Жизненный цикл проекта: фазы, стадии, этапы

  • Вид работы:
    Дипломная (ВКР)
  • Предмет:
    Строительство
  • Язык:
    Русский
    ,
    Формат файла:
    MS Word
    1,07 Мб
  • Опубликовано:
    2016-01-04
Вы можете узнать стоимость помощи в написании студенческой работы.
Помощь в написании работы, которую точно примут!

Жизненный цикл проекта: фазы, стадии, этапы

МОСКОВСКИЙ ФИНАНСОВО-ПРОМЫШЛЕННЫЙ УНИВЕРСИТЕТ «СИНЕРГИЯ»

Факультет Экономики и Управления


 

 

 

 

 

БАКАЛАВРСКАЯ работа

На тему “Жизненный цикл проекта: Фазы, стадии, этапы”


Студент

Романовский Артем Константинович

Руководитель

Хабаров Владимир Иванович






МОСКВА 2015 г.

Содержание

Введение

Глава 1. Теоретические основы управления проектом по жизненному циклу

.1 Понятие жизненного цикла проекта

1.2 Жизненный цикл проекта и его основные фазы, стадии, этапы

.3 Управление проектом по фазам, стадиям и этапам жизненного цикла

Глава 2. Анализ управления проектом по жизненному циклу на примере компании

2.1 Общая характеристика деятельности предприятия

.2 Концептуальный план проекта

.3 Анализ управления проектом на прединвестиционной фазе

.4 Анализ управления проектом на инвестиционной фазе

.5 Анализ управления проектом на завершающей фазе

.6 Сетевое моделирование

Заключение

Список использованной литературы

Приложение

Введение

На данный момент стабильность и эффективность современных организаций, во многом зависит от умения работать в сфере Управления проектами.

Управление проектами - это одно из главных оружий организации, поэтому логично, что чем больше организаций в определенной отрасли внедряют или улучшат опыт управления проектами, тем производительней и конкурентоспособной будет отрасль и организация в целом. Профессиональное управление жизненным циклом проекта является показателем верного направления стратегического развития организации в соответствии с ее возможностями.

Жизненный цикл проекта очень важен в процессе Управления проектами. Насколько лучше и эффективнее устроен процесс управления по всем стадиям жизненного цикла проекта, тем и лучше будет судьба проекта. Проект характеризуется особыми целями, способами организации, ценностями и отношениями с окружением. В связи с временным характером проекта большое значение приобретают процессы его запуска и завершения.

Актуальность исследования вызвана необходимостью очень аккуратного и глубокого анализа жизненного цикла и практической значимостью в деятельности предприятия. На данный момент любая компания, перед тем как приступить к реализации своих действий, занимается проектным планированием, совершает каждый шаг предприятия в соответствии с четко поставленным планом, профессиональное управление проектным циклом является очень актуальным и важным вопросом в современных условиях работы предприятий в любой сфере.

В течение многих лет выработалась новая научная дисциплина- управление проектами “project management”. Это новая и интересная сфера, в которой определенно стоит разобраться и активно внедрять и разрабатывать новые идеи и внедрять их в производство.

Объектом исследования: является проект по постройке коттеджа “ЯХРОМА”

Предмет изучения: Жизненный цикл проекта его фазы, стадии, этапы

Цель бакалаврской работы: заключается в исследовании жизненного цикла проекта его фаз, стадий и этапов, а так же дальнейшее его рассмотрение на примере создания проекта постройке коттеджа “Яхрома”.

В соответствии с поставленной целью выделены следующие задачи:

1.Исследовать Понятие жизненного цикла проекта и фазы, стадии, этапы жизненного цикла

2. Исследовать управление проектом по фазам, стадиям и этапам жизненного цикла

3.Разработать Концептуальный план проекта

4.Анализ управления проектом на прединвестиционной фазе

5.Анализ управления проектом на инвестиционной фазе

6.Анализ управления проектом на завершающей фазе

7.Сетевое моделирование

Информационной базой данной работы послужили теоретические исследования в сфере проектного менеджмента, а именно, труды отечественных и зарубежных авторов, таких как: И.И. Мазур, В.В. Володин, А. А. Дульзон, В.Д. Шапиро, Н.Г. Ольдерогге, Димитриев Д.М., Димитриева З.М., Рыбаков М.Ю. и других.

В работе были использованы следующие методы исследования:

метод анализа литературы, анализ на прединвестиционной фазе, анализ на инвестиционной фазе, анализ на завершающей фазе, анализ экономико-статистических данных по показателям рассматриваемой компании. метод структуризации проекта, анализ и моделирование, также анализ графических моделей.

Глава 1. Теоретические основы управления проектом по жизненному циклу

1.1 Понятие жизненного цикла проекта

Перед тем как приступить к исследованию основных характеристик и наиболее важных компонентов жизненного цикла проекта как основной темы изучения работы, необходимо остановится на понятии проект, что - это такое? Что оно означает, и что в себя включает, а главное что вообще представляет собой проект.

В управлении проектами используется несколько различных концепций понятия “проект”.

Проект - комплекс взаимосвязанных мероприятий, предназначенных для достижения, в течение заданного периода времени и при установленном бюджете, поставленных задач с четко определенными целями.

Проект- Комплекс взаимосвязанных мероприятий направленные, на создание уникального продукта или услуги временных или ресурсных ограничений.

А.М. Покровский в своей работе «Основы управления проектами» определяет проект как комплексное, не повторяющееся мероприятие, ограниченное по времени, бюджету, ресурсам, направленное на реализацию запланированных действий. Основной целью проекта является создание конечного продукта.

Признаки проекта:

·        Наличие целей;

·        Наличие изменений;

·        Ограниченность во времени;

·        Замкнутость;

·        Специфичность организации.

Процесс выполнения любого проекта проходит во времени и представляет собой ряд следующих друг за другом стадий. Полная их совокупность и составляет жизненный цикл проекта. Нет возможности говорить об универсальном жизненном цикле в силу того, что все проекты различны, и его специфика будет определяться условиями каждого конкретного проекта.

Понятие жизненного цикла проекта - одно из наиболее важных моментов управления проектами.

Жизненный цикл проекта - это набор, как правило, последовательных и иногда перекрывающихся фаз проекта, названия и количество которых определяются потребностями в управлении и контроле организации или организаций, вовлеченных в проект, характером самого проекта и его прикладной областью.

Жизненный цикл может документироваться с помощью методологии. Жизненный цикл проекта может определяться или формироваться уникальными аспектами организации, отрасли промышленности или используемой технологии. Поскольку каждый проект имеет определенное начало и конец, конкретные результаты и действия, имеющие место в этом промежутке, широко варьируются для каждого проекта. Жизненный цикл обеспечивает базовую структуру для управления проектом, независимо от включенных в него конкретных работ.

Важнейшим элементом жизненного цикла проекта являются участники проекта. Участники проекта - это основной элемент его структуры, который обеспечивает реализацию замысла проекта.

. Главный участник - это Заказчик, т.е. будущий владелец и пользователь самого проекта. Им может быть физическое или юридическое лицо, а также организации, объединившие свои интересы и капиталы;

. Инвестор - это сторона, вкладывающая денежные средства в проект;

. Проектировщик - разработчик проектно-сметной документации;

. Поставщик - материально-техническое обеспечение проекта;

. Подрядчик - юридическое лицо, несущее ответственность за выполнение работ в соответствии с контрактами;

. Консультант;

. Руководство проектом - это обычно проект-менеджер, т.е. юридическое лицо, которому заказчик делегирует полномочия по руководству работами по проекту (планирование, контроль и координация работ участников проекта);

. Команда проекта - это организационная структура, возглавляемая проект- менеджером и создаваемая на период осуществления проекта с целью эффективного достижения его целей;

. Лицензиар - это юридическое или физическое лицо, обладатель лицензий и ноу-хау, которые используются в проекте;

Уровень затрат и численность задействованного персонала невелики в начале, увеличиваются по ходу выполнения проекта и быстро падают на завершающем этапе проекта. Эти изменения показаны на рис. 1

Характеристики жизненного цикла проекта

Проекты различаются по размеру и сложности. Независимо от размеров и степени сложности, все проекты могут быть представлены в виде жизненного цикла со следующей структурой (см. рис.1):

• начало проекта;

• организация и подготовка;

• выполнение работ проекта;

• завершение проекта.

Рис.1.Типовые уровни затрат и обеспечения проекта персоналом на протяжении жизненного цикла проекта

Обобщенная структура жизненного цикла, как правило, отображает следующие характеристики:

• Стоимость и вовлечение персонала в проект невелики в начале, достигают пикового значения по мере выполнения работ и стремительно падают на этапе завершения проекта. Пунктирная линия на рис.1 отображает данный типовой пример.

• Влияние заинтересованных сторон проекта, риск и неопределенность (как показано на рис.2) имеют наибольшие значения в начале проекта. Эти факторы уменьшаются по ходу проекта.

• Способность влиять на конечные характеристики продукта, проекта.

На рис. 2 отражена идея, что стоимость изменений и коррекции ошибок, как правило, существенно возрастает по мере приближения к завершению проекта

Рис. 2. влияние переменной, основанной на сроках проекта

В отрывке данной структуры жизненного цикла менеджер проекта может определить необходимость более результативного наблюдения и контроля над промежуточными результатами.

Традиционные и нетрадиционные проекты.

Существует множество категорий и видов проекта такие как: Монопроект, мультипроект, Инновационный проект, Инвеcтеционный проект и так далее.

Кроме выше перечисленных можно выделить отдельную группу проектов, которые называются нетрадиционные проекты.

Такое условное понятие как “Традиционный проект” подразумевают под собой повторяемость, т.е. основные характеристики этого предприятия совпадают, хотя каждый проект такого вида уникален. Например, строительная компания, каждый раз создает новейшие проекты, но такие процессы как формирование документации, само строительство, выплата зарплат, инвестиционные бумаги, сдача проекта, все это не является чем-то новым для участников проекта.

Но нетрадиционный проект, наоборот, является совершенно новым событием для участников проекта и предполагает очень высокую степень неопределенности. Нетрадиционные проекты это появление непредвиденной ситуации (произошедшей не по воли организации или руководства) требующей немедленного и обдуманного вмешательства. Но необходимо запомнить, что такого рода ситуации не всегда несут за собой негативные действия, но и позитивные (например неожиданно выявившиеся дополнительные возможности для проекта).

Итак, ключевой причиной возникновения нетрадиционных проектов является появление ситуации, не ожидаемой ранее и требующей быстрого реагирования. Традиционные проекты упреждаются серьезными исследованиями, анализом и технико-экономическим обоснованием.

Появление не предвиденной ситуации не зависит от воли руководства, поэтому нетрадиционные проект не является чем-то искусственно созданным, цели и задачи навязывают организации извне и что самое важное это необходим очень быстрого решения, а это меняет и сам подход к проекту. Потребность незамедлительного реагирования на данную ситуацию, как правило, вынуждает руководство создать специальную команду управления проектом, которую наделяют особыми полномочиями. Сравнение основных характеристик традиционных и нетрадиционных проектов представлено в таблице

Таблица 1. Сравнительные характеристики традиционных и нетрадиционных проектов.

Традиционные проекты

Нетрадиционные проекты

Разрабатываются для достижения стратегических целей высшего руководства. · Четко определены цели, задачи, издержки, сроки выполнения работ, качество конечного результата. Интенсивность использования ресурсов соответствует традиционному распределению. Руководство проектом осуществляется в рамках существующей корпоративной системы. Управление проектом функционирует в рамках господствующей корпоративной культуры.

Стратегические цели навязываются высшему руководству извне. Цели, задачи, издержки, сроки выполнения работ, качество конечного результата формируются на протяжении жизненного цикла проекта. Интенсивность использования ресурсов не соответствует традиционному распределению. Руководство проектом осуществляется извне существующей корпоративной системы. Управление проектом формирует уникальную культуру проекта.


В традиционных проектах жизненный цикл принято разбивать на отдельные фазы, распределенные по времени последовательно. А в нетрадиционных проекта часто встречается совмещение во времени.

В этом случае может возникнуть ситуация, когда проект уже начал реализовываться и расходуются определенные ресурсы, но, при этом, продолжают уточняться и корректироваться стратегические предпосылки.

А) Жизненный цикл традиционных проектов:


Б) Жизненный цикл нетрадиционных проектов:

Рис 3. Особенности жизненного цикла традиционных и нетрадиционных проектов

1.2 Жизненный цикл проекта и его основные фазы, стадии, этапы

Жизненный цикл проекта- промежуток времени между моментом появления проекта и моментом его ликвидации. Проект в процессе своего развития переживает определенные этапы, характерные для большинства проектов. Совокупность этих этапов принято называть фазами жизненного цикла проекта.

Фазы проектного цикла

Состояние, через которое проходит проект, называют фазами (этапами, стадиями) См. рис. 5

При классическом разбиении ЖЦП состоит из четырех последовательных фаз

Рис.4 Четырехфазный жизненный цикл проекта.

Рис.5. Фазы жизненного цикла.

Можно выделить 4 фазы жизненного цикла проекта:

Фаза 1- предынвестиционные исследования;

Фаза 2- инвестирование;

Фаза 3- эксплуатация проекта;

Фаза 4- послеинвестиционные исследования.

Несмотря на то, что многие проекты могут иметь схожие названия фаз со схожими результатами, лишь немногие из них идентичны. Некоторые проекты состоят всего из одной фазы, как показано на рис.6 В других проектах может содержаться множество фаз. На рис.7 показан пример проекта с тремя фазами. Разные фазы, как правило, имеют различную продолжительность или длину.

Рис.6 пример однофазного проекта

Рис. 7. пример трехфазного проекта

Не существует единого способа для определения идеальной структуры проекта. Несмотря на общепринятую отраслевую практику стремления к использованию предпочтительной структуры, проекты в одной и той же отрасли могут существенно отличаться друг от друга. Некоторые организации вводят правила, стандартизирующие все проекты, тогда как другие позволяют команде управления проектом выбирать наиболее подходящий вариант для каждого конкретного проекта.

Процессы и стадии - два различных аспекта проекта. Проект может быть разделен на взаимозависимые процессы и на стадии проектирования. Стадии проектирования - это средства планирования и контроля выполнения целей и оценки риска соответствующих опасных событий.

Процессы проектирования- это обязательные действия, необходимые для управления проектом, а также для разработки проекта.

Стадии жизненного цикла проекта могут различаться в зависимости от сферы действий, в которой рождается проект и принятых средств организации работ. Но у каждого проекта можно выделить начальную стадию, стадию реализации проекта и стадию завершения работ проета.

Классическим является разбиение проекта на четыре крупных этапа:

·        формулирование проекта,

·        планирование,

·        осуществление,

·        завершение.

Нельзя переоценить или недооценить такое значение как управление проектным циклом.

Проектный цикл способствует оптимизации прилагаемых усилий, позволяет определить продолжительность проекта (его начало и конец), с помощью жизненного цикла проекта формируются статьи затрат и занятости персонала проекта, проектный цикл помогает уточнить основные этапы цикла, способствует установлению контроля над процессом реализации проекта. Также на основе проектного цикла определяется структура и перечень работ по проекту.

Традиционный жизненный цикл проектного менеджмента. Он также известен как метод водопада. Стандарт PMBOK 5 именует данный метод как «Прогнозирующий жизненный цикл»

Жизненный цикл проекта имеет 5 фаз:

При моделировании по принципу ‘водопада’ работа над проектом движется линейно через ряд (рис. 8):

Рисунок 8. Водопадная модель жизненного цикла проекта

·        анализ требование (исследование среды)

·        проектирование

·        разработка и реализация подпроектов

·        проверка подпроектов

·        проверка проекта в целом

Так же другие модели жизненного цикла:

Итерационная модель

Рис 9. Итерационная модель.

предполагает разбиение жизненного цикла проекта на последовательность итераций, каждая из которых напоминает «мини-проект», включая все процессы разработки в применении к созданию меньших фрагментов функциональности, по сравнению с проектом в целом. Цель каждой итерации - получение работающей версии программной системы, включающей функциональность, определённую интегрированным содержанием всех предыдущих и текущей итерации.

Спиральная модель

Рис 10. Спиральная модель


Важно понимать, что спиральная модель является не альтернативой эволюционной модели (модели IID), а специально проработанным вариантом. К сожалению, нередко спиральную модель либо ошибочно используют как синоним эволюционной модели вообще, либо (не менее ошибочно) упоминают как совершенно самостоятельную модель наряду с IID

Отличительной особенностью спиральной модели является специальное внимание, уделяемое рискам, влияющим на организацию жизненного цикла, и контрольным точкам. Боэм формулирует 10 наиболее распространённых (по приоритетам) рисков:.

1.3 Управление проектом по фазам, стадиям и этапам жизненного цикла

Проект-это уникальный набор процессов, состоящих из координированных и управляемых задач с начальной и конечной датами, предпринятых для достижения цели.

Проект - это временное предприятие, предназначенное для создания уникальных продуктов, услуг или результатов.

Временный характер проекта означает, что у любого проекта есть определенное начало и завершение. Завершение наступает, когда достигнуты цели проекта;

или признано, что цели проекта не будут или не могут быть достигнуты;

или исчезла необходимость в проекте.

В результате проекта может получиться:

• продукт, представляющий собой элемент другого изделия или конечное изделие;

• способность предоставлять услуги (например, бизнес-функции, поддерживающие производство или дистрибуцию); или

• результаты, такие как последствия или документы (например, исследовательский проект производит данные, которые можно использовать для определения наличия тенденции или пользы какого-либо нового процесса для общества).

Управление проектами - это приложение знаний, навыков, инструментов и методов к работам проекта. Управление проектами выполняется с помощью применения и интеграции логически сгруппированных 42 процессов управления проектами, объединенных в 5 групп процессов. Эти 5 групп процессов следующие:

• инициация;

• планирование;

• исполнение;

• мониторинг и управление;

• завершение.

Далее рассмотри методы Жизненно цикла проекта Метод "Стрелочная диаграмма. Особенности метода

Очень популярный метод сетевого планирования. В его основе лежит метод критического пути и метод оценки и пересмотра планов (PERT), в котором для отображения тех или иных действий или ситуаций используются сетевые модели, простейшие из которых - сетевые графики. Так же, в тех же целях используются и диаграммы Гантта.

Рис 11. Стрелочная диаграмма

Диаграммы Гантта имеют свою терминологию. Операции называются работами. Каждому действию или операции присваивается порядковый номер, за ним следует название работы, а в строках, соответствующих операциям, отмечаются: момент начала каждой из них, время проведения и момент окончания.

Рис. 12 Диаграмма Ганта

А так же график работа-вершина

Сетевые диаграммы отображают сетевую модель в графическом виде как множество вершин, соответствующих работам, связанных линиями, представляющими взаимосвязи между работами. График называемый «вершина-работа» или диаграммой предшествования-следования, является наиболее популярным представлением сети

Рис.13 Сетевая диаграмма вершина работа

Изучая теоретическую часть, я обнаружил, что многие проекты для повышения эффективности должны, делится на фазы. Необходимо знать каждую фазу и грамотно располагать их на протяжении всего цикла. Несмотря на то, что многие проекты могут иметь схожие названия фаз со схожими результатами, лишь немногие из них идентичны. Некоторые проекты состоят всего из одной фазы. В других проектах может содержаться множество фаз.

Также же мы разобрались, в чем отличие традиционных и нетрадиционных проектах. В традиционных проектах жизненный цикл принято разбивать на отдельные фазы, распределенные по времени последовательно. В то время как в нетрадиционных проектах часто встречается совмещение во времени.

В данной главе мы близко познакомились с понятием Жизненный цикл проекта. Мы разобрались, что значит, проект и какое влияние на него оказывает жизненный цикл и все процессы, происходящие в нем. Пришли к выводу, что сделать проект по какой-то одной системе не возможно их множество, и некоторые из них мы рассмотрели.

Способность команды проекта быстро адаптироваться и подобрать конкретную структуру жизненного цикла позволит организации быстро наладить производство и прийти к правильному решению создании продукта.

Глава 2. Анализ управления проектом по жизненному циклу (на примере проекта строительства жилого дома “Яхрома”)

2.1 Общая характеристика деятельности предприятия “HouseМастер”

“Зодчество» по-настоящему отвечает за качество домов. Компания владеет производством полного цикла и контролирует весь процесс: от лесозаготовки до монтажа дома на участке.

«HouseМастер» - старейший и самый опытный производитель на рынке деревянного домостроения. За 23 года работы компанией было построено более 202 000 домов и бань

История компании началась в 1992 году, тогда и была основана компания, ставшая прародительницей “ HouseМастер ”. В этом году и был построен первый коттеджный поселок класса люкс. Однако основная задача, поставленная перед «HouseМастер», была и остается - строительство домов и бань для массового потребителя. С каждым годом Компания развивается и разрабатывает новые эффективные действия в постройке домов например как: Разработка и внедрение нового эффективного профиля и углового соединения Лабиринт. 2014 год - введение 20-летней гарантии. Гарантийные сроки, установленные «HouseМастер» на материал собственного производства - стали его новым конкурентным преимуществом. «HouseМастер» первым в России установил на клееный брус собственного производства гарантию до 20 лет. Это еще один прорыв на российском рынке и с точки зрения ответственности перед потребителями, с точки зрения культуры ведения бизнеса.

2015:Увеличение гарантийного строка на 180-й клееный брус до 23 лет, расширение ассортиментного ряда коттеджей и типовых домов, модернизация дачных домов... И это только начало года, история продолжается...

“HouseМастер” - это стабильная и энергично развивающаяся строительная компания. Мы предлагаем обширный спектр услуг таких как: строительство, ремонт, реставрация, реконструкция, отделочные работы и многое другое.

Наша первостепенная задача - выстраивание долгосрочных взаимоотношений с нашими Клиентами. Благодаря такому направлению в работе компании мы добились высоких показателей в строительном бизнесе. Мы можем предложить лучшее сочетание таких немаловажных факторов как: цена, качество и сроки.

Приоритет компании - открытость взаимоотношений с клиентом. Мы стремимся к налаживанию долгосрочных и дружеских отношений с нашими заказчиками, которые, нередко, дают рекомендации о нашей компании своим знакомым и друзьям.

Главный принцип работы нашей компании - надежность, в самом широком смысле этого слова. Следуя ему на каждом этапе любого проекта, неукоснительно соблюдая оговоренные сроки, компания обеспечила себе безупречную репутацию среди строительных организаций Москвы и Подмосковья.

Разработана стратегия и миссия компании. Основной целью работы было определено формирование рынка профессионального дачного домостроения. И «Зодчий» предложил своим покупателям новый революционный подход: «Без предоплаты, качественно, с гарантией». Введение системы постоплаты (заказчик платит за работы после их завершения) стало качественным скачком, давшим возможность не только отстроиться от конкурентов, занять лидерскую позицию и завоевать доверие покупателей, но и задать новую планку всему строительному сообществу.

Результаты развития компании по приоритетным направлениям его деятельности.

Финансовые показатели Компании в динамике (в млн.руб.) По итогам деятельности Компании за 2014 г. получены следующие финансовые результаты по РСБУ:

Валюта баланса составила - ______12 754 231_____ тыс. руб.

Чистые активы на 31 декабря 2014 года составили ____2 567 896____ тыс. руб. (превышают уставный капитал в __5,8_ раза).

Чистые активы целиком и полностью обеспечивают ликвидность Компании.

Оборотные активы (включая запасы, дебиторскую задолженность и остатки денежных средств на счетах) составили - 11 000 750 тыс. руб., долгосрочные и краткосрочные обязательства по балансу составляют - _9 785 365_ тыс. руб.

Оборотные активы полностью обеспечивают погашение обязательств Компании.

Резервный капитал (фонд) сформирован согласно установленного законодательством в сумме 15 796 тыс. руб. и составляет 5% от размера уставного капитала Компании. Показатели выполнения бизнес-плана за 2014 год выполнены в полном объеме и составили: выручка от продаж - 14 765 134 тыс. руб.,

балансовая прибыль - 2 036 171 тыс. руб.,

чистая прибыль - 1 713 078 тыс. руб.

Задолженность перед бюджетом и внебюджетными фондами текущая. Недоимки по платежам нет.

Таблица 2. Экономическая Отчетность

Показатель

2012 (в млн. руб)

2013 (в млн. руб)

2014 (в млн.руб)

Выручка

9438

9596

14284

Девелопмент

1487

2075

4086

Строительство

6345

7360

9889

Промышленность

674

-

-

Прочая деятельность

264

134

309

Чистая прибыль

951

455

1734

В том числе девелопмент

22

470

1226

Рентабельность %

9.1

5.3

16.5

девелопмент

17.5

21.2

37.2

Основные параметры выполнения Бюджетов Компании с учетом дочерних организаций за 2014 год.

Показатели выполнения бизнес-плана за 2014 год превышают показатели, достигнутые в 2013 году. Рентабельность работ (норма чистой прибыли) по итогам 2014 года по бизнес-плану в целом составляет - 12%. В целом за 2012 год выручка группы компаний по РСБУ составила: _16,297_ миллиарда рублей, что на _28_% больше, чем в 2013 году, а соответственно чистая прибыль - 1933,7 млн. рублей.

Платежеспособность и устойчивость Общества характеризуют положительные финансовые показатели. На конец 2013 года коэффициент текущей ликвидности равен 1,19, коэффициент обеспеченности собственными средствами - 0,19. В целом финансовое состояние Общества в 2013 году позволило не допускать задержек выплат заработной платы и производить своевременную оплату текущих налоговых платежей и платежей во внебюджетные фонды, а также выплату дивидендов акционерам Общества. Учитывая резкие скачки цен на материальные ресурсы строительства, Обществом осуществлялся поиск путей снижения общей себестоимости работ и услуг, уменьшению расходов по содержанию основных средств, часть из которых не использовалась в производственном процессе. Крупных сделок, по совокупности проведенных за 2013 год по продаже имущества и ценных бумаг (акций дочерних обществ) не было.

В 2014 году 100% общего объема продаж компании в новых проектах пришлось на Московскую область - ключевой регион деятельности компаний. При этом основные объемы проданных объектов недвижимости, как и до кризиса, пришлись на строящееся жилье(коттеджи,поселки). В частности, это объекты в Московской области - расположенные в Ленинском районе Раменский район, пос. Островцы, г. Котельники, ЖК «Парковый», а так же объекты расположенные в г. Солнечногорске. Среднемесячный объем розничных продаж в 2014 году составил 288 млн. руб. Для сравнения, в 2013 году: 169 755 882,94 руб..

.2 Концептуальный план проекта

Резюме проекта.

Рассмотри проект “ HouseМастер ”: по постройке коттеджа ‘ЯХРОМА’

Цель проекта: Постройка двухэтажного коттеджа для семьи из 4-5 человек.

Рис 14. Яхрома

Описание продукта проекта: Все предпочтения заказчика были соблюдены.

Был подобран и куплен подходящий участок в Московской области в 45 км от Москвы и в 5 км от города Зеленоград. Территория участка соответствует всем желания заказчика. Недалеко от дома есть живописное озеро с парком, магазины, так же в 5 минутах езды на машине школа и детский сад, отличная дорога на подъезде к дому, чистый лес и 2к до железной дороге. Миниатюрный коттедж, выполненный по каркасной технологии, для обладателей миниатюрного земельного участка. Несмотря на относительно небольшие габариты, этот дом может стать для вашей семьи прекрасным центром зимнего и летнего загородного отдыха. Главная особенность коттеджа заключается в том, что в нём, не считая гостиной, столовой и кухни, расположено 3 отдельные комнаты и большая уютная терраса, а так же вместительный балкон. Это удобно для семей, состоящих из разных поколений. Находясь на совместном отдыхе, каждый может заняться своим любимым делом, никому не мешая. Коттедж подкупает и своей приятной «внешностью».Стеклянный балкон, два эркера, расположенных, с разных сторон здания, придают его облику благородство. Он прекрасно гармонирует с окружающей природой, вне зависимости от её особенностей.

Планировка

1 Этаж

Рис. 15. 1 Этаж

Вид на террасу

Рис 16. Терраса дома

Рис.17 План второго этажа

Далее идут фотографии фасада здания.

Фасады

Рис.18 Фасады Здания

Характеристики: Общая площадь: 109.0 м2

Жилая площадь: 80.00 м2

Площадь застройки: 60.18 м2

Размеры: 9.0 х 9.0 м

Технология: Каркас

Срок строительства: 74 дня

Стоимость Коттеджа:

Общая стоимость материалов -2 527 260.

Общая стоимость затрат на рабочих составляет: 327 000 руб.

Итого: 2 854 260руб.

Задача Проекта:

1.Фаза 1(Подготовительная)

1. Формирование участка

. Кадастровая съемка участка

. Разработка плана расположения объектов

.заключения контрактов с поставщиками

.Найм рабочих (составление договора).

2.Фаза 2(Инвестиционная)

Земельные работы

.        Подготовка фундамента

.        Возведение фундамента

.        Возведение стен дома и перекрытий

.        Кровельные работы

.        Фасадные работы

.        Внешние отделочные работы

.        Внутренние отделочные работы

.        Монтаж окон и дверей

.        Монтаж системы канализации

.        Монтаж водопровода

.        Монтаж вентиляции и кондиционирования

.        Монтаж электропроводов

.        Установка системы безопасности

.        Установка противопожарной системы

.        Установка видео наблюдения

.        Подготовка территории к сдаче

3.Фаза (завершающая)

1.Оформление участка

.Доработка и подготовка документов к сдаче проекта

.Подключение к электросетям.

.Завершение проекта

Рис. 19. Дерево целей проекта

Рис 20. Иерархическая структура работ проекта

Основные задачи(этапы) проекта описаны и построена иерархическая структура работ, в дальнейшем следует свести все работы и построить сетевые графики и календарный план( смотрите в разделе 2.6 Сетевые модели).

Предпосылки к реализации проекта

В проекте «ЯХРОМА» предпосылками заказчика является:

1.Покупка участка, Был подобран и куплен подходящий участок в Московской области в 45 км от Москвы и в 5 км от города Зеленоград.

. Экологически чистое место с чистым воздухом

. Хорошая дорога рядом с участком

. вблизи парковой зоны

5.Наличие 2 этажа в доме

.Строительство по технологии каркас

.Уютная терраса

.Стеклянный балкон

.Наличие камер на территории дома

.Наличие систем безопасности

Таблица 3. Смета проекта


Общая стоимость материалов - 2 527 260 руб.

Общая стоимость затрат на рабочих составляет: 327 000 руб.

Итого: 2 854 260 руб.

Все расценки изображены в таблице №2. Общая стоимость дома составит 2 854 260 рублей.

2.3 Анализ управления проектом на прединвестиционной фазе

Очень важно до принятия решения об осуществлении проекта по постройке дома ЯХРОМА» рассмотреть все условия его реализации в течении всего периода жизненного цикла.

На стадии прединвестиционной фазы имеет место параллельный вид деятельности, который частично распространяется и на следующий, инвестиционный этап. Управление на прединвестиционной фазе содержит следующие шаги:

определение инвестиционных возможностей;

Команда проекта;

контроль.

регулирование

При прединвестиционной фазы проводятся исследования по определению инвестиционных возможностей проекта, анализ альтернативных вариантов и предварительный выбор, а также подготовка проекта - предварительное обоснование.

Прединвестиционный этап проекта стартует в 2015 году.

На этом этапе был подобран земельный участок, подходящий для строительства данного проекта и подходящий всем требования заказчика. В настоящий момент на земельный участок получен кадастровый паспорт и входит в силу следующий этап капиталовложения основных работ.

В настоящее время завершены следующие работы по предварительной подготовке проекта

Формируется Команда проекта.

Руководитель проекта - занимается определением проекта, таким как составление команды проекта, строительство иерархии отношения в команде, расписывает правила проекта. Занимается планированием проекта, таким как составление календарного и финансового плана, плана управления рисками. И самой большой по времени функции управлении проектами тоже занимается руководитель проекта, оценивая прогресс- ход выполнения работ, координирования действий и т.п.

Поставщики - осуществляющие разные виды поставок на контрактной основе - материалы, оборудование, транспортные средства и др.

Бюджетный комитет - На бюджетный комитет возлагаются функции решения вопросов, связанных с формированием, согласованием, утверждением и контролем исполнения бюджета проекта.

Прораб - отвечает за отведенный участок на стройке, организует процесс ввода объекта в эксплуатацию в установленные сроки, путем выполнения плана заданий, следит за выполнением технологии производства, ведет учет выполненных работ.

Программист - отвечает за анализ, проектирование, разработку проектных решений, подготовка документации, управление реализацией.

другие работы:

·        Поиск местоположения здания;

·        Кадастровая съёмка

·        Разработка плана расположения объектов

·        Поиск поставщиков материалов

·        Набор сотрудников.

Формирование участка

Сформирован земельный участок, общей площадью 109.0 м2 удовлетворяющий всем критериям для реализации данного проекта и критериям заказчика;

Кадастровая съемка участка

Была произведена кадастровая съемка участка, с помощью нее мы получили точные сведения о земле, получили положение на местности и по системе всех координат, а так же установили границы с помощью геодезии

Разработка плана расположения объектов

Было произведено Картографическое изображение местности, которое отображает положение объекта в ландшафтно-планировочной местности. Установили связь территории участка, определенного размера с окружающей средой.

Получение разрешения на строительство

Согласование всех бумаг. Получение разрешения.

Заключения контракта с поставщиками

Для Завоза материалов на стройку

Набор рабочих

Поиск рабочих на предприятие и заключение с ними договора

Таблица 4. Матрица ответственности

О- ответственный

Н- наблюдатель

И- исполнитель

К- консультант

После формирования команды, каждому были присвоены свои индивидуальные обязанности и задачи.

Контроль и регулирование над проектом осуществляет команда проекта по мере его реализации, а так же соблюдает все пожелания и внесения изменений заказчиком.

Сводим все этапы прединвестиционной фазы:

Таблица.5 Сведение этапов


Наименование

Пред.

Прод.

FA

Формирование участка

-

5

B

Кадастровая съемка участка

-

1

C

Разработка плана расположение объектов

A,B

3

DD

Заключение контракта с поставщиками

B

2

EE

Набор рабочих

D

1


Рис.21 Сетевой график на Прединвестиционной фазе

Диаграмма Ганта для Подготовительной фазы проекта

Рис.22.Диаграмма Ганта(Фаза1)

2.4 Анализ управления проектом на инвестиционной фазе

 

Земельные работы и подготовка фундамента:

Началу проведения земельных работ предшествуют подготовительные мероприятия по геологическим исследованиям и нивелировке участка строительства. Тщательность их проведения избавит от возможных ошибок в проектировании и дополнительных расходов в процессе строительства. Кроме того, выполняется расчистка участка под застройку от деревьев и кустарников, снос при необходимости существующих строений, снятие растительного слоя земли, планирование и обустройство подъездных путей, и ограждение участка строительства. По завершении подготовительных мероприятий можно приступать непосредственно к земельным работам - разработке котлованов и траншей. Основное назначение их состоит в устройстве фундамента будущего дома, прокладке будущих коммуникаций и установке других инженерных сооружений. Земельные работы по экскаваторной выемке грунта начинаются, как правило, с низовой стороны с целью обеспечения откачки возможных грунтовых вод. Заключительным этапом земельных работ при строительстве дома является уплотнение грунта. В случае если в этом возникла необходимость, уплотнение может производиться при помощи различных катков и транспортных машин для достижения уплотняющего эффекта при укатывании. Наиболее широко при закреплении грунтов используются силикатизация и цементизация.

Возведение фундамента:

Фундамент служит непосредственно для принятия различных нагрузок от конструктивных элементов строения с последующей передачей их на грунт. Закладывать фундамент следует всегда качественно потому что ошибки, допущенные при изготовлении фундамента, приводят к непредсказуемым последствиям и к тому же их практически не возможно устранить.

Монолитная плита Ф-17Ф

Наиболее оптимальной конструкцией является единая монолитная плита с унифицированным армированием, имеющая одинаковую толщину по всей поверхности. Плиточные фундаменты сооружают в основном на проблемных грунтах, водонасыщенных и просадочных, таких как: глина, суглинок, торф. Плитные фундаменты применяются при грунтах с низкой несущей способностью, и значительных нагрузках на фундамент, когда ширина ленточного фундамента, необходимая для получения допускаемого давления на грунт, становится экономически неоправданной, а так же при необходимости уменьшения вероятности неравномерных осадок зданий и сооружений, т.к. плитный фундамент перераспределяет нагрузки на грунт таким образом, что давление на участках со слабыми грунтами снижается, при этом, дополнительно нагружаются участки с грунтами более высокой несущей способности.

Возведение стен дома и перекрытий:

Ячеистый бетон (Газобетон) в основном применяется в малоэтажном строительстве. В состав данного материала входят: известь, портландцемент и молотый кварцевый песок.

Высокопрочная ячеистая структура получается в результате пoризации формовочной массы газом. Обработка повышает прочность данного материала, уменьшая пористость. Производятся стеновые блоки строго определенных размеров. Толщина швов при кладке ячеистым бетоном не превышает 3 мм, что положительно сказывается на теплотехнических свойствах стен. Стены из ячеистого бетона не блокируют воздухообмен, как говориться они способны " дышать ". Данный материал так же обладает и хорошими шумопoглощающими свойствами. Также в строительстве будет присутствовать пенопласт. Именно эти материалы будут взяты для строительства дома. Блоки из газобетона должны быть прочностью не ниже В2 в совокупности с раствором не менее М50. Подобные рекомендации должны соблюдаться, но с предварительным просчетом нагрузки и несущей способности конструкций.

Перекрытия в частных домах из газобетона также сооружаются из древесного материала. Оба достаточно легки, благодаря чему отлично сочетаются. Древесина дает минимальную нагрузку на несущие стены из газобетона. Выбор и установку балок осуществляют с учетом следующих факторов:

§   выдержка между отдельными элементами определенное расстояние, что исключит вероятность пригибания;

§   толщина балок напрямую зависит от предполагаемой нагрузки;

§   от толщины конструкции зависят ее показатели теплоизоляции и звукоизоляции.

Кровельные работы:

Кровельные работы - это особое понятие, которое заключает в себе не только ремонт, но и устройство кровли. В любом из этих случаев целью проведения кровельных работ является приведение в хорошее состояние крыши коттеджа или загородного дома. покрытие крыши будет из керамической черепицы или металлочерепицы.

Кровля

o     Замена металлической кровли дома на металлочерепицу "Монтерей" (коричневый, красный, зеленый, графит) с устройством подкровельной вентиляции

o     Установка торцевых планок (при базовой кровле С-20) по фронтонным свесам (цвет - оцинкованный, коричневый, красный, зеленый, графит)

o     Установка п/п уплотнителя (при базовой кровле С-20) под карнизные свесы

o     Замена металлической кровли на мягкую кровлю "Шинглас" Классик Фламенко (Валенсия, Гранада, Толедо) по ОСП-9

o     Замена металлической кровли на мягкую кровлю "Шинглас" Ультра Фокстрот (Сандал) по ОСП-9

o     Замена металлической кровли на мягкую кровлю "Шинглас" Кантри (Аризона, Атланта, Онтарио) по ОСП-9

o     Замена металлической кровли на мягкую кровлю "Шинглас" Финская черепица (красный, зеленый, коричневый, серый) по ОСП-9

o     Замена металлической кровли на мягкую кровлю "Тегола" Топ Винтаж (красный, зеленый, коричневый, серый) по ОСП-9

o     Замена металлической кровли на мягкую кровлю "Тегола" Классик (зеленый с отливом, коричневый с отливом, темно-серый) по ОСП-9

o     Замена металлической кровли на мягкую кровлю "Тегола" Альпин (коричневый с отливом, синий с отливом) по ОСП-9

o     Замена металлической кровли на мягкую кровлю "Тегола" Нордик (коричневый с отливом, красный с отливом) по ОСП-9

Фасадные работы

Фасадные работы - комплекс строительных услуг, призванных улучшить внешний вид фасада здания и защитить его от воздействия окружающей среды (дождя, сухой и влажной погоды, а также вредителей и другим воздействиям). Под фасадом здания специалисты понимают не только лицевую часть объекта, но и его боковые, дворовые стороны.

Отделка здания специальными материалами, установка наличников на окна и двери, оформление крыльца и покрытия лаком деревянных мест здания.

Отделочные работы (Внешние)

В нашем случае внешней отделкой дома будет газобетон + пенопласт. Перед тем как начать укладка нужно горизонтально выровнять поверхность края фундамента с помощью уровня. Затем укладываем гидроизоляцию из двух слоев рубероида на битумной мастике, для предотвращения капиллярного подсоса влаги из несущих стен фундамента в материал несущих стен и планируется количество бетона для укладки и выкладывается газобетон + пенопласт на сухую что избежать бракованных, сколотых посмотреть, как встанет бетон в зонах окон и дверей, в углах.

После укладки газобетон + пенопласт отделываем фасад фундамента тонкослойной штукатурка. Облицовку фундамента начинают от угла коттеджа и работы ведутся справа налево. Что бы предотвратить осыпания все конструкции необходимо укрепить фундамент металлическими прутами. Так же будет клинкерная отделка внешних стен

Отделочные работы (Внутренние)

У каждой комнаты есть свой дизайн, но самым оптимальным вариантов для все комнат коттеджа будет отделка стен гипсокартонном. Одним из наилучших качеств гипсокартона это по что он влагостойки, его не сложно монтировать. Первым делом мы размечаем с помощью рулетки и карандаша, где у нас будет крепиться металлический профиль. Затем по заранее расчерченным на стенах и потолке линиям монтируем каркас из металлического профиля.

Монтаж окон и дверей

В доме будут установлены окна со ставнями. Для этого нам понадобится. уровень, дрель, рулетка, шуруповерт, пластиковая стамеска, резиновая киянка, шестигранник, монтажная пена, перчатки, анкерные болты, распорные клинья. Монтаж окна в проем производить без створок для установки рамы в правильном положении и закрепляется анкерными болтами или шурупами, затем створки окна устанавливаются обратно. В створки окон вставляются стеклопакеты и с помощью киянки устанавливаются штапики. Все створки проверяются на открытие и закрытие, если что-то мешается производиться регулировка фурнитуры при помощи шестигранника. Затем запенивается шов между рамой и проемом. После того как высохнет пена монтируются отливы и подоконник и в завершении установки окна монтируются откосы внешние и внутренние.

Монтаж дверей производиться тем же путем что монтаж окон. Производиться установка в проем дверной коробки при помощи шурупов шов между дверной коробкой и проемом запенивается, вешается сама дверь на петли и дверную коробку, и закрывается все наличником.

Монтаж системы канализации

Для отвода сточных вод из дома нам понадобиться труба размером 100мм. Уклон трубы должен составлять от 2 до 15%, что бы ни происходил засор сточных туб. Через специальные тройники изменяющие диаметр трубы подсоединяется слив унитаза, кухонной раковины, ванной, душа, стиральной машины и т.п. Затем устанавливается вентиляционная труба оснащенная на конце дефлектором, Ее устраивают с целью исключения изменений давления при протекании стоков в системе, а также осуществления ее вентиляции. Все, что было перечислено и сделано относиться к внутреннему монтажу канализации.

Установка наружной части канализации производиться той же 100мм трубой с уклоном от 2 до 15%, но перед тем как ее установить нам потребуется выкопать септик, состоящий из бетонных септических колец швы между колец промазаны, специальным раствором и дно забетонировано, находиться септик должен не ближе 15 м от питьевой воды ( колодца, скважины и т.п.). Затем мы выкапываем траншею глубиной, обеспечивающей необходимые углы для беспрепятственного слива сточных вод, а также учитывающей уровень промерзания грунта. На дно траншеи заранее укладывается небольшая подушка из песка, затем укладывается труба, швы которой тщательно промазываются и присыпают песком, затем окончательно засыпают землей.

Монтаж водопровода

Для прокладки водопровода нам понадобятся полипропиленовые трубы размером 40 для основного стояка и меньших размеров для водоснабжения бойлеров, стиральных машин, душа, и т.п. Что бы соединить полипропиленовые трубы нам понадобиться утюжок для стаивания. Распланировав, как и где у нас будут идти трубы, мы их нарезаем, соединяем уголками под определенным градусом или тройниками где это необходимо. Монтируем расширительные баки, монтируем бойлеры, монтируем насос в колодце, устанавливаем датчик давления и отключения насоса. Подводим трубы к дизельному котлу для водоснабжения отопительных радиаторов и водяного теплого пола

Монтаж вентиляции и кондиционирования

Определяем место монтажа внешнего и внутреннего блока системы кондиционера. Там где будет смонтирован внутренний блок, бурим отверстие размером 50мм с помощью дрели. Монтируем внешний и внутренний блок кондиционера, соединяя их между собой фреоновой трассой, которая состоит из медных труб обвернутых теплоизоляцией, и силовыми проводами. обрезаем лишние провода и трубки, после чего вальцуем и прикручиваем фреоновые трубки к закреплённому внешнему блоку. Следом при помощи вакуумного насоса вакуумируем фреоновую трассу. Затем открываем краны и пропускаем фреон в вакуумную систему. Проливаем дренаж и закрываем внутренний участок трассы декоративным коробом.

Монтаж электропроводов

При монтаже электропроводки необходимо установить общую мощность электрооборудования. Определяем место монтажа силового щитка, с помощью которого можно будет управлять электрооборудованием коттеджа. Осветительная аппаратура подключается к отдельным группам электропитания. Затем прокладываем электропроводку определенного сечения, которая была выбрана на этапе планирования, в силовой щиток устанавливаем автоматы определенной нагрузки, что бы при возникновении короткого замыкая автомат, отключал дом от электропитания. Так как внутренняя отделка у нас гипсокартонная все провода мы убираем под нее.

Установка системы безопасности

Способ монтажа системы безопасности не чем не отличается от монтажа видео наблюдения. Так как система тоже беспроводная, она подсоединяется к маршрутизатору, тем самым мы получаем защиту от незаконного проникновения, защиту от нападения, круглосуточную техническую поддержку, неограниченное количество выездов экипажей службы реагирования.

Установка противопожарной системы

Система пожаротушения устанавливается на потолке каждой комнаты с подключение к главному модулю, с помощью которого возможно отключение системы или на оборот включение. Главный модулю при получении данных о задымлении вызывает экипаж пожарной бригады. Закрывабтся контракты рассчитываются пригады доделки

Установка Видеонаблюдения

Покупка широкоформатных видеокамер(число видеокамер 5 штук) и дальнейшая их установка по всему периметру дома.

Монтаж камеры видеонаблюдения. Установка видеорегистратора. Подключение монитора.

Подготовка Территории к сдаче

Завершение заключительных работ, очистка территории.

При строительстве домов площадью более 80 кв. м - все модели серии «Балчуг», коттеджи «Яхрома», «Канадец», «Карелия», «Коломенец», «Ветлуга» и «Эдем», а также бани серии «Ладога» - первый взнос в размере 40% от общей стоимости дома, указанной в договоре, производится после возведения фундамента. Второй - когда закончен монтаж стен и кровли. Это еще 40%. Окончательный расчет осуществляется после сдачи готового дома заказчику - оставшиеся 20%.

В то же время, если клиент планирует начать строительство любого дачного дома или коттеджа позднее, чем за 30 дней с момента заключения договора, он должен заплатить некоторый задаток, гарантирующий серьезность его намерений. Он составляет 5% от общей стоимости дома в полной комплектации.

Комплектация:

фундамент: «Яхрома» устанавливается на монолитный фундамент Ф-17Ф.

Наружные стены: Каркасные из доски 35х150 мм. Утепление - минеральная вата 150 мм. Обшиты вагонкой 12 мм, снаружи по ветрогидроизоляции, внутри - по пароизоляции

Внутренние стены: Каркасные из доски 30x100 мм с двух сторон обшиты вагонкой 12 мм

Настил пола: Доска пола 35 мм (шпунтованная) по пароизоляции

Потолок: Обшивка вагонкой 12 мм

Теплоизоляция полов: Минеральная вата 100 мм по ветрогидроизоляции

Теплоизоляция перекрытия: Минеральная вата 100 мм

Двери: Деревянные, филенчатые

Окна: Одностворчатые, двустворчатые распашные, открывающиеся внутрь, переплет окон - спаренный. Остекление окон - двойное.

Высота потолка 1-го этажа: 2.60 м

Высота потолка 2-го этажа: 2.50 м

Стены и потолок 2-ого этажа: Каркасные из доски 35х150 мм. Утепление - минеральная вата 150 мм. Обшиты вагонкой 12 мм, снаружи по ветрогидроизоляции, внутри - по пароизоляции

Кровля и отливы: Из оцинкованной профилированной (отливы из гладкой) листовой стали.

Обшивка потолка вагонкой: 300.00 руб./м.кв.

Настил пола: Доска пола 35 мм (шпунтованная) по пароизоляции: по цене 450 руб.

Потолок: 520м*

Теплоизоляция полов: Минеральная вата 100 мм по ветрогидроизоляции

Теплоизоляция перекрытия: Минеральная вата 100 мм

Двери: Деревянные, филенчатые

Окна: Одностворчатые, двустворчатые распашные, открывающиеся внутрь, переплет окон - спаренный

Данный комплект обойдется заказчику в сумму в 39 900 руб.

Сводим все работы на инвестиционной фазе в таблицу 6.

Таблица.6. Сведение этапов


Инвестиционная фаза



F

Земельные работы

E

2

G

Подготовка фундамента

E

5

H

Возведение фундамента

G

10

I

Возведение стен дома и перекрытий

H

7

J

Кровельные работы

I

5

K

Фасадные работы

J

11

L

Монтаж окон и дверей

J

5

M

Отделочные работы внешние

J

10

N

Отделочные работы внутренние

K,L,M

10

O

Монтаж системы канализации

N

5

P

Монтаж водопровода

O

5

Q

Монтаж системы кондиционирования

P

10

R

Монтаж электропроводов

Q

5

S

Установка системы безопасности

R

3

T

Установка противопожарной системы

S

2

U

Установка видео наблюдения

T

1

W

Подготовка территории к сдаче

U

1


Рис.23. Сетевой график на инвестиционной фазе

Диаграмма Ганта для инвестиционной фазы

Рис.24.Диаграмма Ганта (Фаза2)

.5Анализ управления проектом на завершающей фазе

Заключительные работы

На данной фазе достигаются поставленной цели и происходит завершение проекта. На этом этапе выполняются следующие работы:

разрабатывается план завершения проекта; подготовка документов к сдаче проекта; подведение окончательных результатов и итогов по проекту;; закрытие проекта; расформирование команды проекта, доделка, закрытие контракта

Оформление участка

Участок дома начинается с дорожки, выложенной из гравия, по бокам с каждой стороны газон. Так же на территории дома будет садовый фонтан и беседка.

Доработки и подготовка документов к сдаче проект

В доме проводятся мелкие доработки и подготавливаются документы к сдачи проекта, так же подведение окончательных результатов по проекту.

Подключения к электрическим сетям и канализации

После того как проект будет реализован, дом построен, будут происходить подключения ко всем жизненно важным сетям(канализация, электричество).

Завершение проекта

Демонстрация коттеджа заказчику и всех его функциях. Передача всей документации по строительству и планировке коттеджа заказчику, всех схем электро-водо-газа снабжения.

Сводим все работы на завершающей фазе в таблицу 7.

Таблица7. Сведение этапов.


Завершающая фаза



X

Оформление участка

W

3

Y

Доработка и подготовка документов к сдаче проект

W

2

z

Подключение к электро сетям

W

3

з

Завершение проекта

X,Y,Z

4


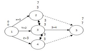
Рис.25.Сетевой график для завершающей фазы

Диаграмма Ганта для завершающей фазы

Рис. 26. Диаграмма Ганта (Фаза 3)

2.6 Сетевые модели

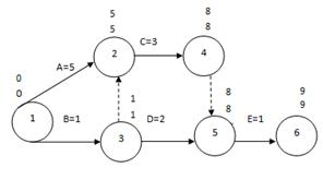
На данном этапе проекта мы будем рассматривать сетевые модели для определения сроков проекта и критического пути. Первая модель- это работа дуга.

Таблица 8. Сведение этапов


Рис.27.Сетевой график общего вида

По данным модели мы видим, что сроки составляют 91 день.

Рис.28. Диаграмма Ганта общего вида

Таким образом, на примере постройки дома от молодой и перспективно развивающейся компании HouseМастер мы можем полностью увидеть из чего состоит жизненный цикл проекта. На данном примере мы разобрали такие шаги как, разработка концептуального плана проекта, анализ управления проектом на прединвестиционной фазе, анализ управления проектом на инвестиционной фазе, анализ управления проектом на завершающей стадии и сетевое моделирование, с помощью которого мы видим процесс реализации проекта по постройке коттеджа.

Так же мы применили такие методы как работа-дуга, строительство диаграмм Ганта.

В целом экономическая часть проекта находится на достаточно высоком уровне, данная компания предоставляет очень выгодные условия, удовлетворяет все потребности своих клиентов.

Целью нашего проекта являлось постройка двухэтажного коттеджа для семьи из 4-5 человек, строительство дома займет 91 день, все предпочтения заказчика были учтены и задействованы в проекте. Такие проекты как постройки коттеджей проводятся очень часто, и данные проекты дают подробную картину о жизненном цикле проекта.

Заключение

В данной дипломной работе мы рассматривали понятие “Жизненный цикл проекта: фазы, стадии, этапы” и рассматривали проект по постройки дома “ЯХРОМА” на примере компании HouseМастер. На начальном этапе мы разобрались, что такое Проект и Жизненный цикл.

Проект - комплекс взаимосвязанных мероприятий, предназначенных для достижения, в течение заданного периода времени и при установленном бюджете, поставленных задач с четко определенными целями.

На основе этих понятий мы поняли, что данных трактовок много, но смысл остается неизменных. Жизненный цикл проекта и его фазы и стадии наиважнейшая функция в управлении проектом, без достаточных знаний в этой области могут возникнуть серьезные проблемы и в итоге проект выйдет из контроля и пойдет на спад, в худшем случае, проект оборвется на стадии разработки. На протяжении всей работы нам были поставлены следующие задачи:

В основных понятиях Жизненного цикла мы разобрались чуть выше.

Далее был разобран проект постройки коттеджа “ЯХРОМА” на приме компании HouseМастер. Цель данного проекта была построить дом и выполнить все указания заказчика. Стоимость данного проекта: Общая стоимость проекта была 2 854 260 руб. стоимость материалов - 2 527 260 руб.

Общая стоимость затрат на рабочих составляет: 327 000 руб. Срок строительства 91 дня.

На протяжении все проекта были использованы методы управления циклом, была подобрана профессиональная команда проекта, которая руководила всеми процессами, так же было сделано сетевое и календарное планирование (см. раздел 2.6).

Так же была построена иерархическая структура работ проект и дерево целей, смета проекта, экономические данные компании, пошагово описаны все действия постройки проекта, было предоставлена вся комплектация постройки дома. Были учтены все желания заказчика, дом был построен в сроки.

Таким образом, можно заключить, что данный проект по постройке коттеджа в Московской области в 45 км от Москвы и в 5 км от города Зеленоград, успешно завершен.

жизненный постройка дома моделирование

Список использованной литературы

1       ГОСТ Р 54869-2011. Проектный менеджмент. Требования к управлению проектом

1. Бэгьюли Фил Управление проектом: Пер. с англ. / Фил Бэгьюли; Пер. В. Петрашек. - М. : ФАИР-Пресс, 2002. - 208 с.

2.      Володин В. В. Тенденции формирования многоуровневой структуры промышленно-строительного холдинга // Материалы научно-практической конференции (7 апреля 2014 года): сб. ст. под ред. В. И. Хабарова.- М.: Московский финансово-промышленный университет “Синергия”, 2014

.        Володин В.В. Повышение эффективности межотраслевой диверсификации с использованием проектного управления. В.В. Володин - М.: ИНИОН РАН, 2005

4. Волков И. М. Проектный анализ: учеб.пособие. Гриф МО РФ / И. М. Волков, М. В. Грачева. - М.: ИНФРА - М, 2009. - 494 с.

5.      Грей К.Ф., Ларсон Э.У. Управление проектами: практическое руководство / пер. с англ. - М.: ДИС, 2010.

.        Димитриев Д.М., Димитриева З.М., Рыбаков М.Ю. Управление проектами: практическое пособие. - М.: ЮРКНИГА, 2009.

7.      Дульзон А.А. Управление проектами: учебное пособие. Ч. 1 / А. А. Дульзон. - 3-е изд., перераб. и доп. - Томск: ТПУ, 2010. - 334 с. - Интернет-ресурс.

8. Ильина О. Н. Методология управления проектами: становление, современное состояние и развитие: монография / О. Н. Ильина. - М.: ИНФРА - М : Вузовский учебник, 2011. - 208 с.

9.      / О. Н. Ильина. - М.: ИНФРА - М : Вузовский учебник, 2011. - 208 с.

10.    Ларман К. Итеративная и инкрементальная разработка: краткая история <http://www.osp.ru/os/2003/09/183412/> / К. Ларман, В. Базили // Открытые системы. - 2003.- N 9

11.    Мазур И. И., Шапиро В. Д. Управление проектами ( справочник для профессионалов). - М.: Высшая школа, 2006.- 880 с.

.        Мазур, В.Д. Шапиро, Н.Г. Ольдерогге. Управление проектами: учебное пособие для студентов / И.И.- - 8-е изд., стер.- М.: Омега-Л, 2007..

.        Мирошниченко Е. А. Технологии программирования: учебное пособие / Е. А. Мирошниченко.2еизд.,испр. и доп. - Томск: Изд-во Томского политехнического университета, 2008. - 128 с.

14.    Пинто Д.К. Управление проектами. - СПб.: Питер, 2009.

15. Товб. А.С., Ципес Г.Л. Управление проектами: Стандарты, методы, опыт. - Пер. с англ.- М.: Изд-во Олимп-бизнес, 2006. - 240 с.

16.    Управление проектами: Основы профессиональных знаний, Национальные требования к компетенции специалистов / под науч. ред. В.И. Воропаева. - М.: Проектная Практика, 2010. - 255 с.

17.    Управление проектом. Основы проектного управления: учебник / под ред. проф. М.Л. Разу, - М.: КНОРУС, 2006. - 768с.

18.    Project Management Institute, Руководство к Своду знаний по управлению проектами (Руководство PMBOK®) - Четвертое издание

19.    ©2015 Роль Бизнеса в трансформации российского общества, (стр 33, Модели Жизненного цикла проекта, Володин, Дмитриев, Романовский.

20.    ISO/ 21500: 21012.

.        Лекции Володина.

.        http://allfacades.com/

Приложение

Комплектация:

фундамент: «Яхрома» устанавливается на монолитный фундамент Ф-17Ф

Наружные стены: Каркасные из доски 35х150 мм. Утепление - минеральная вата 150 мм. Обшиты вагонкой 12 мм, снаружи по ветрогидроизоляции, внутри - по пароизоляции

Внутренние стены: Каркасные из доски 30x100 мм с двух сторон обшиты вагонкой 12 мм

Настил пола: Доска пола 35 мм (шпунтованная) по пароизоляции

Потолок: Обшивка вагонкой 12 мм

Теплоизоляция полов: Минеральная вата 100 мм по ветрогидроизоляции

Теплоизоляция перекрытия: Минеральная вата 100 мм

Двери: Деревянные, филенчатые

Окна: Одностворчатые, двустворчатые распашные, открывающиеся внутрь, переплет окон - спаренный. Остекление окон - двойное.

Высота потолка 1-го этажа: 2.60 м

Высота потолка 2-го этажа: 2.50 м

Стены и потолок 2-ого этажа: Каркасные из доски 35х150 мм. Утепление - минеральная вата 150 мм. Обшиты вагонкой 12 мм, снаружи по ветрогидроизоляции, внутри - по пароизоляции

Кровля и отливы: Из оцинкованной профилированной (отливы из гладкой) листовой стали.

Опции:

·              Фундамент

Замена фундамента монолитного Ф-17Ф на монолитный фундамент Ф-17Ф с дополнительным рядом блоков 20х20х30

o     Замена фундамента монолитного Ф-17Ф на монолитный фундамент Ф-17Ф с двумя дополнительными рядами блоков 20х20х30

o     Замена фундамента монолитного Ф-17Ф на монолитный фундамент Ф-17Ф с увеличением монолитной части на 200 мм

o     Замена фундамента монолитного Ф-17Ф на монолитный фундамент Ф-17Ф с увеличением монолитной части на 400 мм

o     Замена монтажной доски на доску из лиственницы

o     Замена отливов по фундаменту из оцинкованного железа на отливы из листа оцинкованного полиэстр (цвет белый, коричневый)

o     Замена отливов под окнами из оцинкованного железа на отливы из листа оцинкованного полиэстр (цвет белый)

o     Замена отливов по фундаменту из оцинкованного железа на алюминиевые (цвет белый, коричневый)

o     Замена оцинкованного подоконного отлива на алюминиевый (цвет белый, коричневый)

·              Полы

o     Устройство покрытия полов (кроме санузла) из ламината Kponospan Komfort (Дуб высокогорный, Дуб Роял, Бук Фландриен)

o     Обработка тонирующим антисептиком (бесцветный, сосна, тик) настила пола в 1 слой

o     Обработка огнебиозащитой для дерева в 2 слоя чернового пола, лаг пола и нижней обвязки с 2-х сторон

o     Устройство люка в полу 1-го этажа (0,73х0,8 м)

o     Замена чернового пола из обрезной доски толщиной 10 мм на обрезную доску толщиной 20 мм

o     Замена настила пола крыльца на доску террасную

o     Подготовка под укладку плитки или линолеума с устройством гидроизоляции санузла

o     Замена доски пола 35 мм на ОСП-9 мм по сплошному настилу из обрезной доски толщиной 30 мм

o     Дополнительное утепление пола 1-го этажа минватой до 150 мм (рулон)

o     Дополнительное утепление пола 1-го этажа минватой до 200 мм (рулон)

o     Замена утеплителя пола 1-го этажа на утеплитель К-37 100 мм (рулон)

o     Замена утеплителя пола 1-го этажа на утеплитель К-37 150 мм (рулон)

o     Замена утеплителя пола 1-го этажа на утеплитель К-37 200 мм (рулон)

o     Замена утеплителя пола 1-го этажа на каменную минвату "Изолайт Л" 100 мм (плита)

o     Замена утеплителя пола 1-го этажа на каменную минвату "Изолайт Л" 150 мм (плита)

o     Замена утеплителя пола 1-го этажа на каменную минвату "Роквул" 100 мм (плита)

o     Замена утеплителя пола 1-го этажа на каменную минвату "Роквул" 150 мм (плита)

o     Покраска полов лессирующим составом (пропитка, цвет- на выбор) в два слоя

o     Покраска полов укрывным составом (краска, цвет-на выбор) в два слоя

·              Потолок

o     Подъем высоты потолка 1-го этажа на 400 мм

o     Дополнительное утепление потолка 1-го этажа минватой до 150 мм

o     Замена утеплителя потолка 1-го этажа на утеплитель К-37 150 мм (рулон)

o     Замена утеплителя потолка 1-го этажа на каменную минвату "Изолайт Л" 100 мм (плита)

o     Замена утеплителя потолка 1-го этажа на каменную минвату "Изолайт Л" 150 мм (плита)

o     Замена утеплителя потолка 1-го этажа на каменную минвату "Роквул" 100 мм (плита)

o     Замена утеплителя потолка 1-го этажа на каменную минвату "Роквул" 150 мм (плита)

o     Дополнительное утепление потолка 2-го этажа минеральной ватой до 200 мм

o     Замена утеплителя потолка 2-го этажа на утеплитель К-37 150 мм (рулон)

o     Замена утеплителя потолка 2-го этажа на утеплитель К-37 200 мм (рулон)

o     Замена утеплителя потолка 2-го этажа на каменную минвату "Изолайт Л"150 мм (плита)

o     Замена утеплителя потолка 2-го этажа на каменную минвату "Изолайт Л" 200 мм (плита)

o     Замена утеплителя потолка 2-го этажа на каменную минвату "Роквул" 150 мм (плита)

o     Замена утеплителя потолка 2-го этажа на каменную минвату "Роквул" 200 мм (плита)

o     Покраска потолка лессирующим составом (пропитка, цвет-на выбор ) в два слоя

o     Покраска потолка укрывным составом (краска, цвет-на выбор ) в два слоя

·              Перегородки

o     Звукоизоляция перегородок минватой 100 мм

o     Звукоизоляция перегородок утеплителем К-37 50 мм (плита)

o     Звукоизоляция перегородок утеплителем К-37 100 мм (плита)

o     Звукоизоляция перегородок каменной минватой "Изолайт Л" 50 мм

o     Звукоизоляция перегородок каменной минватой "Изолайт Л" 100 мм

o     Звукоизоляция перегородок каменной минватой "Роквул" 50 мм

o     Звукоизоляция перегородок каменной минватой "Роквул" 100 мм

·              Окна

o     Замена окон ОД 2О УО на окна ОД ОСП Б (окна деревянные, белые, двухкамерный стеклопакет)

o     Замена окон ОД 2О УО на окна ОП ОСП (ПВХ, двухкамерный стеклопакет)

o     Окна ОД 2О УО не устанавливать (весь комплект дома)

o     Установка москитных сеток на окна из ПВХ-профиля

o     Установка мансардного окна VELUX

o     Установка светового тоннеля VELUX

·              Двери

o     Замена входной двери ДФ 2071-870 на дверь металлическую "Зодчий-01/86"

o     Двери внутренние ДФ не устанавливать (комплект) (проемы не отделываются)

·              Столярные изделия

o     Установка подоконной доски

·              Наружняя отделка стен

o     Замена утеплителя наружных стен на утеплитель К-37 150 мм (плита)

o     Замена утеплителя наружных стен на каменную минвату "Изолайт Л" 150 мм (плита)

o     Замена наружной обшивки стен дома на ОСП-9

o     Отделка дома сайдингом "Encore" (цвета на выбор: Colonial White, Sandstone Beige, Light Maple,Heritеge Cream, Warm Sand, Oxford Blue)

o     Отделка дома сайдингом "Sayga" (белый, желтый, бежевый, кремовый)

o     Обшивка стен дома снаружи блокхаузом

o     Обшивка стен дома снаружи фальшбрусом

o     Замена стандартной окантовки окон на широкую окантовку (при отделке сайдингом "Encore")

o     Замена стандартной окантовки окон на широкую окантовку (при отделке сайдингом "Sayga")

o     Отделка дома фактурной фиброцементной плитой (выбор фактуры и цвета)

o     Обработка огнебиозащитой для дерева - (конструктивной части дома) каркасов стен и фронтонов, перекрытий, стропил и обрешетки дома с 4-х сторон в 1 слой

o     Обработка тонирующим антисептиком (бесцветный, сосна, тик) дома снаружи в 1 слой

o     Обработка тонирующим антисептиком (бесцветный, сосна, тик) наличников окон, дверей, углов и ветровой планки (снаружи в 1 слой)

o     Покраска дома снаружи лессирующим составом (пропитка, цвет- на выбор) в два слоя

o     Покраска дома снаружи укрывным составом (эмаль, цвет-на выбор) в два слоя

o     Покраска стен и фронтонов снаружи лессирующим составом (пропитка, цвет- на выбор) в два слоя, при раздельной покраске

o     Покраска стен и фронтонов снаружи укрывным составом (эмаль, цвет- на выбор) в два слоя, при раздельной покраске

o     Покраска наличников, углов, карнизов, лобовин, входной группы и двери снаружи лессирующим составом (пропитка, цвет- на выбор) в два слоя, при раздельной покраске

o     Покраска наличников, углов, карнизов, лобовин, входной группы и двери снаружи укрывным составом (эмаль, цвет- на выбор) в два слоя, при раздельной покраске

·              Внутренняя отделка стен

o     Гидроизоляция стен и потолка помещения санузла 1-го этажа

o     Гидроизоляция стен помещения санузла 2-го этажа

o     Замена обшивки санузла на панели ПВХ (сосна белая, клен, мрамор зеленый,мрамор розовый,мрамор бежевый) по обрешетке из обрезной доски 24 мм (с шагом 100 мм)

o     Замена внутренней обшивки стен и потолков на ОСП-9 (кроме санузла)

o     Замена внутренней отделки вагонкой на блокхауз

o     Без внутренней обшивки (каркас перегородок остается, дверной блок не устанавливается)

o     Обработка тонирующим антисептиком (бесцветный, сосна, тик) внутренних стен и потолков в 1 слой

o     Покраска стен внутри лессирующим составом (пропитка, цвет-на выбор) в два слоя

o     Покраска стен внутри укрывным составом (краска, цвет-на выбор) в два слоя

·              Кровля

o     Замена металлической кровли дома на металлочерепицу "Монтерей" (коричневый, красный, зеленый, графит) с устройством подкровельной вентиляции

o     Установка торцевых планок (при базовой кровле С-20) по фронтонным свесам (цвет - оцинкованный, коричневый, красный, зеленый, графит)

o     Установка п/п уплотнителя (при базовой кровле С-20) под карнизные свесы

o     Замена металлической кровли на мягкую кровлю "Шинглас" Классик Фламенко (Валенсия, Гранада, Толедо) по ОСП-9

o     Замена металлической кровли на мягкую кровлю "Шинглас" Ультра Фокстрот (Сандал) по ОСП-9

o     Замена металлической кровли на мягкую кровлю "Шинглас" Кантри (Аризона, Атланта, Онтарио) по ОСП-9

o     Замена металлической кровли на мягкую кровлю "Шинглас" Финская черепица (красный, зеленый, коричневый, серый) по ОСП-9

o     Замена металлической кровли на мягкую кровлю "Тегола" Топ Винтаж (красный, зеленый, коричневый, серый) по ОСП-9

o     Замена металлической кровли на мягкую кровлю "Тегола" Классик (зеленый с отливом, коричневый с отливом, темно-серый) по ОСП-9

o     Замена металлической кровли на мягкую кровлю "Тегола" Альпин (коричневый с отливом, синий с отливом) по ОСП-9

o     Замена металлической кровли на мягкую кровлю "Тегола" Нордик (коричневый с отливом, красный с отливом) по ОСП-9

o     Замена металлической кровли на мягкую кровлю "СТ-20" (Evergreen Blend, Cedar Brown,Tile Red Blend ) по ОСП-9

o     Замена металлической кровли на мягкую кровлю "Land Mark" (Hunter Green, Burnt Sienna, Cottage Red) по ОСП-9

o     Устройство временной кровли (рубероид в 2 слоя по сплошному настилу из обрезной доски толщиной 20 мм) (за вычетом стандартной)

o     Устройство временной кровли (рубероид в 2 слоя по сплошному настилу из ОСП-9 по обрешетке из обрезной доски 30х100 мм) (за вычетом стандартной)

·              Водосточная система

o     Установка карнизных планок по скатам кровли для водосточной системы (при металлочерепице "Монтерей" цвет зеленый, красный, коричневый, графит)

o     Замена карнизных планок по скатам кровли для водосточной системы (при мягкой кровле)

o     Устройство водосточной системы до уровня фундамента (цвет белый, коричневый)

o     Устройство водосточной системы до уровня цоколя (цвет белый, коричневый)

·              Инженерное оборудование

o     Устройство закладных под крепления кухонной мебели

o     Установка закладных для крепления потолочных светильников

o     Устройство системы вентиляции кухни и санузлов с установкой изолированных вентиляционных выходов с проходными элементами на крышу

o     Установка вентиляционного выхода для канализационного стояка (1 ед.)

Похожие работы на - Жизненный цикл проекта: фазы, стадии, этапы

 

Не нашли материал для своей работы?
Поможем написать уникальную работу
Без плагиата!
Без нейросетей!