Проект воздушного трубчаторебристого охладителя природного газа на промежуточной компрессорной станции
МИНИСТЕРСТВО
ОБРАЗОВАНИЯ И НАУКИ УКРАИНЫ
ОДЕССКАЯ
НАЦИОНАЛЬНАЯ АКАДЕМИЯ ПИЩЕВЫХ ТЕХНОЛОГИЙ
КУРСОВОЙ
ПРОЕКТ
по
дисциплине «Машины и оборудование транспорта и хранения нефти и газа»
Проект
воздушного трубчаторебристого охладителя природного газа на промежуточной
компрессорной станции
Студент: Худайкулов Мердан
Руководитель: Кологривов Михаил Михаилович
Одесса 2014
СОДЕРЖАНИЕ
ВВЕДЕНИЕ
1ОБЩАЯ ЧАСТЬ
1.1 Назначение и классификация
компрессорных станций
.2 Основные узлы компрессорных
станций
2 ТЕХНОЛОГИЧЕСКАЯ ЧАСТЬ
2.1 Обзор установок охлаждения
природного газа
.2 Аппараты воздушного охлаждения
.3 Технические характеристики
аппаратов воздушного охлаждения
.4 Эксплуатация аппаратов воздушного
охлаждения
2.5 Описание технологической схемы
КС
3 РАСЧЕТНАЯ ЧАСТЬ
3.1 Расчет воздушного
трубчаторебристого охладителя
ВЫВОД
СПИСОК ЛИТЕРАТУРЫ
ВВЕДЕНИЕ
компрессорный трубчаторебристый охладитель газ
Развитие народного хозяйства в современных
условиях связано со значительным потреблением газа. Природные горючие газы
являются наиболее экономичным и универсальным топливом, способным заменить
твердое и жидкое топливо в быту, в городском и энергетическом хозяйстве,
промышленности, транспорте строительстве, электроэнергетике, сельском хозяйстве
и для коммунально-бытовых нужд. В энергетическом балансе Украины доля
природного газа в общем объеме потребления первичной энергии превышает 45 %. По
общей оценке Всемирного энергетического совета и Института системного анализа в
2050 году доля природного газа в мировом балансе первичных энергоресурсов
вырастет не менее чем на 25 - 30 %. Кроме больших преимуществ природного газа
перед другими видами топлива для коммунально-бытовых потребителей, он является
хорошим топливом для тепловых и энергетических установок, а также ценным сырьем
для химической промышленности. Замена газом других видов топлива позволяет
получить значительный экономический и экологический эффект. Украина имеет самую
развитую газотранспортную систему среди стран Европы. Через страну проложено
несколько магистральных газопроводов большого диаметра для обеспечения подачи
газа потребителям страны и экспорта в страны Западной Европы из России, в
частности газопровод "Союз". Общая протяженность магистральных
транспортных сетей эксплуатируемых предприятием ПАО «Укртрансгаз» составляет
более 35 тыс.км. Сегодня «Укртрансгаз» - это энергетический гигант,
обеспечивает:
Транзитную транспортировку российского
природного газа в Европу в объемах, что составляет почти 80 % от общего
экспорта России, благодаря которому наше государство ежегодно получает 26
млрд.м3 газа - около 30 % от всех его потребностей;
Транспортировка природного газа магистральной
частью газотранспортной системы по всей территории Украины для всех без
исключения потребителей ;
Подземное хранение природного газа объемом
несколько миллиардов кубометров ежегодно, благодаря чему в "пиковые"
зимние месяцы его недостаток не испытывают ни отечественные потребители, ни
потребители Западной Европы. Реализация газификации Украины включает процессы
проектирования, сооружения и эксплуатации газового хозяйства. Все элементы
системы газоснабжения должны соответствовать следующим требованиям:
экономичность, народнохозяйственная эффективность, высокая надежность,
экологичность, безопасность эксплуатации. При использовании природного газа
источником газоснабжения городов является магистральный газопровод, а при
использовании сжиженного газа - газораздаточные станции сжиженных газов,
получают газ по магистральным трубопроводам сжиженного газа, железнодорожным
или автомобильным транспортом. В конце магистрального газопровода, а также в
конце каждого отвода, где газ необходимо подать потребителю, сооружают
газораспределительные станции. Основная функция последних - это понижение
давления газа и автоматическое поддержание его на заданном уровне. После ГРС
газ поступает в систему газоснабжения населенных пунктов и установок, приборов
для сгорания газа. Функция газорегуляторного пункта заключается в снижении
давления газа и автоматическое поддержание на заданном уровне. Для повышения
надежности и эффективности работы системы газоснабжения с целью компенсации
неравномерности газоснабжения созданы подземные хранилища газа. Выполнение
задач возможно только при высокой квалификации всех работников газового
хозяйства, при знании ими действующих нормативных документов. Это обусловило
необходимость подготовки инженерных кадров, глубоко владеющих знаниями об
эффективных технологиях хранения и распределения природных газов и сжиженных
углеводородных газов.
1 ОБЩАЯ ЧАСТЬ
.1 Назначение и классификация компрессорных
станций
В процессе движения газа по магистральному
газопроводу за счет трения и отбора газа потребителями давление газа постепенно
понижается. Например, при расходе газа 90 млн м3/сут по трубе диаметром 1400 мм
давление убывает с 7,6 до 5,3 МПа на участке L
= 110 км. Для повышения давления газа в газопроводе и поддержания требуемой
пропускной способности по трассе через 80-120 км устанавливаются компрессорные
станции (КС). Потери давления на участке между КС определяют необходимое
значение повышения давления в газоперекачивающих агрегатах (ГПА).
Для закачки газа в подземные хранилища газа
(ПХГ) строят специальные КС, обеспечивающие закачку, как в ПХГ, так и в
газопровод. От надёжной работы КС зависит бесперебойная работа МГ.
На рисунке 1.1 представлена принципиальная схема
компоновки основного оборудования компрессорной станции.
Головную КС, находящуюся в начале магистрального
газопровода, сооружают в непосредственной близости от установок по комплексной
подготовке газа газовых месторождений, поэтому на головную КС газ поступает
практически полностью подготовленным к дальнему трубопроводному транспорту.
Таким образом, задачи головной КС сводятся к
приему газа от установок комплексной подготовки, очистке его от механических
примесей, компримирование до необходимого давления, охлаждению газа и подаче
его в МГ.
Промежуточные КС предназначены для поддержания
режимов транспортировки газа по всему МГ.
На промежуточных КС осуществляются следующие
основные технологические процессы:
очистка транспортируемого газа от механических и
жидких примесей, очистка газа в центробежных нагнетателях или поршневых
машинах, охлаждения газа после сжатия в специальных охладительных устройствах,
измерение и контроль технологических параметров, управление режимом работы
газопровода путем изменения числа работающих ГПА и режимного состояния самих
ГПА.
Рисунок 1.1 Принципиальная схема компоновки
основного оборудования компрессорной станции.
- узел подключения КС к МГ; 2 - камеры пуска и
приёма очистного устройства; 3 - установка очистки технологического
пылеуловители и фильтрысепараторы; 4 - установка охлаждения технологического
газа; 5 - газоперекачивающие агрегаты; 6 - технологические трубопроводы обвязки
КС; 7 - запорная арматура технологической обвязки агрегатов; 8 - установка
подготовки пускового и топливного газа; 9 - установка подготовки импульсного
газа; 10 - различное вспомогательное оборудование; 11 - энергетическое
оборудование; 12 - главный щит управления и система телемеханики; 13 -
оборудование электрохимической защиты трубопроводов обвязки КС
Со временем месторождения природного газа
истощаются, давление на устье скважин газового промысла падает. Для его
поддержания на головной КС (первой от промысла) строят дополнительные
(дожимные) компрессорные цеха). Соединенные в определенной последовательности и
по определенным правилам ГПА, трубопроводы, пылеуловители, аппараты воздушного
охлаждения, технологические краны различных диаметров образуют технологическую
схему КС.
.2 Основные блоки компрессорных станций
В состав КС входят:
технологические установки компримирования газа;
очистки газа; охлаждения газа после его компримирования, охлаждения масла и
воды (антифриза) ГПА; подготовки газа - топливного, пускового, импульсного и
для собственных нужд; воздухоснабжения;
склады горюче-смазочных материалов; метанола;
материалов и реагентов; оборудования; трубопроводов; арматуры и т. д.;
системы электроснабжения и молнезагциты;
теплоснабжения, утилизации теплоты, отопления и вентиляции;
производственно-хозяйственного и пожарного водоснабжения; канализации, контроля
и управления; телефонной
связи, радиофикации, газификации; пожарной и
охранной сигнализации, автоматического пожаротушения;
технологические коммуникации с запорной арматурой;
административно-бытовые помещения;
подсобно-производственные помещения;
вспомогательные объекты.
Основное технологическое оборудование КС - ГПА.
Вспомогательное оборудование I группы: установки
по очистке газа от пыли и влаги, оборудование для охлаждения газа, оборудование
системы смазки, уплотнения для центробежных нагнетателей, регулирования и
защиты ГПА: оборудования системы охлаждения масла, оборудование системы
подготовки топливного, пускового и импульсного газа.
Вспомогательное оборудование II группы: система
водоснабжения, канализации, связи, телемеханики и электроснабжения.
2 ТЕХНОЛОГИЧЕСКАЯ ЧАСТЬ
.1 Обзор установок охлаждения природного газа
Для охлаждения технологических продуктов в
промышленности применяются установки охлаждения (УО) различных типов. Поэтому в
настоящем подразделе приведен краткий обзор особенностей различных типов УО с
точки зрения возможности их использования для охлаждения транспортируемого газа
на КС магистральных газопроводов.
В состав любой УО входят теплообменные аппараты
(ТА); вспомогательное оборудование, обеспечивающее работу ТА; устройства и
приборы для управления режимами работы элементов УО и контроля за этими
режимами, а также трубопроводная обвязка.
В качестве теплообменников используются, как
правило, рекуперативные аппараты, т.е. ТА, в которых теплообмен между двумя
теплоносителями осуществляется через разделяющую их стенку. Один из
теплоносителей является основным, т.к. ради изменения его температуры в ТА
организуется процессе теплообмена. В дальнейшем основной теплоноситель
называется "технологическим продуктом", а второй теплоноситель, с
помощью которого изменяется температура технологического продукта -
"вспомогательным теплоносителем".
Для охлаждения газа на КС могут применяться
различные ТА, называемые "охладителями газа": кожухотрубные, типа
"труба в трубе", оросительные и воздушные. Эти охладители могут
соединяться между собой последовательно, параллельно и
последовательно-параллельно. Схема соединения охладителей газа определяется при
проектировании и реконструкции установки охлаждения газа. Установки охлаждения
газа (УОГ) классифицируются по нескольким признакам.
В зависимости от количества теплоносителей,
используемых для охлаждения газа, УОГ можно разделить на две группы: простые и
комбинированные, в которых используется соответственно один и нескольких (как
правило, два) теплоносителей. В этих УОГ применяется различное по устройству и
составу оборудование.
В зависимости от вида холодного теплоносителя,
определяющего уровень охлаждения газа, простые УОГ можно разделить на установки
водяного и воздушного охлаждения, а комбинированные УОГ - на рекуперативные и
холодильные. В этих УОГ газ охлаждается соответственно водой, атмосферным
воздухом, газом, перекачиваемым по трубопроводу, и теплоносителем, испаряющимся
(кипящим) при низкой температуре.
В зависимости от типоразмера охладителей газа
(ОГ) УОГ можно разделить на однородные и неоднородные, которые состоят из ОГ
соответственно одного и нескольких типоразмеров.
Если газ охлаждается водой из природного или
искусственного водоема или атмосферным воздухом, то такая УОГ называется
установкой открытого типа. Если газ охлаждается промежуточным холодным
теплоносителем (ХТ), не соприкасающимся с природным ХТ, то такая УОГ называется
установкой закрытого типа.
Рассмотрим различные установки охлаждения
транспортируемого газа на КС на рисунке 2.1.
В установках водяного охлаждения газа (УВДОГ)
вода называется "оборотной водой". Температура этой воды может
понижаться путем сброса ее в природный источник водоснабжения, а также в
охладителях испарительного и поверхностного типу. При сбросе нагретой оборотной
воды в природный источник водоснабжения (река, озеро) ее температура может быть
значительно ниже температуры воздуха. Такая УОГ, являющаяся установкой
открытого типа, называется прямоточной. При обосновании возможности сооружения
такой УВДОГ надо учитывать наличие источника водоснабжения и удаленность его от
КС; дебит источника водоснабжения, который должен превышать потребность УВДОГ в
воде; разницу между геодезическими высотами среднегодового уровня воды в
источнике и осью циркуляционных насосов в УВДОГ, а также качество и температуру
воды в источнике.
Установки водяного охлаждения газа, оснащенные
охладителями оборотной воды (ООВ) испарительного типа, также являются
открытыми. К ООВ испарительного типа относятся водохранилища-охладители,
брызгальные бассейны и градирни.
Охлаждение оборотной воды в
водохранилищах-охладителях (В-О) происходит с поверхности зеркала воды. В В-О
воду можно охладить до более низких температур, чем в брызгальных бассейнах и
градирнях, при меньшем колебании температуры воды в течение суток, что
объясняется большой теплоаккумулирующей способностью В-О. Однако для В-О
требуются большие площади и большие затраты на их содержание. Охлаждение оборотной
воды в брызгальных бассейнах ББ происходит с поверхности капель воды,
образующихся при разбрызгивании воды с помощью брызгальных устройств - рис.
2.1, а.
Для ББ характерна сравнительно низкая и
неустойчивая охлаждающая способность, зависящая от направления и скорости
ветра.
В градирнях поверхность охлаждения образована
оросительными ТА. Воздух, охлаждающий оборотную воду, может поступать к
оросительным ТА как за счет продувки ветром в открытой градирне ОГр (рис. 2.1),
так и за счет естественной или искусственной тяги воздуха, создаваемой соответственно
в башенных БГ (рис. 2.1, в) или вентиляторных ВГ (рис. 2.1, г, д) градирнях. В
ВГ тяга создается вентиляторами, расположенными в верхней части градирни.
Рисунок 2.1 Различные установки охлаждения
транспортируемого газа на КС
В такой градирне обеспечивается наибольшее
охлаждение оборотной воды. Кроме того, ВГ позволяет регулировать температуру
охлаждения оборотной воды путем отключения отдельных вентиляторов или изменения
скорости их вращения.
Установки водяного охлаждения, оснащенные ООВ
поверхностного типа, являются закрытыми. В ООВ поверхностного типа оборотная
вода охлаждается воздухом и поэтому охлаждающая способность ООВ этого типа
ниже, чем у ООВ испарительного типа. К ООВ поверхностного типа относятся радиаторные
или "сухие" градирни, входящие в состав так называемой системы
Геллера, и аппараты воздушного охлаждения - рис. 2.1, ж.
"Сухая" градирня СГ изготавливается
вентиляторной или с естественной тягой воздуха (рис. 2.1, е). Она представляет
собой башню диаметром 40-120 м и высотой 50-100 м, предназначенную для создания
необходимого напора воздуха, проходящего через воздушные охладители ОВВ,
расположенные по периметру у основания башни.
В установке воздушного охлаждения газа (УВОГ),
являющейся УОГ открытого типа, газ охлаждается атмосферным воздухом до
температуры, превышающей температуру воздуха, как правило, на 10-20 К. Эта УОГ
состоит из нескольких аппаратов воздушного охлаждения (АВО) газа, как правило,
одного типоразмера АВОГ, соединенных между собой параллельно, - рис. 2.1, з.
Изменение количества рабочих АВО в составе УВОГ осуществляется с помощью
кранов, установленных на входе и выходе каждого АВО. Для подачи газа от
нагнетателей в линейный участок трубопровода, минуя УВОГ, предназначена
байпасная линия БЛ.
Впервые установки воздушного охлаждения
различных технологических проауктов стали применяться на предприятиях
химической, нефтехимической и нефтеперерабатывающей отраслей промышленности и
лишь позднее - для охлаждения перекачиваемого газа на КС магистральных
газопроводов. Аппараты воздушного охлаждения, образующие ряд стандартизованных
АВО общего назначения, разработаны в ГИПРОНЕФТЕМАШе под руководством В.М.
Шмерковича.
Рекуперативная установка охлаждения газа (РУОГ),
в разработке которой участвовали сотрудники ВНИИГАЗа, ГИПРОСПЕЦГАЗа, МИНХ и ГП
им. И.М.Губкина, предназначена для реализации температурного режима транспорта
газа, близкого к изотермическому. Эта установка обладает автостабилизирующей
способностью, т.е. при значительном изменении температуры атмосферного воздуха
изменение температуры газа на выходе из РУОГ относительно невелико. Из
трубопровода Г газ поступает в рекуперативные охладители ОГР, в которых он
предварительно нагревается, - рис. 2.1, и. После компремирования в нагнетателях
НГ газ охлаждается сначала атмосферным воздухом в аппаратах воздушного
охлаждения АВОГ (первая ступень охлаждения), а затем - транспортируемым газом в
ОГР (вторая ступень охлаждения). Под "ступенью охлаждения" здесь и в
дальнейшем понимается один или несколько ОГ, соединенных между собой
параллельно. Эти ОГ являются однотипными по конструкции и виду используемого в
них ХТ.
В течение определенного периода времени в году
газ в РУОГ можно охлаждать до более низкой температуры, чем в УВОГ. Например, в
теплый период времени, когда в РУОГ работают обе ступени охлаждения (ОГР и
АВОГ), газ охлаждается до температуры, которая будет меньше температуры
воздуха, но больше температуры газа на входе в РУОГ. Поскольку в этом случае
обратный поток газа охлаждается в ОГР прямым потоком газа, поступающего из ЛУ
трубопровода, температура охлаждения газа в РУОГ зависит от температурного
режима этого ЛУ. В холодный период времени низкая расчетная температура
охлаждения газа может быть реализована только АВО и поэтому ОГР отключаются. Следовательно,
РУОГ целесообразно применять на линейных КС. Кроме того, как показали
технико-экономические расчеты, охлаждение газа в РУОГ в условиях Севера
значительно эффективнее, чем в установках, основой которых являются холодильные
машины (ХМ) и которые, как отмечено ранее, называются "станциями
охлаждения".
В станции охлаждения газа (СОГ), являющейся
комбинированной УОГ, газ охлаждается сначала в аппаратах воздушного охлаждения
АВОГ или водяных охладителях ОГВД, образующих первую ступень охлаждения, - рис.
2.1, к. Затем температура газа понижается в охладителях газа ОГ, которые вместе
с ХМ образуют вторую (основную) ступень охлаждения. В качестве ХМ могут
применяться паровые компрессионные ХМ (ПКХМ) или абсорбционные водо-аммиачные
ХМ (АВХМ), использующие теплоту продуктов сгорания ГТУ. Теплоносителями,
называемыми в данном случае "хладагентами", в ПКХМ являются вещества,
имеющие низкую температуру кипения при атмосферном давлении (например,
пропан-бутановая смесь), а в АВХМ - водоаммиачный раствор, состоящий из
рабочего тела (аммиака) и поглотителя или адсорбента (воды), причем температура
кипения адсорбента должна быть больше температуры рабочего тела.
В СОГ газ в течение всего года можно охлаждать
практически до любой температуры. Поэтому СОГ применяются для обеспечения
расчетных тепловых режимов МГ, пересекающих районы распространения
многолетнемерзлых просадочных грунтов. Станции охлаждения газа могут
использоваться как на головных, так и на промежуточных КС.
Из рассмотренных типов УО для охлаждения газа на
КС в настоящее время применяются или могут применяться установки,
принципиальные схемы которых представлены на рис. 2.1, г, д, ж, з, и, к.
Для обеспечения расчетных тепловых режимов МГ в
большинстве районов России на КС используются установки водяного (УВДОГ) и
воздушного (УВОГ) охлаждения транспортируемого газа.
На начальном этапе развития трубопроводного
транспорта газа применялись УВДОГ, имеющие следующие преимущества по сравнению
с УВОГ:
) при прочих одинаковых условиях массовый расход
оборотной воды в УВДОГ примерно в 4 раза меньше массового расхода атмосферного
воздуха в УВОГ, т.к. теплоемкость воды в возможном диапазоне изменения ее
температуры примерно в 4 раза больше теплоемкости воздуха;
) объемный расход воды в УВДОГ примерно в 3300
раз меньше объемного расхода воздуха в УВОГ, т.к. удельный объем воды более,
чем в 825 раз меньше удельного объема воздуха.
В результате сопоставления УВДОГ и УВОГ,
выполненного рядом научно-исследовательских и проектных организаций газовой
промышленности, установка воздушного охлаждения газа на КС принята в настоящее
время в качестве основной по следующим причинам.
Во-первых, в начале 80-х годов XX века в районах
с развитой промышленностью и южных засушливых районах России появился дефицит
пресной воды, необходимой для охлаждения различных технологических продуктов, в
то время как при воздушном охлаждении исключается зависимость УО от источника
водоснабжения. Кроме того, в этот период времени промышленные предприятия имели
недостаточные мощности сооружений для очистки охлаждающей воды. Поэтому
установкам воздушного охлаждения газа следует отдать предпочтение на КС,
расположенных в безводных районах пустынь и полупустынь. Установки воздушного
охлаждения газа следует применять также в северных и восточных районах, где
использование водяного охлаждения в течение продолжительного холодного периода
времени в году связано со значительными трудностями, прежде всего, из-за
обмерзания и разрушения вентиляторных градирен и загрязнения ТА. Частые,
продолжительные и сильные ветры являются причиной значительных потерь оборотной
воды в УВДОГ. Отмеченное ограничивает возможности расширения и реконструкции
действующих установок водяного охлаждения технологических продуктов в различных
отраслях промышленности, включая газовую.
Во-вторых, применение воздушного охлаждения
исключает необходимость использования и обслуживания дорогостоящего
оборудования и коммуникаций установок водяного охлаждения газа.
В-третьих, воздух по сравнению с водой нужного
качества имеег неограниченные запасы и является бесплатным теплоносителем.
В-четвиртых, вода вызывает коррозию и
значительное загрязнение поверхностей охладителей газа. Если, например,
температура нагретой воды в УВДОГ больше 43-49 С, то процессы коррозии и
загрязнения теплообменных поверхностей интенсифицируется, в то время как в УВОГ
нет ограничений по температуре нагретого воздуха. Кроме того, загрязнения
теплообменных поверхностей со стороны охлаждающего воздуха в УВОГ менее опасны
и легче удаляются, чем загрязнения со стороны охлаждающей воды в УВДОГ.
В-пятых, воздух удовлетворяет возросшим
требованиям по защите окружающей среды и поддержанию экологического равновесия
в природе: широкое применение в настоящее время УВОГ является кардинальным
решением одной из важнейших народнохозяйственных задач - сохранение природных
водных ресурсов Украины
И наконец, в-шестых, опыт проектирования и
эксплуатации установок воздушного охлаждения различных технологических
продуктов на предприятиях нефтехимической и газовой отраслей промышленности
показал, что капитальные затраты в установку воздушного охлаждения на 25- 30 %
меньше, чем в установку водяного охлаждения, а эксплуатационные расходы меньше
на 50-70%.
Вместе с тем, воздушное охлаждение имеет
следующие недостатки по сравнению с водяным.
Во-первых, при прочих одинаковых условиях
температура охлаждения технологического продукта в установке воздушного
охлаждения примерно на 11-12 К больше, чем в установке водяного охлаждения.
Во-вторых, в АВО необходимо значительно
увеличивать поверхность тепло-обменных труб со стороны воздуха путем оребрения
труб, т.к. коэффициент теплоотдачи от газа к трубам примерно в 80 раз больше
коэффициента теплоотдачи от оребренной поверхности труб к воздуху.
В-третьих, если температура охлаждающей воды при
эксплуатации УВДОГ меняется сравнительно медленно, то температура атмосферного
воздуха меняется как в течение года, так и в течение суток, что при низкой
тепловой инерции УВОГ приводит к частым и порой значительным колебаниям
температуры охлаждения газа в течение рассматриваемого периода времени
колебания tох в УВОГ превышают
колебания в УВДОГ.
Важно отметить, что тип УОГ выбирается при ее
проектировании или реконструкции в результате технико-экономического расчета
МГ. Этот расчет выполняется с учетом технологических ограничений, накладываемых
на температуру транспортируемого газа, обеспеченности охлаждающим
теплоносителем (ОТ), его стоимостью, влияния возможных изменений в течение года
температуры ОТ на температуру охлаждения газа, а также влияния, оказываемого
рассматриваемой УОГ на окружающую среду.
.2 Аппараты воздушного охлаждения
Наибольшее распространение на КС получили схемы
с использованием аппаратов воздушного охлаждения АВО (рис. 2.2).
Аппарат воздушного охлаждения представляет собой
рекуперативный ТА, в котором транспортируемый газ охлаждается атмосферным
воздухом. В состав АВО входят: 1) одна или несколько теплообменных секций 1,
расположенных горизонтально (рис. 2.2), вертикально или зигзагообразно (рис.
2.2, г) и образующих теплообменную поверхность; 2) один или нескольких
(максимум шесть) вентиляторов 4 с электроприводами 6; 3) аэродинамические
элементы 9 и 10; 4) регулирующие устройства: например, 14. Основные узлы АВО
расположены на металлической или железобетонной несущей конструкции 11,
установленной на фундаменте 12.
Рисунок 2.2. Конструкция аппаратов воздушного
охлаждения на компрессорных станциях магистральных газопроводов.
а) АВО типа АВГ с двумя вентиляторами (с
редуктором),
б) АВО типа АВГ с двумя вентиляторами (без редуктора);
в) АВО типа АВГ с одним вентилятором;
г) АВО типа АВЗ с одним вентилятором;
д) АВО Nuovo Pignon
- теплообменная секция, 2 - камера подвода
(отвода) газа, 3 - рама жесткости; 4 - вентилятор; 5 - лопасть; 6 -
электродвигатель, 7 - редуктор; 8 - клиноременная передача, 9 - патрубок; 10 -
диффузор; 11 - несущие конструкции, 12 - фундамент; 13 - жалюзи; 14 -
устройство для изменения угла установки лопастей вентилятора.
Стандартизованные АВО классифицируются по
нескольким признакам:
) по расположению секций: горизонтальные (АВО
типов АВГ, АВГБ и ЛВМ-Г - см. рис. 2.2, а, б, в, д), вертикальные (АВО типа
АВМ-В) и зигзагообразные (АВО типа АВЗ - см. рис. 2.2 г);
) по количеству секций: одно- (АВО типов АВМ,
АВМК и АВГБ), двух-(АВО типа АВГБ), трех- (АВО типа АВГ) и шестисекционные (АВО
типов АВЗ и АВЗ-Д);
) по количеству ходов технологического продукта
в трубном пространстве секций: одно-, двух-, трех- (кроме АВО типа АВЗ),
четырех-, шести- и восьми-ходовые - см. рис. 1.2;
) по количеству рядов труб в секции: трех-,
четырех-, пяти-, шести- и вось-мирядные.
Рассмотрим основные узлы АВО. Тепдообменная
секция 1 представляет собой пучок оребренных теплообменных труб.
Теплообменные трубы в пучке расположены в
шахматном порядке, в вершинах равносторонних треугольников. Трубы закреплены в
двух трубных досках камер подвода и отвода газа 2 (см. рис. 2.2, а, г). Одна
или несколько горизонтальных секций (кроме вертикальных секций в АВО типа
АВМ-В, которые не применяются для охлаждения газа смонтированы на несущей раме
жесткости 3 (см. рис. 2.2, а). Секции закреплены на несущей конструкции только
с одного конца для того, чтобы трубы имели возможность изменять свою длину при
изменении их температуры. Камеры подвода и отвода газа секций аппарата
объединены соответственно входным и выходным коллекторами (на рис. 2.2 не
показаны), которые соединяются с основными технологическими трубопроводами с
помощью трубопроводной обвязки.
Вентиляторы могут располагаться как под секциями
АВО (нижнее расположение), так и над ними (верхнее расположение).
При нижнем расположении вентиляторы создают
нагнетательную тягу воздуха через секции АВО (рис. 2.2, а, б, в, г). При
условии обеспечения одинакового теплосъема в АВО с верхним и нижним
расположением вентиляторов мощность вентиляторов, необходимая для прокачки
воздуха через секции, в этом случае меньше, чем при верхнем расположении
вентиляторов. Это обусловлено меньшим объемным расходом воздуха. Кроме того,
при нижнем расположении вентиляторов повышается надежность работы вентиляторов
и их приводов, упрощается соединение вентиляторов с приводами и облегчается их
техническое обслуживание.
При верхнем расположении вентиляторы создают
вытяжную тягу воздуха через секции АВО (рис. 2.2, д). При условии обеспечения
одинакового теплосьема в АВО с верхним и нижним расположением вентиляторов
мощность, необходимая для прокачки воздуха через секции, в этом случае больше,
чем при нижнем расположении вентиляторов.
Рисунок 2.3. Схема подключения аппарата
воздушного охлаждения (при нижнем расположении вентилятора):
- воздушный холодильник газа 2АВГ-75; 2 - свеча;
, 4 - коллекторы входа и выхода газа.
При верхнем расположении вентиляторы создают
вытяжную тягу воздуха через секции АВО (рис. 2.2, д). При условии обеспечения
одинакового теплосьема в АВО с верхним и нижним расположением вентиляторов
мощность, необходимая для прокачки воздуха через секции, в этом случае больше,
чем при нижнем расположении вентиляторов. Кроме того, при верхнем расположении
вентиляторов ухудшаются условия работы вентиляторов и их приводов, т.к. они
находятся в потоке горячего воздуха, усложняется обслуживание вентиляторов и их
приводов, возрастают вибрации вентиляторов.
Рисунок 2.4. Аппарат воздушного охлаждения газа
с верхним расположением вентилятора:
- теплообменная поверхность; 2 - вентилятор; 3 -
патрубок; 4 - диффузор; 5 - клиноременная передача; 6 - электродвигатель.
Несмотря на отмеченное, верхнему расположению
вентиляторов следует отдать предпочтение, т.к. в этом случае скорость потока
воздуха, набегающего на трубы, распределяется более равномерно по всей площади
секций, исключается возможность возникновения рециркуляции горячего воздуха в
секциях, обеспечивая тем самым более интенсивный отвод теплоты от газа.
Взаимное расположение теплообменных секций и вентиляторов для прокачки воздуха
практически и определяет конструктивное оформление АВО. Теплообменные секции
АВО могут располагаться горизонтально, вертикально, наклонно, зигзагообразно,
что и определяет компоновку аппарата.
.3 Технические характеристики аппаратов
воздушного охлаждения
В АВО газа применяются вентиляторы диаметром
2,5, 2,8 и 5,0 м, в то время, как диаметр вентиляторов в стандартизованных АВО
общего назначения изменяется от 0,8 до 7,0 м. На колесе вентилятора крепятся от
3 до 8 штампованных или сварных лопастей, угол установки которых можно изменять
от 0 до 30 градусов.
Таблица 2.1 Техническая характеристика АВО для
охлаждения газа
|
Показатели
|
Марка
(тип) аппарата
|
|
|
АВГ-120
|
АВГ-160
|
2АВГ-75
|
АВЗ-9-64-Б1-ВЗ
|
Горизонтальный
|
Горизонтальный
|
Горизон-
тальный
|
Зигзаго-
образный
|
|
Число
секции
|
6
|
4
|
3
|
6
|
|
Число
рядов труб в секции
|
3
|
6
|
6
|
8
|
|
Число
ходов по трубам
|
1
|
3
|
1
|
2
|
|
Коэффициент
оребрения
|
22
|
14,6
|
20-22
|
9
|
|
Поверхность
по оребрения, м2
|
28100
|
7920
|
9660-10360
|
5300
|
|
Длина
труб, м
|
12
|
7,9
|
12
|
6
|
|
Давление
в трубах, МПа
|
12,0
|
16,0
|
7,5
|
5,6
|
|
Температура
в трубах расчетная, °С
|
|
|
|
|
|
150
|
--
|
150
|
200
|
|
Диаметр
колеса вентилятора, м
|
5,0
|
-
|
5
|
-
|
|
Частота
вращения, об/мин
|
250
|
-
|
250
|
-
|
|
Расход
воздуха помин, м3/ч
|
390000
|
800000
|
450000
|
720000
|
|
Напор
полный, МПа
|
2,0
|
-
|
2,0
|
3,0
|
|
Потребляемая
мощность, кВт
|
31,7
|
40
|
37
|
75
|
|
Число
вентиляторов
|
4
|
2
|
1
|
|
Марка
электродвигателя
|
С016-14-24
|
-
|
-
|
-
|
|
Установленная
мощность, кВт
|
37
|
-
|
37
|
100
|
|
Число
электродвигателей
|
4
|
4
|
2
|
1
|
|
Масса
аппарата, кг
|
108000
|
45600
|
46650-44250
|
34200
|
|
Габариты,
м
|
12,7x12x5,7
|
9,0x8,7x4,1
|
6x12
|
6,33x6x6
|
.4 Эксплуатация аппаратов воздушного охлаждения
Опыт эксплуатации АВО на КС показывает, что
снижение температуры газа в этих аппаратах можно осуществить примерно на значение
порядка 15-25 °С. Одновременно опыт эксплуатации указывает на необходимость и
экономическую целесообразность наиболее полного использования установок
охлаждения газа на КС в годовом цикле эксплуатации, за исключением тех месяцев
года с весьма низкими температурами наружного воздуха, когда включение всех
аппаратов на предыдущей КС приводит к охлаждению транспортируемого газа до
температуры, которая может привести к выпадению гидратов. Обычно это относится
к зимнему времени года.
При проектировании компрессорной станции
количество аппаратов воздушного охлаждения выбирается в соответствии с
отраслевыми нормами ОНТП51-1-85. На основании этих норм температура
технологического газа на выходе из АВО должна быть не выше 15-20 °С средней
температуры наружного воздуха. Уменьшение температуры технологического газа,
поступающего в газопровод после его охлаждения в АВО, приводит к уменьшению
средней температуры газа на линейном участке трубопровода и, как следствие, к
снижению температуры и увеличению давления газа на входе в последующую КС. Это,
в свою очередь, приводит к уменьшению степени сжатия на последующей станции
(при сохранении давления на выходе из нее) и энергозатрат на компремирование
газа по станции. Очевидно также, что оптимизация режимов работы АВО должна
соответствовать условию минимальных суммарных энергозатрат на охлаждение и
компремирование газа на рассматриваемом участке работы газопровода.
Следует также отметить, что аппараты воздушного
охлаждения газа являются экологически чистыми устройствами для охлаждения газа,
не требуют расхода воды, относительно просты в эксплуатации.
Широкое применение аппаратов воздушного
охлаждения объясняется ограниченностью водных ресурсов и необходимостью
уменьшения количества сточных вод, загрязняющих водоемы, для очистки которых
требуются сложные гидротехнические сооружения. Установлено, что использование
воздушных конденсаторов взамен других известных аппаратов экономически
оправдано.
Аппараты воздушного охлаждения имеют ряд
существенных преимуществ перед другими теплообменниками; они удобны в
эксплуатации, очистка и ремонт их менее трудоемки, наружная поверхность труб,
омываемая загрязненным воздухом, практически не загрязняется и не корродирует.
При эксплуатации воздушных конденсаторов, для
которых не требуется вода в качестве хладоагента, исключена опасность аварий в
результате внезапного прекращения подачи ее на установку. В случае внезапного
отключения вентилятора в этих аппаратах обеспечивается съем 20-30% тепла за
счет естественной конвекции воздуха.
В северных районах страны применение воздушных
конденсаторов позволяет надежно и экономично охлаждать все технологические
потоки, выводимые с установки. В южных районах охлаждение низкокипящих потоков
целесообразно проводить в два этапа: воздухом до 60 °С и далее водой в
"концевых" трубчатых конденсаторах-холодильниках.
Применяемые в настоящее время аппараты
воздушного охлаждения принципиально отличаются друг от друга расположением
трубных секций и конструкций воздухоподающих устройств. Трубные секции могут
быть расположены горизонтально, вертикально, наклонно, в форме шатра и
зигзагообразно. В последних четырех случаях аппараты занимают меньшую площадь.
Подвергаемый конденсации и охлаждению поток проходит внутри трубок. Через
межтрубное пространство каждой секции прогоняется вентилятором воздух.
Вентилятор вмонтирован соосно с аппаратом на
самостоятельной раме. Он состоит из электродвигателя, углового редуктора и
восьмилопастного колеса Характеристику работы вентилятора можно менять, изменяя
угол установки алюминиевых лопастей колеса в пределах 10-25°. Применение
двухскоростных электродвигателей также позволяет варьировать режим работы
конденсатора в широких пределах.
При необходимости интенсивность конденсации и
охлаждения можно регулировать изменением расхода воздушного потока с помощью
жалюзи, устанавливаемых над трубными секциями. Для снижения температуры
охлаждающего воздуха через форсунки оросительного устройства подают распыленную
воду, что позволяет снижать в летнее время таким способом температуру воздуха в
диффузоре на 2-10 °С.
В процессе компремирования газа, повышается
температура газа. Излишне высокая температура, с одной стороны может привести
разрушению изоляционного покрытия трубопровода, а с другой - к снижению подачи
технологического газа и увеличению энергозатрат на компремирование (из-за
увеличения его объемного расхода).
Охлаждение газа может осуществляться в
холодильниках различных систем и конструкций: кожухотрубных (типа труба в
трубе), воздушных компрессорных и абсорбирующих холодильных машинах, различного
типа градильнях, воздушных холодильниках.
Температура газа после охлаждения в АВО не может
быть ниже температуры наружного воздуха. Конструктивно аппараты охлаждения
подразделены на вертикальные (ABB), горизонтальные (АВГ), зигзагообразные, шатровые
(АВШ) и кольцевые (АВК).
Принцип действия АВО состоит в том, что поток
воздуха, нагнетаемый вентилятором, направляется на поверхность теплообмена
(батарею труб) и охлаждает проходящий по трубам газ.
На рамную конструкцию установлены охлаждающие
секции. Холодный теплоноситель (наружный воздух) подается к охлаждающим секциям
вентилятором через диффузор.
В зависимости от условий эксплуатации АВО
выпускают нескольких типов: без жалюзи; Ж - с жалюзи; Н - с приводом для работы
во взрывобезопасной среде; В - с приводом для работы во взрывоопасной среде; 1
- е тихоходным электродвигателем.
Рисунок 2.5 Компоновка теплообменных секций в
АВО
Варианты исполнения привода дистанционного
механизма поворота лопастей вентилятора: Р - ручной; П - пневматический; Э -
электромеханический; У - с центральным ручным регулированием угла установки
лопастей при остановленном вентиляторе. Поворотные лопасти позволяют
регулировать расход воздуха для регулировки t газа при изменении наружной t окружающего
воздуха. АВО также могут быть поставлены с увлажнителем.
3 РАСЧЕТНАЯ ЧАСТЬ
.1 Расчет воздушного трубчаторебристого
охладителя
Входные данные:
Избыточное давление газа после
компримирования Р=7,5МПа
;
Температура газа после
компримирования tвх.=70оС;
Заданная темпертура охлаждения газа tвх.=40оС;
Температура окружающего воздуха tвозд.=32оС;
Коммерческий расход природного газа
при НУ Q = 30
тыс.м3/час.
Компонентный состав природного газа,
объемное содержание компонентов в газовой смеси, %СН4 = 94,0 % - метан;С2Н6 =
2,8 % - этан;С3Н8 = 0,4 % - пропан;С4Н10 = 0,3 % - бутан;С5Н12 = 0,1 % -
пентан;СО2 = 2,0 % - углекислый газ;= 0,4 % - азот.
Выбор аппарата воздушного
охлаждения. К
расчету принимаем АВО типа АВГ в количестве 
шт. согласно каталогу [6], имеющий
следующие технические характеристики:
основные параметры
коэффициент оребрения труб 
14.6;
число рядов труб, шт. 6;
длина теплобменных труб 
, мм 8000;
количество труб в секции 
, шт. 123;
количество секций 
, шт. 3;
число ходов по трубам 1;
наружная поверхность теплообмена 
, м2 3800;
исполнение аппарата Б3;
вес аппарата, кг 21550;
основные размеры аппарата (рис. 3.1)
длина 
, мм 8350;
длина 
, мм 8000;
высота 
, мм 3750;
высота 
, мм 4140;
характеристика электродвигателя
тип электродвигателя АО2-92-12/6;
номинальная мощность, кВт 25;
число оборотов вала в минуту 490;
вес, кг 640.
В таблице 3.1 представлено
материальное оформление аппарата.
Таблица 3.1 Материальное оформление
аппарата
|
Деталь
аппарата
|
Материал
|
|
трубы
внутренние
|
Сталь
Х18Н10Т (ГОСТ 550 - 58 , ГОСТ 8734 - 58)
|
|
трубы
внешние
|
Сплав
АД1М (ГОСТ 11535 - 65)
|
|
Асбометаллическая
прокладка
|
Асбестовая
бумага БТ (ГОСТ 2630 - 69) в оболочце из стали 0Х18Н10 - М (ГОСТ 4986 - 70)
|
|
Трубные
решетки
|
Сталь
Х5М (ГОСТ 7350 - 66, група А)
|
|
Крышки
|
Стали
20Х5МЛ и 20Х5ТЛ (ГОСТ 2176 - 67)
|
В рассматриваемом аппарате установлены
биметаллические оребренные трубы, имеющие следующие характеристики:
материальное исполнение Б3;
наружная труба
материал АД1М;
заготовка 
(рис. 3.2), мм 
;
внутренняя труба
материал Сталь Х18Н10Т;
заготовка 
(рис. 3.2), мм 
;
параметры оребрения
шаг 
(рис. 3.2), мм 3.5;
высота ребра 
, мм 10.5;
толщина вершины ребра 
, мм 0.6;
толщина основания ребра 
, мм 1.3.
Рисунок 3.1 - Горизонтальный аппарат
типа АВГ (длина трубы 
м)
На рисунке 3.2 представлен чертеж
оребренной биметаллической трубки.
Рисунок 3.2 - Чертеж биметаллической
оребренной трубы
Расчет количества теплоты,
передаваемой от газа к воздуху. Температуру воздуха на входе в АВО принимаем
равной средней в наиболее жаркий месяц температуре в Одессе
[11].
Средняя температура воздуха в секциях АВО
в первом приближении принимается
равной температуре воздуха на входе в АВО
. Среднее избыточное давление газа в
АВО принимаем равным давлению после компримирования
.
Средняя в АВО температура природного
газа:
, (3.1)
где
- температура газа после
компремирования;
- заданная темепратура охлаждения
газа.
Теплоёмкость газа при средней
температуре, кДж/(кг∙К):
, (3.2)
где
-
средняя в АВО температура газа, К;
- среднее в АВО
избыточное давление, МПа.
Плотность газа при нормальных условиях:
, (3.3)
где
-
плотность
-го компонента,
кг/м3;
- объёмная доля
-го
компонента.
Плотность газа при стандартных условиях:
, (3.4)
где
-
температура газа при нормальных условиях;
- температура газа
при стандартных условиях;
- плотность газа
при нормальных условиях, кг/м3.
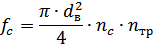
Количество теплоты, передаваемой в одном АВО от
газа к воздуху:
, (3.5)
где
-
количество работающих АВО;
- теплоемкость
природного газа при средней температуре, Дж/(кг∙К);
- коммерческий
расход газа, м3/с;
- плотность газа
при стандартных условиях, кг/м3;

, (3.6)
где
-
объём нагнетаемого одним вентилятором воздуха при нормальных условиях, м3/с;
шт. - количество в
рассматриваемом АВО вентиляторов;
- плотность
воздуха при нормальных условиях;
- теплоёмкость воздуха
при нормальных условиях [15].
Объём воздуха, нагнетаемого одним вентилятором,
определяем по аэродинамической характеристики вентилятора и секций
рассматриваемого аппарата рис. 3.1 [6]. Угол поворота лопастей вентилятора
принимаем 20 °. Каждый АВО имеет по два вентилятора с частотой вращения 425
об/мин [6].
Согласно рис.3.3 для рассматриваемого АВО расход
газа
будет
равен 230000 нм3/час.
Температура воздуха на выходе из АВО:
Пересчитаем среднюю в АВО температуру воздуха:
Рисунок 3.3 - Аэродинамическая характеристика
вентилятора и секций горизонтального аппарата типа АВГ с φ
= 14.6:
а - 8-рядной секции; б - 6-рядной секции; в -
4-рядной секции; г - характеристики углов расстановки лопастей вентилятора (тип
колеса вентилятора - ЦАГИ УК-2М, диаметр колеса 2800 мм, количество лопастей 8,
число оборотов вала в минуту 425)
Расчет теплофизических свойств газа при средней
температуре. Плотность газа при средней температуре:
, (3.7)
где
-
средняя температура газа, К;
- коэффициент
сжимаемости при рабочих условиях.
Коэффициент сжимаемости газа при средней
температуре:
, (3.8)
где
,
-
значение псевдокритического давления и температуры газа соответственно;
- средняя
температура газа, К.
Псевдокритическая температура и
псевдокритическое давление газа расчитываются по формулам соответственно:
(3.9)
, (3.10)
где
,
-
критическое давление и температура
-го компонента
газовой смеси.
Коэффициент сжимаемости газа при средней
температуре:
Плотнось газа при средней температуре:
Кинематическая вязкость газа при средней
температуре:
, (3.11)
где
-
динамическая вязкость газа при средней температуре, Па∙с.
Динамическая вязкость природного газа
определяется по формуле:
, (3.12)
где
-
средняя температура газа, К.
Кинематическая вязкость газа по формуле (2.11):
Расчет коэффициента теплоотдачи от природного
газа к стенке теплообменных труб. Число Рейнольдса для газа:
, (3.13)
где
-
скорость газа в трубках АВО, м/с;
- внутренний
диаметр теплообменных труб;
- кинематическая
вязкость газа при средней температуре, м2/c.
Скорость газа в теплообменных трубах АВО:
, (3.14)
где
-
площадь проходного сечения одного хода по газу труб в теплообменных секциях
АВО, м2.
Площадь
:
, (3.15)
где
шт.
- число секций в аппарате;
шт. - число труб в
одной секции [6].
Скорость газа в теплообменных трубах АВО по
формуле:
Число Рейнольдса по формуле (2.11):
Число Прандтля газа при средней температуре:
, (3.16)
где
-
теплопроводность природного газа при средней температуре и давлении [14].
Коэффициент теплоотдачи от газа к внутренней
поверхности труб:
, (3.17)
где
-
поправка, которая для газа равна 1;
- поправка, равная
1, поскольку
.
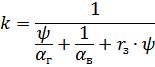
Расчет коэффициента теплоотдачи от воздуха к
наружной поверхности оребренных труб.
Коэффициент теплоотдачи со стороны воздуха для
биметаллических труб с коэффициентом оребрения 14.6, исполнения Б3 [5]:
, (3.18)
- скорость воздуха
в узком сечении секций АВО, м/с;
- средняя
температура воздуха.
Скорость воздуха в узком сечении:
, (3.19)
где
-
площадь свободного сечения перед секциями аппарата [6];
- коэффициент
сужения сечения [6].
- плотность
воздуха при средней температуре и атомсферном давлении [15].
Коэффициент теплоотдачи от воздуха к трубам по
формуле:
Расчет коэффициента теплопередачи. Коэффициент
теплопередачи от газа к воздуху в секциях АВО:
, (3.20)
где
-
коэффициент увеличения поверхности теплообменных труб [6];
- термическое
сопротивление загрязнения со стороны газа [5].
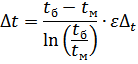
Определение необходимой площади теплообмена. Для
приянтого типоразмера аппарата, расходов и температур можно определить
необходимую поверхность теплообмена:
, (3.21)
где
-
средний логарифмический температурный напор.
Средний логарифмический температурный напор:
, (3.22)
где
-
наибольшая разность температур в соответствии со схемой движения теплоносителей
рис. 3.4;
наименьший разность температур между
теплоносителями рис. 3.2;
- поправочный
коэффициент.
По графику (рис. 3.5) в зависимости от
вспомогательных параметров
и
определяется
поправочный коэффициент
, учитывающий
отличие схемы движения технологического газа и атмосферного воздуха в АВО от
противотока: эта схема представляет собой однократный перекрестный ток, т.к.
для охлаждения газа на КС применяются только одноходовые АВО. Вспомогательные
параметры рассчитываются из соотношений
; (3.23)
(3.24)
Рисунок 3.5 - График для определения
поправочного коэффициента
при однократном
перекрестном токе (один ход природного газа по теплообменным трубам АВО).
Согласно рисунку 3.5 поправочный коэффициент
равен
0.87.
Средний логарифмический температурный напор по
формуле:
Необходимая поверхность теплообмена по формуле:
Запас поверхности:
(3.25)
Таким образом, запас поверхности составил 19.8
%, что позволяет сделать вывод о том, что принятый АВО в количество 10 шт.
обеспечит требуемую температуру охлаждения газа.
ВЫВОД
В ходе работы над курсовым проектом были
рассмотрены вопросы, связанные воздушным трубчаторебристым охладителем
природного газа с детальным описанием их функционального назначения, принципов
работы, трубопроводной обвязки и совместной работы с другим оборудованием,
входящем в состав компрессорной станции.
В общей части курсового проекта представлена
обобщенная информация о существующих на сегодняшний день установках охлаждения
природного газа, способах его очистки.
Технологическая часть более конкретно,
адаптировано к нашим условиям, раскрывает особенности эксплуатации,
регулирования и технического обслуживания аппаратов воздушного охлаждения.
В расчетной части был выполнен расчет аппаратов
воздушного охлаждения (АВО).
Результатом расчета АВО, стал подбор аппарата
воздушного охлаждения типа АВГ в количестве 10-и штук. Аппараты соединены
параллельно. Расчетная площадь поверхности теплообмена составляет 3173 м2.
Запас поверхности при этом равен 19,8%, что позволяет сделать вывод о том, что
принятое количество и тип АВО обеспечат требуемую температуру охлаждения газа.
Регулировка АВО имеет большое значение, так как его работа в значительной
степени зависит от температуры воздуха.
Графическая часть представлена двумя чертежами
выполненными на формате А1.
СПИСОК ИСПОЛЬЗОВАННОЙ ЛИТЕРАТУРЫ
1. Козаченко А.Н. Эксплуатация
компрессорных станций магистральных газопроводов. - М.: Нефть и газ, 1999.- 463
с.
. Проектирование и эксплуатация
насосных и компрессорных станций: Учебник для вузов / А.М. Шаммазов, В.Н.
Александров, А.И. Гольянов и др. - М.: ООО «Недра-Бизнесцентр», 2003. - 404 с.
. Розгонюк В.В., Хачикян Л.А.,
Григiль М.А., Удалов М.С., Нiкiшин В.П. Експлуатацiйниковi газонафтового
комплексу. Довiдник. - К.: «Росток», 1998. - 432 с.
. Волков М.М., Михеев А.Л., Конев
К.А. Справочник работника газовой промышленности. - 2-е из., перераб. и доп. -
М.: Недра, 1989. - 286 с.
. Крюков Н. П. Аппараты воздушного
охлаждения. - М.: Химия, 1983
. Стандартизированные аппараты
воздушного охлаждения для технологических установок. Каталог. - М.:
ЦИНТИХИМНЕФТЕМАШ, 1973.
. Леонтьев А.П., Беев Э.А. Расчет
аппаратов воздушного охлаждения: Учебное пособие. - Тюмень: ТюмГНГУ, 2000. - 74
с.
. Шпотаковский М.М. Тепловые режимы
магистральных газопроводов: Учебное пособие. - М.: РГУ нефти и газа им. И.М.
Губкина, 2004. - 206 с.
. ГОСТ 5542-87. Газы горючие
природные для промышленного и коммунально-бытового назначения.
. ОНТП 51-1-85 Магистральные
трубопроводы.
. СНиП 2.01.01-82 Строительная
климатология и геофизика.
. ГОСТ 2.105-95. ЕСКД. Общие
требования к текстовым документам.
. ВРД 39-1.10-006-2000 Правила
технической эксплуатации магистральных газопроводов.
. Варгафтик Н.Б., Л.П. Филиппов, А.А
Тарзиманов, Е.Е. Тоцкий. Справочник по теплопроводности жидкостей и газов. - М:
Энергоатомиздат, 1990. - 352с.