Оценка производительности горизонтальных нефтяных скважин

  • Вид работы:
    Доклад
  • Предмет:
    Геология
  • Язык:
    Русский
    ,
    Формат файла:
    MS Word
    338,42 Кб
  • Опубликовано:
    2016-02-27
Вы можете узнать стоимость помощи в написании студенческой работы.
Помощь в написании работы, которую точно примут!

Оценка производительности горизонтальных нефтяных скважин

МИНИСТЕРСТВО ОБРАЗОВАНИЯ И НАУКИ РОССИЙСКОЙ ФЕДЕРАЦИИ

РОССИЙСКИЙ ГОСУДАРСТВЕННЫЙ УНИВЕРСИТЕТ НЕФТИ И ГАЗА

имени И.М.ГУБКИНА

Факультет разработки нефтяных и газовых месторождений

Кафедра разработки и эксплуатации нефтяных месторождений




ДОКЛАД

На тему: «Оценка производительности горизонтальных нефтяных скважин»


Выполнили:

студенты группы РГ-12-07

Колесников А.С., Батов А.

Проверил:

ст. преподаватель

Шеляго Е.В

Москва

Содержание

Введение

. Некоторые теоретические сведения о горизонтальных нефтяных скважинах

. Обзор существующих методов оценки производительности горизонтальных нефтяных скважин

. Геометрия зоны дренирования

. Аналитические формулы существующих методик

. Определение коэффициента фильтрационных сопротивлений

. Выявление зависимости дебита от радиуса дренирования и длины гор. участка

Вывод.

Список использованной литературы

Введение

Необходимость применения наклонно-горизонтальных (НГС), горизонтальных (ГС) и многоствольных скважин (МГС) вызвана тем, что около 70 % запасов нефти РФ относится к трудноизвлекаемым, что обусловлено такими факторами, как высокая вязкость нефти (32,5% от трудноизвлекаемых), низкая проницаемость коллекторов (9%), а также высокая послойная и зональная неоднородность, малая эффективная толщина пластов-коллекторов, наличие подгазовых зон (16%) и маломощных нефтяных оторочек (14,7%), разработка водоплавающих залежей (27,8%) и шельфовых объектов. И все это происходит на фоне растущего энергопотребления общества и снижения среднего коэффициента нефтеизвлечения, который в нашей стране существенно уменьшился и стал примерно в 1,5 раза меньше, чем в США, хотя ранее СССР успешно конкурировал в этом отношении.

Конструктивные особенности таких скважин позволяют получать дебиты в несколько раз превосходящие дебиты вертикальных скважин, рост которого, в основном, обусловлен увеличением поверхности фильтрации и наращивания числа объектов, вовлеченных в разработку.

Метод разработки с применением ГС был успешно опробован в отечественной практике в 1953 году на Ишимбайском нефтяном месторождении, длина горизонтальных участков составляла до 170 м, дебиты возросли в 3-30 раз. В НГДУ «Черноморнефть» были пробурены 3 МГС с горизонтальными ответвлениями по 100-150 м. Дебиты составляли 70, 120, 140 т/сут, при дебите соседних вертикальных 12-15 т/сут.

Целью данного реферата является краткое ознакомление с методами оценки производительности нефтяных горизонтальных скважин и сравнении этих методик друг с другом.

1. Некоторые теоретические сведения о горизонтальных нефтяных скважинах

Сегодня лидером в области ГС является Канада, где пробурено около 15000 ГС или более 45% мирового фонда ГС. Большинство скважин в Канаде используют для предотвращения образования конусов воды и газа. Около 40% - в карбонатных коллекторах с легкой нефтью, а около 45% пробурено в терригенных коллекторах с высоковязкой нефтью (в провинции Саскачеван Альберта).

В США насчитывается более 12000 ГС (36% мирового фонда ГС). И это при том, что США начали промышленное применение технологий горизонтального бурения после б. СССР и Франции. Основным объектом применения ГС в США являются сложнопостроенные карбонатные коллекторы

Основной задачей горизонтальной скважин является увеличение поверхности контакта с коллектором и, таким образом, повышение ее производительности. В большинстве случаев она бурится параллельно напластованию коллектора. Но в средне-континентальной области и на побережье США плоскость напластования некоторых коллекторов почти вертикальная, в Калифорнии некоторые продуктивные пласты являются крутопадающими. Таким образом при анализе эффективности ГС надо учитывать геометрическую конфигурацию плоскости напластования коллектора.

Дебит зависит от длины скважины, а длина - от используемого метода бурения (Табл.1-1).


Другой важный вопрос - схема заканчивания. Это может быть открытый ствол, либо щелевидный фильтр, либо хвостовик с пакерами для частичной изоляции, либо спущенная, а затем перфорированная обсадная колонна (ОК). Определенные типы заканчивания возможны только с соответствующей технологией бурения. Для инженеров-разработчиков важно понимать различные методы бурения и их допуски, преимущества и недостатки.

Рис. - 4 Несколько радиальных скважин, пробуренных из одной горизонтальной


. Обзор существующих методов

Обзор существующих приближенных методов определения производительности горизонтальных нефтяных скважин показал, что приближенные аналитические методы можно условно, в соответствии с принятыми схемами зоны дренирования, разделить на четыре группы:

) Метод Борисова Ю.П. и др., который допускает, что зона, дренируемая ГС, имеет форму круга (рис.1, а);

) Методы Joshi S.D.; Renard G.I. и Dupug J.M., Спарлин Д.Д. и Хаген Р.У.; Giger F.M., которые допускают, что зона, дренируемая ГС, имеет форму эллипса (рис.1б);

) Метод Ибрагимова, допускающий, что зона дренирования - слой усеченного параллельными плоскостями шара (рис.1в);

) Методы Babu D.K. и Odeh A.S.; Алиева З.С. и Шеремета В.В., которые допускают, что зона дренирования представляет собой полосообразный пласт (рис.1г).

Соответствующие формулы получены для однородных изотропных и анизотропных пластов.

Отличительной чертой всех решений, кроме решения Алиева З.С. и Шеремета В.В. , является то, что во всех полученных зависимостях, при полном вскрытии принятой зоны дренирования горизонтальным стволом, величины забойного и контурного давлений совпадают, т.е депрессия, создаваемая на пласт ∆P=0, что делает полученные решения для определения дебита нефти неустойчивыми. В частности для эллиптической формы только в диапазоне 0,3 ≤ 2х≤ 0,7. Принятие зоны в виде прямоугольника исключает результаты с большими ошибками. Однако эта схема задачи притока нефти или газа к горизонтальной скважине также предусматривает постоянство забойного давления по длине горизонтального участка и полное вскрытие фрагмента залежи в виде прямоугольника. При неполном вскрытии фрагмента полосообразоного пласта получить простую и приемлемую по точности формулу для определения дебита нефти и газа не удалось.

3. Геометрия зоны дренирования пласта горизонтальной скважины

форма круга (метод Ю.П.Борисова) (Рис.6.)

Рис.6. Форма круга

форма эллипса (метод S.D.Joshi, G.R.Renard и J.M.Dupuy) (Рис.7.)

Рис.7. Форма эллипса

форма прямоугольника (Рис.8.)

Рис.8. Форма прямоугольника

4. Аналитические формулы существующих методик

. Формула Ю.П.Борисова. Предполагается, что зоной дренирования ГС является круг (рис.1)

, (1)

где - объемный коэффициент нефти.

 - расстояние от горизонтальной скважины до линии пластового давления.

. Формула S.D.Joshi. Принимается, что зоной дренирования ГС по площади является эллипсоид (метод S.D.Joshi, G.R.Renard и J.M.Dupuy) (рис.2)

 , (2)

где ,

,

где - параметр анизотропии.

- половина главной оси эллипса, равного площади дренирования пласта ГС.

. Формула G.R.Renard, J.M.Dupuy. Зона дренирования пласта ГС принимается в форме эллипсоида (рис.2)

где ; ;

A- см.формулу S.D.Joshi.

. Формула З.С.Алиева и В.В.Шеремета, допускает, что зона дренирования пласта имеет форму полосообразного пласта, полностью вскрытым ГС.

; (4)

С учетом анизотропии пласта по проницаемости формула имеет вид:

, (5)

где ; .

5. Формула В.Г.Григулецкого (модификация ф-лы Борисова):

, (6)

где - параметр анизотропии;

. Формула Т.В.Козловой и В.Д.Лысенко:

; (7)

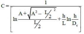
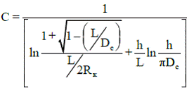
. Определение коэффициента фильтрационных сопротивлений

Предложенные методики отличаются коэффициентом фильтрационных сопротивлений, присутствующий в знаменателе формул. Приведем значения безразмерного коэффициента С, предложенные различными авторами для определения производительности горизонтальных нефтяных скважин (табл.1).

 по формуле Алиева З.С, Шеремета В.В.

 по формуле Борисова Ю.П.

 по формуле S.D.Joshi

 по формуле Giger F.M

 по формуле G.R.Renard

Таблица 1 - Результаты расчетов безразмерного коэффициента С по различным методам определения дебита горизонтальной нефтяной скважины


Представим зависимости из таблицы 1 в виде графиков.

Таблица - 2 Зависимость С от радиуса дренирования

L=350 м

h=70 м

Rk

Борисов

Джоши

Гигер

Ренард

Алиев

100

1,076

-

-

1,248

1,197

350

2,329

1,803

2,26

2,331

2,983

700

3,002

2,542

3,007

3,002

5,483


Рис. - 9 График зависимости С(Rk).

Таблица - 3 Зависимость С от радиуса дренирования

L=350 м

h=35 м

Rk

Борисов

Джоши

Гигер

Ренард

Алиев

100

0,535

-

-

0,707

1,898

350

1,788

1,147

1,719

5,47

700

2,481

1,886

2,005

2,481

10,47



Рис. - 10 График зависимости С(Rk)

Таблица - 4 Зависимость С от толщины пласта

L=350 м

Rk=350 м

h

Борисов

Джоши

Гигер

Ренард

Алиев

14

1,51

0,932

1,441

0,932

12,939

21

1,596

1,512

1,527

1,512

8,789

50

2,012

2,014

1,943

2,014

3,978

 

Рис. - 11 График зависимости С(Rk)

Таблица - 5 Влияние радиуса дренирования на подсчет С

L=750 м

h=55,5 м

Rk

Борисов

Джоши

Гигер

Ренард

Алиев

2000

2,698

2,698

2,69

2,698

18,498


Из таблицы выше видно, какое значение имеет большой радиус дренирования

. Выявление зависимости дебита от радиуса дренирования и длины гор. участка

нефтяной скважина производительность дренирование

В этом нам поможет Excel файл, где применим формулу Джоши

Заполняются желтые ячейки

     

 

 

 

 

 

 

 







  



 

c

коэф. при использовании промысловых единиц (российских)




 

µ

9,6

вязкость жидкости, сП





  


 

reh

1000

  радиус контура питания, м






 

rc

0,062

радиус ствола скв., м







 

Bo

1,042

объемный коэффициент






 

L

350

длина горизонтального ствола, м






 

S

0

скин-фактор







 

 

Kh

Kv

h

Pпл

Pзаб

a

b

A

B

Q

Формула Джоши

80

8

10

115

70

1007,7

3,16228

2,4361

1,0531

117,7

 

Проницае-мость горизонтальная, мД

Проницаемость вертикальная, мД

Мощность пласта, м

Давление пластовое, атм

Давление забойное, атм

 

 


 

Расчетный дебит жидкости, м3/сут

Рис -12 Скриншот программы вычисления дебита нефтяной горизонтальной скважины по формуле Джоши

Таблица - 6. Зависимость Q(Rk)

Rk

Q

100

239

200

161

300

132

400

500

107

600

101

700

96

800

92

900

88

1000

86


Рис - 13 График зависимости дебита от радиуса дренирования

Таблица - 7 Зависимость Q(L)

L

Q

100

47

200

69

300

86

400

100

500

114

600

127

700

140

800

153

900

166

1000

179


Рис. - 14 График зависимости дебита от длины горизонтального участка.

Вывод

Анализ результатов расчетов по вышеуказанным формулам при одних и тех же исходных данных показывают, что:

расчетные величины дебитов горизонтальных скважин отличаются друг от друга, в первую очередь из-за разной геометризации зоны дренирования пласта; однако они достаточно сопоставимы;

ограничений на длину горизонтального участка не вводится; дебит ГС растет практически пропорционально длине горизонтального участка;

с увеличением толщины пласта расчетный дебит ГС увеличивается;

анизотропия пласта по проницаемости существенно влияет на дебит ГС; увеличение параметра анизотропии  от 0,03 до 3,16 увеличивает расчетный дебит ГС более чем в 50 раз (формула З.С.Алиева и В.В.Шеремета);

производительность ГС пропорциональна депрессии и проницаемости пласта;

дебит ГС обратно пропорционален радиусу контура питания;

с увеличением длины горизонтального участка интенсивно растут потери давления в горизонтальном стволе;

одним из критериев определения оптимальной длины горизонтального ствола явяются потери давления в стволе;

Список использованной литературы

1. Алиев З.С., Шеремет В.В. Определение производительности горизонтальных скважин, вскрывших газовые и газонефтяные пласты. - М.; Недра, 1995.

. Алиев З.С., Котлярова Е.М., Самуйлова Л.В., Мараков Д.С. Определение основных параметров горизонтальных газовых скважин. - М.; РГУ нефти и газа имени И.М. Губкина, 2012.

. Чекушин В.Ф. Обоснование выбора конструкции наклонно-горизонтальных горизонтальных и многоствольных скважин при разработке нефтяных месторождений. Москва, 2002

. Алиев З.С., Бондаренко В.В., Сомов Б.Е. Методы определения производительности горизонтальных нефтяных скважин и параметров вскрытых ими пластов. - М.: Нефть и газ, 2001.

. Joshi S.D. Основы технологии горизонтальной скважины. Перевод с английского Будников В.Ф., Проселков Е.Ю. - Краснодар, Советская Кубань, 2003.

Похожие работы на - Оценка производительности горизонтальных нефтяных скважин

 

Не нашли материал для своей работы?
Поможем написать уникальную работу
Без плагиата!
Без нейросетей!