Проект проведения ловильных работ на Шелкановском месторождении

  • Вид работы:
    Курсовая работа (т)
  • Предмет:
    Геология
  • Язык:
    Русский
    ,
    Формат файла:
    MS Word
    787,74 Кб
  • Опубликовано:
    2016-04-17
Вы можете узнать стоимость помощи в написании студенческой работы.
Помощь в написании работы, которую точно примут!

Проект проведения ловильных работ на Шелкановском месторождении

1. ГЕОЛОГИЧЕСКИЙ РАЗДЕЛ

.1 Общие сведения о Шелкановском месторождении

Шелкановское месторождение расположено в северо-западной части республики Башкортостан в пределах Дюртюлинского района. В непосредственной близости к месторождению находятся в промышленной разработке Карача-Елгинское и Чекмагушевское (на западе), Таймурзинское (на севере), Манчаровское (на северо-западе), Чермассанское (на юге) нефтяные месторождения.

Район месторождения располагает развитой сетью асфальтированных и гравийных дорог к которым относятся: Дюртюли-Семилетка-Чекмагуш, Дюртюли - В. Яркеево, Дюртюли-Кушнаренково-Уфа.

В орогидрографическом отношении месторождение расположено в пределах левобережья реки Белой, которое, в свою очередь, расчленено левыми притоками рек Куваш, Чермассан на ряд водоразделов.

В геоморфологическом отношении район расположения месторождения представляет собой полого-холмистую равнину, изрезанную речной сетью и оврагами.

Преобладающее население - татары, башкиры, марийцы, русские.

Район месторождения расположен в лесостепной полосе. Климат умеренно - континентальный. Максимальная температура воздуха +300С приходится на июль, минимальная -360С - на январь и февраль. Доминирующие ветры - юго-восточные. Годовое количество осадков достигает 492 мм. Разведочные работы на площади начаты в 1957 году на основании структурно-поискового бурения, выявившими здесь Андреевское нижнепермское поднятие. В октябре 1959 г. в скважине №26 был получен приток нефти из карбонатов турнейского яруса.

В экономическом отношении эти районы являются сельскохозяйственными, промышленные предприятия отсутствуют. Ближайшая железная дорога Самара-Казань проходит в широтном направлении по северной части Башкортостана. Она удалена от описываемого района на 80-90 км. Наиболее крупными железнодорожными станциями являются Уфа и Янаул.

По южной и юго-западным частям района протекает судоходная река Белая. Лесные массивы распространены участками по правому берегу р. Белой и в бассейне р. Быстрый Танып. Леса смешанные. Из полезных ископаемых, кроме нефти, имеются: торф, суглинки, пески и галечник.

В геоморфологическом отношении описываемый район является всхолмленной равниной, которая постепенно понижается в сторону рек Белой и Быстрый Танып. Наиболее приподнятые участки рельефа расположены в районе Бельско-Таныпского водораздела, с отметками рельефа до +225 м. Климат района континентальный, с продолжительной холодной зимой и коротким жарким летом.

.2 Характеристика нефтеносных пластов

В геологическом строении залежей принимает участие кристаллический фундамент и платформенный чехол. Кристаллический фундамент сложен метаморфическими породами архейской группы. Осадочный чехол включает отложения девона, карбона, перми и четвертичной систем. На поверхность обнажаются четвертичные и верхнеказанские отложения. Более древние образования вскрыты многочисленными скважинами. Общая мощность осадочного чехла около 2000 м. Из них 75% приходится на карбонатные и 25% на терригенные породы.

Каменноугольная система - С

В пределах залежей отложения каменноугольной системы представлены карбонатными отложениями нижнего и среднего отделов.

Нижнекаменноугольный отдел - С1

Серпуховский ярус - С1srp

В составе яруса выделяются тарусский, стешевский и протвинский горизонты. Литологически отложения представлены известняками и доломитами кристаллически зернистыми, часто кавернозными и трещиноватыми.

Верхняя граница яруса (протвинский горизонт) проводится по резкой смене нижнекаменноугольной фауны (фораминифер, брахиопод и кораллов) среднекаменноугольными.

Продуктивная часть серпуховского яруса - протвинский горизонт, представлена известняками и доломитами зернистыми, светло-серыми, сахаровидными. Толщина горизонта 36-57 м.

В основании яруса залегают плотные известняки и доломиты общей мощностью иногда до 25 м. Однако, не всегда подошва яруса отбивается достаточно четко. Толщина серпуховского яруса в целом составляет 116-157 м.

Среднекаменноугольный отдел - С2

Среднекаменноугольные отложения повсеместно залегают со стратиграфическим несогласием на породах серпуховского яруса. В среднем карбоне выделяют два яруса: башкирский и московский. Общая толщина среднекаменноугольных отложений 255-375 м.

Башкирский ярус - С2bsch

По подошве башкирского яруса залегают плотные глинистые известняки и доломиты толщиной до 4-8 м. В литологическом отношении ярус, в основном, сложен известняками органогенными, органогенно-обломочными, микро-зернистыми, брекчиевидными и доломитами, кавернозными и трещиноватыми.

Продуктивная часть разреза сложена пористыми известняками, толщина которых колеблется от 2 до 16 м. В кровельной части они перекрываются плотными глинистыми известняками (до 3 и более метров). В Шугуровском типе разреза пачка пористых известняков представлена в более сокращенном виде. Толщина яруса изменяется от 6 до 36 м.

Коэффициент пористости характеризует емкостные свойства пористой среды. Данные по пористости представляют собой результаты лабораторных анализов кернов, произведенных в БашНИПИнефть. Согласно исследованиям можно считать, что коэффициент пористости в пластах со случайной неоднородностью подчиняется нормальному закону. Средние параметры пористости продуктивных пластов Юсуповского участка сведены в таблице 1.

В отличие от пористости коэффициент нефтенасыщенности изменяется в более узких пределах.

Таблица 1

Пористость продуктивных пластов Юсуповского участка

Пласты

Среднее значение пористости пластов, %

С1tulII

22,5

С1bobVI

23,3

C1tur

13,0


Результаты определения коэффициента начальной нефтенасыщенности продуктивных пластов Ново-Хазинской площади по геофизическим данным представлены в таблице 2.

Таблица 2

Начальная нефтенасыщенность пластов Юсуповского участка

Пласты

Начальная нефтенасыщенность пластов,%

С1tulII

80,0

С1tulV

71,2

С1tulVI

68,2

С1bobVI

78,8

С1tur

70.0


Он определялся по данным исследования кернов, по индикаторным кривым и кривым восстановления давления. Коэффициент проницаемости угленосной толщи С1tul +С1bobравен 0.480 мкм, а турнейского яруса - 0,060 мкм.

Эффективная толщина песчаников является основным параметром при определении технологических показателей разработки. Результаты обработки эффективной толщины по продуктивным пластам сведены в таблице 3.

Таблица 3

Эффективная толщина продуктивных пластов

Пласты

Эффективная толщина продуктивных пластов, м

1

2

С1tulII

3,0

С1tulV

1,1

С1tulVI

1,0

С1bobVI

5,4

С1tur

5,0


Тектоническое строение месторождения изучалось по материалам структурного, поиского-разведочного и эксплуатационного бурения, а также магнито- и сейсморазведки. Шелкановское месторождение по тектонической схеме Башкортостана расположено в пределах Бирской седловины, разделяющей Башкирский и Татарский своды. На южных окончаниях двух валов - Чекмагушевском и Манчаровском располагается Чекмагушевское месторождение. Месторождение находится в области глубокого погружения кристаллического фундамента. Строение его поверхности в этом районе изучено только по данным магниторазведки, так как пробуренными скважинами данного месторождения он не вскрыт.

По кровле продуктивных отложений Серпуховского яруса четко прослеживается крупная структура второго порядка - Шугурово-Куакбашский вал. В пределах изогипс 550-555 м-это асимметричное поднятие, вытянутое в субмеридиальном направлении на 18-20 км, ширина изменяется от 1,5 до 6,0 км, постепенно сужаясь к переклинальным частям структуры. Наиболее приподнятая часть с амплитудой свыше 60 м находится в районе Шугуровского поднятия. Восточное крыло структуры, особенно на юге, круче западного.

С юга на север в границах вала выделяется ряд иногда довольно крупных поднятий третьего порядка: Ойкинское, Шугуровске, Сортоводское, Куакбашское. Размеры их колеблются от 60 до 15 метров. Последние в свою очередь осложняются большим количеством более мелких локальных поднятий и прогибов.

Ойкинское поднятие занимает юго-западную переклиналь. Она относительно небольшая (2,5-1,5 км), малоамплитудная (15 м).

Шугуровское поднятие в границах изогипсы 530 м приобретает в плане вытянутую с юга на север овальную форму с размерами длиной 7,5-8,0 км, шириной 1,5-3,0 км. Сводовая часть имеет абсолютную отметку 486-490 метров.

Амплитуда поднятия до 60 метров. На север и юг поднятие заметно выхолаживается до 15 и менее метров.

Сортоводское поднятие занимает южную часть Куакбашской структуры, по изогипсе 530 метров объединяет ряд более мелких приподнятых участков. Размер поднятий 7,0-2,0 км, амплитуда до 20 метров. На юге намечается пологая зона перехода Соратоводской структуры в Шугуровскую.

В пределах Куакбашской структуры в пределах изогипсы 530-540 метров выделяют два замкнутых приподнятых участка с размером (3,0-3,5)×(0,5-2,0) км, и амплитуда 10-15 метров.

Рассмотренные поднятия отделены друг от друга и вышеописанной Сартоводской структуры широтными зонами прогибания с отметками более 535-540 метров.

Далее на север в приклинной части вала в пределах изогипсы 540-545 метров выделяется ряд мелких мелкоамплитудных (5-10 м), куполовидных локальных участков.

В пределах Каратаевской структуры в границах изогипсы 545 м выделяются малоамплитудные (5-10 м) поднятия широтного простирания с размерами 4,2×0,22 км.

В геологическом строении месторождения принимают участие до девонские образования, отложения девонской, каменноугольной, пермской систем, а также четвертичные породы. За основу расчления разреза принята унифицированная стратиграфическая схема 1998г.

Тектоническое строение месторождения изучалось по материалам структурного, поиского-разведочного и эксплуатационного бурения, а также магнито-и сейсморазведки.

Шелкановское месторождение по тектонической схеме Башкортостана расположено в пределах Бирской седловины, разделяющей Башкирский и Татарский своды. На южных окончаниях двух валов - Чекмагушевском и Манчаровском распологается Шелкановское месторождение. Месторождение находится в области глубокого погружения кристаллического фундамента. Строение его поверхности в этом районе изучено только по данным магниторазведки, так как пробуренными скважинами данного месторождения он не вскрыт.

Нефтеносными на Шелкановском месторождении являются отложения бобриковского горизонта (пласты CV.1, Сν.2, Сν.3), турнейского яруса (пачки СТ1,СТ2,СТ3)нижнего карбона и песчаные пласты кыновского (пласты DKH1, DKH2), пашийского (пласт Dl) и муллинского (пласт Dll) горизонтах терригенной толщин. ПластСν.1 залегает в верхней части бобриковского горизонта, иногда непосредственно под двух-четырехметровым прослоем тульских известняков. Средняя эффективная толщина пласта составляет 6,1 м. В песчаниках пластаСⅥ.1 выявлена одна залежь нефти. ВНК принят в отметке-117,5м. Песчаный пластСⅥ.2 залегает ниже по разрезу и отделяется от пласта Сν.1 прослоем аргиллитов.

Пласт представлен в основном одним прослоем песчаников, максимальная толщина которого достигает 4,2 м.

Песчаный газонефтяной пласт Сν.3 отделяется от пласта Сν.2 прослоем аргиллитов, в основном толщина 1,5-3м.

Коэффициент расчлененности пласта равен 1,53д.ед., коэффициент песчанистости 0,82 д.ед. обломочными известняками Пачка СТ1 залегает в верхней части разреза. Нефтенасыщенные коллекторы выявлены на Западно-Шелкановской структуре. Средневзвешенная нефтенасыщенная толщина известняков пачки СТ1 составляет 0,9м. В карбонатах пачки СТ1 установлена одна залежь.

Пачка СТ2 отделяется от пачки СТ1 прослоем глинистых известняков толщиной 2-4м. Пачка представлена чередованием пористых и плотных карбонатных разностей.

Нефтенасыщенная толщина меняется по скважинам от 0,8 до 11,5м. В карбонатах продуктивной пачки СТ2 выявлено две залежи месторождения. По пачке СТ3 выявлена одна залежь. Размер залежи 1,8 на 1,4м, ВНК залежи принят в интервале -1324,8-1326,6м. Пачка СТ2 залегает в верхней части турнейского яруса. Пачка СТ3 отделяется от залегающей выше пачки СТ2 глинисто-карбонатным прослоем. Обе пачки представлены чередованием пористых и плотных карбонатных разностей. Коллекторами в разрезе этих пачек являются извястняки. Коллекторские свойства извястняков изучены слабо. В отложениях терригенной толщи девона промышленная нефтеносность установлена в пластах кыновского, пашийского и муллинского горизонтов.

В разрезе кыновского горизонта выделяются две песчаных пласта DКН1 и DКН2. Пласт DКН1 залегает в верхней части горизонта и представлен почти во всех скважинах одним прослоем. Толщина нефтенасыщенных песчаников в среднем по скважинам составляет 2,2м. Коэффициент песчанистости 0,46 д.ед.

В коллекторах пласта DКН1 выявлено четыре залежи.ПластDКН2. залегает на 14-16м ниже кровли горизонта и представлен песчаником только в 17% скважин, вскрывших пласт. Песчаники залегают одним прослоем, толщина которого меняется от 0,8-4,4м. Коэффициент песчанистости 0,19 д.ед.

В коллекторах пласта DКН2. выявлено шесть залежей нефти. В разрезе пашийского горизонта выделяется один пласт Dl, который содержит основные пасы нефти месторождения. Он характеризуется сложным строением, проявляющимся в значительной изменчивости и по площади, и по разрезу скважин. Пласт сложен кварцевыми, мелко-зернистыми песчаниками и мелкозернистыми алевролитами.

Толщина нефтенасыщенных коллекторов по скважинам изменяется от 0,8 до 13,6 м. Коэффициент расчлененности равен 1,58 д.ед. Коэффициент песчанистости 0,65 д.ед.

По пласту DІ, выявлено девять залежей структурно-литологического тектонически экранированного типа. ВНК по залежам изменяется в пределах 1660,6-1679,3м.

Пласт DІІ выделяется в разрезе муллинского горизонта. Нефтенасыщенные толщины песчаников изменяется от 0,8 до 4м. По пласту Dll выявлено шесть залежей нефти все они структурного типа и подстилаются водой. ВНК по залежам изменяется в пределах -1669,5-1677,6 м.

Таблица 4

Характеристика продуктивных пластов

Параметры

Пласты (пачки)


CVI.1

CVI.2

CVI.3

CT1

CT2

СТ3

Dкн1

Dкн2

DI

DII

Глубина з.,м

1350

1470

1800

1864

1820

Коллектор

песчаник

известняк

песчаник

Толщина, м

5,0

0,9

1,9

0,9

2,2

2,2

1,4

1,2

3,1

1,6

Пористость

0,24

0,19

0,22

0,12

0,12

0,14

0,167

0,168

0,18

0,18

Насыщенность

0,90

0,88

0,89

0,81

0,82

0,81

0,90

0,85

0,85

0,82

Прониц.,мкм2

0,413

0,393

0,85

-

0,004

-

0,788

0,054

0,225

0,282

Песчанистость

0,76

0,77

0,82

0,03

0,09

0,60

0,46

0,19

0,65

0,82

Расчлененнось

1,47

1,08

1,53

1,21

4,46

2,73

1,1

1,02

1,58

1,76


1.3 Характеристика пластовых флюидов

.3.1 Характеристика пластовой нефти

Нефти различных пластов идентичны, все они высокосернистые, смолистые, вязкие с высоким содержанием асфальто-смолистых веществ. По пласту II- С1tul вязкость уменьшается до 38,2 мПаС при плотности 0,892 г/см3. Содержание смол и асфальтенов очень непостоянно и колеблется. В среднем асфальтенов - 7,19%, смол - 15,2%. Содержание парафина - 1,96%, а серы - 2,95%.

.3.2 Физико-химическая характеристика газа

Попутные газы состоят из негорючей части, представленной азотом, и горючей - углеводородной. В таблице 5 приведен средний состав попутных газов. Плотность газа по воздуху - 1,216.

Таблица 5

Средний состав попутных газов

Компоненты газа

в мол. %

в вес. %

N2 + редкие

43,05

34,21

C2H6

17,06

7,75

C3H8

8,0

6,81

nC4H10

15,09

18,85

iC4H10

10,20

16,82

nC5H12

6,60

15,56


.3.3 Физико-химическая характеристика пластовой воды

Пластовые воды терригенной толщи нижнего карбона относятся к хлоридно-кальциевому типу, хлоридной группе, натриевой подгруппе. В солевом составе вод преобладают хлориды натрия и калия, образующие первую соленость, величина которой изменяется в пределах от 78 до 86% -экв. Наиболее высоконапорные воды пласта С-VI. Ввиду резкой литологической изменчивости пород-коллекторов и весьма пологого падения пластов, воды, приуроченные к другим пластам (С-1-С-VI'), носят застойный, ненапорный характер, так как имеют слабую гидродинамическую связь с общей пластовой водонапорной системой. Минерализация пластовой воды по месторождению колеблется от 800 до 810 мг - экв/100 г и плотность от 1180 до 1182 кг/м3

Таблица 6

Содержание ионов и примесей в пластовых водах залежи

Наименование

Диапазон изменения

Среднее значение

CL164,58-3982,5694,42



SO0,03-90,8950,41



HCO0,0-14,265,76



Ca13,06-60066,44



Mg11,29-162,1334,84




.4 Текущее состояние разработки месторождения

Площадь разрабатывается с 1962 года. Запасы утверждены в ГКЗ в 2000 году. В 2002году ЦКР утвержден «Проект доразработки Чекмагушевского нефтяного месторождения». В данном отчете проектные показатели приводятся из этой работы объекта разработки: терригенная толща нижнего карбона (ТТНК) и турнейский ярус. Основным объектом является ТТНК.

В 2013 году добыто 324,228 тыс. тонн нефти, темп отбора составил 0,67% от начальных и 8,98% от текущих извлекаемых запасов.

С начала разработки добыто 45309,942 тыс. тонн нефти или 93,24% от извлекаемых запасов. Текущий коэффициент нефтеотдачи составил 0,412.

Добыча жидкости за отчетный год составила 6877,809 тыс. тонн, что на 13,865 тыс. тонн (0,2%) больше чем в 2012 году. Обводненность повысилась на 0,2%о и составила 95,3%.

Таблица 7

Основные показатели состояния разработки Шелкановского месторождения на 2014 г.

Показатели

Бобриковский

Турнейский

Кыновский

Пашийский

Муллинский

1

2

3

4

5

6

Текущая добыча нефти, тыс. т./г

3,031

0,88

39,87

76,58

-

Накопленная добыча нефти, тыс.т.

193,8

21,2

856,3

2821

0,9

Текущая добыча жидкости, тыс.т./г

4,89

1,45

126,32

461,77

-

Накопл.добычажидкости, в поверх.усл.,тыс.т./г

2518,7

27,8

1466,1

10601,9

23,4

Текущая обводненность прод-и,%

38

39

68,4

83,4

-

Дебит 1 скв. по ж.,т/сут.

15,31

0,79

7,7

12,78

-

Темп отбора нефти.,%

0,33

0,04

1,04

0,58

-

Текущая закачка воды,тыс.м3/г

-

-

133,7

659,4

-

Кол-во добывающих скважин

2

8

53

110

1

РЗАБ в добыв. скважинах, МПа

4,5

3,7-5,2

7,8-15,8

5,6-15,8

-

Руст в нагнетател.скв.,МПа

-

-

7,2-11

3-12,7

-

Кол-во нагнетательных скв.

-

-

7

27

-

Приемистость 1 нагнетательной скв.,м3/сут

-

-

69,4-84,5

76,1-122,4

-

Дебит 1скв. По нефти, т/сут.

9,49

0,48

2,43

2,12

-


По таблице можно сказать, что в целом по месторождению основной фонд скважин имеет низкие дебиты по нефти. Более 54% фонда скважин работает с обводненностью от 30 до 80%, более 16% фонда с обводненностью свыше 90% (в основном скважины пашийского горизонта). Наибольшее количество скважин(42,8%) с накопленной добычей нефти до 5 тыс.т. Более 11% фонда скважин имеет накопленную добычу нефти от 10 до 15 тыс.т.

Закачано в пласты 5550,180 тыс.м3 воды или 87,6% от отбора жидкости. Компенсация отбора закачкой с начала разработки составила по площади 97,6% в том числе по ТТНК-98,2%),по турнейскому ярусу -53,7%.

В 2014 году переведена под закачку 1 скважина (6658 Иван.).

Введено из бездействия 37 добывающих скважин, из которых добыто 6094 тонн нефти и 15139т жидкости.

Внедрено 22 технологии МУН, выполнено 57 скважино-обработок. Дополнительная добыча нефти составила 60579 тонн(18,7% от всей добычи). Бурением бокового ствола отремонтирована 1 скважина (6078). Всего стало 15 скважин с боковыми стволами. За год на добывающих скважинах проведено 174 ГТМ с дополнительной добычей 31018 тонн нефти(9,57% от всей добычи). В отчетном году ликвидированы 2 скважины старого фонда (495, 6061) - обе из добывающих.

Сравнение проектных и фактических показателей приводится в таблице 8.

Таблица 8

Проектные и фактические показатели разработки

Показатели

проект факт

2011 год

+, -к проекту

Добыча нефти, тыс. тонн

проект факт

294,700 324,228

+29,528 (+10,0%)

Добыча жидкости, тыс. тонн

проект факт

5672,40 6877,809

+1205,409 (+21,2%)

Обводненность весовая, %

94,8 95,3

+0,5

Закачка воды, тыс.м3

проект факт

5374,00 5550,18

+176,180 (+3,28%)

Ввод добывающих скважин

проект факт

4

-4

Ввод нагнетательных скважин

проект факт

1

+1

Средний дебит одной скважины по нефти, т/сут.

проект факт

1,7 2,2

+0,5 (+41,2%)

Средний дебит одной скважины по жидкости, т/сут.

проект факт

33,0 46,5

+13,5 (+40,9%)


Сравнение планово-нормативных и фактических показателей разработки приводится в таблице 9.

Таблица 9

Планово-нормативные и фактические показатели разработки

Показатели

План-норма/Факт

2012 год

+, -к план. норме

1

2

3

4

Добыча нефти, тыс. тонн

план-норма факт

316,400 324,228

+7,828 (+2,47%)

Добыча жидкости, тыс. тонн

план-норма факт

6706,30 6877,80 9

+171,509 (+2,56%)

Обводненность весовая, %

план-норма факт

95,3 95,3

-

Закачка воды, тыс.м3

план-норма факт

5481,000 5550,180

+69,180 (+1,26%)

Ввод добывающих скважин

план-норма факт

- -


Ввод нагнетательных скважин

план-норма факт

1 1

-


Планово-нормативные показатели выполнены по всем показателям.

Проектные показатели выполнены, кроме ввода добывающих скважин из бурения. По сравнению с 2013 годом снижение добычи нефти составило 13523 тонн (4,0%).

.5 Конструкция скважин

Начальный участок I скважин называют направлением (рисунок 1). Поскольку устье скважины лежит в зоне легко размываемых пород его необходимо укреплять. В связи с этим направление выполняют следующим образом. Сначала бурят шурф - колодец до глубины залегания устойчивых горных пород (4...5 м). Затем в него устанавливают трубу необходимой длины и диаметра, а пространство между стенками шурфа и трубой заполняют бутовым камнем и заливают цементным раствором 2.

Встречается 11 типов конструкции скважины. В подавляющем большинстве скважин спущены направление диаметром 324 (164 скв.) и 457 (4 скв.), кондуктор диаметром 219 (29 скв.) и 245 мм (170 скв.). В процессе строительства не зацементированы или частично зацементированы направление в 1, кондуктор - в 46 скважинах, что приведет к высокой трудоемкости изоляционно-ликвидационных работ.

Рисунок 1 - Конструкция скважины: 1 - обсадные трубы; 2 - цементный камень; 3 - пласт, 4-перфорация в обсадной трубе и цементном камне; I- направление; П-кондуктор; III-промежуточная колонна; IV - эксплуатационная колонна

Из 221 скважин эксплуатационного фонда в 204 скважинах(92,3%) спущена 146 мм колонна в среднем на глубину 1932 м, средний уровень цемента за колонной находится на глубине 315 м от устья. Сопоставление средних глубин спуска кондуктора и уровня цементного кольца за эксплуатационной колонной показывает, что во многих случаях цемент за колонной не поднят выше башмака кондуктора.

Рассмотрим краткую геолого-техническую характеристику скважины №1125 Шелкановского месторождения:

Направление

Ø 324х10 мм - 42 м- закачано 5 т цемента до устья

Кондуктор

Ø 245х 9 мм - 320 м - закачано 12 т цемента в интервале 4 -320 м

Диаметр ствола

215,9 мм

Макс. кривизна ствола

40 45+ на глубине 900 м

Эксплуатационная колонна

146х8 мм -1586 м - закачано 48 т цемента в интервале 12- 1586 м

Подземное оборудование штанги

Ø 22мм - 71 шт., Ø 19мм - 92 шт.

НВ1Б-32

НКТ

Ø 73 мм - 1286 м

Пробуренный забой

1586 м

Искусственный забой

1575 м

Ротор-муфта

3.5 м

Эксплуатационные горизонты

турнейский

Интервалы перфорации

1542 - 1548 - 72 выстр.




2. ТЕХНИКО-ТЕХНИЧЕСКИЙ РАЗДЕЛ

.1 Анализ аварийности скважин

При прорыве в скважину подошвенных или верхних вод нефть оттесняется от призабойной зоны и возможно полное прекращение притока. В зависимости от свойств воды и прочих условий в скважине производятся те или иные изоляционные работы. При прорыве верхних вод осуществляют затрубную цементировку под давлением. При прорыве подошвенных вод применяют разные способы изоляции:

обычную цементировку низа скважины с подъемом фильтровой зоны на вышележащие слои;

задавливание в пласт цементных растворов;

гидроразрыв пласта с последующим задавлением в пласт вязкой нефти и цементировкой интервала гидроразрыва;

введение в пласт реагентов, образующих при взаимодействии с пластовой водой гели, закупоривающие водопроницаемую зону, и пр.

последнее время на некоторых промыслах восточных районов делаются попытки раздельно отбирать воду и нефть одной и той же скважиной, оборудованной пакером. В зависимости от конкретных условий эти методы могут давать различный эффект. Если возобновить эксплуатацию прежнего горизонта невозможно, данный забой ликвидируют и переходят к эксплуатации одного из пропущенных вышележащих горизонтов, которые вскрывают путем перфорации или торпедирования обсадной колонны.

Нередко, особенно при больших депрессиях и малых размерах фильтра, приходится сталкиваться со сломами и смятиями обсадных труб, исправление которых составляет особую категорию капитального ремонта (выправление труб оправками, зарезка и бурение новых стволов с ликвидацией низа старых и пр.).

Значительную долю работ по капитальному ремонту составляет очистка скважин, особенно старых, простаивающих, от засоряющих их предметов, а также от плотных песчаных и глинистых пробок. Последние часто приходится разбуривать; для этого успешно применяют малогабаритные турбобуры с передвижных буровых установок.

Особое место занимают работы по извлечению оборвавшихся труб и упавшего инструмента (желонок, перфораторов, канатов и пр.) - ловильные работы. Имеются различные ловильные инструменты: крючки, пауки, колокола, клещи, труболовки и пр. Перед ловильными работами в скважину спускают различные печати для определения местоположения вылавливаемых предметов.

Расширение фронта работ по капитальному ремонту скважин должно способствовать увеличению коэффициентов использования фонда скважин и уменьшению фонда простаивающих скважин. При невозможности использовать скважину для добычи нефти или других целей ее следует ликвидировать

.2 Определения характера повреждения

Обследование технического состояния эксплуатационной колонны

Спускают до забоя скважины полномерную свинцовую конусную печать диаметром на 6-7 мм меньше внутреннего диаметра колонны.

При остановке печати до забоя фиксируют в вахтовом журнале глубину остановки и поднимают ее.

Размер последующих спускаемых печатей (по сравнению с предыдущими) должен быть уменьшен на 6-12 мм для получения четкого отпечатка конфигурации нарушения.

Для определения наличия на забое скважины постороннего предмета на НКТ спускают плоскую свинцовую печать.

допускается одноразовая посадка свинцовой печати при осевой нагрузке не более 20 кН.

Для определения формы и размеров поврежденного участка обсадной колонны используют боковые гидравлические печати.

Работы по ремонту и исследованию скважин, в продукции которых содержится сероводород, проводятся по плану работ, утвержденному главным инженером, главным геологом предприятия и согласованному с противофонтанной службой.

.3 Оборудование, применяемых при ловильных работах

Сложные работы в скважинах, связанные с ликвидацией аварий, изоляцией вод, исправлением смятых колонн, разбуриванием плотных пробок, гидравлическим разрывом пласта и другие, относятся к категории капитального ремонта.

Глубины простаивающих скважин изменяются от нескольких сот до нескольких тысяч метров, а диаметры колонн их - от 114 м и более. Большинство скважин, подлежащих капитальному ремонту, находится в осложненном аварийном состоянии. Зарезка и бурение второго ствола, а в ряде случаев и бурение новых скважин, проводимых бригадами капитального ремонта, нередко происходят в сложных геологических условиях.

На рис. 2.1 показана принципиальная схема размещения оборудования при подземном и капитальном ремонтах скважин применительно к спуско-подъемным операциям.

Талевый канат 1 от лебедки 2 подъемного механизма (в данном случае лебедка смонтирована на тракторе-подъемнике), пропущенный через оттяжной ролик 3 и шкивы кронблока 10, установленного на верху вышки 5, и шкивы талевого блока 8, прикреплен к рамному брусу 13. К серьге талевого блока подвешен подъемный крюк 7, на котором при помощи штропов 6 подвешивают элеватор 5. Элеватор удерживает на весу колонну труб за муфту верхней трубы 4. Таким образом, поднимаемый груз висит на нескольких струнах 12 талевого каната. При вращении барабана лебедки канат наматывается на барабан и груз поднимается. Спуск происходит под действием веса груза при обратном вращении барабана и его притормаживании. Трубы перед спуском в скважину осматривают, подтаскивают, замеряют и укладывают на приемные наклонные мостки 11.

При разбуривании цементного стакана, исправлении дефектов в эксплуатационной колонне, зарезке и бурении второго ствола, а также при ловильных работах на устье скважины устанавливают ротор 14.

При необходимости промывки скважин, а также при других видах капитального ремонта (фрезеровании, исправлении дефектов колонны и др.) к подъемному крюку подвешивают вертлюг.

Оборудование и инструмент, применяемые для капитального ремонта скважин, можно подразделить на следующие группы:

1)  вышки и мачты;

2)  спуско-подъемное оборудование и инструмент, применяемый при этих операциях;

3)  оборудование для вращения инструмента;

4)  промывочные агрегаты и насосы;

5)  бурильные, обсадные и насосно-компрессорные трубы;

6)  оборудование, используемое для цементирования скважин и повышения нефтеотдачи пластов;

7)  ловильный инструмент;

8)  пакеры


.3.1 Подъёмники

Для спуска и подъема различного подземного оборудования и инструмента применяют подъемные агрегаты, которые подразделяют на подъемники и агрегаты. Подъемник - механическая лебедка, монтируемая на тракторе, автомашине или отдельной раме. В первом случае привод лебедки осуществляется от тягового двигателя трактора, автомашины, в остальных - от самостоятельного двигателя внутреннего сгорания или электродвигателя.

Агрегат в отличие от подъемника оснащен вышкой и механизмом для ее подъема и опускания.

Наиболее широко применяют тракторные подъемники ЛТ-11 КМ, Азинмаш-43П и агрегаты Бакинец-ЗМ, А-50У.


Агрегат А-50У предназначен для освоения и ремонта нефтяных, газовых и нагнетательных скважин с проведением спускоподъемных операций с насосно-компрессорными и бурильными трубами, промывки песчаных пробок, глушения скважин, циркуляции промывочного раствора при бурении, фрезеровании и разбуривании цементных стаканов, для проведения ловильных и других работ по ликвидации аварий в скважинах. Все механизмы агрегата, кроме промывочного насоса, смонтированы на шасси КрАЗ-250 с подогревателем ПЖД-44-П. Промывочный насос 9МГр смонтирован на двухосном прицепе.

Агрегат А-50М: 1 - передняя опора; 2 - средняяопора; 3 - электролебедка; 4 - компрессорная установка; 5 - гидросистема; 6 - лебедка; 7 - домкрат; 8 - индикатор веса; 9 - талевый канат; 10 - талевый блок; 11 - подвеска ключей; 12 - подвеска бурового рукава; 13 - вертлюг; 14 - мачта; 15 - домкратная штанга; 16 - пневмоуправление; 17 - гидроротор; 18 - домкрат; 19 - зубчатая муфта; 20 - редуктор; 21 - карданный вал; 22 - рама; 23 - коробка отбора мощности; 24 - силовые оттяжки; 25 - манифольд; 26 - промывочный насос; 27, 28 - карданные валы; 29 - силовая передача; 30 - цепная передача; 31 - гидрораскрепитель; 32 - кожух; 33 - промежуточный вал; 34 - электрооборудование; 35 - площадка оператора; 36 - узел управления и освещения шасси.

Безотказность в работе и срок службы подъемников и агрегатов зависят от правильной, технически грамотной эксплуатации, а также от качества ухода за ними. Только при строгом соблюдении правил монтажа и демонтажа, эксплуатации и ухода можно увеличить межремонтный период работы подъемников и агрегатов. В процессе работы подъемные механизмы должны содержаться в чистоте. Очень важно своевременное обнаружение отдельных, в том числе мелких, неисправностей, которые при несвоевременном устранении могут привести к осложнениям и даже к авариям, несчастным случаям с обслуживающим персоналом. В этих целях следует ежедневно до начала работ на подъемнике проверять: все болтовые соединения (если обнаружится ослабление, произвести подтяжку); состояния крепления гаек фундаментных болтов; механизмы включения кулачковых муфт (при нажатии на педаль или рычаг муфта должна включаться полностью); работу тормоза - регулированием натяжения тормозных лент; все цепные и вращающиеся детали; исправность компенсатора; необходимо следить также за наличием масла в цилиндре.

Агрегат следует устанавливать на специальной бутобетонной площадке (размером 8х4.5хо.б м) в удобном месте, откуда хорошо видно устье скважины.

Правильность установки агрегата у скважины проверяют путем подъема - спуска ненагруженного блока на полную высоту подъема. При этом проверяют правильность наматывания каната на барабан лебедки.

Для обеспечения устойчивости агрегат необходимо надлежащим образом закрепить. С этой целью у переднего барьера площадки для агрегата делают упоры, которые выполняются в виде кососрезных брусьев и свай, забитых на глубину 1,5 м. К косой поверхности брусьев на болтах прикрепляют плиты с железными упорами для задней рамы агрегата. До укрепления каната на барабане лебедки агрегата его необходимо пропустить через оттяжной ролик и прикрепить к делительному диску. Затем при самом нижнем положении крюка навивают на рабочую часть барабана лебедки 8-10 витков каната. При ровной навивке каната считают, что подъемник установлен правильно.

нефтеносный скважина пластовый ловильный

2.3.2 Ловильный инструмент

Ловильные работы по извлечению оборвавшихся труб и упавшего инструмента занимают особое место в капитальном ремонте. Наиболее сложными являются работы по захвату и извлечению труб, так как колонна насосно-компрессорных труб, упавшая в скважину, при ударе о забой изгибается по всей длине и заклинивается в эксплуатационной колонне.

Конструкции ловильных инструментов чрезвычайно разнообразны, но по принципу захвата их можно подразделить на три основные группы: 1) плашечные; 2) нарезные; 3) комбинированные.

По принципу освобождения ловильные инструменты подразделяются на конструкции неосвобождающегося и освобождающегося типов.

Для ловли насосно-компрессорных труб и извлечения их из скважин пользуются труболовкамй различных конструкций с резьбами правого или левого направления. Труболовки с правыми резьбами предназначены для извлечения колонны захваченных труб целиком, труболовки с левыми резьбами - для отвинчивания и извлечения труб по частям.

По характеру захвата труб труболовки подразделяют на внутренние - для захвата труб за внутреннюю поверхность и наружные - для захвата за наружную поверхность трубы или муфты.

Труболовки, входящие в каждую из указанных групп, в свою очередь, подразделяют на труболовки неосвобождающегося и освобождающегося типов.

Труболовки освобождающегося типа делят на труболовки с механизмом фиксации плашек в освобожденном положении, гидравлического и механического действия. В скважинах с небольшим зазором между эксплуатационной колонной и аварийными трубами применяют труболовки без центрирующих приспособлений; при значительном зазоре труболовки оснащают центрирующим приспособлением - направлением с вырезом иливоронкой. Внутренние труболовки неосвобождающегося типа имеют только механизм захвата, который состоит из стержня с двумя наклонными плоскостями, расположенными под углом 180° друг к другу. Посередине каждой плоскости имеются продольные выступы с профилем «ласточкина хвоста».

По этим выступам в радиальном направлении перемещаются плашки, имеющие снаружи гребенчатую нарезку.

Внутренние труболовки освобождающегося типа имеют механизм захвата и фиксации плашек в освобожденном положении. Механизм захвата труболовок освобождающегося типа по конструкции аналогичен механизму захвата труболовок неосвобождающегося типа, стой лишь разницей, что стержень имеет шесть наклонных плоскостей, расположенных в два яруса и смещенных относительно друг друга на 60°; плашки перемещаются вместе с плашкодержателем.

Труболовка внутренняя освобождающаяся, глубинная, модернизирован-ная механического действия ТВОЗМ-114x168 (рис. 2.4, а) грузоподъемной силой 80 то и массой 75 кг предназначена для захвата аварийных 114-мм труб в; 168-ым колонне на любом расстоянии от верхнего конца, что позволяет осуществлять ловлю труб в тех случаях, когда верхний конец их деформирован. Механизм захвата расположен в верхней части и состоит из верхнего стержня 1, плашкодержателя 2, плашек 3 и гайки 4. Верхний стержень механизма захвата соединяется с механизмом фиксация плашек в освобожденном положении, а нижний стержень 5 механизма фиксации - с фиксатором 6. Нижний стержень оканчивается наконечником 11. С направляющей 8 при помощи резьбы соединяется тормоз, на корпусе 9 которого закреплены попарно четыре плоские пружины 10. Механизм фиксации вращается в двух упорных шарикоподшипниках 7 и 12. Для соединения труболовки с колонной бурильных труб на верхнем стержне предусмотрена ниппельная головка с резьбой. Чтобы фиксатор не вышел из исходного положения, труболовку спускают в скважину, не вращая трубы.

Труболовка наружная механического действия 1ТНО-168 (рис. 2.4, б) предназначена для ловли за наружную поверхность муфты, находящейся на верхнем конце колонны оставшихся в скважине насосно-компрессорных труб диаметром 73 мм, а также для ловли за наружную поверхность верхнего безмуфтового конца 89 мм колонны Основными узлами труболовки (рис 2.4, б) являются механизмы захвата и освобождения. К верхней части корпуса 4 присоединен переводчик 1, а внутрь корпуса ввинчивается специальный упор 2, ограничивающий перемещение вверх аварийной трубы. Ниже упора устанавливается упорный винт 3 с гайкой, на нижнем торце которого имеются радиально расположенные зубья. К упорному винту крепится плашкодержатель 6.

Техническая характеристика наружных труболовок механического действия приведена в табл. 2.1.

Таблица 2.1

Техническая характеристика наружных труболовок механического действия

Шифр труболовки

Диаметр аварийных труб, мм

Условный диаметр обсадных колонн, в которых производится ловля, мм

Грузоподъемная сила, тс

Диаметр труболовки, мм


тела трубы

муфты




1ТНМ73-146

73

60

146, 168, 178, 194, 219, 245

40

116

1ТН0-168

89

73

168, 178, 194, 219, 245, 273

40

138


Шифр труболовки

Диаметр центрирующего приспособления, мм

Длина труболовки с центрирующим приспособлением, мм

Масса, кг




труболовки

труболовки с центрирующим приспособлением

1ТНМ73-146

116-218

1645

77,5

82,5-84

1ТН0-168

138-242

1903-2050

122,2

127,4-137


Комбинированный ловитель 1ЛКШ-114 грузоподъемной силой 24 тс (рис 2.4, в) предназначен для ловли насосных штанг диаметром 16; 19 и 22 мм за тело или муфту, а также гладких недеформированных насосно-компрессорных труб диаметром 48 мм внутри эксплуатационных колонн диаметром 114-168 мм. К верхней части корпуса 4 ловителя крепится удлинитель 1, а к нижней - воронка 8. В верхней и нижней частях корпуса на внутренней поверхности сделаны специальные пазы с профилем «ласточкина хвоста», в которых, сверху располагаются плашки 5 для ловли штанг за муфту. Плашки перемещаются в корпусе синхронно с помощью специальных плашкодержателей 2 и 7 и пружины 3. Плашкодержатели соединены винтами 6. Ловитель спускают в скважину на колонне бурильных труб с левой нарезкой резьбы.

Несквозные колокола предусматриваются в трех исполнениях: гладкие, с воронкой, выполненной за одно целое с колоколом, и с резьбой под воронку.


Сквозные колокола изготовляют двух типов: гладкие с переводником и с резьбой под воронку. Резьба на верхнем конце предназначена для соединения колокола с колонной труб. Резьба в нижней части специального профиля. По нарезании резьбы на ловимом объекте.

Отличительной особенностью сквозных колоколов является возможность прохождения через них насосной штанги с муфтой или насосно-компрессорной трубы второго ряда с муфтой, выступающей из ловимой трубы.

Для ловли за внутреннюю поверхность колонн насосно-компрессорных и бурильных труб, оканчивающихся сверху муфтой или замком, предназначен метчик - инструмент нарезного типа.

Метчики подразделяются на универсальные (рис. 2.7), вводимые в трубу и врезающиеся в ее тело, и специальные (рис. 2.8), ввинчиваемые в резьбу муфты, трубы или замка.

Наружная резьба в нижней части универсального метчика специального профиля имеет продольные канавки для выхода стружки. Центрирующий конус на нижнем конце метчика облегчает ввод его в аварийные трубы.

Выше ловильной резьбы на метчике располагается цилиндрическая часть, используемая для повторной нарезки резьбы при ремонте, а далее - резьба для присоединения к колонне аварийных труб или к головке центрирующего приспособления. Центрирующее приспособление метчика состоит из головки, направления, воронки и направления с вырезом.


Метчики изготавливают с правым и левым направлением резьбы. Ловильная резьба специальных метчиков имеет профиль и размеры резьбы, соответствующие резьбе насосно-компрессорной трубы или ниппеля замка бурильной трубы. В остальном специальные метчики не отличаются от универсальных. Универсальные и специальные метчики для ловли колонн насосно-компрессорных труб изготавливают каждый в двух исполнениях: с резьбой под направление и без резьбы под направление.



Конструкция метчиков для ловли колонн бурильных труб аналогична конструкции метчиков, предназначенных для ловли насосно-компрессорных труб.

Освобождающийся метчик-калибр МК01-114х 168 грузоподъемной силой 30 тс (рис. 2.9), спускаемый в скважину на бурильных трубах, предназначен для ловли насосно-компрессорных труб. При ловильных работах метчик-калибр присоединяют к колонне бурильных труб при помощи резьбы, нарезанной на верхнем конце корпуса.

В наклонные пазы корпуса 1 с выступами посредине, имеющими в сечении форму «ласточкина хвоста», вставляют плашки 4, в которых снаружи предусмотрена специальная левая резьба, соответствующая по профилю резьбе аварийных (ловимых) труб. Плашки в крайнем нижнем (рабочем) положении удерживаются от перемещения вверх винтами 2. В отверстиях корпуса под плашками установлены подпружиненные штифты 3.

«Удочки» предназначены для ловли внутри 168-мм эксплуатационной колонны тартальных канатов диаметром не более 19 мм и каротажных кабелей диаметром не более 22,8 мм. Подразделяются «удочки» на шарнирные и нешарнирные. «Удочки» изготавливаются левыми и правыми с соответствующим направлением присоединительных резьб и крючков. В процессе работы нагрузка на «удочки» не должна превышать максимальную допустимую для них грузоподъемную силу (30 тс для всех видов «удочек»).

Однорогая «удочка» типа УОШ-168 представляет собой стержень со сквозным промывочным каналом, заостренный на нижнем конце и соединяющийся при помощи резьбы на верхнем конце с переводником. К стержню приварены два крючка специальной формы под углом 180° друг к другу, при помощи которых захватывается канат или кабель. К переводнику на резьбе крепят воронку, которая ограничивает прохождение «удочки» через спутанный клубок каната или кабеля.

Шарнирная «удочка» типа УШ 1-168 (рис. 2.9.1) применяется в тех случаях, когда канат или кабель, спутанные в клубок, затрудняют прохождение однорогих удочек с приваренными крючками.

Отличительная особенность шарнирной удочки - наличие четырех крюков 4, расположенных вдоль стержня 3 в шахматном порядке и укрепленных шарнирно в прорезях стержня. При прохождении «удочки» через клубок каната или кабеля крючки, откидываясь на осях и сжимая пластинчатые пружины 5, входят внутрь прорезей, почти не выступая за габариты стержня.

При подъеме «удочки» крючки под действием силы упругости пружин вновь возвращаются в раскрытое положение и захватывают канат или кабель. Переводник 7 и воронка 2 такие же, как и у «удочек» остальных видов.

АзИНМАШем разработаны аналогичные шарнирные, «удочки» для работы в скважинах различного диаметра.

Канаторезка типа 2КР19-146 (рис. 2.9.1) предназначена для отрезаниятартального каната над дужкой прихваченной желонки и извлечения его на поверхность. Вслучае прихвата перфоратора эту же операцию можно производить с каротажным кабелем.

.4 Описание аварий на скважинах

Ловильные работы по извлечению оборвавшихся труб и упавшего инструмента занимает особое место в капитальном ремонте. Наиболее сложными являются работы по захвату и извлечению труб, т.к. колонна НКТ, упавшая в скважину при ударе о забой изгибается по всей длине и заклинивается в эксплуатационной колонне. Кроме колонн НКТ из скважины извлекают также насосные штанги, металлические предметы, стальные канаты и каротажные кабели. В зависимости от этого ловильные работы подразделяются на следующие виды:

1.   Извлечение из скважины насосно-компрессорных и бурильных труб, прихваченных песком

2.   Извлечение прихваченных труб путем натяжки и обрыва

3.   Извлечение прихваченных труб отвинчиванием

4.   Извлечение из скважины заливочных труб, прихваченных песком

5.Извлечение из скважины труб, смятых и сломанных в результате падения

5.   Извлечение из скважины насосных штанг

6.   Извлечение из скважины отдельных металлических предметов

7.   Извлечение из скважины стального каната и каротажного кабеля

.4.1 Расчёт и подбор подъёмного агрегата

Задача. Требуется определить вес груза на крюке, рациональную оснастку талевого каната и рациональное использование мощности подъемника А-50У при проведении ловильных работ на скважине №489 Шелкановского месторождения.

·Исходные данные:

·Глубина подъема НКП, м1350

·Диаметр НКТ с!, м0,073

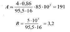
·  Вес 1м труб с высаженными концами и муфтами ц, Н95,5

·  Вес подвижной части талевой системы (крюк, элеватор, талевый блок) QД, = 95,5кН-КПД талевой системы т]т 0,86


Подставляя численные значения, получим:

. Число струн оснастки талевой системы определяется по величине усилия, развиваемого подъемником на I скорости:


где д - вес груза на крюке, Н;

Р] - тяговое усилие подъемника на I скорости для агрегата А-50У.

Принимаем оснастку 3x4 с креплением "метрового" конца талевого каната в ниц ней части подъемного сооружения к = 1,8. 3. Наибольшее натяжение возникает в ходовом конце талевого каната, которое определяется по формуле:


где - Qоб- вес поднимаемого оборудования, кН. Qоб - 6 кН.

р = 1,03 -1,04 - коэффициент, учитывающий трение в подшипниках шкивов и каната шкивы.

. Определим натяжение неподвижного конца талевого каната


. Определим разрывное усилие талевого каната по формуле:


где к - коэффициент запаса прочности талевого каната (отношение разрывного усилия каната к силе натяжения ходового конца талевого каната).

К = 3-3,5 Выбираем диаметр каната дканата - 17Длш.

Расчет талевого каната на прочности.6. Допустимую рабочую нагрузку на талевый канат определяют исходя из сопротивления разрыва пласта по его заводскому паспорту и коэффициента запаса прочности. Действительное усилие при подъеме наиболее тяжелой колонны труб определим по формуле


где *ст - статическая нагрузка на талевый канат, развивающаяся при натяжении инструмента, но без его движения, кН. Рст = Рхк = 304,5 кН

Рдт - нагрузка на канат, развивающаяся во время подъема или спуска колонны труб, кН.


где V - скорость подъема или спуска крюка на I скорости, м/с. ох =0,181 м/с.

- время разгона или торможения, с. 1 = 1-1,2 с

Таблица 1

Техническая характеристика агрегата А-50У

Скорость подъемника

Частота вращения барабана п, об/мин

Грузоподъемность на крюке, т

Средняя скорость подъемника на крюке, м/с

I

39,8

50

0,181

II

69,8

34,5

0,317

III

153

12,6

0,695

IV

268

7,5

1,215


Подставляя численные значения, получим:


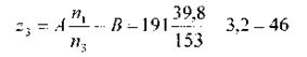
Действенное усилие при подъеме наиболее тяжелой колонны труб определяется:

) Рассчитываем коэффициент запаса прочности каната:


где Рр - расчетное разрывное усилие (табл.2). [Рр = 134 кН

Рк - действительное усилие при подъеме наиболее тяжелой колонны Труб.

Подставляя численные значения, получим


. Рациональное использование мощности подъемника и ускорение процесса подъемных труб достигается правильной оснасткой талевой системы и использованием всех скоростей подъемника. Принятая оснастка должна обеспечить подъем наибольшего груза на крюке на самой низкой I скорости подъемника. В дальнейшем скорость подъема по мере уменьшения веса поднимаемого груза увеличивается путем переключения подъемника на высшие скорости и в отдельных случаях путем первооснастки талевого каната.

Определим число колонн труб, которое следует поднимать на каждой



Определим число колонн труб, которое следует поднимать на I скорости:


На II скорости:


На III скорости:


На IV скорости:


Общее число колен в колонне труб:


где I - глубина подъема НКТ; I - длина 1 колонны труб. Подставляя численные значения, получим:


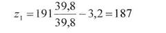
Для рационального использования всех скоростей подъемника необходимо переходить на пониженные скорости подъема максимально допустимых нагрузок при более высоких скоростях. Исходя из этого, следует поднимать на I скорости:

, - 22 =187 - 105 = 82 колен

На II скорости:

г, - 23 = 105 - 46 = 59 колен

На III скорости:

Ъ -24 = 46 - 25 = 21 колен

На IV скорости поднимают остальные 4 трубы.

.5 Расчёт глушения скважины, объёма и плотности жидкости глушения

Ловильные работы - это операции по ликвидации ряда аварий в нефтяных и газовых скважинах. К числу этих операций относятся: освобождение прихваченных труб или УБТ, извлечение из скважины оборванных или оставленных по другим причинам труб, удаление обломков и посторонних предметов из скважины, оборванных или прихваченных кусков кабеля, троса или проволоки. Когда возникает такие ситуации, приходится останавливать все работы по бурению, заканчиванию или капитальному ремонту скважин, и их возобновление возможно только после ликвидации аварии.

Потребность в ловильных работах возникает в каждой пятой бурящейся скважине и в четырех из пяти ремонтируемых. Поскольку стоимость ловильных работ (с учетом стоимости эксплуатации бурового оборудования)может быть весьма значительной, подход к ним должен быть осторожным и взвешенным. Техника и технология этих работ совершенствовались годами и позволяют ликвидировать практически любую аварию в скважине. Однако в некоторых случаях стоимость работ может оказаться очень большой, поэтому скважину приходится ликвидировать. Часто существует несколько способов ликвидации аварии, один из которых является оптимальным. Персонал компаний, производящих ловильный инструмент, постоянно участвует в аварийных работах и имеет гораздо больший опыт, чем люди, занятые в бурении и капитальном ремонте скважин и сталкивающиеся с авариями от случая к случаю.

Составление плана - очень важный этап при проведении ловильных работ, от которого во многом зависит их стоимость. План следует обсудить со всеми, кто принимает участие в работах: со специалистами по ловильным работам или с руководителями этих работ, с людьми, отвечающими за состояние бурового раствора, с буровой бригадой, со специалистами по электрометрическим работам (если они предусматриваются) ИСО всеми, кто может иметь отношение к делу. Гораздо дешевле выяснить невыполнимость какой-то операции до того, как приступить к ее выполнению.

Решение о проведении ловильных работ при ликвидации аварии должно быть экономически обосновано. Очевидно, что в мелких скважинах с небольшой продолжительностью цикла строительства и невысокой стоимостью оставляемых в скважине труб и инструментов экономически эффективны только самые дешевые ловильные работы. Когда на строительство скважины затрачены большие средства и надо извлечь инструмент большой стоимости, то экономически целесообразны существенные затраты времени и средств.

Принимать решение о ликвидации аварии надо с учетом, как научных достижений, так и практического опыта. С целью оценки времени, необходимого для проведения ловильных работ, полезно использовать коэффициенты вероятности. Вероятность (в процентах) определяют на основе анализа известных аналогичных ситуаций, хотя практически не бывает двух совершенно одинаковых случаев. Необходимо построить «дерево решений» для условий капитального ремонта и для бурения скважин с учетом стоимостных факторов и опыта работ в подобных ситуациях во многих скважинах. Но даже самое лучшее решение, кроме трезвого осмысления и тщательного анализа, требует квалифицированного исполнения с учетом возможностей бурового оборудования и инструмента.

По первому способу для определения глубины прихвата колонну растягивают нагрузкой Р и измеряют удлинение труб под влиянием этой нагрузки. Затем глубину прихвата приближенно вычисляют по формуле:


где I - глубина расположения места прихвата колонны в м;

М - удлинение колонны труб под влиянием растягивающей нагрузки Р в см;

Р - площадь сечения тела трубы прихваченной колонны в см2;

Р - растягивающая нагрузка в т.

По второму способу для определения глубины прихвата применяют прихватомер, предложенный инженерами О.А. Межлумовым и Л.О. Яцкевич


3. Безопасность и экологичность проекта

.1 Требования при спуско-подъемных операциях

. При использовании механизма для свинчивания труб и штанг устьевой фланец скважины должен располагаться на высоте 0,5 м от пола рабочей площадки.

. Запрещается применять какие-либо стержни, прикрепляемые к талевому блоку и к ходовой или неподвижной струне талевого каната, с целью предотвращения его скручивания.

. Устье скважины, при ремонте которой возможны выбросы, должно оборудоваться противовыбросовым оборудованием (превентором).

. Штанговый, трубный и стопорный ключи механизма для свинчивания и развинчивания труб и штанг должны быть установлены на штанги или трубы и сниматься с них только после полной остановки механизма.

. При отвинчивании полированного штока и соединения его со штангами устьевой сальник должен быть прикреплен к штанговому элеватору.

. В случае заклинивания плунжера штангового скважинного насоса насосные штанги следует отвинчивать только безопасным круговым ключом.

. Запрещается иметь на рабочей площадке во время спуско-подъемных операций элеваторы, не соответствующие диаметру поднимаемых (спускаемых) труб и штанг.

. Перед началом спуско-подъемных операций следует проверить исправность замка элеватора. Применение элеватора с неисправным замком запрещается.

. Для свинчивания и развинчивания штанг механическими ключами применять клиновую подвеску запрещается.

. Отвинченную трубу следует поднимать только после выхода из зацепления ниппеля из резьбы муфты.

. При подъеме труб и штанг не допускается резкий переход с одной скорости подъема на другую и превышение допустимых нагрузок для данного типоразмера труб и штанг.

. При спуско-подъемных операциях лебедку подъемника следует включать и выключать только по сигналу оператора.

. Запрещается при подъеме (спуске) труб и штанг оставлять талевый блок на весу при перерывах в работе, независимо от их продолжительности.

. Если во время спуско-подъемных операций наблюдается газовыделение, интенсивный перелив или уход жидкости, то спуско-подъемные операции должны быть прекращены, устье скважины загерметизировано и проведено повторное глушение скважины.

. Скорость подъема и спуска НКТ с закрытым внутренним каналом не должна превышать 0,25 м/с.

. В процессе подъема внутрискважинного оборудования нагрузка на крюке подъемного агрегата не должна превышать веса инструмента более 20%.

. Не допускается нанесение ударов по муфте труб с целью ослабления резьбового соединения перед отвинчиванием труб.

. При укладке труб на мостки свободный конец их с резьбой должен быть защищен предохранительным кольцом и установлен на салазки (тележку, лоток).

. При подъеме труб с жидкостью необходимо пользоваться приспособлением для предотвращения разлива жидкости на рабочую площадку. Жидкость, вытекающая из поднимаемых труб, должна направляться в специальную емкость, а в затрубное пространство производиться постоянный долив жидкости глушения.

. При перерывах в работе при спуско-подъемных операциях устье скважин должно герметизироваться.

. Работы по спуску и подъему оборудования из скважины при скорости ветра 11 м/с и более, во время ливня, сильного снегопада и видимости менее 50 м запрещены.

. В начале подъема лифтовой колонны строго следить за показанием индикатора веса. При превышении нагрузки выше веса скважинного оборудования необходимо лифтовую колонну вернуть в исходное положение и проверить положение цангового захвата замка - разъединителя колонны лифтовых труб. Подъем скважинного оборудования разрешается производить только после полной уверенности в том, что замок разъединителя колонны не находится в зацеплении с оборудованием пакера.

. Демонтаж устьевого оборудования скважин, эксплуатирующихся механизированным способом, оборудованных забойными клапанами - отсекателями, производится только после полного прекращения выделения газа из затрубного пространства скважины и проверки положения уровня жидкости в скважине (положение уровня должно быть неизменным).

. Работы по ликвидации нефтегазовых выбросов проводятся в строгом соответствии с действующими правилами. Планы работ согласуются военизированной частью по предупреждению возникновения ликвидации открытых газовых и нефтяных фонтанов и утверждаются главным инженером нефтегазодобывающего предприятия.

.2 Охрана недр и окружающей среды

Предотвращение загрязнения окружающей среды при проведении работ по КРС достигается проведением следующих мероприятий:

- Сбор, вывоз или обезвреживание на месте продуктов ремонта (углеводороды, оказавшиеся на территории вокруг скважины должны быть собраны и утилизированы либо сожжены, если утилизация невозможна);

- обваловка площади вокруг скважины, особенно в случаях возникновения неуправляемого фонтанирования;

Применение устьевых малогабаритных противовыбросовых устройств;

- Рекультивация территории, примыкающей к скважине, для сельскохозяйственного и иного пользования, в случае причинения ущерба передвижениям автомобильных и тракторных агрегатов


ЗАКЛЮЧЕНИЕ

Ловильные работы - это нежелательные, но часто встречающиеся операции как при бурении, так и при капитальном ремонте скважин. Они дорого стоят и обычно не предусмотрены сметой, поэтому необходимо следить за тем, чтобы они выполнялись с наименьшими затратами.

Аварии возникают в основном вследствие брака в работе исполнителей технологического процесса или изготовителей инструментов, оборудования и механизмов.

Как правило, бракованные изделия спускают в скважину очень редко, так как перед спуском в скважину их проверяют. Невнимательность и небрежность при проверке способствуют увеличению числа аварий с инструментами, спускаемыми в скважину. Число аварий из-за применения бракованных заводских изделий ежегодно не превышает 3-5%.

Основное число аварий (на некоторых предприятиях оно достигает до 95% общего числа аварий) происходит вследствие нарушения требований техники и технологий ведения буровых работ, предусмотренных в технических и технологических проектах на строительство скважин.

Беспечность и пассивность отдельных исполнителей, несоблюдение ими требований проектов и инструкций по эксплуатации механизмов - основной источник аварий. Причины аварий, прежде всего, объясняются недостатками внутри предприятия, несовершенством организации работ по КРС и обеспечения всем необходимым (механизмы и ключи для свинчивания и развинчивания, химическими реагентами, цементировачными агрегатами, автоцистернами и т.д.).


СПИСОК ЛИТЕРАТУРЫ

1. Генеральная технологическая схема разработки Манчаровского нефтяного месторождения. Отчет / Башнипинефть, рук. темы Абызбаев И.И., Ефремов Ф.М., - Уфа, 2007, - 405 с.

. Геология России и ближнего зарубежья (Северной Евразии): Учебник. - М.: Изд-во МГУ, 2007. - 448 с. ил.

. Исследование влияния геологической неоднородности продуктивных пластов Манчаровского месторождения на условия его разработки. Диссертация. Насыров Г.Г., Уфа, 2005, - 235 с.

.Проект разработки Манчаровского нефтяного месторождения. Отчет / Башнипинефть, рук. темы Андреев Е.А., Киреев Л.А., Насыров Г.Г., Уфа, 2007. - 325 с.

. Пересчет запасов нефти и газа Манчаровсого месторождения. Отчет/ Башнипинефть, рук. темы Зубик И.Л. - Уфа, 2007, - 158 с.

. Подсчет запасов нефти и газа Манчаровского месторождения. Отчет / Башнипинефть. Рук. темы: Авзалетдинова Л.Р., 0468/51, - Уфа, 2006, - 350

. Проектирование разработки крупных нефтяных месторождений, Сатаров М.М. и др. - М.: Недра, 2005

. Полезные ископаемые. Учебник для техникумов / И.Ф. Романович, А.И. Кравцов, Д.П. Филиппов и др. - М.: Недра, 2005. - 384 с.

. Кройл Ф.Ф. Разработка нефтяных месторождений при заводнении. - М.: Недра, 2006.

Похожие работы на - Проект проведения ловильных работ на Шелкановском месторождении

 

Не нашли материал для своей работы?
Поможем написать уникальную работу
Без плагиата!
Без нейросетей!