Проектирования магистралей гидравлических и пневматических приводов машин и механизмов
Введение
Современная стационарная и мобильная техника
активно насыщается гидравлическими системами и агрегатами, реализующими
преимущества использования жидкости в качестве энерго- или теплоносителя. Так,
например, в наземных транспортных средствах гидравлические системы питания,
смазки и охлаждения двигателей внутреннего сгорания, рулевое управление
(гидроусилители руля), ходовая часть, ее подвеску, механизмы сцепления и
торможения автомобиля.
Поэтому для грамотного обслуживания, ремонта,
диагностики состояния такой техники необходимо знать основные закономерности
поведения рабочих жидкостей и газов, являющихся рабочей средой указанных
механизмов. Задачу решает наука гидравлика, изучающая законы поведения
жидкостей и газов в условиях покоя или движения и предлагающая их практическое
применение в инженерной практике. В этих условиях важное значение приобретают
прикладные аспекты теоретических знаний гидравлики: основы схемотехнического
поиска инженерных решений, его анализа, расчета магистралей, выбора элементной
базы гидравлических систем. Это позволяет формировать у студентов инженерных
специальностей и специалистов устойчивые навыки и умения, для создания новой и
совершенствования действующей техники.
Цель работы
Выполнение расчетно-графической работы - заключительный
этап изучения студентами общетехнических дисциплин «Гидравлика», «Гидравлика и
гидропривод», «Гидравлика и теплотехника», «Гидравлика и гидропневмопривод.
Теплотехника».
Целью работы является закрепление полученных
теоретических знаний, а также освоение ими методики расчета и проектирования
магистралей гидравлических и пневматических приводов машин и механизмов.
Таблица 1. Исходные данные для расчета
|
G, кН
|
Dпор, мм
|
Dшт, мм
|
V, м/мин
|
Lвс, м
|
Lн, м
|
Lсл, м
|
|
108
|
0,36
|
0,24
|
0,8
|
4,8
|
42
|
6
|
где G
- вес поднимаемой платформы и транспортного средства;
Dпор - диаметр
поршня гидроцилиндра;
Dшт - диаметр штока;
V - скорость
перемещения платформы;
Lвс, Lн,
Lсл - длины
соответствующих трубопроводов (всасывающего, нагнетательного, сливного).
3
2
G ГЦ2 ГЦ3
Dшт ГЦ1
V1
Dпор
1 V2
ДР
КО1
КР
P
YA2
МН YA1
КО2
ТПО
КП Н
Ф
Б Б Б
Описание работы гидропривода подъемника для
обслуживания транспортных средств
Принципиальная гидравлическая схема гидропривода
(рис 1) подъемника состоит из следующих элементов: гидроцилиндр ГЦ1 служит для
поднятия платформы 1; гидрораспределитель Р, осуществляемый пуск, остановка и
изменение направления движения платформы; гидронасос Н создает поток рабочей
жидкости; предохранительный клапан служит для защиты системы от перегрузок;
гидроклапан КР предназначен для создания заданного противодавления в поршневой
полости ГЦ1 при опускании платформы; гидродроссель ДР служит для регулирования
скорости перемещения платформы; теплообменный аппарат ТПО охлаждает рабочую
жидкость; фильтр Ф производит очистку рабочей жидкости, обратный клапан КО! И
КО»; гидробак Б.
В исходном состоянии «Стоп» гидрораспределитель
Р находится в центральной позиции, и рабочая жидкость сливается через
предохранительный клапан в бак Б. При подаче электрического сигнала на
электромагнит YA1
распределитель переходит в левую позицию, и поток рабочей жидкости поступает
через обратный клапан КО1 в поршневую полость гидроцилиндра ГЦ1 и в штоковые
полости ГЦ2 и ГЦ3, при этом тормозные устройства отпускают платформу и
начинается движение платформы 1 по стойкам (направляющим) 2 вверх. При подаче
электрического сигнала на электромагнит YA2
распределитель переходит в правую позицию, и поток рабочей жидкости поступает
через гидродроссель ДР в штоковую полость ГЦ1 - происходит опускание платформы.
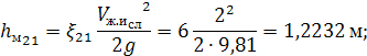
Определение максимальных нагрузок, давлений и
расходов рабочей жидкости.
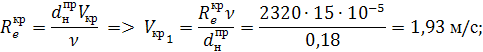
Задача расчета состоит в определении диаметров
гидролиний и потерь, возникающих в них при движении жидкости. Расчет
производится по участкам, на которые разбивают гидравлическую (пневматическую)
систему, при этом под участком понимается часть трубопровода между
разветвлениями, пропускающая одинаковый расход и имеющая одинаковый внутренний
диаметр. Участок может включать линейные сопротивления (участки трубы) и
различные местные сопротивления (повороты, сужения, расширения, гидроаппараты и
т.п.)
1. РАСЧЕТНАЯ ЧАСТЬ
насос жидкость гидроцилиндр трубопровод
1.1 Расчет диаметров
гидролиний
Внутренний диаметр гидролиний определяется:
(1)
где 
- максимальный расход жидкости на
рассматриваемом участке трубопровода;

- допустимая средняя скорость
потока жидкости в данном сечении.
Расход жидкости на нагнетательном (
от насоса до цилиндра) и сливном ( от цилиндра до бака) участках трубопровода
определяется:
где 
- скорость перемещения платформы,
м/с;

- эффективная площадь поршневой
полости цилиндра, м2;

- эффективная площадь штоковой
полости цилиндра, м2.
Рассчитаем площади поршневой и
штоковой полостей гидроцилиндра:

Рассчитаем давление в гидроцилиндре:
С учетом величины давления жидкости
в трубопроводе по полученным значениям 
подбираем трубы в соответствии с
ГОСТ:
По принятым диаметрам 
определяются истинные скорости 
на участках гидролиний:
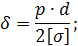
Толщина стенки нагнетательной
гидролинии проверяется выражением:
(2)
где р - максимальные давления на участках трубы,
принимаемые для:

= 0,05МПа; 
= 0,3МПа; 
= 
;

- стандартное значение диаметра
гидролиний;
[σ] - допускаемые напряжения на
разрыв материала гидролиний, принимаем равным 50 МПа т.к. трубы стальные.
Принимаем толщины стенок равными:
Значения расходов, диаметров и
скоростей, являющихся исходными данными для расчета гидравлических потерь
давлений, заносим в таблицу 2.
Таблица 2. Исходные данные для
расчёта гидравлических потерь
|
Номер
участка
|
Назначение
|
Скорость,
м/с
|
Расход
 , л/минДиаметр d, ммДлина
участкаl, м
|
|
|
|
|
Допустимая
|
Расчётная
|
|
Расчётный
d
|
Принятыйпо
стандарту 
|
|
|
I II III
|
Всасывающий
Насосный Сливной
|
2,5
2,96 2
|
2,5
2,96 2
|
0,08
0,08 0,04
|
0,19
0,18 0,16
|
0,2
0,185 0,17
|
4,8
42 6
|
1.2 Расчёт
гидравлических потерь в магистралях гидросистемы
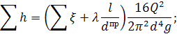
Гидравлические потери давления в
гидролиниях складываются из суммы потерь в линейных сопротивлениях 
(на прямых участках гидролиний) и
потерь в местных сопротивлениях 
.
1.2.1
Потери давления в линейном сопротивлении
(3)
где 
- удельный вес рабочей жидкости;
λ - коэффициент
гидровлического сопротивления;
d и l - диаметр и
длина участка гидролинии;

- средняя скорость жидкости на
участке гидролинии.
Рассчитаем удельный вес рабочей
жидкости:
где 
- плотность рабочей жидкости,
принимаем равной 885 кг/м3.
Для вычисления коэффициента
гидравлического сопротивления 
необходимо определить режим
движения жидкости по числу Рейнольдса:
(4)
где 
- коэффициент кинематической
вязкости рабочей жидкости, принимаем 
Так как 
> 
, режим движения рабочей жидкости
на данном участке турбулентный и для гидравлически гладких труб 
определяется по формуле Блазиуса:
(5)

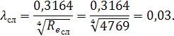
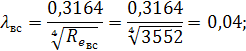
Результаты расчёта сводятся в таблицу 3.
Таблица 3. Потери давления в линейных
сопротивлениях магистралей
|
Номер
участка
|
L, м
|
 , мQ, л/мин , м/сRe  , МПа
|
|
|
|
|
|
|
I II III
|
4,8
42 6
|
0,2
0,185 0,17
|
0,08
0,08 0,04
|
2,5
2,96 2
|
3552
3650 4769
|
0,04
0,043 0,03
|
0,00402
0,035 0,0019
|
1.2.2 Потери давления в
местном сопротивлении
(6)
где 
- коэффициент данного местного
сопротивления.
Результаты расчёта сводятся в
таблицу 4.
Таблица 4. Потери давления в местных
сопротивлениях магистралей
|
Участок
|
Вид
сопротивления
|
Кол-во
|
Коэфф.
местн. сопротивл.    , МПа , МПа
|
|
|
|
II 3 4 5 6 7 8 9 10 11 12 13
14 15 16 III
16
17 18 19 20 21 22 23 24 25
|
Тройник
транзитного потока Клапан обратный Тройник транзитного потока Распределитель
Закругленное колено Закругленное колено Тройник транзитного потока
Закругленное колено Клапан обратный Тройник транзитного потока Тройник
транзитного потока Закругленное колено Закругленное колено Внезапное
расширение Внезапное сужение Закругленное колено Закругленное колено
Дроссель Закругленное колено Распределитель Закругленное колено Закругленное
колено Теплообменный аппарат Фильтр ИТОГО:
|
1
1 1 1 1 1 1 1 1 1 1 1 1 1 1 1 1 1 1 1 1 1 1 1
|
0,1
2 0,1 6 0,12 0,12 0,1 0,12 2 0,1 0,1 0,12 0,12 0,8 0,5 0,12 0,12 2 0,12 6
0,12 0,12 7 7 36,3
|
0,000387
0,007796 0,000387 0,023388 0,000467 0,000467 0,000387 0,000467 0,007796
0,000387 0,000387 0,000467 0,000467 0,003118 0,000885 0,000212 0,000212
0,003542 0,000212 0,010626 0,000212 0,000212 0,012397 0,012397
|
0,046368
0,040907 0,08728
|
1.2.3 Определение общих
потерь давления в гидроприводе
Так как участки соединены последовательно, то
общая потеря давления в гидроприводе представляют собой сумму потерь давления в
линейных и местных сопротивлениях на всех участках:
(7)
1.2.4 Определение давления
насоса, необходимого для обеспечения функционирования гидроцилиндра
1.3 Построение
характеристики трубопровода
Характеристикой трубопровода
называется график зависимости суммарной потери напора или давления в
трубопроводе от расхода, т.е 
или 
. Так как режим течения
турбулентный характеристика трубопровода не линейна. Для этого задаем 5
промежуточных значений расхода и для них определим 
.
Крутизна характеристики определяется
диаметром и длиной трубопровода, местными гидравлическими сопротивлениями и
вязкостью жидкости (наибольшее влияние вязкость оказывает при ламинарном
режиме).
Суммарную потерю напора в общем
случае удобно выразить в метрах формулой:
(8)

График зависимости суммарной потери напора от
расхода жидкости
1.4
Построение полного (гидродинамического) и гидростатического напоров
Для двух сечений потока,
соответствующих началу и концу трубопровода, уравнение Бернулли имеет вид:
(9)
Исходя из уравнения Бернулли произведем расчеты
гидродинамического и гидростатического напоров:
где 
- атмосферное давление, принимаем
равным 105 Па;
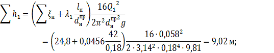
Найдем потери давления в линейном
сопротивлении для всасывающего участка:
Рассчитаем потери давления в
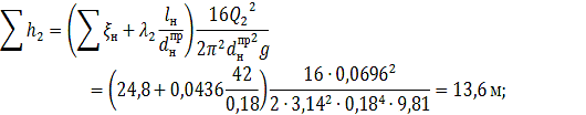
линейном сопротивлении для нагнетательного участка, разделив общую длину
магистрали данного участка на количество промежутков между элементами
гидролинии на данном участке:
где 
- количество промежутков между
элементами гидролинии на данном участке.

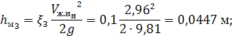
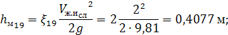
Местные потери на участке
гидроцилиндра (участок 16) складываются из потерь при внезапном расширении
потока рабочей жидкости, из потерь на работу совершаемую гидроцилиндром и из
потерь при внезапном сужении потока рабочей жидкости:
Рассчитаем потери давления в
линейном сопротивлении для нагнетательного участка, разделив общую длину
магистрали данного участка на количество промежутков между элементами
гидролинии на данном участке:

Результаты расчетов потерь удельной
энергии, полного скоростного и статического напоров, по которым строятся линии
удельных энергий, заносятся в таблицу 5.
Таблица 5. Результаты расчета напора
в гидромагистралях
|
Номер
участка
|
Полный
напор в начале участка  , мПотери напора, мВысота
скоростного напора  , мСтатический напор Hpi,м
|
|
|
|
|
|
hl
|
hм
|
|
|
|
1
2 3 4 5 6 7 8 9 10 11 12 13 14 15 16 17 18 19 20 21 22 23 24 25
|
|
|
|
0,319
0,449 0,449 0,449 0,449 0,449 0,449 0,449 0,449 0,449 0,449 0,449 0,449 0,449
0,449 0,204 0,204 0,204 0,204 0,204 0,204 0,204 0,204 0,204 0,204
|
|
Заключение
В результате выполнения работы мы закрепили
полученные теоретические знания, а также освоили ими методику расчёта и
проектирования магистралей гидравлических пневматических приводов машин и
механизмов.
Список литературы
1. Башта
Т.М. Гидравлика, гидромашины и гидроприводы / Т.М. Башта [и др.]. - М.:
Машиностроение, 1982.
2. Вильнер
А.М. Справочное пособие по гидравлике, гидромашинам и гидроприводам / А.М.
Вильнер, Я.Т. Ковалев, Б.Б. Некрасов [и др.]. - Минск: Высшая школа, 1985.
. Юшкин
В.В. Основы расчёта объёмного гидропривода / В.В. Юшкин. - Минск: Высшая школа,
1982.
. Задачник
по гидравлике, гидромашинам и гидроприводам / под ред. Б.Б. Некрасова. - М.:
Высшая школа, 1989.
. Попов
Д.Н. Механика гидро-и пневмоприводов / Д.Н. Попов. - М.: МГТУ им. Н.Э. Баумана,
2001.
. Валуева
В.П. Введение в механику жидкости / В.П. Валуева. - М.: МЭИ, 2001.
. Гудилин
А.П. Гидравлика и гидропривод / А.П. Гудилин. - М.: «Горная книга», 2001.
. Калицун
Б.Л. Основы гидравлики и аэродинамики / Б.Л. Калицун. - М.: Стройиздат, 2001.