструкция существующих знаний.

-       Сбережение знаний:    запоминание знаний человеком и/или сохранение их в подходящем контейнере, носителе, депозитарии.

-       Распространение/совместное использование знаний:

-       распространение знаний по цепочке, создающей ценности (value created chain), или совместное использование знаний человеком, группой, организацией, системой или более широкой аудиторией.

-       Эксплуатация знаний: использование знаний для решения частных проблем или

-       задач или овеществление знаний в продукцию, процесс, систему, практику и культуру.

-       Оценивание: идентификация фрагментов Событий (в т.ч. процессов) работы обучаемого со знаниями и преимуществ для

-       заинтересованных сторон в подходящие для измерений или тестирования интервалы времени, а также получение потока информации об этих фрагментах, их анализ и оценка. Включает запись, сбор,        анализ, обобщение и передачу релевантных данных для мониторинга и оптимизации индивидуального обучения.

-       Оптимизация: достижение систематического и непрерывного совершенствования

-       процесса индивидуального изучения учебного предмета для удовлетворения потребителей (самого обучаемого, его работодателя) и других заинтересованных сторон (родителей, педагогов).

-       Презентация:)     отчет о результатах обучения;)     интерфейс обучаемого с КУРСом.

Порядок работы обучаемого со знаниями для указанных Событий устанавливается следующим образом:

.        Согласно общей модели КУРСа каждому обучаемому назначается Произведение первого класса иерархии Произведений обучаемого -"Портфель eBusiness English» индивидуала" (далее - Портфель);

.        Назначаются Агенты Портфеля и их Роли, которые они играют в изменении Портфеля.

.        Назначаются События, которые установлены в КУРСе для данного Портфеля и ограничения (например, Times, Places, etc.).

.        Назначаются другие необходимые ресурсы - Произведения КУРСа.

.        Обучаемый может в любой момент: изменить назначения 2-4, например, ввести собственные назначения в соответствии правилами, установленными в модели КУРСа.

Портфель - коллекция печатных и/или электронных документов-записей, которую каждый индивидуал, изучающий eBusiness English», может собрать за определенный период времени и представить (например, в сертифицирующий орган) в систематизированном виде для свидетельства своей квалификации, достижений и опыта в изучении eBusiness English», включая образцы самостоятельной речевой активности.

Таким образом, общая задача управления знаниями обучаемого в КУРСе -систематическое и непрерывное совершенствование деятельности обучаемого с Портфелем, которая описывается с помощью вышеперечисленных Событий.

Отметим, что для индивидуалов РМАТ важно также, чтобы их Портфель соответствовал требованиям разрабатываемого "Европейского Языкового Портфеля (European Language Portfolio )"

На рис. 2.2 показан фрагмент блочной структуры Темы:

Рис. 2.2 Фрагмент блочной структуры Темы:

На рис. 2.3 показан экран курса, представленный фрагментом блочной структуры.

Рис.2.3 Рабочий экран. Фрагмент курса

Отметим, что для терминологического обеспечения непрерывного обучения индивидуала Terminological System of Course поддерживает следующие функции:

-       долговременная доставка словарных коллекций понятий и терминов индивидуалу с учетом его персональных предпочтений в условиях распределенной внешней среды, в частности, Интернет;

-       поддержка планирования эксплуатации словарных коллекций (определение структурированного множества учебных задач во взаимосвязи с планами их реализации и измеримыми результатами, фиксируемыми в списках понятий, изученных индивидуалом);

-       локальное изучение ( изучение определенного понятия или термина), расширение и обновление знаний об отдельном понятии, изучение примеров и т.д.);

-       интеграция локальных знаний (сравнение понятий в пределах классов, трассировка разнообразных отношений между понятиями, изучение релевантных понятий и т. д.);

-       поиск информационных фрагментов (с использованием классификаций связей фрагментов и понятий, входов в словарь и навигации по ссылкам);

-       самооценка знания коллекций структурированных понятий (терминов) определенного словаря и в целом по предмету или предметной области;

-       документирование работы со словарными коллекциями (в базах данных периода исполнения и персональных депозитариях).

2.3 Результаты оценки качества применения технологии дистанционного обучения в образовательном процессе туристского ВУЗа


Основной целью оценки эффективности и качества любой технологии обучения (ТО) является определение степени ее соответствия целям применения в образовательном процессе. Эффективность и качество ТО представляет собой иерархическую совокупность свойств. Численные значения конкретного показателя эффективности ТО зависят от выбранной системы базовых показателей, соответствующих эталонной ТО. Выбор базовых показателей и эталонной ТО должен осуществляться с учетом целевых установок оценки качества и эффективности ТО, в которых должны быть определены основные свойства и характеристики ТО, по которым производится их сравнение.

Для оценки эффективности концепции учебного процесса, организуемого с использованием технологии дистанционного обучения (ТДО), проводился педагогический эксперимент в РМАТ.

Проверка эффективности применения ТДО, в частности курса делового английского языка (КУРСа) в учебном процессе была проведена в ходе внедрения в образовательный процесс РМАТ программного обеспечения, разработанного для проведения занятий в условиях технологии дистанционного обучения.

Как уже упоминалось, дистанционное обучение в РМАТ проводится по следующим специальностям:

         иностранные языки;

         туристическое страноведение;

         история;

         менеджмент туристических направлений.

Эксперимент проводился в два этапа. Суть заключалась в том, что в экспериментальных группах вводилось обучение с использованием ПО КУРС, а в контрольных группах обучение проводилось традиционными методами (очные курсы английского языка). Остальные условия обучения, влияющие на усвоение знаний, формирование умений и навыков студентов, были одинаковыми.

Были отобраны экспериментальная учебная группа, численностью 29 человек, и контрольная, в количестве 27 человек. Общее количество слушателей составило 56 человек.

Оценка эффективности подготовки специалистов с применением ПО КУРС проводилась по следующим показателям:

-       приведенный средний уровень усвоения группы обучающихся;

-       время на подготовку специалиста по данной теме;

-       активность обучающихся на занятии;

-       стоимость обучения специалиста по данной теме.

Первый этап (1 семестр 2008-2009 учебного года) заключался в проведении контрольного эксперимента, в ходе которого был выявлен уровень сформированности знаний, навыков и умений в различных учебных группах. Был проведен анализ успеваемости по дисциплине «Деловой английский язык». На уровне первого этапа эксперимента между экспериментальной и контрольной группами статистически значимых различий нет (табл. 2.1).

Таблица 2.1

Различие по показателю среднего балла между экспериментальной и контрольной групп

№ гр.

Кол-во человек

Полученные оценки

Средний бал

Среднее квадратиче-ское отклонение



5

4

3

2



Экспериментальная

29

6

17

6

-

4,0

0,41

Контрольная

27

4

15

7

1

3,8

0,45


На основании данных, полученных в ходе первого этапа эксперимента, выявлено, что различия по среднему балу и среднему квадратическому отклонению носили незначительный характер. Это обстоятельство послужило основой для перехода ко второму этапу.

Второй этап данного эксперимента проводился во 2-м семестре 2008-2009 учебного года. Сущность эксперимента заключалась в том, что по общей программе автором данного исследования проводились раздельные занятия в двух учебных группах, из которых одна была выбрана в качестве экспериментальной, а другая - в качестве контрольной. В экспериментальную группу входило 29 студентов экспериментальной группы, в контрольную - 27 студентов контрольной группы. В течение студенты проходили обучение в соответствии с утвержденным учебным планом и учебной программой.

Уравнивающими условиями в эксперименте были:

-       цели и задачи подготовки слушателей по дисциплине «Деловой английский язык» в РМАТ;

-       контроль за подготовкой слушателей, проводимый по одним и тем же темам программы;

-       создание одинаковых условий при выполнении зачетных и контрольных мероприятий для объективного сравнения существовавшей и предлагаемой методик.

Различие в обучении состояло в том, что в контрольной учебной группе использовались традиционные методы обучения и традиционный экзамен, а в экспериментальной была применена методика персонализации образования на основе мониторинга учебного процесса с использованием ТДО.

В ходе апробации проведена оценка по следующим критериям:

.        средний балл в группе - X;

.        среднее квадратическое отклонение в группе - S.

В ходе педагогического эксперимента получены следующие данные:К = 3,78; SK = 0,128;Э = 4,24; S Э = 0,120;

По χ2- критерию между результатами контрольной и экспериментальной групп имеются статистически значимые различия по уровню значимости 0,05.

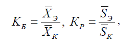
Эффективность применения методики оценки качества образовательного процесса в РМАТ на основе применения ТДО по критерию уровня знаний определяется по формулам:


где КБ - коэффициент эффективности по показателю средний балл;

КР - коэффициент эффективности по показателю среднее квадратическое отклонение.

Подставляя в формулу полученные выше числовые значения, получаем: КБ = 1,12; КР = 0,94.

Таким образом, применение методики оценки качества образовательного процесса в РМАТ на основе применения технологии дистанционного обучения на 12% увеличивает уровень знаний и на 0,06% уменьшает разброс оценок от среднего балла.

Для оценки прочности полученных знаний спустя год на следующей экзаменационной сессии был проведен повторный экзамен одновременно в обеих учебных группах. Знания студентов оценивались средним баллом и средним уровнем сохранившейся информации в экспериментальной и контрольной группах. Средний балл в группах после года обучения:


Эффективность применения методики оценки качества образовательного процесса в РМАТ на основе применения технологии дистанционного обучения по критерию прочности знаний определяется по формуле:


где Кпр - коэффициент прочности знаний.

Таким образом, применение методики оценки качества образовательного процесса в РМАТ на основе применения технологии дистанционного обучения в 1,72 раза увеличивает коэффициент прочности знаний.

Глава 3. ПРОЕКТ МОДЕЛИ ДИСТАНЦИОННОГО ТУРИСТСКОГО ОБРАЗОВАНИЯ ПО ДИСЦИПЛИНЕ ТУРОПЕРЕЙТИНГ


3.1 Обоснование внедрения дистанционного курса «Туроперейтинг»


Место Системы дистанционного образования в РМАТ, как одного из инструментов, обеспечивающих инновационный подход к образовательной деятельности, должно быть определено с учетом профильных особенностей организации учебных процессов туристского образования.

Для эффективного использования СДО необходимо определить целевую аудиторию, а также перечень учебных курсов, которые могут быть реализованы в дистанционной форме.

При анализе заинтересованных сторон и определения степени влияния на систему, можно выделить такие группы - преподавателей, методистов, студентов, заказчиков специалистов, предприятий, для которых проводятся тренинги и курсы повышения квалификации. Последние являются наиболее яркими представителями заинтересованных сторон. Именно они диктуют конкретные условия создания курсов и позволяют создать наиболее результативные и практические курсы. Однако есть угроза формирования «слишком узкого» курса, который может применяться только для конкретной целевой аудитории.

В табл. 3.1 представлена ориентировочная оценка степени влияния и активной вовлеченности в курс этих целевых групп.

Таблица 3.1

Таблица анализа заинтересованных сторон

Заинтересованная сторона

Степень влияния (0 - слабо, 1 - сильно)

Вовлеченность (0 - слабо, 1 - сильно)

1

Студенты стационара

0,2

0,2

2

Студенты вечерней формы обучения

0,1

3

Студенты заочной формы обучения

0,4

0,4

4

Взрослая аудитория (имеющая свободный доступ к сети)

0,8

0,8

5

Заказчики выпускников (взрослой аудитории)

0,4

0,4


Результаты такого анализа позволят сформулировать миссию проекта дистанционного образования небезличностно, а относительно конкретных проекций и конкретно заинтересованных сторон.

Например, миссия нашего проекта может быть сформулирована таким образом: Качественное образование путем применения новых технологий обучения.

Главная ценность проекта - студент с багажом знаний и практических умений.

Все это приведет к тому, что для построения дерева целей проекта будет сформирована миссия и ценности системы относительно конкретных проекций и точек соприкосновения с внешней и внутренней средой.

Разработка миссии, ценностей, дерева целей предприятия методично может быть разделена на такие составляющие - образ стратегии, и ее конкретная реализация. Обе составляющие требуют визуализации стратегии. Визуализация облегчает анализ логических связей целей; связь их с конкретными процессами и исполнителями.

На рис. 3.1 представлено дерево целей проекта внедрения дистанционного курса «Туроперейтинг» в нашем вузе.

Рис. 3.1 Дерево целей внедрения дистанционного курса «Туроперейтинг»

В табл. 3.2 представлены основные мероприятия, ответственные исполнители проекта внедрения дистанционного курса «Туроперейтинг», который должен стартовать в сентябре 2010 года.

Таблица 3.2

Реализации целей проекта внедрения дистанционного курса «Туроперейтинг»

Цели

Мероприятия

Ответственный исполнитель

Информированность сотрудников

Информация о создании системы дистанционного обучения

Руководство вуза рабочая группа цен-тра информационных технологий,


Создание проекта положения о дистанционном образовании в вузе

Руководство вуза, рабочая группа цен-тра информационных технологий,


Разработка проекта внедрения системы дистанционного образования в вузе

Руководство вуза, рабочая группа центра информационных технологий,

Методическая поддержка

Методический семинар «Создание ситемы дистанционного образования в вузе»

Учебно-методический отдел, рабочая группа центра информационных технологий

Техническая поддержка

Создание лаборатории дистанционного обучения

Руководство вуза, центр информационных технологий


Настройка технических параметров системы (отдельный сервер, связь между корпусами, улучшенный канал Интернет; внутренняя Интранет)

центр информационных технологий


Выбор и внедрение программной оболочки дистанционного обучения

центр информационных технологий

Техническая и методическая поддержка Создание библиотеки курсов

Создание пилотной группы преподавателей и сотрудников центра для создания первой группы дистанционных курсов

Центр информационных технологий, кафедры


Проведение обучения пилотной группы с результатом создания курсов, обучения тьюторов и консультантов для дальнейшего создания курсов на кафедрах вуза

Центр информационных технологий, учебно-методический отдел


Создание системы мотивации преподавателей

Руководство вуза


Создание системы мотивации студентов

Учебно-методический отдел, кафедры


В качестве основных целей внедрения дистанционного курса «Туроперейтинг» можно выделить следующие:

-       организация образовательного процесса, с возможностью удаленного доступа к единым образовательным ресурсам, позволяющего использование современных информационных технологий и передового педагогического опыта;

-       снижение финансовых затрат на организацию и осуществление образовательного процесса за счет дистанционного доступа к образовательным ресурсам и формирования среды информационного обмена между обучающимися и преподавателями;

-       увеличение доступности получения образования за счет организации возможности доступа к образовательным ресурсам вне зависимости от их территориального расположения;

-       рост количества обучающихся, в том числе на платной основе, увеличение выручки от предоставления подобного рода образовательных услуг.

3.2 Модель дистанционного курса туроперейтинг


Построение модели дистанционного курса «Туроперейтинг» базируется на общетеоретических основах моделирования, в соответствии с которыми были определены следующие характеристики модели как педагогического объекта:

-       модель должна включать такие компоненты, которые непосредственно и однозначно (положительно) влияют на качество учебного процесса;

-       модель должна иметь такую структуру, которая достаточно легко диагностируется и контролируется на всех стадиях ее реализации;

-       модель должна обеспечивать не только контроль осуществления образовательного процесса, но и возможность активного вмешательства с целью внесения корректив в данный процесс.

Модель, в соответствии с научно-педагогической традицией, представляется сложной системой, описанной посредством раскрытия ее структурных элементов, включающих: целевую, содержательную, функциональную, организационную, оценочную подсистемы.

Целевая подсистема - отражает цель образовательного процесса в рамках модели дистанционного образовательного процесса. Такой интегральной целью выступает личность каждого субъекта образовательного процесса вуза. Определяя данную цель, мы учитываем тот факт, что всякая педагогическая модель не является самодостаточным объектом, а нуждается в некоем внешнем по отношению к ней обосновании. В связи с этим целевой компонент модели определяется следующими факторами:

-       социальным «заказом» на высокое качество образования и личность, обладающую востребованными в современных условиях интеллектуальными и иными качествами, позволяющими ей осуществлять социальное взаимодействие (а именно - образовательную коммуникацию);

-       субъектно-личностными информационно-коммуникативными потребностями участников образовательного процесса (в первую очередь - студентов).

В рамках данной цели решаются взаимосвязанные задачи формирования и развития: а) формирования социально и культурно обусловленных коммуникативных качеств личности, что, в свою очередь, должно способствовать развитию коммуникативного потенциала личности; б) развитие вуза как целостной образовательной системы, способной обеспечить социальный заказ и индивидуальные потребности обучающихся, предоставляя вариативные условия образования.

Так, курс «Туроперейтинг» является специализированной дисциплиной и является важной составной частью комплекса профильных туристических дисциплин.

Цель дисциплины: формирование у слушателей комплекса основных понятий составляющих основу туроператорской деятельности и базовых практических навыков, необходимых для практики турбизнеса.

Задачи дисциплины: формирование представлений о цикле работ по созданию, продвижению и реализации туров, особенностях программ обслуживания разных видов туризма, специфики отношений с поставщиками услуг, туристской документации, а также организации обслуживания туристов и правовом регулировании туроперейтинга.

Ведущей задачей курса является приобретение слушателями конкретных базовых практических навыков по овладению основными приемами создания турпродукта.

Полученные теоретические знания и практические навыки слушатели развивают в процессе изучения других дисциплин программы и реализуют в активных компетентностноориентированных формах учебной деятельности.

Категория обучаемых по дисциплине - выпускники высших профильных либо непрофильных профессиональных образовательных учреждений, профильных средних профессиональных образовательных учреждений. Программа ОПО и ПК «Технология и организация туроператорских и турагентских услуг» относится к системе дополнительного профессионального образования. Обязательным требованием к слушателям является владение основными методами, способами и средствами получения, хранения, переработки информации посредством компьютера, навыком работы в глобальных компьютерных сетях.

Содержательная подсистема - реализует названную цель и включает такие компоненты, как мотивационно-ценностный, когнитивный, креативный, рефлексивно-деятельностный. Поскольку дистанционное образование предполагает образовательное взаимодействие, базирующееся «... на основе программирования, алгоритмизации, стандартизации способов и приемов обучения или воспитания, с использованием компьютеризации и технических средств», требуется целенаправленное структурирование содержания образования. Центральным элементом содержания дистанционного образования остается Государственный образовательный стандарт соответствующей специальности. Однако, чтобы он был полноценно усвоен студентами, они должны освоить необходимые способы работы в дистанционном режиме, причем не только технологической стороной деятельности, но и смысловой, и социально-культурной, и образовательной. Таким образом, в структуру содержания мы предлагаем включить четыре дополнительных аспекта: информационный, социальный, культурологический, общеобразовательный. Соответственно, все учебно-методические материалы и пособия, предоставляемые студентам, должны содержать, наряду с программными материалами дисциплин стандарта, соответствующие указания и обучающие материалы для овладения названными аспектами учебной деятельности.

Так, изучение дисциплины «Туроперейтинг» предполагает существенный акцент на компетентностноориентированном подходе, связанным с ориентацией каждой формы учебной работы на диагностируемый конкретный результат учебной деятельности.

Сфера туризма постоянно развивается, туристский продукт диверсифицируется, следовательно, формирование содержания базовых компонентов (знать/уметь, владеть) компетенций следует соотносить с актуальной ситуацией на туристском рынке в Российской Федерации и мире.

Большой акцент при прохождении дисциплины следует сделать на визуализации учебного материала (с использованием ТСО и вспомогательных учебных материалов).

Функциональная подсистема - отражает функции модели (ценностно-смысловую, когнитивную, стимулирующую, ориентационную, идентификации и персонификации, адаптационную), реализующие ее содержание. Раскрывая названные функции, поясним, что они соотносятся с коммуникативными качествами личности и направлены, в значительной мере, на их развитие:

а) ценностно-смысловая функция ориентирует педагогическую работу со студентами на создание положительной мотивации к образовательной коммуникации; обеспечение условий для осуществления потребностей в признании и самоуважении; формирование ценностного базиса отношений и взаимодействия с миром в целом, освоение ценностных ориентиров деятельности;

б)      когнитивная функция направлена на решение задачи формирования прочных знаний на основе развития когнитивных процессов (памяти, мышления, внимания и т. д.); обеспечение информационной базы развития образовательного процесса и в нем - каждой личности;

в)      стимулирующая функция обеспечивает решение задачи поощрения личностной активности студентов в образовательном процессе; создание равных для всех обучаемых условий коммуникативной деятельности и самореализации;

г)       функция идентификации и персонификации направлена на создание условий для эффективной социализации и осуществляется в виде социального обучения студентов, способствующего усвоению социальных норм и правил культуры общения в дистанционном режиме; персонификация обеспечивается условиями для индивидуальной (персональной) деятельности в соответствии с собственными (отдельными) особенностями (мышления, восприятия, отражения мира и т. д.);

д)      ориентационная функция направлена на обеспечение непрерывности развития: как образовательного процесса, так и каждого участника данного процесса посредством выдвижения новых ориентиров развития, коррекции поставленных целей, выстраивания перспектив развития (что позволяет преодолеть ограничения однозначной оценки за выполненное задание);

е)       адаптационная функция направлена на активизацию механизмов физической, психической, социальной адаптации студентов к условиям дистанционного обучения; способности не только приспосабливаться, но и преобразовывать интеллектуально-образовательную среду посредством собственной активной информационно-коммуникативной деятельности.

Так, дисциплина «Туроперейтинг» служит формированию компонентов:

) общекультурных компетенций (ОК)

ОК - 2: «Владеет основными методами организации безопасности жизнедеятельности людей, их защиты от возможных последствий аварий, катастроф, стихийных бедствий, иных ситуаций в туристской деятельности».

Сформированная компетенция означает, что слушатель должен:

Знать: методы организации и обеспечения безопасности туристов и туристской деятельности.

Уметь: разрабатывать план действий персонала турфирмы при возникновении чрезвычайных ситуаций.

Владеть: навыками обеспечения безопасности жизнедеятельности в чрезвычайных ситуациях, возникающих во время осуществления должностных обязанностей в туризме.

) профессиональные компетенции (ПК):

ПК - 1: « Готов к разработке туристских продуктов»

Сформированная компетенция означает, что слушатель должен:

Знать: сущность понятий основных понятий туроперейтинга; особенности и состав туристского продукта и его составных элементов.

Уметь: критически анализировать созданный турпродукт и составляющие его услуги; осуществлять подбор имеющихся на рынке турпродуктов по заданным существенным условиям.

Владеть: по заданным параметрам и известными существенным условиям турпродукта осуществить туроперейтинг.

Организационно-методическая подсистема структурирована совокупностью форм и методов педагогической коммуникации в дистанционном образовании, обеспечивающими условия для развития образовательного процесса. Они представлены: проектными, информационными, социально-деятельностными формами, а также методами: информационно-репродуктивными, информационно-коммуникативными, проблемными, эвристическими, проективными, исследовательскими.

Распределение объема дисциплины и видов учебной работы для дистанционного курса «Туроперейтинг» представлен в табл. 3.3.

Таблица 3.3

Распределение объема дисциплины и видов учебной работы

Виды занятий и контроля

Дистанционный курс

Всего часов

8

Лекции

4

Практические занятия

4

Тест, контрольная работа

+


Распределение трудоемкости дисциплины и видов учебной работы для дистанционного курса «Туроперейтинг» представлен в табл. 3.4.

Таблица 3.4

Наименование тем

Дистанционный курс



Лекции

Практические занятия

1.

Организационные основы туристской деятельности

2


2.

Особенности и состав туристского продукта

1


3.

Особенности туристского продукта в разных видах туризма

1


4.

Анализ турпродукта и составляющих его услуг


1

5.

Подбор турпродукта по заданным существенным условиям


1

6.

Опыт практического туроперейтинга


2

Аттестация

Тест, контрольная работа


Содержание дисциплины (курса) представлено в табл. 3.5.

Таблица 3.5

Содержание дисциплины (курса)

№ п/п

Тема

Содержание темы

Вид занятий

1.

Организационные основы туристской деятельности

Организационные основы туристской индустрии, структуры туристской отрасли, видов и технологии организации деятельности туроператоров, турагентов и контрагентов туристской деятельности,

Лекция

2.

Особенности и состав туристского продукта

Особенностей и состава туристского продукта и его элементов: определение турпродукта согласно российскому законодательству; основные поставщики услуг в туризме; терминология.

Лекция

3.

Особенности туристского продукта в разных видах туризма

Особенностей организации туристской деятельности в России во внутреннем, въездном и выездном туризме.

Лекция

3.

Анализ турпродукта и составляющих его услуг

Критический анализи созданный турпродукта и составляющих его услуг по имеющемуся алгоритму.

Практическое занятие

4.

Подбор турпродукта по заданным существенным условиям.

Поиск имеющихся на рынке турпродуктов в соответствии с целями и особенностями запросов потребителей туруслуг.

Практическое занятие

5.

Опыт практического туроперейтинга

Создание по заданным параметрам и известными существенным условиям турпродукта.

Практическое занятие


Оценочная подсистема включает критерии оценки эффективности реализации модели дистанционного образовательного процесса в вузе. Она носит многокритериальный характер и ориентирована, во-первых, на оценку позиции и достижений личности студента как субъекта образовательной коммуникации и, во-вторых, на оценку состояния самой системы дистанционного образовательного процесса. Безусловно, важное значение при этом имеют формы и содержание входного, текущего и итогового контроля, позволяющие управлять образовательным процессом, учитывать индивидуально результаты каждого студента при планировании и последующей организации его обучения. Существенное внимание при этом должно уделяться самоконтролю студентов посредством самотестирования по разделам изучаемых дисциплин, в том числе с использованием компьютерных программ.

Так, цель промежуточных (поэтапных) испытаний в дистанционном курсе «Туроперейтинг» заключается в определении успешности освоения слушателями программы опережающего профессионального обучения.

Задачами промежуточных испытаний является завершение изучения обязательной позиции учебного плана и демонстрация фактического уровня приобретенных теоретических знаний, практических умений и навыков.

Промежуточная аттестация предусмотрена по дисциплине «Туроперейтинга» в форме контрольной работы. Тематика контрольных работ и методические указания к ее выполнению определяются учебной и рабочей программой по дисциплине «Туроперейтинг» для различных специальностей.

Цель итоговой аттестации заключается в завершении процесса освоения слушателями программы дисциплины опережающего профессионального обучения и повышения квалификации «Технология и организация туроператорских и турагентских услуг».

Итоговая аттестация является обязательным компонентом программы, определяющим уровень и качество подготовки слушателя с учетом общих требований к знаниям и умениям по дисциплине «Туроперейтинг».

Итоговая аттестация проводится в форме тестов, которые ставят своей целью оценить теоретические знания, практические умения и навыки, приобретенные слушателем в процессе освоения дисциплины.

Результат внедрения модели видится, в целом, в системном развитии вуза, а в частности, в реализации и развитии интеллектуального и коммуникативного потенциалов личности студента, а также - в формировании ее социально-культурных качеств.

Характер представленных структурных компонентов модели дистанционного образования в вузе позволяет определить ее как коммуникативную модель; тем более, что обмен образовательной информацией (или образовательная коммуникация) составляет ее сущность.

Соответственно, базовые принципы построения и реализации коммуникативной модели образовательного процесса в дистанционном режиме основываются на педагогических закономерностях коммуникации и коммуникативной деятельности личности, ее развития в образовательном процессе, а также - на изучении традиционных и современных основ образовательной деятельности вуза и учете социализирующей роли высшего образования в социуме. Мы предлагаем следующие принципы разработки и реализации коммуникативной модели дистанционного образовательного процесса в вузе: а) социально-педагогической обусловленности образовательного процесса; б) личностноразвивающей направленности образовательной информации и коммуникации; в) открытости образовательной системы вуза.

Раскрывая указанные принципы, отметим следующее:

-       принцип социально-педагогической обусловленности образовательного процесса требует от вуза обеспечить всю полноту социализирующих личность информационных контактов студента (включающих не только преподавателей, но и других субъектов дистанционного образования - ученых, товарищей, единомышленников, представителей общественных организаций и партий и проч.); активное информационное взаимодействие с помощью всех доступных дистанционных средств; при этом результаты взаимодействия должны быть полноценно представлены в конкретных, разнообразных формах (не только в виде традиционных текстов, но и в художественных текстах, визуализированных и прочих эмоционально насыщенных формах);

-       принцип личностно-развивающей направленности требует создать условия для приращения коммуникативного потенциала личности и развития имеющихся коммуникативных качеств, обеспечивая при этом осуществление личностного потенциала в целом, в том числе - способностей, потребностей, возможностей студентов в разнообразной деятельности (исследовательской, экспериментальной, информационно-репродуктивной и т. д.);

-       принцип открытости образовательной системы вуза требует реализовать связи с окружающей средой посредством создания условий для осуществления многообразного социального общения студентов, направленного на высокое качество образования, а также - построить систему педагогически целесообразных форм и методов работы со студентами по реализации содержания образования, адекватного современному уровню развития культуры и информационных технологий.

Вузовская молодежь не довольствуется только формальными каналами получения знаний и умений. «Студенты высоко ценят неформальное сотрудничество с преподавателем, которое способствует более полному раскрытию потенциальных возможностей молодых людей, активному освоению социального опыта, полноценному профессиональному становлению. Именно посредством такого сотрудничества осуществляется взаимосвязь профессионализации, самореализации и социализации молодого человека». Коммуникативная модель дистанционного образования в вузе является сегодня наиболее эффективной в силу того, что она позволяет студентам не только усвоить определенный круг знаний, но и способствует полноценному социальному становлению молодых людей, невзирая на отсутствие очных контактов с преподавателем. Она позволяет значительно сократить риск отрицательных последствий, неизбежных при дистанционном образовании, формализации и обезличивания учебного процесса.

3.3 Оптимизация дистанционного туристского образования с использованием инновационного подхода


Основная цель, сформулированная в стратегии России в сфере образования, -это обеспечение условий для удовлетворения потребностей граждан, общества и рынка труда в качественном образовании путем создания новых институциональных механизмов регулирования в сфере образования, обновления структуры и содержания образования, развития фундаментальности и практической направленности образовательных программ, формирования системы непрерывного образования.

Совершенствование содержания и технологий образования, как одна из стратегических задач требующих решения, среди прочего подразумевает внедрение новых образовательных технологий и принципов организации учебного процесса, обеспечивающих эффективную реализацию новых моделей и содержания непрерывного образования, в том числе с использованием современных информационных и коммуникационных технологий. Одним из существенных элементов происходящих изменений является переход от печатных форм хранения и передачи информации к электронной или цифровой.

Главное содержание идеи опережающего образования состоит в том, что перспективная система образования в качестве одной из своих приоритетных целей должна иметь задачу формирования у людей таких качеств, которые позволят им успешно адаптироваться, жить и работать в условиях наступающего будущего.

Инновационное обучение не только должно готовить к жизни, но и непосредственно включать студентов в сам жизненный процесс, что подразумевает овладение приемами саморазвития, самообразования. В процессе такого обучения студенты в полной мере развивают навыки самостоятельной, исследовательской деятельности, навыки критического мышления, они учатся общаться и работать совместно с другими.

В этих обстоятельствах информатизация образования является одним из важнейших условий успешного развития процессов информатизации общества, поскольку именно в сфере образования подготавливаются и воспитываются те люди, которые не только формируют новую информационную среду, но которым также предстоит самим жить и работать в этой новой среде.

Таким образом, процесс информатизации образования должен развиваться в следующих основных направлениях:

)        формирование системы непрерывного образования как универсальной формы деятельности, направленной на постоянное развитие личности в течение всей жизни;

)        создание единого информационного образовательного пространства;

)        активное внедрение новых средств и методов обучения, ориентированных на использование информационных технологий;

)        синтез средств и методов традиционного и компьютерного образования;

)        создание системы опережающего образования.

Согласно определению, принятому ЮНЕСКО, информационные технологии - это комплекс взаимосвязанных научных, технологических, инженерных дисциплин, изучающих методы эффективной организации труда людей, занятых обработкой и хранением информации; вычислительную технику и методы организации и взаимодействия с людьми и производственным оборудованием, их практические приложения, а также связанные со всем этим социальные, экономические и культурные проблемы.

За время, прошедшее с начала внедрения средств вычислительной техники в образование, был сформирован ряд вариантов применения информационных технологий в данной сфере:

-       использование в процессе обучения автоматизированных систем и комплексов;

-       использование экспертных систем и систем поддержки принятия решений;

-       освоение информационных технологий с ориентацией на дальнейшее применение в профессиональной деятельности;

-       использование информационных технологий в качестве дидактического средства и для моделирования различных объектов и процессов;

-       повышение творческой составляющей учебной и исследовательской деятельности.

Информационные технологии в образовании эффективно взаимодействуют с рядом педагогических технологий, такими как: «обучение в сотрудничестве», метод проектов, проблемное и разноуровневое обучение; личностно-ориентированное обучение и деятельностный подход; дистанционное обучение и открытое образование. С точки зрения педагогической практики именно информационные технологии позволяют в полной мере раскрыть педагогические, дидактические функции этих методов, реализовать заложенные в них потенциальные возможности.

Исследование вопросов применения информационных технологий в обучении как правило базируется на различных моделях и концепциях. Базируясь на конструктивистском подходе нами была предложена, так называемая, «прагматическая» образовательная модель, которая представлена на рис. 3.4. Она интернациональна и личностно-ориентирована. Концептуальными основами данной модели являются: компетентностный подход, концепции «опережающего образования» и «качества образования».

Эта образовательная модель позволяет максимально эффективно применять средства информационных и коммуникационных технологий в высшем образовании. Ее ключевыми компонентами являются: «информационные технологии обучения», «информационная компетентность», «информационная культура», «качество применения информационных технологий обучения».

Рис. 3.4 Методологическая основа применения информационных технологий в обучении в РМАТ

Предложенная модель более чутко реагирует на реальные потребности общества, педагог в ней выполняет функции тренера, руководителя группы студентов, но не основного (и тем более не единственного) носителя информации, от которого требуется новый стиль управления, новая личностная позиция, формирование нового типа аналитического и критического мышления, нового стиля коммуникативной и интеллектуальной деятельности, нового направления на совместную деятельность, совместное построение проектов и программ, которые обеспечивают функционирование и взаимосвязь всех компонентов при создании учебно-воспитательной ситуации. Учащиеся в полной мере развивают навыки самостоятельной, исследовательской деятельности, навыки критического мышления, они умеют общаться и работать совместно с другими.

Одной из новых образовательных технологий, доказавших свою несомненную эффективность и хорошо вписывающуюся в предлагаемую модель, является электронное образование, или - е-Learning. В развитых странах электронное обучение охватывает все уровни образования и широко используется не только в университетах, но также в средней школе и в организации корпоративного (послевузовского) обучения.

Разработчики технологии e-Learning считают ее новой философией образования, которая поглотит в себе все существующие формы обучения, включая также очное обучение.

Электронное образование, e-learning, можно определить как вид обучения, в котором все аспекты образовательного процесса основаны на компьютерных технологиях.

Современные электронные технологии образования позволяют: создавать и управлять контентом занятий;

-       создавать целевые группы и распространять по ним учебную информацию (расписание занятий, планы и содержимое лекций, задания);

-       проводить онлайн тесты, собирать и обрабатывать их результаты;

-       организовать коллективную работу обучающихся над заданиями.

Использование компьютерных технологий, интегрированных в электронное образование, позволяет создать единое рабочее пространство, доступное для всех участников образовательного процесса: преподавателей, студентов, администрации.

Информатизация и расширение доступности образования за счет применения информационно-коммуникативных технологий (ИКТ) являются частью общей глобализации образования, обеспечивая всем желающим возможность получения образования в течение всей жизни.

Информатизация, глобализация, непрерывность - новые мировые тенденции в развитии содержания и форм образования. Одной из новых форм организации образования, отражающих эти тенденции, явилось открытое образование. А одним из эффективных методов расширения и глобализации образовательного открытого пространства является развитие электронного обучения как важнейшей компоненты складывающейся системы открытого образования.

Очевидно, что для развития электронного обучения в РМАТ, исключительно важно создание и поддержание в актуальном состоянии мощного ресурсного центра, доступ к которому должен быть возможен для обучаемых и преподавателей в любой точке мира и России, поскольку туроператор развивает в данный момент франчайзинговую сеть и работает со множеством агентов в различных странах мира..

Центр научно-образовательных информационных ресурсов (ЦНОИР) РМАТ был спроектирован в рамках национальной задачи формирования в России информационного общества и интеграции последнего в международное путем обеспечения свободного доступа пользователей к разнообразным информационным ресурсам в режиме удаленного доступа. В частности, речь идет о следующих возможностях:

-       обеспечение доступности документов, предоставление которых читателям затруднено или ограничено (редких книг, фотоальбомов, рукописных книг, диссертаций, архивов, недоступных большинству библиотек, и т. п.);

-       обеспечение доступа к информации, существующей исключительно в электронной форме;

-       предоставление пользователям качественно новых возможностей работы с большими объемами машиночитаемых данных;

-       целенаправленное информационное обеспечение различных областей науки, культуры, образования путем создания и предоставления полнотекстовых баз данных в режиме удаленного доступа.

ЦНОИР РМАТ ориентирован на широкие круги пользователей и предназначен для решения следующих основных задач:

-       образовательной в рамках которой осуществляется поддержка как формального, так и неформального образования, путем предоставления не только учебного материала, но и необходимой дополнительной литературы в виде авторитетных монографий;

-       справочной, направленной на необходимость удовлетворения потребности в информации одноразового характера по широкому кругу знаний; основу составляют издания энциклопедического характера.

-       научной, направленной на содействие глубокому изучению темы (предмета) научными работниками и специалистами высокого уровня подготовки; для РМАТ приоритетной аудиторией являются специалисты в области общественных и гуманитарных дисциплин, информационных технологий и экономики;

Содержательная часть фонда ЦНОИР в рамках поставленной задачи включает в себя:

-       электронные текстовые эквиваленты печатных изданий - книг, журналов и других;

-       электронные образы печатных изданий или рукописных материалов, элементы которых (например, страницы, рисунки, фотографии и т. д.) представляются как целостные графические образы;

-       электронный резерв поддержки учебного процесса;

-       базы данных, отвечающие требованиям, предъявляемым к электронным изданиям;

-       новые формы публикаций - электронные объявления, материалы электронных конференций, электронные препринты, электронные сообщения и некоторые другие виды, доступные потребителям через телекоммуникационные сети;

-       специальные издания: электронные публикации, аудио- и видеоинформация.

Одним из важнейших компонентов проекта является инновационный ресурс -электронный резерв (ЭР). Под ЭР понимается подборка оцифрованных материалов по конкретной дисциплине, состав и содержание которой определяется и формируется самим преподавателем. Иными словами, в ЭР входят все те материалы, которые являются необходимыми для полноценной подготовки студентов при изучении дисциплины, в соответствии с разработанными и утвержденными учебно-методическими комплексами. Все вышеперечисленные материалы представляют собой базу данных, структурированную в разрезе образовательных программ различного уровня и могут быть использованы для поддержки системы дистанционного обучения.

Еще один важный элемент проекта - электронное издательство, основной задачей которого является продвижение работ работников и преподавателей РМАТ через Интернет как на всероссийский, так и на мировой уровень. Не секрет, что в настоящее время Интернет-ресурсы по уровню доступности и популярности превосходят все остальные варианты публикаций.

Для организации единой точки доступа к информационным ресурсам, таким как электронный каталог, коллекции оцифрованных материалов из фондов библиотеки, электронному резерву поддержки учебного процесса, электронной библиотеке, разработан информационно-образовательный портал. Доступ к порталу возможен с любого компьютера, входящего в сеть РМАТ, а также, по каналам Интернет, зарегистрированным пользователям.

Полнота и доступность - важнейшие качества информационной системы, основное назначение которой поддержка различных форм организации учебного процесса, том числе системы дистанционного обучения РМАТ.

Систему дистанционного обучения на основе электронных учебных материалов можно определить как комплекс программно-технических средств, методик и организационных мероприятий, которые позволяют обеспечить создание, хранение и доставку образовательной информации учащимся различными способами, в том числе посредством сети Интернет. Данная система также обеспечивает проверку знаний, полученных в рамках курса обучения конкретным слушателем. Дистанционное обучение дает возможность учиться в индивидуальном режиме, независимо от места и времени; получать образование непрерывно и по индивидуальной программе. Система дистанционного обучения позволяет предоставить информацию в виде лекций, семинаров, видеоматериалов, проводить тренинги и проверять усвоение информации, отслеживать посещаемость, вести статистику, проводить оценку работы по окончании занятий, накапливать результаты о пройденных курсах, проводить мониторинг уровня знаний персонала, сертификацию клиентов, получать обратную связь по вопросам эффективности обучения и т. п.

В качестве платформы для создания СДО РМАТ была выбрана система управления дистанционным обучением (СУДО) Moodle, относящаяся к категории свободно распространяемых. Ее основные возможности хорошо известны.

В РМАТ активно идет процесс внедрения этой системы в образовательный процесс. Эти работы ведутся силами сотрудников отдела разработки электронных образовательных ресурсов Центра НОИР, одной из основных задач которого является создание учебных материалов (курсов) для СДО РМАТ в тесном сотрудничестве с профессорско-преподавательским составом туристских вузов России. Необходимо упомянуть, что выбранная система e-learnig содержит весь инструментарий разработки курсов различных типов - от лекций до тестов. Кроме того, она допускает использование курсов, которые были разработаны в других авторских средах, при условии соблюдения стандарта SCORM. В качестве такой авторской среды в Центре используется програРМАТ e-Author CBT фирмы HyperMethod - IBS,.

ВЫВОДЫ


Дистанционное обучение (ДО) дает возможность учиться в индивидуальном режиме, независимо от места и времени; получать образование непрерывно и по индивидуальной программе. ДО с помощью Интернет-технологий позволяет территориально распределенным организациям и учебным заведениям решать задачи обучения, снижает необходимость в командировках и позволяет унифицировать обучение в рамках единой системы. С помощью Интернет можно пользоваться услугами удаленных экспертов, приложениями в режиме реального времени, что значительно дешевле, чем традиционные кабинетные методы обучения.

При осуществлении образовательной деятельности в глобальном масштабе важным фактором являются возможности управления и адаптации. Развитые СДО позволяют иметь постоянную обратную связь с преподавателем, в форуме в режиме онлайн обучающиеся могут общаться с другими слушателями данного курса, а также с самим преподавателем. Возможность совместной работы учащихся с приложениями для выполнения учащимися практических упражнений в виртуальном пространстве. СДО должны содержать возможности, позволяющие обучаться людям с физическими недостатками.

Дистанционное обучение необходимо в России, с ее огромными территориями, относительно невысокой плотностью населения и концентрацией образовательных ресурсов в крупных городах. С каждым годом рынок ДО становится все более востребованным, поскольку и учебные заведения, и коммерческие структуры понимают необходимость оптимизации в области подготовки кадров. Дистанционное обучение позволяет это сделать и при квалифицированном уровне его организации получить хорошие результаты.

Для РМАТ формирование системы дистанционного обучения, опирающейся на информационную поддержку ресурсного центра, является одним из основных направлений развития вуза на долгосрочную перспективу.

Дистанционное обучение в РМАТ проводится по следующим направлениям:

         иностранные языки;

         туристическое страноведение;

         история;

         менеджмент туристических направлений.

В данный момент в РМАТ разработан еще один курс дистанционного обучения - это долгоживущий интерактивный мультимедиальный WWW-based курс «Business English)) (далее КУРС). Термин «долгоживущий» означает, что курс предназначен для эксплуатации в течение длительного времени, и его организация предусматривает пополняемость и модификацию учебного материала и обновление технических решений. Данный КУРС - пример учебной продукции нового поколения для обучения деловому английскому украинских индивидуалов, которые сами направляют и систематизируют свое обучение в течение своей жизни.

Деятельность создателей и провайдеров КУРСа концентрируется на достижении двоякой общей долговременной цели:

а)      обеспечить доступ к высококачественному образованию и обучению в области eBusiness English», «скроенному индивидуально» (т.е. в соответствии с индивидуальными потребностями, возможностями и др. характеристиками индивидуала - обучаемого), в любое время и в любом месте;

б)      совершенствование своей общей результативности и возможностей в процессе достижения цели а).

Применение методики оценки качества образовательного процесса в РМАТ на основе применения технологии дистанционного обучения в 1,72 раза увеличивает коэффициент прочности знаний.

Место Системы дистанционного образования в РМАТ, как одного из инструментов, обеспечивающих инновационный подход к образовательной деятельности, должно быть определено с учетом профильных особенностей организации учебных процессов туристского образования.

Для эффективного использования СДО необходимо определить целевую аудиторию, а также перечень учебных курсов, которые могут быть реализованы в дистанционной форме.

В качестве основных целей внедрения дистанционного курса «Туроперейтинг» можно выделить следующие:

-       организация образовательного процесса, с возможностью удаленного доступа к единым образовательным ресурсам, позволяющего использование современных информационных технологий и передового педагогического опыта;

-       снижение финансовых затрат на организацию и осуществление образовательного процесса за счет дистанционного доступа к образовательным ресурсам и формирования среды информационного обмена между обучающимися и преподавателями;

-       увеличение доступности получения образования за счет организации возможности доступа к образовательным ресурсам вне зависимости от их территориального расположения;

-       рост количества обучающихся, в том числе на платной основе, увеличение выручки от предоставления подобного рода образовательных услуг.

Построение модели дистанционного курса «Туроперейтинг» базируется на общетеоретических основах моделирования, в соответствии с которыми были определены следующие характеристики модели как педагогического объекта:

-       модель должна включать такие компоненты, которые непосредственно и однозначно (положительно) влияют на качество учебного процесса;

-       модель должна иметь такую структуру, которая достаточно легко диагностируется и контролируется на всех стадиях ее реализации;

-       модель должна обеспечивать не только контроль осуществления образовательного процесса, но и возможность активного вмешательства с целью внесения корректив в данный процесс.

Модель, в соответствии с научно-педагогической традицией, представляется сложной системой, описанной посредством раскрытия ее структурных элементов, включающих: целевую, содержательную, функциональную, организационную, оценочную подсистемы.

Очевидно, что для развития электронного обучения в РМАТ, исключительно важно создание и поддержание в актуальном состоянии мощного ресурсного центра, доступ к которому должен быть возможен для обучаемых и преподавателей в любой точке мира и России, поскольку туроператор развивает в данный момент франчайзинговую сеть и работает со множеством агентов в различных странах мира..

Центр научно-образовательных информационных ресурсов (ЦНОИР) РМАТ был спроектирован в рамках национальной задачи формирования в России информационного общества и интеграции последнего в международное путем обеспечения свободного доступа пользователей к разнообразным информационным ресурсам в режиме удаленного доступа.

Высококачественная и эффективная работа Центра научно-образовательных информационных ресурсов - один из ключевых факторов успешного решения университетом задачи совершенствования системы подготовки и переподготовки педагогических.

СПИСОК ИСПОЛЬЗОВАННОЙ ЛИТЕРАТУРЫ


1.      Андреев А.А. Совершенствование подготовки военных специалистов на основе СДО России. Итоговый отчет по НИР. Шифр «Дидактика-Центр».-М.: ВУ, 2007 г. с.28

.        Арбузов Ю.В. и др. Новое в концепции: дистанционный лабораторный практикум. //Проблемы информатизации ВШ №1-2, 2007.

.        Ардовская Р.В. Проблемы теории и практики подготовки современного специалиста: меж-вуз. сб. науч. тр. 2006. № 4

.        Буклан С. Нужен ли турфирме выпускник туристического вуза? // Туризм: практика, проблемы, перспективы. 2009. № 11. С. 13-14.

.        Давыдова Л.П. Организация самостоятельной работы студентов заочников. М., 2005, 212 с.

.        Егоров Я. С. Технологические особенности современ-ных систем дистанционного обучения // Процессы и методы обработки информации: Сб.ст./Моск.физ.-тех. ин-т. - М., 2006. - С. 133-138.

.        Егоров Я. С.. Построение модели учебного объекта в системе управления обучением. // Информационные технологии моделирования и управления, 2007, № 41 - С. 792-797.

.        Егоров Я. С.. Проектирование образовательных объек-тов в рамках системы дистанционного обучения. // Электронный журнал «Исследовано в России», № 10, 2007, С. 1471-1477.

.        Емельянов В.В., Ясиновский С.И. Введение в интеллектуальное имитационное моделирование сложных дискретных систем и процессов. Язык РДО. - М.: АНВИК, 2008.

.        Исаева Т.Е. // Педагогика. 2006. № 9

.        Карпов А.О. // Инновации в образовании. 2009. № 6.

.        Лабзина О. Туристское образование в России: необходимость или обязанность? // Туризм: практика, проблемы, перспективы. 2009. № 3. С. 36.

.        Лернер И.Я. Дидактические основы методов обучения. - М.: Педагогика, 2010 г.

.        Организация туризма / Под ред. Н. И. Кабушкина, А. П. Дуровича. Минск, 2009. С. 172-173.

.        Полат Е.С., М.В Моисеева, А.Е. Петров, М.Ю. Бухаркина, Ю.В. Аксенов, Т.Ф. Горбунькова Дистанционное обучение М.: ВЛАДОС, 2008, 192с

.        Пучкова Л. Высшая школа и турбизнес // Турбизнес. 2010. № 2. С. 23.

.        Спрос на туристское образование растет // Рос. тур. газ. 2009. № 8. С. 2.

.        Старов М.И., Чванова М.С., Вислобокова М.В. Психолого педагогические проблемы общения при ДО. // Дистанционное образование , №2, 2009.

.        Трифонов В.В. Учебный процесс и его методическое обеспечение. -М.: 2008-262с.

.        Федулин А. Дискуссия // Турбизнес. 2008. № 16. С. 51

.        Филатов О.К. Информатизация современных технологий обучения в ВШ._ Ростов: ТОО Мираж, 2008, с.213

.        Филатов О.К. Информатизация современных технологий обучения в ВШ._ Ростов: ТОО Мираж, 2008, с.213

.        Чернилевский Д.В., Филатов О.К. Технологии обучения в ВШ.-М: Экспедитор, 2006, с.288

.        http://www.informika.ru/text/goscom/dokum/doc00/686.html

Похожие работы на - Проект модели дистанционного туристского образования и технологии её практического использования

 

Не нашли материал для своей работы?
Поможем написать уникальную работу
Без плагиата!
Без нейросетей!